Abstract
Pt-Au nanostructures are important and well-studied fuel cell catalysts for their promising catalytic performance. However, a detailed quantitative local structure analysis, using extended X-ray absorption fine structure (EXAFS) spectroscopy, have been inhibited by interference between Pt and Au L3-edges. In this paper, Pt L3-edge XAFS analysis, free of Au L3 edge, is demonstrated for a Pt-Au reference sample using a low-cost log–spiral bent crystal Laue analyzer (BCLA). This method facilitates the EXAFS structural analysis of Pt-Au catalysts, which are important to improve fuel cell catalysts.
1. Introduction
Platinum is one of the key elements for catalytic reactions in fuel cells. Although there are many studies in which authors suggest different methodologies to replace Pt with others low-cost metals, it is still difficult to substitute the catalytic performance of Pt. A practical approach, combining different metals with Pt have widely been adopted to reduce the amount of Pt and improve its activity and durability. Among those, Au is one of the interesting metals due to its superior oxygen-reduction-reaction activity and durability reported in Pt-Au nanostructures, where the Pt (shell)-Au (core) structures and the effect of Au decoration on the edges of Pt surfaces are used as a fuel cell catalyst [1,2,3,4,5]. Hence, it is essential to understand the local structures of both Pt and Au in an atomic scale to elucidate the mechanism of the catalytic reactions in Pt-Au nanostructures. Extended X-ray absorption fine structure (extended XAFS or EXAFS) spectroscopy is a suitable and widely-used method to investigate the local atomic structures of fuel-cell catalysts because of its atomic selectivity and applicability to nanoparticles under electrochemical environments [6]. However, in case of Pt-Au system, it is difficult to obtain a Pt L3-edge EXAFS sufficient for its analysis due to the interference between Pt and Au, which are only separated by ~350 eV, so that Au L3-edge appears at ~9.6 Å−1 in Pt L3-edge EXAFS [7,8]. Although the problem can be solved by measuring K-edge XAFS, where Pt and Au K-edges are separated by ~2300 eV [9,10], the information in the long-range order is limited by the lifetime broadening, and Pt L3-edge EXAFS measurement is preferable.
Glatzel et al. first demonstrated that EXAFS spectra sufficient for analysis under the existence of interfering absorption edges, called range-extended EXAFS, could be obtained by taking advantage of high-energy-resolution fluorescence detected XAFS (HERFD-XAFS) using crystal analyzers with an energy resolution of ~1 eV [11,12]. It was shown that HERFD-XAFS was not only useful for capturing the detailed structures of the X-ray absorption near edge structure spectra but also capable of obtaining the range extended EXAFS. Recently, this method was applied to the feasibility study of Pt L3-edge EXAFS in the presence of Au [13]. In this paper, we demonstrated that range-extended Pt L3-edge EXAFS can also be obtained under the existence of Au using a log–spiral bent crystal Laue analyzer (BCLA) [14]. Although the energy resolution of BCLA (>10 eV [15]) is generally less than the resolution of crystal analyzers used in HERFD-XAFS (~1 eV), the energy reolution of the BCLA is sufficiently small for discriminating Au fluorescence from Pt. On the other hand, adopting BCLA, one can expect a lower cost for experimental arrangement compared to HERFD-XAFS. Moreover, the emission energy scan of BCLA can be achieved by a vertical scan because it approximately corresponds to the change in the incident angle of the X-ray against the crystal face. These characteristics may facilitate the application of the BCLA to the range-extended EXAFS of Pt-Au catalysts.
2. Results
Figure 1 shows the emission X-ray intensity from a diluted Pt-Au reference sample measured through a BCLA moved to the vertical direction. The incident X-ray energy was 12.1 keV, which was corresponding to the energy above the Au L3-edge. All four fluorescent peaks (Pt Lα2, Pt Lα1, Au Lα2, Au Lα1) were well resolved, and it is confirmed that there was a clear correspondence between the accepted X-ray fluorescent energy and the vertical position of the BCLA. Au fluorescent peaks were smaller compared to the expected molar ratio of the sample (Pt/Au = ~1/10); a solid-state detector (SSD) was used within the range of interest, only including the entire Pt Lα peaks. According to the full width half maximum (FWHM) of the Pt Lα1 peak, the energy resolution is ~30 eV for this experimental arrangement.
Figure 1.
Emission X-ray intensity from a diluted Pt-Au sample measured through a BCLA moved to the vertical direction. Four peaks were assigned as Pt Lα2, Pt Lα1, Au Lα2, Au Lα1, from lower to higher positions of the BCLA.
Figure 2 shows the normalized XAFS spectra of a concentrated Pt-Au reference sample measured in a transmission mode and a fluorescence mode with the BCLA. The edge heights of the raw spectrum were 1 and 7.31.1 for Pt and Au, respectively. It was clearly observed by the transmission spectrum that the sample contained ~10 times more Au than Pt. In the fluorescence mode, apparently, no Au signal was observed due to the BCLA. However, the Pt fluorescence signal abruptly decreased at the Au L3-edge; the incident X-rays were absorbed by the abundant Au atoms. Consequently, Pt atoms were less excited [11,16]. This effect can be avoided by a sufficient dilution of the sample.
Figure 2.
XAFS spectra of the concentrated Pt-Au reference sample measured in transmission (solid line) and fluorescence mode (dashed line) with the BCLA. The spectrum was normalized by the edge height of Pt = 1.
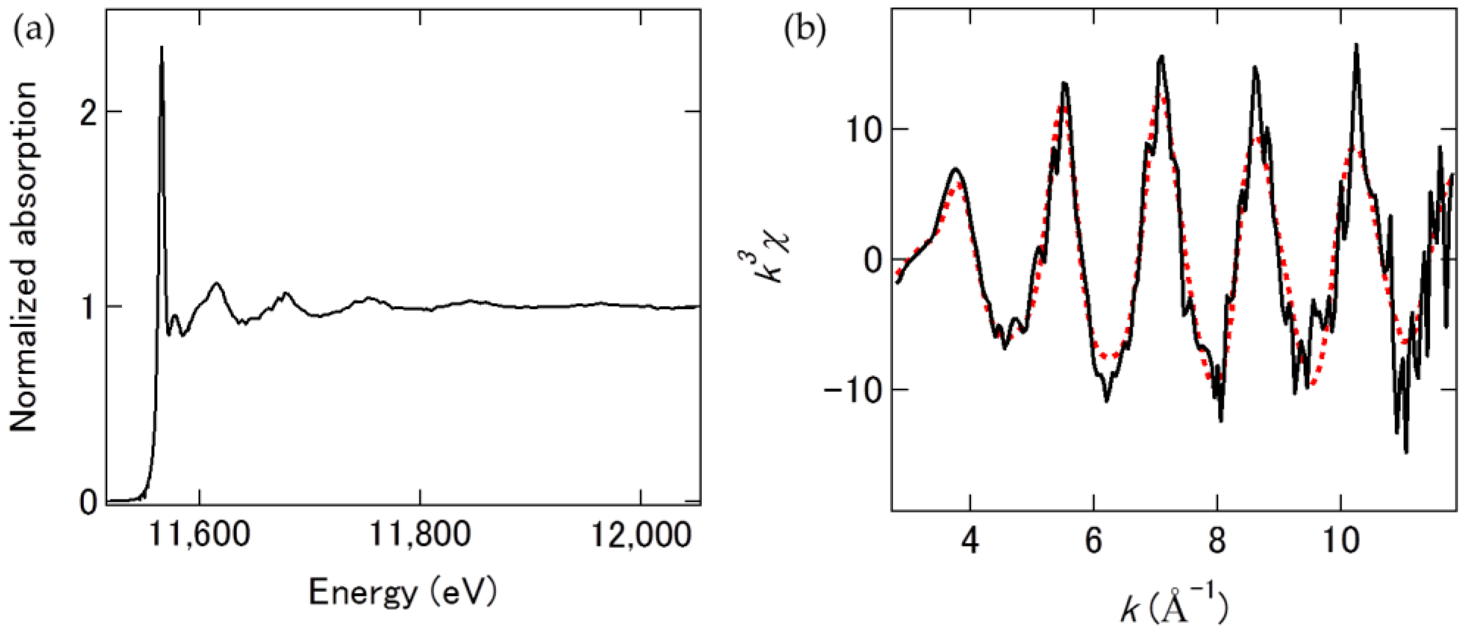
Figure 3a shows the XAFS spectrum of the diluted Pt-Au reference sample (see Materials and Methods) measured in the fluorescence mode with the BCLA. The edge heights of the raw data for this diluted sample measured in transmission mode was 0.007 for Pt and 0.05 for Au, respectively. As expected, no clear anomaly was observed near the region of Au L3-edge, when the interference of Auand Pt L3-edge EXAFS could be removed. Figure 3b shows the k3χ plot with an accumulation time of less than 30 min. For comparison, the Pt L3 transmission XAFS spectrum of a standard sample (PtCl4) measured at Beam line (BL)14B2 in Super Photon ring-8 GeV (SPring-8) was overlaid as a red dashed line (see Figure 3b). There is a good agreement up to ~12 Å−1. No clear edge was found even in this k3χ plot. Here, we demonstrated that Pt L3-edge EXAFS spectra, free of Au L3-edge, could be obtained using a considerable amount of Au in BCLA.
Figure 3.
(a): Fluorescence XAFS spectrum of the diluted Pt-Au reference sample measured with the BCLA. The spectrum was normalized by the edge height of Pt = 1; (b): k3χ EXAFS spectra of the diluted Pt-Au reference sample measured at BL36XU (black solid line) and of the standard sample PtCl4 (red dashed line) measured at BL14B2.
3. Discussion
Previously, range-extended EXAFS was only achieved in HERFD-XAFS. In this work, we have successfully demonstrated the range-extended EXAFS analysis using BCLA is possible. BCLA has several advantages mentioned above compared to HERFD-XAFS method. In addition, the crystal alignment is quite simple. It is mainly achieved by a vertical scan followed by a precise two-dimensional linear scan of the BCLA [15,17]. The only constraint is the vertical size of the incident X-ray beam. In this study, it was ~50 µm, though this condition is not fixed, depending on the energy difference between the measuring (Pt) and interfering (Au) fluorescent X-rays (see Figure 1).
HERFD-XAFS is, in general, a powerful technique to detect the subtle spectral changes in X-ray absorption near to edge regions. By applying this technique to Pt catalysts in fuel cells, various adsorbates on Pt and its oxidation states have been discussed [18,19,20]. HERFD-XAFS can not be achieved by using the BCLA because of their moderate energy resolution larger than the core-hole lifetime broadening. However, this is preferable in case of direct comparison between the spectra measured in the transmission and the fluorescence mode using BCLA; which should have the same energy resolutions.
4. Materials and Methods
The concentrated Pt-Au reference sample was made by mixing PtCl4 and AuCl powder. The mixture was then ground in a mortar and pestle together with BN (boron nitride) powder and pressed into a pellet with a size of 1 mm thick and 10 mm diameter. The Pt and Au concentration was Pt/Au ~1/10 and the Pt L3-edge step (Δµt) was ~0.1. The diluted Pt-Au reference sample was made diluting the concentrated Pt-Au pellet by ~1/20 with additional BN powder.
The XAFS measurements were performed at BL36XU in SPring-8 (JASRI, Koto, Japan). The beam size of the incident X-rays was focused to ~50 µm (vertical) × ~500 µm (horizontal) by using 4 focusing mirrors equipped in the beamline. The photon flux was ~2 × 1013 photons/s, but it was reduced to ~2 × 1012 photons/s for the diluted Pt-Au sample using an Al attenuator. Ion chambers were used for the transmission measurement. A commercial BCLA (0095, FMB Oxford, UK) and a 25-element Ge SSD (Canberra, Coneticcut , USA) or a pixel-array detector (PILATUS 300K-W; Dectris, Baden-Daettwil, Switzerland) were used for detecting fluorescent X-rays. The sample and the BCLA/SSD (or PILATUS) were placed in the 45°/45° arrangement. The shaping time of the SSD was set to 0.5 µs, which resulted in an SSD energy resolution of 400 eV. The region of interest in the SSD was 9.09–9.76 keV. Thus, the Au fluorescence effect cannot fully suppress after the Au L3-edge. The commercial BCLA was linearly scanned in two dimensions to find their optimum position so that the Pt Lα1 fluorescent X-ray intensity became maximum in the multi-element SSD. Only the detector of elements in the multi-element SSD, which sufficiently suppressed Au Lα fluorescent X-rays, was used for the spectral analyses [21].
5. Conclusions
Pt L3-edge XAFS analysis, free from Au L3-edge, was demonstrated here for the first time using BCLA; a low-cost and high-sensitive crystal analyzers, which facilitates detail EXAFS analyses for Pt-Au fuel cell catalysts. Our results confirm the feasibility of the range-extended EXAFS using BCLA, we apply this technique to two interesting fuel cell models containing Pt and Au; Au-Pt-Co-N nanoparticles deposited on a highly oriented pyrolytic graphite [22] and monolayer Pt deposited on Au thin film with 60 nm thickness on a Si (100) substrate [23]. We will soon report these results.
Author Contributions
Y.W., H.U., and K.A. conceived, designed, and performed the experiments; D.K., Q.Y., Y.U., and T.W. performed the experiments; Y.W., S.T., M.U., T.Y., T.U., Y.I., and K.A. discussed the results; T.S., O.S., and T.U. supported the experiments; Y.W. analyzed the data; Y.W. and K.A. wrote the paper.
Acknowledgments
The authors would like to express their gratitude to the New Energy and Industrial Technology Development Organization (NEDO) Polymer Electrolyte Fuel Cell project for their financial support. We would like to thank Hiroyuki Asakura for discussing the range-extended EXAFS results of Pt-Au. T.W. and Y.U. were supported by the Cooperative Research Program of Institute for Catalysis, Hokkaido University. The XAFS measurements at SPring-8 were performed under project number 2016A7902 and 2016B7902. XAFS spectrum of standard sample PtCl4 is utilized by SPring-8 BL14B2 XAFS database (2014S0000-000523). This work was supported by the Technical Division of Institute for Catalysis, Hokkaido University.
Conflicts of Interest
The authors declare no conflict of interest.
References
- Kristian, N.; Wang, X. Pt shell–Au core/C electrocatalyst with a controlled shell thickness and improved Pt utilization for fuel cell reactions. Electrochem. Commun. 2008, 10, 12–15. [Google Scholar] [CrossRef]
- Shuangyin, W.; Noel, K.; Sanping, J.; Xin, W. Controlled synthesis of dendritic Au@Pt core–shell nanomaterials for use as an effective fuel cell electrocatalyst. Nanotechnology 2009, 20, 025605. [Google Scholar] [CrossRef]
- Xiu, C.; Shengnan, W.; Scott, J.; Zhibing, C.; Zhenghua, W.; Lun, W.; Li, Y. The deposition of Au-Pt core-shell nanoparticles on reduced graphene oxide and their catalytic activity. Nanotechnology 2013, 24, 295402. [Google Scholar] [CrossRef]
- Dai, Y.; Chen, S. Oxygen Reduction Electrocatalyst of Pt on Au Nanoparticles through Spontaneous Deposition. ACS Appl. Mater. Interfaces 2015, 7, 823–829. [Google Scholar] [CrossRef] [PubMed]
- Takahashi, S.; Chiba, H.; Kato, T.; Endo, S.; Hayashi, T.; Todoroki, N.; Wadayama, T. Oxygen reduction reaction activity and structural stability of Pt-Au nanoparticles prepared by arc-plasma deposition. Phys. Chem. Chem. Phys. 2015, 17, 18638–18644. [Google Scholar] [CrossRef] [PubMed]
- Iwasawa, Y.; Asakura, K.; Tada, M. XAFS Techniques for Catalysts, Nanomaterials, and Surfaces; Springer: New York, NY, USA, 2016. [Google Scholar]
- Nagamatsu, S.; Arai, T.; Yamamoto, M.; Ohkura, T.; Oyanagi, H.; Ishizaka, T.; Kawanami, H.; Uruga, T.; Tada, M.; Iwasawa, Y. Potential-Dependent Restructuring and Hysteresis in the Structural and Electronic Transformations of Pt/C, Au(Core)-Pt(Shell)/C, and Pd(Core)-Pt(Shell)/C Cathode Catalysts in Polymer Electrolyte Fuel Cells Characterized by in Situ X-ray Absorption Fine Structure. J. Phys. Chem. C 2013, 117, 13094–13107. [Google Scholar]
- Yuan, Q.; Takakusagi, S.; Wakisaka, Y.; Uemura, Y.; Wada, T.; Ariga, H.; Asakura, K. Polarization-dependent Total Reflection Fluorescence X-ray Absorption Fine Structure (PTRF-XAFS) Studies on the Structure of a Pt Monolayer on Au(111) Prepared by the Surface-limited Redox Replacement Reaction. Chem. Lett. 2017, 46, 1250–1253. [Google Scholar] [CrossRef]
- Kaito, T.; Mitsumoto, H.; Sugawara, S.; Shinohara, K.; Uehara, H.; Ariga, H.; Takakusagi, S.; Hatakeyama, Y.; Nishikawa, K.; Asakura, K. K-Edge X-ray Absorption Fine Structure Analysis of Pt/Au Core–Shell Electrocatalyst: Evidence for Short Pt–Pt Distance. J. Phys. Chem. C 2014, 118, 8481–8490. [Google Scholar] [CrossRef]
- Kaito, T.; Mitsumoto, H.; Sugawara, S.; Shinohara, K.; Uehara, H.; Ariga, H.; Takakusagi, S.; Asakura, K. A new spectroelectrochemical cell for in situ measurement of Pt and Au K-edge X-ray absorption fine structure. Rev. Sci. Instrum. 2014, 85, 084104. [Google Scholar] [CrossRef] [PubMed]
- Glatzel, P.; de Groot, F.M.F.; Manoilova, O.; Grandjean, D.; Weckhuysen, B.M.; Bergmann, U.; Barrea, R. Range-extended EXAFS at the $L$ edge of rare earths using high-energy-resolution fluorescence detection: A study of La in LaOCl. Phys. Rev. B 2005, 72, 014117. [Google Scholar] [CrossRef]
- Yano, J.; Pushkar, Y.; Glatzel, P.; Lewis, A.; Sauer, K.; Messinger, J.; Bergmann, U.; Yachandra, V. High-Resolution Mn EXAFS of the Oxygen-Evolving Complex in Photosystem II: Structural Implications for the Mn4Ca Cluster. J. Am. Chem. Soc. 2005, 127, 14974–14975. [Google Scholar] [CrossRef] [PubMed]
- Asakura, H.; Kawamura, N.; Mizumaki, M.; Nitta, K.; Ishii, K.; Hosokawa, S.; Teramura, K.; Tanaka, T. A feasibility study of “range-extended” EXAFS measurement at the Pt L3-edge of Pt/Al2O3 in the presence of Au2O3. J. Anal. At. Spectrom. 2018, 33, 84–89. [Google Scholar] [CrossRef]
- Zhong, Z.; Chapman, L.D.; Bunker, B.A.; Bunker, G.B.; Fischetti, R.; Segre, C.U. A bent Laue analyzer for fluorescence EXAFS detection. J. Synchrotron Radiat. 1999, 6, 212–214. [Google Scholar] [CrossRef] [PubMed]
- Kujala, N.G.; Karanfil, C.; Barrea, R.A. High resolution short focal distance Bent Crystal Laue Analyzer for copper K edge X-ray absorption spectroscopy. Rev. Sci. Instrum. 2011, 82, 063106. [Google Scholar] [CrossRef] [PubMed]
- Bianchini, M.; Glatzel, P. A tool to plan photon-in/photon-out experiments: Count rates, dips and self-absorption. J. Synchrotron Radiat. 2012, 19, 911–919. [Google Scholar] [CrossRef] [PubMed]
- Karanfil, C.; Bunker, G.; Newville, M.; Segre, C.U.; Chapman, D. Quantitative performance measurements of bent crystal Laue analyzers for X-ray fluorescence spectroscopy. J. Synchrotron Radiat. 2012, 19, 375–380. [Google Scholar] [CrossRef] [PubMed]
- Friebel, D.; Viswanathan, V.; Miller, D.J.; Anniyev, T.; Ogasawara, H.; Larsen, A.H.; O’Grady, C.P.; Nørskov, J.K.; Nilsson, A. Balance of Nanostructure and Bimetallic Interactions in Pt ModelFuel Cell Catalysts: In Situ XAS and DFT Study. J. Am. Chem. Soc. 2012, 134, 9664–9671. [Google Scholar] [CrossRef] [PubMed]
- Merte, L.R.; Behafarid, F.; Miller, D.J.; Friebel, D.; Cho, S.; Mbuga, F.; Sokaras, D.; Alonso-Mori, D.; Weng, T.-C.; Nordlund, D.; et al. Electrochemical Oxidation of Size-Selected Pt Nanoparticles Studied Using in Situ High-Energy-Resolution X-ray Absorption Spectroscopy. ACS Catal. 2012, 2, 2371–2376. [Google Scholar] [CrossRef]
- Cui, Y.-T.; Harada, Y.; Niwa, H.; Hatanaka, T.; Nakamura, N.; Ando, M.; Yoshida, T.; Ishii, K.; Matsumura, D.; Oji, H.; et al. Wetting Induced Oxidation of Pt-based Nano Catalysts Revealed by In Situ High Energy Resolution X-ray Absorption Spectroscopy. Sci. Rep. 2017, 7, 1482. [Google Scholar] [CrossRef] [PubMed]
- Wakisaka, Y.; Iwasaki, Y.; Uehara, H.; Mukai, S.; Kido, D.; Takakusgi, S.; Uemura, Y.; Wada, T.; Yuan, Q.; Sekizawa, O.; et al. Approach to Highly Sensitive XAFS by Means of Bent Crystal Laue Analyzers. J. Surf. Sci. Soc. Jpn. 2017, 38, 378–383. [Google Scholar] [CrossRef]
- Takahashi, S.; Takahashi, N.; Todoroki, N.; Wadayama, T. Dealloying of Nitrogen-Introduced Pt–Co Alloy Nanoparticles: Preferential Core–Shell Formation with Enhanced Activity for Oxygen Reduction Reaction. ACS Omega 2016, 1, 1247–1252. [Google Scholar] [CrossRef]
- Liu, Y.; Hangarter, C.M.; Garcia, D.; Moffat, T.P. Self-terminating electrodeposition of ultrathin Pt films on Ni: An active, low-cost electrode for H2 production. Surf. Sci. 2015, 631, 141–154. [Google Scholar] [CrossRef]
© 2018 by the authors. Licensee MDPI, Basel, Switzerland. This article is an open access article distributed under the terms and conditions of the Creative Commons Attribution (CC BY) license (http://creativecommons.org/licenses/by/4.0/).


