Adaptive Neuro-Fuzzy Inference System for Modelling the Effect of Slurry Impacts on PLA Material Processed by FDM
Abstract
1. Introduction
2. Materials and Methods
2.1. 3D Printing Methodology and Parameters
2.2. Slurry Impact Experimental Setup
2.3. ANFIS Model
3. Results and Discussion
3.1. Weight Gain of 3D PLA due to Slurry Impacts
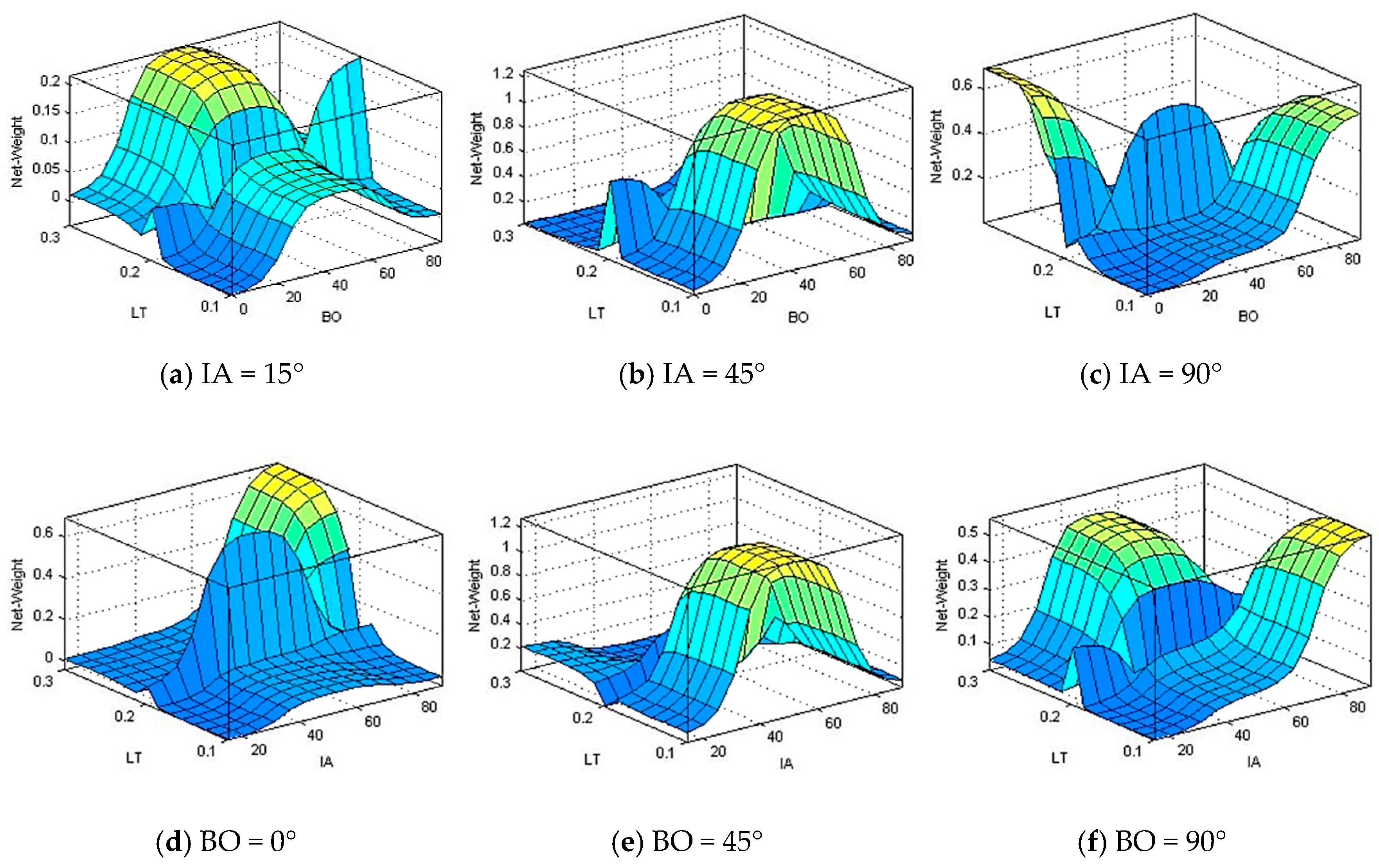
3.2. ANFIS Model Analysis
4. Conclusions
Author Contributions
Funding
Institutional Review Board Statement
Informed Consent Statement
Data Availability Statement
Acknowledgments
Conflicts of Interest
References
- Varley, R.J.; Leong, K.H. Polymer Coatings for Oil field Pipelines; Springer: Berlin/Heidelberg, Germany, 2016; ISBN 978-94-017-7540-3. [Google Scholar]
- Momber, A.; Irmer, M.; Marquardt, T. Effects of polymer hardness on the abrasive wear resistance of thick organic offshore coatings. Prog. Org. Coat. 2020, 146, 105720. [Google Scholar] [CrossRef]
- Duarte-Poveda, G.I.; Valera-Rosales, M.M.; Manrique-Rojas, M.; Mateus-Barragána, M. Evaluation and implementation of high density polyethylene liner: Alternative of solution to corrosion-wear problems in flowlines. Cienc. Tecnol. Futuro 2019, 9, 65–72. [Google Scholar] [CrossRef]
- Lima, C.R.C.; Mojena, M.A.R.; Della Rovere, C.A.; De Souza, N.F.C.; Fals, H.D.C. Slurry Erosion and Corrosion Behavior of Some Engineering Polymers Applied by Low-Pressure Flame Spray. J. Mater. Eng. Perform. 2016, 25, 4911–4918. [Google Scholar] [CrossRef]
- Stabik, J.; Makselon, M.; Tomanek, H. Erosion resistance testing of plastic pipes. J. Achiev. Mater. Manuf. Eng. 2007, 25, 47–50. [Google Scholar]
- Wierzbicki, Ł.; Szymiczek, M. Mechanical and chemical properties of sewage pipes. Arch. Mater. Sci. Eng. 2012, 53, 38–45. [Google Scholar]
- Yabuki, A.; Sugita, K.; Matsumura, M.; Hirashima, M.; Tsunaga, M. The anti-slurry erosion properties of polyethylene for sewerage pipe use. Wear 2000, 240, 52–58. [Google Scholar] [CrossRef]
- Shamsuddoha, M.; Islam, M.; Aravinthan, T.; Manalo, A.; Lau, K.-T. Effectiveness of using fibre-reinforced polymer composites for underwater steel pipeline repairs. Compos. Struct. 2013, 100, 40–54. [Google Scholar] [CrossRef]
- Chen, Y.; Geever, L.M.; Killion, J.A.; Lyons, J.G.; Higginbotham, C.L.; Devine, D.M. Review of Multifarious Applications of Poly (Lactic Acid). Polym. Technol. Eng. 2016, 55, 1057–1075. [Google Scholar] [CrossRef]
- Farah, S.; Anderson, D.G.; Langer, R.S. Physical and mechanical properties of PLA, and their functions in widespread applications—A comprehensive review. Adv. Drug Deliv. Rev. 2016, 107, 367–392. [Google Scholar] [CrossRef]
- Bouzouita, A.; Notta-Cuvier, D.; Raquez, J.; Lauro, F.; Dubois, P. Poly(lactic Acid)-Based Materials for Automotive Applications; Springer: Berlin/Heidelberg, Germany, 2018; pp. 177–220. [Google Scholar]
- Pavlovic, A.; Sljivic, M.; Kraisnik, M.; Ilic, J.; Anic, J. Polymers in additive manufacturing: The case of a water pump impeller. FME Trans. 2017, 45, 354–359. [Google Scholar] [CrossRef]
- Bari, K. Experimental and Simulation Analyses for Synthetic and Biodegradable Impellers. In Proceedings of the Advanced Materials World Congress, Stockholm, Sweden, 23–26 August 2015. [Google Scholar]
- Castro-Aguirre, E.; Iñiguez-Franco, F.; Samsudin, H.; Fang, X.; Auras, R. Poly(lactic acid)—Mass production, processing, industrial applications, and end of life. Adv. Drug Deliv. Rev. 2016, 107, 333–366. [Google Scholar] [CrossRef] [PubMed]
- Corbion.com. Bioplastics Product Profile PLA Pipe Systems for the Building Industry. 2016. Available online: http://www.corbion.com (accessed on 10 December 2020).
- Che, J.; Chen, C. Wideband Axial-Mode Helical Antenna with 3D Printed Proliferated Radome. In Proceedings of the 2017 IEEE International Symposium on Antennas and Propagation & USNC/URSI National Radio Science Meeting, San Diego, CA, USA, 9–14 July 2017; pp. 695–696. [Google Scholar]
- Maher, I.; Sarhan, A.A.D.; Marashi, H.; Barzani, M.M.; Hamdi, M. White layer thickness prediction in wire-EDM using CuZn-coated wire electrode–ANFIS modelling. Trans. IMF 2016, 94, 204–210. [Google Scholar] [CrossRef]
- Savkovic, B.; Kovac, P.; Dudić, B.; Rodić, D.; Taric, M.; Gregus, M. Application of an adaptive “neuro-fuzzy” inference system in modeling cutting temperature during hard turning. Appl. Sci. 2019, 9, 3739. [Google Scholar] [CrossRef]
- Hassan, M.; El-Sharief, M.; Aboul-Kasem, A.; Singhbe, R.; Purbolaksono, J. A fuzzy model for evaluation and prediction of slurry erosion of 5127 steels. Mater. Des. 2012, 39, 186–191. [Google Scholar] [CrossRef]
- Ramesh, C.S.; Jain, V.K.S.; Keshavamurthy, R.; Khan, Z.A.; Hadfield, M. Prediction of slurry erosive wear behaviour of Al6061 alloy using a fuzzy logic approach. WIT Trans. Eng. Sci. 2013, 1, 109–119. [Google Scholar] [CrossRef]
- Band, S.S.; Malvandi, A.; Karimipour, A.; Goodarzi, M.; Afrand, M.; Petković, D.; Dahari, M.; Mahmoodian, N. Performance investigation of micro- and nano-sized particle erosion in a 90° elbow using an ANFIS model. Powder Technol. 2015, 284, 336–343. [Google Scholar] [CrossRef]
- Dambatta, Y.S.; Sarhan, A.A.D.; Maher, I.; Hourmand, M. Volumetric shrinkage prediction in fused deposition modelling process–ANFIS modelling approach. Int. J. Mater. Prod. Technol. 2019, 59, 347–365. [Google Scholar] [CrossRef]
- Rajpurohit, S.R.; Dave, H.K. Prediction and Optimization of Tensile Strength in FDM Based 3D Printing Using ANFIS; Springer: Berlin/Heidelberg, Germany, 2019. [Google Scholar]
- Yadav, D.; Chhabra, D.; Gupta, R.K.; Phogat, A.; Ahlawat, A. Modeling and analysis of significant process parameters of FDM 3D printer using ANFIS. Mater. Today Proc. 2020, 21, 1592–1604. [Google Scholar] [CrossRef]
- Buszko, M.H.; Krella, A.K. An Influence of Factors of Flow Condition, Particle and Material Properties on Slurry Erosion Resistance. Adv. Mater. Sci. 2019, 19, 28–53. [Google Scholar] [CrossRef]
- Ayrilmis, N.; Kariz, M.; Kwon, J.H.; Kuzman, M.K. Effect of printing layer thickness on water absorption and mechanical properties of 3D-printed wood/PLA composite materials. Int. J. Adv. Manuf. Technol. 2019, 3–8. [Google Scholar] [CrossRef]
- Afrose, M.F.; Masood, S.; Iovenitti, P.; Nikzad, M.; Sbarski, I. Effects of part build orientations on fatigue behaviour of FDM-processed PLA material. Prog. Addit. Manuf. 2016, 1, 21–28. [Google Scholar] [CrossRef]
- Camposeco-Negrete, C. Optimization of printing parameters in fused deposition modeling for improving part quality and process sustainability. Int. J. Adv. Manuf. Technol. 2020, 108, 2131–2147. [Google Scholar] [CrossRef]
- Abd-Elrhman, Y.M.; Abouel-Kasem, A.; Emara, K.M.; Ahmed, S.M. Effect of Impact Angle on Slurry Erosion Behavior and Mechanisms of Carburized AISI 5117 Steel. J. Tribol. 2013, 136, 011106. [Google Scholar] [CrossRef]
- Abouel-Kasem, A.; Abd-Elrhman, Y.M.; Emara, K.M.; Ahmed, S.M. Design and Performance of Slurry Erosion Tester. J. Tribol. 2010, 132, 021601. [Google Scholar] [CrossRef]
- Aldahash, S.A.; Abdelaal, O.; Abdelrhman, Y. Slurry Erosion—Corrosion Characteristics of As-Built Ti-6Al-4V Manufactured by Selective Laser Melting. Materials 2020, 13, 3967. [Google Scholar] [CrossRef]
- Abdelrhman, Y.; Abouel-Kasem, A.; Emara, K.; Ahmed, S.M. The effect of boronizing heat treatment on the slurry erosion of AISI 5117. Ind. Lubr. Tribol. 2018, 70, 1176–1186. [Google Scholar] [CrossRef]
- Fuller, R. Neural Fuzzy Systems; Åbo Akademis Tryckeri, Åbo, ESF Series A: 443; Springer: Berlin/Heildelberg, Germany, 1995. [Google Scholar]
- Kasabov, N.K. Foundations of Neural Networks, Fuzzy Systems, and Knowledge Engineering; MIT Press: Cambridge, MA, USA, 1997; Volume 33, ISBN 0898-1221. [Google Scholar]
- Jang, J.-S.R.; Sun, C.-T.; Mizutani, E. Neuro-Fuzzy and Soft Computing: A Computational Approach to Learning and Machine Intelligence; Prentice Hall: Englewood Cliffs, NJ, USA, 1997; ISBN 0132610663. [Google Scholar]
- Abdelaal, O.; Heshmat, M.; Abdelrhman, Y. Experimental investigation on the effect of water-silica slurry impacts on 3D-Printed polylactic acid. Tribol. Int. 2020, 151, 106410. [Google Scholar] [CrossRef]














| Parameter | Name | Minimum | Middle | Maximum | 
|---|---|---|---|---|
| BO | Build orientation | X | 45 | Y | 
| LT | Layer Thickness (mm) | 0.1 | 0.2 | 0.3 | 
| IA | Impact Angle (degree) | 15 | 45 | 90 | 
| Property | Value | 
|---|---|
| Density (g/cm3) | 1.24 | 
| Printing temperature (°C) | 190–210 | 
| Tensile strength (MPa) | 65 | 
| Distortion Temp (°C, 0.45 MPa) | 56 | 
| Melt Flow Index (g/10 min) | 5 (190 °C/2.16 kg) | 
| Elongation at break (%) | 8 | 
| Parameter | Value | 
|---|---|
| Testing velocity | 15 m/s | 
| Impingement angles | 15°, 45° and 90° | 
| Orifice diameter | 3 mm | 
| Orifice to sample distance | 40 mm | 
| Erodent | SiO2 | 
| Particle size | 355~500 µm | 
| Concentration | 1% wt. | 
| Temperature | 25 °C | 
| Material | FDMed PLA | 
| Publisher’s Note: MDPI stays neutral with regard to jurisdictional claims in published maps and institutional affiliations. | 
© 2020 by the authors. Licensee MDPI, Basel, Switzerland. This article is an open access article distributed under the terms and conditions of the Creative Commons Attribution (CC BY) license (http://creativecommons.org/licenses/by/4.0/).
Share and Cite
Saleh, B.; Maher, I.; Abdelrhman, Y.; Heshmat, M.; Abdelaal, O. Adaptive Neuro-Fuzzy Inference System for Modelling the Effect of Slurry Impacts on PLA Material Processed by FDM. Polymers 2021, 13, 118. https://doi.org/10.3390/polym13010118
Saleh B, Maher I, Abdelrhman Y, Heshmat M, Abdelaal O. Adaptive Neuro-Fuzzy Inference System for Modelling the Effect of Slurry Impacts on PLA Material Processed by FDM. Polymers. 2021; 13(1):118. https://doi.org/10.3390/polym13010118
Chicago/Turabian StyleSaleh, Bahaa, Ibrahem Maher, Yasser Abdelrhman, Mahmoud Heshmat, and Osama Abdelaal. 2021. "Adaptive Neuro-Fuzzy Inference System for Modelling the Effect of Slurry Impacts on PLA Material Processed by FDM" Polymers 13, no. 1: 118. https://doi.org/10.3390/polym13010118
APA StyleSaleh, B., Maher, I., Abdelrhman, Y., Heshmat, M., & Abdelaal, O. (2021). Adaptive Neuro-Fuzzy Inference System for Modelling the Effect of Slurry Impacts on PLA Material Processed by FDM. Polymers, 13(1), 118. https://doi.org/10.3390/polym13010118
 
        




 
                         
       
       