Abstract
The aim of this study was to compare the photocatalytic activity of ZnO and four inexpensive TiO2-based pigments in the degradation of tetracyclines, beta-lactams, sulfonamides and non-steroidal anti-inflammatory drugs. TiO2-P25 (Aeroxide®) was used as the reference standard catalyst. For the photocatalytic degradation of selected drugs, kinetics were determined, and intermediates were identified. Efficient drug degradation was observed in the presence of ZnO and TiO2 pigments containing only anatase. The pigment containing a mixture of anatase and rutile was practically inactive. ZnO had the highest photocatalytic activity, higher than the standard. The other pigments were found to be less active than the standard. However, the use of these pigments for drug degradation may be economically justified due to their significantly lower price than TiO2-P25 (Aeroxide®). Seventy-two drug degradation products were identified. The photodegradation process followed pseudo-first-order kinetics. It was found that the degradation products of the tested drugs are very similar regardless of the catalyst used. Only the photodegradation products of diclofenac and consequently its products were significantly different in the presence of ZnO compared to TiO2-containing photocatalysts. It was confirmed that the tested photocatalysts, with the exclusion of FS, could be useful for pharmaceutical degradation.
1. Introduction
Significantly high usage of pharmaceuticals in human and veterinary medicine has been reported for decades. Municipal wastewater contains pharmaceuticals in quantities ranging from nanograms per litre even to micrograms per litre [1,2,3,4]. Drugs enter the environment in large quantities due to insufficiently efficient wastewater treatment systems. Environmental sample analysis conducted to determine the presence of pharmaceuticals confirms their occurrence in soils, surface water and groundwater, marine waters and even samples collected from Antarctic waters [4,5,6,7,8,9,10,11,12,13]. However, particularly high concentrations of pharmaceuticals were found in manure and slurry from livestock [9,14,15]. As an example, Hu et al. [14] detected antibiotics of the tetracycline group in manure at concentrations as high as 183.5 mg/kg and sulfonamides at a concentration of 32.7 mg/kg. Antibiotics from the beta-lactam group are commonly used. Although they are unstable, these antibiotics or their metabolites are detected in environmental samples [16]. Furthermore, high concentrations of non-steroidal anti-inflammatory drugs (NSAIDs) have also been detected in agricultural wastewater samples [17].
The high biological activity of pharmaceuticals implies that they have a strong impact on the biocenosis when released into the environment. Antibiotics at subinhibitory concentrations may cause functional disturbances in soil organisms and may contribute to the generation of drug resistance [2,3,11,18], whereas these drugs at higher than subinhibitory concentrations can have direct toxic effects on biosphere elements. For example, sulfonamides are toxic to algae even at concentrations of about 0.8 µg/L [19]. The chlortetracycline concentration causing an inhibitory effect towards 10% of the Medicago sativa plant population is 7.2 µg/L [9]. Moreover, the no-observed-effect concentration (NOEC) value of diclofenac for the fish Gasterosteus aculeatus is 4.6 µg/L [20].
Photocatalytic degradation initiated by UV light or sunlight has been recognised as an effective method for removing pharmaceuticals from an aquatic environment and wastewater [4,21,22,23,24,25,26]. That process allows complete mineralisation of organic pollutants. However, despite the high efficiency of degradation with photocatalysts, the economic aspect implies a rare use of this process in wastewater treatment technologies. The commercially popular photocatalyst TiO2-P25 (Aeroxide®) requires UV-A irradiation, as it is practically inactive under visible light [27]. New photocatalysts described in the literature are designed for application in processes involving visible light [28,29,30,31,32]. However, very often the production process of such substances is complex and requires the use of expensive reactants, including noble metals or rare-earth elements [28,29]. It is noteworthy that the intensity of UV-A radiation in natural sunlight is high. Thus, the practical use of inexpensive products that exhibit photocatalytic activity in this radiation range can be considered [23,33]. This approach may be more economical than applying expensive catalysts active in visible light. We suggest that the use of industrial pigments containing TiO2 or ZnO as photocatalysts may be beneficial and effective. We also assume that these substances have sufficient photocatalytic activity for removal of pharmaceuticals from the aqueous environment.
The aim of this study was to compare the photocatalytic degradation products and efficiency of selected pharmaceuticals commonly used in animal husbandry (Table 1) in the UV-A-initiated processes in the presence of TiO2-P25 and commercial TiO2- or ZnO-based pigments. The tested pigments are industrial colouring substances with a high degree of opacity. They are used in the manufacture of paints, concretes, plasters, etc. The characteristics of the products used as photocatalysts are given in Table 2.
Table 1.
Characteristics of studied pharmaceuticals.
Table 2.
Characteristics of TiO2-P25 and pigments used as photocatalysts in experiments.
2. Results and Discussion
2.1. Sorption
After mixing the solutions of the studied drugs (Table 1) with the photocatalysts (Table 2), a reduction in the concentration of the drugs was observed prior to the start of the irradiation in some cases. This is due to drug adsorption on the surface of the solid catalyst particles. In experiments with equal doses of the tested photocatalysts (0.5 g/L, Exp. I), in most cases the reduction in drug concentration did not exceed 20%. In the presence of higher doses of the photocatalysts PK20A and CG-100 (Table 2, Exp. II), DCL was adsorbed by more than 90%. This may be of practical significance. On the other hand, the drugs remain in the reaction system because sorption does not result in their degradation. The studied catalysts hardly adsorbed the beta-lactam antibiotics—AMP (max. 2%) and CFX (max. 7%).
2.2. Photocatalytic Degradation Efficiency
Two series of experiments were conducted in which drug solutions were irradiated in the presence of photocatalysts. In the first series of experiments (Table 2, Exp. I), the same catalyst dose of 0.5 g/L was used in all cases. In the second series (Table 2, Exp. II), catalyst doses found to be optimal by previous studies were applied [36]. As an example, Figure 1 shows the changes in AMP concentration observed during Exp. I (Figure 1a) and the corresponding linear function ln(C0/C) = f(t) (Figure 1b).
Figure 1.
Degradation dynamics (a) and the relationship ln(C0/C) = f(t) (b) in an aqueous solution of AMP (0.1 mmol/L) irradiated in the presence of the studied photocatalysts (0.5 g/L).
The AMP concentration decreased during solution irradiation in every studied case. The highest dynamics of this process were recorded in the presence of ZnO and TiO2-P25. In contrast, the reduction in AMP concentration was only about 10% in the presence of FS. It is probable that only adsorption (and not degradation) of this drug occurred during irradiation. This observation can be explained by the fact that irradiation may change the potential of the exposed photocatalyst particles and make drug sorption easier.
The high fit of the results (except for the FS catalyst) to the linear function ln(C0/C) = f(t) (Figure 1b) indicates that AMP degradation, irrespective of the photocatalyst used, followed pseudo-first-order kinetics. The same relationship was determined for the other studied drugs. This confirms that the photodegradation of the studied drugs is a process with pseudo-first-order kinetics. This is also consistent with the generally accepted description of photocatalysis carried out in the presence of TiO2- and ZnO-based catalysts [26,30,32,33,37,38]. From this, reaction rate constants (k) were determined for all reaction systems. The values obtained in Exp. I are shown in Figure 2, and those obtained in Exp. II in Figure 3. Under the conditions used, the direct photolysis rate of the studied drugs is significantly lower than the photocatalytic degradation rate. After 90 min of irradiation, the photolysis rate ranged from 1.5% for SMX to 15% for OXY. The photolysis dynamics are presented in Figure S1 in the Supplementary Materials.
Figure 2.
Overview of the reaction rate constants (k) for the photocatalytic degradation of pharmaceuticals in Exp. I with equal doses (0.5 g/L) of the tested photocatalysts (Table 2).
Figure 3.
Overview of reaction rate constants (k) for photocatalytic degradation of pharmaceuticals in Exp. II using various doses of the tested photocatalysts (Table 2).
All the drugs selected for the study underwent significant photocatalytic degradation under the applied conditions. Their susceptibility to degradation decreased in order: tetracyclines >> NSAIDs > beta-lactams > sulfonamides.
The tested pigments can be applied for photodegradation complex mixtures, often containing several drugs. For this reason, the determination of their average catalytic activity was considered useful. Comparison of the average photocatalytic degradation rates of all tested pharmaceuticals (Figure 4) allows the photocatalysts to be ordered according to decreasing activity:
ZnO > TiO2-P25 > TiO2-CG100 > TiO2-PK20A ≅ TiO2-AV015F >> TiO2-FS.
Figure 4.
Comparison of average reaction rates in experiments with the tested photocatalysts in relation to the reaction rate in the presence of TiO2-P25. The whiskers represent extreme values.
ZnO had the highest activity among the tested photocatalysts. The average degradation rate in the presence of ZnO in Exp. I and Exp. II was higher than with the commercial, popular photocatalyst TiO2-P25, 1.6 times and 1.5 times, respectively (Figure 2 and Figure 3). ZnO exhibited significantly lower activity only towards NSAIDs. This observation may be explained by the fact that at pH 7, both drugs in this group (IBU and DCL) practically exist only in the anionic form [39,40]. Some studies indicate that catalyst suspension particles have a negative charge at pH~7, meaning that non-dissociated molecules are more readily photocatalytically degraded than anions [41]. Moreover, reactions carried out in the presence of ZnO required much more intensive stirring than reactions with the other catalysts. The drug solutions were very difficult to homogenise after the addition of ZnO. On the other hand, when stirring was completed, ZnO sedimented very quickly, which facilitated its removal from the reaction mixture. Some researchers also indicate that ZnO can undergo photochemical corrosion [42] and dissolves in acidic and alkaline solutions. Moreover, zinc compounds exhibit ecotoxic effects [43,44,45,46,47]. These aspects provide important limitations to the ZnO application for the removal of pollutants.
TiO2-P25 (Aeroxide®) and PretioxTM FS contain polymorphic forms of TiO2—anatase and rutile (Table 2). TiO2-P25 contains anatase crystals modified with rutile [37,48,49]. This prevents recombination of electron holes and excited electrons and facilitates an increase in photocatalytic activity. The pigment FS was almost photocatalytically inactive in our experiments (Figure 2, Figure 3 and Figure 4). FS is a simple mixture of both polymorphic TiO2 forms. As rutile is not very photocatalytically active, it is most likely to exhibit a shielding effect.
Photocatalytic activity was exhibited by the tested pigments based only on anatase. Although the average degradation rate of the studied drugs with these catalysts was lower than in the presence of TiO2-P25 (Figure 4), they were more efficient in some individual cases. The photodegradation of tetracyclines in the presence of TiO2-CG100 proceeded at a higher rate compared to TiO2-P25. In addition, in Exp. 1, a higher degradation rate of NSAIDs and sulfonamides was observed with TiO2-AV015F and TiO2-PK20A than TiO2-P25. On the other hand, a comparison of the results of Exp. I and Exp. II indicates that increasing the catalyst dosage (with the exception of FS and PK20A) increased the reaction rate from 38 to 55%.
The results described above indicate that the photocatalyst should be matched to the particular drug. This is important for improving the economic efficiency of the process.
2.3. Photocatalytic Degradation Products of Pharmaceuticals
The solution composition after degradation of pharmaceuticals is influenced by the time, reaction mechanism and photocatalytic reaction rate. Appropriate exposure time can lead to complete mineralisation of drugs. However, in practice, the aim is to decompose drugs to non-toxic organic degradation products (ODPs) [50].
Irradiation of heterogeneous photocatalysts solutions generates electron hole (h+) and excited electron (e*−) pairs, and subsequently hydroxyl (HO•) and superoxide (O2•−) radicals. A reactivity of these radicals is used for the oxidative degradation of pollutants [51,52].
An attack of HO• radicals on an organic compound molecule may result in the following:
- Hydroxyl introduction.
HO• + RH → R-OH + H•
- Hydrogen elimination.
HO• + RH → R• + H2O
or HO• + RH-RH → R=R + H2O + H•
or HO• + R-OH → R=O + H2O + H•
- Cleavage of a carbon–heteroatom bond.
HO• + R-NHR → R-OH + NHR•
- Elimination of an aliphatic radical.
HO• + R-CH3 → R-OH + CH3•
In photocatalytic reactions, h+, as well as other organic radicals or cation radicals formed in subsequent reactions, can also participate [41].
The degradation initiation reactions in the presence of both TiO2 and ZnO exhibit the same mechanism [26,30,32,41,52]. Therefore, solutions after the drug photodegradation with TiO2 or ZnO photocatalysts should have similar qualitative compositions. Figure 5, Figure 6, Figure 7, Figure 8, Figure 9, Figure 10, Figure 11 and Figure 12 show the proposed degradation products of all studied drugs identified in solutions in the presence of TiO2 (excluding TiO2-FS) and ZnO. The identification details are described in Section 3.3. Chromatograms and fragmentation spectra of ODPs are provided in Supplementary Materials (Figures S2–S17 and Tables S2–S9).
Figure 5.
Identified ODPs formed after UV-A irradiation of DOX solution in the presence of tested photocatalysts.
Figure 6.
Identified ODPs formed after UV-A irradiation of OXY solution in the presence of tested photocatalysts.
Figure 7.
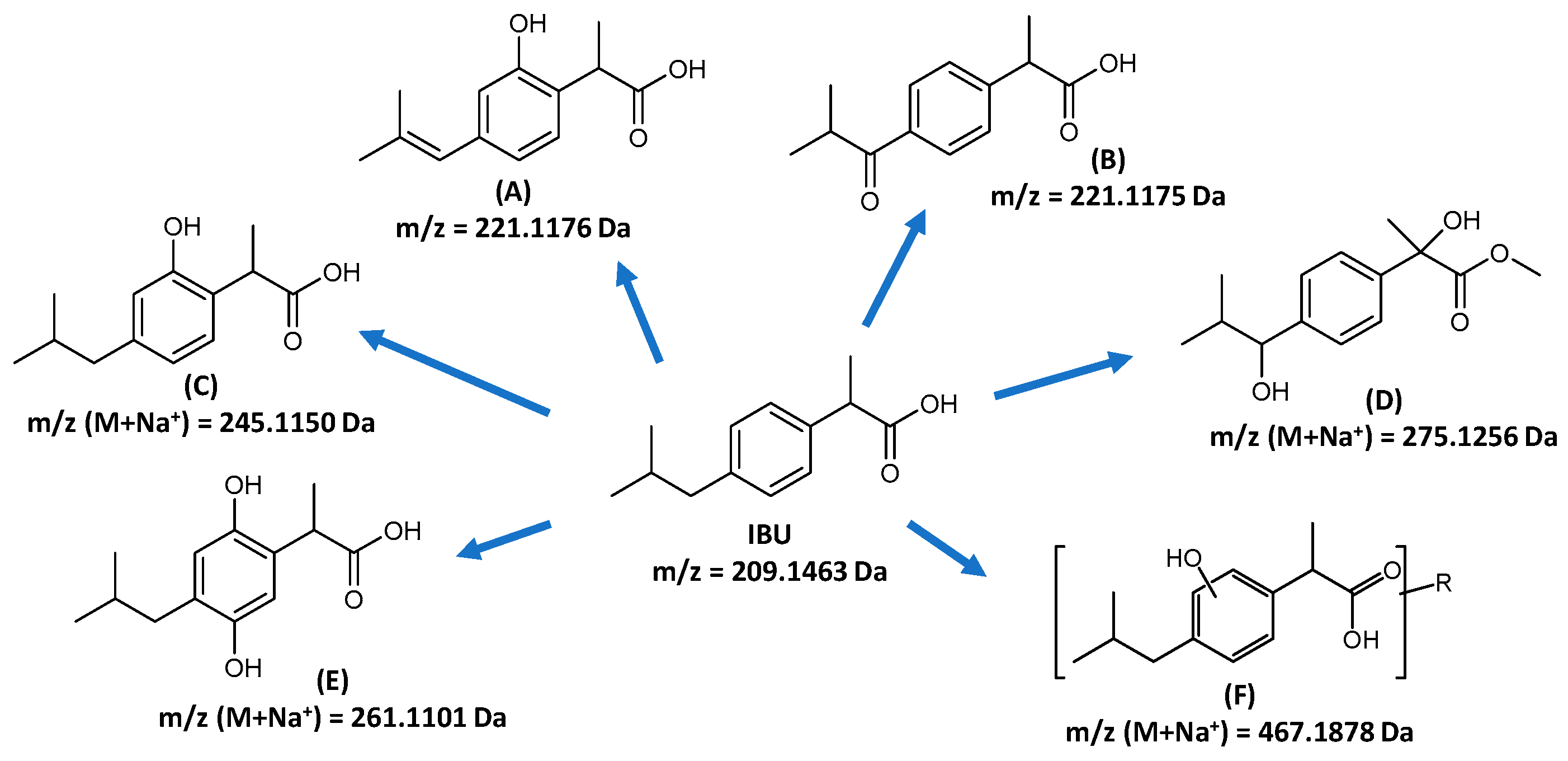
Identified ODPs formed after UV-A irradiation of IBU solution in the presence of tested photocatalysts.
Figure 8.
Identified ODPs formed after UV-A irradiation of DCL solution in the presence of tested photocatalysts.
Figure 9.
Identified ODPs formed after UV-A irradiation of AMP solution in the presence of tested photocatalysts.
Figure 10.
Identified ODPs formed after UV-A irradiation of CFX solution in the presence of tested photocatalysts.
Figure 11.
Identified ODPs formed after UV-A irradiation of SMX solution in the presence of tested photocatalysts.
Figure 12.
Identified ODPs formed after UV-A irradiation of STZ solution in the presence of tested photocatalysts.
The ODPs marked B, C, D, E, H and J (Figure 5) were found in solutions after DOX degradation carried out in the presence of both TiO2 and ZnO photocatalysts. ODPs A, F and G were present in the solutions after the reaction conducted with TiO2 photocatalysts, while product I was detected only in the solution with ZnO.
The ODPs marked E, F, H, I, J, K, L and M were identified in solutions after OXY photodegradation conducted in the presence of both TiO2 and ZnO photocatalysts (Figure 6). Products A, B, C, D, G and H were present in solutions with TiO2 photocatalysts only.
In our opinion, the observed different photodegradation products of the studied tetracyclines in the presence of TiO2 and ZnO catalysts are the result of differences in the subsequent reaction. Most likely, in the presence of ZnO, some of the intermediates undergo rapid further transformations, and their concentration in solution decreases below the detection level.
According to He et al. [51], the heterogeneous photocatalytic degradation of tetracyclines is initiated by the elimination of N-methyl groups. However, some of the ODPs we identified have retained the N-methyl groups described above. Moreover, we identified possible hydroxylation products of the aromatic ring (number 4) A, B, F and J (Figure 5) and A, B, E and G (Figure 6). On the other hand, Wu et al. [53] indicated the elimination of the methyl and hydroxyl groups from ring number 3 as the first step in the degradation of tetracyclines in the presence of TiO2-P25.
The formation of reaction products of tetracyclines with HO• radicals was reported by Zhao et al. [54]. Also, the other identified ODPs may be formed by reaction with HO• radicals or with radicals generated by propagation (e.g., H•).
The ODPs of IBU (Figure 7), with the exception of product A, were determined in solutions after degradation conducted with TiO2 and ZnO photocatalysts. Compound A was detected only in solutions irradiated in the presence of TiO2 photocatalysts. The reason for this may be a difference in the subsequent reaction rate depending on the used photocatalyst, as in the case of tetracyclines.
The ODPs, marked A, E, F, E and G, were found in solutions after DCL photodegradation (Figure 8) conducted in the presence of both TiO2 and ZnO photocatalysts. The structures of these ODPs of NSAID photodegradation indicate that they may have been formed by reactions involving HO• radicals [55,56].
The products B, C and D (Figure 8) were present in the post-reaction solutions in which the ZnO photocatalyst was applied. These compounds were formed by chlorine atom elimination and cyclisation. The presence of such products of photocatalytic DCL degradation was also described by Martinez et al. [57]. Significantly, subsequent reaction products with chlorine radicals were not detected. The absence of chlorine radicals suggests that the reaction occurs via chloride ion detachment:
e*− + R-Cl → R• + Cl−
The resulting organic radical then undergoes cyclisation.
Most likely, ZnO under the applied conditions (to a much greater extent than TiO2) was involved in charge transfer to the chlorine atom, or the reaction products were determined by steric interaction between the ZnO surface and the DCL molecule.
Solutions after photocatalytic degradation of beta-lactam antibiotics in the presence of TiO2 or ZnO had an identical qualitative composition (Figure 9 and Figure 10). The identified AMP degradation products were mainly formed by the attack of the HO• radical on the lactam and aromatic ring. Products of amine group oxidation were also observed. This photodegradation mechanism for beta-lactam antibiotics was described, inter alia, by Belháčová et al. [58]. These authors also suggested a pathway for the elimination of the carboxyl group by h+.
For CFX, the ODPs we proposed indicate that the drug reacts with a highly oxidising reactant. Thus, the compounds obtained could have resulted from reactions with HO• radicals. The product marked D is questionable. However, there is limited information on CFX degradation pathways in advanced oxidation processes in the available literature.
In contrast, pathways for the photocatalytic degradation of sulfonamides have been investigated in many studies. The products described therein were obtained by aromatic ring hydroxylation, amide group hydrolysis, amine nitrogen oxidation or heterocyclic ring opening. The SMX photodegradation products shown in Figure 11 (with the exception of product I) were formed in the presence of both TiO2 and ZnO photocatalysts. Compound I was identified only in solution after ZnO-catalysed photodegradation. It is probable that it was not previously described as a product of SMX degradation with a photocatalyst. Nevertheless, all identified compounds could have been formed by reactions with HO• radicals. This thesis is supported by previous studies, in which the same products of SMX photodegradation involving HO• radicals were described [50,55,59,60].
The ODPs marked A, B, C, D and F were identified after STZ degradation in the presence of TiO2 photocatalysts, while ODPs A, C and E were determined in the post-reaction mixture involving ZnO (Figure 12). In our opinion, the difference in the resulting products is not of significant importance, and this discrepancy may be due to differences in the subsequent reaction rates (as in the case of tetracyclines and IBU).
All identified ODPs could have been formed by reactions involving HO• radicals.
The complex ODPs shown above were present in solutions irradiated for the time needed only to degrade the tested pharmaceuticals. Further irradiation results in degradation reactions of these ODPs to more simple, organic aliphatic compounds [51,61]. The obtained compounds do not cause a significant increase in environmental risk [50]. Thus, their identification was not attempted. On the other hand, the irradiation time of the solutions for their complete mineralisation is many times longer than the time needed to deactivate their potential ecotoxicity [62]. Therefore, photocatalytic mineralisation of solutions containing pharmaceuticals increases the cost of the process and is not necessary.
3. Materials and Methods
3.1. Materials
The characteristics of the drugs subjected to photocatalytic degradation are given in Table 1.
The characteristics of the commercial products used as catalysts for the photodegradation of the studied pharmaceuticals are given in Table 2.
In addition, a solution of sodium hydroxide at 0.1 mol/L (puriss p.a., Chempur, Piekary Śląskie, Poland), water (for LC-MS Chromasolv®; Fluka-Analytical, Buchs, Switzerland), acetonitrile (for LC-MS LiChrosolv®; Supelco, Bellefonte, PA, USA) and formic acid (98–100%, for LC-MS, LiChropur®; Supelco, Bellefonte, PA, USA) was used in the experiments.
3.2. Photocatalytic Process
For all experiments, solutions of pharmaceuticals were prepared at a concentration of 0.1 mmol/L in deionised water (conductivity < 6 µS/cm). The pH of the solutions was adjusted to 6.5–7 with hydrochloric acid (1.0 mol/L) or sodium hydroxide (1.0 mol/L). Then, 100 mL of each of the tested solutions was placed into six glass crystallisers (500 mL), and, in the dark, weighed amounts of photocatalysts (Table 1) were added. Experiment I was conducted using equal amounts of photocatalysts and Experiment II with amounts determined to be optimal based on previous studies [36]. The resulting mixtures were stirred for 20 min in the dark to establish the adsorption equilibrium. Then, without stopping the mixing, they were irradiated using fluorescent lamps (ACTYNIC BL TL 40 W/10, λmax = 366 nm, Philips, Amsterdam, The Netherlands) with UV-A radiation at an intensity of 13.6 W/m2. UV-A irradiance was monitored using a quantum-photometric radiometer (Delta OHM DO972, Caselle Di Selvazzano, Italy). Throughout the experiments, the irradiated mixtures were in free contact with atmospheric air, and their temperature was 295 ± 1 K. Samples were collected from the mixtures before irradiation and after 5, 15, 30, 60 and 90 min of irradiation, filtered using syringe filters (nylon filter, 25 mm × 0.45 µm, Labfil, Hangzhou, China) and analysed immediately. The reaction kinetics were determined from three series of experiments. In each series, all catalysts were tested simultaneously.
3.3. UPLC and MS Analysis
Solution samples were analysed using a UPLC system (ACQUITY UPLC I Class System; column ACQUITY UPLC BEH C18, 130 Å, 1.7 µm, 2.1 mm × 100 mm; detectors: PDA, Waters, Milford, MA, USA) coupled to mass spectrometry (Xevo G2-XS Waters, Milford, MA, USA). A mixture in gradient of water with 0.01% formic acid and acetonitrile with 0.01% formic acid was used as the mobile phase. The details of the chromatographic separation and molecular ion fragmentation are given in Table S1, Supplementary Materials.
Organic degradation products (ODPs) were selected by comparing chromatograms of samples recorded using a QTof detector before and after UV-A irradiation. The m/z values of the ODPs monoisotopic molecular ions were determined precisely (<5 ppm), and their fragmentation and identification of daughter ions were performed. Chromatograms and spectra (MS and MSMS) were analysed with the MassLynx V 4.1 application.
Low-molecular aliphatic reaction products were not identified.
The kinetics of the photocatalytic process were determined by changes in drug concentration in the irradiated solutions.
4. Conclusions
All the investigated pharmaceuticals can be efficiently removed from the aqueous environment by photocatalytic degradation. Their susceptibility to this process increases from sulfonamides, through beta-lactam antibiotics and NSAIDs, to tetracyclines. ZnO exhibited the highest photocatalytic activity among the investigated catalysts. In the presence of ZnO, the degradation rates of the studied drugs (with the exception of NSAIDs) were significantly higher than in the reaction using the commercial photocatalyst TiO2-P25, applied as a reference. In addition, ZnO is significantly cheaper than TiO2-P25 (Aeroxide®). However, the use of ZnO is limited due to the potential negative environmental impact of zinc and its compounds. From the remaining tested TiO2-based catalysts, photoactivity was exhibited by those containing only anatase. They were generally less active than TiO2-P25. On the other hand, the degradation rate of tetracyclines with the TiO2-CG-100 photocatalyst was even slightly higher than in the presence of TiO2-P25. The product containing a mixture of anatase and rutile (FS) was practically photocatalytically inactive in our experiments.
In all, 72 complex products of photocatalytic degradation of the studied pharmaceuticals were identified. In most experiments, the same products were detected in the solutions after photocatalytic degradation conducted in the presence of TiO2-P25, ZnO and the tested pigments. Only the degradation of DCLs took a different course in the presence of ZnO and TiO2-based photocatalysts, leading to differing products.
In view of economic considerations, the application of the tested products, especially CG-100, for the removal of pharmaceuticals from aqueous solutions can provide satisfactory results at considerably reduced costs compared to the use of TiO2-P25 (Aeroxide®).
Supplementary Materials
The following supporting information can be downloaded at: https://www.mdpi.com/article/10.3390/catal15010020/s1. Figure S1. Degradation dynamics and the relationship ln (C0/C) = f(t) in aqueous solutions of studied drugs (C0 = 0.1 mmol/L) during UV-A irradiation. UV-A intensity was 13.6 W/m2. pH of all solutions was natural (in the range 5.5-6.6, without corrections). The experiments were conducted in a way that excluded contact of the solutions with traces of photocatalysts or other photosensitisers; Figure S2. Chromatogram and MSMS spectrum of the solution containing DOX; Figure S3. Chromatogram of the solution containing DOX degradation products; Figure S4. Chromatogram and MSMS spectrum of the solution containing OXY; Figure S5. Chromatogram of the solution containing OXY degradation products; Figure S6. Chromatogram and MSMS spectrum of the solution containing IBU; Figure S7. Chromatogram of the solution containing IBU degradation products; Figure S8. Chromatogram and MSMS spectrum of the solution containing DCL; Figure S9. Chromatogram of the solution containing DCL degradation products; Figure S10. Chromatogram and MSMS spectrum of the solution containing AMP; Figure S11. Chromatogram of the solution containing AMP degradation products; Figure S12. Chromatogram and MSMS spectrum of the solution containing CFX; Figure S13. Chromatogram of the solution containing CFX degradation products; Figure S14. Chromatogram and MSMS spectrum of the solution containing SMX; Figure S15. Chromatogram of the solution containing SMX degradation products; Figure S16. Chromatogram and MSMS spectrum of the solution containing STZ; Figure S17. Chromatogram of the solution containing STZ degradation products; Table S1. Detailed data for the analytical procedure and the mobile phase compositions; Table S2. Detailed LC-MS/MS data analysis of solutions after DOX photocatalysis; Table S3. Detailed LC-MS/MS data analysis of solutions after OXY photocatalysis; Table S4. Detailed LC-MS/MS data analysis of solutions after IBU photocatalysis; Table S5. Detailed LC-MS/MS data analysis of solutions after DCL photocatalysis; Table S6. Detailed LC-MS/MS data analysis of solutions after AMP photocatalysis; Table S7. Detailed LC-MS/MS data analysis of solutions after CFX photocatalysis; Table S8. Detailed LC-MS/MS data analysis of solutions after SMX photocatalysis; Table S9. Detailed LC-MS/MS data analysis of solutions after STZ photocatalysis.
Author Contributions
Conceptualisation, D.M.-K. and W.B.; methodology, W.B.; investigation, D.M.-K. and W.B.; data curation, D.M.-K.; writing—original draft preparation, D.M.-K. and W.B.; project administration, W.B.; funding acquisition, W.B. All authors have read and agreed to the published version of the manuscript.
Funding
The research was funded by the Medical University of Silesia, grant number BNW-1-062/K/4/F.
Data Availability Statement
The data presented in this study are available on request from the corresponding author. The data are not publicity available due to the very large sizes of the chromatographic files.
Acknowledgments
We acknowledge the company ZWUKSO Sp. z o.o. Sp.k., Siemianowice Sl., Poland, for providing the TiO2 samples.
Conflicts of Interest
The authors declare no conflicts of interest.
References
- Hernández-Tenorio, R.; González-Juárez, E.; Guzmán-Mar, J.L.; Hinojosa-Reyes, L.; Hernández-Ramírez, A. Review of Occurrence of Pharmaceuticals Worldwide for Estimating Concentration Ranges in Aquatic Environments at the End of the Last Decade. J. Hazard. Mater. Adv. 2022, 8, 100172. [Google Scholar] [CrossRef]
- Zhu, L.; Lin, X.; Di, Z.; Cheng, F.; Xu, J. Occurrence, Risks, and Removal Methods of Antibiotics in Urban Wastewater Treatment Systems: A Review. Water 2024, 16, 3428. [Google Scholar] [CrossRef]
- Wang, J.; Chu, L.; Wojnárovits, L.; Takács, E. Occurrence and Fate of Antibiotics, Antibiotic Resistant Genes (ARGs) and Antibiotic Resistant Bacteria (ARB) in Municipal Wastewater Treatment Plant: An Overview. Sci. Total Environ. 2020, 744, 140997. [Google Scholar] [CrossRef] [PubMed]
- Ruziwa, D.T.; Oluwalana, A.E.; Mupa, M.; Meili, L.; Selvasembian, R.; Nindi, M.M.; Sillanpaa, M.; Gwenzi, W.; Chaukura, N. Pharmaceuticals in Wastewater and Their Photocatalytic Degradation Using Nano-Enabled Photocatalysts. J. Water Process Eng. 2023, 54, 103880. [Google Scholar] [CrossRef]
- Hernández, F.; Calısto-Ulloa, N.; Gómez-Fuentes, C.; Gómez, M.; Ferrer, J.; González-Rocha, G.; Bello-Toledo, H.; Botero-Coy, A.M.; Boıx, C.; Ibáñez, M.; et al. Occurrence of Antibiotics and Bacterial Resistance in Wastewater and Sea Water from the Antarctic. J. Hazard. Mater. 2019, 363, 447–456. [Google Scholar] [CrossRef] [PubMed]
- Maghsodian, Z.; Sanati, A.M.; Mashifana, T.; Sillanpää, M.; Feng, S.; Nhat, T.; Ramavandi, B. Occurrence and Distribution of Antibiotics in the Water, Sediment, and Biota of Freshwater and Marine Environments: A Review. Antibiotics 2022, 11, 1461. [Google Scholar] [CrossRef]
- Manbohi, A.; Rahnama, R.; Taheri, M.; Hamzeh, M.A.; Hamzehpour, A. Antibiotics in Surface Waters of the South Caspian Sea: Occurrence, Spatial Distribution and Ecological Risks. Environ. Res. 2024, 261, 119709. [Google Scholar] [CrossRef]
- Rastogi, A.; Tiwari, M.K.; Ghangrekar, M.M. A Review on Environmental Occurrence, Toxicity and Microbial Degradation of Non-Steroidal Anti-Inflammatory Drugs (NSAIDs). J. Environ. Manag. 2021, 300, 113694. [Google Scholar] [CrossRef]
- Scaria, J.; Anupama, K.V.; Nidheesh, P.V. Tetracyclines in the Environment: An Overview on the Occurrence, Fate, Toxicity, Detection, Removal Methods, and Sludge Management. Sci. Total Environ. 2021, 771, 145291. [Google Scholar] [CrossRef]
- Waleng, N.J.; Nomngongo, P.N. Occurrence of Pharmaceuticals in the Environmental Waters: African and Asian Perspectives. Environ. Chem. Ecotoxicol. 2022, 4, 50–66. [Google Scholar] [CrossRef]
- Mheidli, N.; Malli, A.; Mansour, F.; Al-Hindi, M. Occurrence and Risk Assessment of Pharmaceuticals in Surface Waters of the Middle East and North Africa: A Review. Sci. Total Environ. 2022, 851, 158302. [Google Scholar] [CrossRef] [PubMed]
- Nguyen, M.-K.; Lin, C.; Nguyen, H.-L.; Hung, N.T.Q.; La, D.D.; Nguyen, X.H.; Chang, S.W.; Chung, W.J.; Nguyen, D.D. Occurrence, Fate, and Potential Risk of Pharmaceutical Pollutants in Agriculture: Challenges and Environmentally Friendly Solutions. Sci. Total Environ. 2023, 899, 165323. [Google Scholar] [CrossRef]
- Pérez-Lucas, G.; Navarro, S. How Pharmaceutical Residues Occur, Behave, and Affect the Soil Environment. J. Xenobiot. 2024, 14, 1343–1377. [Google Scholar] [CrossRef] [PubMed]
- Hu, X.; Zhou, Q.; Luo, Y. Occurrence and Source Analysis of Typical Veterinary Antibiotics in Manure, Soil, Vegetables and Groundwater from Organic Vegetable Bases, Northern China. Environ. Pollut. 2010, 158, 2992–2998. [Google Scholar] [CrossRef] [PubMed]
- Frey, L.; Tanunchai, B.; Glaser, B. Antibiotics Residues in Pig Slurry and Manure and Its Environmental Contamination Potential. A Meta-Analysis. Agron. Sustain. Dev. 2022, 42, 31. [Google Scholar] [CrossRef]
- Sta Ana, K.M.; Madriaga, J.; Espino, M.P. β-Lactam Antibiotics and Antibiotic Resistance in Asian Lakes and Rivers: An Overview of Contamination, Sources and Detection Methods. Environ. Pollut. 2021, 275, 116624. [Google Scholar] [CrossRef] [PubMed]
- Huynh, N.C.; Nguyen, T.T.T.; Nguyen, D.T.C.; Tran, T. Van Occurrence, Toxicity, Impact and Removal of Selected Non-Steroidal Anti-Inflammatory Drugs (NSAIDs): A Review. Sci. Total Environ. 2023, 898, 165317. [Google Scholar] [CrossRef] [PubMed]
- Marszałek, M.; Kowalski, Z.; Makara, A. The Possibility of Contamination of Water-Soil Environment as a Result of the Use of Pig Slurry. Ecol. Chem. Eng. S 2019, 26, 313–330. [Google Scholar] [CrossRef]
- García-Galán, M.J.; Silvia Díaz-Cruz, M.; Barceló, D.; Barceló, D. Combining Chemical Analysis and Ecotoxicity to Determine Environmental Exposure and to Assess Risk from Sulfonamides. TrAC Trend Anal. Chem. 2009, 28, 804–819. [Google Scholar] [CrossRef]
- Leverett, D.; Merrington, G.; Crane, M.; Ryan, J.; Wilson, I. Environmental Quality Standards for Diclofenac Derived under the European Water Framework Directive: 1. Aquatic Organisms. Environ. Sci. Eur. 2021, 33, 133. [Google Scholar] [CrossRef]
- Varma, K.S.; Tayade, R.J.; Shah, K.J.; Joshi, P.A.; Shukla, A.D.; Gandhi, V.G. Photocatalytic Degradation of Pharmaceutical and Pesticide Compounds (PPCs) Using Doped TiO2 Nanomaterials: A Review. Water-Energy Nexus 2020, 3, 46–61. [Google Scholar] [CrossRef]
- Velempini, T.; Prabakaran, E.; Pillay, K. Recent Developments in the Use of Metal Oxides for Photocatalytic Degradation of Pharmaceutical Pollutants in Water—A Review. Mater. Today Chem. 2021, 19, 100380. [Google Scholar] [CrossRef]
- Rueda-Márquez, J.J.; Palacios-Villarreal, C.; Manzano, M.; Blanco, E.; del Solar, M.R.; Levchuk, I. Photocatalytic Degradation of Pharmaceutically Active Compounds (PhACs) in Urban Wastewater Treatment Plants Effluents under Controlled and Natural Solar Irradiation Using Immobilized TiO2. Sol. Energy 2020, 208, 480–492. [Google Scholar] [CrossRef]
- Lin, Y.-C.; Panchangam, S.C.; Liu, L.-C.; Lin, A.Y.-C. The Design of a Sunlight-Focusing and Solar Tracking System: A Potential Application for the Degradation of Pharmaceuticals in Water. Chemosphere 2019, 214, 452–461. [Google Scholar] [CrossRef] [PubMed]
- Fawzi Suleiman Khasawneh, O.; Palaniandy, P. Photocatalytic Degradation of Pharmaceuticals Using TiO2 Based Nanocomposite Catalyst-Review. Civil. Environ. Eng. Rep. 2019, 29, 1–33. [Google Scholar] [CrossRef]
- Majumder, S.; Chatterjee, S.; Basnet, P.; Mukherjee, J. ZnO Based Nanomaterials for Photocatalytic Degradation of Aqueous Pharmaceutical Waste Solutions—A Contemporary Review. Environ. Nanotechnol. Monit. Manag. 2020, 14, 100386. [Google Scholar] [CrossRef]
- Taghdiri, M.; Dadari Doolabi, S. Shift the Photocatalytic Activity of P25 TiO2 Nanoparticles toward the Visible Region upon Surface Modification with Organic Hybrid of Phosphotungstate. Int. J. Photoenergy 2020, 2020, 8870194. [Google Scholar] [CrossRef]
- Mikolajczyk, A.; Wyrzykowska, E.; Mazierski, P.; Grzyb, T.; Wei, Z.; Kowalska, E.; Caicedo, P.N.A.; Zaleska-Medynska, A.; Puzyn, T.; Nadolna, J. Visible-Light Photocatalytic Activity of Rare-Earth-Metal-Doped TiO2: Experimental Analysis and Machine Learning for Virtual Design. Appl. Catal. B Environ. 2024, 346, 123744. [Google Scholar] [CrossRef]
- Hou, X.-G.; Ma, J.; Liu, A.-D.; Li, D.-J.; Huang, M.-D.; Deng, X.-Y. Visible Light Active TiO2 Films Prepared by Electron Beam Deposition of Noble Metals. Nucl. Instrum. Methods Phys. Res. B 2010, 268, 550–554. [Google Scholar] [CrossRef]
- Etacheri, V.; Di Valentin, C.; Schneider, J.; Bahnemann, D.; Pillai, S.C. Visible-Light Activation of TiO2 Photocatalysts: Advances in Theory and Experiments. J. Photochem. Photobiol. C Photochem. Rev. 2015, 25, 1–29. [Google Scholar] [CrossRef]
- Yang, G.; Jiang, Z.; Shi, H.; Xiao, T.; Yan, Z. Preparation of Highly Visible-Light Active N-Doped TiO2 Photocatalyst. J. Mater. Chem. 2010, 20, 5301. [Google Scholar] [CrossRef]
- Rehman, S.; Ullah, R.; Butt, A.M.; Gohar, N.D. Strategies of Making TiO2 and ZnO Visible Light Active. J. Hazard. Mater. 2009, 170, 560–569. [Google Scholar] [CrossRef] [PubMed]
- Adamek, E.; Baran, W.; Ziemiańska-Błaszczyk, J.; Sobczak, A. Immobilisation of TiO2-P25 on a Glass Fibre Mat: Preparation, Photocatalytic Activity and Stability. Sol. Energy 2019, 188, 1232–1242. [Google Scholar] [CrossRef]
- Mora-Hernández, J.M.; Arce-Estrada, E.M.; Zarazúa-Villalobos, L.; Estrada-Flores, M.; Medina-Flores, J.; Reza-San Germán, C. Synthesis and Characterization of Wires-like ZnO Structures Grown on a Graphite Support by Microwave Irradiation. J. Cryst. Growth 2015, 426, 141–146. [Google Scholar] [CrossRef]
- Artesani, A.; Dozzi, M.V.; Toniolo, L.; Valentini, G.; Comelli, D. Experimental Study on the Link between Optical Emission, Crystal Defects and Photocatalytic Activity of Artist Pigments Based on Zinc Oxide. Minerals 2020, 10, 1129. [Google Scholar] [CrossRef]
- Masternak, E.; Baran, W.; Adamek, E. Photocatalytic Degradation of Lincosamides in the Presence of Commercial Pigments: Kinetics, Intermediates, and Predicted Ecotoxicity. Int. J. Mol. Sci. 2024, 25, 13370. [Google Scholar] [CrossRef]
- Fujishima, A.; Zhang, X.; Tryk, D. TiO2 Photocatalysis and Related Surface Phenomena. Surf. Sci. Rep. 2008, 63, 515–582. [Google Scholar] [CrossRef]
- Herrmann, J.-M. Heterogeneous Photocatalysis: Fundamentals and Applications to the Removal of Various Types of Aqueous Pollutants. Catal. Today 1999, 53, 115–129. [Google Scholar] [CrossRef]
- Lara-Pérez, C.; Leyva, E.; Zermeño, B.; Osorio, I.; Montalvo, C.; Moctezuma, E. Photocatalytic Degradation of Diclofenac Sodium Salt: Adsorption and Reaction Kinetic Studies. Environ. Earth Sci. 2020, 79, 277. [Google Scholar] [CrossRef]
- Yamin, M.; Ghouri, Z.K.; Rohman, N.; Syed, J.A.; Skelton, A.; Ahmed, K. Unravelling PH/PKa Influence on PH-Responsive Drug Carriers: Insights from Ibuprofen-Silica Interactions and Comparative Analysis with Carbon Nanotubes, Sulfasalazine, and Alendronate. J. Mol. Graph. Model. 2024, 128, 108720. [Google Scholar] [CrossRef]
- Baran, W.; Cholewiński, M.; Sobczak, A.; Adamek, E. A New Mechanism of the Selective Photodegradation of Antibiotics in the Catalytic System Containing TiO2 and the Inorganic Cations. Int. J. Mol. Sci. 2021, 22, 8696. [Google Scholar] [CrossRef]
- Taylor, C.M.; Ramirez-Canon, A.; Wenk, J.; Mattia, D. Enhancing the Photo-Corrosion Resistance of ZnO Nanowire Photocatalysts. J. Hazard. Mater. 2019, 378, 120799. [Google Scholar] [CrossRef]
- Blinova, I.; Ivask, A.; Heinlaan, M.; Mortimer, M.; Kahru, A. Ecotoxicity of Nanoparticles of CuO and ZnO in Natural Water. Environ. Pollut. 2010, 158, 41–47. [Google Scholar] [CrossRef]
- Babich, H.; Stotzky, G. Toxicity of Zinc to Fungi, Bacteria, and Coliphages: Influence of Chloride Ions. Appl. Environ. Microbiol. 1978, 36, 906–914. [Google Scholar] [CrossRef] [PubMed]
- Hussain, S.; Khan, M.; Sheikh, T.M.M.; Mumtaz, M.Z.; Chohan, T.A.; Shamim, S.; Liu, Y. Zinc Essentiality, Toxicity, and Its Bacterial Bioremediation: A Comprehensive Insight. Front. Microbiol. 2022, 13, 900740. [Google Scholar] [CrossRef]
- Romero-Freire, A.; Lofts, S.; Martín Peinado, F.J.; van Gestel, C.A.M. Effects of Aging and Soil Properties on Zinc Oxide Nanoparticle Availability and Its Ecotoxicological Effects to the Earthworm Eisenia andrei. Environ. Toxicol. Chem. 2017, 36, 137–146. [Google Scholar] [CrossRef]
- Ritchie, E.; Boyd, P.; Lawson-Halasz, A.; Hawari, J.; Saucier, S.; Scroggins, R.; Princz, J. The Ecotoxicity of Zinc and Zinc-containing Substances in Soil with Consideration of Metal-moiety Approaches and Organometal Complexes. Environ. Toxicol. Chem. 2017, 36, 3324–3332. [Google Scholar] [CrossRef] [PubMed]
- Deiana, C.; Minella, M.; Tabacchi, G.; Maurino, V.; Fois, E.; Martra, G. Shape-Controlled TiO2 Nano-particles and TiO2 P25 Interacting with CO and H2O2 Molecular Probes: A Synergic Approach for Surface Structure Recognition and Physico-Chemical Understanding. Phys. Chem. Chem. Phys. 2013, 15, 307–315. [Google Scholar] [CrossRef]
- Hurum, D.C.; Agrios, A.G.; Gray, K.A.; Rajh, T.; Thurnauer, M.C. Explaining the Enhanced Photocata-lytic Activity of Degussa P25 Mixed-Phase TiO2 Using EPR. J. Phys. Chem. B 2003, 107, 4545–4549. [Google Scholar] [CrossRef]
- Sapińska, D.; Adamek, E.; Masternak, E.; Zielińska-Danch, W.; Baran, W. Influence of pH on the Kinetics and Products of Photocatalytic Degradation of Sulfonamides in Aqueous Solutions. Toxics 2022, 10, 655. [Google Scholar] [CrossRef]
- He, X.; Kai, T.; Ding, P. Heterojunction Photocatalysts for Degradation of the Tetracycline Antibiotic: A Review. Environ. Chem. Lett. 2021, 19, 4563–4601. [Google Scholar] [CrossRef] [PubMed]
- Augugliaro, V.; Bellardita, M.; Loddo, V.; Palmisano, G.; Palmisano, L.; Yurdakal, S. Overview on Oxidation Mechanisms of Organic Compounds by TiO2 in Heterogeneous Photocatalysis. J. Photochem. Photobiol. C Photochem. Rev. 2012, 13, 224–245. [Google Scholar] [CrossRef]
- Wu, S.; Hu, H.; Lin, Y.; Zhang, J.; Hu, Y.H. Visible Light Photocatalytic Degradation of Tetracycline over TiO2. Chem. Eng. J. 2020, 382, 122842. [Google Scholar] [CrossRef]
- Zhao, T.; Zheng, M.; Fu, C.; Li, G.; Xiong, Y.; Qiu, W.; Zhang, T.; Zhang, J.; Zheng, C. Effect of Low-Level H2O2 and Fe(II) on the UV Treatment of Tetracycline Antibiotics and the Toxicity of Reaction Solutions to Zebrafish Embryos. Chem. Eng. J. 2020, 394, 125021. [Google Scholar] [CrossRef]
- Patel, M.; Kumar, R.; Kishor, K.; Mlsna, T.; Pittman, C.U.; Mohan, D. Pharmaceuticals of Emerging Concern in Aquatic Systems: Chemistry, Occurrence, Effects, and Removal Methods. Chem. Rev. 2019, 119, 3510–3673. [Google Scholar] [CrossRef]
- Wang, P.; Bu, L.; Wu, Y.; Ma, W.; Zhu, S.; Zhou, S. Mechanistic Insight into the Degradation of Ibuprofen in UV/H2O2 Process via a Combined Experimental and DFT Study. Chemosphere 2021, 267, 128883. [Google Scholar] [CrossRef]
- Martínez, C.; Canle, L.M.; Fernández, M.I.; Santaballa, J.A.; Faria, J. Aqueous Degradation of Diclofenac by Heterogeneous Photocatalysis Using Nanostructured Materials. Appl. Catal. B Environ. 2011, 107, 110–118. [Google Scholar] [CrossRef]
- Belhacova, L.; Bibova, H.; Marikova, T.; Kuchar, M.; Zouzelka, R.; Rathousky, J. Removal of Ampicillin by Heterogeneous Photocatalysis: Combined Experimental and DFT Study. Nanomaterials 2021, 11, 1992. [Google Scholar] [CrossRef]
- Du, J.; Guo, W.; Li, X.; Li, Q.; Wang, B.; Huang, Y.; Ren, N. Degradation of Sulfamethoxazole by a Heterogeneous Fenton-like System with Microscale Zero-Valent Iron: Kinetics, Effect Factors, and Pathways. J. Taiwan. Inst. Chem. Eng. 2017, 81, 232–238. [Google Scholar] [CrossRef]
- Ray, S.K.; Dhakal, D.; Lee, S.W. Insight into Sulfamethoxazole Degradation, Mechanism, and Pathways by AgBr-BaMoO4 Composite Photocatalyst. J. Photochem. Photobiol. A Chem. 2018, 364, 686–695. [Google Scholar] [CrossRef]
- Kar, P.; Shukla, K.; Jain, P.; Sathiyan, G.; Gupta, R.K. Semiconductor Based Photocatalysts for Detoxification of Emerging Pharmaceutical Pollutants from Aquatic Systems: A Critical Review. Nano Mat. Sci. 2021, 3, 25–46. [Google Scholar] [CrossRef]
- Adamek, E.; Baran, W.; Sobczak, A. Photocatalytic Degradation of Veterinary Antibiotics: Biodegradability and Antimicrobial Activity of Intermediates. Process Saf. Environ. 2016, 103, 1–9. [Google Scholar] [CrossRef]
Disclaimer/Publisher’s Note: The statements, opinions and data contained in all publications are solely those of the individual author(s) and contributor(s) and not of MDPI and/or the editor(s). MDPI and/or the editor(s) disclaim responsibility for any injury to people or property resulting from any ideas, methods, instructions or products referred to in the content. |
© 2024 by the authors. Licensee MDPI, Basel, Switzerland. This article is an open access article distributed under the terms and conditions of the Creative Commons Attribution (CC BY) license (https://creativecommons.org/licenses/by/4.0/).











