Abstract
An approach towards incorporating varied degrees of steric profiles around the ligand’s backbone, which were envisaged to alter the catalytic paths leading to targeted 1-C8/1-C6 olefin products, were explored. Cr-pre-catalysts designed with PNP ligands comprising a fused aryl moiety were delivered at a relatively higher C8 olefin selectivity (up to 74.6 wt% and C8/C6 of 3.4) when the N-connection to the aromatic unit was placed at the 2-position. A relatively higher C6 olefin selectivity (up to 33.7 wt% and C8/C6 of 1.9) was achieved with the PNP unit anchored at the 1- or 6-position. Based on detailed catalytic studies, we confirm the fact that by introducing a controlled degree of bulkiness on the N-site through a judicious selection of the N-aryl moiety of different sizes, the selectivity of the targeted olefin product could be tuned in a rational manner.
1. Introduction
Chromium catalysts constructed with phosphine donor ligands exhibiting low bite angles have captivated researchers for decades due to their unparallel potential over other ligand systems to carryout highly selective ethylene oligomerization under amenable conditions [1,2,3,4,5,6,7,8,9,10,11,12,13,14,15,16,17,18].
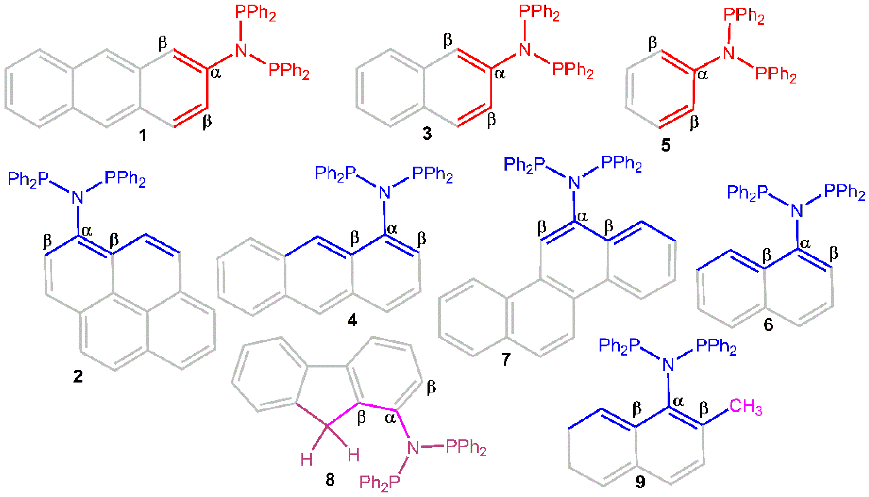
By carefully choosing ligands with specific attributes, catalytic processes yielding highly sought-after linear alpha-olefins (LAOs), particularly those with 6- and 8-carbon atoms, have been successfully obtained in a selective manner [8,9,10]. In fact, the leading LLDPE-manufactured units largely depend on the alpha olefin co-monomer feeds, which are primarily accessed through a chromium-catalyzed ethylene oligomerization process. The technology revolving around the Cr-PNP system has been extensively explored, gaining prominence since the groundbreaking discovery of the first catalyst system of this kind by Sasol several decades ago [3,4,5,6,11]. Subsequently, numerous studies have been conducted to elucidate the impact of N-substituents on PNP ligands by introducing various functional moieties to achieve enhanced olefin (1-octene) products and reactivity [8,13,14,19]. A systematic approach in this pursuit involves the strategic functionalization of the N-site of PNP ligands. We have recently demonstrated that by introducing a specific type of bulky triptycene moiety as an N-substituent, exceptional alpha-selective Cr-systems can be developed [20]. Furthermore, by regiospecifically introducing targeted functional groups, such as -CF3 and -OMe, catalyst systems with remarkable activity and temperature tolerance can be generated [21,22]. During our research on Cr-catalysts supported by N-aryl PNP ligands, we aimed to explore the influence of fused polyaromatic moieties and their connectivity to the N-site. These factors were anticipated to affect the Cr-catalyzed ethylene oligomerization reaction pathways, leading to the desired olefin products. In pursuit of this objective, we designed several innovative N-aryl PNP ligands (Figure 1) incorporating N-anthracenyl, pyrenyl, naphthyl, chrysenyl, and fluorenyl functionalities. We assessed their performances in Cr-catalyzed oligomerization reactions, and the catalytic outcomes of these new systems were compared with those obtained using a well-established N-phenyl, N-naphthyl, substituted PNP-Cr system under identical reaction conditions [14].
Figure 1.
Various N-aryl functionalized PNP ligands evaluated for selective ethylene oligomerization.
2. Results and Discussion
Treating amine precursors with chlorodiphenylphosphine in the presence of a triethylamine base yielded PNP compounds 1–9 in moderate to good yields (refer to Section 3 for experimental details). The 31P NMR spectrum of compounds 1 and 2 (depicted in Figure 2) displayed intense peaks at 66.27 and 62.67 ppm, respectively, due to the P-atom of the PNP ligands [11]. Similarly, novel ligands 3, 4, 7, and 9 also exhibited 31P signals (refer to Figures S1–S3 and S5 in the Supplementary Materials) that were closely associated with ligands 1 and 2 (refer to Table 1), confirming the formation of the desired PNP ligands. The fluorenyl-functionalized ligand 8 displayed a slightly downfield-shifted 31P NMR signal at 57.73 ppm (Figure S4, Supplementary Materials). All new compounds underwent further characterization via 1H and 13C NMR spectroscopic and elemental microanalysis studies (see Section 3 for details), unequivocally confirming the formation of the desired structures.
Figure 2.
The liquid stare 31P NMR spectra of ligand 1 (left) and 2 (right).
Table 1.
31P chemical shifts of the novel PNP ligands.
To explore the influence of the steric profile defined by the selection of the PNP ligands’ N-aryl moiety on the ethylene tetramerization performance and product selectivity, particularly towards C6 and C8 olefins, our investigation commenced with pre-catalysts based on 1 and 2/Cr(acac)3. A systematic investigation was conducted to determine the impacts of the solvents, including cyclohexane (Cy), methylcyclohexane (MeCY), and chlorobenzene (PhCl), while maintaining a reaction temperature of 45 °C, ethylene pressure at 45 bar, and MMAO 3A as an activator. The results presented in Table 2 (entries 1–8) reveal that among all the solvents examined, chlorobenzene exhibited the best performance in terms of productivity (1774 kg·gCr−1·h−1) using the ligand 2/Cr(acac)3 system (entry 6). Under identical reaction conditions, 1/Cr(acac)3 yielded a productivity of 1479 kg·gCr−1·h−1 (entry 3). More importantly, both catalyst systems maintained high productivity (>1000 kg·gCr−1·h−1) and C8 selectivity (≥68 wt%) for a reaction time of up to 1 h (entries 7 and 8). Under these conditions, the 1/Cr(acac)3 system yielded a PE selectivity of 1.5 wt% (vs. 1.7 wt% for a 10 min reaction time). A slightly higher PE selectivity (1.4 wt% vs. 0.8 wt% for a 10 min reaction time) was observed for the 2/Cr(acac)3 system. Moreover, a slightly higher selectivity towards C10+ isomers (5.1 and 3.5 wt% vs. 2.0 and 1.3 wt% for a 10 min reaction time) was observed using the 1/Cr(acac)3 and 2/Cr(acac)3 systems, respectively. Alternatively, the selectivity towards C6 isomers was suppressed (when compared to the results obtained after a 10 min reaction time) by over 2 wt% for both pre-catalyst systems. The catalytic reactions in aliphatic solvents yielded lower productivity, typically in the range of 300–500 kg·gCr−1·h−1 for both systems (entries 1, 2, 4, 5), along with a slight alteration in product selectivity, especially in the cyclohexane medium where a slightly reduced C6 selectivity (21.5 wt%) and increased C8 or C10+ selectivity were noted. On the other hand, in the methylcyclohexane solvent, a slightly higher PE selectivity was observed (2.6 wt%, entry 2). A similar reactivity trend in the aliphatic solvent was observed earlier for other N-aryl PNP-stabilized chromium pre-catalysts [21,22]. A detailed analysis of the product profile presented in Table 2 revealed that, contrary to productivity, 1/Cr(acac)3 could achieve better C8 selectivity (72.1 wt% vs. 68.4 wt% for 2/Cr(acac)3 in PhCl). Meanwhile, 2/Cr(acac)3 exhibited higher selectivity towards C6 olefins (29.5 wt% vs. 24.2 wt% for 1/Cr(acac)3) in the PhCl solvent. These results suggest that the additional steric bulkiness introduced in the pyrenyl-based ligand, 2, by fusing extra phenyl units at the beta-position relative to the PNP moiety may relatively favor the reaction path involving a metalla-cycloheptane intermediate (supported by addition studies using Cr-pre-catalysts derived with alternative PNP ligands, vide infra), leading to a relatively higher formation of C6 olefins. Conversely, the Cr-system based on the less bulky ligand 1 relatively favored the mechanistic path involving a metalla-cyclononane intermediate, resulting in an enhanced formation of C8 olefins. These observations align with the theoretical findings that investigate the correlation between transition state energies and the preferred catalytic pathway in relation to the steric hindrance around the catalytic Cr-site [23].
Table 2.
Solvent-dependent ethylene tetramerization study using Cr(acac)3/1 or 2/MMAO-3A system.
Catalytic runs using 2/Cr(acac)3 at lower ethylene pressures of 10 and 30 bar was evaluated in a chlorobenzene solvent. Based on the data presented in Table 3 (entries 1–3), it could be inferred that as the pressure of the reaction vessel drops, the C8 selectivity decreases dramatically (from 68.4 wt% @ 45 bar to 37.4 wt% @ 10 bar) while boosting C6 and PE selectivity up to 42.2 and 20.4 wt%, respectively. The C10+ products selectivity, however, was found to drops to almost zero at a 10-bar ethylene pressure, although the productivity (161 kg·gCr−1·h−1) under this condition was significantly low. These data tend to indicate a relative shift in the catalytic path from tetramerization to trimerization in favor of a relative higher formation of C6 isomers, especially at 30 bar, along with other side reactions, leading to the formation of an increased PE fraction. The variation in the reaction temperature also exhibited an influence on the productivity and as well as on olefin and PE selectivity (Table 4). At 60 °C, a notably higher C6 selectivity (38.1 wt% vs. 29.5 wt% @ 45 °C) was obtained at the expense of C8 isomer selectivity, which was reduced from 68.4 wt% to 59.9 wt%. An alternative selectivity trend, however, was noted for a reaction at 30 °C, where an improved C8 selectivity (70.9 wt%, entry 1) and reduced C6 selectivity (24.5 wt%) was ascertained compared to that observed at 45 °C, even though the loss of productivity (from 1774 kg·gCr−1·h−1 to 431 kg·gCr−1·h−1) was significantly high.
Table 3.
Pressure-dependent ethylene tetramerization study using Cr(acac)3/2/MMAO-3A system.
Table 4.
Temperature-dependent ethylene tetramerization study using Cr(acac)3/2/MMAO-3A system.
To provide a more comprehensive understanding of our findings (vide supra), ligands 3–9 were additionally assessed under identical reaction conditions, employing PhCl as the solvent. The data provided in Table 5 indicate that the previously reported Cr-pre-catalyst based on ligand 5, lacking fused aromatic functionality at the β-positions, displayed a C6 selectivity (22.8 wt%, entry 1) quite comparable to that of the 1/Cr(acac)3 system (24.2 wt%, entry 4). Both systems also exhibited a similar C10+ olefin product selectivity (2 wt%), even though 5/Cr(acac)3 showed a slightly higher C8 (74.1 wt% vs. 72.1 wt% and lower PE (1.0 wt% vs. 1.7 wt%) selectivity. Likewise, a catalytic run utilizing the newly introduced ligand 3-supported Cr-pre-catalyst, anticipated to possess a similar steric profile (as 1 and 5) around the catalytic site (illustrated in Figure 3 with red highlights), also demonstrated comparable C6 oligomer selectivity (22.2 wt%). Furthermore, all these ligand-based pre-catalysts achieved over 72 wt% C8 olefin products while obtaining a similar C10+ product selectivity (~2 wt%). In contrast, the chromium pre-catalysts formed with ligand 6 exhibited a relative preference for the metallacycloheptane path, resulting in an enhanced C6 olefin fraction (26.7 wt% vs. 24.2 wt% for 1/Cr(acac)3 and 22.2 wt% for 3/Cr(acac)3) at the expense of C8 selectivity (68.4 wt% vs. 72.1 wt% for 1/Cr(acac)3 and 74.6 wt% for 3/Cr(acac)3). The pre-catalyst 6/Cr(acac)3 also exhibited a slightly higher PE selectivity (2.8 wt%, entry 2), even though the C10+ olefin product selectivity was somewhat similar (~2 wt%). The observed trend supports the hypothesis of a nearby steric environment surrounding the catalytic Cr-site, which is consistent with findings in the ligand 2/Cr(acac)3 system (Figure 3, highlighted in blue).
Table 5.
Ethylene tetramerization study using Cr(acac)3/L/MMAO-3A system in PhCl.
Figure 3.
Illustration of a common underlying basic substructure around PNP units in ligands 1, 3, and 5 is schematically depicted (highlighted in red). Similarly, ligands 2, 4, 6, and 7 are expected to showcase somewhat identical steric profiles around the PNP units, as illustrated in blue. In contrast, ligands 8 and 9 were assumed to introduce a slightly altered steric environment.
Indeed, this presumption receives can be further validated via the catalytic results obtained with the Cr-systems supported by ligands 4, 7, and 9, revealing an approximate 30–33 wt% and 64–68 wt% selectivity towards C6 and C8 olefins, respectively. The PE and C10+ selectivity were found roughly in the range of 0.4–1.5 wt% (entries 6, 7 and 9). The inherent steric profiles around the catalytic sites in all these ligand-supported pre-catalysts are anticipated to resemble those in the ligand 2-based Cr-system (refer to Figure 3, where the blue highlights indicate corresponding structural features). The highest C6 selectivity observed in the 9/Cr(acac)3 (33.7 wt%) system underscores the impact of fine tuning via the introduction of a -CH3 moiety at the second β-site in altering the preferred reaction pathways.
Remarkably, the 9/(acac)3 systems also achieved outstanding total alpha selectivity (~95 wt%, entry 9) while yielding a minimal fraction of C6-cyclic products (3 wt%). Surprisingly, the chromium pre-catalyst constructed with ligand 8, featuring a fluorene moiety as a N-substitution, demonstrated a preference for the formation of C8 products (72.5 wt%, entry 8) over C6 (25.3 wt%) while exhibiting ~1 wt% PE and C10+ olefin selectivity, despite having β-functionalization (Figure 3, highlighted in purple).
This indicates the fact that the steric hindrance associated with the fluorenyl moiety does not impede the catalytic reaction from proceeding via a metallacyclononane intermediate. Nevertheless, the overall catalytic results clearly affirm that product selectivity, especially towards 1-C8/1-C6 olefins (Figure 4), can be finely tuned by judiciously selecting the ligand structure. Thus, a reaction mechanism favoring the metallacyclononane intermediate could be facilitated using chromium pre-catalysts based on ligands 1, 3, 5, and 8, while a mechanistic path relatively favoring the metallacycloheptane intermediate could be promoted by employing ligand 2-, 4-, 6-, 7-, and 9-supported Cr-systems.
Figure 4.
The influence of PNP connectivity to the aryl ring dictates the reaction pathways, leading to the preferential formation of 1-octene product over 1-C6 olefin.
3. Experimental Section
3.1. Ligand Preparation
Synthesis of PNP ligand (1) (Scheme 1). In a solution containing 2-aminoanthracene (0.28 g, 1.45 mmol) and triethylamine (4.34 mmol) in 5 mL dichloromethane, Ph2PCl (0.64 g, 2.90 mmol) was gradually introduced at 0 °C. The mixture was stirred for 1 h and then allowed to warm up to room temperature (r.t.). Stirring continued for an additional 14 h. Volatile compounds were removed under reduced pressure, and the residue was extracted with anhydrous THF (3 × 3 mL). After removing the THF solvent, the remaining solid residue underwent trituration with anhydrous CH3CN (5 × 5 mL), followed by vacuum drying at 65 °C to obtain the desired ligand in a moderate yield. (0.37 g, 49%). 1H-NMR (CD2Cl2): 6.9 (bs, 1H, Ar-H), 7.0–8.3 ppm (m, 29H, Ar-H); 13C NMR (CD2Cl2): 107.34, 120.72, 120.78, 123.09, 124.03, 125.13, 125.42, 125.63, 126.12, 127.49, 128.10, 128.53, 128.64, 129.16, 131.32, 131.70, 132.43, 133.28, 139.13, 144.75 ppm; 31P NMR (CD2Cl2): δ 66.27 (s) ppm. Anal. Calc. for C38H29NP2: H 5.20, C 81.27, N 2.49%. Found H 5.06, C 81.14, N 2.52%.
Scheme 1.
Synthetic scheme for the preparation of N-anthracenyl-substituted PNP ligand 1.
Synthesis of PNP ligand (2) (Scheme 2). In a solution containing 1-aminopyrene (0.35 g, 1.45 mmol) and triethylamine (4.34 mmol) in 5 mL dichloromethane, Ph2PCl (0.64 g, 2.91 mmol) was added slowly at 0 °C. The mixture was stirred for 1 h and then allowed to warm up to room temperature (RT). Stirring continued for an additional 14 h. Volatile compounds were removed under reduced pressure, and the residue was extracted with anhydrous THF (3 × 2 mL). After removing the THF solvent, the remaining solid residue underwent trituration with anhydrous CH3CN (5 × 4 mL), followed by vacuum drying at 65 °C to obtain the desired ligand in a moderate to good yield. (0.55 g, 65%). 1H-NMR (CD2Cl2): 7.1–8.2 ppm (m, 29H, Ar-pH); 13C NMR (CD2Cl2): 114.40, 118.97, 119.79, 123.71, 123.79, 124.23, 124.33, 124.81, 126.00, 126.10, 126.37, 127.58, 128.38, 128.51, 128.77, 131.21, 131.35, 132.12, 140.02, 146.37 ppm; 31P NMR (CD2Cl2): δ 66.27 (s) ppm. Anal. Calc. for C40H29NP2: H 4.99, C 82.04, N 2.39%. Found H 4.86, C 82.14, N 2.29%.
Scheme 2.
Synthetic scheme for the preparation of N-pyrenyl-substituted PNP ligand 2.
Synthesis of PNP ligand (3) (Scheme 3). In a solution containing 2-naphthylamine (0.21 g, 1.50 mmol) and triethylamine (4.50 mmol) in 5 mL dichloromethane, Ph2PCl (0.66 g, 3.00 mmol) was slowly added at 0 °C. The mixture was stirred for 1 h and then allowed to warm up to room temperature (RT). Stirring continued for an additional 14 h. Volatile compounds were removed under reduced pressure, and the residue was extracted with anhydrous THF (3 × 2 mL). After removing the THF solvent, the remaining solid residue underwent trituration with anhydrous CH3CN (5 × 3 mL), followed by vacuum drying at 65 °C to obtain the desired ligand 3 in a moderate yield. (0.32 g, 42%). 1H-NMR (CD2Cl2): 6.95 (dd, 1H, Ar-H), 7.08 (bs, 1H, Ar-H), 7.3–8.5 ppm (m, 25H, Ar-H); 13C NMR (CD2Cl2): 126.36, 127.26, 127.31, 127.42, 127.56, 127.63, 128.00, 128.22, 128.44, 128.53, 129.10, 131.06, 133.29, 139.22, 145.22 ppm; 31P NMR (CD2Cl2): δ 68.52 (s) ppm. Anal. Calc. for C34H27NP2: H 5.32, C 79.83, N 2.74%. Found H 5.26, C 79.74, N 2.66%.
Scheme 3.
Synthetic scheme for the preparation of N-napthyl-substituted PNP ligand 3.
Synthesis of PNP ligand (4) (Scheme 4). In an 8 mL solution of dichloromethane containing 1-aminoanthracene (0.22 g, 1.13 mmol) and triethylamine (0.34 g, 3.4 mmol), Ph2PCl (0.49 g, 2.26 mmol) dissolved in 2 mL dichloromethane was slowly added at 0 °C. The reaction mixture was stirred at this temperature for 1 h and then allowed to warm up to room temperature (rt), followed by additional stirring for 12 h. After this time, the solvent was removed under reduced pressure, and the residue was extracted with anhydrous THF (3 × 5 mL). After removing the THF solvent, the remaining solid residue underwent trituration with dry CH3CN (3 × 4 mL), followed by vacuum drying at 40 °C for 6 h to yield the ligand 4 in a moderate yield. (0.29 g, 47%). 1H-NMR (CD2Cl2): 6.7–8.4 ppm (m, 27H, Ar-pH); 13C NMR (CD2Cl2): 116.53, 124.29, 124.61, 124.99, 125.51, 126.13, 126.81, 127.54, 127.66, 128.04, 128.47, 128.52, 128.65, 129.07, 129.47, 131.24, 131.66, 132.74, 133.72, 139.70, 145.21 ppm; 31P NMR (CD2Cl2): δ 68.52 (s) ppm. Anal. Calc. for C38H29NP2: H 5.20, C 81.27, N 2.49%. Found H 5.09, C 81.11, N 2.36%.
Scheme 4.
Synthetic scheme for the preparation of ligand 4.
Synthesis of PNP ligand (9) (Scheme 5). In an 8 mL solution of dichloromethane containing 2-methyl-1-naphthylamine (0.18 g, 1.13 mmol) and triethylamine (0.34 g, 3.4 mmol), Ph2PCl (0.49 g, 2.26 mmol) dissolved in 2 mL dichloromethane was slowly added at 0 °C. The reaction mixture was stirred at this temperature for 1 h and then allowed to warm up to room temperature (r.t.), followed by additional stirring for 12 h. After this time, the solvent was removed under reduced pressure, and the residue was extracted with anhydrous THF (3 × 5 mL). After removing the THF solvent, the remaining solid residue underwent trituration with dry CH3CN (3 × 4 mL), followed by vacuum drying at 40 °C for 6 h to yield the ligand 9 in a moderate yield. (0.33 g, 55%). 1H-NMR (CD2Cl2): 3.16 (S, 3H, -CH3), 6.69 (m, 1H, Ar-H), 7.0–7.8 ppm (m, 27H, Ar-H); 13C NMR (CD2Cl2): 36.09, 111.49, 113.24, 117.78, 119.70, 120.03, 124.66, 124.93, 126.41, 126.65, 128.13, 129.17, 133.40, 139.66, 142.96, 145.67 ppm; 31P NMR (CD2Cl2): δ 62.43 (s) ppm. Anal. Calc. for C35H29NP2: H 5.56, C 79.99, N 2.67%. Found H 5.37, C 79.85, N 2.54%.
Scheme 5.
Synthetic scheme for the preparation of ligand 9.
Synthesis of PNP ligand (7) (Scheme 6). In a 1.5 mL solution of dichloromethane containing 6-aminochrysene (0.063 g, 0.26 mmol) and triethylamine (0.079 g, 0.78 mmol), Ph2PCl (0.115 g, 0.52 mmol) was slowly added at 0 °C. The mixture was stirred for 1 h and allowed to warm up to room temperature (r.t.), followed by additional stirring for 14 h. The volatiles were removed under reduced pressure, and the residue was extracted with anhydrous THF (2 × 2 mL). After removing THF, the remaining solid was degassed under vacuum at 50 °C for 3 h to yield the desired ligand 7 in moderate yield. (0.1 g, 62%). 1H NMR (CD2Cl2): δ 7.0–8.2 (m, 31H, Ar-H) ppm; 13C NMR (CD2Cl2): 108.82, 120.97, 122.80, 123.36, 124.36, 124.82, 126.03, 126.17, 126.38, 126.79, 127.03, 128.30, 128.72, 129.36, 131.35, 131.75, 132.09, 132.43, 132.84, 134.32, 139.37, 144.16 ppm; 31P NMR (CD2Cl2): δ 60.09 (s) ppm. Elemental microanalysis: Calculated (%) for C42H31NP2: H 5.11, C 82.47, N 2.29; Found (%) H 5.18, C 82.38, N 2.19.
Scheme 6.
Synthetic scheme for the preparation of ligand 7.
Synthesis of PNP ligand (8) (Scheme 7). In a 2 mL solution of dichloromethane containing 1-aminofluorene (0.15 g, 0.84 mmol) and triethylamine (0.25 g, 2.48 mmol), Ph2PCl (0.36 g, 1.65 mmol) was slowly added at 0 °C. The mixture was stirred for 1 h and allowed to warm up to room temperature (r.t.), followed by additional stirring for 14 h. The volatiles were removed under reduced pressure, and the residue was extracted with anhydrous THF (2 × 2 mL). After removing THF, the remaining solid was triturated with anhydrous CH3CN (1 × 3 mL), followed by degassing at 50 °C to yield the desired ligand 8 in a moderate to good yield (0.29 g, 62%). 1H NMR (CD2Cl2): δ 1.74 (bs, 2H, -CH2-), 6.71 (s, 1H, Ar-H), 7.0–7.8 (m, 26H, Ar-H); 13C NMR (CD2Cl2): 20.30, 124.03, 124.52, 126.16, 126.45, 127.18, 127.67, 128.15, 128.86, 129.30, 132.36, 133.70, 133.84, 134.98, 135.15, 138.94, 139.22, 142.75 ppm. Elemental microanalysis: Calculated (%) for C37H29NP2: H 5.32, C 80.86, N 2.55; Found (%) H 5.21, C 80.71, N 2.42.
Scheme 7.
Synthetic scheme for the preparation of ligand 8.
3.2. General Oligomerization Procedure
All runs for ethylene oligomerization were carried out in a 250 mL stainless steel (vessel) Buchi reactor system equipped with a propeller-like stirrer (1000 rpm) and injection barrel. Co-catalyst diluted in 95 mL of desired solvent and pre-catalyst mixture (containing Cr(acac)3 and ligand dissolved in 5 mL of chlorobenzene) was charged to the reactor and pressurized with ethylene at 45 bar at the required temperature. The reaction temperature was maintained constant during the reaction by circulating hot oil in the jacket and by allowing the cool liquid to flow from the chiller through the cooling coil present inside the reactor vessel. SCADA software was used to control the reaction temperature and pressure of the reactor precisely using an electronic controller. Ethylene was fed on demand to keep the reactor pressure constant, and the uptake was monitored using a mass flow controller (MFC). After the desired reaction time, 2 mL methanol was injected to quench the reaction, which was then cooled and depressurized slowly to atmospheric pressure. The small portion of the crude products was filtered and analyzed via GC-FID using nonane as the internal standard. The remaining mixture was added to 50 mL of acidic methanol (5% HCl), and the polymeric products were recovered by filtration and washed with distilled water (3 × 50 mL), followed by drying at 60 °C under vacuum.
4. Conclusions
In summary, a systematic study was undertaken to evaluate the effect of a fused polyaromatic N-aryl substitution of the PNP-type ligands towards a Cr-catalyzed ethylene tetramerization reaction. The catalytic results show that by judiciously selecting the ligand structure capable of exhibiting different degrees of steric profiles around the catalytic Cr-center, product selectivity could be altered in an amenable manner. A remarkably total alpha selective (94.8 wt%) ethylene tetramerization reaction could be achieved by decorating both the β-position of the N-aryl ligand with an appropriate functional moiety.
5. Patents
Part of this work was considered for a US patent application (18/068659).
Supplementary Materials
The following supporting information can be downloaded at: https://www.mdpi.com/article/10.3390/catal14070441/s1, General Comments and Figures S1–S6.
Author Contributions
Conceptualization, S.B. and E.A.J.; methodology, S.B. and E.A.J.; software, S.B., N.G. and E.A.J.; validation, S.B. and E.A.J.; formal analysis, S.B., E.A.J., A.M. and N.M.; investigation, S.B., E.A.J., N.G. and N.M.; resources, M.E. and E.A.J.; data curation, S.B., A.M., M.K. and E.A.J.; writing—original draft preparation, S.B.; writing—review and editing, S.B., M.E., M.K., N.G. and E.A.J.; visualization, S.B.; supervision, S.B. and E.A.J.; project administration, E.A.J. and M.E.; funding acquisition, E.A.J. All authors have read and agreed to the published version of the manuscript.
Funding
This research was funded by Saudi Aramco, grant number CRP02285.
Data Availability Statement
Data are contained within this article and the Supplementary Materials.
Acknowledgments
The support of IRC-RAC, King Fahd University of Petroleum and Minerals (KFUPM), Dhahran, Saudi Arabia, is highly appreciated. The authors would like to acknowledge the support provided by Saudi Aramco and for funding this project (CRP02285).
Conflicts of Interest
The authors declare no conflicts of interests.
References
- Carter, A.; Cohen, S.A.; Cooley, N.A.; Murphy, A.; Scutt, J.; Wass, D.F. High activity ethylene trimerisation catalysts based on diphosphine ligands. Chem. Commun. 2002, 858–859. [Google Scholar] [CrossRef]
- Dixon, J.T.; Green, M.J.; Hess, F.M.; Morgan, D.H. Advances in selective ethylene trimerization—A critical overview. J. Organomet. Chem. 2004, 689, 3641–3668. [Google Scholar] [CrossRef]
- McGuinness, D.S. Olefin Oligomerization via Metallacycles: Dimerization, Trimerization, Tetramerization, and Beyond. Chem. Rev. 2011, 111, 2321–2341. [Google Scholar] [CrossRef]
- Agapie, T. Selective ethylene oligomerization: Recent advances in chromium catalysis and mechanistic investigations. Coord. Chem. Rev. 2011, 255, 861–880. [Google Scholar] [CrossRef]
- van Leeuwen, P.W.N.M.; Clément, N.D.; Tschan, M.J.L. New processes for the selective production of 1-octene. Coord. Chem. Rev. 2011, 255, 1499–1517. [Google Scholar] [CrossRef]
- Belov, G.P. Tetramerization of ethylene to octene-1 (a review). Pet. Chem. 2012, 52, 139–154. [Google Scholar] [CrossRef]
- Breuil, P.-A.R.; Magna, L.; Olivier-Bourbigou, H. Role of Homogeneous Catalysis in Oligomerization of Olefins: Focus on Selected Examples Based on Group 4 to Group 10 Transition Metal Complexes. Catal. Lett. 2015, 145, 173–192. [Google Scholar] [CrossRef]
- Alferov, K.A.; Belov, G.P.; Meng, Y. Chromium catalysts for selective ethylene oligomerization to 1-hexene and 1-octene: Recent results. Appl. Catal. A 2017, 542, 71–124. [Google Scholar] [CrossRef]
- Bariashir, C.; Huang, C.; Solan, G.A.; Sun, W.H. Recent advances in homogeneous chromium catalyst design for ethylene tri-, tetra-, oligo- and polymerization. Coord. Chem. Rev. 2019, 385, 208–229. [Google Scholar] [CrossRef]
- Hao, B.-B.; Alam, F.; Jiang, Y.; Wang, L.; Fan, H.; Jing, M.; Chen, Y.; Wang, Y.; Jiang, T. Selective Ethylene Tetramerization: An Overview. Inorg. Chem. Front. 2023, 10, 2860–2902. [Google Scholar] [CrossRef]
- Bollmann, A.; Blann, K.; Dixon, J.T.; Hess, F.M.; Killian, E.; Maumela, H.; McGuinness, D.S.; Morgan, D.H.; Neveling, A.; Otto, S.; et al. Ethylene Tetramerization: A New Route to Produce 1-Octene in Exceptionally High Selectivities. J. Am. Chem. Soc. 2004, 126, 14712–14713. [Google Scholar] [CrossRef]
- Overett, M.J.; Blann, K.; Bollmann, A.; Dixon, J.T.; Haasbroek, D.; Killian, E.; Maumela, H.; McGuinness, D.S.; Morgan, D.H. Mechanistic Investigations of the Ethylene Tetramerisation Reaction. J. Am. Chem. Soc. 2005, 127, 10723–10730. [Google Scholar] [CrossRef]
- Blann, K.; Bollmann, A.; de Bod, H.; Dixon, J.T.; Killian, E.; Nongodlwana, P.; Maumela, M.C.; Maumela, H.; McConnell, A.E.; Morgan, D.H.; et al. Ethylene Tetramerisation: Subtle effects exhibited by N-substituted diphosphinoamine ligands. J. Catal. 2007, 249, 244–249. [Google Scholar] [CrossRef]
- Killian, E.; Blann, K.; Bollmann, A.; Dixon, J.T.; Kuhlmann, S.; Maumela, M.C.; Maumela, H.; Morgan, D.H.; Nongodlwana, P.; Overett, M.J.; et al. The use of bis(diphenylphosphino)amines with N-aryl functionalities in selective ethylene tri- and tetramerisation. J. Mol. Catal. A Chem. 2007, 270, 214–218. [Google Scholar] [CrossRef]
- Kim, S.-K.; Kim, T.-J.; Chung, J.-H.; Hahn, T.-K.; Chae, S.-S.; Lee, H.-S.; Cheong, M.; Kang, S.O. Bimetallic Ethylene Tetramerization Catalysts derived from Chiral DPPDME Ligands: Syntheses, Structural Characterizations, and Catalytic Performance of [(DPPDME)CrCl3]2 (DPPDME = S,S- and R,R-chiraphos and meso-achiraphos). Organometallics 2010, 29, 5805–5811. [Google Scholar] [CrossRef]
- Zhang, J.; Wang, X.; Zhang, X.; Wu, W.; Zhang, G.; Xu, S.; Shi, M. Switchable Ethylene Tri-/Tetramerization with High Activity: Subtle Effect Presented by Backbone- Substituent of Carbon-Bridged Diphosphine Ligands. ACS Catal. 2013, 3, 2311–2317. [Google Scholar] [CrossRef]
- Alam, F.; Zhang, L.; Wei, W.; Wang, J.; Chen, Y.; Dong, C.; Jiang, T. Catalytic Systems Based on Chromium (III) Silylated-Diphosphinoamines for Selective Ethylene Tri-/Tetramerization. ACS Catal. 2018, 8, 10836–10845. [Google Scholar] [CrossRef]
- Kim, E.H.; Lee, H.M.; Jeong, M.S.; Ryu, J.Y.; Lee, J.; Lee, B.Y. Methylaluminoxane-Free Chromium Catalytic System for Ethylene Tetramerization. ACS Omega 2017, 2, 765–773. [Google Scholar] [CrossRef]
- Jiang, T.; Zhang, S.; Jiang, X.; Yang, C.; Niu, B.; Ning, Y. The effect of N-aryl bisphosphineamine ligands on the selective ethylene tetramerization. J. Mol. Catal. A Chem. 2008, 279, 90–93. [Google Scholar] [CrossRef]
- Barman, S.; Jaseer, E.A.; Garcia, N.; Elanany, M.; Khawaji, M.; Xu, W.; Lin, S.; Alasiri, H.; Akhtar, M.N.; Theravalappil, R. A rational approach towards selective ethylene oligomerization via PNP-ligand design with an N-triptycene functionality. Chem. Commun. 2022, 58, 10044–10047. [Google Scholar] [CrossRef]
- Jaseer, E.A.; Garcia, N.; Barman, S.; Khawaji, M.; Xu, W.; Alasiri, H.; Peedikakkal, A.M.P.; Akhtar, M.N.; Theravalappil, R. Highly Efficient Ethylene Tetramerization Using Cr Catalysts Constructed with Trifluoromethyl-Substituted N-Aryl PNP Ligands. ACS Omega 2022, 7, 16333–16340. [Google Scholar] [CrossRef]
- Barman, S.; Garcia, N.; Jaseer, E.A.; Elanany, M.; Khawaji, M.; Alasiri, H.; Peedikakkal, A.M.P.; Akhtar, M.N.; Theravalappil, R. Unveiling meta-Alkyloxy/-Silyloxy-Substituted N-Aryl PNP Ligands for Efficient Cr-Catalyzed Ethylene Tetramerization. ACS Omega 2023, 8, 26437–26443. [Google Scholar] [CrossRef]
- Kwon, D.H.; Fuller, J.T.; Kilgore, U.J.; Sydora, O.L.; Bischof, S.M.; Ess, D.H. Computational Transition-State Design Provides Experimentally Verified Cr(P,N) Catalysts for Control of Ethylene Trimerization and Tetramerization. ACS Catal. 2018, 8, 1138–1142. [Google Scholar] [CrossRef]
Disclaimer/Publisher’s Note: The statements, opinions and data contained in all publications are solely those of the individual author(s) and contributor(s) and not of MDPI and/or the editor(s). MDPI and/or the editor(s) disclaim responsibility for any injury to people or property resulting from any ideas, methods, instructions or products referred to in the content. |
© 2024 by the authors. Licensee MDPI, Basel, Switzerland. This article is an open access article distributed under the terms and conditions of the Creative Commons Attribution (CC BY) license (https://creativecommons.org/licenses/by/4.0/).










