Abstract
Natural hydroxy fatty acids are relevant starting materials for the production of a number of industrial fine chemicals, such as different high-value flavour ingredients. Only a few of the latter hydroxy acid derivatives are available on a large scale. Therefore, their preparation by microbial hydration of unsaturated fatty acids, affordable from vegetable oils, is a new biotechnological challenge. In this study, we describe the use of the probiotic bacterium Lactobacillus rhamnosus (ATCC 53103) as whole-cell biocatalyst for the hydration of the most common unsaturated octadecanoic acids, namely oleic acid, linoleic acid, and linolenic acid. We discovered that the addition of the latter fatty acids to an anaerobic colture of the latter strain, during the early stage of its exponential growth, allows the production of the corresponding mono-hydroxy derivatives. In these experimental conditions, the hydration reaction proceeds with high regio- and stereoselectivity. Only 10-hydroxy derivatives were formed and the resulting (R)-10-hydroxystearic acid, (S)-(12Z)-10-hydroxy-octadecenoic acid, and (S)-(12Z,15Z)-10-hydroxy-octadecadienoic acid were obtained in very high enantiomeric purity (ee > 95%). Although overall conversions usually do not exceed 50% yield, our biotransformation protocol is stereoselective, scalable, and holds preparative significance.
1. Introduction
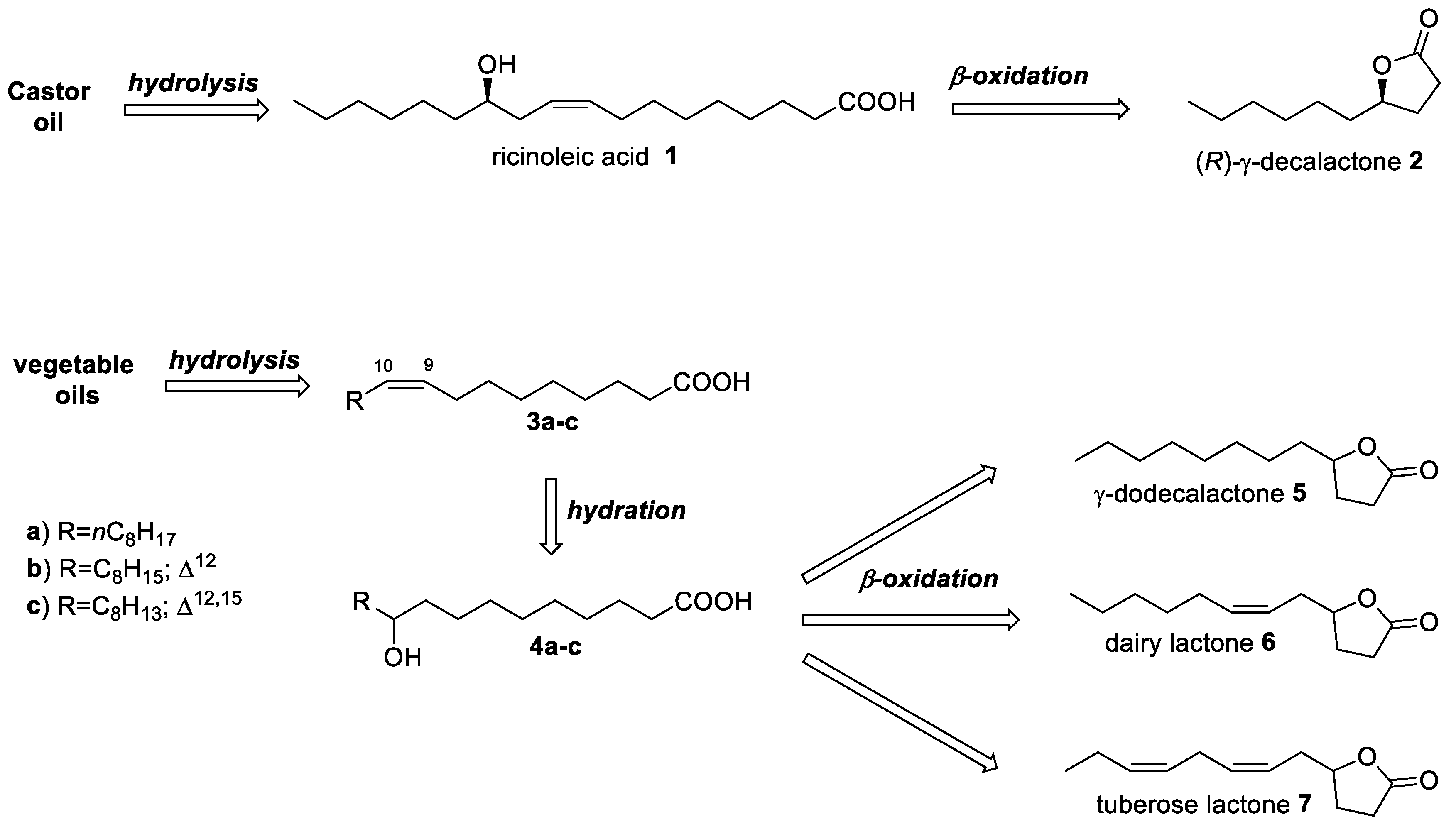
Hydroxy fatty acids (HFAs) are important chemicals widely used for a number of applications, such as starting materials for biodegradable polymers, lubricants, emulsifiers, drugs, cosmetic ingredients, and flavours [1,2,3,4]. A very large number of HFAs have been identified in nature, but only a few of them are available in industrially significant amounts. This is the case of ricinoleic acid 1 (12-hydroxy-9-cis-octadecenoic acid) that is commonly used in industry as it is the major fatty acid component of castor oil (Figure 1). Consequently, the supply of other HFAs is usually achieved by hydration of the unsaturated fatty acids (UFAs), straightforwardly available from natural sources. A large number of different (UFAs), possessing multiple double bonds are components of vegetable oils or fish fats. Therefore, the preparation of many HFAs is possible. Unfortunately, even if this kind of reaction can be efficiently performed by a number of chemical means, the latter processes are usually performed using harsh experimental conditions (strong acid catalysts, high temperatures) that lack of stereochemical control. Thus, complex mixtures of isomers are usually formed. In addition, according to the European and US legislation the obtained HFAs are considered as artificial and are no longer exploitable as starting precursors for the preparation of natural flavours [4].
Figure 1.
Synthesis of natural (+)-(R)-gamma-decalactone from castor oil and the prospective synthesis of natural C12 lactones gamma-dodecalactone, dairy lactone and tuberose lactone from vegetable oils through exploitation of UFA hydration reactions.
In this context, the most relevant application involving HFAs is their microbial degradation to lactones. Usually, this process is conveniently performed by means of different yeast strains [5,6] that use these fatty acids as a carbon source and transform them through many cycles of β-oxidation in the corresponding gamma or delta lactones. The majority of the fatty acid-deriving lactones (C9–C12) are of high interest in F&F industry because are widely used for food flavouring. These compounds are not available by extraction from natural sources, therefore, the only affordable way for their preparation, in natural form, is the biotransformation of natural precursors, such as natural HFAs. Lactones obtained by this way can be labelled as natural and, thus, possess much higher commercial value, with prices ranging from 300 to 3000 €/Kg.
A reliable process based on the microbial transformation of castor oil [6], secures the production of natural (+)-(R)-gamma-decalactone 2 (Figure 1). On the contrary, there are no affordable natural HFA precursors for other sought-after C12 gamma lactones. In principle, the most straightforward and challenging way for their synthesis is based on the enzymatic hydration of the very common ∆9−10 unsaturated fatty acids of type 3, in order to produce the corresponding 10-hydroxy derivatives 4. The hydrolysis of a number of vegetable oils affords this kind of fatty acids, such as oleic acid 3a, linoleic acid 3b, and α-linolenic acid 3c. Therefore, some high-value gamma lactones [7], for example gamma dodecalactone 5, the structurally-related dodecelactone 6 (dairy lactone), and dodecadienelactone 7 [8] (tuberose lactone) could be prepared following this approach.
The hydration reaction of unsaturated fatty acids was discovered in the early 1960s, during a study on the hydration of oleic acid using a Pseudomonas strain [9,10]. Afterwards, a number of other microorganisms proved to be able to perform this transformation [11,12,13,14,15,16,17,18,19,20,21,22,23,24,25] but the enzymes responsible for the hydration step (oleate hydratases) have been characterized only recently [26], receiving growing attention both from chemists and biologists [27,28,29,30,31,32,33,34,35,36,37]. It is worth noting that different putative oleate hydratase have been cloned from a number of bacteria strains, but none of them have been used for the industrial synthesis of HFAs. To date, the transformation of natural UFAs in HFAs, at the preparative scale, has been achieved only by means of whole-cell based procedures. These studies take advantage of the high hydratase activity of some specific bacteria, regardless of the biosafety level they belong. Since we are interested in developing a reliable process for the synthesis of HFAs, to be employed as starting materials for the production of natural food flavours, we limited our study to microorganisms belonging to biosafety level 1 and recognized with technological beneficial use in foods [38]. As different studies have reported the 10-hydratase activity of some Lactobacillus species [2,21,22], namely acidophilus, plantarum, casei, paracasei, lactis, delbrueckii, reuteri, bulgaricus, and rhamnosus LGG, we selected Lactobacillus rhamnosus LGG (ATCC 53103) as the most suitable whole-cell biocatalyst for the above mentioned hydration reaction. Actually, this microorganism has been isolated from the intestinal tract of healthy human beings and is available on the market in lyophilized form since is currently used as a probiotic [39] and has been already employed for whole-cell biotransformation processes [40]. Being regarded as beneficial for human health, the use of the latter strain does not involve any safety concerns and can be employed in industrial processes for food flavour production.
In the present work, we describe the use of this microorganism as a whole-cell biocatalyst for the hydration of the most common unsaturated octadecanoic acids, namely oleic acid, linoleic acid, and linolenic acid. More specifically, we study a preparative procedure for their conversion in the corresponding 10-hydroxy-derivatives. Our studies are also finalized to determine the regio and stereoselectivity of the hydration step. As linoleic and linolenic acids possess two and three double bonds, respectively, the biotransformation can affect up to three position of the fatty acids. Even if only the mono-hydroxy derivatives are formed, the reaction can afford different regioisomers, each ones as R or S enantiomers. This part of the study was performed by GC-MS analysis of the biotransformation mixtures and by NMR analysis of specific derivatives of the isolated hydroxy acids. The results showed that the investigated reaction is completely region- and stereoselective affording (R)-10-hydroxystearic acid, (S)-(12Z)-10-hydroxy-octadecenoic acid, and (S)-(12Z,15Z)-10-hydroxy-octadecadienoic acid as sole products.
2. Results and Discussion
According to the patent literature that described the isolation and the culture conditions of Lactobacillus rhamnosus ATCC 53103 [39], we have grown the latter strain in anaerobic flasks, at 37 °C and using MSR broth as a medium. Preliminary biotransformation experiments were performed by adding the suitable fatty acid (3 g/L), dissolved in ethanol (<0.5% final concentration), to an active culture of the Lactobacillus. In order to exclude growth variability due to quorum-sensing effect [41], we used the same bacterial inoculum for each trials (7.5 × 107 CFU/mL). The fatty acids were added at once, at different stages of the culture growth and the formation of the corresponding HFAs was detected by TLC analysis. We observed that each one of the three fatty acids markedly inhibited the microbial growth to such an extent that the addition of the UFAs within the first hour after the inoculum allowed obtaining neither a proper bacterial culture nor the wanted HFAs derivatives. Otherwise, when the microorganism is in the stationary phase, the addition of the UFAs produces a minor amount of the corresponding HFAs derivatives.
These observations agree with Hagen’s work [26], in which the expression of the oleate hydratase from Elizabethkingia meningoseptica was induced by the presence of oleic acid. As a consequence, the hydration reaction can be properly achieved adding the fatty acid during the exponential phase of the bacteria growth. In order to establish the best biotransformation conditions, we describe the Lactobacillus rhamnosus ATCC 53103 growth curve by sampling a flask culture, prepared as described above and measuring its optical density (OD600) at regular time interval (Figure 2).
Figure 2.
Growth curve of Lactobacillus rhamnosus ATCC 53103. Conditions: anaerobic flask, MRS broth, 37 °C, inoculum 7.5 × 107 CFU/mL, 130 rpm.
Combining the latter data with the preliminary results of the flask-based biotransformation experiments, we selected as the most suitable moment for the fatty acids addition the first part of the exponential growth phase (3 h for the flask experiments). Since the microorganism under study produces lactic acid by glucose catabolism, we took advantage of the deriving pH variation to define the exponential phase span. In accord with the main aim of our work, we exploited the data described above in order to scale up the biotransformation.
The process was performed in fermenter, each experiment on a scale superior to one litre and using a fatty acid concentration of 5 g/L. The pH was controlled by dropwise addition of an aqueous solution of either acetic acid or ammonia. The investigated Lactobacillus strain produce a defined amount of lactic acid, directly proportional to the glucose content of the medium.
In the experimental conditions described, the ammonia uptake necessary to keep the pH at the fixed value of 6.2 was 11 mmol per gram of glucose. About 2–6 h after the inoculum of the microbial precolture, the fermentation entered its exponential phase of growth as indicated by the start of the automatic addition of the base. After consumption of about one fourth of the initial glucose content, the fatty acid was added at once. In order to allow the maximum hydratase production, the microbial growth was then forced by addition of further glucose as soon as that contained in the medium ran out.
After 48 h since the fatty acid addition, the TLC analysis showed that the hydration reaction did not proceed further. The biotransformation was stopped and both the unreacted UFAs and the HFAs formed were isolated by chromatography. The biotransformation of each one of the three selected UFAs was performed in triplicate and the results obtained are schematically described in Figure 3. The indicated yields correspond to the average of three different experimental values.
Figure 3.
Whole-cell based biotransformation of oleic, linoleic and linolenic acid using Lactobacillus rhamnosus (ATCC 53103). Experimental conditions: (a) anaerobic fermentation, MRS broth, 37 °C, pH 6.2, 170 rpm, fatty acid concentration 5 g/L.
The perusal of the obtained data allows drawing some relevant conclusions. First, the number of the double bonds present on the starting fatty acid has a limited influence on the absolute yields of the obtained HFAs. This value range from 34% for linolenic acid to 45% for linoleic acid whereas oleic acid affords the corresponding HFA in 41% yield. Longer contact times or lower UFA concentrations did not increase the yields. It seems possible that the formed HFAs could act as inhibitors of the hydration reaction itself and, thus, overall yields are the result of the equilibrium of the hydration/dehydration reactions. Otherwise, the yields versus transformed UFAs indicated that the investigated microorganism does not transform the substrates in derivatives different from HFAs, with the exception of oleic acid for which we detected a minor and unspecific partial degradation.
The isolated HFAs were characterized by NMR, ESI-MS and GC-MS analysis. The results confirmed the chemical structures represented in Figure 3, indicating that Lactobacillus rhamnosus hydrates oleic, linoleic, and linolenic acids to give the corresponding 10-hydroxyderivatives, namely 10-hydroxystearic, (12Z)-10-hydroxy-octadecenoic, and (12Z,15Z)-10-hydroxy-octadecadienoic acids, respectively.
The recorded 1H- and 13C-NMR spectra are in very good agreement with those previously reported in the literature [42] for the same HFAs.
Furthermore, the three HFAs were derivatized by means of the sequential treatment with diazomethane followed by acetic anhydride in pyridine. The obtained derivatives 8a–c (Figure 4) appear as sharp, well-resolved peaks by GC-MS analysis, whose electron impact spectrums share in common the ions showing m/z 201 and 169. The latter fragmentation patterns are most likely formed from alpha cleavage with respect to the 10-acetoxy group and, thus, their presence give a strict confirmation of the hydroxy group position on the fatty acid chain. Finally, the GC-MS analysis of each one of the latter derivatives showed the presence of a single peak, confirming that only the 10-hydroxy derivatives were formed, regardless of the number (or position) of the other double bonds. The same analytical procedure was repeated using samples of the three crude biotransformation mixtures. The results of the latter analyses cannot be effected by the purification procedures and confirmed again the exclusive presence of the above-described 10-hydroxy derivatives.
Figure 4.
Transformation of 10-hydroxystearic, (12Z)-10-hydroxy-octadecenoic and (12Z,15Z)-10-hydroxy-octadecadienoic acids 4a–c to the corresponding derivatives 8a–c. Reagents and conditions: (a) CH2N2, Et2O, 0 °C; (b) Ac2O/Py, DMPA cat., RT.
Another important topic of our work concerns the determination of the stereoselectivity related to the hydration reaction. The isolated (12Z)-10-hydroxy-octadecenoic and (12Z,15Z)-10-hydroxy-octadecadienoic acids both showed the negative optical rotation value of −6.4 and −4.7, respectively, corresponding to (S) absolute configuration. Moreover, 10-hydroxystearic acid possesses an optical rotation value almost equal to zero and its configuration is not assignable through the latter measurement. In order to determine the missing assignment and to measure the enantiomeric purity of all three HFAs obtained by Lactobacillus rhamnosus biotransformation, we derivatized them according to the Rosazza procedure [43] (Figure 5).
Figure 5.
Synthesis of racemic (12Z)-10-hydroxy-octadecenoic and (12Z,15Z)-10-hydroxy-octadecadienoic acids and the transformation of the HFAs 4a–c into the corresponding (S)-O-acetylmandelate esters 10a–c. Reagents and conditions: (a) CH2N2, Et2O, 0 °C; (b) (S)-9, DCC, cat. DMAP, CH2Cl2 r.t.; (c) DMSO, ClCOOCl, Et3N, CH2Cl2, −70 °C; (d) NaBH4, MeOH, 0 °C.
The latter analytical method was developed for ascertaining the stereochemical purity of 10-HSA and is based on the 1H-NMR analysis of the diastereoisomeric (S)-O-acetylmandelate esters of the corresponding methyl-10-hydroxystearate. The methyl ester signals due to (R) and (S)-10-hydroxystearic acid derivatives gives two well-resolved singlets at 3.66 and 3.67 ppm, respectively, whose relative peak areas indicate the corresponding isomeric ratio.
Concerning 10-hydroxystearic acid, we used as a reference standard a (R)-10-hydroxystearic acid sample having 21% ee, obtained by baker’s yeast-mediated oleic acid hydration [25]. Accordingly, both the 10-HSA obtained by biotransformation and the above-mentioned (R)-standard were treated with diazomethane and then converted in the corresponding (S)-O-acetylmandelate esters 10a. The 1H-NMR analysis (Figure 6) of these two derivatives showed the presence of a 61:39 mixture of (R,S)-10a and (S,S)-10a for the reference standard (sample a) and a 98:2 mixture of (R,S)-10a and (S,S)-10a for the sample of 10-HSA produced by means of Lactobacillus rhamnosus (sample b). This experiment attests unambiguously that the latter microorganism hydrates oleic acid with complete regio and stereospecificity affording (R)-10-hydroxystearic acid with ee > 95%.
Figure 6.
1H-NMR analysis of the diastereoisomeric mixtures of (S)-O-acetylmandelate esters 10a–c deriving from 10-hydroxystearic (4a), (12Z)-10-hydroxy-octadecenoic (4b) and (12Z,15Z)-10-hydroxy-octadecadienoic (4c) acid samples either prepared as reference standards (samples a, c, and e) or obtained by Lactobacillus rhamnosus-mediated hydration reactions (samples b, d, f). Samples description: (a) ester 10a prepared using (R)-4a having 21% ee; (b) ester 10a prepared using 4a obtained by hydration of oleic acid; (c) ester 10b prepared using racemic 4b; (d) ester 10b prepared using 4b obtained by the hydration of linoleic acid; (e) ester 10c prepared using racemic 4c; and (f) ester 10c prepared using 4c obtained by the hydration of linolenic acid.
In order to obtain reference standard samples of racemic hydroxy acids 4b and 4c, we oxidized the corresponding (S)-enantiomers obtained by biotransformation. The obtained ketones were then reduced to racemic alcohols. As the intermediate ketones are β,γ-unsaturated, to avoid isomerization, the oxidation was performed at −70 °C, using Swern conditions [44]. The ketones were not purified and were immediately reduced using NaBH4 in methanol.
Again, both the 10-hydroxy acids obtained by the biotransformation procedures and the above-mentioned racemic standards were treated with diazomethane and then converted in the corresponding (S)-O-acetylmandelate esters. Esters 10b and 10c were prepared using racemic 4b and 4c, respectively. The 1H-NMR analysis of these two esters showed that the hydrogens linked to the carbon bearing the acetoxy group give two well-resolved singlets at 5.890 and 5.878 ppm (Figure 6, sample c and sample e). The (S)-O-acetylmandelate esters of (S)-(12Z)-10-hydroxy-octadecenoic and (S)-(12Z,15Z)-10-hydroxy-octadecadienoic acid methyl esters are responsible for the signals at 5.878 ppm. As a consequence, comparing the relative peak areas measured for the diastereoisomeric compounds (S,S)-10b/(R,S)-10b and (S,S)-10c/(R,S)-10c we determined the enantiomeric purity of (S)-(12Z)-10-hydroxy-octadecenoic and (S)-(12Z,15Z)-10-hydroxy-octadecadienoic acids.
Accordingly, ester 10b, prepared using 4b obtained by the hydration of linoleic acid (sample d) and ester 10c, prepared using 4c obtained by the hydration of linolenic acid (sample f) showed a diastereoisomeric ratio of about 98:2, again corresponding to an enantiomeric excess >95% for both above mentioned HFAs.
It is worth noting that the studied Lactobacillus strain hydrates the three UFAs with identical stereoselectivity. The descriptor switch from (R) form of hydroxystearic acid to the (S) form of (12Z)-10-hydroxy-octadecenoic and (12Z,15Z)-10-hydroxy-octadecadienoic acid is due only to a change of substituent priority, according to the Cahn-Ingold-Prelog rules. Most likely, the oleate hydratase(s) produced by Lactobacillus rhamnosus accepts as substrates different unsaturated fatty acids, which must have a (Z) ∆9–10 double bond as the sole mandatory requirement. The latter catalyst(s) works with very high regio and stereoselectivity regardless of the presence of other double bonds on the fatty acid chain.
This wide substrates acceptance doesn’t imply that the studied microorganism can transform the three selected fatty acid with the same kinetic ratio. Even though the substrates were hydrated with high selectivity, the microbial hydratase(s) could possess different affinity for each one of the acids that, in turn, could show different reactions kinetic.
In order to investigate this point, we set up two experiments based on the biotransformation of the mixture of the three acids. Accordingly, we added a 1:1:1 mixture of oleic/linoleic/linolenic acids to an anaerobic culture of Lactobacillus rhamnosus. The overall acids concentration was set at 6 g/L and the experiments were performed in triplicate using both the flask- and fermenter-based procedures. The biotransformations were stopped after 48 h and the crude products were derivatized and then analysed by GC-MS, in order to measure the HFAs relative compositions. Regardless of the transformation yields, all the experiments showed that 10-hydroxystearic acid was the most abundant HFA. Flask-based biotransformations afforded 4a/4b/4c in a 59/17/24 ratio, whereas fermenter-based biotransformations gave 4a/4b/4c in a 71/15/14 ratio. Overall, it seems that Lactobacillus rhamnosus can hydrate oleic acid faster than linoleic and linolenic acids. This could be due either to the presence of different hydratases or to the specific activity of a single hydratase towards each one of the UFAs used in this study, thus justifying the different product ratios. In spite of this fact, yields are not related to this aspect, as demonstrated by the fact that for large-scale biotransformation experiments, the hydration of linoleic acid affords hydroxy acid 4b in yields higher than those obtained for the hydration of oleic or linolenic acid.
3. Materials and Methods
3.1. Materials and General Methods
All air- and moisture-sensitive reactions were carried out using dry solvents and under a static atmosphere of nitrogen. All solvents and reagents were of commercial quality.
Oleic acid (94%, lot. MKBZ2615V), linoleic acid (99%, lot. SLBT2627), linolenic acid (68%, lot. 310689/1), MRS broth, sodium thioglycolate, resazurin sodium salt, and glucose were purchased from Sigma-Aldrich (St. Louis, MO, USA). Linolenic acid (85% purity, lot. 81003) was purchased from Nissan—Nippon Oil and Fats Co. (Tokyo, Japan), LTD. (S)-O-acetyl mandelic acid was prepared starting from (S)-mandelic acid and using acetic anhydride, pyridine and cat. DMAP, as described previously [45].
A reference standard sample of 10-(R)-hydroxystearic acid, showing 21% ee, was prepared by baker’s yeast-mediated hydration of oleic acid, according to the biotransformation procedure described in our previous work [25].
Reference standard samples of racemic (12Z)-10-hydroxy-octadecenoic acid and (12Z,15Z)-10-hydroxy-octadecadienoic acid were prepared starting from the corresponding (S) enantiomers obtained by biotransformation. The process is based on the following two steps chemical transformation.
A solution of dry DMSO (0.5 mL, 7 mmol) in CH2Cl2 (3 mL) was added dropwise to a stirred solution of oxalyl chloride (0.3 mL, 3.5 mmol) in CH2Cl2 (7 mL) at −70 °C. After ten minutes, a sample of enantio-enriched (12Z)-10-hydroxy-octadecenoic acid (4b) or (12Z,15Z)-10-hydroxy-octadecadienoic acid (4c) (300 mg, 1 mmol) in CH2Cl2 (2 mL) was added dropwise. After a further 15 min, dry Et3N (2 mL, 14.3 mmol) was added and the resulting mixture was allowed to warm to room temperature. The reaction was then poured into ice-cooled water and was extracted twice with CH2Cl2 (50 mL × 2). The combined organic phases was washed with brine and concentrated under reduced pressure. The residue was dissolved in methanol (30 mL) and was treated at 0 °C with NaBH4 (100 mg, 2.6 mmol) under stirring. After complete reduction of the ketone (TLC analysis), the reaction was quenched by addition of diluted HCl aq. (3% w/w, 40 mL) followed by extraction with CH2Cl2 (50 mL × 2). The combined organic phases was washed with brine and concentrated under reduced pressure. The residue was purified by chromatography using n-hexane/AcOEt (9:1–7:3) as eluent to afford the racemic hydroxy acid derivatives 4b or 4c (195–230 mg, 65–77% yield).
3.2. Analytical Methods and Characterization of the Products Deriving from the Biotransformation Experiments
1H- and 13C-NMR Spectra and DEPT experiments: CDCl3 solutions at RT using a Bruker-AC-400 spectrometer (Billerica, MA, USA) at 400, 100, and 100 MHz, respectively; 13C spectra are proton decoupled; chemical shifts in ppm relative to internal SiMe4 (=0 ppm).
TLC: Merck silica gel 60 F254 plates (Merck Millipore, Milan, Italy). Column chromatography: silica gel.
Melting points were measured on a Reichert apparatus, equipped with a Reichert microscope, and are uncorrected.
Optical rotations were measured on a Jasco-DIP-181 digital polarimeter (Tokyo, Japan).
Optical density value were measured on a Jasco V-560 UV–VIS spectrophotomer (Tokyo, Japan) at a wavelength of 600 nm.
Mass spectra were recorded on a Bruker ESQUIRE 3000 PLUS spectrometer (ESI detector) (Billerica, MA, USA) or by GC-MS analyses.
GC-MS analyses: A HP-6890 gas chromatograph equipped with a 5973 mass detector, using a HP-5MS column (30 m × 0.25 mm, 0.25 μm film thickness; Hewlett Packard, Palo Alto, CA, USA) was used with the following temp. program: 120° (3 min)—12°/min—195° (10 min)—12°/min—300° (10 min); carrier gas: He; constant flow 1 mL/min; split ratio: 1/30; tR given in minutes.
The biotransformations of oleic acid, linoleic acid, and linolenic acid to give 10-hydroxystearic acid, (12Z)-10-hydroxy-octadecenoic acid, and (12Z,15Z)-10-hydroxy-octadecadienoic acid, respectively, were monitored by means of GC-MS analysis. To this end the biotransformation mixture was acidified at pH 3 and filtered on celite. The aqueous phase was then extracted three times with ethyl acetate and the combined organic layer was washed with brine and dried on Na2SO4. The solvent was then removed under reduced pressure and the residue was treated at 0 °C with an excess of an ethereal solution of freshly-prepared diazomethane. As soon as the evolution of nitrogen ceased, the solvent was eliminated and the residue was treated at RT with a 1:1 mixture of pyridine/acetic anhydride (4 mL for about 100 mg of residue) and DMAP (10 mg). After five hours, the excess of reagents was removed in vacuo and the residue was analysed by GC-MS in order to determine the fatty acid/hydrated fatty acid ratio.
Oleic acid methyl ester: tR 18.95
GC-MS (EI): m/z (%) = 296 [M+] (7), 264 (49), 235 (6), 222 (30), 180 (19), 166 (10), 152 (12), 137 (17), 123 (26), 110 (32), 97 (62), 83 (68), 69 (79), 55 (100).
Linoleic acid methyl ester: tR 18.52
GC-MS (EI): m/z (%) = 294 [M+] (18), 263 (15), 234 (1), 220 (4), 178 (6), 164 (10), 150 (16), 135 (15), 123 (18), 109 (36), 95 (70), 81 (93), 67 (100), 55 (56).
Linolenic acid methyl ester: tR 18.79
GC-MS (EI): m/z (%) = 292 [M+] (7), 261 (4), 249 (2), 236 (5), 191 (3), 173 (5), 149 (13), 135 (15), 121 (20), 108 (34), 95 (56), 79 (100), 67 (66), 55 (43).
Methyl 10-acetoxystearate (8a): tR 24.47
GC-MS (EI): m/z (%) = 313 [M+-MeCO] (6), 296 [M+-AcOH] (3), 281 (17), 264 (31), 243 (11), 222 (9), 201 (100), 169 (64), 157 (16), 125 (21), 97 (18), 83 (19), 69 (21), 55 (27).
Methyl (12Z)-10-acetoxy-octadecenoate (8b): tR 24.28
GC-MS (EI): m/z (%) 311 [M+-MeCO] (<1), 294 [M+-AcOH] (39), 279 (1), 263 (24), 220 (7), 201 (46), 169 (100), 150 (13), 136 (9), 123 (15), 109 (21), 95 (37), 81 (53), 67 (46), 55 (32).
Methyl (12Z,15Z)-10-acetoxy-octadecadienoate (8c): tR 24.33
GC-MS (EI): m/z (%) 292 [M+-AcOH] (76), 277 (1), 261 (20), 201 (33), 169 (100), 149 (19), 135 (28), 121 (41), 108 (42), 93 (57), 79 (87), 55 (39).
The enantiomeric composition of the isolated 10-hydroxystearic acid, (12Z)-10-hydroxy-octadecenoic acid, and (12Z,15Z)-10-hydroxy-octadecadienoic acid samples obtained from the biotransformation experiments was determined by 1H-NMR analysis, according to the Rosazza procedure [43]. Hence, each one of the hydroxy acid samples (100 mg, 0.33 mmol) was treated with an excess of an ethereal solution of freshly-prepared diazomethane. As soon as the evolution of nitrogen ceased, the solvent was eliminated and the resulting methyl ester was dissolved in dry CH2Cl2 (5 mL) treated with (S)-O-acetylmandelic acid 9 (130 mg, 0.67 mmol), DCC (140 mg, 0.68 mmol) and DMAP (10 mg), stirring at RT for 6 h. The reaction was then quenched by the addition of water and diethyl ether (60 mL). The formed dicyclohexylurea was removed by filtration on celite and the organic phase was washed with aq. NaHCO3, brine and dried on Na2SO4. The solvent was then removed under reduced pressure and the residue was roughly purified by chromatography, collecting every fraction containing the fatty acid mandelates.
3.3. Biotransformation Experiments
Lactobacillus rhamnosus (ATCC 53103), in lyophilized form, was purchased from Malesci Spa (Florence, Italy) (trade name Kaleidon 60). The microorganism was grown anaerobically at 37 °C, under a nitrogen atmosphere. The biotransformation experiments were performed either in flasks or in a 5 L fermenter (Biostat A BB-8822000, Sartorius-Stedim (Göttingen, Germany)) using MRS broth as the medium. Unless otherwise stated, all the biotransformation experiments were carried out in triplicate.
3.3.1. Representative Procedure for Flask-Scale Biotransformations
The anaerobic flasks were prepared loading 40 mL of MRS broth in 100 mL conical vacuum flasks followed by the addition of cysteine (20 mg), sodium thioglycolate (40 mg) and resazurine sodium salt (1 mg). The flasks were flushed with nitrogen until complete removal of the oxygen content, then were sealed with a silicone rubber septa and sterilized (121 °C, 15 min.). Each flask was inoculated via syringe with lyophilized Lactobacillus rhamnosus (3 × 109 CFU, suspended in 2 mL of sterilized skimmed milk) and was incubated at 37 °C and at 130 rpm.
A solution of the fatty acid (120 mg) in ethanol (0.15 mL) and 2 mL of a sterilized solution of glucose (300 g/L) in water were added to each flask after 3.5 and 6 h since the inoculum, respectively. After 48 h the reaction mixtures were acidified at pH 3 by addition of diluted HCl and then filtered on celite. The aqueous phases are then extracted three times with ethyl acetate and the combined organic layers were washed with brine, dried on Na2SO4 and the solvent was removed under reduced pressure. The crude biotransformation mixtures were derivatized and analysed by GC-MS as described above (Section 3.2).
3.3.2. Representative Procedure for Preparative Biotransformations
Two anaerobic flasks, containing 40 mL of MRS broth and prepared as described above, were inoculated with Lactobacillus rhamnosus (3 × 109 CFU for each flask) and then incubated at 37 °C and 130 rpm for 6 h. The cultures were centrifuged at 3220× g for 3 min (4 °C), the supernatant removed and the cells were resuspended in 4 mL of sterilized skimmed milk. The obtained suspension was added to a fermenter vessel containing nitrogen flushed MRS broth (1 L). The temperature, the stirring speed, and the pH were set to 37 °C, 170 rpm and 6.2, respectively. The pH was controlled by dropwise addition of sterilized aqueous solutions (10% w/w in water) of either acetic acid or ammonia. About 2–4 h since the inoculum, the fermentation showed an exponential phase of growth as indicated by starting of the continuous addition of base, necessary to neutralize the lactic acid produced by the glucose bacterial catabolism. As soon as 60 mmol (6 h) and 220 mmol (10 h) of ammonia were supplemented, the solution of the suitable fatty acid (5 g) in ethanol (5 mL) and then 65 mL of a sterilized solution of glucose (300 g/L) in water were added at once. The fermentation was stopped 48 h since the inoculum. At that time the reaction mixture was acidified at pH 3 by addition of diluted HCl and then filtered on celite. The aqueous phase was then extracted three times with ethyl acetate and the combined organic layers were washed with brine, dried on Na2SO4, and the solvent was removed under reduced pressure. The residue was purified by chromatography using n-hexane/AcOEt (9:1–7:3) as the eluent to afford unreacted fatty acid (first eluted fractions) followed by hydroxy acid derivative.
The general preparative procedure was performed using oleic acid as substrate. The resulting crude biotransformation mixture showed a unreacted oleic acid/10-hydroxystearic acid ratio of 2:3 (by GC-MS analysis). The chromatographic purification allowed isolating 1.5 g of unreacted oleic acid and 2.2 g of 10-hydroxystearic acid (colorless crystal; 41% yield; 59% yield versus transformed oleic acid). A sample of the obtained 10-hydroxystearic acid was transformed in the corresponding (S)-O-acetylmandelate ester, whose NMR analysis confirmed that the hydroxy acid is the (R)-enantiomer possessing ee > 95%.
(R)-10-Hydroxystearic acid (4a): m.p.: 82–84 °C; 1H-NMR (400 MHz, CDCl3): δ = 3.65–3.53 (m, 1H), 2.34 (t, J = 7.5 Hz, 2H), 1.69–1.56 (m, 2H), 1.51–1.20 (m, 27H), 0.88 (t, J = 7.0 Hz, 3H). 13C-NMR (100 MHz, CDCl3): δ = 178.7 (C), 72.1 (CH), 37.5 (CH2), 37.4 (CH2), 33.8 (CH2), 31.9 (CH2), 29.7 (CH2), 29.6 (CH2), 29.6 (CH2), 29.3 (CH2), 29.3 (CH2), 29.1 (CH2), 29.0 (CH2), 25.6 (CH2), 25.5 (CH2), 24.6 (CH2), 22.6 (CH2), 14.1 (Me). MS (ESI): 299.1 (M − 1, negative ions).
The general preparative procedure was performed using linoleic acid as substrate. The resulting crude biotransformation mixture showed a unreacted linoleic acid/(12Z)-10-hydroxy-octadecenoic acid ratio of 1:1 (by GC-MS analysis). The chromatographic purification allowed isolating 2 g of unreacted linoleic acid and 2.4 g of (12Z)-10-hydroxy-octadecenoic acid (pale yellow oil; 45% yield; 75% yield versus transformed linoleic acid). A sample of the obtained 10-hydroxy-octadecenoic acid was transformed in the corresponding (S)-O-acetylmandelate ester, whose NMR analysis indicated that the hydroxy acid possessed ee > 95%. The absolute configuration was established as (S) by measurement of its optical rotation value.
(S)-(12Z)-10-hydroxy-octadecenoic acid (4b): = −6.4 (c 2.6, MeOH). 1H-NMR (400 MHz, CDCl3) δ 5.61–5.51 (m, 1H), 5.44–5.35 (m, 1H), 3.67–3.58 (m, 1H), 2.34 (t, J = 7.5 Hz, 2H), 2.22 (t, J = 6.7 Hz, 2H), 2.09–2.00 (m, 2H), 1.68–1.58 (m, 2H), 1.52–1.22 (m, 18H), 0.89 (t, J = 6.9 Hz, 3H). 13C-NMR (100 MHz, CDCl3) δ 179.5 (C), 133.5 (CH), 125.0 (CH), 71.6 (CH), 36.7 (CH2), 35.3 (CH2), 34.0 (CH2), 31.5 (CH2), 29.5 (CH2), 29.3 (CH2), 29.3 (CH2), 29.1 (CH2), 29.0 (CH2), 27.4 (CH2), 25.6 (CH2), 24.6 (CH2), 22.5 (CH2), 14.0 (Me). MS (ESI): 321.4 (M + Na+); 297.2 (M − 1, negative ions).
The general preparative procedure was performed using linolenic acid as a substrate. The resulting crude biotransformation mixture showed a unreacted linolenic acid/(12Z,15Z)-10-hydroxy-octadecadienoic acid ratio of 2:1 (by GC-MS analysis). The chromatographic purification allowed isolating 2.9 g of unreacted linolenic acid and 1.8 g of (12Z,15Z)-10-hydroxy-octadecadienoic acid (pale yellow oil; 34% yield; 80% yield versus transformed linolenic acid). A sample of the obtained 10-hydroxy-octadecadienoic acid was transformed in the corresponding (S)-O-acetylmandelate ester, whose NMR analysis indicated that the hydroxy-acid possessed ee > 95%. The absolute configuration was established as (S) by measurement of its optical rotation value.
(S)-(12Z,15Z)-10-hydroxy-octadecadienoic acid (4c): = −4.7 (c 2.5, MeOH). 1H-NMR (400 MHz, CDCl3) δ 5.63–5.25 (m, 4H), 3.68–3.59 (m, 1H), 2.81 (t, J = 7.2 Hz, 2H), 2.34 (t, J = 7.5 Hz, 2H), 2.28–2.20 (m, 2H), 2.12–2.02 (m, 2H), 1.69–1.57 (m, 2H), 1.53–1.22 (m, 13H), 0.97 (t, J = 7.5 Hz, 3H). 13C-NMR (100 MHz, CDCl3) δ 179.5 (C), 132.2 (CH), 131.5 (CH), 126.8 (CH), 125.4 (CH), 71.5 (CH), 36.8 (CH2), 35.3 (CH2), 34.0 (CH2), 29.5 (CH2), 29.3 (CH2), 29.1 (CH2), 29.0 (CH2), 25.7 (CH2), 25.6 (CH2), 24.6 (CH2), 20.6 (CH2), 14.2 (Me). MS (ESI): 319.4 (M + Na+); 295.1 (M − 1, negative ions).
4. Conclusions
The probiotic bacterium Lactobacillus rhamnosus (ATCC 53103) can be used as a whole-cell biocatalyst for the hydration of oleic acid, linoleic acid, and linolenic acid to produce (R)-10-hydroxystearic acid, (S)-(12Z)-10-hydroxy-octadecenoic acid, and (S)-(12Z,15Z)-10-hydroxy-octadecadienoic acid, respectively. We developed a biotransformation protocol that holds preparative significance because it is scalable and allows obtaining the above-mentioned HFAs with high regio- and stereoselectivity (ee > 95%). Finally, the used bacteria strain does not involve any safety concerns and the proposed process can be employed for the industrial production of food flavour.
Acknowledgments
The authors thank Cariplo Foundation for supporting this study within the project no. 2017-1015 SOAVE (Seed and vegetable Oils Active Valorization through Enzymes).
Author Contributions
S.S. and D.D.S. equally contributed to conceive, design, and perform the experiments as well as to analyse the data. S.S. wrote the paper.
Conflicts of Interest
The authors declare no conflict of interest.
References
- Kim, K.-R.; Oh, D.-K. Production of hydroxy fatty acids by microbial fatty acid-hydroxylation enzymes. Biotechnol. Adv. 2013, 31, 1473–1485. [Google Scholar] [CrossRef] [PubMed]
- Cao, Y.; Zhang, X. Production of long-chain hydroxy fatty acids by microbial conversion. Appl. Microbiol. Biotechnol. 2013, 97, 3323–3331. [Google Scholar] [CrossRef] [PubMed]
- Lu, W.; Ness, J.E.; Xie, W.; Zhang, X.; Minshull, J.; Gross, R.A. Biosynthesis of monomers for plastics from renewable oils. J. Am. Chem. Soc. 2010, 132, 15451–15455. [Google Scholar] [CrossRef] [PubMed]
- Serra, S.; Fuganti, C.; Brenna, E. Biocatalytic preparation of natural flavours and fragrances. Trends Biotechnol. 2005, 23, 193–198. [Google Scholar] [CrossRef] [PubMed]
- Braga, A.; Belo, I. Biotechnological production of γ-decalactone, a peach like aroma, by Yarrowia lipolytica. World J. Microbiol. Biotechnol. 2016, 32, 169. [Google Scholar] [CrossRef] [PubMed]
- Waché, Y.; Aguedo, M.; Nicaud, J.-M.; Belin, J.-M. Catabolism of hydroxyacids and biotechnological production of lactones by Yarrowia lipolytica. Appl. Microbiol. Biotechnol. 2003, 61, 393–404. [Google Scholar] [CrossRef] [PubMed]
- Kim, A.Y. Application of biotechnology to the production of natural flavor and fragrance chemicals. In Natural Flavors and Fragrances; American Chemical Society: Washington, DC, USA, 2005; Volume 908, pp. 60–75. ISBN 0-8412-3904-5. [Google Scholar]
- Maurer, B.; Hauser, A. Identification and synthesis of new γ-lactones from tuberose absolute (Polianthes tuberosa). Helv. Chim. Acta 1982, 65, 462–476. [Google Scholar] [CrossRef]
- Wallen, L.L.; Benedict, R.G.; Jackson, R.W. The microbiological production of 10-hydroxystearic acid from oleic acid. Arch. Biochem. Biophys. 1962, 99, 249–253. [Google Scholar] [CrossRef]
- Davis, E.N.; Wallen, L.L.; Goodwin, J.C.; Rohwedder, W.K.; Rhodes, R.A. Microbial hydration of cis-9-alkenoic acids. Lipids 1969, 4, 356–362. [Google Scholar] [CrossRef] [PubMed]
- Seo, C.W.; Yamada, Y.; Takada, N.; Okada, H. Hydration of squalene and oleic acid by Corynebacterium sp. S-401. Agric. Biol. Chem. 1981, 45, 2025–2030. [Google Scholar] [CrossRef]
- Koritala, S.; Hou, C.T.; Hesseltine, C.W.; Bagby, M.O. Microbial conversion of oleic acid to 10-hydroxystearic acid. Appl. Microbiol. Biotechnol. 1989, 32, 299–304. [Google Scholar] [CrossRef]
- El-Sharkawy, S.H.; Yang, W.; Dostal, L.; Rosazza, J.P. Microbial oxidation of oleic acid. Appl. Environ. Microbiol. 1992, 58, 2116–2122. [Google Scholar] [PubMed]
- Koritala, S.; Bagby, M.O. Microbial conversion of linoleic and linolenic acids to unsaturated hydroxy fatty acids. J. Am. Oil Chem. Soc. 1992, 69, 575–578. [Google Scholar] [CrossRef]
- Kaneshiro, T.; Huang, J.-K.; Weisleder, D.; Bagby, M.O. 10(R)-Hydroxystearic acid production by a novel microbe, NRRL B-14797, isolated from compost. J. Ind. Microbiol. 1994, 13, 351–355. [Google Scholar] [CrossRef]
- Hou, C.T. Conversion of linoleic acid to 10-hydroxy-12(Z)-octadecenoic acid by Flavobacterium sp. (NRRL B-14859). J. Am. Oil Chem. Soc. 1994, 71, 975–978. [Google Scholar] [CrossRef]
- Gocho, S.; Tabogami, N.; Inagaki, M.; Kawabata, C.; Komai, T. Biotransformation of oleic acid to optically active γ-dodecalactone. Biosci. Biotechnol. Biochem. 1995, 59, 1571–1572. [Google Scholar] [CrossRef]
- Hudson, J.A.; MacKenzie, C.A.M.; Joblin, K.N. Conversion of oleic acid to 10-hydroxystearic acid by two species of ruminal bacteria. Appl. Microbiol. Biotechnol. 1995, 44, 1–6. [Google Scholar] [CrossRef] [PubMed]
- Hou, C.T. Is strain DS5 hydratase a C-10 positional specific enzyme? Identification of bioconversion products from α- and γ-linolenic acids by Flavobacterium sp. DS5. J. Ind. Microbiol. 1995, 14, 31–34. [Google Scholar] [CrossRef]
- Morvan, B.; Joblin, K.N. Hydration of oleic acid by Enterococcus gallinarum, Pediococcus acidilactici and Lactobacillus sp. isolated from the rumen. Anaerobe 1999, 5, 605–611. [Google Scholar] [CrossRef]
- Kishimoto, N.; Yamamoto, I.; Toraishi, K.; Yoshioka, S.; Saito, K.; Masuda, H.; Fujita, T. Two distinct pathways for the formation of hydroxy FA from linoleic acid by lactic acid bacteria. Lipids 2003, 38, 1269–1274. [Google Scholar] [CrossRef] [PubMed]
- Kim, M.H.; Park, M.S.; Chung, C.H.; Kim, C.T.; Kim, Y.S.; Kyung, K.H. Conversion of unsaturated food fatty acids into hydroxy fatty acids by lactic acid bacteria. J. Microbiol. Biotechnol. 2003, 13, 360–365. [Google Scholar]
- Kim, B.-N.; Yeom, S.-J.; Oh, D.-K. Conversion of oleic acid to 10-hydroxystearic acid by whole cells of Stenotrophomonas nitritireducens. Biotechnol. Lett. 2011, 33, 993–997. [Google Scholar] [CrossRef] [PubMed]
- Takeuchi, M.; Kishino, S.; Tanabe, K.; Hirata, A.; Park, S.-B.; Shimizu, S.; Ogawa, J. Hydroxy fatty acid production by Pediococcus sp. Eur. J. Lipid Sci. Technol. 2013, 115, 386–393. [Google Scholar] [CrossRef]
- Serra, S.; De Simeis, D. New insights on the baker’s yeast-mediated hydration of oleic acid: The bacterial contaminants of yeast are responsible for the stereoselective formation of (R)-10-hydroxystearic acid. J. Appl. Microbiol. 2018, 124, 719–729. [Google Scholar] [CrossRef] [PubMed]
- Bevers, L.E.; Pinkse, M.W.H.; Verhaert, P.D.E.M.; Hagen, W.R. Oleate hydratase catalyzes the hydration of a nonactivated carbon-carbon bond. J. Bacteriol. 2009, 191, 5010–5012. [Google Scholar] [CrossRef] [PubMed]
- Joo, Y.-C.; Jeong, K.-W.; Yeom, S.-J.; Kim, Y.-S.; Kim, Y.; Oh, D.-K. Biochemical characterization and fad-binding analysis of oleate hydratase from Macrococcus caseolyticus. Biochimie 2012, 94, 907–915. [Google Scholar] [CrossRef] [PubMed]
- Yang, B.; Chen, H.; Song, Y.; Chen, Y.Q.; Zhang, H.; Chen, W. Myosin-cross-reactive antigens from four different lactic acid bacteria are fatty acid hydratases. Biotechnol. Lett. 2013, 35, 75–81. [Google Scholar] [CrossRef] [PubMed]
- Jo, Y.-S.; An, J.-U.; Oh, D.-K. γ-dodecelactone production from safflower oil via 10-hydroxy-12(Z)-octadecenoic acid intermediate by whole cells of Candida boidinii and Stenotrophomonas nitritireducens. J. Agric. Food Chem. 2014, 62, 6736–6745. [Google Scholar] [CrossRef] [PubMed]
- Oh, H.-J.; Kim, S.-U.; Song, J.-W.; Lee, J.-H.; Kang, W.-R.; Jo, Y.-S.; Kim, K.-R.; Bornscheuer, U.T.; Oh, D.-K.; Park, J.-B. Biotransformation of linoleic acid into hydroxy fatty acids and carboxylic acids using a linoleate double bond hydratase as key enzyme. Adv. Synth. Catal. 2015, 357, 408–416. [Google Scholar] [CrossRef]
- Takeuchi, M.; Kishino, S.; Hirata, A.; Park, S.-B.; Kitamura, N.; Ogawa, J. Characterization of the linoleic acid Δ9 hydratase catalyzing the first step of polyunsaturated fatty acid saturation metabolism in Lactobacillus plantarum AKU 1009a. J. Biosci. Bioeng. 2015, 119, 636–641. [Google Scholar] [CrossRef] [PubMed]
- Kim, K.-R.; Oh, H.-J.; Park, C.-S.; Hong, S.-H.; Park, J.-Y.; Oh, D.-K. Unveiling of novel regio-selective fatty acid double bond hydratases from Lactobacillus acidophilus involved in the selective oxyfunctionalization of mono- and di-hydroxy fatty acids. Biotechnol. Bioeng. 2015, 112, 2206–2213. [Google Scholar] [CrossRef] [PubMed]
- Hiseni, A.; Arends, I.W.C.E.; Otten, L.G. New cofactor-independent hydration biocatalysts: Structural, biochemical, and biocatalytic characteristics of carotenoid and oleate hydratases. ChemCatChem 2015, 7, 29–37. [Google Scholar] [CrossRef]
- Chen, Y.Y.; Liang, N.Y.; Curtis, J.M.; Gänzle, M.G. Characterization of linoleate 10-hydratase of Lactobacillus plantarum and novel antifungal metabolites. Front. Microbiol. 2016, 7, 1561. [Google Scholar] [CrossRef] [PubMed]
- Kang, W.-R.; Seo, M.-J.; An, J.-U.; Shin, K.-C.; Oh, D.-K. Production of δ-decalactone from linoleic acid via 13-hydroxy-9(Z)-octadecenoic acid intermediate by one-pot reaction using linoleate 13-hydratase and whole Yarrowia lipolytica cells. Biotechnol. Lett. 2016, 38, 817–823. [Google Scholar] [CrossRef] [PubMed]
- Demming, R.M.; Otte, K.B.; Nestl, B.M.; Hauer, B. Optimized reaction conditions enable the hydration of non-natural substrates by the oleate hydratase from Elizabethkingia meningoseptica. ChemCatChem 2017, 9, 758–766. [Google Scholar] [CrossRef]
- Lorenzen, J.; Driller, R.; Waldow, A.; Qoura, F.; Loll, B.; Bruck, T. Rhodococcus erythropolis oleate hydratase: A new member in the oleate hydratase family tree biochemical and structural studies. ChemCatchem 2018, 10, 407–414. [Google Scholar] [CrossRef]
- Bourdichon, F.; Casaregola, S.; Farrokh, C.; Frisvad, J.C.; Gerds, M.L.; Hammes, W.P.; Harnett, J.; Huys, G.; Laulund, S.; Ouwehand, A.; et al. Food fermentations: Microorganisms with technological beneficial use. Int. J. Food Microbiol. 2012, 154, 87–97. [Google Scholar] [CrossRef] [PubMed]
- Gorbach, S.H.; Goldin, B.R. Lactobacillus Strains and Methods of Selection. U.S. Patent 4839281, 13 June 1989. [Google Scholar]
- Ku, S.; You, H.J.; Park, M.S.; Ji, G.E. Whole-cell biocatalysis for producing ginsenoside Rd from Rb1 using Lactobacillus rhamnosus GG. J. Microbiol. Biotechnol. 2016, 26, 1206–1215. [Google Scholar] [CrossRef] [PubMed]
- Sturme, M.H.J.; Francke, C.; Siezen, R.J.; de Vos, W.M.; Kleerebezem, M. Making sense of quorum sensing in lactobacilli: A special focus on Lactobacillus plantarum WCSF1. Microbiology 2007, 153, 3939–3947. [Google Scholar] [CrossRef] [PubMed]
- Murata, A.; Kai, K.; Tsutsui, K.; Takeuchi, J.; Todoroki, Y.; Furihata, K.; Yokoyama, M.; Baldermann, S.; Watanabe, N. Enantio-selective reduction of the flowering related compound KODA and its analogues in Pharbitis nil cv. Violet. Tetrahedron 2012, 68, 5583–5589. [Google Scholar] [CrossRef][Green Version]
- Yang, W.; Dostal, L.; Rosazza, J.P.N. Stereospecificity of microbial hydrations of oleic acid to 10-hydroxystearic acid. Appl. Environ. Microbiol. 1993, 59, 281–284. [Google Scholar] [PubMed]
- Mancuso, A.J.; Huang, S.-L.; Swern, D. Oxidation of long-chain and related alcohols to carbonyls by dimethyl sulfoxide “activated” by oxalyl chloride. J. Org. Chem. 1978, 43, 2480–2482. [Google Scholar] [CrossRef]
- Ebbers, E.J.; Ariaans, G.J.A.; Bruggink, A.; Zwanenburg, B. Controlled racemization and asymmetric transformation of α-substituted carboxylic acids in the melt. Tetrahedron Asymmetry 1999, 10, 3701–3718. [Google Scholar] [CrossRef]
© 2018 by the authors. Licensee MDPI, Basel, Switzerland. This article is an open access article distributed under the terms and conditions of the Creative Commons Attribution (CC BY) license (http://creativecommons.org/licenses/by/4.0/).





