Abstract
Poly(2,6-dimethyl phenyl oxide) (PPO) is known for its low dissipation factor. To achieve insulating materials with low dissipation factors for high-frequency communication applications, a telechelic oligomer-type benzoxazine (P-APPO) and a main-chain type benzoxazine polymer (BPA-APPO) were prepared from an amine end-capped oligo (2,6-dimethyl phenylene oxide) (APPO). The APPO was prepared from a nucleophilic substitution of a phenol-end capped oligo (2,6-dimethyl phenylene oxide) (a commercial product, SA 90) with fluoronitrobenzene, and followed by catalytic hydrogenation. After self-curing or curing with a dicyclopentadiene-phenol epoxy (HP 7200), thermosets with high-Tg and low-dissipation factor can be achieved. Furthermore, the resulting epoxy thermosets show better thermal and dielectric properties than those of epoxy thermoset cured from its precursor SA90, demonstrating it is a successful modification in simultaneously enhancing the thermal and dielectric properties.
1. Introduction
The dielectric loss (L) is proportional to the product of square root of dielectric constant (Dk1/2), frequency, and dissipation factor (Df). Therefore, the dielectric loss will be more obvious for application in high-frequency communication. In addition, Df will be more important than Dk since Df is directly proportional the L, while there is only a square root relationship between Dk and L.
Polybenzoxazines feature for special characteristics such as a moderate-to-high thermal property [1,2,3,4,5,6,7,8,9,10,11,12,13,14,15,16,17,18], moderate electrical property [19], low water absorption [20], and low surface energy [21]. Low-dielectric benzoxazines have been reported (1) by Chang et al. through Mannich condensation of bisphenol F/4-(trifluoromethyl)aniline/formaldehyde [22]; (2) by Liu et al. through incorporation of methyl methacrylate-POSS (MMA-POSS) into the network of bis(3-furfuryl-3,4-dihydro-2H-1,3-benzoxazinyl)isopropane (BPA-FBz), which has furfuryl moiety that can react with methyl methacrylate through the Diels-Alder reaction [23]; (3) by Liu et al. through the incorporation of a benzobisoxazole structure [24,25]; (4) by Alagar et al. through the incorporation of silica (SBA-15) [26]; (5) by Ishida et al. from a highly fluorinated diamine and bisphenol F [27]; and (6) by Lin et al. from fluorinated aromatic diamine [28]. However, to the best of our knowledge, no data show that thermosets of these benzoxazines can reach the requirement of low dissipation factor below 0.005 U for application in high-frequency communication.
Poly(2,6-dimethyl phenylene oxide) (PPO) is a hydrophobic polymer developed by Hay et al. through the aromatic oxidative polymerization [29,30]. PPO is known for its low dissipation factor. Therefore, PPO is a building block to prepare low-dissipation materials. Thermosetting low-dielectric PPOs have been reported by Ueda et al. [31,32]. Low-molecular-weight telechelic PPOs have been developed by White et al. [33,34,35], Jayakannan et al. [36], and Percec et al. [37], Telechelic PPO oligomers with phenyl methacrylate end group has been commercialized by SABIC in the name of NORYL™ SA9000 resin. Vinyl benzyl ether-terminated PPO has been commercialized by Mitsubishi Gas Chemical in the name of OPE-2st.
Difunctional benzoxazines are generally prepared by Mannich condensation of biphenol/monoamine/formaldehyde. Figure 1 shows the structure of SA90, a phenolic hydroxyl-end capped oligo (2,6-dimethyl phenylene oxide), commercialized by SABIC. The end group of SA90 is the 2,6-dimethyl phenolic OH, which does not contain free ortho, so it cannot carry out the Mannich condensation with primary amine and formaldehyde directly. In addition to the Mannich condensation of biphenol/monoamine/formaldehyde, difunctional benzoxazines can also be prepared from the Mannich condensation of diamine/monophenol/formaldehyde. Therefore, the only way to prepare PPO-containing benzoxazines is transforming the phenolic hydroxyls to amino groups. In this work, an amine end-capped oligo (2,6-dimethyl phenylene oxide) (APPO, Figure 1) was prepared from a nucleophilic substitution of SA90 and fluoronitrobenzene, and followed by catalytic hydrogenation.
Figure 1.
Structures SA90 and APPO. Note that there are no free ortho for SA90.
With APPO in hand, a telechelic oligomer-type benzoxazine from phenol, APPO, and formaldehyde was prepared by two approaches. The first approach is through a two-pot procedure to obtain the benzoxazine (P-APPO-2) [38]. The second approach is a one-pot Mannich condensation of phenol/APPO/formaldehyde to obtain the benzoxazine (P-APPO-1). A main-chain type benzoxazine polymer (BPA-APPO) was also prepared from the Mannich condensation of bisphenol A/APPO/formaldehyde using the mixed solvent approach [39]. Experimental data show that thermosets with very low dissipation factors can be achieved. Detailed synthesis, characterization, and the property are provided in this work.
2. Experimental Section
2.1. Materials
NORYLTM SA90 (the weight average molecular weight 1700 g/mol, and the number average molecular weight 1600 g/mol) was purchased from SABIC (Riyadh, Saudi Arabia). Dicyclopentadiene novolac epoxy (HP7200) with an epoxy equivalent per weight (EEW) of 250 g/eq was kindly supplied by Dainippon Ink and Chemicals Corporation (Tokyo, Japan). Potassium carbonate (from Showa, Tokyo, Japan), 4-fluoro-1-nitrobenzene (from Alfa, Heysham, England), bisphenol A (from Acros, NJ, USA), paraformaldehyde (from TCI, Tokyo, Japan), 2-hydroxybenzaldehyde (from Showa), sodium borohydride (from Alfa), phenol (from Showa), palladium on carbon 10% (from Acros), and 4-dimethylaminopyrdine (DMAP, from Alfa) were purchased from various commercial sources and used without further purification. N-methylpyrrolidone (NMP; HPLC grade from Showa) and N,N-dimethyl acetamide (DMAc, HPLC grade from Showa) were purified by distillation under reduced pressure over calcium hydride (from Acros), and stored over molecular sieves. The other solvents (HPLC grade) were purchased from various commercial sources and used without further purification.
2.2. Characterization
Thermogravimetric analysis (TGA) was performed with a Perkin-Elmer Pyris1 (Perkin-Elmer, Shelton, CT, USA) at a heating rate of 20 °C/min in an atmosphere of nitrogen or air atmosphere. Dynamic mechanical analysis (DMA) was performed using a Perkin-Elmer Pyris Diamond DMA (Perkin-Elmer, Shelton, CT, USA) with a sample size of 5.0 cm × 1.0 cm × 0.2 cm. The storage modulus E’ and tan δ were determined as the sample was subjected to the temperature scan mode at a programmed heating rate of 5 °C/min at a frequency of 1 Hz. The test was performed using a bending mode with an amplitude of 5 μm. Tg value is determined from the peak temperature of the tan δ curve. Dielectric properties were performed with Agilent E4991A (Agilent, Santa Clara, CA, USA) at 1 GHz at 25 °C. The sample size is 2 × 2 cm2 with thickness at around 300 μm. Thermal mechanical analysis (TMA) was performed by an SII TMA/SS6100 (Seiko, Torrance, CA, US) at a heating rate of 5 °C/min. The coefficient of thermal expansion (CTE) was determined in the range of 50 to 150 °C. Tg value is determined from onset temperature. NMR measurements were performed using a Varian Inova 600 NMR (Agilent, Palo Alto, CA, USA) in DMSO-d6, and the chemical shift was calibrated by setting the chemical shift of DMSO-d6 at 2.49 ppm. IR spectra were obtained from at least 32 scans in the standard wavenumber range of 667–4000 cm−1 using a Perkin-Elmer RX1 infrared spectrophotometer (Perkin-Elmer, Shelton, CT, USA). Gel permeation chromatography (GPC) was performed by a Hitachi L2400 (Hitachi, NY, USA) in Tetrahydrofuran (THF), using polystyrene as a standard.
2.3. Synthesis of Nitro End-Capped Oligo (2,6-Dimethyl Phenylene Oxide) (NPPO)
SA90 10.0 g (6.2 mmol), 4-fluoro-1-nitrobenzene 2.62 g (18.6 mmol), K2CO3 2.57 g (18.6 mmol), and DMAc 50 mL were introduced into a 250 mL round-bottom glass flask equipped with a nitrogen inlet, condenser, and a magnetic stirrer. The solution was stirred at 80 °C for 24 h (Scheme 1). After that, the solution was poured into methanol/water = 1/1, yielding green powder. After drying the powder at 70 °C, the isolated yield was 91%.
Scheme 1.
Syntheis of NPPO and APPO.
2.4. Synthesis of Amine End-Capped Oligo (2,6-Dimethyl Phenylene Oxide) (APPO)
NPPO 10.0 g (6.2 mmol), Pd/C 0.04 g, and THF 40 mL were introduced into a 250 mL Parr reactor. The solution was stirred hydrogen atmosphere at 25 °C, 140 psi for 24 h (Scheme 1). After that, the solution was poured into methanol, yielding gray powder. After drying the powder at 70 °C, the isolated yield was 93%.
2.5. Two-Pot Synthesis of Telechelic Oligomer-Type Benzoxazine (P-APPO-2)
2-Hydroxybenzaldehyde 0.22 g (1.68 mmol), APPO 1.0 g (0.56 mol) and DMAc 10 mL were introduced into a 100-mL round bottom glass flask equipped with a nitrogen inlet and a magnetic stirrer. The reaction mixture was stirred at room temperature for 12 h. NaBH4 0.066 g (1.68 mmol) was added and the solution was further stirred at room temperature for 24 h (Scheme 2). After that, the solution was poured into methanol/water = 1/1, yielding intermediate II with gray color. After drying the powder at 70 °C, the isolated yield was 93%.
Scheme 2.
Two-pot synthesis of telechelic oligomer-type benzoxazine (P-APPO-2).
1.0 g (5.6 mmol) of intermediate II, paraformaldehyde 0.052 g (1.68 mmol), and toluene 5 mL were introduced into a 100-mL round bottom glass flask equipped with a condenser and a magnetic stirrer. The solution was stirred at 60 °C for 12 h. After that, the solution was poured into methanol, yielding a green powder. After drying the powder at 70 °C, the isolated yield was 93%.
2.6. One-Pot Synthesis of Telechelic Oligomer-Type Benzoxazine (P-APPO-1)
APPO 2.0 g (0.56 mmol), phenol 0.32 g (1.68 mmol), paraformaldehyde 0.224 g (2.24 mmol), and toluène/ethanol (2/1) 30 mL were introduced into a 250 mL round bottom glass flask equipped with a condenser and a magnetic stirrer. The mixture was stirred at 80 °C for 24 h (Scheme 3). After that, the solution was poured into methanol, yielding a green powder. After drying the powder at 70 °C, the isolated yield was 91%.
Scheme 3.
One-pot synthesis of telechelic oligomer-type benzoxazine (P-APPO-1).
2.7. Syntheis of Main-Chain Type Benzoxazine Polymer (BPA-APPO)
APPO 2.0 g (0.56 mmol), biphenol A 0.26 g (0.56 mmol), paraformaldehyde 0.14 g (2.24 mmol), and toluene/ethanol (2/1) 22 mL were introduced into a 250 mL round bottom glass flask equipped with a condenser and a magnetic stirrer. The mixture was stirred at 80 °C for 24 h (Scheme 4). After that, the solution was poured into methanol, yielding a gray powder. After drying the powder at 70 °C, the isolated yield was 93%.
Scheme 4.
Synthesis of main-chain type benzoxazine polymer (BPA-APPO).
2.8. Sample Preparation and Curing Procedure
2.8.1. The Self-Curing of P-APPO-2, P-APPO-1, and BPA-APPO
P-APPO-2, P-APPO-1, and BPA-APPO were thermally self-curing. Each benzoxazine was dissolved in xylene to make a solution with 20 wt % solid content. The solution was cast on a glass with an automatic film applicator. The resulting thin films were dried at 80 °C for 12 h. Then, cured by the program of 180 °C (2 h), 200 °C (2 h), and 220 °C (2 h) under a nitrogen atmosphere. The thermosets are named C-P-APPO-2, C-P-APPO-1, and C-BPA-APPO, respectively
2.8.2. The Co-Curing of HP7200 with P-APPO-2, P-APPO-1, and BPA-APPO
P-APPO-2, P-APPO-1, and BPA-APPO were thermally co-curing with epoxy HP7200. The molar ratio of the oxazine moiety to oxirane (epoxy group) was controlled at one (The major curing reaction is the ring-opened phenolic OHs react with epoxy. The lone-pair electrons of nitrogen in oxazine act as the catalyst). Each benzoxazine and HP7200 were dissolved in xylene to make a solution with 20 wt % solid content. The solution was cast on a glass with an automatic film applicator. The resulting thin films were dried at 80 °C for 12 h. Then, cured by the program of 180 °C (2 h), 200 °C (2 h), and 220 °C (2 h) under a nitrogen atmosphere. The thermosets are named E-P-APPO-2, E-P-APPO-1, and E-BPA-APPO, respectively
2.8.3. The Co-Curing of HP7200 with SA90
For property comparison, SA90 was thermally co-curing with epoxy HP7200. The molar ratio of the phenolic OH moiety to oxirane (epoxy group) was controlled at one. SA90 and HP7200 were dissolved in xylene to make a solution with 20 wt % solid content. The solution was cast on a glass with an automatic film applicator. The resulting thin film was dried at 80 °C for 12 h. Then, cured by the program of 180 °C (2 h), 200 °C (2 h), and 220 °C (2 h) under a nitrogen atmosphere. The thermoset is named E-SA90.
3. Results and Discussion
3.1. Synthesis and Characterization of APPO
APPO was prepared from the nucleophilic substitution of SA90 and fluoronitrobenzene, forming NPPO, and followed by catalytic hydrogenation of NPPO (Scheme 1). Figure 2 shows the 1H-NMR spectra of (a) SA90, (b) NPPO, and (c) APPO. The signals of phenolic OH at 7.8–8.0 ppm were observed in SA90. However, no phenolic OH signals were observed for NPPO, suggesting the completion of the reaction. The signals of Ar–H ortho to the nitro group were observed at 8.2 ppm for NPPO, while the signal disappeared in APPO. Furthermore, an amino peak at 4.6 ppm was clearly observed for APPO, indicating the successful hydrogenation. Figure 3 shows the IR spectra of SA90, NPPO, and APPO. The absorption of phenolic OH at around 3600 cm−1 was observed in SA90. However, no phenolic OH signals were observed for NPPO, suggesting the completion of the reaction. The absorptions of the nitro group were observed at 1340 and 1518 cm−1, while the signal disappeared in APPO. Furthermore, two amino absorptions at 3455 and 3365 cm−1 were clearly observed, indicating the successful hydrogenation.
Figure 2.
1H-NMR spectra of (a) SA90, (b) NPPO, and (c) APPO in DMSO-d6.
Figure 3.
IR spectra of SA90, NPPO, and APPO.
3.2. Synthesis and Characterization of Benzoxazine P-APPO
The phenol/APPO-based benzoxazine was prepared by two procedures in this work. The first approach is a two-pot procedure (Scheme 2) [38]. The procedure includes the reaction of 2-hydroxybenzaldehyde and APPO, yielding intermediate I (not isolated) with an o-hydroxy phenylimine linkage. The imine linkage of intermediate I was reduced by sodium borohydride, yielding intermediate II with a secondary amine structure. Then, paraformaldehyde was added to induce the ring closure of intermediate II, forming P-APPO-2. Figure 4 shows the 1H-NMR spectra of (a) intermediate II, and (b) P-APPO-2. A phenolic OH signal at 9.5 ppm and two new signals at 5.6 (NH) and 4.1 (CH2–NH) confirm the structure of intermediate II. The characteristic peaks of oxazine at 5.3 and 4.6 ppm confirm the formation of benzoxazine. No signal corresponding to N–CH2–Ph at around 3.80 ppm resulting from the ring-opened structure was observed, revealing the purity of synthesized P-APPO-2. The second approach is one-pot, Mannich condensation of phenol, APPO, and paraformaldehyde (Scheme 3). Using a traditional solvent such as dioxane leads to gelation. However, P-APPO-1 can be successfully prepared using a mixed solvent of toluene/ethanol, which is recommended in our previous work [39]. Figure 4c shows the 1H-NMR spectrum of P-APPO-1. The characteristic peaks of oxazine at 5.3 and 4.6 ppm confirm the formation of benzoxazines. However, a small unknown peak was observed at 4.3 ppm, indicating the purity is not as good as P-APPO-2. Generally, conventional biphenol-based benzoxazines often need extraction procedures to remove insoluble oligomer and unreacted monomers. However, no extraction or purification is required to prepare benzoxazines with moderate-to-high purity by these two approaches.
Figure 4.
1H-NMR spectra of (a) intermediate II in DMSO-d6, (b) P-APPO-2, and (c) P-APPO-1 in CDCl3.
3.3. Synthesis and Characterization of Benzoxazine BPA-APPO
The main-chain type benzoxazine polymer (BPA-APPO) was prepared by one-pot, Mannich condensation of bisphenol A, APPO, and formaldehyde (Scheme 4) using toluene/ethanol as a solvent, which is recommended by our previous work [39]. Figure 5 shows the 1H-NMR spectrum of BPA-APPO. The characteristic peaks of oxazine at 5.2 and 4.5 ppm confirm the formation of benzoxazines. The number average molecular weight is 12,200 g/mol, and the weight average molecular weight is 19,800 g/mol. No signal corresponding to N–CH2–Ph at around 3.80 ppm resulting from the ring-opened structure was observed, revealing the purity of synthesized BPA-APPO.
Figure 5.
1H-NMR spectrum of BPA-APPO in CDCl3.
3.4. Solubility
Table 1 lists the solubility data of SA90, P-APPO-1, P-APPO-2, and BPA-APPO. The benzoxazines show good solubility in various solvents except for DMSO. Especially, the main-chain type BPA-APPO also show the same solubility as telechelic oligomer-type P-APPO. The good solubility makes the benzoxazines readily for solution process in the copper clad laminate industry.
Table 1.
Solubility data of SA90, P-APPO-1, P-APPO-2, and BPA-APPO.
3.5. DSC Thermograms
Figure 6 shows the DSC thermograms of three PPO-containing benzoxazines and the benzoxazine/HP7200 blends. The exothermic peak temperature is around 270 °C for PPO-containing benzoxazines. The order of exothermic enthalpy is P-APPO-1 < BPA-APPO < P-APPO-2. The exothermic enthalpy of P-APPO-2 is more obvious than that of P-APPO-1, probably due to the higher purity of P-APPO-2 (Some ring-opened structures existed in the P-APPO-1, as supported by 4.3 ppm in Figure 4c, so the exothermic enthalpy of P-APPO-1 is smaller than P-APPO-2). BPA-APPO also displays relatively high purity, as supported by no ring-opened structure in Figure 5. However, the steric hindrance of polymer chains may hinder the access of benzoxazines, so its exothermic enthalpy is slightly lower than that of P-APPO-2. The exothermic peak temperature is around 260 °C for benzoxazine/HP7200 blend. In a single component system, it is well known that ring opening of oxazines leads to benzoxazine thermosets. However, in the benzoxazine/HP7200 blend system, the reaction routes become more complicated. According to the literature, there are several possible reaction routes might occur [40]. (1) The thermally-induced ring-opening polymerization of benzoxazines. (2) The homopolymerization of epoxy resin catalyzed by tertiary amine moiety in benzoxazine. (3) The co-reaction between epoxy and the phenolic OH resulting from ring-opening of benzoxazine. (4) The ring opening of benzoxazine catalyzed by the alkoxy anion, which is induced by the reaction between tertiary amine and epoxy moiety. This is probably the reason why the exothermic peaks of benzoxazine/HP7200 blend are slightly lower than those of neat benzoxazines. The order of exothermic enthalpy is P-APPO-1/HP7200 blend < BPA-APPO/HP7200 blend < P-APPO-2//HP7200 blend. The purity of benzoxazines and the mobility of molecules that determine the order of exothermic enthalpy in neat benzoxazine system explain the order of exothermic enthalpy in the benzoxazine/HP7200 system.
Figure 6.
DSC thermograms of three PPO-containing benzoxazines and the benzoxazine/HP7200 blends.
3.6. Thermal Properties
Figure 7 shows DMA thermograms of the prepared thermosets. The Tg data are listed in Table 2. The order of Tg value is C-BPA-APPO (225 °C for) > C-P-APPO-2 (222 °C) > C-P-APPO-1 (218 °C).
Figure 7.
DMA thermograms of the prepared thermosets.
Table 2.
Thermal properties of the resulting polybenzoxazine.
In our previous work [41], we report the Tg value of a benzoxazine increases obviously with its molecular weight, but will level off after the molecular weight reaches a certain value. This explains the Tg value of C-BPA-APPO is only slightly higher than C-P-APPO since P-APPO is a telechelic oligomer benzoxazine, not a monomer-type benzoxazine. The higher Tg value of P-APPO-2 than that of P-APPO-1 is probably related to the larger exothermic enthalpy of P-APPO-2 that leads to a complete network. Generally, thermosets of bisphenol A/aniline-based poly(B-a), and bisphenol F/aniline-based poly(F-a) exhibit a Tg value at around 150–160 °C [1,3]. The values of 218 and 222 °C are relatively high compared with other benzoxazines, and demonstrate the high-Tg characteristic of PPO-containing benzoxazine thermosets. Table 2 also lists Tg data of the benzoxazine/epoxy thermosets. BPA-APPO/HP7200 (E-BPA-APPO) shows the highest Tg value of 232 °C while SA90/HP7200 (E-SA90) shows the lowest Tg (207 °C). E-P-APPO-2 and E-P-APPO-1 display higher Tg than E-SA90. The order of modulus of benzoxazine/HP7200 thermosets is E-BPA-APPO > E-P-APPO-2 > E-P-APPO-1 > E-SA90. The order of modulus is the same as that in Tg. E-BPA-APPO shows higher modulus value while E-SA90 also shows the lowest modulus, demonstrating that our work is a successful approach to enhancing thermal properties.
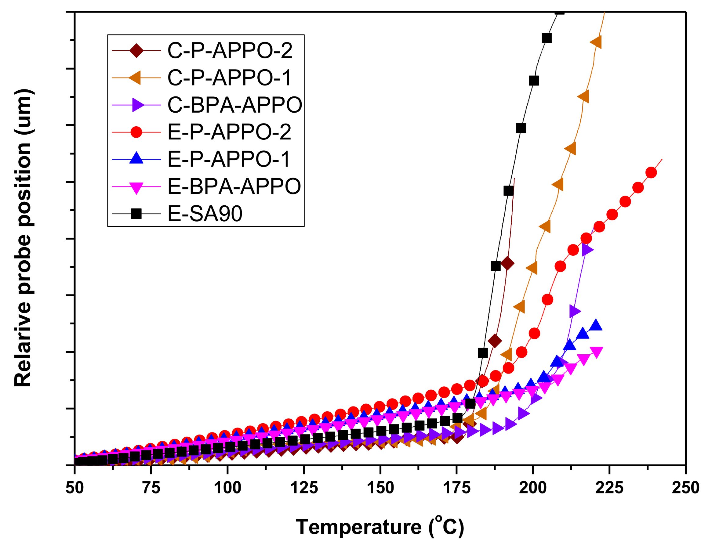
Figure 8 shows TMA thermograms of the prepared thermosets. The data of Tg and coefficient of thermal expansion (CTE) are listed in Table 2. The Tg values defined by TMA are 20–30 °C lower than those defined by DMA, but the trend is the same. The CTE values of thermosets of PPO-containing benzoxazines are around 56–60 ppm/°C, which are 10 ppm/°C lower than those of benzoxazine/HP7200 thermosets.
Figure 8.
TMA thermograms of the prepared thermosets.
Table 2 lists the thermal stability data of the prepared thermosets in a nitrogen atmosphere. The 5 wt % decomposition temperature is higher than 430 °C, and char yield at 800 °C is higher than 21%. Generally, the thermosets of bisphenol F/aniline-based and bisphenol A/aniline-based benzoxazines exhibit 5 wt % decomposition temperature at around 300–350 °C [1,3]. The result demonstrates the high thermal stability characteristic of the thermosets prepared in this work.
3.7. Dielectric Properties
PPO is known for its moderate-to-low dielectric constant and very low dissipation factor. As a result, low-dissipation copper-clad laminated has prepared from SA9000 (a phenyl methacrylate-terminated PPO oligomer commercialized by SABIC) and OPE-2st (a vinyl benzyl ether-terminated PPO commercialized by MGC). To the best of our knowledge, no benzoxazine-terminated PPO (or PPO-containing benzoxazine) has been reported. Table 3 lists the dielectric properties of the prepared thermosets. All the thermosets show the same dielectric constant of 2.9 U, which is a moderate-to-low value compared with other thermosets (around 3.5 for generally epoxy thermosets [42,43,44,45,46]). In particular, they all show an extremely low dissipation factor. The dissipation factor is as low as 0.0040–0.0043 U for thermosets of PPO-containing benzoxazines, and 0.0050–0.0053 for benzoxazine/HP7200 thermosets. The dissipation factor is as good as that (0.005 U) of thermosets of commercialized OPE-2st by MGC and SA9000 by SABIC [47].
Table 3.
Dielectric properties of the prepared thermosets.
4. Conclusions
There are no free ortho positions for Mannich condensation in the phenolic hydroxyl-end capped oligo (2,6-dimethyl phenylene oxide), making it impossible to perform Mannich condensation directly. To the best of our knowledge, no PPO-containing benzoxazine has been reported before. To prepare the PPO-containing benzoxazine, we first transformed the phenolic hydroxyls to amino groups by a two-step procedure to obtain the amine end-capped oligo (2,6-dimethyl phenylene oxide) (APPO). Based on APPO, a telechelic oligomer-type benzoxazine and a main-chain type benzoxazine polymer (BPA-APPO) were prepared. The telechelic oligomer-type benzoxazine was prepared by a two-pot procedure (for P-APPO-2) and a one-pot procedure (for P-APPO-1). The former has higher purity than the latter, according to NMR and DSC data. Thermosets cured from BPA-APPO has the highest Tg (225 °C for C-BPA-APPO). The thermoset of P-APPO-2 show slightly higher Tg and lower Df than that of P-APPO-1, indicating the purity of benzoxazine has an influence on thermal and dielectric properties. BPA-APPO/HP7200 (E-BPA-APPO) shows the highest Tg value of 232 °C while SA90/HP7200 (E-SA90) shows the lowest Tg (207 °C). E-P-APPO-2 and E-P-APPO-1 display higher Tg and lower Df than E-SA90, demonstrating that our approach is a successful modification in simultaneously enhancing the thermal and dielectric properties. The 5 wt% decomposition temperatures of these thermosets are higher than 430 °C, and char yields at 800 °C are higher than 21%. The dissipation factor is as low as 0.0040–0.0043 U for thermosets of PPO-containing benzoxazines, and 0.0050–0.0053 for benzoxazine/HP7200 thermosets. The dissipation factor is as good as that (0.005 U) of thermosets of commercialized OPE-2st by MGC and SA9000 by SABIC. The combination of high Tg characteristic, high Td characteristic, moderate-to-low Dk, and extremely low dissipation factor makes the PPO-containing benzoxazine attractive for printed circuit boards for applications in high-frequency communication.
Acknowledgments
Financial support of this work from the Ministry of Science and Technology (104-2628-E-005 -002 -MY3), Taiwan is highly appreciated.
Author Contributions
Ching-Hsuan Lin conceived and designed the experiments; Kuan-Wei Lee performed the experiments; Chien-Han Chen and Tzong-Yuan Juang analyzed the data; and Ching-Hsuan Lin wrote the paper.
Conflicts of Interest
The authors declare no conflict of interest.
References
- Ning, X.; Ishida, H. Phenolic materials via ring-opening polymerization: Synthesis and characterization of bisphenol-a based benzoxazines and their polymers. J. Polym. Sci. Part A Polym. Chem. 1994, 32, 1121–1129. [Google Scholar] [CrossRef]
- Ohashi, S.; Cassidy, F.; Huang, S.; Chiou, K.; Ishida, H. Synthesis and ring-opening polymerization of 2-substituted 1,3-benzoxazine: The first observation of the polymerization of oxazine ring-substituted benzoxazines. Polym. Chem. 2016, 7, 7177–7184. [Google Scholar] [CrossRef]
- Liu, J.; Ishida, H. Anomalous isomeric effect on the properties of bisphenol f-based benzoxazines: Toward the molecular design for higher performance. Macromolecules 2014, 47, 5682–5690. [Google Scholar] [CrossRef]
- Yagci, Y.; Kiskan, B.; Ghosh, N.N. Recent advancement on polybenzoxazine—A newly developed high performance thermoset. J. Polym. Sci. Part A Polym. Chem. 2009, 47, 5565–5576. [Google Scholar] [CrossRef]
- Ghosh, N.N.; Kiskan, B.; Yagci, Y. Polybenzoxazines—New high performance thermosetting resins: Synthesis and properties. Prog. Polym. Sci. 2007, 32, 1344–1391. [Google Scholar] [CrossRef]
- Endo, T. Toward elucidating the role of number of oxazine rings and intermediates in the benzoxazine backbone on their thermal characteristics. Macromolecules 2016, 49, 8466–8478. [Google Scholar]
- Baranek, A.D.; Kendrick, L.L.; Narayanan, J.; Tyson, G.E.; Wand, S.; Patton, D.L. Flexible aliphatic-bridged bisphenol-based polybenzoxazines. Polym. Chem. 2012, 3, 2892–2900. [Google Scholar] [CrossRef]
- Rodriguez Arza, C.; Froimowicz, P.; Ishida, H. Smart chemical design incorporating umbelliferone as natural renewable resource toward the preparation of thermally stable thermosets materials based on benzoxazine chemistry. RSC Adv. 2015, 5, 97855–97861. [Google Scholar] [CrossRef]
- Ye, Y.S.; Huang, Y.J.; Chang, F.C.; Xue, Z.G.; Xie, X.L. Synthesis and characterization of thermally cured polytriazole polymers incorporating main or side chain benzoxazine crosslinking moieties. Polym. Chem. 2014, 5, 2863–2871. [Google Scholar] [CrossRef]
- Lligadas, G.; Tuzun, A.; Ronda, J.C.; Galia, M.; Cadiz, V. Polybenzoxazines: New players in the bio-based polymer arena. Polym. Chem. 2014, 5, 6636–6644. [Google Scholar] [CrossRef]
- Wang, H.; Zhu, R.; Yang, P.; Gu, Y. A study on the chain propagation of benzoxazine. Polym. Chem. 2016, 7, 860–866. [Google Scholar] [CrossRef]
- Kawaguchi, A.W.; Sudo, A.; Endo, T. Functional 1,3-benzoxazine bearing 4-pyridyl group: Synthesis and thermally induced polymerization behavior. J. Polym. Sci. Part A Polym. Chem. 2014, 52, 410–416. [Google Scholar] [CrossRef]
- Arslan, M.; Kiskan, B.; Yagci, Y. Benzoxazine-based thermosets with autonomous self-healing ability. Macromolecules 2015, 48, 1329–1334. [Google Scholar] [CrossRef]
- Zhang, S.; Yang, P.; Bai, Y.; Zhou, T.; Zhu, R.; Gu, Y. Polybenzoxazines: Thermal responsiveness of hydrogen bonds and application as latent curing agents for thermosetting resins. ACS Omega 2017, 2, 1529–1534. [Google Scholar] [CrossRef]
- Arslan, M.; Kiskan, B.; Yagci, Y. Ring-opening polymerization of 1,3-benzoxazines via borane catalyst. Polymers 2018, 10, 239. [Google Scholar] [CrossRef]
- Soto, M.; Hiller, M.; Oschkinat, H.; Koschek, K. Multifunctional benzoxazines feature low polymerization temperature and diverse polymer structures. Polymers 2016, 8, 278. [Google Scholar] [CrossRef]
- Hamerton, I.; McNamara, L.T.; Howlin, B.J.; Smith, P.A.; Cross, P.; Ward, S. Examining the initiation of the polymerization mechanism and network development in aromatic polybenzoxazines. Macromolecules 2013, 46, 5117–5132. [Google Scholar] [CrossRef] [PubMed]
- Wan Hassan, W.A.; Liu, J.; Howlin, B.J.; Ishida, H.; Hamerton, I. Examining the influence of bisphenol a on the polymerisation and network properties of an aromatic benzoxazine. Polymer 2016, 88, 52–62. [Google Scholar] [CrossRef]
- Kim, S.-K.; Choi, S.-W.; Jeon, W.S.; Park, J.O.; Ko, T.; Chang, H.; Lee, J.-C. Cross-linked benzoxazine–benzimidazole copolymer electrolyte membranes for fuel cells at elevated temperature. Macromolecules 2012, 45, 1438–1446. [Google Scholar] [CrossRef]
- Ishida, H.; Allen, D.J. Physical and mechanical characterization of near-zero shrinkage polybenzoxazines. J. Polym. Sci. Part B Polym. Phys. 1996, 34, 1019–1030. [Google Scholar] [CrossRef]
- Wang, C.F.; Su, Y.C.; Kuo, S.W.; Huang, C.F.; Sheen, Y.C.; Chang, F.C. Low-surface-free-energy materials based on polybenzoxazines. Angew. Chem. Int. Ed. 2006, 45, 2248–2251. [Google Scholar] [CrossRef] [PubMed]
- Su, Y.-C.; Chang, F.-C. Synthesis and characterization of fluorinated polybenzoxazine material with low dielectric constant. Polymer 2003, 44, 7989–7996. [Google Scholar] [CrossRef]
- Tseng, M.-C.; Liu, Y.-L. Preparation, morphology, and ultra-low dielectric constants of benzoxazine-based polymers/polyhedral oligomeric silsesquioxane (poss) nanocomposites. Polymer 2010, 51, 5567–5575. [Google Scholar] [CrossRef]
- Zhang, K.; Zhuang, Q.; Liu, X.; Cai, R.; Yang, G.; Han, Z. Synthesis and copolymerization of benzoxazines with low-dielectric constants and high thermal stability. RSC Adv. 2013, 3, 5261–5270. [Google Scholar] [CrossRef]
- Zhang, K.; Zhuang, Q.; Zhou, Y.; Liu, X.; Yang, G.; Han, Z. Preparation and properties of novel low dielectric constant benzoxazole-based polybenzoxazine. J. Polym. Sci. Part A Polym. Chem. 2012, 50, 5115–5123. [Google Scholar] [CrossRef]
- Vengatesan, M.R.; Devaraju, S.; Dinakaran, K.; Alagar, M. Sba-15 filled polybenzoxazine nanocomposites for low-k dielectric applications. J. Mater. Chem. 2012, 22, 7559–7566. [Google Scholar] [CrossRef]
- Velez-Herrera, P.; Doyama, K.; Abe, H.; Ishida, H. Synthesis and characterization of highly fluorinated polymer with the benzoxazine moiety in the main chain. Macromolecules 2008, 41, 9704–9714. [Google Scholar] [CrossRef]
- Lin, C.H.; Chang, S.L.; Lee, H.H.; Chang, H.C.; Hwang, K.Y.; Tu, A.P.; Su, W.C. Fluorinated benzoxazines and the structure-property relationship of resulting polybenzoxazines. J. Polym. Sci. Part A Polym. Chem. 2008, 46, 4970–4983. [Google Scholar] [CrossRef]
- Hay, A.S. Poly(phenylene oxides)s and poly(arylene ether)s derived from 2,6-diarylphenols. Prog. Polym. Sci. 1999, 24, 45–80. [Google Scholar] [CrossRef]
- Hay, A.S.; Blanchard, H.S.; Endres, G.F.; Eustance, J.W. Polymerization by oxidative coupling. J. Am. Chem. Soc. 1959, 81, 6335–6336. [Google Scholar] [CrossRef]
- Nunoshige, J.; Akahoshi, H.; Shibasaki, Y.; Ueda, M. Efficient oxidative coupling polymerization for synthesis of thermosetting poly(phenylene ether) copolymer with a low dielectric loss. J. Polym. Sci. Part A Polym. Chem. 2008, 46, 5278–5282. [Google Scholar] [CrossRef]
- Fukuhara, T.; Shibasaki, Y.; Ando, S.; Ueda, M. Synthesis of thermosetting poly(phenylene ether) containing allyl groups. Polymer 2004, 45, 843–847. [Google Scholar] [CrossRef]
- White, D.M. Polymerization by oxidative coupling. Ii. Co-redistribution of poly(2,6-diphenyl-1,4-phenylene ether) with phenols. J. Polym. Sci. Part A-1 Polym. Chem. 1971, 9, 663–675. [Google Scholar] [CrossRef]
- White, D.M. Reactions of poly(phenylene oxide)s with quinones. I. The quinone-coupling reaction between low-molecular-weight poly(2,6-dimethyl-1,4-phenylene oxide) and 3,3′,5,5′-tetramethyl-4,4′-diphenoquinone. J. Polym. Sci. Polym. Chem. Ed. 1981, 19, 1367–1383. [Google Scholar] [CrossRef]
- White, D.M. Synthesis of 4-hydroxyarylene ethers by the equilibration of phenols with poly(2,6-dimethyl-1,4-phenylene ether). J. Org. Chem. 1969, 34, 297–303. [Google Scholar] [CrossRef]
- Jayakannan, M.; Smitha, T.R. Synthesis and characterization of new telechelic poly(phenyleneoxide)s. Eur. Polym. J. 2004, 40, 1169–1175. [Google Scholar] [CrossRef]
- Tingerthal, J.M.; Nava, H.; Percec, V. Synthesis and characterization of aba triblock copolymers containing poly(2,6-dimethyl-1,4-phenylene oxide) as a blocks and tetramethyl bisphenol-a polysulfone as b blocks. J. Polym. Sci. Part A Polym. Chem. 1987, 25, 2043–2062. [Google Scholar] [CrossRef]
- Lin, C.H.; Chang, S.L.; Hsieh, C.W.; Lee, H.H. Aromatic diamine-based benzoxazines and their high performance thermosets. Polymer 2008, 49, 1220–1229. [Google Scholar] [CrossRef]
- Lin, C.H.; Chang, S.L.; Shen, T.Y.; Shih, Y.S.; Lin, H.T.; Wang, C.F. Flexible polybenzoxazine thermosets with high glass transition temperatures and low surface free energies. Polym. Chem. 2012, 3, 935–945. [Google Scholar] [CrossRef]
- Zhao, P.; Zhou, Q.; Liu, X.; Zhu, R.; Ran, Q.; Gu, Y. Phase separation in benzoxazine/epoxy resin blending systems. Polym. J. 2012, 45, 637. [Google Scholar] [CrossRef]
- Wang, M.W.; Jeng, R.J.; Lin, C.H. The robustness of a thermoset of a main-chain type polybenzoxazine precursor prepared through a strategy of a-a and b-b polycondensation. RSC Adv. 2016, 6, 18678–18684. [Google Scholar] [CrossRef]
- Tao, Z.; Yang, S.; Ge, Z.; Chen, J.; Fan, L. Synthesis and properties of novel fluorinated epoxy resins based on 1,1-bis(4-glycidylesterphenyl)-1-(3′-trifluoromethylphenyl)-2,2,2-trifluoroethane. Eur. Polym. J. 2007, 43, 550–560. [Google Scholar] [CrossRef]
- Zhao, X.-Y.; Liu, H.-J. Review of polymer materials with low dielectric constant. Polym. Int. 2010, 59, 597–606. [Google Scholar] [CrossRef]
- Lin, C.H.; Jiang, Z.R.; Wang, C.S. Low dielectric thermoset. Ii. Synthesis and properties of novel 2,6-dimethyl phenol–dipentene epoxy. J. Polym. Sci. Part A Polym. Chem. 2002, 40, 4084–4097. [Google Scholar] [CrossRef]
- Lin, C.H.; Hsiao, C.N.; Li, C.H.; Wang, C.S. Low dielectric thermoset. Iv. Synthesis and properties of a dipentene-containing cyanate ester and its copolymerization with bisphenol a dicyanate ester. J. Polym. Sci. Part A Polym. Chem. 2004, 42, 3986–3995. [Google Scholar] [CrossRef]
- Cai, S.X.; Lin, C.H. Flame-retardant epoxy resins with high glass-transition temperatures from a novel trifunctional curing agent: Dopotriol. J. Polym. Sci. Part A Polym. Chem. 2005, 43, 2862–2873. [Google Scholar] [CrossRef]
- Ishii, K.; Norisue, Y.; Ohno, D.; Miyamoto, M. Vinyl Compound and Cured Product Thereof. U.S. Patent US6,995,195 B992, 25 July 2006. [Google Scholar]
© 2018 by the authors. Licensee MDPI, Basel, Switzerland. This article is an open access article distributed under the terms and conditions of the Creative Commons Attribution (CC BY) license (http://creativecommons.org/licenses/by/4.0/).











