Abstract
The regulation of the active sites of a catalyst is important for its application. Herein, a series of Ag1Cux/SBA-15 catalysts with different molar ratios of Ag to Cu were synthesized via the impregnation method, and the active sites of Ag1Cux were regulated via various pretreatment conditions. These as-prepared Ag1Cux/SBA-15 catalysts were characterized by many technologies, and their catalytic performance was estimated through CO catalytic oxidation. Among these catalysts, Ag1Cu0.025/SBA-15, with a Ag/Cu molar ratio of 1:0.025 and pretreated under the condition of 500 °C O2/Ar for 2 h, followed by 300 °C H2 for another 2 h, presented optimal CO degradation performance, which could realize the oxidation of 98% CO at 34 °C (T98 = 34 °C). Meanwhile, Ag1Cu0.025/SBA-15 also displayed great reusability. Characterization results, such as X-ray diffraction (XRD), ultraviolet–visible diffuse reflectance spectra (UV-vis DRS), temperature-programmed H2 reduction (H2-TPR), and physical adsorption, suggested that the optimal catalytic performance of Ag1Cu0.025/SBA-15 was ascribed to its high interspersion of Ag nanoparticles, better low-temperature reduction ability, the interaction between Ag and Cu, and its high surface area and large pore volume. This study provides guidance for the regulation of active sites for low-temperature catalytic degradation.
1. Introduction
With the rapid development of modern industry and transportation and the sharp increase in energy consumption, the problems of energy shortage and environmental pollution are becoming increasingly serious [1,2]. The incomplete combustion of fossil fuels results in numerous carbon monoxide (CO) emissions into the environment, which brings serious detriment to the environment and human health. Furthermore, because the affinity of CO for hemoglobin in the human body is 200–300 times higher than that of O2 for hemoglobin, CO easily binds to hemoglobin to form carboxyhemoglobin, causing hemoglobin to lose its ability to bind with oxygen. This leads to the fact that at a relatively low concentration of CO (<300 ppm), CO can be poisonous to the human body [3,4]. Therefore, the removal of CO is very necessary. Generally, the methods used for the elimination of CO are adsorption [5,6], catalytic reduction [7,8], and catalytic oxidation [9,10,11,12]. Among these methods, catalytic oxidation, with the advantage of simple operation and no secondary pollution, has been widely applied in the removal of gaseous pollution, such as volatile organic compounds (VOCs) [13,14,15,16,17,18], nitrogen oxide (NOx) [19,20,21,22], sulfur dioxide (SO2) [23,24], CO [11,25,26], etc. The core component of catalytic oxidation is the catalyst. Thus, the development of high-efficiency catalysts is important for CO oxidation at low temperatures.
The catalysts used for catalytic oxidation could be divided into metal oxide and supported noble metal (SNM) catalysts. Therein, SNM catalysts presented excellent catalytic performance due to the high activity of the noble metal nanoparticles [2]. Among the numerous noble metals, Ag has attracted extensive attention and is applied for catalytic oxidation due to its high catalytic performance and relatively low price. For example, our previous work [27] found that the CeO2-supported Ag catalysts presented great catalytic performance for toluene oxidation. Biabani-Ravandi et al. [28] reported that the introduction of Ag nanoparticles greatly enhanced CO oxidation over Fe2O3 catalysts. However, because of their high surface energy, Ag nanoparticles often aggregate during synthesis or catalytic reactions [29]. The aggregation of Ag nanoparticles induces a decrease in catalytic performance, or even deactivation. Therefore, the choice of carrier materials is essential for highly efficient Ag catalyst design.
Because of their large pore volume and surface area, porous solid materials, such as molecular sieves (MCM-41, ZSM-5, and SBA-15), metal–organic frameworks (MOFs), etc., have been widely employed as adsorbents and catalyst supports [30,31]. Among them, a mesoporous molecular sieve, SBA-15, with its advantages of high pore volume and surface area and great thermal stability, has been widely used as a support for noble metals. Meanwhile, its high porosity could provide anchor sites for the noble metal to improve its dispersion. For example, Qin et al. [32] prepared an Ag/SBA-15 catalyst with highly dispersed Ag nanoparticles by using the mesopore structure for the anchor sites, which presented great catalytic performance for toluene oxidation. Additionally, our previous work [33] also found that Ag nanoparticles could enter the pore channel of SBA-15 and form highly dispersed small Ag nanoparticles, enhancing CO oxidation. Recently, it has been reported that the introduction of promoters, such as alkali metals and transition metals, could promote noble metal dispersion and boost the metal–carrier interaction. For instance, Lee et al. [34] recorded that the introduction of Cu in Al2O3-supported Pt catalysts heightened Pt dispersion, which boosted propane dehydrogenation to produce propylene. Wang et al. [35] found that the addition of Na in SiO2-supported Pt catalysts improved the electronic interaction between the Pt and SiO2 supports, inducing the complete degradation of HCHO at the environmental temperature on the Pt-Na/SiO2 catalyst. Therefore, the catalytic activity of the SNM catalysts could be improved via the addition of a promoter. Additionally, for Ag catalysts, the pretreatment conditions could also influence the dispersion of Ag nanoparticles and active species, adjusting the catalytic activity.
In this work, the mesopore SBA-15 was selected as the support to prepare a series of supported AgCu catalysts with different Ag/Cu molar ratios via the conventional wet-impregnation method. The catalytic activity of the as-synthesized catalysts was studied by CO oxidation. Meanwhile, the active sites were optimized and regulated via different pretreatment conditions. The results showed that the Ag1Cu0.025/S-O-H with the Ag/Cu molar ratio of 1:0.025, pretreated under O2 atmosphere at 500 °C, followed by the 300 °C H2 pretreatment, presented the optimal CO oxidation activity, which realized CO oxidation at room temperature. Characterization results suggested that the high surface area, large pore volume, high dispersion of Ag nanoparticles, low-temperature reducibility, and the strong interaction between Ag and Cu induced its better catalytic performance. This work revealed the influence of pretreatment conditions on the active sites, which could guide the design of high-efficiency-supported catalysts for gaseous pollution elimination.
2. Results and Discussion
2.1. Influence of Ag/Cu Molar Ratio and Pretreated Condition on Catalytic Activity for CO Oxidation
A mesoporous molecular sieve, SBA-15, supported AgCu catalysts (Ag1Cux/SBA-15, x = 0, 0.0125, 0.025, 0.05, 0.25, 0.5, and 1) with Ag/Cu molar ratios of 1:0, 1:0.0125, 1:0.025, 1:0.05, 1:0.25, 1:0.5, and 1:1, and was prepared by the conventional impregnation method, followed by pretreatment under 30.0 vol.% O2/Ar at 500 °C for 2 h. The synthesized catalysts were named Ag1Cux/SBA-15-O and were abbreviated as Ag1Cux/S-O. Then, the as-prepared Ag1Cux/S-O catalysts were further activated under H2 atmosphere at 300 °C for another 2 h to obtain Ag1Cux/S-O-H. The actual Ag and Cu loadings were determined using an inductively coupled plasma optical emission spectrometer (ICP-OES), and the results are summarized in Table 1. In all of the as-prepared catalysts, the actual metal loadings were slightly lower than the theoretical loadings.
Table 1.
The actual metal loadings of the as-prepared Ag1Cux/SBA-15 pretreated under different conditions.
2.1.1. Characterizations of Ag1Cux/S-O and Ag1Cux/S-O-H Catalysts
To investigate the phase composition of the catalysts, the crystalline structure of SBA-15 and its supported AgCu catalysts was determined via X-ray diffraction (XRD). Because the characteristic diffraction peaks of SBA-15 are located in the 2θ < 5°, the narrow-angle XRD patterns of SBA-15 and the supported AgCu catalysts were determined. As shown in Figure 1a, SBA-15 displayed three diffraction peaks at 2θ = 0.89°, 1.51°, and 1.72°, indexed to the (100), (110), and (200) crystal facets, respectively, which corresponded to the 2D hexagonal symmetry of SBA-15 [36]. The result suggested the successful synthesis of the SBA-15 supports [37]. After the introduction of AgCu in the SBA-15 support (Ag1Cu0.025/S-O and Ag1Cu0.25/S-O), the narrow-angle XRD patterns of Ag1Cu0.025/S-O and Ag1Cu0.25/S-O presented a similar XRD peak shapes to that of the SBA-15 support, which suggested the retention of the long-range ordering of the microchannels in the supported AgCu catalysts after the loading of AgCu [38]. However, compared with SBA-15, the diffraction peaks in Ag1Cu0.025/S-O and Ag1Cu0.25/S-O were weakened, which might be attributed to the incorporation of the AgCu metal in the SBA-15 pore channel [38]. Furthermore, the introduction of AgCu species induced the shift of 2θ towards the lower angle, which suggested the changes in the strain, resulting in the increase in structure parameters in the mesoporous sieves [39].
Figure 1.
Narrow-angle XRD patterns (a) of SBA-15, Ag1Cu0.025/S-O and Ag1Cu0.5/S-O; wide-angle XRD patterns of the Ag1Cux/SBA-15 catalysts with different Ag/Cu molar ratios pretreated under different conditions: (b) 30.0 vol.% O2/Ar atmosphere at 500 °C for 2 h and (c) 30.0 vol.% O2/Ar atmosphere at 500 °C for 2 h followed by H2 atmosphere at 300 °C for 2 h.
Further, to investigate the dispersion of Ag and Cu species in the catalysts, the wide-angle XRD patterns in the 2θ range of 10–80° were detected on the Ag1Cux/SBA-15 catalysts pretreated under different atmospheres. Figure 1b displays the wide-angle XRD patterns of Ag1Cux/SBA-15 treated under a 30.0 vol.% O2/Ar atmosphere at 500 °C. As illustrated in Figure 1b, no diffraction peaks about the Ag or Ag2O were observed in Ag1Cux/S-O, which should be ascribed to the high dispersion of the Ag species or its low loadings [40]. After the introduction of Cu, the XRD peaks of Cu or CuO were also not found in the samples of Ag/Cu molar ratios lower than 1:0.25. With the increase in Cu to the Ag/Cu molar ratio of 1:0.5 and 1:1, two weak small diffraction peaks at 35.2° and 48.5°, corresponding to CuO (PDF#44-0706), were found, which also indicated the high interspersion of the Cu in the SBA-15 support. Figure 1c displays the wide-angle XRD patterns of Ag1Cux/S-O-H, which were the Ag1Cux/S-O catalysts treated under H2 atmosphere at 300 °C. As shown in Figure 1c, after the treatment of H2 at 300 °C, the XRD peaks corresponding to the CuO species disappeared. Meanwhile, some new XRD peaks were observed. The XRD peaks at 2θ = 38.1°, 44.3°, 64.4°, and 77.3° were the (111), (200), (220), and (311) crystal phases of Ag nanoparticle (PDF#04-0783), respectively. The peaks at the 2θ of 43.3° and 50.4° were assigned to the (111) and (200) lattice planes of Cu (PDF#04-0836), respectively. The presence of Ag and Cu species suggested that the high valence state of Ag+ and Cu2+ species was reduced via H2 treatment. Compared with Ag1Cu0/S-O-H, the introduction of Cu induced the weakening of Ag diffraction peaks, and the further increase in Cu content resulted in the disappearance of Ag diffraction peaks, which suggested that the introduction of Cu species could improve the dispersion of Ag species. Meanwhile, with Cu content increased, the intensity of XRD peaks of Cu enhanced gradually, which suggested the enhancement of the Cu particle size.
Due to the limitation of XRD for the detection of low-content species and the sensitivity of solid ultraviolet–visible diffuse reflectance (UV-vis DRS) spectra to Ag and Cu species, UV-vis DRS spectra were measured as a complementary method to recognize the Ag and Cu species in the Ag1Cux/S-O and Ag1Cux/S-O-H catalysts. Figure 2a presents the UV-vis DRS spectra of Ag1Cux/S-O. As depicted in Figure 2a, four adsorption peaks appeared at 220, 275, 414, and 600–800 nm. The ultraviolet adsorption peak at 220 nm was assigned to the 4d10–4d95s1 electron transfer of hydrated silver ions [41,42]. The peak at 275 nm was attributed to the Ag cluster characteristic absorbance bands [27]. The wide adsorption peak centered at ~414 nm was due to the plasma resonance in the surface of metallic Ag nanoparticles [43]. The absorbance band between 600 nm and 800 nm was assigned to the d-d orbital electron transition of the highly dispersed Cu2+ species [44]. All the Ag1Cux/S-O catalysts presented the adsorption peaks at 220 and 275 nm, indicating that the Ag species in Ag1Cux/S-O were hydrated silver ions and a small Ag cluster. With the increase in Cu molar ratio in Ag1Cux/S-O, the peak intensity of surface plasma resonance of metallic Ag nanoparticles decreased and disappeared. Meanwhile, the absorbance band between 600 nm and 800 nm was enhanced. This result suggested that Cu could affect the formation of Ag nanoparticles and improve their dispersion. As presented in Figure 2b, after the treatment of H2, the adsorption band between 600 and 800 nm, which is ascribed to the d-d orbital electron transition of Cu2+ species, disappeared in Ag1Cux/S-O-H. Meanwhile, the 4d10–4d95s1 electronic transition of Ag+ also vanished. The results suggested the successful reduction of high-valence-state Cu and Ag species to the metallic state, which was consistent with the XRD results (Figure 1). Additionally, two obvious adsorption bands appeared at ~375 and ~420 nm, which were assigned to the Ag nanoparticles found in all Ag1Cux/S-O-H catalysts. This further confirmed the successful reduction of Ag species. However, the absorbance band at ~230 nm, corresponding to the charge transfer between the ligand O2– and the Cu2+ in CuO, was only observed in Ag1Cu1/S-O-H, which might be attributed to its high Cu content. Meanwhile, the adsorption peak at ~538 nm was ascribed to the Cu2O species. Notably, with the increase in Cu molar ratio in Ag1Cux/S-O-H, the intensity of the adsorption peaks centered at ~375 and ~420 nm was gradually reduced, which also suggested the enhancement of Ag nanoparticle dispersion caused by the addition of Cu species. Furthermore, compared with Ag1Cu0/S-O-H, the addition of Cu in Ag1Cux/S-O-H catalysts induced the redshift; namely, the band shifted to a higher wavelength, to that of Ag nanoparticles (375 nm and 420 nm), which was ascribed to the interaction between Ag and Cu [45]. Therefore, it could be deduced that the O2 treatment followed by H2 treatment induced the formation of Ag-Cu interactions.
Figure 2.
UV-vis DRS spectra of the Ag1Cux/SBA-15 catalysts with different Ag/Cu molar ratios pretreated under different conditions: (a) 30.0 vol.% O2/Ar atmosphere at 500 °C for 2 h and (b) 30.0 vol.% O2/Ar atmosphere at 500 °C for 2 h followed by H2 atmosphere at 300 °C for 2 h.
The redox properties of the as-prepared Ag1Cux/SBA-15 catalysts pretreated under different conditions were studied by temperature-programmed H2 reduction (H2-TPR). For the Ag1Cu0/S-O catalyst (Figure 3a), three reduction peaks were found at 115, 333, and 456 °C, which were assigned to the reduction in surface adsorption oxygen species, Ag2O clusters presented in the outside SBA-15 pores, and small-sized Ag2O clusters in the SBA-15 channels, respectively [46,47]. However, after the introduction of Cu in the catalysts, the reduction peak of surface adsorption oxygen disappeared. Meanwhile, with the improvement in the Cu molar ratio, reduction peaks for CuO species appeared. The reduction peak centered below 200 °C was attributed to the reduction of Cu2+ to Cu+ [45]. The reduction of Cu+ to Cu0 was observed at a higher temperature, at 200–300 °C [48,49]. Notably, as the Cu content increased, some of the Ag2O species reduction peaks shifted to a higher temperature, which indicated that the recommendation of Cu species might weaken the reduction of Ag2O species. Figure 3b depicts the H2-TPR profiles of Ag1Cux/S-O-H catalysts. As shown in Figure 3b, similar to the Ag1Cu0/S-O catalyst, there were also three reduction peaks centered at 119, 334, and 451 °C, corresponding to surface adsorption oxygen species reduction. The Ag2O in the surface of the SBA-15 support and the small Ag2O cluster in the pore channel of SBA-15, respectively, were found in Ag1Cu0/S-O. After Cu species introduction, new peaks located below 200 °C were observed, which were ascribed to the reduction of Cu2O or CuO species in the catalysts. Furthermore, as the Cu molar ratio improved, the reduction peaks below 200 °C were enhanced gradually. However, the reduction peaks of Ag+ species were shifted to higher temperatures. Notably, new weak reduction peaks at 230 and 258 °C, which were assigned to the Ag-Cu interaction, could be found in Ag1Cu0.0125/S-O-H and Ag1Cu0.025/S-O-H, respectively, which suggested the presence of strong Ag-Cu interaction in and Ag1Cu0.025/S-O-H. This was in accord with the result of UV-vis DRS spectra. Additionally, the weakness of these Ag-Cu interaction reduction peaks was ascribed to the ultra-low Cu in Ag1Cu0.0125/S-O-H (0.026 wt%) and Ag1Cu0.025/S-O-H (0.054 wt%). Meanwhile, the low-temperature reducibility could also be found in Ag1Cu0.025/S-O-H. Therefore, the Ag1Cu0.025/S-O-H catalyst with the strong Ag-Cu interaction presented better low-temperature reducibility.
Figure 3.
H2-TPR profiles of the Ag1Cux/SBA-15 catalysts with different Ag/Cu molar ratios pretreated under different conditions: (a) 30.0 vol.% O2/Ar atmosphere at 500 °C for 2 h and (b) 30.0 vol.% O2/Ar atmosphere at 500 °C for 2 h followed by H2 atmosphere at 300 °C for 2 h.
2.1.2. Catalytic Performance of Ag1Cux/S-O and Ag1Cux/S-O-H for CO Oxidation
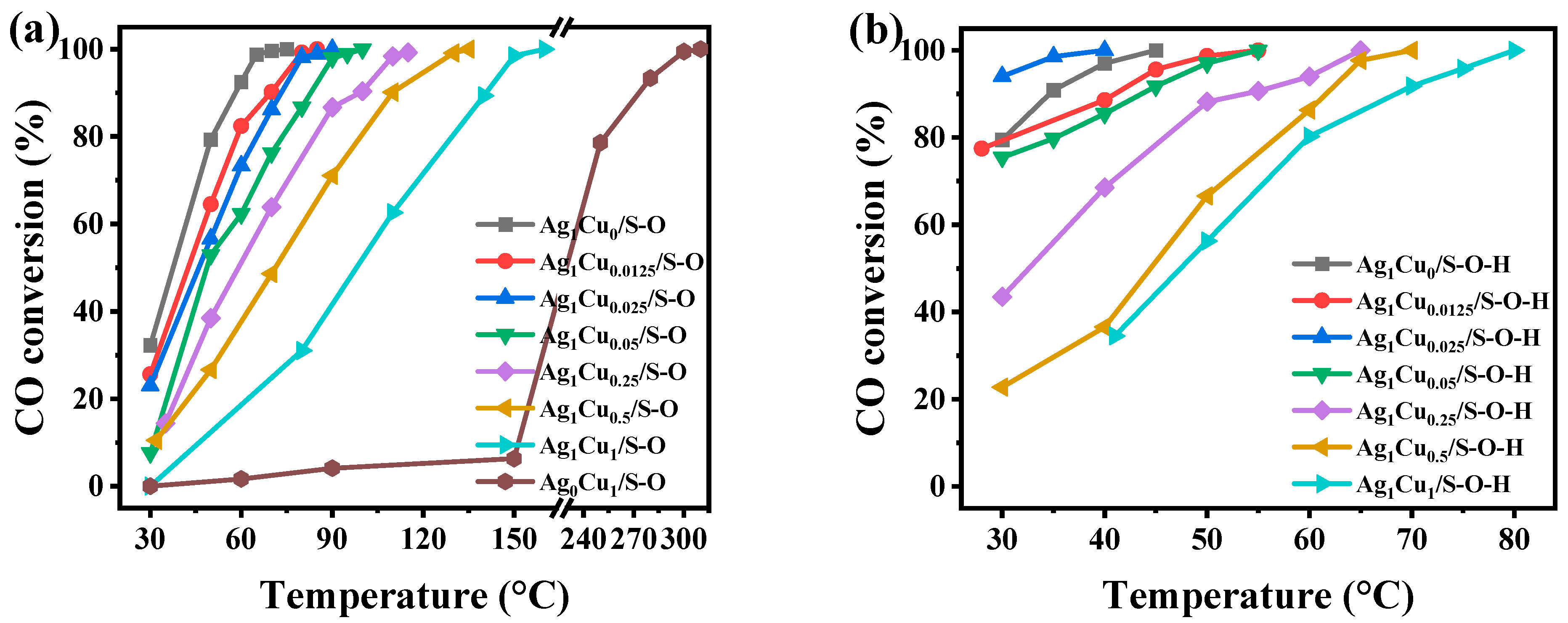
The catalytic activity of the as-prepared Ag1Cux/S-O and Ag1Cux/S-O-H catalysts was evaluated by using CO as the probe molecule, and the catalytic performance was depicted in Figure 4. Meanwhile, the temperatures of CO conversion at 50% and 98% (T50 and T98) were selected to estimate the catalyst’s performance, and the corresponding values are summarized in Table 2. Figure 4a depicts the temperature-dependent CO conversions over the Ag1Cux/S-O catalysts for CO oxidation in the range of 30–160 °C, and the corresponding T50 and T98 values are itemized in Table 2. As presented in Figure 4a and Table 2, Ag1Cu0/S-O could completely oxidize CO at 70 °C with T50 and T98 values of 37 and 65 °C. After the addition of Cu species, the catalytic performance for CO degradation decreased. Meanwhile, as the increase in Cu molar ratio increased, the catalytic performance decreased gradually. The T98 values for Ag1Cu0.0125/S-O, Ag1Cu0.025/S-O, Ag1Cu0.05/S-O, Ag1Cu0.25/S-O, Ag1Cu0.5/S-O, and Ag1Cu1/S-O were 79, 80, 90, 110, 128, and 149 °C, respectively. It had been reported that the Ag species mainly contributed to the catalytic oxidation of CO [50]. Jabłońska et al. [51] also found that the introduction of Cu species in the Ag/Al2O3 catalysts could cause a decrease in catalytic performance for NH3 oxidation, which was ascribed to the generation of CuOx species on the catalyst surface. Herein, the decrease in catalytic performance for CO oxidation could also be found in the Ag1Cux/S-O catalysts after the addition of Cu species, which could also be ascribed to the formation of CuOx species (Figure 1b, Figure 2a, and Figure 3a), preventing the accessibility of CO and the Ag species, resulting in the decrease in catalytic activity. Additionally, to further confirm this point, the Ag0Cu1/S-O, namely the SBA-15-supported Cu catalyst pretreated under a 30.0 vol.% O2/Ar atmosphere, was also prepared for CO oxidation. As depicted in Figure 4a, Ag0Cu1/S-O presented poor CO catalytic performance with a T98 value of 295 °C. This result also demonstrated that the production of CuOx species on the catalyst surface would suppress CO oxidation over the Ag1Cux/S-O catalysts.
Figure 4.
CO conversions of the as-prepared Ag1Cux/SBA-15 catalysts with different Ag/Cu molar ratios pretreated under different conditions for CO oxidation: (a) 30.0 vol.% O2/Ar atmosphere at 500 °C for 2 h and (b) 30.0 vol.% O2/Ar atmosphere at 500 °C for 2 h followed by H2 atmosphere at 300 °C for 2 h.
Table 2.
Catalytic performance of Ag1Cux/SBA-15 catalysts with different Ag/Cu molar ratios, pretreated under different conditions for CO oxidation.
To investigate the effect of pretreatment conditions on the catalytic activity of Ag1Cux/SBA-15 for CO oxidation, Ag1Cux/SBA-15 catalysts were further treated under a H2 atmosphere at 300 °C for 2 h. Because of the inferior catalytic activity of Ag0Cu1/S-O, Ag0Cu1/S-O was not considered in the following test. Figure 4b illustrates the CO conversion over Ag1Cux/S-O-H catalysts at different temperatures. Compared with these unreduced Ag1Cux/S-O catalysts, the further treatment under H2 atmosphere at 300 °C led to greatly improved catalytic activity for CO oxidation. As illustrated in Figure 4b and Table 2, with the addition of Cu, the molar ratio increased, and the catalytic activity for CO oxidation was enhanced first and then weakened. Among these Ag1Cux/S-O-H catalysts, Ag1Cu0.025/S-O-H displayed the optimal CO degradation performance with the lowest T98 value of 34 °C, followed by Ag1Cu0/S-O-H (41 °C), Ag1Cu0.0125/S-O-H (48 °C), Ag1Cu0.05/S-O-H (51 °C), Ag1Cu0.25/S-O-H (63 °C), Ag1Cu0.5/S-O-H (66 °C), and Ag1Cu1/S-O-H (77 °C). Combined with the characterization results, it could be deduced that the H2 reduction could result in the formation of highly active Ag0 species (Figure 1c), which caused the improvement in the catalytic performance of Ag1Cux/S-O-H in comparison to Ag1Cux/S-O. Additionally, compared with Ag1Cu0/S-O-H (T98 = 41 °C), the better catalytic performance of Ag1Cu0.025/S-O-H (T98 = 34 °C) might be attributed to the strong interaction between Ag and Cu species.
2.2. Influence of H2 Treatment Temperature on the Catalytic Activity of CO Oxidation
As mentioned above, the H2 reduction treatment greatly enhanced the catalytic activity of Ag1Cux/S-O for CO degradation. Meanwhile, Ag1Cu0/S-O-H (T98 = 41 °C) and Ag1Cu0.025/S-O-H (T98 = 34 °C) presented better CO degradation activity. Thus, Ag1Cu0/S-O and Ag1Cu0.025/S-O were selected to further investigate the influence of H2 reduction temperatures on CO degradation performance. Ag1Cu0/S-O and Ag1Cu0.025/S-O were treated under 100, 200, 300, and 400 °C to obtain Ag1Cu0/S-O-yH (y = 100, 200, 300 and 400 °C, represented H2 reduction temperature) and Ag1Cu0.025/S-O-yH. Among these reduced catalysts, Ag1Cu0/S-O-300H and Ag1Cu0.025/S-O-300H were further abbreviated as Ag1Cu0/S-O-H and Ag1Cu0.025/S-O-H, respectively.
2.2.1. Characterization of the Ag1Cu0/S-O-yH and Ag1Cu0.025/S-O-yH Catalysts
The crystal structure of Ag1Cu0/S-O-yH and Ag1Cu0.025/S-O-yH catalysts was studied via XRD. Figure 5a displays the XRD patterns of Ag1Cu0/S-O pretreated under an H2 atmosphere at different temperatures. Compared with Ag1Cu0/S-O, as the reduction temperature increased, and the new diffraction peaks, corresponding to Ag species, appeared and were enhanced, which suggested that the H2 treatment induced the reduction of Ag+ species to Ag0 species. Meanwhile, the enhanced diffraction peaks indicated the formation of big Ag nanoparticles, which might be ascribed to the aggregation of Ag species during the high-temperature reduction. Figure 5b presents the XRD patterns of the as-prepared Ag1Cu0.025/S-O-yH catalysts. As illustrated in Figure 5b, compared with Ag1Cu0.25/S-O, H2 reduction treatment induced the generation of Ag species. Meanwhile, with the reduction temperature improved, the diffraction peak intensity of Ag species gradually increased. However, the diffraction peaks corresponding to Cu or CuO species were not observed in Ag1Cu0.025/S-O-yH, which might be attributed to the lower Cu addition of the high interspersion of Cu or CuO species.
Figure 5.
XRD patterns of the Ag1Cu0/SBA-15 (a) and Ag1Cu0.025/SBA-15 (b) catalysts pretreated under 30.0 vol.% O2/Ar atmosphere at 500 °C for 2 h followed by H2 atmosphere at different temperatures for 2 h.
Further, the Ag and Cu species in Ag1Cu0/S-O-yH and Ag1Cu0.025/S-O-yH were studied by UV-vis DRS spectra. Figure 6 displays the UV-vis DRS spectra of Ag1Cu0/S-O-yH and Ag1Cu0.025/S-O-yH. As shown in Figure 6, compared with the oxygen-treated Ag1Cu0/S-O and Ag1Cu0.025/S-O, the further H2 reduction treatment resulted in the formation of Ag nanoparticles, which was in keeping with the XRD results.
Figure 6.
UV-vis DRS spectra of the Ag1Cu0/SBA-15 (a) and Ag1Cu0.025/SBA-15 (b) catalysts pretreated under 30.0 vol.% O2/Ar atmosphere at 500 °C for 2 h, followed by H2 atmosphere at different temperatures for 2 h.
Specific surface area, pore size distribution, and the pore volume of Ag1Cu0/S-O-yH and Ag1Cu0.025/S-O-yH were determined via N2 adsorption–desorption curves. Brunauer–Emmett–Teller (BET) and Barrett–Joyner–Halenda (BJH) methods were applied to evaluate the surface area and pore size distribution of the samples, respectively. Figure 7 shows the N2 adsorption–desorption curves and pore size distribution of Ag1Cu0/S-O-yH and Ag1Cu0.025/S-O-yH, and the corresponding physical parameters were summarized in Table 3. As presented in Figure 7a, all the N2 adsorption–desorption curves of Ag1Cu0/S-O-yH presented a typical IV-typed isotherm attendant by an H1-type hysteresis loop, indicating the existence of the mesopore structure in Ag1Cu0/S-O-yH [52,53]. Meanwhile, the pore size distribution in Figure 7b illustrates a pore size of 3.0–7.7 nm, which also demonstrates the existence of a mesopore structure in the samples. The result suggested the reduction treatment would not influence the pore size of Ag1Cu0/S-O-yH. Notably, the sample treated under an H2 atmosphere at 300 °C, Ag1Cu0/S-O-H, displayed an enhanced peak at 6.5 nm in pore size distribution (Figure 7b), indicating the formation of new pores with a pore size of ~6.5 nm in Ag1Cu0/S-O-H after 300 °C H2 treatment. Meanwhile, the BET surface area and pore volume of Ag1Cu0/S-O-H (503 m2/g and 0.663 cm3/g) were increased in comparison to Ag1Cu0/S-O. Figure 7c,d depict the N2 adsorption–desorption curves of Ag1Cu0.025/S-O-yH catalysts. As displayed in Figure 7c, similar to Ag1Cu0/S-O-yH, all the N2 adsorption–desorption curves of Ag1Cu0.025/S-O-yH catalysts also presented the typical IV-typed isotherm accompanied by an H1-type hysteresis loop. Meanwhile, similar pore size distributions were also observed in Ag1Cu0.025/S-O-yH. Notably, the introduction of Cu could cause the formation of new pores at a pore diameter of ~6.5 nm (Figure 7d). Additionally, compared with Ag1Cu0/S-O-yH, the surface area of Ag1Cu0.025/S-O-yH was decreased, which might be ascribed to the occupation of Cu species in the pore channel, indicating the successful introduction of Cu in Ag1Cu0.025/S-O-yH [54,55]. Furthermore, compared with Ag1Cu0.025/S-O, the BET surface area of Ag1Cu0.025/S-O-yH increased first and then decreased as the reduction temperature increased. Among these, Ag1Cu0.025/S-O-yH presented the largest BET surface area (492 m2/g), pore volume (0.68 cm3/g), and pore size, with a higher pore volume. It had been reported that the large surface area and pore volume would be beneficial for the adsorption and diffusion of substrate molecules, which could improve catalytic performance [56,57].
Figure 7.
N2 adsorption–desorption (a,c) and pore size distribution (b,d) of the Ag1Cu0/SBA-15 (a,b) and Ag1Cu0.025/SBA-15 (c,d) catalysts pretreated under 30.0 vol.% O2/Ar atmosphere at 500 °C for 2 h followed by H2 atmosphere at different temperature for 2 h.
Table 3.
Physical parameter of Ag1Cu0/SBA-15 and Ag1Cu0.025/SBA-15 pretreated under different conditions.
2.2.2. Catalytic Performance of the Ag1Cu0/S-O-yH and Ag1Cu0.025/S-O-yH Catalysts
The catalytic activity of the Ag1Cu0/S-O-yH and Ag1Cu0.025/S-O-yH catalysts was estimated via CO catalytic oxidation. Figure 8 presents the CO conversions of the as-synthesized Ag1Cu0/S-O-yH and Ag1Cu0.025/S-O-yH catalysts for CO degradation, and the corresponding T98 and T50 are listed in Table 4. As displayed in Figure 8a, as the reduction temperature was enhanced, the catalytic performance of these catalysts first increased, and then reached the optimal catalytic activity (T98 = 41 °C) at the reduction temperature of 300 °C. With the further improved reduction temperature of 400 °C, the catalytic activity decreased to T98 = 41 °C, which might be ascribed to the aggregation of Ag nanoparticles induced by the high-temperature reduction. Figure 8b illustrates the temperature-dependent CO conversions over Ag1Cu0.025/S-O-yH in the range of 25–90 °C. As shown in Figure 8b and Table 4, like Ag1Cu0/S-O-yH, the improvement in the reduction temperature resulted in the raising of CO catalytic performance first. With the further increasing reduction in temperature to 400 °C, the CO catalytic performance decreased. The T98 values for Ag1Cu0.025/S-O, Ag1Cu0.025/S-O-100H, Ag1Cu0.025/S-O-200H, Ag1Cu0.025/S-O-H, and Ag1Cu0.025/S-O-400H were 81, 61, 55, 34, and 37 °C, respectively. Apparently, Ag1Cu0.025/S-O-H possessed the best catalytic activity for CO oxidation. Meanwhile, compared with the reported supported CuAg, Ag, Pd, and Pt catalysts [26,58,59,60,61,62,63,64] listed in Table 5, Ag1Cu0.025/S-O-H with low Ag loadings also presented great catalytic performance for CO oxidation.
Figure 8.
CO conversions of the Ag1Cu0/SBA-15 (a) and Ag1Cu0.025/SBA-15 (b) catalysts pretreated under 30.0 vol.% O2/Ar atmosphere at 500 °C for 2 h followed by H2 atmosphere at different temperatures for 2 h for CO oxidation.
Table 4.
Catalytic performance of Ag1Cu0/SBA-15 and Ag1Cu0.025/SBA-15 pretreated under different conditions for CO oxidation.
Table 5.
Comparison of the reported noble metal catalysts for CO oxidation in the literature.
2.3. Discussion
According to the characterization and catalytic performance test results of these SBA-15-supported AgCu catalysts, the optimization of the catalyst was discussed as follows. Firstly, for the only oxygen-treated Ag1Cux/S-O catalysts, the introduction of Cu species caused the formation of CuOx species, which presented poorer catalytic activity than that of Ag species for CO oxidation, occupying the catalyst surface, resulting in the inferior catalytic performance of Ag1Cux/S-O. Then, further reduced by H2, the formation of Ag nanoparticles improved the catalytic performance of Ag1Cux/S-O-H. Meanwhile, the addition of appropriate Cu (Ag/Cu molar ratio of 1:0.025) improved the dispersion of Ag nanoparticles and the low-temperature reducibility. Furthermore, the H2 reduction caused the generation of Ag-Cu interaction and enhanced CO oxidation. Finally, the influence of H2 reduction temperature was investigated. The suitable H2 reduction temperature caused the formation of new pores (~6.5 nm) and improved the surface area and pore volume, which promoted the adsorption and diffusion of CO molecules, boosting CO degradation. Therefore, the pretreatment under the 30.0 vol.% O2/Ar atmosphere at 500 °C, followed by 300 °C H2 and the introduction of appropriate Cu species, resulted in Ag1Cu0.025/S-O-H realizing complete CO oxidation at room temperature (35 °C).
2.4. Catalytic Stability, Effect of Reaction Velocity, and Reusability
Generally, the stability, effect of weight hourly space velocity (WHSV), and reusability of a catalyst are very important for its practical application. Therefore, Ag1Cu0.025/S-O-H, with an optimal CO degradation performance was selected to investigate the stability, influence of WHSV, and reusability. Figure 9a–c display the stability test, WHSV influence, and reusability test of Ag1Cu0.025/S-O-H for CO oxidation. As shown in Figure 9a, Ag1Cu0.025/S-O-H presented great stability for CO oxidation, which could keep ~98% CO conversion at 35 °C for 24 h. Figure 9b depicts the influence of WHSV on Ag1Cu0.025/S-O-H for CO oxidation. The result showed that as the WHSV increased, CO catalytic performance decreased slightly, which might be ascribed to the residence time of CO molecules on the catalyst surface decreasing. As illustrated in Figure 9c, after being reused six times, Ag1Cu0.025/S-O-H maintained excellent catalytic performance in CO oxidation, which suggested its better reusability. Therefore, according to the above analysis, Ag1Cu0.025/S-O-H possessed great stability, resistance to WHSV changes, and reusability.
Figure 9.
Stability (a), the effect of WHSV (b), and reusability (c) of Ag1Cu0.025/S-O-H for CO oxidation.
3. Materials and Methods
3.1. Chemicals
All the reagents were purchased from commercial sources and used directly. Poly(ethylene oxide)-block-poly(propylene oxide)-block-poly(ethylene oxide) (EO20PO70EO20, P123, A.R.) was obtained from Shanghai Adamas Reagent Co., Ltd. (Shanghai, China). Hydrochloric acid (HCl, A.R., 36.0~38.0%), tetrabutyl orthosilicate (TEOS, 98%), anhydrous ethanol (EtOH, A.R., ≥99.7%), silver nitrate (AgNO3, A.R., ≥99.8%), and copper nitrate trihydrate (Cu(NO3)2·3H2O, A.R., 99.0%) were bought from Sinopharm Chemical Reagent Co., Ltd. (Shanghai, China).
3.2. Catalyst Synthesis
3.2.1. Preparation of the Support
SBA-15 support was synthesized following the reported work [65]. The detailed synthesis process is listed as follows: 4.0 g of P123 was added to 125 mL of hydrochloric acid solution (2 mol/L) and stirred at 40 °C until a clear solution was formed. Then, 8.5 g of TEOS was added to the above-clarified solution and stirred for another 4 h. After that, the mixture solution was transferred into the stainless-steel high-pressure reactor and crystallized in an oven at 100 °C for 48 h. After cooling to the environmental temperature, the initial SBA-15 powder could be obtained via centrifugation, washing with deionized water and anhydrous ethanol several times, and drying at 100 °C for 12 h. Finally, the mesopore SBA-15 support could be acquired after calcinating in air at 540 °C for 10 h. The molar ratio of the precursors used for the synthesis of mesopore SBA-15 support was P123:HCl:H2O:TEOS = 0.017:5.8:155:1.
3.2.2. Synthesis of Ag1Cux/SBA-15 Catalysts
The Ag1Cux/SBA-15 catalysts were prepared by the conventional wet-impregnation method according to our previous works [54]. Taking the preparation of Ag1Cu0/SBA-15 as an example, a certain amount of AgNO3 solution was added to 1.0 g of SBA-15 powder under stirring. After the sample was evenly mixed, it was first dried at the environmental temperature for 12 h and then dried in an oven at 80 °C for another 12 h to acquire the Ag1Cu0/SBA-15 catalyst. The theoretical loading of Ag was 4.0 wt% in the Ag1Cu0/SBA-15 catalyst. The Ag1Cux/SBA-15 (x = 0, 0.0125, 0.025, 0.05, 0.25, 0.5 and 1), with Ag/Cu molar ratios of 1:0, 1:0.0125, 1:0.025, 1:0.05, 1:0.25, 1:0.5, and 1:1, could be obtained by tuning the AgNO3 solution to the mixture solution of AgNO3 and Cu(NO3)2. In the Ag1Cux/SBA-15 catalysts, the loading of Ag was fixed at 4.0 wt%. Additionally, for comparison, the Ag0Cu1/SBA-15 was also prepared via the same wet-impregnation method.
To optimize the active sites of the Ag1Cux/SBA-15 catalysts, the Ag1Cux/SBA-15 catalysts were pretreated under different conditions. Firstly, the catalysts were treated under 30.0 vol.% O2/Ar atmosphere at 500 °C for 2 h to obtain the Ag1Cux/SBA-15-O catalysts, abbreviated as Ag1Cux/S-15-O. Then, the Ag1Cux/S-15-O catalysts were further treated in the H2 atmosphere at 300 °C for another 2 h to acquire Ag1Cux/S-15-O-H. Finally, to explore the effect of H2 treatment temperature, the Ag1Cux/S-15-O catalysts were calcinated under an H2 atmosphere at different temperatures for another 2 h to obtain Ag1Cux/S-15-O-yH (y = 25, 100, 200, 300, and 400 °C, representing the H2 treatment temperature) catalysts. Among them, the 300 °C H2 pretreated samples were named Ag1Cux/S-15-O-H.
3.3. Characterizations
The catalysts were characterized by various methods. Detailed information about these characterizations is listed as follows.
(1) XRD patterns were used to measure the crystalline structure of the as-synthesized samples. The XRD patterns were measured in a Bruker D8 Advance X-ray diffractometer (Billerica, MA, USA), equipped with a monochromatic detector and Cu-Kα radiation. During measurement, the working emission current and accelerating voltage were 40 mA and 40 kV, respectively. The narrow-angle XRD patterns were tested in the 2θ range of 0.5–4.5°. The wide-angle XRD patterns were scanned from 10° to 80°.
(2) The UV-vis DRS spectra of the as-prepared catalysts were obtained from a UV-vis spectrometer (UV-2600, Shimadzu, Kyoto, Japan). Before testing, the baseline of the spectrometer was calibrated using BaSO4.
(3) The actual metal loadings of the as-prepared catalysts were determined by ICP-OES (Avio 200, PerkinElmer, Waltham, MA, USA).
(4) An automatic chemical adsorption instrument (ChemBET TPR/TPD, Quantachrome, Boca Raton, FL, USA) equipped with a thermal conductivity detector (TCD) was applied to obtain the H2-TPR profiles of the samples. Generally, 50 mg of the as-synthesized catalyst was added into a U-type quartz tube reactor and pretreated under N2 atmosphere at 105 °C for 30 min. After cooling to 30 °C, the gas was switched to a 10.0 vol.% H2/Ar atmosphere and was left alone for 30 min until the signal was stable. Then, the temperature-programmed process started at 30 and increased to 900 °C at a heating rate of 10 °C/min.
(5) The physical parameters of the catalysts were determined via N2 adsorption–desorption curves in an automatic physical adsorption instrument (Quantachrome Autosorb iQ2, Quantachrome, Boca Raton, FL, USA). Before testing, 60–80 mg of the sample was degassed at 300 °C for 6 h under vacuum. Then, N2 adsorption–desorption curves were determined at 77 K. The surface area was computed by the Brunauer–Emmett–Teller (BET) method. The pore diameter distribution was calculated by the Barrett–Joyner–Halenda (BJH) model based on the desorption branch of the N2 adsorption–desorption curves.
3.4. Catalytic Performance Test
The catalytic activity of the catalysts was evaluated by CO catalytic degradation in a fixed-bed microreactor. Generally, 0.1 g of the catalyst particles (20–40 mesh) were placed in a U-type quartz tube reactor. The reaction gas consisted of 1.0 vol.% CO and 20.0 vol.% O2, and the balanced He. The reaction flow rate was 30 mL/min and regulated using a mass flowmeter. The reaction temperature was controlled by an open-type tubular furnace and measured by thermoelectric coupling. CO concentration in the input and outlet was detected using an online gas chromatograph (GC2060, Ruimin, Shanghai, China) equipped with a TCD and a chromatographic column (5A molecular sieve, 3 m × 3 mm). The CO conversion (XCO) was computed using the formula
where C0 and Ci were the CO concentrations in the inlet and outlet, respectively.
XCO = (C0 − Ci)/Ci × 100%
4. Conclusions
In summary, the mesopore SBA-15-supported AgCu catalysts with different Ag/Cu molar ratios were successfully synthesized via the wet impregnation method. The active sites were regulated by treatment under different atmospheres. It was found that after being treated under an O2 atmosphere, the introduction of Cu species could induce the catalytic activity. The characterization results showed that the Cu species was oxidized to form CuOx species, which occupied the catalyst surface, suppressing CO oxidation. The further H2 treatment caused the formation of Ag nanoparticles, promoting the degradation of CO at low temperatures. Meanwhile, the influence of H2 reduction temperature on CO oxidation was also investigated. Among these SBA-15-supported AgCu catalysts, the Ag1Cu0.025/S-O-H catalyst with a Ag/Cu molar ratio of 1:0.025, and pretreated under 30.0 vol.% O2/Ar atmosphere at 500 °C for 2 h, followed by H2 treatment at 300 °C for another 2 h, presented the optimal CO catalytic performance, which could realize the complete degradation of CO at room temperature (35 °C). The results of serial characterizations, including XRD, UV-vis DRS, H2-TPR, and N2 adsorption–desorption, revealed that the introduction of Cu species and the treatment of O2-H2 could improve the dispersion of Ag nanoparticles, the formation of Ag-Cu interaction, and low-temperature reducibility. Meanwhile, the 300 °C H2 treatment caused the formation of extra pores (~6.5 nm), which caused the enhancement of surface area and pore volume in Ag1Cu0.025/S-O-H. Based on this, Ag1Cu0.025/S-O-H could possess excellent catalytic performance. This work could provide guidance for the tuning of active sites with excellent catalytic performance for CO oxidation.
Author Contributions
F.B.: writing—original draft, funding acquisition, data curation, and formal analysis. H.H.: data curation, formal analysis, and investigation. Y.Z.: investigation, software, and methodology. Y.W. (Yanxuan Wang): methodology and software. Y.W. (Yuxin Wang): methodology and supervision. B.L.: conceptualization and supervision. H.D.: software and validation. X.Z.: writing—review and editing, funding acquisition, and visualization. All authors have read and agreed to the published version of the manuscript.
Funding
This research was funded by the National Natural Science Foundation of China (No. 12175145) and the Shanghai Rising-Star Program (24YF2729800).
Data Availability Statement
The authors declare that all data supporting the findings of this study are available within the article.
Conflicts of Interest
The authors declare that they have no known competing financial interests or personal relationships that could have appeared to influence the work reported in this paper.
References
- Daniels, S.T. Products of incomplete combustion (Ox, COx, HOx, NOx, SOx ROx, MOx and POx). J. Hazard. Mater. 1989, 22, 161–173. [Google Scholar] [CrossRef]
- Zhang, J.; Shu, M.; Niu, Y.; Yi, L.; Yi, H.; Zhou, Y.; Zhao, S.; Tang, X.; Gao, F. Advances in CO catalytic oxidation on typical noble metal catalysts: Mechanism, performance and optimization. Chem. Eng. J. 2024, 495, 153523. [Google Scholar] [CrossRef]
- Goldsmith, J.R.; Landaw, S.A. Carbon Monoxide and Human Health. Science 1968, 162, 1352–1359. [Google Scholar] [CrossRef] [PubMed]
- Cao, M.; Shu, Q.; Zhang, R.; Zhang, Q. Structured Mesh-Type Pt/Mn/γ-Al2O3/Al Catalyst Enhanced the CO Oxidation at Room Temperature by In Situ Generation of Hydroxyl: Behavior and Mechanism. Catalysts 2025, 15, 430. [Google Scholar] [CrossRef]
- Li, Y.; Li, S.; Xue, D.; Liu, X.; Jin, M.; Sun, L. Incorporation of Cu(II) and its selective reduction to Cu(I) within confined spaces: Efficient active sites for CO adsorption. J. Mater. Chem. A 2018, 6, 8930–8939. [Google Scholar] [CrossRef]
- Ko, K.J.; Kim, H.; Cho, Y.H.; Lee, H.; Kim, K.M.; Lee, C.H. Overview of Carbon Monoxide Adsorption Performance of Pristine and Modified Adsorbents. J. Chem. Eng. Data 2022, 67, 1599–1616. [Google Scholar] [CrossRef]
- Dwyer, D.J.; Hardenbergh, J.H. The catalytic reduction of carbon monoxide over iron surfaces: A surface science investigation. J. Catal. 1984, 87, 66–76. [Google Scholar] [CrossRef]
- Huang, B.; Shi, Z.; Yang, Z.; Dai, M.; Wen, Z.; Li, W.; Zi, G.; Luo, L. Mechanism of CO selective catalytic reduction denitration on Fe-Mn/AC catalysts at medium and low temperatures under oxygen atmosphere. Chem. Eng. J. 2022, 446, 137412. [Google Scholar] [CrossRef]
- Liang, C.; Sun, Y.; Li, P.; Jiang, Y.; Sun, X.; Yang, Z. Effect of Mn/Cu Molar Ratios on CO Oxidation Activity of Mn-Cu Bimetallic Catalysts. Catalysts 2025, 15, 353. [Google Scholar] [CrossRef]
- Lyu, Y.; Xu, J.; Chen, S.; Wang, S.; Liu, X. Simultaneous catalytic oxidation of toluene and CO over Cu-V/Al-Ce catalysts: Physicochemical properties-activity relationship and simultaneous oxidation mechanism. J. Hazard. Mater. 2024, 466, 133507. [Google Scholar] [CrossRef]
- Eid, K.; Gamal, A.; Abdullah, A.M. Graphitic carbon nitride-based nanostructures as emergent catalysts for carbon monoxide (CO) oxidation. Green Chem. 2023, 25, 1276–1310. [Google Scholar] [CrossRef]
- Kovalskii, A.M.; Volkov, I.N.; Evdolimenko, N.D.; Tkachenko, O.P.; Leybo, D.V.; Chepkasov, I.V.; Popov, Z.I.; Matveev, A.T.; Manakhov, A.; Permyakova, E.S.; et al. Hexagonal BN- and BNO-supported Au and Pt nanocatalysts in carbon monoxide oxidation and carbon dioxide hydrogenation reactions. Appl. Catal. B 2022, 303, 120891. [Google Scholar] [CrossRef]
- Zhuo, Z.; Wang, Y.; Hu, H.; Wei, J.; Qiao, R.; Bi, F.; Zhang, X. Recent progress of cerium-based catalysts for the catalytic oxidation of volatile organic compounds: A review. Fuel 2025, 399, 135603. [Google Scholar] [CrossRef]
- Yang, Y.; Bi, F.; Wei, J.; Han, X.; Gao, B.; Qiao, R.; Xu, J.; Liu, N.; Zhang, X. Boosting the Photothermal Oxidation of Multicomponent VOCs in Humid Conditions: Synergistic Mechanism of Mn and K in Different Oxygen Activation Pathways. Environ. Sci. Technol. 2025, 59, 11341–11352. [Google Scholar] [CrossRef] [PubMed]
- Guo, L.; Bi, F.; Liu, N.; Zhang, X. Degradation of volatile organic pollutants over manganese-based catalysts by defect engineering: A review. Sep. Purif. Technol. 2025, 362, 131934. [Google Scholar] [CrossRef]
- Li, L.; Zhang, N. Atomic dispersion of bulk/nano metals to atomic-sites catalysts and their application in thermal catalysis. Nano Res. 2023, 16, 6380–6401. [Google Scholar] [CrossRef]
- Xiao, M.; Han, D.; Yang, X.; Yu, J.; Shi, B.; Guo, Y.; Yu, X.; Ge, M. Active Interfacial Perimeter in Pt/CeO2 Catalysts with Embedding Structure for Water-Tolerant Toluene Combustion. Environ. Sci. Technol. 2024, 58, 22808–22817. [Google Scholar] [CrossRef]
- Chen, J.; Wang, Y.; Huang, J.; Ma, S.; Zhang, Y.; Bi, F.; Zhang, X. Electron Beam Irradiation Modified UiO-66 Supported Pt Catalysts for Low-Temperature Ethyl Acetate Catalytic Degradation. Catalysts 2025, 15, 220. [Google Scholar] [CrossRef]
- Zhang, N.; He, C.; Jing, Y.; Qian, Y.; Obuchi, M.; Toyoshima, R.; Kondoh, H.; Oka, K.; Wu, B.; Li, L.; et al. Enhanced Nitrous Oxide Decomposition on Zirconium-Supported Rhodium Catalysts by Iridium Augmentation. Environ. Sci. Technol. 2025, 59, 1598–1607. [Google Scholar] [CrossRef]
- Zhang, N.; He, C.; Jing, Y.; Qian, Y.; Toyao, T.; Shimizu, K. Enhanced N2O decomposition on Rh/ZrO2 catalysts through the promotional effect of palladium. Surf. Interf. 2024, 46, 104120. [Google Scholar] [CrossRef]
- Huang, J.; Tao, H.; Chen, Z.; Zhou, M.; Na, J.; Chen, X.; Zhang, X. Advances in photocatalytic removal of NOx and VOCs from flue gas. Energy Environ. Prot. 2024, 38, 144–154. [Google Scholar]
- Ma, M.; Zhang, R.; Shen, Y.; Zhou, X.; Zhai, Y.; Han, Y.; Wang, D.; Zhang, L.; Song, X.; Fang, D.; et al. Mesoporous Ce-Ti Catalysts Modified by Phosphotungstic Acid and Chitosan for the Synergistic Catalysis of CVOCs and NOx. Catalysts 2025, 15, 119. [Google Scholar] [CrossRef]
- Cao, X.; Liu, Y.; Huang, Q.; Chen, Z.; Sun, J.; Sun, J.; Pang, S.; Liu, P.; Wang, W.; Zhang, Y.; et al. Single Droplet Tweezer Revealing the Reaction Mechanism of Mn(II)-Catalyzed SO2 Oxidation. Environ. Sci. Technol. 2024, 58, 5068–5078. [Google Scholar] [CrossRef] [PubMed]
- Du, Z.; Su, L.; Chen, G.; Deng, Y.; Liu, Y.; Cen, W. Nondissociative activation of O2 for SO2 oxidation on metal-free N-doped carbocatalyst. Surf. Sci. 2022, 723, 122116. [Google Scholar] [CrossRef]
- Le, P.H.; Kitamoto, Y.; Yamashita, S.; Cao, K.L.A.; Hirano, T.; Amen, T.W.M.; Tsunoji, N.; Ogi, T. Macropore-Size Engineering toward Enhancing the Catalytic Performance of CO Oxidation over Three-Way Catalyst Particles. ACS Appl. Mater. Interfaces 2023, 15, 54073–54084. [Google Scholar] [CrossRef]
- Chen, J.; Xiong, S.; Liu, H.; Shi, J.; Mi, J.; Liu, H.; Gong, Z.; Oliviero, L.; Mauge, F.; Li, J. Reverse oxygen spillover triggered by CO adsorption on Sn-doped Pt/TiO2 for low-temperature CO oxidation. Nat. Commun. 2023, 14, 3477. [Google Scholar] [CrossRef]
- Wang, Y.; Bi, F.; Wang, Y.; Jia, M.; Tao, X.; Jin, Y.; Zhang, X. MOF-derived CeO2 supported Ag catalysts for toluene oxidation: The effect of synthesis method. Mol. Catal. 2021, 515, 111922. [Google Scholar] [CrossRef]
- Biabani-Ravandi, A.; Rezaei, M.; Fattah, Z. Catalytic performance of Ag/Fe2O3 for the low temperature oxidation of carbon monoxide. Chem. Eng. J. 2013, 219, 124–130. [Google Scholar] [CrossRef]
- Fu, Y.; Yin, Z.; Qin, L.; Huang, D.; Yi, H.; Liu, X.; Liu, S.; Zhang, M.; Li, B.; Li, L.; et al. Recent progress of noble metals with tailored features in catalytic oxidation for organic pollutants degradation. J. Hazard. Mater. 2022, 422, 126950. [Google Scholar] [CrossRef]
- Xu, W.W.; Dong, M.Y.; Di, L.B.; Zhang, X.L. A Facile Method for Preparing UiO-66 Encapsulated Ru Catalyst and its Application in Plasma-Assisted CO2 Methanation. Nanomaterials 2019, 9, 1432. [Google Scholar] [CrossRef]
- Shesterkina, A.; Zhdanova, C.; Davshan, N.; Medvedev, A.; Kalmykov, K.; Dunaev, S.; Kustov, L.; Kustov, A. CO2 hydro-genation to methanol on the incapsulated Cu-Zn catalyst: Effect of the MCM-41 and SBA-15 supports and the method of preparation on catalytic activity. Green Synth. Catal. 2025. [Google Scholar] [CrossRef]
- Qin, Y.; Qu, Z.; Dong, C.; Huang, N. Effect of pretreatment conditions on catalytic activity of Ag/SBA-15 catalyst for toluene oxidation. Chin. J. Catal. 2017, 38, 1603–1612. [Google Scholar] [CrossRef]
- Zhang, X.; Qu, Z.; Yu, F.; Wang, Y. High-temperature diffusion induced high activity of SBA-15 supported Ag particles for low temperature CO oxidation at room temperature. J. Catal. 2013, 297, 264–271. [Google Scholar] [CrossRef]
- Lee, H.; Kim, W.I.; Jun, K.D.; Koh, H.L. Effect of Cu promoter and alumina phases on Pt/Al2O3 for propane dehydrogenation. Korean J. Chem. Eng. 2017, 345, 1337–1345. [Google Scholar] [CrossRef]
- Wang, J.; He, G.; Wang, C.; Chen, X.; Liu, X.; Li, Y.; Shan, W.; He, H. HCHO oxidation on Pt-Na/SiO2 catalyst with ultralow Pt loading: New insight into the effect of Si support and Na promoter. Appl. Catal. B Environ. Energy 2024, 347, 123787. [Google Scholar] [CrossRef]
- Zhao, D.; Feng, J.; Huo, Q.; Melosh, N.; Fredrickson, G.H.; Chmelka, B.F.; Stucky, G.D. Triblock Copolymer Syntheses of Mesoporous Silica with Periodic 50 to 300 Angstrom Pores. Science 1998, 279, 548–552. [Google Scholar] [CrossRef]
- Hussien, A.G.S.; Dabbawala, A.A.; Anjum, D.H.; Charisiou, N.D.; Almaksoud, W.; AbouHamad, E.; Kobayashi, Y.; Goula, M.A.; Polychronopoulou, K. Merits of the CeLaCuO ternary oxide as promoter of the Ni/SBA-15 catalyst for the dry reforming of methane reaction. Chem. Eng. J. 2024, 496, 153948. [Google Scholar] [CrossRef]
- Sareen, S.; Mutreja, V.; Singh, S.; Pal, B. Highly dispersed Au, Ag and Cu nanoparticles in mesoporous SBA-15 for highly selective catalytic reduction of nitroaromatics. RSC Adv. 2015, 5, 184–190. [Google Scholar] [CrossRef]
- Gu, J.; Huang, Y.; Elangovan, S.P.; Li, Y.; Zhao, W.; Toshio, I.; Yamazaki, Y.; Shi, J. Highly Dispersed Copper Species within SBA-15 Introduced by the Hydrophobic Core of a Surfactant Micelle as a Carrier and Their Enhanced Catalytic Activity for Cyclohexane Oxidation. J. Phys. Chem. C 2011, 115, 21211–21217. [Google Scholar] [CrossRef]
- Bi, F.; Wei, J.; Gao, B.; Ma, S.; Liu, N.; Xu, J.; Liu, B.; Huang, Y.; Zhang, X. How the Most Neglected Residual Species in MOF-Based Catalysts Involved in Catalytic Reactions to Form Toxic Byproducts. Environ. Sci. Technol. 2024, 58, 19797–19806. [Google Scholar] [CrossRef]
- Bogdanchikova, N.; Meunier, F.C.; Avalos-Borja, M.; Breen, J.P.; Pestryakov, A. On the nature of the silver phases of Ag/Al2O3 catalysts for reactions involving nitric oxide. Appl. Catal. B 2002, 36, 287–297. [Google Scholar] [CrossRef]
- Wang, F.; Ma, J.; He, G.; Chen, M.; Zhang, C.; He, H. Nanosize effect of Al2O3 in Ag/Al2O3 catalyst for the selective catalytic oxidation of ammonia. ACS Catal. 2018, 8, 2670–2682. [Google Scholar] [CrossRef]
- Wang, Z.; Sun, Q.; Wang, D.; Hong, Z.; Qi, Z.; Li, X. Hollow ZSM-5 zeolite encapsulated Ag nanoparticles for SO2-resistant selective catalytic oxidation of ammonia to nitrogen. Sep. Purif. Technol. 2019, 209, 1016–1026. [Google Scholar] [CrossRef]
- Choudhury, B.; Dey, M.; Choudhury, A. Defect generation, d-d transition, and band gap reduction in Cu-doped TiO2 nanoparticles. Int. Nano Lett. 2013, 3, 25. [Google Scholar] [CrossRef]
- Czaplinsks, J.; Sobczak, I.; Ziolek, M. Bimetallic AgCu/SBA-15 System: The Effect of Metal Loading and Treatment of Catalyst on Surface Properties. J. Phys. Chem. C 2014, 118, 12796–12810. [Google Scholar] [CrossRef]
- Bi, F.; Wei, J.; Zhou, Z.; Zhang, Y.; Gao, B.; Liu, N.; Xu, J.; Liu, B.; Huang, Y.; Zhang, X. Insight into the Synergistic Effect of Binary Nonmetallic Codoped Co3O4 Catalysts for Efficient Ethyl Acetate Degradation under Humid Conditions. JACS Au 2025, 5, 363–380. [Google Scholar] [CrossRef]
- Zhang, X.; Dong, H.; Wang, Y.; Liu, N.; Zuo, Y.; Cui, L. Study of catalytic activity at the Ag/Al-SBA-15 catalysts for CO oxidation and selective CO oxidation. Chem. Eng. J. 2016, 283, 1097–1107. [Google Scholar] [CrossRef]
- Wen, Z.; Duan, X.; Hu, M.; Cao, Y.; Ye, L.; Jiang, L.; Yuan, Y. Efficient low-temperature soot combustion by bimetallic Ag-Cu/SBA-15 catalysts. J. Environ. Sci. 2018, 64, 122–129. [Google Scholar] [CrossRef]
- Xue, J.; Wu, M.; Song, Y.; Zhao, J.; Wu, J.; Quan, Y.; Run, J. Study on performance of Ag-modified layered copper silicate catalyst for hydrogenation of dimethyl oxalate to methyl glycolate. J. Fuel Chem. Technol. 2022, 50, 1014–1022. [Google Scholar] [CrossRef]
- Mahara, Y.; Ishikawa, H.; Ohyama, J.; Sawabe, K.; Satsuma, A. Ag-M (M: Ni, Co, Cu, Fe) bimetal catalysts prepared by galvanic deposition method for CO oxidation. Catal. Today 2016, 265, 2–6. [Google Scholar] [CrossRef]
- Jabłońska, M.; Beala, A.M.; Nocuń, M.; Palkovits, R. Ag-Cu based catalysts for the selective ammonia oxidation into nitrogen and water vapour. Appl. Catal. B 2018, 232, 275–287. [Google Scholar] [CrossRef]
- Zhang, N.; Tong, J.; Miyazaki, S.; Zhao, S.; Kubota, H.; Jing, Y.; Mine, S.; Toyao, T.; Shimizu, K. Mechanism of NH3-SCR over P/CeO2 Catalysts Investigated by Operando Spectroscopies. Environ. Sci. Technol. 2023, 57, 16289–16295. [Google Scholar] [CrossRef] [PubMed]
- Bi, F.; Zhang, Y.; Zhou, Z.; Guo, L.; Zhu, Z.; Liu, B.; Zhang, X. Electron Beam Irradiation-Induced Defects Enhance Pt-TiO2 Photothermal Catalytic Degradation in PAEs: A Performance and Mechanism Study. Molecules 2025, 30, 697. [Google Scholar] [CrossRef] [PubMed]
- Lu, Z.; Guo, L.; Bi, F.; Ma, S.; Shen, Q.; Qiao, R.; Zhang, X. Insight into the degradation mechanism of mixed VOCs oxidation over Pd/UiO-66(Ce) catalysts: Combination of operando spectroscopy and theoretical calculation. Sep. Technol. Technol. 2025, 354, 129443. [Google Scholar] [CrossRef]
- Wang, X.; Wu, L.; Wang, Z.; Feng, Y.; Liu, Y.; Dai, H.; Wang, Z.; Deng, J. Photothermal synergistic catalytic oxidation of ethyl acetate over MOFs-derived mesoporous N-TiO2 supported Pd catalysts. Appl. Catal. B 2023, 322, 122075. [Google Scholar] [CrossRef]
- Huang, Z.; Li, H.; Zhang, X.; Mao, Y.; Wu, Y.; Liu, W.; Gao, H.; Zhang, M.; Song, Z. Catalytic oxidation of toluene by manganese oxides: Effect of K+ doping on oxygen vacancy. J. Environ. Sci. 2024, 142, 43–56. [Google Scholar] [CrossRef]
- Huang, X.; Li, H.; Wang, L.; Tang, M.; Lu, S. Removal of toluene and SO2 by hierarchical porous carbons: A study on adsorption selectivity and mechanism. Environ. Sci. Pollut. Res. 2022, 29, 29117–29129. [Google Scholar] [CrossRef]
- Svintsitskiy, D.A.; Kardash, T.Y.; Slavinskaya, E.M.; Stonkus, O.A.; Koscheev, S.V.; Boronin, A.I. The decomposition of mixed oxide Ag2Cu2O3: Structural features and the catalytic properties in CO and C2H4 oxidation. Appl. Surf. Sci. 2018, 427, 363–374. [Google Scholar] [CrossRef]
- Yin, C.; Lei, Y.; Wu, H.; Xu, Y.; Luo, H.; Wang, H. Synergistic effect of Cu and Ag on porous (Cu, Ag) co-doped CeO2 nanosheets for low-temperature CO oxidation. Inorg. Chem. Commun. 2025, 172, 113729. [Google Scholar] [CrossRef]
- Dutov, V.V.; Mamontov, G.V.; Zaikovskii, V.I.; Liotta, L.F.; Vodyankina, O.V. Low-temperature CO oxidation over Ag/SiO2 catalysts: Effect of OH/Ag ratio. Appl. Catal. B 2018, 221, 598–609. [Google Scholar] [CrossRef]
- Xu, J.; Zhang, J.; Peng, H.; Xu, X.; Liu, W.; Wang, Z.; Zhang, N.; Wang, X. Ag supported on meso-structured SiO2 with different morphologies for CO oxidation: On the inherent factors influencing the activity of Ag catalysts. Microporous Mesoporous Mater. 2017, 242, 90–98. [Google Scholar] [CrossRef]
- Soni, Y.; Pradhan, S.; Bamnia, M.K.; Yadav, A.K.; Jha, S.N.; Bhattacharyya, D.; Khan, T.S.; Haider, M.A.; Vinod, C.P. Spectroscopic Evidences for the Size Dependent Generation of Pd Species Responsible for the Low Temperature CO Oxidation Activity on Pd-SBA-15 Nanocatalyst. Appl. Catal. B 2020, 272, 118934. [Google Scholar] [CrossRef]
- Zhang, S.; An, K.; Wang, X.; Wang, H.; Li, S.; Sun, H.; Li, N.; Wu, Y.; Liu, Y. PtPd nanoparticles on LaCoO3 with ruthenium in the interfaces for CO oxidation. Appl. Surf. Sci. 2023, 609, 155285. [Google Scholar] [CrossRef]
- Samadi, P.; Binczarski, M.J.; Maniukiewicz, W.; Pawlaczyk, A.; Rogowski, J.; Szubiakiewicz, E.; Szynkowska-Jozwik, M.I.; Witonska, I.A. Zn Modification of Pd/TiO2/Ti Catalyst for CO Oxidation. Materials 2023, 16, 1216. [Google Scholar] [CrossRef]
- Qu, Z.; Zhang, X.; Yu, F.; Liu, X.; Fu, Q. Role of the Al chemical environment in the formation of silver species and its CO oxidation activity. J. Catal. 2015, 321, 113–122. [Google Scholar] [CrossRef]
Disclaimer/Publisher’s Note: The statements, opinions and data contained in all publications are solely those of the individual author(s) and contributor(s) and not of MDPI and/or the editor(s). MDPI and/or the editor(s) disclaim responsibility for any injury to people or property resulting from any ideas, methods, instructions or products referred to in the content. |
© 2025 by the authors. Licensee MDPI, Basel, Switzerland. This article is an open access article distributed under the terms and conditions of the Creative Commons Attribution (CC BY) license (https://creativecommons.org/licenses/by/4.0/).








