You are currently viewing a new version of our website. To view the old version click .
Crystals
  • Article
  • Open Access

28 May 2021

Structure and Properties of Ln2MoO6 Oxymolybdates (Ln = La, Pr, Nd) Doped with Magnesium

,
,
,
,
,
and
1
Faculty of Physics, Moscow State University, Moscow 119991, Russia
2
Shubnikov Institute of Crystallography, Federal Scientific Research Centre “Crystallography and Photonics”, Russian Academy of Sciences, Moscow 119333, Russia
*
Author to whom correspondence should be addressed.
This article belongs to the Special Issue Functional Materials Based on Rare-Earth Elements

Abstract

The literature data and the results obtained by the authors on the study of the structure and properties of a series of polycrystalline and single-crystal samples of pure and Mg-doped oxymolybdates Ln2MoO6 (Ln = La, Pr, Nd) are analyzed. Presumably, the high-temperature phase I41/acd of Nd2MoO6 single crystals is retained at room temperature. The reason for the loss of the center of symmetry in the structures of La2MoO6 and Pr2MoO6 and the transition to the space group I 4 ¯ c2 is the displacement of oxygen atoms along the twofold diagonal axes. In all structures, Mg cations are localized near the positions of the Mo atoms, and the splitting of the positions of the atoms of rare-earth elements is found. Thermogravimetric studies, as well as infrared spectroscopy data for hydrated samples of Ln2MoO6 (Ln = La, Pr, Nd), pure and with an impurity of Mg, confirm their hygroscopic properties.

1. Introduction

During decades, tungstates, molybdates, and binary systems of the Ln2O3–Mo(W)O3 type, especially in the concentration range 25–50 mol% of Ln2O3 oxide, have been intensively studied [,,,,,]. The different content of oxides determines the variety of compounds in these systems. Scheelite-like 1:3 phases (the 1:3 ratio of molar concentrations of oxides, i.e., the 1:3 composition) with excellent luminescent properties are distinguished among them. In the molybdates of these compounds, improper ferroelectrics were first discovered []. In 2000, the LAMOX family (1:2 composition) with a high oxygen conductivity of the order of 10–2 S cm–1 was discovered []. The cubic phase of the 5:6 composition (Ln5Mo3O16) [] has the same high conductivity. Finally, 1:1 compounds (Ln2Mo(W)O6), so-called oxymolybdates and oxytungstates, existing in all the binary systems mentioned above, exhibit polymorphism that depends on the ionic radius of the rare earth element and the synthesis temperature [,,,,,]. Oxymolybdates and oxytungstates are chemically stable and have high refractive indices. These compounds doped with Eu exhibit intense luminescence [,] and are also used as microwave ceramics [,]. Other properties of these compounds are poorly understood. Let us focus our attention on the study of a number of new properties of the rather well-studied phases of oxymolybdates and oxytungstates Ln2Mo(W)O6 existing in binary systems Ln2O3–Mo(W)O3 [,,,,,].
Already in the first and subsequent structural studies, polymorphism in these compounds was revealed [,,,,,,,,,]. Oxytungstates were synthesized in two different monoclinic scheelite-like symmetry classes, depending on the ionic radius of the rare earth element []. As for oxymolybdates Ln2MoО6 with large rare earth cations (La, Pr, and Nd), a large number of works have been devoted to the study of their polymorphism, structure, and properties [,,,,]. During the synthesis of these oxymolybdates at a temperature of about 1200 °C, a layered tetragonal phase is formed. With a subsequent decrease in the ionic radius, a monoclinic scheelite-like phase with a structure of the Nd2WO6 type was synthesized, which remained monoclinic when heated to 1400 °C [,,,]. Scheelite-like structures of the Nd2WO6-type for oxymolybdates Ln2MoO6 (Ln = Nd–Tb) have been studied many times [,,]. Among Ln2MoO6 molybdates with large cations (Ln = La–Nd), only Nd2MoO6 can exist at low temperatures in the monoclinic phase, which irreversibly transforms into the tetragonal phase at 1010 °C []. The existence of this phase transition was confirmed by differential thermal analysis (DTA).
In [], the structure of La2MoO6 single crystals obtained at 800 °C was studied for the first time. The authors revealed their tetragonal layered structure, space group I 4 ¯ 2m, and unit cell parameters a = 4.089, c = 15.99 Å. No monoclinic phase was found.
According to [,], the space group of Ln2MoO6 (Ln = La, Nd) single crystals obtained by cooling from 1250 to 900 °C is centrosymmetric I41/acd with a doubled parameter c (a = 5.798, c = 32.036 Å). This conclusion was first made in [] and was associated with additional reflections arising from the deformation of the crystal lattice during firing at high temperatures. Further investigation of the physical properties of the crystals revealed a weak piezoelectric effect [], which made it necessary to reconsider the crystal symmetry. For crystals at room temperature, an asymmetric space group I 4 ¯ c2 was chosen, which is a subgroup of the space group I41/acd. The authors of [] assumed the existence of a second order phase transition between these groups, which was therefore not detected using DTA []. According to [,], the structure of La2MoO6 or Nd2MoO6 consists of two layers of LaO8 or NdO8 polyhedra and a layer of isolated MoO4 tetrahedra. The conductivity of oxymolybdates does not exceed 10–4 S cm–1 []. Thermogravimetry shows that molybdates Ln2MoO6 (Ln = La, Pr, Nd) have hygroscopic properties up to 1000–1200 °C, which may indicate the possible proton conductivity in these compounds [,,].
Currently, a number of works are known in which the rare earth element in oxymolybdates with large cations is partially replaced by divalent elements—lead or magnesium [,,,]. Solid solutions (PbO)x(Nd2MoO6)(1–x)/2 are formed in a wide range 0 ≤ x ≤ 0.6. In these solid solutions, in the region of 820 °C, a phase transition was observed between the low-temperature I 4 ¯ 2m and high-temperature I41/acd phases upon heating. In the phase transition region, the conductivity of neodymium oxymolybdate increased by two orders of magnitude and reached 10–2 S cm–1 and was comparable to the conductivity of molybdate with the LAMOX structure. When lanthanum oxymolybdate was doped with Pb, the field of solid solutions narrowed []. However, the physical properties changed upon doping in the same way as in the case of neodymium oxymolybdate: a phase transition occurred (775 °C), the conductivity increased.
The second divalent element, magnesium, during the synthesis of solid solutions according to the scheme (MgO)x(Ln2MoO6)(1–x)/2, where Ln = La, Pr, Nd [,,], led to the formation of a very narrow field of solid solutions with x < 0.10. Mg-doped single crystals were prepared by flux growth. According to the X-ray diffraction study of the compounds obtained, the Mg atom replaces Mo and leads to the splitting of the positions of rare earth elements, while the phase transition does not occur. In [,,], the features of the structure and properties of Mg-doped oxymolybdates are considered. The presented work is a brief review in which we summarize, analyze and compare the structural features and properties of Mg-doped Ln2MoO6 oxymolybdates with large rare earth cations (Ln = La, Pr, Nd), previously published and supplemented by studies of a number of new properties using powder X-ray diffraction, thermogravimetry, and infrared spectroscopy.

2. Materials and Methods

Polycrystalline samples were prepared by solid-state reactions in air in ternary systems MgO–Ln2O3–MoO3 (Ln = La, Pr, Nd) in accordance with the scheme (MgO)x(Ln2O3)y(MoO3)z (x, y, z are the molar fractions of oxides, x + y + z = 1, y = z = (1 – x)/2). These compositions correspond to the Ln2MoO6–MgO binary join of the above ternary system, (MgO)x(Ln2MoO6)(1–x)/2, x = 0, 0.03, 0.05, 0.10. High purity (99.9%) reagents of magnesium oxide MgO and rare earth oxides La2O3, Pr2O3, and Nd2O3, due to their hygroscopicity, were preliminarily dried before weighing. The tablets of the required composition were compressed using a hydraulic press (10 MPa). Two-stage firing of specimens at temperatures of 800 and 1250 °C for 24 h with intermediate grinding in an agate mortar was applied. The heating and cooling rate was 300 °C h–1.
The surface of the samples of pure and Mg-doped Pr2MoO6 was studied by scanning electron microscopy (SEM) using a Scios DualBeam system (scanning electron microscope (SEM)/focus ion beam) (Thermo Fisher Scientific, Waltham, MA, USA). The samples were mounted on an aluminum holder with carbon adhesive tape. SEM image of pure Pr2MoO6 ceramics shows weakly faceted crystallites up to 5 μm in size (Figure 1a). The incorporation of Mg into ceramics (Figure 1b) led to an increase in the crystallite size to 10–50 µm and a decrease in the number of pores.
Figure 1. Secondary electron SEM images of: (a) pure; (b) Mg-doped (MgO)x(Ln2MoO6)(1–x)/2 ceramics (x = 0.1).
Single crystals of rare earth oxymolybdates Ln2MoO6 (Ln = La, Pr, Nd) were prepared by flux growth in the Li2O–MoO3Ln2O3, Ln = La, Pr, Nd, ternary systems from high-temperature melts with a composition of 12.5 mol% Ln2O3, 30 mol% Li2O, and 57.5 mol% MoO3. To obtain Mg-doped single-crystal samples, magnesium oxide was added to the melt. The maximum melt temperature was 1350 °C. All the obtained single crystals had a plate-like shape, sizes up to 5 mm. Depending on the rare earth cation, the crystals were colorless (Ln = La), yellow (Ln = Pr), or violet (Ln = Nd) in the light of an incandescent lamp (Figure 2a). The good quality of the obtained single crystals was confirmed by SEM. In the SEM image of a Mg-doped Pr2MoO6 single crystal, no domains and block boundaries were found (Figure 2b).
Figure 2. (a) photograph of Mg-containing Ln2MoO6 single crystals illuminated by an incandescent lamp: (1) Ln = La, (2) Pr, (3) Nd; (b) secondary electron SEM images of Mg-doped Pr2MoO6 single crystal.
The chemical composition of Mg-doped Nd2MoO6 and Pr2MoO6 was determine in [,] using energy dispersive X-ray spectrometry. More precisely, the low concentration of magnesium in Pr2MoO6 single crystals was determined by inductively coupled plasma-mass-spectrometry (ICP-MS technique) [].
X-ray phase analysis was carried out at room temperature using a Rigaku Miniflex 600 diffractometer (Cu Kα radiation, 2θ = 20°–60°).
To estimate the density of the obtained polycrystalline samples, we used the ratio of the density obtained by hydrostatic weighing in toluene and the X-ray density of the samples, calculated by the formula:
ρcalc = MZ 1.66/V,
where M is the molecular weight (g), Z is the number of formula units, V is the volume of the unit cell (Å3). The density of pure and Mg-containing polycrystalline samples averaged 95% of the calculated one.
Thermogravimetric (TG) studies of all obtained phases were carried out on NETZSCH STA 449C equipment in the temperature range 20–1250 °С in air at a heating and cooling rate of 10 °С min–1. Infrared (IR) spectroscopy of the compounds under study was carried out on a Bruker Vertex 70 IR Fourier spectrometer in the frequency range 500–5000 cm–1. A sample of 1.0 mg ground into powder was pressed with potassium bromide into a tablet weighing 200 mg and 0.5 mm thick. Polycrystalline and single-crystal samples for IR and TG studies were preliminary hydrated by immersion in distilled water at room temperature for one–three weeks.
X-ray diffraction studies of Ln2MoO6 (Ln = La, Pr, Nd) single crystals, pure and doped with Mg, were carried out on an Xcalibur Eos S2 diffractometer (Rigaku Oxford Diffraction) at room temperature. The CrysAlisPro program [] was used for data reduction. Absorption correction was made analytically, with allowance for the crystal shape and sizes [], and the JANA2006 program [] was used to refine the structural model, which was determined with the Superflip program [] using the charge-flipping algorithm. The experimental data, including the main characteristics of the crystals under study, the results of the refinement of structures, the coordinates, occupancies of positions, and equivalent atomic displacement parameters are given in [,,].

3. Results and Discussion

3.1. Powder X-ray Diffraction

In powder diffraction patterns of ground polycrystalline samples (MgO)x(Ln2MoO6)(1–x)/2 (х = 0, 0.03, 0.05, 0.10), Ln = La, Pr (Figure 3 and Figure 4) at х ≥ 0.05, a peak of a second phase, MgO, emerges (θ = 43°). Samples with x = 0.03 are isostructural with pure oxymolybdates La2MoO6 and Pr2MoO6. For Mg-containing neodymium oxymolybdates (Figure 5), the solid solution range with a tetragonal structure of Nd2MoO6 exists at x < 0.10. It should be noted that a wider range of solid solutions is indicated in [,] for (MgO)x(Ln2MoO6)(1–x)/2 (Ln = Pr, Nd) samples, which is associated with a lower diffractometer resolution. The unit cell parameters of pure and Mg-doped samples of oxymolybdates Ln2MoO6, Ln = La, Pr, Nd, change insignificantly with the introduction of Mg atoms into the structure of the compounds under study (Table 1).
Figure 3. Powder X-ray diffraction patterns of ground polycrystalline (MgO)x(La2MoO6)(1–x)/2 samples: x = 0 (1), 0.03 (2), 0.05 (3), 0.10 (4). Asterisks mark the reflections of the MgO impurity phase (inset Figure).
Figure 4. Powder X-ray diffraction patterns of ground polycrystalline (MgO)x(Pr2MoO6)(1–x)/2 samples obtained on a Rigaku Miniflex 600 diffractometer: x = 0 (1), 0.03 (2), 0.05 (3), 0.10 (4). Asterisks mark the reflections of the MgO impurity phase.
Figure 5. Powder X-ray diffraction patterns of ground polycrystalline (MgO)x(Nd2MoO6)(1–x)/2 samples obtained on a Rigaku Miniflex 600 diffractometer: x = 0 (1), 0.03 (2), 0.05 (3), 0.10 (4). Asterisks mark the reflections of the MgO impurity phase (inset Figure).
Table 1. Composition, unit cell parameters and volume of Mg-doped oxymolybdates (MgO)x(Ln2MoO6)(1–x)/2, Ln = La, Pr, Nd.
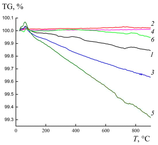
Figure 6 shows powder diffraction patterns of ground single crystals of pure and Mg-doped Ln2MoO6, Ln = La, Pr, Nd [,,]. There is a significant increase in the intensity of the 0012 reflection in comparison with diffractograms obtained from polycrystalline samples, which is explained by the layered structure of oxymolybdate crystals. The largest face of the crystal is (001) plane (Figure 2a), normal to the c axis.
Figure 6. Powder X-ray diffraction patterns of ground single-crystal samples of (1, 3, 5) pure and (2, 4, 6) Mg-containing La2MoO6 (1, 2), Pr2MoO6 (3, 4), and Nd2MoO6 (5, 6).

3.2. Thermogravimetry

In [,,], the hygroscopic properties of pure and Mg-containing compounds Ln2MoO6 (Ln = La, Pr, Nd) were found. In Figure 7 and Figure 8, TG curves of preliminary hydrated polycrystalline and single-crystal Ln2MoO6 samples doped with Mg are shown. For all the samples under study, after the first heating, weight losses of the order of 0.1–0.7% were recorded associated with the evaporation of water. No noticeable weight loss was observed upon reheating, indicating that the water had evaporated. The hygroscopicity of single-crystal samples of La and Nd oxymolybdates was first detected in this work. The weight loss of ceramics and single crystals at high temperatures confirms the presence of water in the crystal structure of the samples [], not only in the ceramics pores or on the surface.
Figure 7. TG curves of (1, 3, 5) hydrated and (2, 4, 6) reheated Mg-containing polycrystalline (MgO)0.03(La2MoO6)0.485 (1, 2), (MgO)0.03(Pr2MoO6)0.485 (3, 4), and (MgO)0.03(Nd2MoO6)0.485 (5, 6) samples.
Figure 8. TG curves of (1, 3, 5) hydrated and (2, 4, 6) reheated Mg-containing single crystals La2MoO6 (1, 2), Pr2MoO6 (3, 4), and Nd2MoO6 (5, 6).
The water loss was approximately the same for the ceramics, because ceramics with the same magnesium content were examined ((MgO)0.03(Ln2MoO6)0.485, Ln = La, Pr, Nd) (Figure 7). For single crystals, the amount of absorbed water turned out to be different due to the different concentration of magnesium in the crystals (Figure 8). The largest amount of magnesium was found in neodymium crystals, and the amount of absorbed water for them was the maximum. Apparently, the incorporation of magnesium into the structure increases the hygroscopicity of the samples.

3.3. IR Spectroscopy

IR spectroscopy of Mg-doped polycrystalline oxymolybdate samples is performed for the first time. In Figure 9, the IR spectra of hydrated oxymolybdates (MgO)x(Ln2MoO6)(1–x)/2, Ln = La, Pr, Nd, x = 0.03, are shown. The vibration spectrum of the crystal lattice of the samples under study is recorded below 900 cm–1 []. Consequently, the region 4500–900 cm–1 can be attributed to the vibration of OH bonds. For all studied hydrated phases of Mg-containing oxymolybdates, a strong broad band at about 3460 cm–1 is observed, which characterizes the stretching vibrations of the O–H bond and confirms the presence of various oxygen-hydrogen groups in the samples. The band corresponding to deformation vibrations of an isolated water molecule shifts to short-wave region and is recorded at 1644 cm–1, which occurs during association of water molecules, for example, due to hydrogen bonds [,]. The absorption band at 1730 cm–1 unambiguously indicates the existence of the hydroxonium ion Н3О+. Thus, it can be concluded that in the studied phases of oxymolybdates, oxygen-hydrogen groups are Н3О+.
Figure 9. IR spectra of hydrated Mg-containing polycrystalline samples of (1) La2MoO6·nH2O, (2) Pr2MoO6·nH2O, and (3) Nd2MoO6·nH2O.

3.4. Crystal Structure

X-ray diffraction analysis of Mg-doped Ln2MoO6 (Ln = La, Pr, Nd) tetragonal single crystals showed that no radical structural changes occurred at an Mg concentration of 2.6–11.4% [,,]. The structure of these crystals was solved in space group I41/acd for Mg-containing samples of neodymium oxymolybdate [] and in space group I 4 ¯ c2 for lanthanum and praseodymium oxymolybdates with magnesium [,]. The reason for the loss of the center of symmetry and the transition to the space group I 4 ¯ c2 can be the displacement of O atoms, which form the nearest environment of the atoms of the rare earth elements, along the twofold diagonal axes []. Table 2 lists the coordinates of the Ln (La, Pr, Nd), Mo, and O atoms in three structures Ln2MoO6 in space groups I41/acd and I 4 ¯ c2, as well as the coordinate difference calculated from the data of [,,]. The arrangement of Mo atoms in both models of structures is the same, the coordinates of heavy Ln atoms are close, while oxygen atoms deviate significantly from their centrosymmetric positions. The minimum deviations of the coordinates of oxygen atoms in space group I 4 ¯ c2 from their positions in non-polar space group I41/acd are observed for the Nd2MoO6 structure in comparison with similar values for the La2MoO6 and Pr2MoO6 structures (Table 2), which indicates that the high-temperature phase I41/acd of the Nd2MoO6 single crystal is presumably fixed at room temperature.
Table 2. Atomic coordinates in the structure of Ln2MoO6 single crystals in space groups I41/acd and I 4 ¯ c2 and their difference Δ.
On the different Fourier maps of the electron density, peaks were found near the cation positions in the structure, which were not observed on the different Fourier maps of undoped Ln2MoO6 crystals. This allowed the authors of [,,] to assume that such distribution of the residual electron density was associated with the incorporation of magnesium into the structure of the compounds. The presence of magnesium in the samples was additionally confirmed by scanning transmission electron microscopy and ICP-MS. Based on the data of electron microscopy, Mg cations were concluded to replace Mo cations in the structure. In the crystal structure of Ln2MoO6 oxymolybdates (Ln = La, Pr, Nd), impurity Mg atoms were localized near the positions of the Mo atoms Mo1 and Mo2 at a distance of ~0.3 Å. The peaks located on the difference Fourier maps near the Ln positions at distances of up to ~0.6 Å were interpreted as split positions of rare earth cations.
Structural models of the Ln2MoO6 (Ln = La, Pr, Nd) single crystals doped with Mg can be represented as superimposed lattices of the main matrix, Ln2MoO6, (Figure 10) and lattices in which rare earth cation positions are split, and Mo cations are replaced by Mg. Since the Mg concentration in the crystal is low, there are few such lattices. The environment of the main cationic positions corresponds to the environment in the undoped Ln2MoO6. The La, Pr, and Nd cations are located in the center of distorted cubes composed of O anions occupying the main positions; Mo atoms have a tetrahedral oxygen environment. The rare earth cations in the split positions are partially surrounded by oxygen atoms in the additional positions found. Surrounding the cations with oxygen anions located in low-occupancy positions leads to an even greater distortion of the shape of polyhedra in comparison with the undoped Ln2MoO6. The doping Mg atoms in the structures are surrounded by eight O anions at distances of 2.1–2.9 Å, including two O atoms in additional positions. Thus, the partial replacement of Мo6+ with Mg2+ leads to disordering of O atoms, decreasing in the occupancy of their positions and, as a consequence, to the appearance of oxygen vacancies in the structure of Mg-containing Ln2MoO6 oxymolybdates.
Figure 10. Model of the structure of Pr2MoO6 single crystals doped with magnesium: superimposed lattices of the (a) main matrix Pr2MoO6; (b) lattices in which Mg atoms are substituted for Mo atoms; (c,d) the resulting lattice in different projections [] (Reproduced with permission of the International Union of Crystallography).
As shown above, significant weight loss on heating, as well as the corresponding absorption bands in the IR spectra, indicate the hygroscopic properties of Mg-doped oxymolybdates. It is known [] that acceptor doping and the formation of oxygen vacancies in the structure leads to the dissolution of a significant amount of water from the gaseous atmosphere and the appearance of high-temperature proton conductivity as a functional property of the material. Consequently, there is a possibility of a proton component of the electrical conductivity of oxymolybdates of large rare earth metals with magnesium impurities in the structure.

4. Conclusions

Based on the analysis of the structures of single-crystal samples of Ln2MoO6 oxymolybdates (Ln = La, Pr, Nd), pure and doped with Mg, the motif of heavy atoms was found to be centrosymmetric in all compounds. The violation of the center of symmetry occurs due to displacements of the oxygen atoms surrounding the atoms of the rare earth element. Minimum deviations of the coordinates of oxygen atoms in space group I 4 ¯ c2 from their positions in non-polar space group I41/acd are observed for the Nd2MoO6 structure compared to La2MoO6 and Pr2MoO6, which indicates that the high-temperature phase I41/acd of the Nd2MoO6 single crystal is presumably fixed at room temperature. It should also be noted that among the three molybdates with the rare-earth cations La, Pr, and Nd, only the Nd2MoO6 compound at room temperature has a monoclinic scheelite-type structure, which at a temperature of about 1010 °C transforms into the tetragonal phase. Since the transition from the monoclinic phase to the high-temperature tetragonal phase is irreversible, tetragonal oxymolybdates synthesized at 1000 °C and higher temperatures are in a metastable state at room temperature. In all structures of Mg-doped single-crystal samples of oxymolybdates Ln2MoO6 (Ln = La, Pr, Nd), Mg cations were localized near the positions of Mo atoms, and the splitting of the positions of rare earth atoms was revealed.
The hygroscopic properties of the studied oxymolybdates were confirmed by thermogravimetry and IR spectroscopy. The incorporation of magnesium into the structure of oxymolybdates enhances the hygroscopic properties of the samples. Taking into account the formation of oxygen vacancies in the structure upon partial substitution of Mg2+ atoms for Мo6+, the proton component of the conductivity of oxymolybdates of large rare earth metals is probable.

Author Contributions

Synthesis of polycrystalline samples and IR spectroscopy, writing—original draft preparation, E.O.; TG and DSC analysis; analysis, validation, E.K.; X-ray phase analysis, T.S.; X-ray diffraction analysis, visualization, A.A.; X-ray diffraction analysis, visualization, translation, data curation, N.N.; X-ray diffraction analysis, writing—original draft preparation, supervision, N.S.; crystal growth by the flux method, writing—original draft preparation, as well as review and editing, project administration, V.V. All authors have read and agreed to the published version of the manuscript.

Funding

The following funding is acknowledged: Russian Foundation for Basic Research (award No. 18-29-12005). This work was performed using the equipment of the Shared Research Center FSRC “Crystallography and Photonics” RAS and was supported by the Ministry of Science and Higher Education of the Russian Federation within the State assignment FSRC “Crystallography and Photonics” RAS with respect to the X-ray phase and structure analyses and by the Russian Foundation for Basic Research with respect to the synthesis of the crystals and the study of their thermogravimetric and spectroscopic properties.

Institutional Review Board Statement

Expert opinion No. 681 of 21 May 2021 on the possibility of open publication and Permission No. 681 of May 24, 2021 for the export or dispatch of material abroad.

Data Availability Statement

The structural data are deposited with the Cambridge Crystallographic Data Centre. CCDC references: 1999199; 1999200; 2086342.

Acknowledgments

The authors are grateful to A.L. Vasiliev for his help in obtaining the data of scanning electron microscopy.

Conflicts of Interest

The authors declare no conflict of interest.

References

  1. Blasse, G. Dilanthanide molybdate and tungstates Ln2MoO6. J. Inorg. Nucl. Chem. 1966, 28, 1488–1489. [Google Scholar] [CrossRef]
  2. Pokrovskii, А.N.; Rybakov, V.K.; Trunov, V.K. XRD study of oxytungstate and oxymolybdate of lanthanides and ittrium oxymolybdate. Zhurnal Neorg. Khimii 1969, 14, 2344–2347. [Google Scholar]
  3. McCarthy, G.J.; Fischer, R.D.; Johnson, G.G., Jr.; Gooden, C.E. Crystal Chemistry and Compound Formation in the Systems Rare Earth Sesquioxide—WO3. In Proceedings of the Fifth Material Research Symposium on Solid State Chemistry, Gaithersburg, MD, USA, 18 October 1971; pp. 397–411. Available online: https://inis.iaea.org/search/search.aspx?orig_q=RN:4068137 (accessed on 27 May 2021).
  4. Brixner, L.N.; Sleight, A.W.; Licis, M.S. La2MoO6—Type rare earth molybdates—Preparation and lattice parameters. J. Solid State Chem. 1972, 5, 186–190. [Google Scholar] [CrossRef]
  5. Dorn, K.V.; Hartenbach, I. Press to success: Gd5FW3O16—The first gadolinium(III) fluoride oxidotungstate(VI). Crystals 2019, 9, 424. [Google Scholar] [CrossRef]
  6. Errandonea, D.; Ruiz-Fuertes, J. A brief review of the effects of pressure on wolframite-type oxides. Crystals 2018, 8, 71. [Google Scholar] [CrossRef]
  7. Nassau, K.; Levinstein, H.J.; Loiacono, G.M. A comprehensive study of trivalent tungstates and molybdates of the type L2(MO4)3. J. Phys. Chem. Solids 1965, 26, 1805–1816. [Google Scholar] [CrossRef]
  8. Lacorre, P.; Goutenoire, F.; Bohnke, O.; Retoux, R.; Laligant, Y. Designing fast oxide-ion conductors based on La2Mo2O9. Nat. Cell Biol. 2000, 404, 856–858. [Google Scholar] [CrossRef] [PubMed]
  9. Hubert, P.H.; Michel, P.; Thozet, A. Structure of neodymium molybdenite Nd5Mo3O16. C. R. Hebd. Seances Acad. Sci. Ser. C 1973, 276, 1779–1781. [Google Scholar]
  10. Meng, F.; Zhang, X.; Li, H.; Seo, H.J. Synthesis and spectral characteristics of La2MoO6:Ln3+ (Ln = Eu, Sm, Dy, Pr, Tb) polycrystals. J. Rare Earths 2012, 30, 866–870. [Google Scholar] [CrossRef]
  11. Colmont, M.; Boutinaud, P.; Latouche, C.; Massuyeau, F.; Huvé, M.; Zadoya, A.; Jobic, S. Origin of luminescence in La2MoO6 and La2Mo2O9 and their Bi-doped variants. Inorg. Chem. 2020, 59, 3215–3220. [Google Scholar] [CrossRef]
  12. Chen, Y.C.; Weng, M.Z. Improving quality factor of Nd2MoO6 ceramics by removing moisture content. J. Mater. Sci. Mater. Electron. 2015, 26, 3502–3505. [Google Scholar] [CrossRef]
  13. Hu, S.; Zhou, H.; Zhou, H.; Luan, X.; Wang, K.; Chen, X. Phase structure, sintering behaviour and microwave dielectric properties of Ln2MoO6 (Ln = La and Y) ceramics. Ceram. Int. 2020, 46, 24552–24556. [Google Scholar] [CrossRef]
  14. Sillen, L.G.; Lundburg, K. La2MoO6, ein Lanthanoxymolybdat mit Schichtenstructur. Z. Anorg. Chem. 1943, 252, 2–8. [Google Scholar] [CrossRef]
  15. Klevtsov, P.V.; Khartchenko, L.Y.; Klevtsova, R.F. Crystallization and polymorphism of rare-earth oxymolybdates of composition Ln2MoO6. Kristallografiya 1975, 20, 571–578. [Google Scholar]
  16. Efremov, V.A.; Tyulin, A.V.; Trunov, V.K. Actual structure of tetragonal Ln2O2MoO4 and factors, determining the distortion of structure—Forming coordination polyhedral. Koord. Khim. 1987, 13, 1276–1282. [Google Scholar]
  17. Xue, J.S.; Antonio, M.R.; Soderholm, L. Polymorphs of Ln2MoO6: A neutron diffraction of the crystal structures of La2MoO6 and Tb2MoO6. Chem. Mater. 1995, 7, 333–340. [Google Scholar] [CrossRef]
  18. Polyanskaya, T.M.; Borisov, S.V.; Belov, N.V. A new form of the sheelite structural type: Crystal structure of Nd2WO6. Dokl. Akad. Nauk SSSR 1970, 193, 83–86. [Google Scholar]
  19. Evdokimov, A.A.; Efremov, V.A.; Trunov, V.K.; Kleinman, I.A.; Dzhurinskyi, B.Ph. Rare-Earth Compounds. Molybdates and Tungstates; Nauka: Moscow, Russia, 1991. [Google Scholar]
  20. Antipin, A.M.; Sorokina, N.I.; Alekseeva, O.A.; Dudka, A.P.; Chernyshev, D.Y.; Voronkova, V.I. Polymorphism and structure of Nd2MoO6 single crystals. Crystallogr. Rep. 2017, 62, 537–544. [Google Scholar] [CrossRef]
  21. Voronkova, V.; Orlova, E.; Kazakov, S.; Kharitonova, E.; Belov, D. Phase relations and physical properties of layered Pb-containing Nd2MoO6 compounds. Eur. J. Inorg. Chem. 2016, 2016, 1022–1029. [Google Scholar] [CrossRef]
  22. Kuzmicheva, G.M. Main Crystal Chemical Categories; MITHT: Moscow, Russia, 2001. [Google Scholar]
  23. Yanovskii, V.K.; Voronkova, V.I. Electroconductivity of tungstates and molybdates of A2BO6 and Meyer–Neldel rule. Solid State Physics. 1977, 19, 3318–3321. [Google Scholar]
  24. Voronkova, V.I.; Kharitonova, E.P.; Orlova, E.I.; Sorokina, N.I.; Sorokin, T.A.; Antipin, A.M.; Baldin, E.D.; Grebenev, V.V. Synthesis, structure, and physical properties of layered tetragonal Mg-doped Nd2MoO6 compounds. J. Alloy. Compd. 2019, 803, 1045–1053. [Google Scholar] [CrossRef]
  25. Voronkova, V.I.; Antipin, A.M.; Sorokin, T.A.; Novikova, N.E.; Kharitonova, E.P.; Orlova, E.I.; Kvartalov, V.B.; Presniakov, M.Y.; Bondarenko, V.I.; Vasiliev, A.L.; et al. Synthesis, structure and properties of layered Pr2MoO6-based oxymolybdates doped with Mg. Acta Crystallogr. Sect. B Struct. Sci. Cryst. Eng. Mater. 2020, 76, 492–501. [Google Scholar] [CrossRef]
  26. Orlova, E.I.; Kharitonova, E.P.; Sorokina, N.I.; Sorokin, T.A.; Antipin, A.M.; Voronkova, V.I. Structure and physical properties of Mg-containing oxymolybdates La2MoO6. Crystallogr. Rep. 2020, 65, 697–703. [Google Scholar] [CrossRef]
  27. Voronkova, V.; Kharitonova, E.; Orlova, E.; Gorshkov, N.; Goffman, V. Synthesis and unusual properties of tetragonal Pb-containing oxymolybdates based on La2MoO6. Eur. J. Inorg. Chem. 2017, 2017, 5582–5587. [Google Scholar] [CrossRef]
  28. Rigaku Oxford Diffraction. CrysAlisPro Software System, Version 1.171.39.46; Rigaku Corporation: Oxford, UK, 2018. [Google Scholar]
  29. Clark, R.C.; Reid, J.S. The analytical calculation of absorption in multifaceted crystals. Acta Crystallogr. Sect. A Found. Crystallogr. 1995, 51, 887–897. [Google Scholar] [CrossRef]
  30. Petříček, V.; Dušek, M.; Palatinus, L. Crystallographic computing system JANA2006: General features. Z. Kristallogr. 2014, 229, 345–352. [Google Scholar] [CrossRef]
  31. Palatinus, L. Ab initio determination of incommensurately modulated structures by charge flipping in superspace. Acta Crystallogr. 2004, 60, 604–610. [Google Scholar] [CrossRef]
  32. Colomban, P. Proton and protonic species: The hidden face of solid state chemistry. How to measure H-content in materials? Fuel Cells 2012, 13, 6–18. [Google Scholar] [CrossRef]
  33. Fomichev, V.V.; Kondratov, O.I.; Gagarin, V.A.; Gokhman, L.Z.; Petrov, K.I. Investigation of vibrational spectra of oxymolybdates of rare earth elements. Zhurnal Neorganicheskoj Khimii 1977, 22, 2150–2157. [Google Scholar]
  34. Yukhnevich, G.V. Infrared Spectroscopy of Water; Nauka: Moscow, Russia, 1973. [Google Scholar]
  35. Animitsa, I.E. Proton Transport. In Complex. Oxides. Tutorial; Ural University Publishing House: Ekaterinburg, Russia, 2014. [Google Scholar]
Publisher’s Note: MDPI stays neutral with regard to jurisdictional claims in published maps and institutional affiliations.

Article Metrics

Citations

Article Access Statistics

Multiple requests from the same IP address are counted as one view.