Abstract
Biomass is a plentiful renewable source of energy, food, feed and chemicals. It fixes about 1–2% of the solar energy received by the Earth through photosynthesis in both terrestrial and aquatic plants like macro- and microalgae. As fossil resources deplete, biomass appears a good complement and eventually a good substitute feedstock, but still needs the development of relatively new catalytic processes. For this purpose, catalytic transformations, whether alone or combined with thermal ones and separation operations, have been under study in recent years. Catalytic biorefineries are based on dehydration-hydrations, hydrogenations, oxidations, epimerizations, isomerizations, aldol condensations and other reactions to obtain a plethora of chemicals, including alcohols, ketones, furans and acids, as well as materials such as polycarbonates. Nevertheless, there is still a need for higher selectivity, stability, and regenerability of catalysts and of process intensification by a wise combination of operations, either in-series or combined (one-pot), to reach economic feasibility. Here we present a literature survey of the latest developments for obtaining value-added products using hexoses and pentoses derived from lignocellulosic material, as well as algae as a source of carbohydrates for subsequent transformations.
1. Introduction
The advent of second generation biorefineries has opened the possibility to access a vast mass of monosaccharides, such as glucose, xylose, mannose, galactose and arabinose, apart from some of their derivatives such as galacturonic acid, to name the most abundant of the lignocellulosic biomass [1]. At the same time, the need for food and feed is directing research interests towards the exploitation of seaweeds, microalgae and aquatic plants, owing to their abundance. Their major components are alginic acid, agar or carrageenean, which could become sources of platform chemicals of the future [2]. Nowadays, seaweed production is in excess of 25 Mt/year.
In first-generation biorefineries, now at a commercial scale, several problems are due to feedstock scarcity: free sugar from sugarcane and sugar beet, on one hand, and starch from corn, potatoes and other foods, on the other. Sucrose annual production amounts to approximately 170 Mt, while 88 Mt starch is obtained for several purposes (though the crop of potatoes alone in 2016 reached 377 Mt). Although high, this amount is still very far away from the 4700 Mt of oil and 7200 Mt of coal consumed in 2016 [3]. The food versus fuel debate cannot be maintained for long, even only considering this reason. From the mass balance perspective, second generation biorefinery processes, though less developed than first-generation ones, are more promising in the long term. CO2 fixation via photosynthesis reaches up to 258,000 Mt each year, creating 447 Mt of terrestrial and aquatic biomass [4].
This type of biomass is not created to store energy and material resources by living beings, but for structural and reproductive purposes, so its use is much hindered by its structure, posing complex technological challenges to its transformation. To this end, thermochemical approaches focus on the production of carbon-rich solids, liquids and gases (biochar, biooil, and synthesis gas, a mixture of CO and H2-) [5]. Though the mixtures are complex, their nature is more similar to fossil resources, and present refinery and petrochemical technologies can be useful, but with a higher development of liquefaction, Fischer-Tropsch technologies and fast and slow pyrolysis processes, reducing byproduct formation in all cases and reducing energy consumption. One of the most promising strategies is pyrolysis and catalytic steam reforming to produce H2 from biomass [6]. Further alternatives within thermocatalytic processing in recent years, hydrogenolysis at high H2 pressures and catalytic transfer hydrogenolysis (in moderate conditions), are being developed to obtain allyl-alcohols from glycerol, furans and lactones from furfural and hydroxymethylfurfural (5-HMF), several acids and alcohols from levulinic acid and its esters and, most interestingly, several phenolic alcohols from lignin, the less reactive fraction of lignocellulosic biomass [7].
Less energy-intensive is the biochemical approach, based on biomass fractionation through the triad pretreatments-depolymerizations (chemical and/or enzymatic)-synthesis (biological and/or catalytic), although environmental concerns should be considered [8]. Even so, biological transformations of syngas are possible, mixing thermo- and biochemical approaches for recalcitrant biomasses [9]. Although recalcitrant, biomass can be converted to chemicals directly by a number of catalytic routes, combining depolymerization, polymerization to humins, and reaction to several chemicals, with 5-HMF, furfural, levulinic acid and formic acid as the most prominent [10]. For example, from real biomass, 5-HMF can be obtained in 11–57% w/w yields using edible biomass and up to 60% w/w if lignocellulosic biomass was treated with acids in γ-valerolactone media [11]. Levulinic acid can be obtained from pure cellulose by using mesoporous catalysts resembling cellulase action [12], reaching yields up to 51% w/w. Similar results can be obtained with dicationic ionic liquids at 100 °C for 3 h (yield = 55%) [13]. Hemicellulose is the second most abundant polymer in lignocellulosic biomass (15–30%) after cellulose, with furfural the main platform chemical that can be directly or indirectly produced in vast amounts [14]. Furfural can be obtained in one-pot processes from hemicelluloses rich in xylose, with yields up to 85% when using Brønsted acidic ionic liquids (BAILs) [15]. However, better yields, higher activities and less by-products can be reached when the constituent monosaccharides (glucose, xylose, fructose, etc.) are the raw materials to 5-HMF, furfural and levulinic acid [16]. From C5 and C6 monosaccharides, several acids (formic, acetic, oxalic, malonic, gluconic and glucaric) can be produced as well [17], while 5-HMF is the key to chemicals such as levulinic acid, adipic acid, 1–6 hexanediol, ε-caprolactam, and several furans and lactones [17,18]. Figure 1 shows the main steps in the fractionation of biomass to obtain the monosaccharides and low molecular mass platform chemicals for further catalytic/biocatalytic processing.
Figure 1.
Chemical biorefinery (bio/catalyst routes) main process scheme.
This review compiles the most relevant aspects of the latest research (from 2016 to the present day) on catalytic processes from C5 and C6 monosaccharides as platform chemicals obtained from lignocellulosic materials. In addition, reports on algal biomass as an interesting starting material for monosaccharides are also covered, with a slightly longer timespan given the novelty and emergence of the topic.
2. Catalytic Studies for the Transformation of Glucose
Carbohydrates constitute approximately 75% of the annual renewable biomass, among which cellulose is the most attractive owing to its wide availability and, most importantly, to the fact it does not compete with food products. Lignocellulosic material can undergo different types of pretreatment to release its components, including fractionation by thermochemical and physical methods, and biological or organosolv and other chemical procedures. Among such components are lignin, hemicellulose and cellulose, the latter being the major component, circa 45% [19,20,21].
Cellulose is undoubtedly the most abundant polymer in nature owing to it being the main constituent of plant cell walls. Therefore, owing to its massive availability, there is an opportunity to obtain sugars from its depolymerization by hydrolysis, which leads to obtaining soluble oligosaccharides and, especially, glucose. For such hydrolysis, cellulose can undergo enzymatic or chemical processes using mineral acids or, more recently, solid acid catalysts [22].
The present section will focus on works reporting the exploitation of glucose to obtain value-added products and fuels of renewable origin through different catalytic procedures. For the valorization of this material, two types of transformations can be identified:
- (a)
- Routes through 5-HMF as a building block for further transformations to furan-based products. Such pathways require prior isomerization of glucose to fructose, from which 5-HMF can be produced. Figure 2 presents a scheme of a number of products and intermediates in some cases that can be synthesized via pathways from 5-HMF starting from glucose through isomer fructose. Additionally, this figure also shows the derivation of glucose from lignocellulosic material.
Figure 2. Exploitation of glucose and fructose derived from biomass to value-added chemicals via transformation of 5-hydroxymethylfurfural. - (b)
- Reactions to products obtained by non-5-HMF related routes, thus avoiding isomerization and dehydration as the first steps of the corresponding conversion. These are schematized in Figure 3.
Figure 3. Examples of reaction pathways using glucose as a building block avoiding routes starting from 5-HMF.
2.1. Isomerization to Fructose and Reactions to Products through 5-HMF Related Routes
Table 1 presents a compilation of works in the literature that complement several of the routes presented in Figure 2, providing specific details about the products, side-products, catalysts employed and operating conditions, as well as the outcomes of their application.
Table 1.
Summary of the details of work found in the literature dealing with the transformation of glucose (glu) to various products through hydroxymethylfurfural (5-HMF) related routes.
The first reaction before obtaining 5-HMF as a building block is the isomerization of glucose to fructose. LiBr has been reported to act as a catalyst obtaining yields to fructose of 30.3% in only 15 min, while the conversion amounted to 51.8%, with mannose being obtained mainly from a side epimerization reaction. This work reported mechanistic studies, where Li+ catalyzed the isomerization through the intramolecular hydride shift mechanism from C2 to C1 and Br- through a proton transfer mechanism via an enediol intermediate [23]. Cu salts have also been used for this reaction, obtaining much lower conversions and yields, which were dependent on the pH of the reaction medium. At values of pH = 5.3–5.5, the detected species of the Cu salts was Cu(OH)+, identified as the Lewis acid active species, which triggers an intramolecular 1,2-hydride shift [24].
Further to sole isomerization to fructose, the synthesis of methyl fructosides has also been studied by etherification. A study combining different zeolites as suppliers of Lewis acidity and Dowex 50WX8-100 (Brønsted acidity) was made reaching yields of 72% in 1 h. In the mechanistic studies completed in this work it was proven that when catalysts with Brønsted acidity were employed, methyl glycosides prevailed, whereas when Lewis acidity was higher, isomerization was predominant [25]. In a different work, Leitner et al. used kaolin to conduct this reaction, whose advantage is its wide availability and inexpensive price. The study focuses on the screening of different kaolin samples, among which Strem-2008 is the most active, and, then, the optimization of conditions using rational experiment design in continuous flow [26].
As mentioned above, 5-HMF is the building block to ulterior reactions, and it has also been sought after as an end product. To generate 5-HMF, the reaction steps require the dehydration of fructose after prior isomerization of glucose. Glucose transformation was reported using organic catalysts featuring basic, Brønsted acidic or both types of functional groups. The basic groups have been found to isomerize glucose to fructose and Brønsted acidic groups catalyze the dehydration. Thus, sulfanilinic acid performed better than the other catalysts tested, reaching 44% yield to 5-HMF with 90% conversion of glucose. In addition, mechanistic studies disclosed that isomerization to fructose was found to be the rate-limiting step during the reaction [27]. Tin phosphates, whose active sites appear to be the tetracoordinated Sn4+ centers, have also been employed for this reaction [Emim][Br] ionic liquid as solvent reaching yields up to 58.3%. The synergistic effect of this ionic liquid appears to have an influence in the high yields reported [28]. Cui et al. proposed the preparation of a catalyst based on chitosan nanoparticles doped with Cr ions, which were prepared from adsorption from aqueous solutions and can therefore have an application in the treatment of wastewater for removal of these species. The conversion reported was about 92% and the yields to 5-HMF reported as high as 64.7% [29]. Finally, making use of 5-sulfoisophthalic acid as ligand, a tin porous coordination polymer was synthesized on polydopamine-coated MnO2. This catalyst reached conversions of glucose above 90% and yields of 55.8%, showing good recycling capacity as no great activity loss was observed.
Through 5-HMF, by direct one-pot conversion of glucose, 2,5-dimethylfuran (2,5-DMF) was obtained via hydrogenolysis, leaving other furan compounds as side products. For this reaction, catalysts based on Pd supported on a Zr-based metalorganic framework deposited on sulfonated graphene oxide was used, which obtained a yield to the desired product of 45.3% in 3 h [30].
2,5-Diformylfuran (2,5-DFF or DFF) is a renewable platform chemical with multiple prospective applications in polymer, agrochemical and pharmaceutical industries. This compound is obtained with good yields from fructose (74% in a one-pot dehydration-aerobic oxidation process) and 5-HMF (94%) using 3D flower-like Ce−Mo micro/nano composite oxides with several ratios of Ce to Mo [31]. Likewise, in a one-pot process, fructose has been converted in DFF by using phosphomolibdic acid fixed in the metal–organic frameworks MIL-101, reaching a yield of 75.1% [32].
Methyl lactate can be synthesized through retro-aldol fragmentation of 5-HMF followed by dehydration, acetalization and isomerization. Yields of 47.7% were reported using ZnCl2 after 3 h and a kinetic analysis of the overall transformation of glucose to methyl lactate with this catalyst revealed that the activation energy is 117.5 kJ mol−1 [33]. In a similar study, Sn-Beta zeolite was used, achieving slightly lower yields of 43% to product in a longer period giving fructosides as by-products. In fact, with this catalyst, the formation of methyl lactate shows two distinct kinetic regimes, where most of this product is formed in the slow reaction regime, which results from the accumulation of methyl fructoside as a masked form of glucose. Moreover, through methyl fructoside, the kinetics of the reaction can be accelerated in the presence of small amounts of water as long as they do not affect the catalyst stability [34].
Through dehydration of glucose to 5-HMF and further rehydration of this molecule, levulinic acid has been obtained with Cr-modified HZSM-5 zeolite. For this reaction, the kinetics were studied and, applying a simplified kinetic model, the calculated activation energies for glucose rehydration and 5-HMF rehydration were 69.1 and 54 kJ mol−1, respectively. From the kinetic analysis, it was seen that the 5-HMF rehydration constant was higher than that of the dehydration of glucose, which implies that the latter is the controlling step [35].
Finally, furfural can be produced from isomerization followed by the cleavage of a C-C bond and dehydration with β-zeolites [36]. In addition, the solvent used in the transformation appears to play a role in the catalytic performance. Zhang et al. conducted the conversion of glucose to furfural with Sn-β zeolite and found that using γ-valerolactone/water in the reaction medium enhanced yields to the product compared to water, DMSO or γ-butyrolactone [37].
2.2. Other Routes from Glucose to Value-Added Products
Some products obtained avoiding 5-HMF routes are included in Figure 3, whose details for the corresponding synthesis reactions are compiled in Table 2.
Table 2.
Summary of the details of work found in the literature dealing with the transformation of glucose to various products through non-5-HMF related routes.
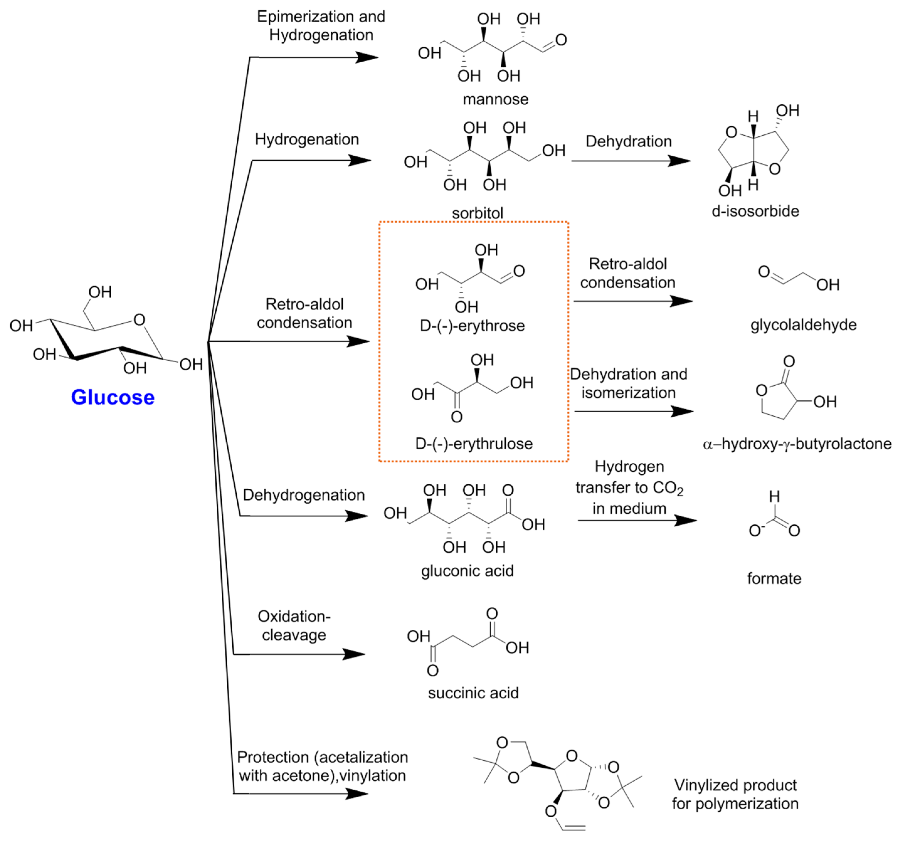
Aldohexose mannose can be produced from the epimerization and hydrogenation of glucose, for which a continuous flow system has been implemented. The authors compared the performance of using a dual catalytic system consisting of Cs supported on heteropolyacid over carbon (Cs-HPA/C) and Ru supported on carbon simultaneously or in series, the latter option being optimal using first the Cs-HPA/C for epimerization and secondly a mixture of both catalysts to also perform hydrogenation [39].
Lactic acid has been obtained from glucose with a bifunctional Al(III)-Sn(II) catalyst via a series of tandem steps that include the isomerization to fructose and then the retro-aldol fragmentation into two C3 intermediates that eventually dehydrate and isomerize to lactic acid. Al(III) is accountable for isomerization via a 1,2-hydride shift mechanism and conversion of trioses to lactic acid; for its part, Sn(II) is liable for the fragmentation of fructose into two C3 intermediates (dihydroxyacetone and pyruvaldehyde) [40].
By hydrogenation and dehydration, d-isosorbide can be obtained using a one-pot synthesis employing a combined heterogeneous catalyst of Ru supported on a Dowex-H gel-type exchange resin. The yields reported were of up to 85% after 48 h of reaction in a pressurized autoclave [41].
The production of glycaldehyde, α-hydroxy-γ-valerolactone and d-tetroses (d-(-)erythrose and d-(+)-erythrulose) was pursued in a different study, where they analyzed the profile of the products from the conversion of glucose with different catalysts. Ammonium tungstate gave the best conversion of 94.4%, obtaining mostly glycaldehyde as product, with a yield of 52.5% [42].
The oxidation to gluconic acid with exceptional high yields of 98% was performed photocatalytically, achieving practically total conversion of glucose. For this, Au nanoparticles were supported on TiO2 and subjected to reaction under irradiation between 420 and 780 nm at very mild temperature conditions [43]. In another study, not only gluconic acid but also formates were obtained coupling dehydrogenation and (NH4)2CO3 hydrogenation by transfer leading to sorbitol as a side-product. In this case, Pd and Pt supported on activated carbonate were used simultaneously for 24 h obtaining conversions of 72.6% and yields to gluconic acid of almost 60% and formates in about 32% [44]. Finally, production of gluconic acid has also been attained by photooxidation of fructose, although xylitol has additionally been reported as a further decomposition product. For this reaction, TiO2 catalysts were synthesized, for which the one prepared by the sol-gel method using polyethylene glycol as surfactant was most favorable to obtain gluconic acid, whereas using ultrasound and cetyltrimethylammonium bromide proved more efficient to produce xylitol [45].
Succinic acid can also be obtained as an oxidation product starting from glucose as substrate. In this way, García et al. have performed the oxidation and further cleavage using nitrogen-doped graphene as catalyst reaching yields as high as 68%, with the N loading playing a crucial role in the performance, reaching an optimum at 3.8% [46]. When carbon nanotubes doped with Fe and V were used, the major product of the oxidation reaction was oxalic acid (yield of 46%), with some succinic acid being observed as well, although to a much lower extent (only 7.8%) [47].
Last, a vinylized product that can be used as a monomer to interesting materials has also been prepared from fructose, as observed in Figure 3. The procedure to prepare it consisted of first protecting hydroxyl moieties by acetalization with acetone and further vinylation. For the former step an acidic catalyst like sulfuric acid was put to use, while for the latter, calcium carbide aided by basic compounds like KF and KOH. This process also depended on the polymerization of monomers produced from different sugars [48].
3. Catalytic Studies for the Transformation of Fructose
Fructose is a hexose that is an abundant sugar in nature. However, its direct availability is not as high as glucose and most of its utilization as a substrate in chemical reactions requires prior isomerization of glucose to fructose. Similar to the discussion on glucose, the present section covers transformations of fructose via routes to valuable products passing through 5-HMF, which are included in Figure 2, and other different reaction types where fructose does not undergo dehydration as a first step but directly through other transformations, as shown in Figure 4.
Figure 4.
Reaction pathways using fructose as building block avoiding routes starting from 5-HMF.
3.1. Transformations of Fructose through 5-HMF Related Routes
A thorough compilation of details of studies dealing with the conversion of fructose to interesting products via its dehydration to 5-HMF is given in Table 3, which complements some of the reactions presented in Figure 2.
Table 3.
Details of reports in the literature for the transformation of fructose to various products through dehydration to 5-HMF and further related routes.
First, a number of studies have put their attention merely on fructose dehydration to yield building block 5-HMF, having in common the practically total conversion of fructose. Sulphonic acid-functionalized silica nanoparticles demonstrated a high ability to perform the dehydration of fructose to 5-HMF with high yields up to 87% in DMSO/water medium [49]. Fan et al. prepared mesoporous silicates from Pluronic 123 and polyvinyl pyrrolidone with and without cholesterol and phosphotungstenic acid as additives to conduct the transformation, reaching yields to 5-HMF of 81% after 6 h at 80 °C, a much lower temperature than the others reported for this reaction [50]. Au supported on polythiophene–polythiophene oxides were also prepared varying the amount of surfactant sodium dodecyl sulfate, whose application in the dehydration of fructose yielded 72.6% of 5-HMF after 4 h operating at 140 °C [51]. Higher yields of 96% were reported after only 30 min at 100 °C leaving only residual 2,5-dimethylfuran as a byproduct. In this particular case, heterogenized sulfonated graphitic carbon nitride (Sg-CN) was synthesized, which showed highly acidic properties [52]. Finally, the effect of the solvent was assessed making use of H-β zeolite as a catalyst with the goal to obtain 5-HMF and furfural as products in a study that concluded that the generation of the former was favored when N-methyl-pyrrolidone was employed as a solvent, whereas furfural is more easily obtained if the medium is γ-butyrolactone [53].
By dehydration and subsequent hydrogenation, 2,5-dihydroxymethylfuran (2,5-DHMF) can be produced as well as 2.5-dimethylfuran (2,5-DMF) by further hydrogenation. This was tested in a continuous flow setup where HY zeolite was loaded to act as catalyst. It was observed that the dehydration reaction was promoted at 140 °C, while hydrogenation performed better at 240 °C, obtaining yields of 2,5-DHMF of 48.2% and 2,5-DMF of 40.6% [54].
It has also been reported that 1-hydroxy-2,5-hexanedione is a product of dehydration, hydrolysis via 2,5-bis(hydroxymethyl)furan, and additional hydrogenation starting from fructose. For the first dehydration step to 5-HMF, HCl was used, whereas for the subsequent stages, Cp*IrIII half-sandwich complexes with bipyridine ligands were the complexes used in a pH controlled medium, where the yield to the desired product was as high as 99% in an acidic medium of pH = 2.5 [55].
The production of diformylfuran has been assessed using molybdenum-containing catalysts for the dehydration and subsequent oxidation of fructose. Bifunctional 3D flower-like Ce-Mo composite oxides have proven to perform these two functions in this one-pot transformation, where the optimal ratio of Ce to Mo was approximately 9 to 1 to reach 74% of yield after 12 h [31]. A very similar catalytic performance was attained employing phosphomolybdic acid encapsulated in the chromium terephthalate metal–organic framework MIL-101 [32].
The dehydration and oxidation to 2,5-furandicarboxylic acid (FDCA) was studied as well, which proceeds not only through 5-HMF, but further through 5-hydroxymethyl-2-furancarboxylic acid (HMFA) and 5-formyl-2-furancarboxylic acid (FFCA). A thorough kinetic study was made using first Amberlyst-15 for the dehydration step and Fe0.6Zr0.4O2 for the advancing oxidations, which retrieved values of the activation energies of 59.7, 82.7, 86.4 and 110.2 kJ mol−1 for each of the sequenced steps to 5-HMF, HMFA, FFCA and FDCA, respectively [56]. The production of FDCA was also attained with a Pd/CC catalyst derived from glucose, with which the dehydration/oxidation was studied in different solvents, with the operation in water leading to best yields of about 64% [56].
Methyl lactate (MeLac) production has attracted the attention of several researchers as well. This product is obtained from fructose after dehydration, retro-condensation, isomerization and esterification steps. Zhang et al. prepared hierarchical Sn-β-H and Sn-β-H-C zeolites, both leading to complete conversion of fructose, with the former achieving an 86.1% yield to MeLac, thus minimizing the side reactions taking place. Also, reuse of the catalyst was made, observing the relevance of its calcination after each use to maintain similar performance activity [57]. Also, the so-called In-Sn cooperative catalytic systems were utilized targeting MeLac as the product. Different combinations of salts were screened, with InCl3.4H2O/Bu2SnCl2 outperforming the rest leading to 76% yields in about 10 h. The reaction mechanism was studied, concluding that the In species was accountable for the retro-aldol reaction of fructose to trioses, whereas Sn performed the isomerization of the latter to MeLac [58]. The use of ZnCl2 in a one-pot conversion system has also been assessed, although the performance reported was lower, only obtaining yields above 50% employing temperatures of 200 °C, higher than the rest of the references in this survey. The kinetic study performed in this work reports an activation energy of the cascade reaction of 85.3 kJ mol−1 [33]. Last, Yang et al. focused their efforts on developing different Sn-β zeolites as well for this reaction, for which they varied the preparation methods in order to change the textural and porosity properties but, most importantly, Lewis acidity. A preparation time of 4 h with a Sn content of 2% led to the best performance in reaction, although this study failed to make considerations on the reaction mechanism [59].
The use of ionic liquids as solvents in catalysis is a current trend, although making them the active catalytic species is less common. A total of 18 ionic liquids of different types were tested for the decomposition of fructose, namely: haloids, hydrogen sulfates, methanesulfates, tosylates, trifluoromethanesulfonates, acetates and formates. [PrSO3HMIm][Cl] reached a yield of 78.6% to levulinic acid from fructose in 3 h at 180 °C [60].
Ethyl levulinate was obtained using titanium-exchanged heteropoly tungstophosphoric acids (TixTPA) prepared with different methods. The exchange of Ti with TPA apparently affected the creation of Lewis acidic sites to add to the existence of both Lewis and Brønsted acid sites of Ti containing Keggin. Ti0.75TPA was the most active preparation, reaching 63% of yield in 6 h [61].
The preparation of the dicarboxylic acid 5,5’-[oxybis(methylene)]bis[2-furancarboxylic acid] (OBFC) was also pursued through dimerization of fructose and further oxidation. This was done using two catalysts for each of the reactions: first Dowex 50 W X8 was used for dimerization during 24 h at 110 C and then Pt/C was used for oxidation at 23 °C during two additional days of operation, obtaining a yield of OBFC of about 75% [62].
Furfural can be obtained from dehydration of fructose. The same two references that obtained furfural from glucose referred to above also studied the conversion of fructose. Cui et al. analyzed H-β zeolite to induce the formation of acyclic sugars, with this catalyst promoting C-C selective cleavage and dehydration. The sequence appeared to be affected by the solvent used for the reaction, as there is a synergistic effect of the acid sites of H-β zeolite and γ-butyrolactone suppressing further degradation of furfural [36]. Furthermore, Zhang et al. employed Sn- β zeolite in γ-valerolactone medium to obtain 69.3% of furfural from fructose [37].
Fuel additive ethoxymethylfurfural is obtained from dehydration and further etherification if an alcoholic medium (ethanol) is used. Morales et al. used different sulfonic acid-modified mesostructured silica, among which the most active was an arenesulfonic-modified SBA-15 catalyst. More interestingly, their work puts the spotlight on the optimization of the operating conditions to reach the highest yield using a design of experiments, reaching the highest yield at 116 °C, 13.5% concentration of catalyst and using a solvent consisting of 91.7:8.3 v/v of ethanol:DMSO [63]. Another study developed lignin-derived sulphated carbon as the catalyst for this transformation, where they changed the calcination method and the H2SO4 concentration used for the treatment. Calcination of the catalyst at 450 °C using a 36 N solution of H2SO4 led to yields of 64.1% in 3 h using EtOH as solvent [64].
2,5-dimethylfuran (2,5-DMF) was obtained in a route through dehydration of fructose of 5-HMF and then a series of hydrogenations and hydrogenolyses passing through various furan intermediates. A quantity of 4.8% of Pd loaded on a Zr-based metalorganic framework (UiO-66) gave a catalytic species that led to 70.5% yield of 2,5-DMF in 3 h at 160 °C and a hydrogen pressure of 10 bar [30].
Last, the aldol condensation product obtained from dehydration and the reaction with methylisobutylketone was undertaken in a one-pot procedure. First, KBr with H2SO4 was used for 1 min for the first step and then NaOH for the aldol condensation for 3 h [65].
3.2. Additional Routes from Fructose to Further Products
Very much like in the case of glucose, compounds of interest can be synthesized from fructose from reaction pathways not departing from dehydration, which are shown in Figure 4 and detailed in Table 4.
Table 4.
Information in studies on the conversion of fructose to various products via alternative routes.
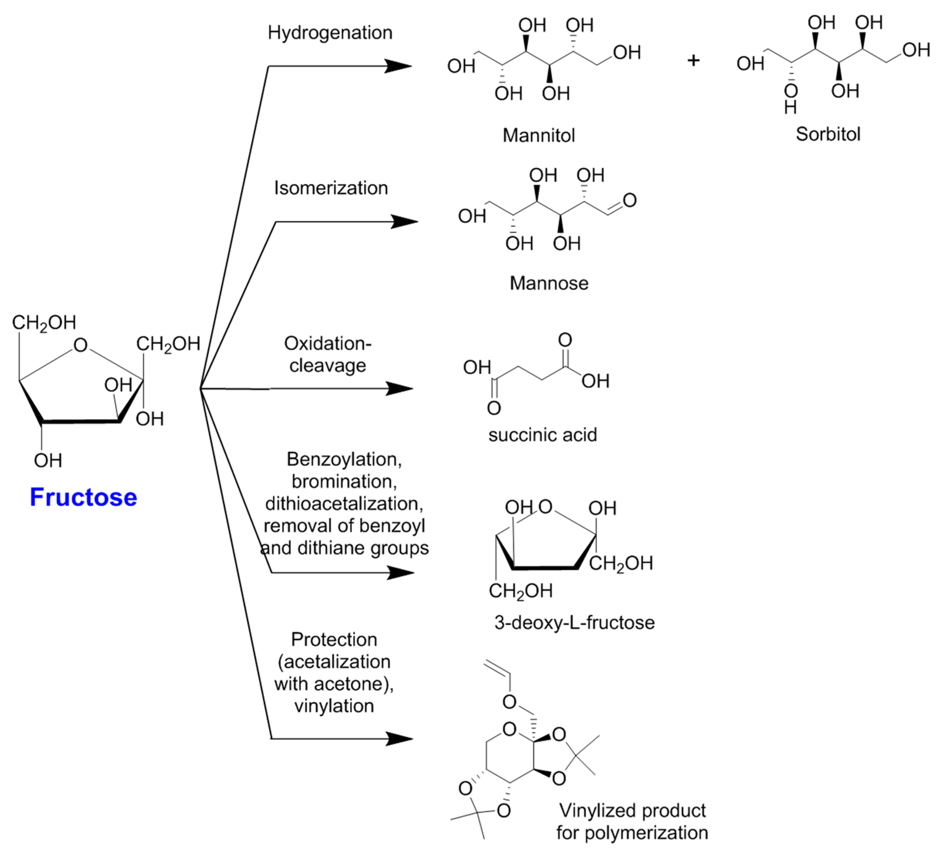
Sugar alcohol mannitol can be produced from the hydrogenation of fructose, for which copper-supported metallic nanoparticles were synthesized, where the best was a Cu catalyst supported on silica by precipitation-deposition method compared to preparation by incipient wetness method, which gave catalysts with lower activity and selectivity to mannitol [67].
Oxidation and cleavage within the molecule leading to oxalic and succinic acid have also been reported starting from fructose, for which iron supported on carbon nanotubes has been employed. Formic acid is obtained as a by-product of the reaction, also of use in many applications. These catalysts showed good reusability without much loss of efficiency [47].
The work by Rodygin et al. reported above also studied the production of a vinylized product as monomer to further polymerization, as observed in Figure 4 for the case of fructose as substrate for the reaction. Using the same steps of the reaction and materials for the protection of hydroxyl moieties and vinylation, a yield of 92% was attained in the end [48].
Another example is the synthesis of lactic acid production, which is based on consecutive steps of retro-aldol fragmentation, dehydration and isomerization also using bifunctional Al(III)-Sn(II) as a catalyst, as described above for glucose valorization. When fructose was the substrate, somewhat higher yields to lactic acid of 90% were obtained compared to the 81% from glucose [40].
Finally, it is also worth briefly mentioning the synthetic approach to the production of 3-deoxy-L-fructose that Lu and Chang carried out, which consisted of a series of steps of benzoylation, bromination, dithioacetalization and final removal of the benzoyl and dithiane groups to obtain the desired product [68].
4. Catalytic Routes from Xylose
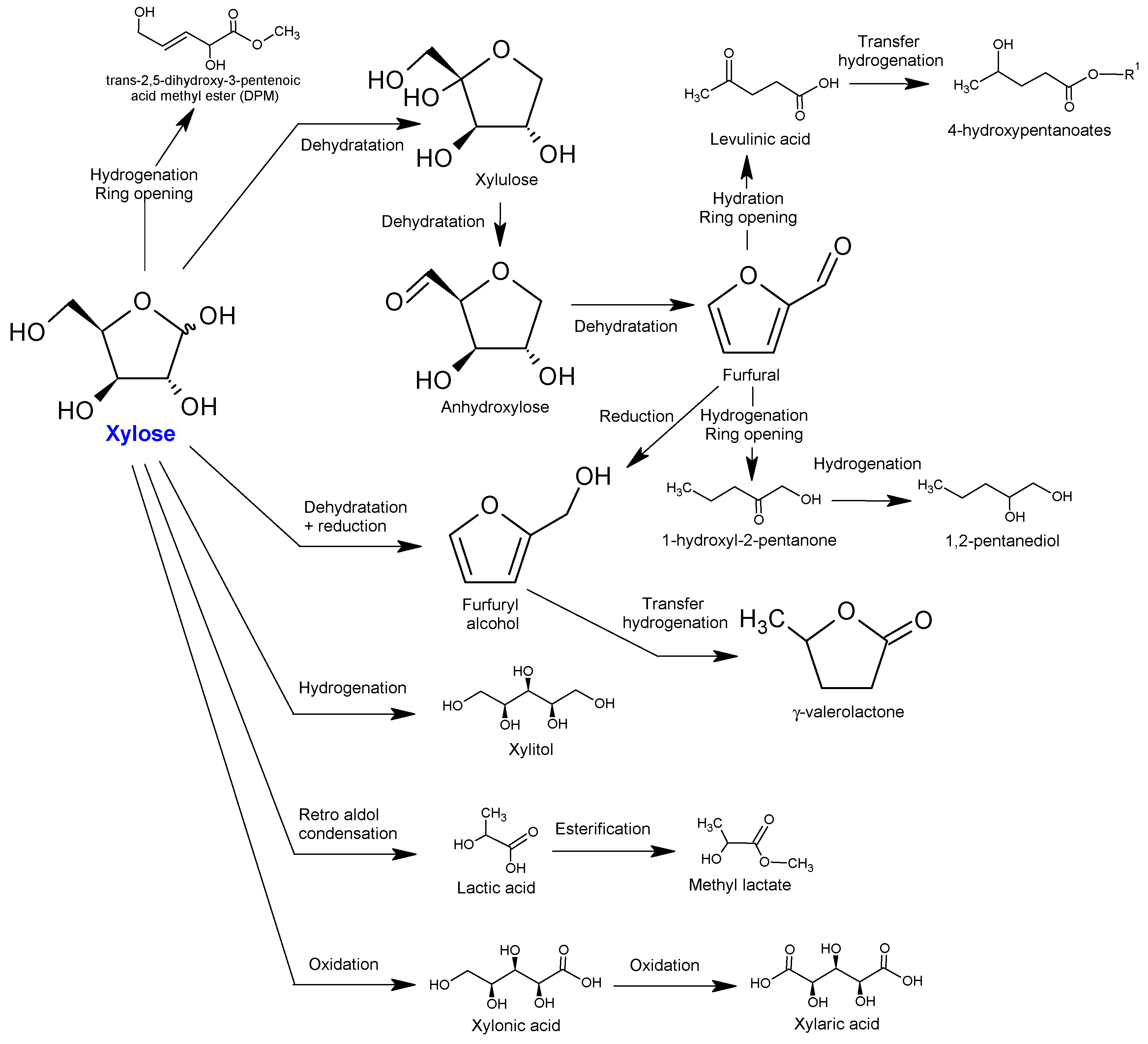
Xylose, together with mannose, a pentose and a hexose, are the main components of hemicelluloses originating from wood. For example, in softwoods, the xylan share ranges between 3 and 8% w/w dry solid (DS), while mannans are present in a higher percentage—from 10 up to 13% w/w DS, with an overall content in hemicelluloses from 25 to 35% w/w DS [19]. Hardwoods are richer in hemicellulose fraction (24–40%), while grasses and leaves can contain as much as 85% w/w DS of hemicelluloses, with xylan- and xylose-related polymers the main component of the hemicellulosic fraction in this case [69]. Hemicellulose is of amorphous nature, has a relatively low molecular weight (approx. 15 KDa) and its composition depends highly on the source, which can be very varied. They can be polymers with β-1,4-linked backbones with an equatorial configuration at C1 and C4, which can be xylans, mannans and glucomannans, xyloglucans, and β-1,3;1,4-glucans, but also axially-directed β-1,4-galactans and arabinogalactans with a β-1,3-linked galactose backbone [69]. After being obtained and purified from hemicelluloses, xylose is a platform chemical that can be dehydrated to furfural, which is in turn an intermediate to a plethora of chemicals, whose exploitation can be conducted using several catalysts, as compiled in Table 5 and Table 6. This pentose can also be transformed directly to levulinic acid, furfural alcohol and more chemicals. All these pathways are summarized in Figure 5.
Table 5.
Information contained in papers on the dehydration of xylose to furfural in liquid-liquid systems (catalyst dissolved in one liquid phase) or liquid (homogeneous) systems.
Table 6.
Information contained in studies on the dehydration of xylose to furfural in solid-liquid systems (solid catalysts).
Figure 5.
Reaction routes from xylose via furfural and direct routes from the pentose.
4.1. Dehydration of Xylose to Furfural
Furfural is a key building block to produce several fuels and chemicals (lactones, cetones, levulinic acid, etc.) that can derive from xylose making use of both homogeneous and heterogeneous catalysis. To overcome the shortcomings of homogeneous systems using classic mineral Brønsted acids, the use of heterogeneous catalytic systems (liquid-liquid and solid-liquid) has been deeply analyzed in recent decades [16] with the potential capability of more easily recycling the catalysts.
When using liquid-liquid systems, furfural is usually recovered in the organic solvent, while the catalyst and the remaining xylose remains in the aqueous phase. Recently, terephthalic acid has been employed recently as a soluble catalyst for the production of furfural with high yields (up to 72–74%), using aqueous solutions of the xylose substrate suspended in up to two volumes of toluene. In this way, this acid that can be obtained from inexpensive PET, can be used up to five times with no reduction in activity (even a slight activation up to 5% is observed), as furfural is extracted mostly in the toluene phase during each cycle, adding more xylose to the aqueous phase for the next catalytic cycle [70]. In the work of Hui et al., several new SO4H-functionalized ionic liquids (SFILs) were synthetized and applied to the production of furfural from xylose, showing [Ch-SO4H][CF3SO3] with the highest activity. This liquid catalyst can be easily separated from the aqueous phase simply by decantation, as it shows no miscibility with the xylose-containing phase. For recycling, the SFIL can undergo treatment at 80 °C under vacuum to remove all volatile impurities and be subsequently used for the next catalytic cycle. Up to five cycles were performed to test the stability of the catalyst, resulting in a slight 5% decrease both in xylose conversion (reduced from 98 to 92%) and furfural yield (that dropped from 95 to 90%). The catalyst was also directly applied to xylan, with a reduction from 80 to 60% in the yield to furfural [71]. A third liquid-liquid catalytic system was designed to convert either xylose or wheat straw by the action of the Brønsted and Lewis acidity of chromium phosphate. Among several salts tested, this catalyst was able to yield 88% furfural with total conversion of xylose, at 160 °C after 60 min, using toluene as the best hydrophobic solvent out of those tested. Again, worse results are achieved if biomass (wheat straw) is directly used: at 180 °C during 90 min, the yield to furfural was 67% and to 5-HMF, 32%. Unlike with the previous catalysts, this one proved to be unstable: the activity towards xylose decreased 10% during 4 cycles, but the yield to furfural sharply decreased from 90 to 50%. A possible reason is the precipitation of CrPO4 during each reaction cycle [72].
Further work in liquid systems at high temperatures is presented by Sener et al., where the production of furfural from concentrated aqueous solutions of xylose is approached. These authors used the classic catalyst HCl, although using γ-valerolactone as the main solvent in a mixture with water (80:20 v/v). In this case, temperatures used ranged from 200 to 220 °C, where both solvents show miscibility and the concentration of the catalyst and the substrates were 1–10 mM HCl, 2–10% w/w xylose in a tubular reactor. In the best conditions, yields up to 85% in furfural and quantitative conversions of xylose are achieved in only 90–100 s residence time. Results were used to fit a power-law kinetic model comprised of the dehydration reaction xylose to furfural and side reactions from both chemicals to polymers, which are regarded as by-products. The approach is extended to a biomass rich in xylan (maple wood), reaching even better results using acid hydrolysates from this source treated at 222 °C for 135 s (97% xylan oligomers conversion and 93% furfural yield). Therefore, the selection of the solvent and the temperature seem critical to reach high furfural yields at total xylose/xylan conversion [73].
The use of solid catalysts is investigated on a regular basis, comprising catalysts with Brønsted acidity as well as others with dual Brønsted-Lewis acidity. Of the latter type, Chartterjee et al. recently developed and tested metal organic frames (MOFs) with phosphate groups and Sn and Cr atoms, containing Brønsted and Lewis acidic sites, respectively. Starting with MIL-101, a MOF with Cr atoms, the addition of tin phosphate nanoparticles stabilized the catalyst (no change in activity in 10 cycles), while only 70 ppt of NaCl served to increase xylose conversion to 99% and furfural yield to 95% [74]. The presence of tin phosphate nanoparticles resulted in wider pores (mesopore structure) and avoided the formation of coke and humins deposits. Again, a hydrophobic phase, toluene, was used to extract furfural as it was obtained. Sato et al. have just published work on the application of supercritical CO2 for such purpose. In their paper, a thermostable sulphonic acid resin (Amberlyst 70) and two zeolites (M-20 and ZSM-5-30) were tested, reaching xylose conversions up to 91% and furfural yields up to 51% [75]. The catalysts tested were also very active for polymerization due to their very strong acidity.
The mesoporous silica KIT-6 has recently been functionalized with sulphonic groups to render a catalyst able to efficiently convert xylose into furfural. Several catalysts were synthetized by changing the molar ratio between 3-mercaptopropyl(methyl)dimethoxysilane (MPMDMS) and tetraethoxysilane (TEOS). At 170 °C, the best catalyst (molar ratio TEOS-MPMDMS 8/2) could transform 97.5% of the pentose, achieving yields up to 94.6% furfural. However, while the capacity of the 0.2-SO3H-KIT-6 was maintained for four cycles, its selectivity to furfural dramatically decreased from 95 to 65%, with an increasing impact of coking side reactions [76]. Moreno-Marrodan et al. created several macroporous-mesoporous catalysts based on titania and niobia-titania, again with acid sites of the Brønsted and Lewis kind. These monolithic catalysts were prepared for and tested in continuous flow-through systems (fixed bed reactors), showing high stability on-stream for up to 30 h. However, selectivity to furfural was low (25%), while xylose conversion was stable and high (95–100%) when working at 130 °C in a liquid-liquid-solid fixed bed reactor with γ-valerolactone and water mixed in a ratio 9/1 v/v [77]. To facilitate mass transfer within the porous structure and flow-through processing, another strategy followed was to create packed structures by liquid phase synthesis and evaporation-induced-self-assembly (EISA) methods. Hu et al. obtained by these means of several mesoporous sulfonated catalysts of the FDU and SBA type. Their best catalyst (FDU-5-7.5E-SO3H) was able to convert almost all xylose (97%), rendering up to 81% yield to furfural at 160 °C. However, again, on successive reaction cycles, the yield to furfural decreased down to 60% after the fifth cycle [78].
By pyrolysis of urea, Verma et al. created several sulfonated graphitic carbon nitride (Sg-CN) catalysts, and tested them with xylose using several solvents and temperatures. Their best result was achieved using water, 100 °C, and 30 min: a yield to furfural of 96% was reached. The same authors, using these catalysts, obtained up to 84% yield to benzimidazole derivatives (an important intermediate for drug synthesis) from xylose, 5-HMF from fructose (96%), and levulinic acid from glucose (41%) [52]. Lin et al. have also followed this strategy of using renewable materials to obtain catalyst by pyrolysis. In this case, polymeric by-products from the dehydration of xylose and hemicelluloses to furfural were pyrolyzed and activated by several means (non-activated, KOH, ZnCl2 with further sulfonation in all cases). Activation with the hydroxide or the salt resulted in wider pores and a different distribution of carboxyl and sulfonic groups on the surface of the active carbons. All catalysts were active for the dehydration of xylose to furfural, reaching product yields of 60% and xylose conversions up to 95%. When used directly on hemicellulose, yields to xylooligosaccharides (XOS) were as high as 60%, while furfural yields could reach 40% [79].
Apart from the undesired side reactions to humins and furfural polymers, some catalysts can promote not only furfural formation but also its conversion into furfuryl alcohol, levulinic acid, lactones—including γ-valerolactone—and hydroxypentanoates to name a few relevant low molecular weight compounds. This is the case of the work by Lopez-Aguado et al., where the synthesis and test of several zeolytic catalysts of the type Zr-USY is reported. The ratios of Zr to Al are modified, influencing the distribution of products from xylose using 2-propanol as a solvent, with maximum yields to furfural of 40%, xylose ethers up to 60% and GVL (γ-valerolactone) up to 5%. To increase yields to GVL, furfural was employed as the original reactant, reaching over 13% yield GVL [80].
4.2. Direct Reactions of Xylose to Alcohols, Acids and Polymers
Though furfural is a key intermediate to several products from xylose, some chemicals can be reached without the presence of furfural or, at least, without its build-up in the liquid phase, thus increasing the yields of such chemicals. Results are displayed in Table 7.
Table 7.
Relevant data in studies on the direct conversion of xylose to chemicals other than furfural.
In the case of furfuryl alcohol, which is the main monomer of furanic resins, the combination of sulfonic groups and Pt active phases on SBA-15 has allowed the direct production of the alcohol from xylose with selectivities ranging from 83 to 87%, although only at 20% xylose conversion. The unmodified SBA-Pt catalyst, however, mainly yielded xylitol (45% selectivity) in similar conditions. The main problem encountered by Canhaci and coworkers in this case was the extensive leaching of sulfonic groups during stability studies. This in turn resulted in an increased yield of xylitol and furfural and a very high reduction of furfuryl alcohol yield in just four cycles [81].
A dual catalyst was created and applied to also obtain 1,2-pentanediol, the building block for propiconazole (DMI)—a triazole fungicide—from xylose. In this work, Wang and coworkers used Ru/C as a hydrogenation catalyst and niobium phosphate as an acid catalyst. In the best conditions, 21.27% combined yield for 1,2-propanediol and 1-hydroxyl-2-pentanone was reached in a water/GVL/cyclohexane biphasic L-L system. Most importantly, the authors showed that a high Lewis acidity is critical to obtain a high selectivity to 1,2-propanediol in hydrogenating conditions, reducing the selectivity towards xylitol [82].
Xylitol is the main product from the hydrogenation of furfural and a main ingredient in the food industry, as a sweetening agent. Recently, Morales and coworkers synthesized highly dispersed NiO catalysts out of mixed oxide precursors (from Ce and Ni) with reduced leaching in aqueous medium. In all cases, the selectivity to xylitol was 50–60%, with xylulose, glycerol and ethylene glycol being the main by-products [83]. Its catalytic production has been deeply reviewed recently [84].
Lactic acid (LA) is a platform chemical usually obtained via anaerobic or microaerobic fermentation of glucose by Lactobacilli. To increase productivities, working with more concentrated feedstock, the catalytic strategy could be an alternative. Liu et al. have recently proved that pyrolytic sugars (levoglucosan, glucose and xylose) can be converted in acceptable yields to LA (75, 74 and 61% based on C content) using lanthanum triflate, a Lewis acid catalyst [85]. This approach can be successfully extended to cellulose (73% C yield). Further proof of this strategy is encountered in the work by Li et al., which focused on the conversion of hexoses (from cellulose) and pentoses (from hemicellulose) to methyl lactate (MeLac) in near-supercritical methanol and in the presence of several metal chloride catalysts [86]. In the case of glucose, the best yield to MLA (47%) is obtained with LaCl3, a catalyst that also renders good MLA yields from fructose (64%) and xylose (33%).
Xylaric acid is an intermediate to glutaric acid and, thus, to PVC, resins, and synthetic rubbers, as well as several fine chemicals and agrochemicals. Therefore, xylaric acid has unquestionably been identified as one of the ten key platform chemicals from biomass. Very recently, Sabuda and Saha studied several commercial precious metals on carbon catalysts for the oxidation of xylose to xylaric acid in water, finding that Pt/C is the most active catalyst. High oxygen pressures and catalyst amounts facilitate deeper oxidation, hence reducing the presence of the intermediate xylonic acid and increasing the yield to xylaric acid, the end product [87].
Finally, like other pentoses, xylose can be employed as a monomer or as a source of monomers. Starting from xylose and using the catalytic activity of tin-containing silicates, Elliot et al. have created a new monomer for functional polyesters: trans-2,5-dihydroxy-3-pentenoic acid methyl ester (DPM). With Sn-Beta as the best catalyst and under optimized conditions, the authors reached a 33% yield to DPM [88]. Moreover, Lopez-Vidal et al. derived new xanthate (XAN) and thionocarbonate (TOC) cyclic monomers from 2-deoxy-D-ribose and D-xylose. A subsequent ring-opening polymerization (ROP) of these monomers rendered polycarbonates. To reach the monomers, CS2 and CO2 reacted with the sugars through a cyclocarbonation process, and further reaction with mesyl chloride with trimethylamine resulted in the cyclic xanthate [89].
5. Catalytic Transformation of Mannose
Mannose is a relatively rare hexose in comparison to glucose, but it is a major component of softwood hemicelluloses. Results of the major routes to transform it into new platform chemicals and synthons are collected in Table 8. It can be also obtained from glucose by epimerization using bulk or supported epimerization catalysts like Cs-phosphomolybdic acid (Cs-HPA), leading to an equilibrium conversion near 50% and total selectivity to mannose from glucose [39]. Further hydrogenation with Ru/C or RuMe/C catalysts to sorbitol and mannitol, considered biorefinery platform chemicals, is described for the mixture glucose + mannose in this paper. Conversions reach up to 16%, and it can be observed that as the mannitol/sorbitol ratio increases from 2.4 to 3.6 with time-on-stream during the operation of fixed bed reactors (FBR), a progressive decrease in the conversion down to 10% is noted. In all cases, at the beginning of the epimerization-hydrogenation processes in FBR, higher activities and mannitol/sorbitol were observed, but they reached stable values after 24–30 h on stream. The optimal coupling of fixed-bed reactors is a FBR with Cs-HPA/C catalyst for epimerization followed by another FBR with mixed Cs-HPA/C and Ru/C catalysts (thus, having epimerization and hydrogenation reactions in the same reactor); it resulted in stable conversions of glucose up to 66% with a mannitol/sorbitol ratio of 0.95 after 24 h on stream.
Table 8.
Relevant information contained in papers on the catalytic transformation of mannose.
The key platform chemical 5-HMF can also originate from mannose. Jia et al. have employed aluminum chloride catalysts in DMSO/H2O liquid systems, reaching 60% yield at 85% conversion in mild conditions (45 min, 130 °C). The presence of a certain amount of water in the liquid system (5% v/v) served to reduce by-products. Of the catalysts tested, SnCl4·5H2O also showed acceptable yields to 5-HMF (45%) with a slightly higher conversion of mannose (90%). Higher temperatures and high catalyst amounts increased mannose conversion up to 95% in 30 min but yield to 5-HMF was not higher than 60% [90].
The production of chiral C4 synthons like the tetroses d-(−)-erythrose and d-(+)-erythrulose, from hexoses such as glucose and mannose was studied by Lin et al., as discussed in Section 2.2 [42]. The reaction is a retro aldol process performed at 190 °C with tungstic and molybdic catalysts that results in yields of almost 46% to tetroses, subsequently transformed into several chiral C4 synthons. In the complex reaction network, epimerization, isomerization and retro aldol condensation combine depending on the original hexose (glucose, fructose or mannose). Therefore, as a side process to direct retro aldol condensation, 5-HMF and levulinic acid can be reached from mannose via epimerization to glucose, further isomerization to fructose, subsequent dehydration to 5-HMF and ring-opening hydration to levulinic acid.
Finally, and very recently, Tamura et al. developed a new method to obtain polyols and diols from several monosaccharides (namely mannose, galactose, fucose, rhamnose, arabinose and ribose), without including protection/deprotection steps (except for the hydroxyl moiety of the hemiacetal group). Hydrogenation eliminates several vicinal OH groups with the aid of ReOx-Pd/CeO2 catalysts [91]. In all cases, monosaccharide conversions are in excess of 97%, reaching yields to the cyclic dehydrated chiral products up to 96% in 55 h. These compounds, and the α,ω-diol synthons derived from them, present a high potential as drug chiral intermediates.
6. Catalytic Studies for the Transformation of Biomass from Micro and Macro-Algae
The potential of algal species is enormous due to their great metabolic and physiological plasticity and diversity. Algae achieve higher productivity than terrestrial plants as a result of their higher photosynthetic efficiency. For this reason, this feedstock can be considered as potentially important photosynthetic raw material for the production of biofuels, bioenergy, and valuable by-products of interest. In relation to the latter aspect, micro and macro-algal biomass derived from cultivation, in particular, can be refined (through de-oiling processes, among others) to produce a first fraction oriented towards the production of biofuels and a second fraction formed by a wide range of bio-based products employed for different applications [92,93,94].
This part of the work focuses on a literature survey on obtaining monosaccharides from algal biomass and their subsequent treatment to produce value-added products through different catalytic and non-catalytic procedures. For the valorization of this material, three types of transformations have been approached:
- (a)
- Processes based on mineral catalysis, mainly acid catalysis, to obtain hydrolysis products.
- (b)
- Processes based on the combination of mineral catalysis and enzymatic catalysis.
- (c)
- Hydrothermal processes combined with acid catalysis.
A compilation of works in the literature showing specific details on the main products obtained, catalysts used, and operating conditions, as well as the results obtained in their application, is shown in Table 9, while Figure 6 depicts the reaction routes herein described.
Table 9.
Summary of the details of works found in literature dealing with the transformation of micro and macroalgal biomass.
Figure 6.
Catalytic and biocatalytic reaction pathways using algal biomass.
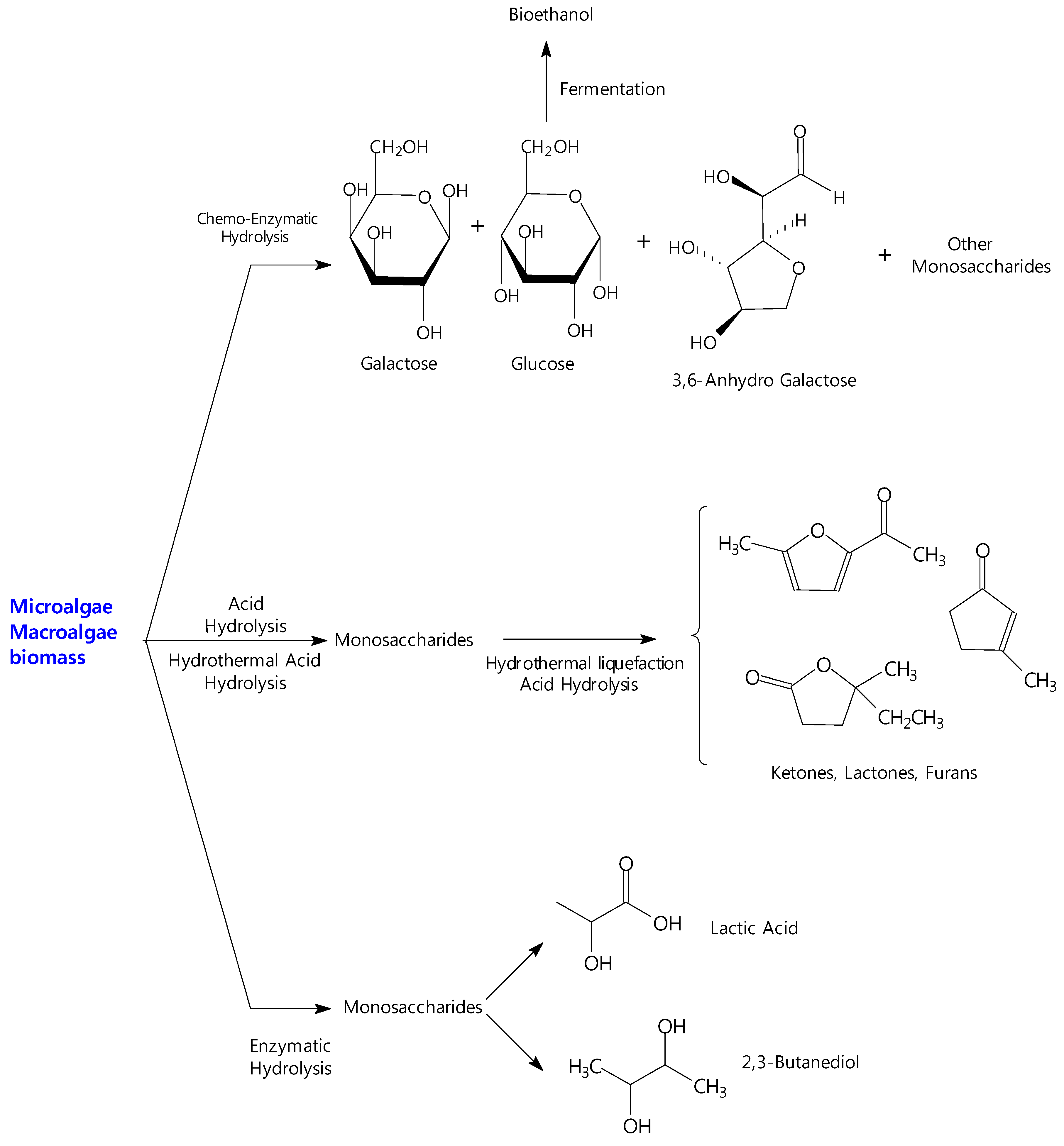
6.1. Production of Biosugars and Value-Added Products by Acid Hydrolysis Processes
A number of characteristics are common to these studies, including the fact that these processes use de-oiled carbohydrate-rich microalgae biomass as raw material since the lipid fraction is directed to the production of biodiesel. The object is the hydrolysis of the cell wall carbohydrates. In most cases, the chemical catalysis is carried out with strong acids, such as HCl or H2SO4. In many works, the chemical process of hydrolysis is comparable or complemented with enzymatic hydrolysis.
Mirsiaghi and Reardon achieve high yields of released sugar (243.2 mg/g biomass of Nannochloropsis salina), using acid concentrations of 10% for 5 h of reaction at 90 °C. In addition to the monosaccharides released, during the hydrolysis of biomass, certain inhibitors may generate if the process is combined with a fermentation. These by-products may be short-chain acids such as acetic or formic acids, as well as levulinic acid, furfural, and 5-HMF [95].
Another example is the low-molecular-weight maltodextrin production from carbohydrates of lipid-extracted Chlorella vulgaris biomass by acid hydrolysis of H2SO4 [96]. This process is of great interest because the maltodextrin obtained from the microalgae biomass residues is resistant to enzymatic hydrolysis.
Acid catalysis can be used in situ for hydrolysis and for transesterification to obtain biodiesel. Nevertheless, not only biodiesel but also bio-chemicals can be produced through this process because both lipids and carbohydrates can undergo transformations under acidic conditions [97]. Levulinic acid ester (levulinate) is produced by acid catalysis of H2SO4 at 130 °C of glucose from the biomass of two microalgae, namely: chlorella sp. and Nannochloropsis gaditana. In this study, it was observed that more than 40 mol% glucose inside the cell is converted to levulinate.
6.2. Production of Biosugars and Value-Added Products by Chemo-Enzymatic Processes
The studies of this section approach the chemo-enzymatic hydrolysis of the residual biomass of algae after lipid extraction. Biomass of various types of microalgae are treated, including Dunaliella tertiolecta, Gracilaria verrucosa, and Scenedesmus sp. CCNM 1077 [98].
The chemo-hydrolysis usually uses acid catalysts such as HCl or H2SO4, with concentrations of 0.1 to 1 M, and 0.05 to 0.5M, respectively, temperatures between 90 and 125 °C, and reaction time of no more than 24 h.
In this type of process, there are several papers focused on the hydrolysis of polysaccharides to monosaccharides, comparing chemical and enzymatic processes, including further transformation of the monosaccharides into other products of interest. For example, the polysaccharide isolated from Dunaliella tertiolecta biomass is defined as linear (1→4)-α-D-glucan-based. The hydrolysis of this homopolysaccharide to glucose is followed by the conversion of the simple sugar to bio-ethanol, a biofuel of paramount importance [97]. The recovery of glucose reaches over 90% for both hydrolytic approaches, i.e., chemo-hydrolysis with H2SO4 on one hand, and enzymatic-hydrolysis with a mixture of two enzymes, α-amylase and α-glucosidase, on the other.
Lee et al. [99] obtained bioethanol from glucose extracted from the same microalgae, comparing the results of acid catalysis and enzymatic catalysis over the saccharification of de-oiled biomass. The saccharification process using AMG 300L produced 21 mg/mL of reducing sugar with 42% yield based on the residual biomass mass. The yield observed, based on the total amount of carbohydrates of the residual biomass, was 80.9% (w/w). This result is higher than that obtained with HCl acid hydrolysis, which only attained a yield of 29.5% (w/w). Subsequently, bioethanol was produced from the enzymatic saccharification products by s. cerevisiae YPH500, for which the fermentation yield was 0.14g ethanol/g residual biomass and 82.0% of the theoretical fermentation yield.
When Gracilaria verrucosa was employed as feedstock, the hydrolysis process generated a mixture of monosaccharides, mainly glucose, galactose and 3,6-anhydrous galactose. Shin et al., analyzed biosugar production by chemical hydrolysis plus enzymatic hydrolysis of this biomass microalgae, using small laboratory scale (volume of 30 mL) and large scale (volume of 1 L) [100]. The enzymatic hydrolysis was carried out with pretreated biomass samples by acid hydrolysis, using a commercial enzyme (Cellic CTec2). The combined acid and enzymatic hydrolysis produced a moderated amount of biosugar (37.4% under small-scale conditions and 21.26% under large-scale conditions) with minimal production of by-products (levulinic acid and 5-HMF, among others).
Another example in which hydrolysis produces a mixture of monosaccharides can be found in the biomass treatment of Scenedesmus sp. CCNM 1077. In this work, hydrolysis is performed with 0.5M HCl for 45 min at 121 °C, obtaining a yield of 37.9% (w/w) of the de-oiled biomass. This result is compared with enzymatic hydrolysis for 72 h at 45 °C, using Viscozyme L with a yield of 43.4% [101]. In addition, bioethanol production by Saccharomyces cerevisiae ATCC 6793 is studied.
It is worthwhile highlighting some works in which only enzymatic hydrolysis is performed. The fermentation of de-oiled algal cake biomass (Great Salt Lake algal isolate designed USU080) for production of lactic acid is undertaken by Lactobacillus casei [102]. The acid lactic yield is 11.17 g/L by action of three enzymes digested, pepsin, α-amylase and cellulose.
The synthesis of 2,3-butanediol by fermentation with Klebsiella oxytoca of a mix of seven monosaccharides (glucose, galactose, xylose, mannose, ribose, rhamnose and fucose) present in the biomass of Nanochloropsis oceanica was studied [103]. All the sugars, with the exception of fucose, were successfully metabolized to 2,3-butanediol (2,3-BD), with a yield of 0.31 g 2,3-BD/g of sugars mixture.
Finally, Bolado et al. [104] studied the saccharification of mixture of biomass of three microalgae obtained from wastewater treatment by enzymatic hydrolysis. Microalgal biomass is composed mainly of Scenedesmus obliquus, and, to a lesser extent, of Scenedesmus quadricauda and Nitzschia sp. Their biomass is hydrolyzed by cellulases and β-glucosidase, obtaining acetic, butyric, and formic acids. Moreover, the authors analyzed the effect of alkaline peroxide pretreatment in the process.
6.3. Production of Biosugars and Value-Added Products by Catalytic Hydrothermal Processes
In this part, papers in scientific literature are discussed where the spotlight is placed on the hydrolysis of polysaccharides present in algal biomass through dilute-acid-catalyzed hydrothermal reactions. The working temperature ranges between 150 and 160 °C, which is 30–60 °C greater than those employed in catalytic hydrolysis. Jeong et al. establish the optimal production of platform chemicals, monosaccharides such as glucose and galactose, and by-products such as levulinic acid, 5-HMF, using macro-algal biomass Kappaphycus alvarezzi [105]. The catalyst used is sulfuric acid (1% w/w) in a reaction time of 20 min to obtain yields of 2.15 g/L to glucose and 14.47 g/L to galactose. The same process is used by these authors with another macro-algae, Enteromorpha intestinalis. Slightly higher temperatures are used and glucose (yield of 10.41%), xylose, mannose and galactose (yield of 18.08%) are produced along with levulinic acid, 5-HMF, and furfural [106].
The catalytic hydrothermal hydrolysis is also used for the conversion of macroalgae-derived alginate into furfural and valuable organic acids under subcritical water conditions [107]. The influence of the pH was studied to obtain different products, such as lactic, fumaric, and malic acids, when pH is 13 (using NaOH), whereas mannunoric, guluronic, furfural and glycolic acids prevailed at pH 1 (using HCl) using alginate concentrations of 20 g/L. Yields higher than 43% of monomers in acid pH with a reaction time of 30 min were achieved.
Finally, more drastic conditions can be employed in the hydrothermal liquefaction of biomass from Chlorella vulgaris leading to, among others, a fraction of oil in which there is a mixture of cyclic ketones, lactones, furans, phenols and hydrocarbons [108]. The catalysts used were acetic acid (0.1 mol/L) and sulphuric acid (0.01 mol/L). The temperature range used was 220–330 °C, and a reaction time of 30 min. The yield of the liquid fraction obtained does not exceed 16%.
7. Conclusions and Future Perspective
Several catalytic strategies are presently being developed from biomass. A first approach involves pyrolysis or gasification to liquid and gases that are further separated and transformed into chemicals. Secondly, catalysis can be directly applied to plant or algal biomass or its main polymers, namely, starch, cellulose, lignin, and hemicelluloses. A final strategy is the development of catalytic routes from the monomers constituting these polymers, such as glucose, fructose, xylose, and mannose, among others. Concerning the two latter strategies, there has been an overwhelming amount of scientific and technical information reported in recent decades. Nevertheless, several hindrances remain, in particular the presence of a considerable variety and concentration of by-products, due to the presence of several side-reactions and the decomposition or further transformation of target products. In these regards, work on glucose or xylose to furans by dehydration using mixed Brønsted and Lewis catalysts is reaching very high yields to main products either directly from these monomers and, more recently, from cellulose and, most evidently, from xylose-rich hemicelluloses. It is worthwhile highlighting that the most adequate results are obtained when combining reaction with separation techniques, mainly extraction, to avoid further degradation of 5-HMF or furfural, typically in liquid-liquid or solid-liquid-liquid systems. For solid catalysis, epimerization, isomerization and hydrogenation combinations in in-series fixed bed reactors show the adequate way to combine transformations and reach higher yields to the products of interest. Therefore, challenges posed by selectivity (low yields) still remain for several products that need deep transformation of the C5 and C6 reactants, requiring more specific catalysts that reduce the impact of side-reactions. In the event that by-products were of interest in these cases, the combination of reaction and/or separation operations would be of interest for use here. In several routes, the stability and/or the less-studied regeneration capacity of the catalyst should be improved to gain economic feasibility in scale-up of processes. Finally, in recent years, researchers have turned their attention to other plentiful biomass feedstock: macro- and microalgae. Though the application of catalysis to these is only starting, the knowledge gained with starchy and lignocellulosic biomass is being applied and several platform chemicals (galactose, glucose) and target products (lactic acid, ketones, lactones, and furans) are being produced.
Author Contributions
J.E., P.Y., and M.L. contributed equally to this work.
Funding
Funding from the Spanish Ministry of Science, Innovation and Universities (MISIU) through grant CTQ-2017-84963-C2-1-R is gratefully acknowledged.
Conflicts of Interest
The authors declare no conflict of interest.
References
- Bharathiraja, B.; Chakravarthy, M.; Kumar, R.R.; Jayamuthunagai, J.; Kumar, R.P. Integrated Biorefinery for Bioenergy and Platform Chemicals. In Platform Chemical Biorefinery; Elsevier: Amsterdam, The Netherlands, 2017; pp. 417–435. [Google Scholar]
- Sudhakar, K.; Mamat, R.; Samykano, M.; Azmi, W.H.; Ishak, W.F.W.; Yusaf, T. An overview of marine macroalgae as bioresource. Renew. Sustain. Energy Rev. 2018, 91, 165–179. [Google Scholar] [CrossRef]
- US Energy Information Administration. Annual Energy Outlook 2018: With Projections to 2050. 2018. Available online: https://www.eia.gov/outlooks/aeo/pdf/AEO2018.pdf (accessed on 28 October 2018).
- Vassilev, S.V.; Baxter, D.; Andersen, L.K.; Vassileva, C.G. An overview of the chemical composition of biomass. Fuel 2010, 89, 913–933. [Google Scholar] [CrossRef]
- Snehesh, A.S.; Mukunda, H.S.; Mahapatra, S.; Dasappa, S. Fischer-Tropsch route for the conversion of biomass to liquid fuels—Technical and economic analysis. Energy 2017, 130, 182–191. [Google Scholar] [CrossRef]
- Arregi, A.; Amutio, M.; Lopez, G.; Bilbao, J.; Olazar, M. Evaluation of thermochemical routes for hydrogen production from biomass: A review. Energy Convers. Manag. 2018, 165, 696–719. [Google Scholar] [CrossRef]
- Espro, C.; Gumina, B.; Szumelda, T.; Paone, E.; Mauriello, F. Catalytic Transfer Hydrogenolysis as an Effective Tool for the Reductive Upgrading of Cellulose, Hemicellulose, Lignin, and Their Derived Molecules. Catalysts 2018, 8, 313. [Google Scholar] [CrossRef]
- Nizami, A.S.; Rehan, M.; Waqas, M.; Naqvi, M.; Ouda, O.K.M.; Shahzad, K.; Miandad, R.; Khan, M.Z.; Syamsiro, M.; Ismail, I.M.I.; et al. Waste biorefineries: Enabling circular economies in developing countries. Bioresour. Technol. 2017, 241, 1101–1117. [Google Scholar] [CrossRef] [PubMed]
- Wainaina, S.; Horvath, I.S.; Taherzadeh, M.J. Biochemicals from food waste and recalcitrant biomass via syngas fermentation: A review. Bioresour. Technol. 2018, 248, 113–121. [Google Scholar] [CrossRef]
- Karinen, R.; Vilonen, K.; Niemela, M. Biorefining: Heterogeneously Catalyzed Reactions of Carbohydrates for the Production of Furfural and Hydroxymethylfurfural. Chemsuschem 2011, 4, 1002–1016. [Google Scholar] [CrossRef]
- Menegazzo, F.; Ghedini, E.; Signoretto, M. 5-Hydroxymethylfurfural (HMF) Production from Real Biomasses. Molecules 2018, 23, 2201. [Google Scholar] [CrossRef]
- Shen, F.; Smith, R.L.; Li, L.Y.; Yan, L.L.; Qi, X.H. Eco-friendly Method for Efficient Conversion of Cellulose into Levulinic Acid in Pure Water with Cellulase-Mimetic Solid Acid Catalyst. ACS Sustain. Chem. Eng. 2017, 5, 2421–2427. [Google Scholar] [CrossRef]
- Khan, A.S.; Man, Z.; Bustam, M.A.; Kait, C.F.; Nasrullah, A.; Ullah, Z.; Sarwono, A.; Ahamd, P.; Muhammad, N. Dicationic ionic liquids as sustainable approach for direct conversion of cellulose to levulinic acid. J. Clean. Prod. 2018, 170, 591–600. [Google Scholar] [CrossRef]
- Luo, Y.P.; Li, Z.; Li, X.L.; Liu, X.F.; Fan, J.J.; Clark, J.H.; Hu, C.W. The production of furfural directly from hemicellulose in lignocellulosic biomass: A review. Catal. Today 2019, 319, 14–24. [Google Scholar] [CrossRef]
- Matsagar, B.M.; Dhepe, P.L. Effects of cations, anions and H+ concentration of acidic ionic liquids on the valorization of polysaccharides into furfural. New J. Chem. 2017, 41, 6137–6144. [Google Scholar] [CrossRef]
- Zhang, Z.H.; Huber, G.W. Catalytic oxidation of carbohydrates into organic acids and furan chemicals. Chem. Soc. Rev. 2018, 47, 1351–1390. [Google Scholar] [CrossRef] [PubMed]
- Wang, M.; Ma, J.P.; Liu, H.F.; Luo, N.C.; Zhao, Z.T.; Wang, F. Sustainable Productions of Organic Acids and Their Derivatives from Biomass via Selective Oxidative Cleavage of C-C Bond. Acs Catal. 2018, 8, 2129–2165. [Google Scholar] [CrossRef]
- Agarwal, B.; Kailasam, K.; Sangwan, R.S.; Elumalai, S. Traversing the history of solid catalysts for heterogeneous synthesis of 5-hydroxymethylfurfural from carbohydrate sugars: A review. Renew. Sustain. Energy Rev. 2018, 82, 2408–2425. [Google Scholar] [CrossRef]
- Nitsos, C.; Rova, U.; Christakopoulos, P. Organosolv Fractionation of Softwood Biomass for Biofuel and Biorefinery Applications. Energies 2018, 11, 50. [Google Scholar] [CrossRef]
- Song, J.L.; Fan, H.L.; Ma, J.; Han, B.X. Conversion of glucose and cellulose into value-added products in water and ionic liquids. Green Chem. 2013, 15, 2619–2635. [Google Scholar] [CrossRef]
- Zabed, H.; Sahu, J.N.; Boyce, A.N.; Faruq, G. Fuel ethanol production from lignocellulosic biomass: An overview on feedstocks and technological approaches. Renew. Sustain. Energy Rev. 2016, 66, 751–774. [Google Scholar] [CrossRef]
- Huang, Y.B.; Fu, Y. Hydrolysis of cellulose to glucose by solid acid catalysts. Green Chem. 2013, 15, 1095–1111. [Google Scholar] [CrossRef]
- Yoo, C.G.; Li, N.; Swannell, M.; Pan, X.J. Isomerization of glucose to fructose catalyzed by lithium bromide in water. Green Chem. 2017, 19, 4402–4411. [Google Scholar] [CrossRef]
- Mensah, J.B.; Delidovich, I.; Hausoul, P.J.C.; Weisgerber, L.; Schrader, W.; Palkovits, R. Mechanistic Studies of the Cu(OH)(+)-Catalyzed Isomerization of Glucose into Fructose in Water. Chemsuschem 2018, 11, 2579–2586. [Google Scholar] [CrossRef] [PubMed]
- Saravanamurugan, S.; Riisager, A.; Taarning, E.; Meier, S. Combined Function of Bronsted and Lewis Acidity in the Zeolite-Catalyzed Isomerization of Glucose to Fructose in Alcohols. Chemcatchem 2016, 8, 3107–3111. [Google Scholar] [CrossRef]
- Pienkoss, F.; Ochoa-Hernandez, C.; Theyssen, N.; Leitner, W. Kaolin: A Natural Low-Cost Material as Catalyst for Isomerization of Glucose to Fructose. ACS Sustain. Chem. Eng. 2018, 6, 8782–8789. [Google Scholar] [CrossRef]
- Parveen, F.; Upadhyayula, S. Efficient conversion of glucose to HMF using organocatalysts with dual acidic and basic functionalities—A mechanistic and experimental study. Fuel Process. Technol. 2017, 162, 30–36. [Google Scholar] [CrossRef]
- Hou, Q.D.; Zhen, M.N.; Liu, L.; Chen, Y.; Huang, F.; Zhang, S.Q.; Li, W.Z.; Ju, M.T. Tin phosphate as a heterogeneous catalyst for efficient dehydration of glucose into 5-hydroxymethylfurfural in ionic liquid. Appl. Catal. B-Environ. 2018, 224, 183–193. [Google Scholar] [CrossRef]
- Cui, M.; Wu, Z.J.; Huang, R.L.; Qi, W.; Su, R.X.; He, Z.M. Integrating chromium-based ceramic and acid catalysis to convert glucose into 5-hydroxymethylfurfural. Renew. Energy 2018, 125, 327–333. [Google Scholar] [CrossRef]
- Insyani, R.; Verma, D.; Kim, S.M.; Kim, J. Direct one-pot conversion of monosaccharides into high-yield 2,5-dimethylfuran over a multifunctional Pd/Zr-based metal-organic framework@sulfonated graphene oxide catalyst. Green Chem. 2017, 19, 2482–2490. [Google Scholar] [CrossRef]
- Yang, Z.Z.; Qi, W.; Su, R.X.; He, Z.M. 3D Flower-like Micro/Nano Ce-Mo Composite Oxides as Effective Bifunctional Catalysts for One-Pot Conversion of Fructose to 2,5-Diformylfuran. ACS Sustain. Chem. Eng. 2017, 5, 4179–4187. [Google Scholar] [CrossRef]
- Zhao, J.; Anjali, J.; Yan, Y.B.; Lee, J.M. Cr-MIL-101-Encapsulated Keggin Phosphomolybdic Acid as a Catalyst for the One-Pot Synthesis of 2,5-Diformylfuran from Fructose. Chemcatchem 2017, 9, 1187–1191. [Google Scholar] [CrossRef]
- Wang, J.; Yao, G.D.; Jin, F.M. One-pot catalytic conversion of carbohydrates into alkyl lactates with Lewis acids in alcohols. Mol. Catal. 2017, 435, 82–90. [Google Scholar] [CrossRef]
- Tosi, I.; Riisager, A.; Taarning, E.; Jensen, P.R.; Meier, S. Kinetic analysis of hexose conversion to methyl lactate by Sn-Beta: Effects of substrate masking and of water. Catal. Sci. Technol. 2018, 8, 2137–2145. [Google Scholar] [CrossRef]
- Wei, W.Q.; Wu, S.B. Experimental and kinetic study of glucose conversion to levulinic acid in aqueous medium over Cr/HZSM-5 catalyst. Fuel 2018, 225, 311–321. [Google Scholar] [CrossRef]
- Cui, J.L.; Tan, J.J.; Deng, T.S.; Cui, X.J.; Zhu, Y.L.; Li, Y.W. Conversion of carbohydrates to furfural via selective cleavage of the carbon-carbon bond: The cooperative effects of zeolite and solvent. Green Chem. 2016, 18, 1619–1624. [Google Scholar] [CrossRef]
- Zhang, L.X.; Xi, G.Y.; Chen, Z.; Jiang, D.; Yu, H.B.; Wang, X.C. Highly selective conversion of glucose into furfural over modified zeolites. Chem. Eng. J. 2017, 307, 868–876. [Google Scholar] [CrossRef]
- Li, K.; Du, M.M.; Ji, P.J. Multifunctional Tin-Based Heterogeneous Catalyst for Catalytic Conversion of Glucose to 5-Hydroxymethylfurfural. ACS Sustain. Chem. Eng. 2018, 6, 5636–5644. [Google Scholar] [CrossRef]
- Lari, G.M.; Groninger, O.G.; Li, Q.; Mondelli, C.; Lopez, N.; Perez-Ramirez, J. Catalyst and Process Design for the Continuous Manufacture of Rare Sugar Alcohols by Epimerization-Hydrogenation of Aldoses. Chemsuschem 2016, 9, 3407–3418. [Google Scholar] [CrossRef]
- Deng, W.P.; Wang, P.; Wang, B.J.; Wang, Y.L.; Yan, L.F.; Li, Y.Y.; Zhang, Q.H.; Cao, Z.X.; Wang, Y. Transformation of cellulose and related carbohydrates into lactic acid with bifunctional Al(III)-Sn(II) catalysts. Green Chem. 2018, 20, 735–744. [Google Scholar] [CrossRef]
- Barbaro, P.; Liguori, F.; Moreno-Marrodan, C. Selective direct conversion of C-5 and C-6 sugars to high added-value chemicals by a bifunctional, single catalytic body. Green Chem. 2016, 18, 2935–2940. [Google Scholar] [CrossRef]
- Lin, S.Y.; Guo, X.; Qin, K.; Feng, L.; Zhang, Y.H.; Tang, Y. Efficient Production of Biomass-Derived C-4 Chiral Synthons in Aqueous Solution. Chemcatchem 2017, 9, 4179–4184. [Google Scholar] [CrossRef]
- Zhou, B.W.; Song, J.L.; Zhang, Z.R.; Jiang, Z.W.; Zhang, P.; Han, B.X. Highly selective photocatalytic oxidation of biomass-derived chemicals to carboxyl compounds over Au/TiO2. Green Chem. 2017, 19, 1075–1081. [Google Scholar] [CrossRef]
- Ding, G.D.; Su, J.; Zhang, C.; Tang, K.; Yang, L.S.; Lin, H.F. Coupling Glucose Dehydrogenation with CO2 Hydrogenation by Hydrogen Transfer in Aqueous Media at Room Temperature. Chemsuschem 2018, 11, 2029–2034. [Google Scholar] [CrossRef] [PubMed]
- Payormhorm, J.; Chuangchote, S.; Kiatkittipong, K.; Chiarakorn, S.; Laosiripojana, N. Xylitol and gluconic acid productions via photocatalytic-glucose conversion using TiO2 fabricated by surfactant-assisted techniques: Effects of structural and textural properties. Mater. Chem. Phys. 2017, 196, 29–36. [Google Scholar] [CrossRef]
- Rizescu, C.; Podolean, I.; Albero, J.; Parvulescu, V.I.; Coman, S.M.; Bucur, C.; Puche, M.; Garcia, H. N-Doped graphene as a metal-free catalyst for glucose oxidation to succinic acid. Green Chem. 2017, 19, 1999–2005. [Google Scholar] [CrossRef]
- Ventura, M.; Williamson, D.; Lobefaro, F.; Jones, M.D.; Mattia, D.; Nocito, F.; Aresta, M.; Dibenedetto, A. Sustainable Synthesis of Oxalic and Succinic Acid through Aerobic Oxidation of C6 Polyols Under Mild Conditions. Chemsuschem 2018, 11, 1073–1081. [Google Scholar] [CrossRef] [PubMed]
- Rodygin, K.S.; Werner, I.; Ananikov, V.P. A Green and Sustainable Route to Carbohydrate Vinyl Ethers for Accessing Bioinspired Materials with a Unique Microspherical Morphology. Chemsuschem 2018, 11, 292–298. [Google Scholar] [CrossRef]
- Yang, Z.Z.; Qi, W.; Huang, R.L.; Fang, J.; Su, R.X.; He, Z.M. Functionalized silica nanoparticles for conversion of fructose to 5-hydroxymethylfurfural. Chem. Eng. J. 2016, 296, 209–216. [Google Scholar] [CrossRef]
- Fan, C.; Huang, B.H.; Pan, C.; Zhang, J.S.; Wen, H.N.; Yang, J.Y.; Sun, Y. Synthesis of flake-like mesoporous silicate having multiple metal centers and catalytic application for conversion of D-(-)-fructose into fine chemicals. Mater. Chem. Phys. 2017, 200, 295–307. [Google Scholar] [CrossRef]
- Guo, X.W.; Tang, J.Q.; Xiang, B.; Zhu, L.F.; Yang, H.Q.; Hu, C.W. Catalytic Dehydration of Fructose into 5-Hydroxymethylfurfural by a DMSO-like Polymeric Solid Organocatalyst. Chemcatchem 2017, 9, 3218–3225. [Google Scholar] [CrossRef]
- Verma, S.; Baig, R.B.N.; Nadagouda, M.N.; Len, C.; Varma, R.S. Sustainable pathway to furanics from biomass via heterogeneous organo-catalysis. Green Chem. 2017, 19, 164–168. [Google Scholar] [CrossRef]
- Wang, Y.Q.; Ding, G.Q.; Yang, X.H.; Zheng, H.Y.; Zhu, Y.L.; Li, Y.W. Selectively convert fructose to furfural or hydroxymethylfurfural on Beta zeolite: The manipulation of solvent effects. Appl. Catal. B-Environ. 2018, 235, 150–157. [Google Scholar] [CrossRef]
- Xiang, X.M.; Cui, J.L.; Ding, G.Q.; Zheng, H.Y.; Zhu, Y.L.; Li, Y.W. One-Step Continuous Conversion of Fructose to 2,5-Dihydroxymethylfuran and 2,5-Dimethylfuran. ACS Sustain. Chem. Eng. 2016, 4, 4506–4510. [Google Scholar] [CrossRef]
- Wu, W.P.; Xu, Y.J.; Zhu, R.; Cui, M.S.; Li, X.L.; Deng, J.; Fu, Y. Selective Conversion of 5-Hydroxymethylfuraldehyde Using Cp*Ir Catalysts in Aqueous Formate Buffer Solution. Chemsuschem 2016, 9, 1209–1215. [Google Scholar] [CrossRef] [PubMed]
- Rathod, P.V.; Jadhav, V.H. Efficient Method for Synthesis of 2,5-Furandicarboxylic Acid from 5-Hydroxymethylfurfural and Fructose Using Pd/CC Catalyst under Aqueous Conditions. ACS Sustain. Chem. Eng. 2018, 6, 5766–5771. [Google Scholar] [CrossRef]
- Zhang, J.; Wang, L.; Wang, G.X.; Chen, F.; Zhu, J.; Wang, C.T.; Bian, C.Q.; Pan, S.X.; Xiao, F.S. Hierarchical Sn-Beta Zeolite Catalyst for the Conversion of Sugars to Alkyl Lactates. ACS Sustain. Chem. Eng. 2017, 5, 3123–3131. [Google Scholar] [CrossRef]
- Nemoto, K.; Hirano, Y.; Hirata, K.; Takahashi, T.; Tsuneki, H.; Tominaga, K.; Sato, K. Cooperative In-Sn catalyst system for efficient methyl lactate synthesis from biomass-derived sugars. Appl. Catal. B-Environ. 2016, 183, 8–17. [Google Scholar] [CrossRef]
- Yang, X.M.; Liu, Y.; Li, X.X.; Ren, J.X.; Zhou, L.P.; Lu, T.L.; Su, Y.L. Synthesis of Sn-Containing Nanosized Beta Zeolite As Efficient Catalyst for Transformation of Glucose to Methyl Lactate. ACS Sustain. Chem. Eng. 2018, 6, 8256–8265. [Google Scholar] [CrossRef]
- Fu, J.; Xu, X.X.; Lu, X.L.; Lu, X.Y. Hydrothermal Decomposition of Carbohydrates to Levulinic Acid with Catalysis by Ionic Liquids. Ind. Eng. Chem. Res. 2016, 55, 11044–11051. [Google Scholar] [CrossRef]
- Rao, B.S.; Kumari, P.K.; Lakshmi, D.D.; Lingaiah, N. One pot selective transformation of biomass derived chemicals towards alkyl levulinates over titanium exchanged heteropoly tungstate catalysts. Catal. Today 2018, 309, 269–275. [Google Scholar] [CrossRef]
- Amarasekara, A.S.; Nguyen, L.H.; Okorie, N.C.; Jamal, S.M. A two-step efficient preparation of a renewable dicarboxylic acid monomer 5,5′-oxybis(methylene) bis 2-furancarboxylic acid from D-fructose and its application in polyester synthesis. Green Chem. 2017, 19, 1570–1575. [Google Scholar] [CrossRef]
- Morales, G.; Paniagua, M.; Melero, J.A.; Iglesias, J. Efficient production of 5-ethoxymethylfurfural from fructose by sulfonic mesostructured silica using DMSO as co-solvent. Catal. Today 2017, 279, 305–316. [Google Scholar] [CrossRef]
- Antonyraj, C.A.; Haridas, A. A lignin-derived sulphated carbon for acid catalyzed transformations of bio-derived sugars. Catal. Commun. 2018, 104, 101–105. [Google Scholar] [CrossRef]
- Wrigstedt, P.; Keskivali, J.; Perea-Buceta, J.E.; Repo, T. One-Pot Transformation of Carbohydrates into Valuable Furan Derivatives via 5-Hydroxymethylfurfural. Chemcatchem 2017, 9, 4244–4255. [Google Scholar] [CrossRef]
- Yan, D.X.; Wang, G.Y.; Gao, K.; Lu, X.M.; Xin, J.Y.; Zhang, S.J. One-Pot Synthesis of 2,5-Furandicarboxylic Acid from Fructose in Ionic Liquids. Ind. Eng. Chem. Res. 2018, 57, 1851–1858. [Google Scholar] [CrossRef]
- Zelin, J.; Meyer, C.I.; Regenhardt, S.A.; Sebastian, V.; Garetto, T.F.; Marchi, A.J. Selective liquid-phase hydrogenation of fructose to D-mannitol over copper-supported metallic nanoparticles. Chem. Eng. J. 2017, 319, 48–56. [Google Scholar] [CrossRef]
- Lu, T.N.; Chang, C.C. Synthesis of 3-Deoxy-l-ketohexoses through Group Transfer. J. Org. Chem. 2016, 81, 469–475. [Google Scholar] [CrossRef]
- Zhou, X.W.; Li, W.J.; Mabon, R.; Broadbelt, L.J. A Critical Review on Hemicellulose Pyrolysis. Energy Technol. 2017, 5, 52–79. [Google Scholar] [CrossRef]
- Hronec, M.; Fulajtárová, K. Terephthalic acid from waste PET: An efficient and reusable catalyst for xylose conversion into furfural. Catal. Today 2018. [Google Scholar] [CrossRef]
- Hui, W.; Zhou, Y.; Dong, Y.; Cao, Z.-J.; He, F.-Q.; Cai, M.-Z.; Tao, D.-J. Efficient hydrolysis of hemicellulose to furfural by novel superacid SO4H-functionalized ionic liquids. Green Energy Environ. 2018. [Google Scholar] [CrossRef]
- Xu, S.Q.; Pan, D.H.; Wu, Y.F.; Song, X.H.; Gao, L.J.; Li, W.Q.; Das, L.; Xiao, G.M. Efficient production of furfural from xylose and wheat straw by bifunctional chromium phosphate catalyst in biphasic systems. Fuel Process. Technol. 2018, 175, 90–96. [Google Scholar] [CrossRef]
- Sener, C.; Motagamwala, A.H.; Alonso, D.M.; Dumesic, J.A. Enhanced Furfural Yields from Xylose Dehydration in the gamma-Valerolactone/Water Solvent System at Elevated Temperatures. Chemsuschem 2018, 11, 2321–2331. [Google Scholar] [CrossRef] [PubMed]
- Chatterjee, A.; Hu, X.J.; Lam, F.L.Y. A dual acidic hydrothermally stable MOF-composite for upgrading xylose to furfural. Appl. Catal. A-Gen. 2018, 566, 130–139. [Google Scholar] [CrossRef]
- Sato, O.; Mimura, N.; Masuda, Y.; Shirai, M.; Yamaguchi, A. Effect of extraction on furfural production by solid acid-catalyzed xylose dehydration in water. J. Supercrit. Fluids 2019, 144, 14–18. [Google Scholar] [CrossRef]
- Tran, T.T.V.; Kongparakul, S.; Karnjanakom, S.; Reubroycharoen, P.; Guan, G.Q.; Chanlek, N.; Samart, C. Highly productive xylose dehydration using a sulfonic acid functionalized KIT-6 catalyst. Fuel 2019, 236, 1156–1163. [Google Scholar] [CrossRef]
- Moreno-Marrodan, C.; Barbaro, P.; Caporali, S.; Bossola, F. Low-Temperature Continuous-Flow Dehydration of Xylose over Water-Tolerant Niobia-Titania Heterogeneous Catalysts. Chemsuschem 2018, 11, 3649–3660. [Google Scholar] [CrossRef] [PubMed]
- Hu, S.J.; Zhu, J.H.; Wu, Y.L.; Xie, R.R.; Wu, K.J.; Yang, M.D. Preparation of packing type catalysts AAO@Al/Meso-SiO2-SO3H for the dehydration of xylose into furfural. Microporous Mesoporous Mater. 2018, 262, 112–121. [Google Scholar] [CrossRef]
- Lin, Q.X.; Zhang, C.H.; Wang, X.H.; Cheng, B.G.; Mai, N.; Ren, J.L. Impact of activation on properties of carbon-based solid acid catalysts for the hydrothermal conversion of xylose and hemicelluloses. Catal. Today 2019, 319, 31–40. [Google Scholar] [CrossRef]
- Lopez-Aguado, C.; Paniagua, M.; Iglesias, J.; Morales, G.; Garcia-Fierro, J.L.; Melero, J.A. Zr-USY zeolite: Efficient catalyst for the transformation of xylose into bio-products. Catal. Today 2018, 304, 80–88. [Google Scholar] [CrossRef]
- Canhaci, S.J.; Perez, R.F.; Borges, L.E.P.; Fraga, M.A. Direct conversion of xylose to furfuryl alcohol on single organic-inorganic hybrid mesoporous silica-supported catalysts. Appl. Catal. B-Environ. 2017, 207, 279–285. [Google Scholar] [CrossRef]
- Wang, N.L.; Chen, Z.P.; Liu, L.C. Acid catalysis dominated suppression of xylose hydrogenation with increasing yield of 1,2-pentanediol in the acid-metal dual catalyst system. Appl. Catal. A-Gen. 2018, 561, 41–48. [Google Scholar] [CrossRef]
- Morales, R.; Campos, C.H.; Fierro, J.L.G.; Fraga, M.A.; Pecchi, G. Stable reduced Ni catalysts for xylose hydrogenation in aqueous medium. Catal. Today 2018, 310, 59–67. [Google Scholar] [CrossRef]
- Delgado Arcaño, Y.; Valmaña García, O.D.; Mandelli, D.; Carvalho, W.A.; Magalhães Pontes, L.A. Xylitol: A review on the progress and challenges of its production by chemical route. Catal. Today 2018. [Google Scholar] [CrossRef]
- Liu, D.J.; Kim, K.H.; Sun, J.; Simmons, B.A.; Singh, S. Cascade Production of Lactic Acid from Universal Types of Sugars Catalyzed by Lanthanum Triflate. Chemsuschem 2018, 11, 598–604. [Google Scholar] [CrossRef] [PubMed]
- Lu, X.L.; Fu, J.; Langrish, T.; Lu, X.Y. Simultaneous Catalytic Conversion of C6 and C5 Sugars to Methyl Lactate in Near-critical Methanol with Metal Chlorides. Bioresources 2018, 13, 3627–3641. [Google Scholar] [CrossRef]
- Sadula, S.; Saha, B. Aerobic Oxidation of Xylose to Xylaric Acid in Water over Pt Catalysts. Chemsuschem 2018, 11, 2124–2129. [Google Scholar] [CrossRef] [PubMed]
- Elliot, S.G.; Andersen, C.; Tolborg, S.; Meier, S.; Sadaba, I.; Daugaard, A.E.; Taarning, E. Synthesis of a novel polyester building block from pentoses by tin-containing silicates. Rsc Adv. 2017, 7, 985–996. [Google Scholar] [CrossRef]
- Lopez-Vidal, E.M.; Gregory, G.L.; Kociok-Kohn, G.; Buchard, A. Polymers from sugars and CS2: Synthesis and ring-opening polymerisation of sulfur-containing monomers derived from 2-deoxy-d-ribose and D-xylose. Polym. Chem. 2018, 9, 1577–1582. [Google Scholar] [CrossRef]
- Jia, S.Y.; He, X.J.; Xu, Z.W. Valorization of an underused sugar derived from hemicellulose: Efficient synthesis of 5-hydroxymethylfurfural from mannose with aluminum salt catalyst in dimethyl sulfoxide/water mixed solvent. Rsc Adv. 2017, 7, 39221–39227. [Google Scholar] [CrossRef]
- Tamura, M.; Yuasa, N.; Cao, J.; Nakagawa, Y.; Tomishige, K. Transformation of Sugars into Chiral Polyols over a Heterogeneous Catalyst. Angew. Chem.-Int. Ed. 2018, 57, 8058–8062. [Google Scholar] [CrossRef]
- Chia, S.R.; Ong, H.C.; Chew, K.W.; Show, P.L.; Phang, S.M.; Ling, T.C.; Nagarajan, D.; Lee, D.J.; Chang, J.S. Sustainable approaches for algae utilisation in bioenergy production. Renew. Energy 2018, 129, 838–852. [Google Scholar] [CrossRef]
- Shukla, M.; Kumar, S. Algal growth in photosynthetic algal microbial fuel cell and its subsequent utilization for biofuels. Renew. Sustain. Energy Rev. 2018, 82, 402–414. [Google Scholar] [CrossRef]
- Enamala, M.K.; Enamala, S.; Chavali, M.; Donepudi, J.; Yadavalli, R.; Kolapalli, B.; Aradhyula, T.V.; Velpuri, J.; Kuppam, C. Production of biofuels from microalgae—A review on cultivation, harvesting, lipid extraction, and numerous applications of microalgae. Renew. Sustain. Energy Rev. 2018, 94, 49–68. [Google Scholar] [CrossRef]
- Lam, M.K.; Tan, I.S.; Lee, K.T. Utilizing lipid-extracted microalgae biomass residues for maltodextrin production. Chem. Eng. J. 2014, 235, 224–230. [Google Scholar] [CrossRef]
- Mirsiaghi, M.; Reardon, K.F. Conversion of lipid-extracted Nannochloropsis salina biomass into fermentable sugars. Algal Res.-Biomass Biofuels Bioprod. 2015, 8, 145–152. [Google Scholar] [CrossRef]
- Kim, T.H.; Oh, Y.K.; Lee, J.W.; Chang, Y.K. Levulinate production from algal cell hydrolysis using in situ transesterification. Algal Res.-Biomass Biofuels Bioprod. 2017, 26, 431–435. [Google Scholar] [CrossRef]
- Goo, B.G.; Baek, G.; Choi, D.J.; Park, Y.I.; Synytsya, A.; Bleha, R.; Seong, D.H.; Lee, C.G.; Park, J.K. Characterization of a renewable extracellular polysaccharide from defatted microalgae Dunaliella tertiolecta. Bioresour. Technol. 2013, 129, 343–350. [Google Scholar] [CrossRef]
- Lee, O.K.; Kim, A.L.; Seong, D.H.; Lee, C.G.; Jung, Y.T.; Lee, J.W.; Lee, E.Y. Chemo-enzymatic saccharification and bioethanol fermentation of lipid-extracted residual biomass of the microalga, Dunaliella tertiolecta. Bioresour. Technol. 2013, 132, 197–201. [Google Scholar] [CrossRef]
- Kim, S.W.; Hong, C.H.; Jeon, S.W.; Shin, H.J. High-yield production of biosugars from Gracilaria verrucosa by acid and enzymatic hydrolysis processes. Bioresour. Technol. 2015, 196, 634–641. [Google Scholar] [CrossRef]
- Pancha, I.; Chokshi, K.; Maurya, R.; Bhattacharya, S.; Bachani, P.; Mishra, S. Comparative evaluation of chemical and enzymatic saccharification of mixotrophically grown de-oiled microalgal biomass for reducing sugar production. Bioresour. Technol. 2016, 204, 9–16. [Google Scholar] [CrossRef]
- Overbeck, T.; Steele, J.L.; Broadbent, J.R. Fermentation of de-oiled algal biomass by Lactobacillus casei for production of lactic acid. Bioprocess Biosyst. Eng. 2016, 39, 1817–1823. [Google Scholar] [CrossRef]
- Kim, Y.J.; Joo, H.W.; Park, J.; Kim, D.K.; Jeong, K.J.; Chang, Y.K. Production of 2,3-Butanediol by Klebsiella Oxytoca From Various Sugars in Microalgal Hydrolysate. Biotechnol. Prog. 2015, 31, 1669–1675. [Google Scholar] [CrossRef] [PubMed]
- Juarez, J.M.; Hernando, A.L.; Torre, R.M.; Lanza, S.B.; Rodriguez, S.B. Saccharification of microalgae biomass obtained from wastewater treatment by enzymatic hydrolysis. Effect of alkaline-peroxide pretreatment. Bioresour. Technol. 2016, 218, 265–271. [Google Scholar] [CrossRef]
- Lee, S.B.; Kim, S.K.; Hong, Y.K.; Jeong, G.T. Optimization of the production of platform chemicals and sugars from the red macroalga, Kappaphycus alvarezii. Algal Res.-Biomass Biofuels Bioprod. 2016, 13, 303–310. [Google Scholar] [CrossRef]
- Kim, D.H.; Lee, S.B.; Kim, S.K.; Park, D.H.; Jeong, G.T. Optimization and Evaluation of Sugars and Chemicals Production from Green Macro-algae Enteromorpha intestinalis. BioEnergy Res. 2016, 9, 1155–1166. [Google Scholar] [CrossRef]
- Jeon, W.; Ban, C.; Park, G.; Yu, T.K.; Suh, J.Y.; Woo, H.C.; Kim, D.H. Catalytic hydrothermal conversion of macroalgae-derived alginate: Effect of pH on production of furfural and valuable organic acids under subcritical water conditions. J. Mol. Catal. A-Chem. 2015, 399, 106–113. [Google Scholar] [CrossRef]
- Yang, W.C.; Li, X.G.; Zhang, D.H.; Feng, L.J. Catalytic upgrading of bio-oil in hydrothermal liquefaction of algae major model components over liquid acids. Energy Convers. Manag. 2017, 154, 336–343. [Google Scholar] [CrossRef]
© 2018 by the authors. Licensee MDPI, Basel, Switzerland. This article is an open access article distributed under the terms and conditions of the Creative Commons Attribution (CC BY) license (http://creativecommons.org/licenses/by/4.0/).





