Abstract
The increasing demand for petroleum-based polyethylene terephthalate (PET) grows population impacts daily. A greener and more sustainable raw material, lignocellulose, is a promising replacement of petroleum-based raw materials to convert into bio-PET. This paper reviews the recent development of lignocellulose conversion into bio-PET through bioethanol reaction pathways. This review addresses lignocellulose properties, bioethanol production processes, separation processes of bioethanol, and the production of bio-terephthalic acid and bio-polyethylene terephthalate. The article also discusses the current industries that manufacture alcohol-based raw materials for bio-PET or bio-PET products. In the future, the production of bio-PET from biomass will increase due to the scarcity of petroleum-based raw materials.
1. Introduction
Polyethylene terephthalate (PET) is primarily used as a raw material in the production of synthetic fibers (65%) and packaging (35%) [1]. PET is produced by polycondensing petroleum-based pure terephthalic acid (TPA) and ethylene glycol (EG) [2]. Because PET has excellent mechanical properties, the demand for PET-based products (textile, food packaging, and bottles) is very high. For instance, the total production of PET in 2015 as packaging was estimated at 18.8 million tons [3,4]. However, the strong demand for PET has a negative impact on the environment because PET products are difficult to degrade in the soil [5].
Aside from the environmental concern, the use of non-renewable materials in the production of TPA and EG is a critical issue that must be addressed for the future of PET production. Furthermore, replacing petroleum-based raw materials with more sustainable materials is essential. Lignocellulose is a promising candidate for replacing conventional raw materials of bio-PET production. The advantage of utilizing lignocellulose, especially lignocellulose from agriculture or forestry waste, is reducing the waste in the environment and increasing the value of the waste [6]. Before utilizing lignocellulose as bio-PET’s raw material, lignocellulose must be converted into alcohol products (bioethanol, biobutanol) and react to TPA and EG. Some studies have conducted review papers to discuss about producing bio-PET from renewable material [1,7]; however, there are a few papers to review about detail production bio-PET from downstream to upstream process.
There are several steps to produce bioethanol from lignocellulose, such as pretreatment, hydrolysis, and fermentation. The pretreatment stage is the most expensive and limiting step on lignocellulose conversion because the pretreatment process takes 20% of the total cost production [8,9]. Nevertheless, the pretreatment stage can be optimized by increasing the concentration of fermentable sugar compounds followed by enzymatic saccharification. Thus, the overall efficiency of the process can be improved [10]. The physical, chemical, physical-chemical technologies, and biological are applied through the pretreatment stage. This process aims to separate main components in lignocellulose into cellulose, hemicellulose, and lignin.
The physical pretreatment is conducted to reduce the size of lignocellulose particle, degree of polymerization, and crystallinity of lignocellulose and enlarge the surface area of the particle [11]. This method consists of milling, microwave, extrusion, and ultrasonic. Higher energy consumption is an essential factor that must be considered when choosing this method [9]. On the other hand, the chemical pretreatment methods include alkaline hydrolysis, acid hydrolysis, organosolv process, ionic liquid, and deep eutectic solvents [9]. These methods will deteriorate the structure of lignocellulose with the chemical substances in the absence of pressure [12]. Physical-chemical technology is the hybrid pretreatment between physical and chemical methods that combines the pressure or temperature in the physical process and chemical substances in the chemical process. This method consists of CO2 explosion, steam explosion, ammonia fiber explosion, and liquid hot water [9,12]. The last pretreatment method that is usually used for handling lignocellulose is biological treatment. This treatment uses bacteria, fungi, and enzymes to decompose lignin [9]. The fermentation process is applied to produce bioethanol from lignocellulose. The various bacteria, yeast, and fungi are developed for lignocellulosic fermentation, e.g., S. cerevisiae can get higher conversion and bioethanol yield [13,14]. Furthermore, bioethanol is conducted catalytically dehydrated to ethylene [15]. It could be polymerized to be polyethylene and oxidized to ethylene oxide [16].
The study considers the importance of lignocellulose as a sustainable raw material via bioethanol pathway to produce bio-PET in the future. This article reviews lignocellulose characteristics, a distinct way of converting lignocellulose into bioethanol, bioethanol separation, and converting bio-alcohol products into bio-PET. Finally, the recent industrial scale of reactants for making bio-PET or bio-PET reveals the development of bio-PET in the world.
2. Properties of Lignocellulose
The lignocellulosic biomass compounds are divided into several polymers, for instance, cellulose, hemicellulose, and lignin [17]. The structure of lignocellulose polymers is very complicated. Nevertheless, there are more than 200 value-added chemicals [6]. It may be obtained from lignocellulose biomass with different types of treatment methods. The sugar compounds C5 (arabinose, xylose) and C6 (rhamnose, mannose, rhamnose) can be converted into glycerol xylitol/arabinitol, 1,4-diacids (succinic acid, malic and fumaric acid), 3-hydroxy propionic acid (3-HPA), 2,5-furan dicarboxylic acid (2,5-FDCA), glutamic acid, levulinic acid, itaconic acid, 3-hydroxybutyrolactone (3-HBL), and others [6,18]. Biomass is transformed by using biochemical and thermochemical processes. Heat and catalysts are applied in thermochemical processes [19]. Nevertheless, enzymes or microorganisms are utilizing in biochemical processes [20]. Cellulose is a natural substance that is the primary constituent of plant cell walls [21], with the range of diameters from 2 to 20 nm and lengths ranging from 100 to 40,000 nm [22]. The cellulose structure comprises hydroxyl groups (OH−) combined into a cyclic compound with a configured hexagon shape and interconnected by an oxygen bridge, as shown in Figure 1. The oxygen bridge is a β-1,4-glucosidic bond that binds cellulose units together. Hydrogen bonds are commonly present in cellulose molecules.
Figure 1.
The chemical structure of cellulose.
The composition of hemicellulose differs. Hemicellulose is the second most abundant polymer, with about 20–50% lignocellulose [23]. Furthermore, the structure of hemicellulose polymer is a heteropolymer. It had an amorphous random structure with hardly any flexibility. Unlike linear biopolymers made up of glucose monomers. Hemicellulose is a branching polysaccharide made up of sugars. The several sugar compounds include arabinose, xylose, fucose, and galactose. Several linkages of monomers connect these kinds of sugars [24]. This kind of hydroxyl group can produce well-ordered hydrogen linkages, resulting in a solid crystalline structure.
Furthermore, the partial cellulose linkages are arrayed randomly, resulting in the amorphous cellulose region [25]. Figure 2 shows that the chemical models of sugar in hemicellulose. The cellulose, hemicellulose, and lignin are broken down by acid or the enzymatic hydrolysis process. Furthermore, xylose is a pentose sugar that can be dehydrated to produce furfural. In comparison, the organic acid compounds, such as formic and acetic acid, are formed via the hydrolysis process [26].
Figure 2.
Chemical models of sugar in hemicellulose.
Lignin is a polymer that tightens and stiffens the cell walls. The main lignin monomers are aromatic alcohol (guaiacyl (G), p-hydroxyphenyl (H), and syringyl (S)), derived from coniferyl, p-coumaryl, and sinapyl alcohol. [27,28]. In addition, lignin and hemicellulose contribute to cellulose’s cementing stages. Plant cell walls can indeed be described as a series of elastic fibers of spirally oriented cellulose microfibers crosslinked by hemicellulose and lignin molecules. In contrast to cellulose and hemicelluloses, which are made up of carbohydrate units [29].
Lignin has a diversity of C-O or C-C bond types with varying quantities formed in the crosslinking reactions that occur in lignin biosynthesis, such as biphenyl (5–5′), resinol (-5), aryglycerol-ether dimer (α-O-4 and β-O-4), phenylcoumaran (β-β), diphenylethane (-1), siaryl ether (4-O-5), and spirodienon. Lignin is predicted to play a significant role in the sustainable development of aromatic compounds, monomers, or building blocks, for instance, benzene, xylene, toluene, phenol, and vanillin, in contrast to its effective uses as a polymer [27].
3. Conversion of Lignocellulose into Biochemical Substance
Several agricultural residues, such as sorghum husk, rice straw, bagasse, corn husk, corn stover, maize forage, wheat straw, coffee, and orange peel, have been investigated for biofuel production [30]. Several methods and technologies are applied to chemical and biochemical routes to degrade lignocellulose to fuels and chemical building blocks (ethanol, butanol, phenols, organic compound, and alcohol). Furthermore, the chemical blocks are commonly used in gasoline and diesel mixtures. Bioethanol production through several processes, such as pretreatment, hydrolysis, and fermentation, was conducted. The complex polymer of lignocellulose can be converted from polysaccharides into fermentable sugars. A variety of pretreatment procedures are available [31]. Figure 3 relates to the schematic hydrolysis of lignocellulose to ethanol formation. The beginning process is the pretreatment of ionic liquid, microwave, dilute acid, or steam explosion, following hydrolysis and fermentation.
Figure 3.
Schematic conversion of the lignocellulose to produce bioethanol.
The pretreatment method can help break down lignin and glycosidic chains by minimizing structural crystallization and increasing lignocellulose digestibility [32,33]. Due to the inherent recalcitrance of biomass, a crucial step known as biomass pretreatment is needed before the hydrolysis process. Commonly, pretreatment of lignocellulose biomass is performed to remove or redistribute plant cell wall parts, break up the molecule carbohydrate-lignin chain, and finally raise the cellulose accessibility to enzymes [33]. The concentration of fermentable sugars can be increased with proper pretreatment. An effective pretreatment procedure eliminates the requirement for biomass size reduction, allows lignocellulosic biomass to be hydrolyzed quickly, and produces a higher monomeric sugar yield. The synthesis of inhibitory compounds should be limited, and energy needs and capital and operating costs should be reduced [34]. The different types of pretreatment processes would be affected by yields and products [35,36]. Table 1 shows that the comparison of various pretreatment methods with energy consumption. Acid chemicals can approach the chemical pretreatment to break the macromolecules of lignocellulose polymer. These technologies are simple to operate and produce high yields in a short amount of time. Furthermore, acid pretreatment is an approach for obtaining large yields of sugars from lignocellulosic biomass [37]. On the other hand, enzymatic hydrolysis has various advantages. For instance, the formation of unwanted byproducts decreased, low acid waste was not required for corrosion-resistant apparatus, and the reaction conversion was nearly complete [38].
3.1. Mechanical Pretreatment
Commonly, mechanical pretreatment consists of simple procedures and a lack of environmental issues. Nevertheless, this approach consumes a lot of power and energy, resulting in higher manufacturing expenses. The several techniques adapted include milling, chipping, and grinding [39]. The mechanical pretreatment is required to change the biomass framework to disrupt the crystalline structure of cellulose, hence increasing the biomass’s surface area for further processing. In addition, mechanical pretreatment can decrease the hydrolysis time. The enzymes may have easier access to lignocellulose regarding the small particle size of biomass [40]. Hammer-milling is applied for pulverization of lignocellulose because of the significant reduction ratio and simple adjusting of the range of particle size. The particle size reduction can be operated as coarse grinding [41]. Bai et al. studied mechanical pretreatment via rod-milling with a rod-milling time of 30–240 min. It can minimize the size of particles and cellulose crystallinity and enhance wheat straw’s specific surface area and pore volume [42]. In addition, Gu et al. investigated the effect of the planetary ball mill with pre-milled wood fiber. The crystalline cellulose was decreased significantly started from 40.7% to 11.7%. The yield range between glucose and xylose/mannose by ball mill was 24.4–59.6% and 11.9–23.8%, respectively [40].
3.2. Chemical Pretreatment
The organic acids, such as formic acid and acetic acid, were used in the chemical pretreatments. The acidic pretreatment generates sugar compounds, followed by raising the toxic inhibitor formation in the chemical reaction mixture, while alkaline pretreatment results in significant delignification and minimal solid recovery [43]. The ozonolysis is applied for oxidative pretreatment of lignocellulose with more reactivity; nevertheless, there is low selectivity of the substrate. Travaini et al. investigated ozonolysis with different raw materials, such as wood chips, pulps, bagasse, grass, and microalgae. The ozonolysis under extreme oxidative power of ozone gas (O3) in the presence of water to produce the hydroxyl radical (OH−) enhanced reactivity [44,45]. Furthermore, the acetyl group can be prohibited from the iteration between enzymes and cellulose. Acetyl groups replace the hydroxyl groups of cellulose to link cellulase, and cellulose cannot produce hydrogen bonds, and this can reduce the enzymatic hydrolysis of the substrates [46].
3.3. Microwave Irradiation Pretreatment
Microwaves are common forms of electromagnetic radiation that appear as light and in the form of waves. Microwaves are primarily non-ionizing, while low-frequency waves are non-ionizing. Microwaves are produced by reversing the dipole, separating two equal-sized charges separated by a given distance. The positive charge then transfers to the bottom, while the negative charge moves opposite [47]. The range wavelength’s location of microwave non-ionizing electromagnetic radiation is 3 × 102–3 × 105 Mhz on the electromagnetic spectrum [48]. There are two methods of lignocellulosic pretreatment with a catalyst: (1) microwave-assisted solvolysis with the medium temperature reaction below 200 °C and (2) the high temperature of a reaction more than 400 °C by microwave-assisted pyrolysis. Furthermore, there are some benefits of microwave irradiation pretreatment over the conventional heating method: (1) decrease reaction time and increase heat transfer rate, (2) heating performance that is constant over the volume, (3) high energy efficiency to reduce operation cost, and (4) undesired formation suppressed due to little degradation. Moreover, the hydrothermal pretreatment under microwave irradiation can be removed from acetyl groups in the present hemicellulose [49].
Table 1.
Comparison of various pretreatment methods with energy consumption.
Table 1.
Comparison of various pretreatment methods with energy consumption.
| Feedstocks | Type of Pretreatment | Promotor for Bioethanol | Yield Bioethanol, % | Total Selling Price (US$/Kg Bioethanol) | Energy Consumption (MJ/Kg Bioethanol) | Reference |
|---|---|---|---|---|---|---|
| Agricultural residues | Organosolv | Zymomonas mobilis | NA | 1.27 | 331.27 | [50] |
| Beet molasses | NA | Saccharomyces cerevisiae | 49 | NA | 227.64 | [51] |
| Waste bamboo stems | Hydrogen peroxide/acetic acid (HPAC) | S. cerevisiae KCTC 7906 | 83.1 | 1.2 | 265.3 | [52] |
| Bagasse | Acid (H2SO4) | Saccharomyces cerevisiae | 638 (mg/L) | NA | 29 | [53] |
| Olive pruning debris | Steam explosion | Saccharomyces cerevisiae (SIGMA II Type) | 95 | NA | 8.53 | [54] |
| Olive pruning debris | Grinding | Saccharomyces cerevisiae (SIGMA II Type) | 11 | NA | 180 | [54] |
| Olive pruning debris | Torrefaction & grinding | Saccharomyces cerevisiae (SIGMA II Type) | 10 | NA | 64.29 | [54] |
3.4. Biological Pretreatment
Microorganisms and their enzyme systems are used in biological pretreatment to modify high-molecular-weight compounds of lignocellulose structure. The biological pretreatment can be conducted under mild conditions, low energy consumption, and produced less toxic substances [55]. In the biological pretreatment, many fungi and bacteria produced ligninolytic, cellulolytic, lipolytic, proteolytic, pectinolytic, and amylolytic enzymes [20]. On the other hand, the disadvantage of biological pretreatment is the low reaction rate and long reaction time to modify the structure of lignocellulose. Furthermore, the increasing reaction temperature would decrease the total number of microorganisms. Anaerobic digestion is used to enhance the biofuel yield via ultrasonication [56].
Bacillus Firmus K-1 is the type of xylanolytic bacterium. It generates extracellular xylanolytic enzymes, such as xylanases, β-xylosidases, α-L-arabinofuranosidases, and acetyl esterases, without cellulase activity. In addition, the microorganism grows very quickly in the minimum medium, using husk and rice straw and a low-cost carbon source for microbial growth and enzyme production [57].
3.5. Ionic Liquid and Deep Eutectic Solvent Pretreatment
Low-cost ionic liquid (IL) is a promising method for the lignocellulosic biomass pretreatment to produce bioethanol. Ziaei-Rad et al. investigated utilizing low-cost IL, [TEA][HSO4], for wheat straw pretreatment. The pretreatment was investigated in conditions characterized by 130 °C, a high solid-to-solvent load ratio of 1:5 g/g, and 20 wt% water to separate lignin and carbohydrates from the source. The highest delignification rate of 80% and the hemicellulose removal rate of 64.45% were observed in the case of a 3-h pretreated sample with [TEA][HSO4] [58].
Kulshrestha et al. reported that the saccharification yield was 95.5%, using ethyl ammonium nitrate (IL), whereas, among hydrophobic deep eutectic solvent (DES), menthol: lactic acid exhibited the saccharification yield of 85.7%, which did not require any additional high temperature or other pretreatments for hydrolysis. This result is indicated as the potential solvent system to reduce the cost of bioethanol production concerning the harsh conditions in a conventional method. Their results indicated that the identified IL and DES could be used as a green and sustainable alternative for the pretreatment of biomass for biofuel production [59].
4. Lignocellulose Hydrolysis
The production of bio-based chemical compounds and sugar by using lignocellulosic hydrolysis is a crucial stage. Lignocellulose conversion is included in the following processes. Cellulose lignocellulosic materials are hydrolyzed to fermentable reducing sugars and are then fermented to ethanol. The hydrolysis process is catalyzed via cellulase enzymes, and the fermentation process is conducted by bacteria or yeast. Some factors would be affected in the hydrolysis process: porosity of materials and the crystallinity of cellulose fiber, lignin, and hemicellulose content. Cellulase enzymes find it challenging to reach cellulose because of hemicellulose and lignin, which are affected by lowering hydrolysis efficiency [60,61].
The advantages and disadvantages of enzymatic and acid hydrolysis are shown in Table 2. The enzymatic hydrolysis had some benefits. For instance, this process is not related to the toxic production process; therefore, it could save the cost of detoxification inhibitors. Furthermore, a high substrate concentration allows for a higher yield at the expense of increased enzyme use [62,63]. On the other hand, cellulose and hemicellulose could be broken down by hydrolysis under dilute acid. Sugar compounds (glucose, xylose, mannose, and galactose) and organic acids (acetic and formic acid) are the most common results of hemicellulose hydrolysis. During acidic hydrolysis, cellulose could be hydrolyzed to glucose form, and then the glucose can be converted into high-value compounds, such as hydroxymethylfurfural (HMF) [64].
4.1. Enzymatic Hydrolysis
The depolymerization of cellulose into glucose can be conducted by enzymatic hydrolysis. The enzymatic hydrolysis is operated under mild conditions; for instance, the range temperature and pH are 40–50 °C and 4.5–5, respectively [31]. The cellulose hydrolysis process can be broken up into two basic enzymatic schemes, multi-enzymes, bacteria, and fungi applied the free extracellular enzymes. Furthermore, multiple enzymatic activities are essential to hydrolyze cellulose through soluble monosaccharides, and they can be implemented by assimilated cells [65]. Moreover, the process of enzymatic hydrolysis was discovered by Yang et al.; some of the methods are needed in heterogeneous reactions. The insoluble cellulose was broken down through a solid-liquid interface by the end of cellobiohydrolases/exoglucanases. The beginning reaction was followed by liquid-phase hydrolysis of soluble intermediates, and the catalytically cleaved was applied to produce glucose by β-glucosidase [66].
Table 2.
The advantages and disadvantages of various types of hydrolysis.
Table 2.
The advantages and disadvantages of various types of hydrolysis.
| Type of Hydrolysis | Biological/Chemical Agent Used | Concentration (%) | Yield Glucose (%) | Advantages | Disadvantages | Reference |
|---|---|---|---|---|---|---|
| Diluted Acid | H2SO4 | 10 | NA |
|
| [67] |
| Enzymatic | A. cellulolyticus | 22.5–90.0 mg | ≥65 |
|
| [68] |
| Enzymatic | T. reesei | 22.5–90.0 mg | ≤60 |
|
| [68] |
| Acid | HCl | NA | NA |
|
| [69] |
| Diluted acid | H3PO4 | 2.5 | 90 |
|
| [70,71] |
| Diluted Acid | H2SO4 | 20–33 | 78–82 |
|
| [69] |
| Enzymatic | Cellulase | NA | 70 |
|
| [72,73] |
Song et al. investigated the effect of sequential fermentation by Saccharomyces cerevisiae for bioethanol production. The bioethanol theoretical yield was up to 81%. The total material costs in bioethanol production (biomass, H2O2, acetic acid, enzyme, chemical fermentation, and yeast) by conventional and sequential were 3.36 and 2.69 $/kg bioethanol, respectively. Furthermore, the total energy consumed (enzymatic hydrolysis, glucose fermentation, pervaporation, and xylose fermentation) for conventional and sequential was 99.4 (1.8) and 152.2 (1.9), MJ ($/kg bioethanol), respectively [74].
Enzymatic hydrolysis is conducted in a specific section; hemicellulase enzymes are only responsible for hemicellulose molecules, whereas cellulase enzymes break down cellulose molecules’ linkages. Table 3 lists the yield of bioethanol production with different types of microorganisms. Furthermore, cellulases are a family of enzymes that collaborate to break down cellulose into glucose monomers. Endoglucanases, exoglucanases, cellobiohydrolases, and β-glucoside enzymes all play a role in this enzymatic pathway. Endoglucanase properly cuts cellulose chains at the ends, whereas endoglucanase hydrolyzes intramolecular β-1,4-glucosidic bonds of cellulose chains randomly to form a new chain end. Hemicellulose consists of heteropolysaccharides with complicated polymer. Hemicellulose are divided into five-carbon sugars, such as xylose and arabinose; and six-carbon sugars, such as galactose, glucose, and mannose. Firstly, The pretreatment approach eliminates lignin, followed by an enzymatic saccharification process to make simple sugars from lignocellulosic biomass [75,76].
On the other hand, the chemical structure of the polymer is quite complicated, and to degrade the polymer of hemicelluloses, such as xylan, we required multiple enzymes. Trichoderma spp., Penicillium spp., Talaromyces spp., Aspergillus spp., and Bacillus spp. are among the fungus and bacteria that generate xylan degrading enzymes. Endoxylanase, exoxylanase, β-xylosidase, α-arabinofuranosidase, α-glucuronidase, acetyl xylan esterase, and ferulic acid are among the enzymes involved in the enzymatic hydrolysis of xylan [77,78].
Bacteria and fungi can generate cellulases, such as Thermomonospora, Cytophaga, Sporocytophaga, Cellulomonas, Erwinia, and Clostridium, as well as bacteria, including Thermobifida, Caldicellulosiruptor, Butyrivibrio, Bacillus, Fibrobacter, Acetovibrio, Microbispora, Cellulomonas, Ruminococcus, Streptomyces, Microbispora, and Bacteroides. It demonstrated promise in the hydrolysis of various types of lignocellulosic biomass [79,80]. The product of enzymatic hydrolysis is glucose. Glucose fermentation by rich industrial host stains would increase bioethanol yield through the greatness of bioethanol production. Zymomonas mobilis and Saccharomyces cerevisiae are two such strains. Nevertheless, they cannot utilize pentoses. The most common pentose fermenting yeasts are Candida shehatae, Scheffersomyces stipitisa, and Pachysolen tannophilus [81,82].
White-rot, brown-rot, and soft-rot fungi are the most commonly applied for lignocellulosic biomass hydrolysis. It depends on the type of lignocellulosic biomass; each fungus has a different method of action. Because these kinds of fungi produce numerous lignin-degrading enzymes, such as lignin peroxidases, manganese-dependent peroxidases, polyphenol oxidases, laccases, white-rot, and soft-rot fungi effectively degrade lignin. Nevertheless, the brown-rot fungus is interested mainly in cellulose components [83]. Wei et al. studied corn stover’s effect with ferric chloride as catalyzed through various additives by enzymatic saccharification. The FeCl3-catalyzed dimethyl sulfoxide pretreatment may improve biomass hydrolysis. The extracts of hemicellulose and lignin were 100% and 36.4%, respectively. The maximum yield of glucose is up to 90.2% by Cellic CTec2 cellulase. Tween 80, as an additive, is a potential surfactant to decrease cellulase dosage and reduced hydrolysis time [84].
Table 3.
Highest-yield bioethanol production with different types of microorganisms.
Table 3.
Highest-yield bioethanol production with different types of microorganisms.
| Feedstock | Enzymatic Hydrolysis | Type Enzyme for Hydrolysis | Bioethanol Promotor | Fermentation | Type | YEthanol, % | Reference | ||||
|---|---|---|---|---|---|---|---|---|---|---|---|
| T (°C) | pH | t (h) | T (°C) | pH | t (h) | ||||||
| Fringe (Chionanthus retusus) | 45 | 5 | 48 | Novozymes | Saccharomyces cerevisiae | 37 | 5 | 48 | SSF | 81 | [74] |
| Sugarcane bagasse | 50 | 4.8 | 90 | Cellic CTec2 cellulase | C. tropicalis | 20–28 | NA | NA | NA | 91 | [85] |
| Mixed sawdust | 50 | 4.8 | NA | Cellic CTec2 cellulase | Saccharomyces cerevisiae ATCC 7754 | 28 | NA | 24 | NA | 80 | [86] |
| Rice straw | 45 | 4.8 | 72 | Cellic CTec2 (VCNI0013) and Cellic HTec2 (VHN00002) | Saccharomyces cerevisiae CCUG 53310 | 37 | 5 | 48 | DSSF | 98.7 | [87] |
| Corn and corn stover | 50 | 4.8 | 48 | α-amylase and glucoamylase | Saccharomyces cerevisiae GIM2.213 | 30 | 5.5 | 96 | SSF | 99.3 (g/L) | [88] |
| Willow (Salix viminalis W) | 40 | 4.8 | 30 | NA | Saccharomyces cerevisiae | 30 | NA | 24 | NA | 65 | [89] |
| Sugarcane bagasse | NA | 4.8 | 96 | Novozyme 188 (cellubiase of Aspergillus niger) | Zymomonas mobilis | 30 | 5 | 15 | NA | 84 | [90] |
| Triticale straw | 37 | 5 | 72 | Spezyme® CP, Optiflow™ RC 2.0, Accellerase® 1500 and Celluclast® 1.5 | Saccharomyces cerevisiae Ethanol Red® | 37 | 5 | 144 | SSF | 84.7 | [91] |
| Poplar wood | 50 | 5.5 | 72 | Cellic®CTec3 Novozymes | Saccharomyces cerevisiae YRH400 | 37 | NA | 48 | SSF | 68 | [92] |
| Fresh softwood, Picea abies, free from bark | 40 | 4.8 | 96 | Novozym 188 | Saccharomyces cerevisiae | 37 | 5 | 72 | SSF | 65 | [93] |
YEthanol = yield of ethanol, %.
4.2. Acid Hydrolysis
Acid hydrolysis aims to derive fermentable sugars that are used in the fermentation process for bioethanol production. Table 4 shows the acid hydrolysis process with different types of biomasses for bioethanol production. The fermentable sugars are primarily kept in crystalline hemicellulose structures. A polymer is made up of glucose, xylose, and other sugars [94]. These sugars can be recovered more than 80% from hemicellulose by using acid hydrolysis [95]. The first step of acid hydrolysis is to disintegrate the matrix structure of untreated biomass into cellulose, hemicellulose, and lignin [96]. The subsequent hydrolysis is to convert polysaccharides of treated biomass into monosaccharides. The monosaccharides are utilized as a feedstock for the fermentation process for making bioethanol. The most common acids used for hydrolysis are sulfuric acid, phosphoric acid, and hydrochloric acid [97,98,99]. The advantage of acid hydrolysis for producing sugar in the bioethanol process is that the acid can easily access the cell wall. The rate of acid hydrolysis is faster than that of other processes [100].
Nevertheless, the drawbacks of using acid are adding the cost for neutralization in the subsequent process and causing an environmental pollutant. The neutralization process in the acid hydrolysis process is essential before fermentation to prevent a toxic environment for microorganisms. The acid hydrolysis process can be divided into two methods: dilute acid concentration (0.1%) at a higher temperature (>200 °C) and concentrated acid (30–70%) at a lower temperature (<50 °C) [101]. Dilute acid is widely used for industry because of its high reaction rate; moreover, it will increase cellulose hydrolysis. In addition, this process will utilize fewer acid concentrations, but the higher temperature of this process will consume more energy. On the other hand, concentrated acid hydrolysis uses less energy because it is conducted at a lower temperature. The concentrated sulfuric acid hydrolysis used obtained the maximum yield of sugar from woody biomass [102]. However, the higher acid concentration will inhibit enzymatic activity (furfural, 5-hydroxymethylfurfural) and increase equipment corrosion [103].
5. Fermentation Process
Five fermentation strategies can be applied for bioethanol production: (1) For cell recycling batch fermentation (CRBF), the main objective of the CRBF process is to adapt yeast to become inhibitors. Furthermore, the CRBF process increases yeast performance. It can decline reaction time and minor carbon deviation for cell production. (2) For simultaneous saccharification and fermentation (SSF), the enzymatic hydrolysis and fermentation are applied to release sugar to produce ethanol. Nevertheless, the disadvantages of the SSF process are the low performance between the ideal temperatures of the enzyme and yeast. (3) Separated hydrolysis fermentation (SHF), hydrolysis, and fermentation are conducted separately to produce bioethanol. (4) For semi-simultaneous saccharification and fermentation (SScF), the short pre-hydrolytic is applied before SSF process. The bioethanol yield would be increased slightly than that of conventional methods of SSF. (5) Consolidated Bioprocessing (CBP) involves the decomposition of resistive biomass substrates into solubilized sugars, as well as a metabolic intervention to guide the metabolic flow toward specific products with high yield and titer [104,105,106,107,108,109]. Table 5 indicates the advantages and disadvantages of various fermentation processes.
Kongkeitkajorn et al. studied bioethanol production by SHF and S. cerevisiae TISTR 5339 as a microorganism with the total bioethanol up to 44.7 g/L after 24 h of cultivation. Additionally, xylose uptake declined during the fermentation, with 32.9% of the total amount. The maximum concentration of 31.3 g/L achieved by using S. shehatae ATTC 22984 was directly connected to glucose consumption, which was substantially lower than that obtained by using S. cerevisiae. The inactivation of ethanol production after 48 h showed that there might be a product inhibitory impact on S. shehatae growth [110]. Furthermore, the different types of fermentation processes and microorganisms are shown in Table 6.
The hydrolysis and SSF process are carried out simultaneously in the same units. Many process variables affect SSF activity, including solid loading, enzyme loading, inoculum size, temperature, pH, inhibitors, and additional medium components [111]. These processes have advantages, such as enhancing the yield, reducing the need for enzymes, reducing the total processing time, and increasing the hydrolysis rate by generating sugars that restrict cellulase activity at the same time. Because glucose is directly eliminated from the medium, it removes the need for sterile conditions. The disadvantage of this method is the incompatibility of hydrolysis and fermentation temperatures, necessitating the introduction of thermotolerant bacteria [112,113]. Clostridium acetobutylicum, P. stipitis NCIM 3498, S. cerevisiae, Issatchenkia orientalis, Thermoanaerobacter ethanolicus, and Karl Marxianus are some of the thermotolerant/thermophilic fermenting strains [114].
Table 4.
Acid hydrolysis with various biomass feedstock.
Table 4.
Acid hydrolysis with various biomass feedstock.
| Feedstock | Pretreatment | Acid Hydrolysis | Acid Concentration | Acid Hydrolysis | Microorganism | Microorganism Concentration | YSugar | YEthanol | Reference | |
|---|---|---|---|---|---|---|---|---|---|---|
| T (°C) | t (h) | |||||||||
| Cassava | NA | H2SO4 | 0.58 M | 100 | 0.5 | Saccharomyces cerevisiae | 5% | 28.18% | 14.7% | [97] |
| Waste potatoes | Ultrasonic | HCl | 2.1% | 40 | 48 | Saccharomyces cerevisiae | 19.2 g/L | NA | 65.8 g/L | [98] |
| Sugarcane bagasse | NA | H2SO4 | 0.1 M | 120 | 2 | NA | NA | 452.27 mg/g | NA | [99] |
| Citronella biomass | NA | H2SO4 | 0.1 M | 120 | 2 | NA | NA | 487.50 mg/g | NA | [99] |
| Softwoods | NA | H2SO4 | 95% | 40 | 0.67 | NA | NA | 46.2% | NA | [102] |
| Potato peel | NA | H2SO4 | 5% | 90 | 1.5 | Saccharomyces cerevisiae | NA | 65 g/L | 6.45 g/L | [115] |
| Sago pith waste | Microwave | H2SO4 | 1 M | 120 | 0.016 | Saccharomyces cerevisiae | 5% (v/v) | 0.67 g/g | 0.31 g/g | [116] |
| Potato tuber | NA | HCl | 1 M | - | 1 | Saccharomyces cerevisiae | 60 g/L | 94% | 31 g/L | [117] |
| Sago | NA | H2SO4 | 1.5 M | 90 | 1.5 | NA | NA | 0.6234 g/g | NA | [118] |
| Rice straw | Mechanical | H2SO4 | 2 M | 90 | 1 | NA | NA | 9.71 g/L | 0.013% | [119] |
| Waste papers | Thermal | H2SO4 | 1% | 96.31 | 0.344 | Saccharomyces cerevisiae | NA | 79.65% (w/v) | 16.5% | [120] |
| Lignocellulosic | NA | H2SO4 | 0.3–4% 0.3–6% | 130–220 190–240 | 0.0167–1 0.0167–0.167 | Saccharomyces cerevisiae | NA | 55–60% | 90% | [121] |
| Wheat straw | NA | H2SO4 | 2% | 180 | 0.167 | Pichia stipitis NCIM 3498 | 10% | 19.32% | 5.29% | [122] |
| Seaweed Ulva rigida | Thermal | H2SO4 | 4% | NA | 1 | Pachysolen tannophilus | 5% | 34 ±0.25 mg/mL | 0.37 g/g | [123] |
| Spruce wood | NA | H2SO4 | 0.05 M | 200 | 1 | NA | NA | 124.54 mg/g | NA | [26] |
| Beech wood | NA | H2SO4 | 0.05 M | 200 | 0.67 | NA | NA | 148 mg/g | NA | [26] |
| Spruce wood | NA | H2SO4 | 70% | 80 | 8 | Saccharomyces cerevisiae | 1% | 70% | 74.3% | [124] |
| Birch wood | NA | H2SO4 | 70% | 80 | 8 | Saccharomyces cerevisiae | 1% | 70% | 64.7% | [124] |
YEthanol = yield of ethanol. YSugar = yield of sugar.
Table 5.
The advantages and disadvantages of different types of fermentation and microorganism.
Table 5.
The advantages and disadvantages of different types of fermentation and microorganism.
| Feedstock | Pretreatment | Fermentation | Type of Microorganism | Advantages | Disadvantages | Reference |
|---|---|---|---|---|---|---|
| Corn stover | EDA | SScF | S. cerevisiae SyBE005 |
|
| [125] |
| Sugarcane bagasse | PMS combined with AD | SScF | Saccharomyces cerevisiae SHY07-1 |
|
| [126] |
| Hardwoods Vineyard waste | HPAC Autohydrolysis | SSF | Saccharomyces cerevisiae |
|
| [74,127] |
| Waste Paper | Acidic alkaline pretreatment | SHF | Saccharomyces cerevisiae |
|
| [128,129] |
| Soybean residue | Thermal | SHF | Saccharomyces cerevisiae KCCM 1129 adapted to galactose |
|
| [130] |
| Microalgae | Thermal | SHF | Z. mobilis ATCC 29191 |
|
| [131] |
| Beechwood | Thermal | CBP | C. thermocellum strain ATCC 31924 |
|
| [132] |
EDA = ethylenediamine; PMS = potassium peroxymonosulfate; AD = alkaline deacetylation; HPAC = hydrogen peroxide/acetic acid.
Guilherme et al. stated that, when using sugarcane bagasse treated with acid-alkali and S. cerevisiae PE-2, the theoretical yield of ethanol generated was 92% after 18 h [133]. Zheng et al. also stated that using Saccharomyces cerevisiae with unwashed corncob residues at 10% (w/w) substrate concentration of tea-seed cake at 15 FPU/g-cellulose produced the maximum ethanol production of 93.3% [134]. Simultaneous saccharification and co-fermentation (SScF) is a process that includes simultaneous hydrolysis and fermentation of C5 (pentose) and C6 (hexose) sugars in the same unit. When substantial participation of the pentose is discovered following hydrolysis, this method is proposed. The advantages of this process are faster production rates, a higher bioethanol yield, and a lower risk of contamination. The disadvantages are needed to have high enzyme loads [135]. The fermenting organisms generate the enzymes in the CBP process. Cost-effectiveness and energy efficiency are the advantages, but a limitation of appropriate microorganisms and difficulties controlling the process are the disadvantages [109,136]. Park et al. investigated the ethanol production, enhanced to 18.2 g/L (106.1% of total glucose loading) at 168 h, using recombinant E. coli (K011). This finding implied that the SScF utilizing recombinant E. coli (K011) yielded more than 100% of the predicted maximal ethanol production based only on glucan. The results indicated that recombinant E. coli (K011) would efficiently consume glucose and xylose and convert them to ethanol [137].
Table 6.
Ethanol production using various types of fermentation and microorganism.
Table 6.
Ethanol production using various types of fermentation and microorganism.
| Raw Material | Microorganism | Method of Pretreatment | Temperature and Reaction Time | Type | YEthanol, % | Reference | ||
|---|---|---|---|---|---|---|---|---|
| Pretreatment | Hydrolysis | Fermentation | ||||||
| Corn stover | Two Saccharomyces cerevisiae | Liquid hot water | 180 °C; 10 min | 50 °C; 72 h | 35 °C, 96 h | SScF | 3.57% (w/v) | [138] |
| Sugarcane bagasse | Two Saccharomyces cerevisiae | Liquid hot water | 180 °C; 10 min | 50 °C; 72 h | 35 °C, 96 h | SScF | 3.29% (w/v) | [138] |
| Wheat straw | S. cerevisiae strain Ethanol | Organosolv | 180 °C; 40 min | 50 °C; 72 h | 35 °C, NA | SSF | 67.24% | [139] |
| Cotton stalk | S. cerevisiae | Microwave assisted alkali | 100 °C; 10 min | 50 °C; 96 h | 30 °C, 96 h | SSF | 41.28% | [140] |
| Cotton stalk | S. cerevisiae + P. tannophilus | Microwave assisted alkali | 100 °C; 10 min | 50 °C; 96 h | 30 °C, 96 h | SSF | 56.47% | [140] |
| Cotton stalk | S. cerevisiae + P. tannophilus | Biological pretreatment with LZ-K2 | 37 °C; 7 days | 50 °C; 96 h | 30 °C, 96 h | SSF | 54.73% | [140] |
| Sugarcane bagasse | Aspergillus niger | Diluted phosphoric acid pretreatment | 120 °C; 20 min | 50 °C; 72 h | 30 °C, 24 h | CRBF | 47.00% | [141] |
| Chlamydomonas Mexicana biomass | Chlamydomonas mexicana | Sonication and enzymatic hydrolysis | 50 °C; 15 min | 50 °C; 24 h | 30 °C, NA | SSF | 50.00% | [142] |
| Corn stover | Saccharomyces cerevisiae | Co-solvent | 150 °C; 25 min | 50 °C; 18 h | 37 °C, 120 h | SSF | 89.20% | [143] |
| Hydrolysate of rice straw | S. cerevisiae | Hydrothermal | NA | NA | 30 °C, 24 h | SSF | 46.00% | [144] |
| Hydrolysate of corncob | Pichia guilliermondii | NA | NA | 50 °C; 72 h | 30 °C, 18 h | SHF | 44.40% | [145] |
| Food waste | Zymomonas mobilis | Biological pretreatment | NA | 50 °C; 6 h | 30 °C, 44 h | SHF | 50.00% | [146] |
| Sugarcane bagasse | Saccharomyces cerevisiae | Steam explosion | 195 °C; 7.5 min | 50 °C; 96 h | 35 °C, 24 h | SHF | 24.50% | [147] |
| Ethanol-extracted cane bagasse | Saccharomyces cerevisiae | Steam explosion | 195 °C; 7.5 min | 50 °C; 96 h | 35 °C, 24 h | SHF | 29.60% | [147] |
| Sugarcane bagasse | Saccharomyces cerevisiae | Steam explosion | 195 °C; 7.5 min | 50 °C; 96 h | 35 °C, 48 h | SSF | 28.00% | [147] |
| Ethanol-extracted cane bagasse | Saccharomyces cerevisiae | Steam explosion | 195 °C; 7.5 min | 50 °C; 96 h | 35 °C, 48 h | SSF | 30.80% | [147] |
| Cashew apple bagasse (15% CAB-OH) | Kluyveromyces marxianus ATCC 36907 | Acidic alkaline pretreatment | 121 °C; 15 min | 40 °C; 12 h | 40 °C, 72 h | SSF | 92.7% | [148] |
Saha et al. reported fermentation with Saccharomyces cerevisiae (Baker’s yeast) at 25 °C, pH = 7 to get 0.333 mg/L ethanol. Moreover, 0.133 mg of ethanol can be produced from 1 g of Pteris, where the conversion reducing sugar to ethanol is 20% approximately in the optimum reaction condition [149]. Joannis-Cassan et al. presented the industrial alcoholic fermentation carried out by Saccharomyces cerevisiae in the multi-stage batch and fed-batch fermentation, producing 15.2% (v/v) ethanol in 53 h without residual sucrose and with ethanol productivity of 2.3 g L h−1 [150].
6. Separation of Bioethanol
Pretreatment, hydrolysis, fermentation, and separation are the four main processes in synthesizing bioethanol from lignocellulosic biomass. The separation process is a crucial part of the bioethanol manufacturing process because it needs more energy. Due to the more dilute alcohol concentrations encountered in the second-generation processes, distillation and dehydration account for around 20 to 40% of the total energy consumption for first-generation bioethanol production. For example, alcohol composition varies between 0.75 and 5.0 wt% ethanol after fermentation [151]. The normal ethanol composition in the water-ethanol solution is 89.4 mol% at 78.2 °C because of the azeotrope. The different types of separation processes of bioethanol include azeotropic distillation, extractive distillation, dehydration by vacuum distillation, membrane process, adsorption process, and chemical dehydration process [152]. Distillation technologies such as azeotropic and extractive distillation have relatively high energy costs. However, they are still the preferred approach for large-scale bioethanol fuel generation despite this main disadvantage. Hajinezhad et al. reported that the distillation unit consumed about 70% of the total energy requirements for the procedure to produce 99.5 wt.% bioethanol [153].
Figure 4 shows the separation process of bioethanol via extractive distillation. Furthermore, the conventional azeotropic and extractive distillations are conducted with two columns. The first stage is ordinary distillation, also known as the pre-concentration stage, the percentage of bioethanol concentration is up to 92.4–94 wt.%. In addition, the second stage of dehydration of ethanol is applied to get a higher concentration than conventional azeotropic distillation. Advanced process intensification and integration techniques, thermally connected distillation columns, dividing-wall columns, heat-integrated distillation columns, or cyclic distillation are new ways to solve energy-intensive distillation [154,155,156,157].
Figure 4.
The separation process of bioethanol by extractive distillation.
The separation of bioethanol via membrane process is conducted by mass transfer of liquid and gas streams. The anhydrous ethanol was produced by using hyperfiltration (reverse osmosis), gas/vapor permeation, and pervaporation [152]. Some chemical plants with tens to hundreds of square meters of the membrane have used tubular and plate-frame modules. The spotlight of industrial pervaporation research has recently shifted to bioethanol dehydration. Furthermore, several thousand meters of the membrane will be required for the bioethanol separation process. It needed more cost-effective module designs. Ube created hollow fiber polyimide membranes in Japan for this application. Pervaporation is adapted by other firms, using spiral-wound module technology [158].
Another approach for obtaining anhydrous bioethanol is through pervaporation. A semipermeable membrane is used in this technique. This method effectively separates azeotropes and close boiling liquids because the separation of the membrane is not dependent on the liquid-vapor equilibrium. Khalid et al. studied how to separate ethanol by adding a small external agent with a high boiling point [159]. Figure 5 shows the process flow diagram of the bioethanol separation process with a simultaneous distillation/pervaporation facility for ethanol recovery from fermenters. The range concentration of bioethanol through dehydration and distillation process for 95–99.5%. Furthermore, molecular sieve is one of the conventional and commercial methods used to separate bioethanol [160]. On the other hand, azeotropic ethanol is produced by using a stripper column, followed by a rectification column; the ethanol as a feedstock is fed into the pervaporation process. The pervaporation process typically operates in the temperature range of 105–130 °C, with the vapor pressure of the feed stream up to 2–4 bar to optimize the vapor pressure difference and pressure ratio across the membrane [158].
Figure 5.
A simultaneous distillation/pervaporation facility for ethanol recovery from fermenters. (Reproduced with permission from Baker, R.W, Membrane Technology and Application; published by John Wiley and Sons, 2004).
Chong et al. gave a techno-economic evaluation of a biorefinery configuration, using macroalgae cellulosic residue (MCR), using Aspen Plus V10. A total of 15,833.3 kg/h of MCR generated 7626 kg/h of anhydrous bioethanol and 3372 kg/h of fertilizer. The design achieved positive energy saving by performing Heat Exchanges Networks Synthesis and process optimization and could reach a net energy ratio of 0.53. It also showed economic viability with a minimum selling price for anhydrous ethanol of $0.54/kg [161]. Techno-economic analysis of ethanol production from lignocellulosic biomass was investigated by a previous study [162]. Angili et al. used the life-cycle assessments (LCA) to assess bioethanol production. The pretreatment technique was the most carefully considered because pretreatment plays such a crucial role in subsequent processes. The updated pretreatment procedures result in environmental savings. Nevertheless, advanced pretreatment methods and input and output optimization in bioethanol production can help reduce environmental impacts caused by increasing acidification, eutrophication, and photochemical oxidant on our planet [163].
Ethanol production at high substrate loadings could effectively decrease the equipment size and reduce the consumption of water and the cost of ethanol separation. Lu et al. showed that the bioethanol concentration reached 66.5 g L−1, and the bioethanol yield of 0.133 g g−1 was achieved by using 21% substrate [164]. The high substrate concentration is a limiting factor in the heat and mass transfer of the reaction system but also increases the content of inhibitor in the hydrolysate and eventually reduces the conversion efficiency of ethanol. Zheng et al. obtained the highest ethanol yield of 0.257 mg/g sugarcane bagasse by using a solid-liquid ratio of 1:20 (w/v) [165].
Recycling technique is vital for bioethanol production from lignocellulosic biomass, including recycling chemical wastes (toxicants accumulation), recycling wastewater, reusing high-cost additives, and reusing byproducts production. All recycling techniques should be applied in pretreatment, enzymatic hydrolysis, fermentation, and distillation to decrease the production cost; reduce the consumption of chemicals, cellulase, and yeast; and increase economic feasibility [166]. The use of agricultural residues for bioethanol production greatly depends on the availability of raw materials and the proper design of a flexible multi-feedstock facility. Durtle et al. studied multiple coffee crops’ residues (stems, pulp, and mucilage) to show that the production costs and the CO2 emissions obtained were 0.5 $USD/L and 1.29 Kg CO2/L, respectively. The mass balances were used to calculate the blue and gray water footprints. The blue water footprint was calculated by using water utilized in LHW (liquid hot water) pretreatment, washing, and reaction. Outflow water and water contained in streams (solids, vinasse, and sludge) were used to calculate the gray water footprint. The huge facility uses 3.364 million tons of fresh water per year and generates 119,000 tons of gray water annually. On the other hand, without recirculation requires 2.87 times more water (1.170 million tons per year of fresh water) [30].
7. Conversion of Bioethanol into Bio-PET
PET is used as a raw material in the production of fibers (65%) and packaging products (35%). In addition, PET as a raw material of packaging products is mainly used as plastic bottles (76%), containers (11%), and films (13%) [1,167]. PET has outstanding chemical and physical features for various applications, including gas barrier capabilities, low diffusivity, superior mechanical and thermomechanical properties, extremely inert material, clarity, and satisfactory process operation [168,169,170]. PET feedstocks are commercially produced from petroleum-based materials. As a result, these raw materials contribute to the unsustainable nature of PET-based products. In addition, the short-term use of PET-based products causes serious environmental issues, such as slow degradation and abundance of untreated PET-based product wastes [7].
Furthermore, the production of bio-PET should be to find sustainable raw materials with lower cost in the process production. It helps maintain an ecological balance, which is critical for the long-term survival of our planet [168,171,172]. Using biomass as a raw material for producing ethylene glycol (EG), terephthalic acid (TPA), and dimethyl terephthalate (DMT) is one of the alternative solutions to solve these environmental problems and to improve the sustainability of PET. Table 7 lists the industrial-scale of renewable bio-based PET products. PET can be produced in two different ways. The first method involves TPA with EG. The second process is used DMT and EG by transesterification reaction [2].
Currently, commercially produced bio-PET is partial bio-PET produced by polymerizing biomass-based EG and petroleum-based TPA. About 30% of the carbons constituting PET are derived from biomass, which is called bio-PET 30. The worldwide production capacity of bio-PET 30 in 2016 was 94,800 tons [173]. Shen et al. calculated greenhouse gas (GHG) emissions of 2.34 kg-CO2/kg-bio-PET 30, using corn-derived EG. As GHG emissions of petro-PET were reported to be 3.36 kg-CO2/kg-petro-PET, bio-PET 30 showed a 30.4% greater reduction of the GHG emissions than petro-PET [174].
Bio-PET as a final product can be synthesized from bio-EG and bio-TPA by the polymerization reaction. The polymerization of PET is divided into two steps. In the first step, bio-TPA and bio-EG are reacted to produce a monomer unit in the esterification process. Nitrogen is needed for this autocatalytic reaction. The second step is forming the chain of PET in the vacuum condition with the temperature reaction up to 280 °C [167,175,176].
Table 7.
Industrial-scale of renewable bio-based EG and PET product and precursors.
Table 7.
Industrial-scale of renewable bio-based EG and PET product and precursors.
| Company | Country | Raw Materials | Products | Reference |
|---|---|---|---|---|
| Gevo Inc, (Englewood) | USA | Corn | Bio p-xylene | [176] |
| India Glycols Limited | India | Molasses | Bio-EG | [177] |
| JBF Industries Ltd. | Brazil | Sugarcane | Bio-EG | [7] |
| Greencol Taiwan Corporation (GTC) | Taiwan | Sugarcane | Bio-EG | [7,178] |
| Toyota Tsusho Corporation | Japan | Sugarcane | Bio-EG, Bio-PET | [178] |
| Teijin Ltd. | Japan | Sugarcane | Bio-EG, Bio-PET | [179] |
| Japane Future Polyesters | Japan | NA | Bio-PET | [1] |
| Coca-Cola—Gevo Venture | USA | NA | Bio-PET | [1] |
| Futura Polyesters | India | NA | Bio-PET | [180] |
| Far Eastern New Century Corporation | Taiwan | Agriculture Waste | Bio-PET, Bio-MEG | [181] |
| Indorama (Guangdong IVL PET Polymer) | China | Biomass | Bio-PET, Bio MEG | [182] |
MEG: mono ethylene glycol.
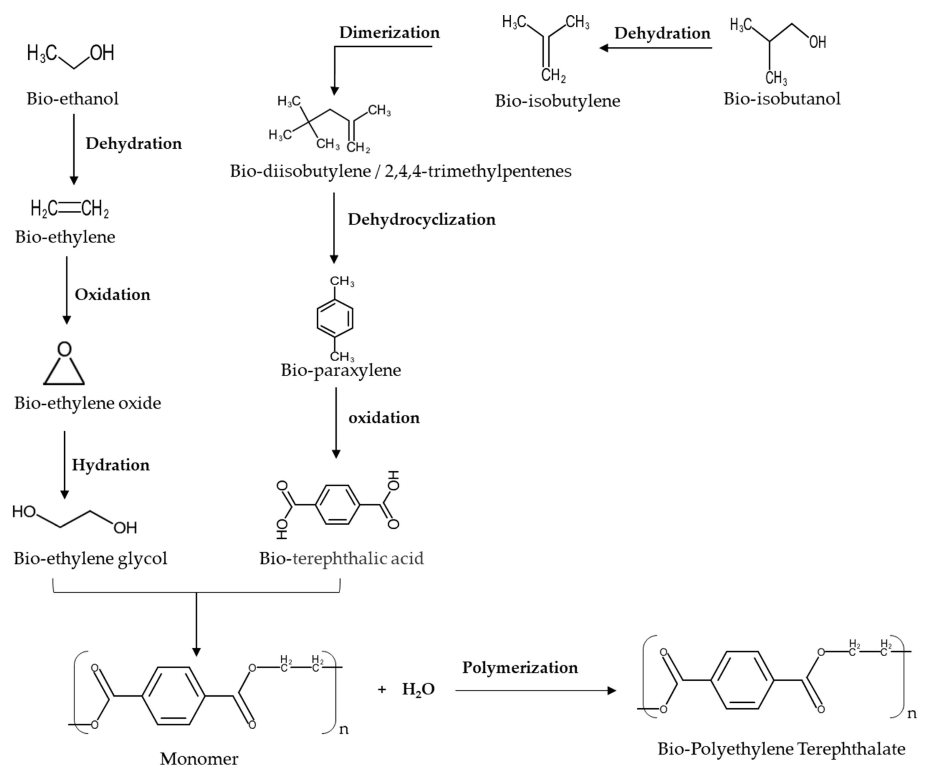
Recently, EG can be made with various raw materials such as ethanol, glycerol, sorbitol, sugars, and cellulose. Bioethanol derived from biomass is commercially used in the manufacture of EG in Figure 6. However, compared to EG production from renewable feedstocks, the production of PTA from biomass remains is limited because of the abundance of raw material (p-xylene) from the crude oil refining process. Due to the sustainable issue, the greener new reaction routes of PTA production renewable resources are increased. Bio-based p-xylene can now be made from various renewable resources, including isobutanol, 5-hydroxymethylfurfural (HMF) with ethylene, limonene, bio-ethylene, isoprene with acrylic acid, and furfural [7,183].
Figure 6.
Reaction routes to Bio-PET.
The sequential chemical reaction processes are used to produce bio-EG. The reaction of the aliphatic compound of bio-EG might be synthesized from the hydrolysis of ethylene oxide. It could be achieved by oxidization. The oxidation of bio-ethylene is produced during glucose fermentation, followed by dehydration [184,185]. Furthermore, the production of bio-ethylene by catalytic dehydration of bioethanol is one the most sustainable and cost-effective ways [186,187]. The various catalysts are used in the dehydration process: alumina, silica, zeolites, clays, and phosphoric acid, with maximum selectivity and conversion up to 99.9% and 100%, respectively [188,189] (Table 8). The dehydration is conducted in a fixed or fluidized bed reactor with a catalyst under the vapor phase. The reaction can be achieved by isothermal or adiabatic with fixed-bed reactor.
Meanwhile, it is commonly applied in adiabatic with fluidized bed reactor [190]. In addition, bio-ethylene could be blended with CO2, argon, oxygen, nitrogen, or methane. In a tubular catalytic reactor, the dilute gas mixture is fed into the reactor. The chemical reaction produces bio-ethylene oxide under extremely exothermic conditions with temperature and steam drum pressure. The bio-ethylene oxide is scrubbed with water. On the other hand, the byproduct of CO2 would be returned and eliminated to the reactor loop through bio-ethylene oxide’s flow into the glycol reactor. In contrast, the ethylene glycol is produced via a chemical reaction with water then the multi-effect evaporator is applied to remove the water compound [16].
Bio-Terephthalic Acid Production
TPA is mainly produced via the oxidation of fossil feedstocks such as para-xylene [191]. The reaction routes of bio-TPA are considered by using various feedstocks, such as isobutanol, HMF plus ethylene, limonene, and lignin. In the first two routes, para-xylene is converted into TPA, using the Amoco® process [183]. Bio-TPA is formed by bio-paraxylene, which is performed with bio-isobutanol as a precursor in the reaction. Gevo Inc developed the process of bio-paraxylene production, using bio-isobutanol from the fermented corn feedstock. The bio-paraxylene process consists of three reactions: bio-isobutanol dehydration, bio-isobutylene dimerization, and bio-diisobutylene dehydrocyclization in Figure 6. The dehydration reaction was conducted at a temperature from 300–350 °C, the pressure at 60–200 psig, and a weight hourly space velocity (WHSV) of 1–20 h−1. Furthermore, the reaction is carried out by using BASF AL-3996 as a dehydration catalyst. The isobutylene yield was up to 95%. The bio-isobutylene products from the first reaction step were fed into the dimerization reactor to synthesize bio-diisobutylene (2,4,4-trimethylpentanes, 2,5-dimethylhexenes, or 2.5-dimethylhexadienes). The acidic condition of the catalyst is required for the removal of water from the feedstock. The catalyst for this reaction must also be tolerant of the water produced by the reaction. In addition, before entering the subsequent process, the water from the reaction product must be removed. The reactor’s operating pressure determines the selection of the water separation process at this stage. When the reaction is conducted at 0–30 psig, a gas-liquid separator can be utilized to separate it. Nevertheless, the liquid-liquid separator can be used when the reactor pressure is between 30 and 100 psig. The bio-isobutylene product from the previous process is put into the fixed bed reactor to be converted into bio-diisobutylene through dimerization or oligomerization reaction. The dimerization is carried out in a fixed bed reactor that contains HZSM-5 as a catalyst and can function properly in a liquid state. The reactor’s operating temperature is kept at 170 °C, the pressure at 170 psig, and the WHSV at 20 h−1. The main product dimerization consists of at least 50% of 2,2,4-trimethylpentanes. Due to this low conversion reaction, some unreacted feedstock must be recycled into a dimerization reactor to improve the conversion to 99%. The dimerization reaction occurred with an oligomerization catalyst. The bio-diisobutylene isomers were converted into bio-paraxylene by dehydrocyclization reaction in the fixed-bed reactor with BASF D-1145E catalyst. The selectivity of the dehydrocyclization reaction is up to 75%. Unreacted isobutylene from the dimerization reactor is recycled to dilute the feedstock of the dehydrocyclization reactor to improve conversion and selectivity. Before converting to terephthalic acid, bio-paraxylene from this reaction must be purified to meet the purity requirement. Separation units, such as simulated moving bed chromatography, fractional crystallization, or fractional distillation, can improve bio-paraxylene purity. High purity bio-paraxylene from the previous reaction is oxidized with air or oxygen at 80–270 °C to synthesize the purified terephthalic acid. The oxidation reaction is carried out with a metal catalyst (manganese, cobalt, or nickel) and chemicals. Acetic acid and bromide compounds (hydrogen bromide, bromine, or tetrabromoethane) are added to the reactor as the solvent and additional oxidation agents. Tibbetts et al. reported an efficient elevated-pressure catalytic oxidative process (2.5 mol% Co(NO3)2, 2.5 mol% MnBr2, air (30 bar), 125 °C, acetic acid, 6 h) to oxidize p-cymene into crystalline white terephthalic acid (TA) in ~70% yield [192].
Table 8.
Dehydration of ethanol to ethylene by using different catalysts.
Table 8.
Dehydration of ethanol to ethylene by using different catalysts.
| Type of Catalyst | Maximum Ethylene Selectivity, % | Ethanol Conversion, % | Temperature Reaction, °C | Stability | Reference |
|---|---|---|---|---|---|
| Spherical catalyst with ϒ-Al2O3 | 99.6–100 | 99.5–100 | 350–450 | Very Stable | [193] |
| TPA-MCM-41 | 99.9 | 98 | 300 | Very Stable | [194] |
| Spherical silica particle (SSP) and alumina-silica composite (Al-SSP) | 99 | 98 | 400 | Very Stable | [195] |
| Ti-deZSM-5 | 88 | 96 | 280 | Stable | [196] |
| Zeolite HZSM-5 modified by 0.5% La-2%P | 99.9 | 100 | 240–280 | Very Stable | [197] |
| Al2O3–MgO | 97 | 97–100 | 450 | Very Stable | [198] |
| Co-Cr/SAPO-34 (silicoaluminophosphate) | 99.4 | 99.15 | 400 | Very Stable | [199] |
| TiO2/ϒ-Al2O3 | 99.4 | 100 | 360–500 | Very Stable | [200] |
| STA-MCM-41 | 99.9 | 99 | 250 | Stable | [201] |
| ϒ-Al2O3 | 94 | 99 | 350–450 | Stable | [202] |
| Zeolite ZSM-5 | 99 | 100 | 240 | Very Stable | [15] |
On the other hand, bio-TPA can be derived from furan, for instance, 2,5-furan dicarboxylic acid (FDCA). The Diels–Alder (DA) reaction is the essential chemical reaction in bio-TPA production from furan derivatives. At the beginning of this process, maleic anhydride is formed by oxidizing and dehydrating furfural and then reacting with furan to form a DA adduct. When the DA adduct is dehydrated, phthalic anhydride is formed and then transformed to bio-TPA, using dipotassium phthalate and phthalic acid. Avantium, the leading producer of bio-based FDCA, reported on another fascinating bio-TPA synthesis process utilizing DA. Hydrogenation converts hydroxymethylfurfural (HMF) to dimethyl furan, a key precursor of FDCA (DMF). Following various stages, such as cyclization with ethylene by DA and dehydration, DMF is changed to p-xylene, then turned to bio-TPA [203,204]. Furthermore, the production of TPA from renewable biomass feedstock (e.g., lignin) has been attracting research interest [205,206]. Settle et al. reported TPA synthesis from biomass-derived aromatic compounds via isomerization [207]. Bai et al. reported that the yield of TPA obtained was 58.7% from lignin-based phenolic acids, which included hydrogenation, demethoxylation, and carboxylation reactions [208]. Song et al. reported the production of TPA from corn stover lignin [209]. They use a three-step strategy to produce TPA from lignin-derived monomer mixtures to produce corn-stover-derived lignin oil with a supported molybdenum catalyst. The overall yields of TPA based on the lignin content of corn stover could reach 15.5 wt%. This bio-based PET is identical to petrochemical PET and can be processed by injection molding, blow molding, and extrusion. Nevertheless, it is not biodegradable. Salvador et al. provided an interesting article that described microbial degradation of PET due to the action of microbial polyester hydrolase, which was regarded as a key option for PET recycling [1,210].
8. Conclusions
The physical, chemical, physical-chemical, and biological pretreatments can be used to handle lignocellulose before converting it into bioethanol in the fermentation process. Saccharomyces cerevisiae is the type of microorganism that could achieve the highest yield, up to 99.3%, with rice straw as a feedstock. The separation process of bioethanol production is challenging. Because of the azeotrope condition between water and ethanol, the maximum ethanol purity is 89.4% at 78.2 °C. There are several technologies to handle the azeotropic condition, for instance, azeotropic distillation, extractive distillation, and membrane separation. However, the energy consumption is very high. The promising technology that can produce higher purity of bioethanol is the pervaporation method. The purity of bioethanol can be achieved at 95–99.5 wt%. The industrial production scale of bio-PET is conducted by collaborating with other companies, for instance, Coca-Cola with Gevo Venture. The companies recently used one bio-based reactant for producing bio-PET. Coca-Cola achieves it by using 100% bio-based EG. The main challenge in the future is using 100% bio-based reactants to make 100% bio-PET. In conclusion, the importance of selecting pretreatment methods should be emphasized in handling lignocellulose. In addition, extensive research on separation bioethanol to cope with the lower purity of ethanol must be conducted.
Author Contributions
Conceptualization, H.S.W. and D.D.; investigation, D.D.; writing—original draft preparation, D.D., D.S., D.A., D.R.S., Y.L.L.D. and W.A.A.; writing—review and editing, H.S.W. All authors have read and agreed to the published version of the manuscript.
Funding
We thank the Ministry of Science and Technology of Taiwan for financially supporting this study under grant number MOST 107-2218-E-155-001.
Institutional Review Board Statement
Not applicable.
Informed Consent Statement
Not applicable.
Data Availability Statement
Not applicable.
Acknowledgments
We thank the information obtained from the Far Eastern New Century Corporation Research & Development Center, Taiwan.
Conflicts of Interest
The authors declare no conflict of interest.
Notation
| CBP | consolidated Bioprocessing |
| SScF | simultaneous saccharification and co-fermentation |
| CBP | consolidated Bioprocessing |
| CRBF | cell recycling batch fermentation |
| EG | ethylene glycol |
| HMF | 5-hydroxymethylfurfural |
| MEG | mono ethylene glycol |
| SHF | separated hydrolysis fermentation |
| SSF | simultaneous saccharification and fermentation |
| SScF | simultaneous saccharification and co-fermentation |
| PET | polyethylene terephthalate |
| TPA | terephthalic acid |
References
- Siracusa, V.; Blanco, I. Bio-Polyethylene (Bio-PE), Bio-Polypropylene (Bio-PP) and Bio-Poly (ethylene terephthalate)(Bio-PET): Recent developments in bio-based polymers analogous to petroleum-derived ones for packaging and engineering applications. Polymers 2020, 12, 1641. [Google Scholar] [CrossRef]
- Dutt, K.; Soni, R. A review on synthesis of value added products from polyethylene terephthalate (PET) waste. Polym. Sci. Ser. B 2013, 55, 430–452. [Google Scholar] [CrossRef]
- Taniguchi, I.; Yoshida, S.; Hiraga, K.; Miyamoto, K.; Kimura, Y.; Oda, K. Biodegradation of PET: Current status and application aspects. ACS Catal. 2019, 9, 4089–4105. [Google Scholar] [CrossRef]
- Ali, N.A.; Hussein, S.I.; Asafa, T.B.; Abd-Elnaiem, A.M. Mechanical Properties and Electrical Conductivity of Poly(methyl methacrylate)/Multi-walled Carbon Nanotubes Composites. Iran. J. Sci. Technol. Trans. A Sci. 2020, 44, 1567–1576. [Google Scholar] [CrossRef]
- Maurya, A.; Bhattacharya, A.; Khare, S.K. Enzymatic Remediation of Polyethylene Terephthalate (PET)–Based Polymers for Effective Management of Plastic Wastes: An Overview. Front. Bioeng. Biotechnol. 2020, 8, 1332. [Google Scholar] [CrossRef] [PubMed]
- Isikgor, F.H.; Becer, C.R. Lignocellulosic biomass: A sustainable platform for the production of bio-based chemicals and polymers. Polym. Chem. 2015, 6, 4497–4559. [Google Scholar] [CrossRef] [Green Version]
- Pang, J.; Zheng, M.; Sun, R.; Wang, A.; Wang, X.; Zhang, T. Synthesis of ethylene glycol and terephthalic acid from biomass for producing PET. Green Chem. 2016, 18, 342–359. [Google Scholar] [CrossRef]
- Satari, B.; Karimi, K.; Kumar, R. Cellulose solvent-based pretreatment for enhanced second-generation biofuel production: A review. Sustain. Energy Fuels 2019, 3, 11–62. [Google Scholar] [CrossRef]
- Baruah, J.; Nath, B.K.; Sharma, R.; Kumar, S.; Deka, R.C.; Baruah, D.C.; Kalita, E. Recent trends in the pretreatment of lignocellulosic biomass for value-added products. Front. Energy Res. 2018, 6, 141. [Google Scholar] [CrossRef]
- Maurya, D.P.; Singla, A.; Negi, S. An overview of key pretreatment processes for biological conversion of lignocellulosic biomass to bioethanol. Biotech 2015, 5, 597–609. [Google Scholar] [CrossRef] [PubMed] [Green Version]
- Rajendran, K.; Drielak, E.; Varma, V.S.; Muthusamy, S.; Kumar, G. Updates on the pretreatment of lignocellulosic feedstocks for bioenergy production—A review. Biomass. Convers. Biorefin. 2018, 8, 471–483. [Google Scholar] [CrossRef]
- Taylor, M.J.; Alabdrabalameer, H.A.; Skoulou, V. Choosing physical, physicochemical and chemical methods of pre-treating lignocellulosic wastes to repurpose into solid fuels. Sustainability 2019, 11, 3604. [Google Scholar] [CrossRef] [Green Version]
- Moreno, A.D.; Alvira, P.; Ibarra, D.; Tomás-Pejó, E. Production of ethanol from lignocellulosic biomass. In Production of Platform Chemicals from Sustainable Resources; Springer: Berlin/Heidelberg, Germany, 2017; pp. 375–410. [Google Scholar]
- Susmozas, A.; Martín-Sampedro, R.; Ibarra, D.; Eugenio, M.E.; Iglesias, R.; Manzanares, P.; Moreno, A.D. Process strategies for the transition of 1G to advanced bioethanol production. Processes 2020, 8, 1310. [Google Scholar] [CrossRef]
- Wu, C.-Y.; Wu, H.-S. Ethylene formation from ethanol dehydration using ZSM-5 catalyst. ACS Omega 2017, 2, 4287–4296. [Google Scholar] [CrossRef] [Green Version]
- Tsiropoulos, I.; Faaij, A.P.; Lundquist, L.; Schenker, U.; Briois, J.F.; Patel, M.K. Life cycle impact assessment of bio-based plastics from sugarcane ethanol. J. Clean. Prod. 2015, 90, 114–127. [Google Scholar] [CrossRef]
- Merklein, K.; Fong, S.; Deng, Y. Biomass utilization. In Biotechnology for Biofuel Production and Optimization; Elsevier: Amsterdam, The Netherlands, 2016; pp. 291–324. [Google Scholar]
- Werpy, T.; Petersen, G. Top Value Added Chemicals from Biomass Volume I—Results of Screening for Potential Candidates from Sugars and Synthesis Gas; No. DOE/GO-102004-1992; National Renewable Energy Lab.: Golden, CO, USA, 2004. [Google Scholar]
- Singh, V.; Das, D. Potential of hydrogen production from biomass. Sci. Eng. Hydrog. Based Energy Technol. 2019, 123–164. [Google Scholar] [CrossRef]
- Ferdeș, M.; Dincă, M.N.; Moiceanu, G.; Zăbavă, B.Ș.; Paraschiv, G. Microorganisms and Enzymes Used in the Biological Pretreatment of the Substrate to Enhance Biogas Production: A Review. Sustainability 2020, 12, 7205. [Google Scholar] [CrossRef]
- Song, B.; Zhao, S.; Shen, W.; Collings, C.; Ding, S.-Y. Direct measurement of plant cellulose microfibril and bundles in native cell walls. Front. Plant Sci. 2020, 11, 479. [Google Scholar] [CrossRef] [Green Version]
- Siqueira, G.; Bras, J.; Dufresne, A. Cellulosic bionanocomposites: A review of preparation, properties and applications. Polymers 2010, 2, 728–765. [Google Scholar] [CrossRef] [Green Version]
- Bułkowska, K.; Klimiuk, E. Pretreatment of lignocellulosic biomass. In Biomass for Biofuels; CRC Press: Boca Raton, FL, USA, 2016; p. 121. [Google Scholar]
- Ciesielski, P.N.; Pecha, M.B.; Lattanzi, A.M.; Bharadwaj, V.S.; Crowley, M.F.; Bu, L.; Vermaas, J.V.; Steirer, K.X.; Crowley, M.F. Advances in multiscale modeling of lignocellulosic Biomass. ACS Sustain. Chem. Eng. 2020, 8, 3512–3531. [Google Scholar] [CrossRef]
- Sun, S.; Sun, S.; Cao, X.; Sun, R. The role of pretreatment in improving the enzymatic hydrolysis of lignocellulosic materials. Bioresour. Technol. 2016, 199, 49–58. [Google Scholar] [CrossRef]
- Świątek, K.; Gaag, S.; Klier, A.; Kruse, A.; Sauer, J.; Steinbach, D. Acid hydrolysis of lignocellulosic biomass: Sugars and furfurals formation. Catalysts 2020, 10, 437. [Google Scholar] [CrossRef] [Green Version]
- Lu, Y.; Lu, Y.-C.; Hu, H.-Q.; Xie, F.-J.; Wei, X.-Y.; Fan, X. Structural characterization of lignin and its degradation products with spectroscopic methods. J. Spectrosc. 2017, 2017. [Google Scholar] [CrossRef] [Green Version]
- Davis, K.M.; Rover, M.; Brown, R.C.; Bai, X.; Wen, Z.; Jarboe, L.R. Recovery and utilization of lignin monomers as part of the biorefinery approach. Energies 2016, 9, 808. [Google Scholar] [CrossRef] [Green Version]
- Zeng, Y.; Himmel, M.E.; Ding, S.-Y. Visualizing chemical functionality in plant cell walls. Biotechnol. Biofuels 2017, 10, 1–16. [Google Scholar] [CrossRef] [Green Version]
- Duarte, A.; Uribe, J.C.; Sarache, W.; Calderón, A. Economic, environmental, and social assessment of bioethanol production using multiple coffee crop residues. Energy 2021, 216, 119170. [Google Scholar] [CrossRef]
- Vasić, K.; Knez, Ž.; Leitgeb, M. Bioethanol production by enzymatic hydrolysis from different lignocellulosic sources. Molecules 2021, 26, 753. [Google Scholar] [CrossRef]
- Mood, S.H.; Golfeshan, A.H.; Tabatabaei, M.; Jouzani, G.S.; Najafi, G.H.; Gholami, M.; Ardjmand, M. Lignocellulosic biomass to bioethanol, a comprehensive review with a focus on pretreatment. Renew. Sustain. Energy Rev. 2013, 27, 77–93. [Google Scholar] [CrossRef]
- Yoo, C.G.; Meng, X.; Pu, Y.; Ragauskas, A.J. The critical role of lignin in lignocellulosic biomass conversion and recent pretreatment strategies: A comprehensive review. Bioresour. Technol. 2020, 301, 122784. [Google Scholar] [CrossRef]
- Sindhu, R.; Binod, P.; Pandey, A. Biological pretreatment of lignocellulosic biomass—An overview. Bioresour. Technol. 2016, 199, 76–82. [Google Scholar] [CrossRef]
- Sankaran, R.; Cruz, R.A.P.; Pakalapati, H.; Show, P.L.; Ling, T.C.; Chen, W.-H.; Tao, Y. Recent advances in the pretreatment of microalgal and lignocellulosic biomass: A comprehensive review. Bioresour. Technol. 2020, 298, 122476. [Google Scholar] [CrossRef]
- Brémond, U.; de Buyer, R.; Steyer, J.-P.; Bernet, N.; Carrere, H. Biological pretreatments of biomass for improving biogas production: An overview from lab scale to full-scale. Renew. Sustain. Energy Rev. 2018, 90, 583–604. [Google Scholar] [CrossRef]
- Ali, N.; Zhang, Q.; Liu, Z.-Y.; Li, F.-L.; Lu, M.; Fang, X.-C. Emerging technologies for the pretreatment of lignocellulosic materials for bio-based products. Appl. Microbiol. Biotechnol. 2020, 104, 455–473. [Google Scholar] [CrossRef]
- Wahlström, R.; Suurnäkki, A. Enzymatic hydrolysis of lignocellulosic polysaccharides in the presence of ionic liquids. Green Chem. 2015, 17, 694–714. [Google Scholar] [CrossRef] [Green Version]
- Schell, D.J.; Harwood, C. Milling of lignocellulosic biomass. Appl. Biochem. Biotechnol. 1994, 45, 159–168. [Google Scholar] [CrossRef]
- Gu, B.-J.; Wang, J.; Wolcott, M.P.; Ganjyal, G.M. Increased sugar yield from pre-milled Douglas-fir forest residuals with lower energy consumption by using planetary ball milling. Bioresour. Technol. 2018, 251, 93–98. [Google Scholar] [CrossRef]
- Kratky, L.; Jirout, T. Biomass size reduction machines for enhancing biogas production. Chem. Eng. Technol. 2011, 34, 391–399. [Google Scholar] [CrossRef]
- Bai, X.; Wang, G.; Yu, Y.; Wang, D.; Wang, Z. Changes in the physicochemical structure and pyrolysis characteristics of wheat straw after rod-milling pretreatment. Bioresour. Technol. 2018, 250, 770–776. [Google Scholar] [CrossRef]
- Dong, L.; Wu, X.; Wang, Q.; Cao, G.; Wu, J.; Zhou, C.; Ren, N. Evaluation of a novel pretreatment of NaOH/Urea at outdoor cold-winter conditions for enhanced enzymatic conversion and hythane production from rice straw. Sci. Total Environ. 2020, 744, 140900. [Google Scholar] [CrossRef]
- Appels, L.; Van Impe, J.; Dewil, R. Oxidizing Agents and Organic Solvents as Pretreatment for Anaerobic Digestion; Wiley: Hoboken, NJ, USA, 2012. [Google Scholar] [CrossRef]
- Travaini, R.; Martín-Juárez, J.; Lorenzo-Hernando, A.; Bolado-Rodríguez, S. Ozonolysis: An advantageous pretreatment for lignocellulosic biomass revisited. Bioresour. Technol. 2016, 199, 2–12. [Google Scholar] [CrossRef] [Green Version]
- Pan, X.; Gilkes, N.; Saddler, J.N. Effect of acetyl groups on enzymatic hydrolysis of cellulosic substrates. Holzforschung 2006, 60, 398–401. [Google Scholar] [CrossRef]
- Motasemi, F.; Afzal, M.T. A review on the microwave-assisted pyrolysis technique. Renew. Sustain. Energy Rev. 2013, 28, 317–330. [Google Scholar] [CrossRef]
- Huang, Y.-F.; Chiueh, P.-T.; Kuan, W.-H.; Lo, S.-L. Microwave pyrolysis of lignocellulosic biomass: Heating performance and reaction kinetics. Energy 2016, 100, 137–144. [Google Scholar] [CrossRef]
- Dai, L.; He, C.; Wang, Y.; Liu, Y.; Yu, Z.; Zhou, Y.; Fan, L.; Duan, D.; Ruan, R. Comparative study on microwave and conventional hydrothermal pretreatment of bamboo sawdust: Hydrochar properties and its pyrolysis behaviors. Energy Convers. Manag. 2017, 146, 1–7. [Google Scholar] [CrossRef]
- Da Silva, A.R.G.; Errico, M.; Rong, B.-G. Evaluation of organosolv pretreatment for bioethanol production from lignocellulosic biomass: Solvent recycle and process integration. Biomass Convers. Biorefin. 2018, 8, 397–411. [Google Scholar] [CrossRef] [Green Version]
- Roukas, T.; Kotzekidou, P. Rotary biofilm reactor: A new tool for long-term bioethanol production from non-sterilized beet molasses by Saccharomyces cerevisiae in repeated-batch fermentation. J. Clean. Prod. 2020, 257, 120519. [Google Scholar] [CrossRef]
- Song, Y.; Lee, Y.G.; Cho, E.J.; Bae, H.-J. Production of xylose, xylulose, xylitol, and bioethanol from waste bamboo using hydrogen peroxicde-acetic acid pretreatment. Fuel 2020, 278, 118247. [Google Scholar] [CrossRef]
- Kandasamy, M.; Hamawand, I.; Bowtell, L.; Seneweera, S.; Chakrabarty, S.; Yusaf, T.; Shakoor, Z.; Algayyim, S.; Eberhard, F. Investigation of ethanol production potential from lignocellulosic material without enzymatic hydrolysis using the ultrasound technique. Energies 2017, 10, 62. [Google Scholar] [CrossRef] [Green Version]
- Chiaramonti, D.; Rizzo, A.M.; Prussi, M.; Tedeschi, S.; Zimbardi, F.; Braccio, G.; Viola, E.; Pardelli, P.T. 2nd generation lignocellulosic bioethanol: Is torrefaction a possible approach to biomass pretreatment? Biomass Convers. Biorefin. 2011, 1, 9–15. [Google Scholar] [CrossRef] [Green Version]
- Baramee, S.; Siriatcharanon, A.-k.; Ketbot, P.; Teeravivattanakit, T.; Waeonukul, R.; Pason, P.; Tachaapaikoon, C.; Ratanakhanokchai, K.; Phitsuwan, P. Biological pretreatment of rice straw with cellulase-free xylanolytic enzyme-producing Bacillus firmus K-1: Structural modification and biomass digestibility. Renew. Energy 2020, 160, 555–563. [Google Scholar] [CrossRef]
- Bahmani, M.A.; Shafiei, M.; Karimi, K. Anaerobic digestion as a pretreatment to enhance ethanol yield from lignocelluloses. Process Biochem. 2016, 51, 1256–1263. [Google Scholar] [CrossRef]
- Guo, H.; Hong, C.; Zheng, B.; Jiang, D.; Qin, W. Improving enzymatic digestibility of wheat straw pretreated by a cellulase-free xylanase-secreting Pseudomonas boreopolis G22 with simultaneous production of bioflocculants. Biotechnol. Biofuels 2018, 11, 1–10. [Google Scholar] [CrossRef] [PubMed]
- Ziaei-Rad, Z.; Fooladi, J.; Pazouki, M.; Gummadi, S.N. Lignocellulosic biomass pre-treatment using low-cost ionic liquid for bioethanol production: An economically viable method for wheat straw fractionation. Biomass Bioenergy 2021, 151, 106140. [Google Scholar] [CrossRef]
- Kulshrestha, A.; Pancha, I.; Mishra, S.; Kumar, A. Deep eutectic solvents and ionic liquid assisted hydrolysis of microalgal biomass: A promising approach towards sustainable biofuel production. J. Mol. Liq. 2021, 335, 116264. [Google Scholar] [CrossRef]
- Sun, Y.; Cheng, J. Hydrolysis of lignocellulosic materials for ethanol production: A review. Bioresour. Technol. 2002, 83, 1–11. [Google Scholar] [CrossRef]
- Himmel, M.E.; Baker, J.O.; Overend, R.P. Enzymatic Conversion of Biomass for Fuels Production; American Chemical Society: Washington, DC, USA, 1994. [Google Scholar]
- Haldar, D.; Purkait, M.K. Lignocellulosic conversion into value-added products: A review. Process Biochem. 2020, 89, 110–133. [Google Scholar] [CrossRef]
- Modenbach, A.A.; Nokes, S.E. Enzymatic hydrolysis of biomass at high-solids loadings—A review. Biomass Bioenergy 2013, 56, 526–544. [Google Scholar] [CrossRef] [Green Version]
- Schwiderski, M.; Kruse, A.; Grandl, R.; Dockendorf, D. Comparison of the influence of a Lewis acid AlCl3 and a Brønsted acid HCl on the organosolv pulping of beech wood. Green Chem. 2014, 16, 1569–1578. [Google Scholar] [CrossRef]
- Liao, J.C.; Mi, L.; Pontrelli, S.; Luo, S. Fuelling the future: Microbial engineering for the production of sustainable biofuels. Nat. Rev. Microbiol. 2016, 14, 288–304. [Google Scholar] [CrossRef] [PubMed]
- Yang, B.; Dai, Z.; Ding, S.-Y.; Wyman, C.E. Enzymatic hydrolysis of cellulosic biomass. Biofuels 2011, 2, 421–449. [Google Scholar] [CrossRef] [Green Version]
- Shahbazi, A.; Zhang, B. Dilute and concentrated acid hydrolysis of lignocellulosic biomass. Bioalcohol Prod. 2010, 143–158. [Google Scholar] [CrossRef]
- Fujii, T.; Fang, X.; Inoue, H.; Murakami, K.; Sawayama, S. Enzymatic hydrolyzing performance of Acremonium cellulolyticus and Trichoderma reesei against three lignocellulosic materials. Biotechnol. Biofuels 2009, 2, 1–8. [Google Scholar] [CrossRef] [Green Version]
- Chen, H.; Chen, H. Lignocellulose biorefinery feedstock engineering. Lignocellul. Biorefin. Eng. 2015, 37–86. [Google Scholar] [CrossRef]
- Orozco, A.; Ahmad, M.; Rooney, D.; Walker, G. Dilute Acid Hydrolysis of Cellulose and Cellulosic Bio-Waste Using a Microwave Reactor System. Process. Saf. Environ. Prot. 2007, 85, 446–449. [Google Scholar] [CrossRef]
- Niju, S.; Swathika, M.; Balajii, M. Pretreatment of lignocellulosic sugarcane leaves and tops for bioethanol production. In Lignocellulosic Biomass to Liquid Biofuels; Elsevier: Amsterdam, The Netherlands, 2020; pp. 301–324. [Google Scholar]
- Kandhola, G.; Djioleu, A.; Carrier, D.J.; Kim, J.-W. Pretreatments for enhanced enzymatic hydrolysis of pinewood: A review. BioEnergy Res. 2017, 10, 1138–1154. [Google Scholar] [CrossRef]
- Binod, P.; Sindhu, R.; Janu, K.U.; Pandey, A. Hydrolysis of cellulosic and hemicellulosic biomass. In Biofuels: Alternative Feedstocks and Conversion Processes for the Production of Liquid and Gaseous Biofuels; Elsevier: Amsterdam, The Netherlands, 2019; pp. 447–460. [Google Scholar]
- Song, Y.; Cho, E.J.; Park, C.S.; Oh, C.H.; Park, B.-J.; Bae, H.-J. A strategy for sequential fermentation by Saccharomyces cerevisiae and Pichia stipitis in bioethanol production from hardwoods. Renew. Energy 2019, 139, 1281–1289. [Google Scholar] [CrossRef]
- Dey, P.; Pal, P.; Kevin, J.D.; Das, D.B. Lignocellulosic bioethanol production: Prospects of emerging membrane technologies to improve the process—A critical review. Rev. Chem. Eng. 2020, 36, 333–367. [Google Scholar] [CrossRef] [Green Version]
- Alzate, C.C.; Toro, O.S. Energy consumption analysis of integrated flowsheets for production of fuel ethanol from lignocellulosic biomass. Energy 2006, 31, 2447–2459. [Google Scholar] [CrossRef]
- Balat, M. Production of bioethanol from lignocellulosic materials via the biochemical pathway: A review. Energy Convers. Manag. 2011, 52, 858–875. [Google Scholar] [CrossRef]
- Battista, F.; Bolzonella, D. Some critical aspects of the enzymatic hydrolysis at high dry-matter content: A review. Biofuels Bioprod. Biorefin. 2018, 12, 711–723. [Google Scholar] [CrossRef]
- Rai, M.; Ingle, A.P.; Pandit, R.; Paralikar, P.; Biswas, J.K.; da Silva, S.S. Emerging role of nanobiocatalysts in hydrolysis of lignocellulosic biomass leading to sustainable bioethanol production. Catal. Rev. 2019, 61, 1–26. [Google Scholar] [CrossRef]
- Mohamad, N.R.; Marzuki, N.H.C.; Buang, N.A.; Huyop, F.; Wahab, R.A. An overview of technologies for immobilization of enzymes and surface analysis techniques for immobilized enzymes. Biotechnol. Biotechnol. Equip. 2015, 29, 205–220. [Google Scholar] [CrossRef]
- Robak, K.; Balcerek, M. Current state-of-the-art in ethanol production from lignocellulosic feedstocks. Microbiol. Res. 2020, 240, 126534. [Google Scholar] [CrossRef]
- Mussatto, S.I.; Machado, E.M.; Carneiro, L.M.; Teixeira, J.A. Sugars metabolism and ethanol production by different yeast strains from coffee industry wastes hydrolysates. Appl. Energy 2012, 92, 763–768. [Google Scholar] [CrossRef] [Green Version]
- Tayyab, M.; Noman, A.; Islam, W.; Waheed, S.; Arafat, Y.; Ali, F.; Zaynab, M.; Lin, S.; Zhang, H.; Lin, W. Bioethanol production from lignocellulosic biomass by environment-friendly pretreatment methods: A review. Appl. Ecol. Environ. Res. 2018, 16, 225–249. [Google Scholar] [CrossRef]
- Wei, W.; Jin, Y.; Wu, S.; Yuan, Z. Improving corn stover enzymatic saccharification via ferric chloride catalyzed dimethyl sulfoxide pretreatment and various additives. Ind. Crop. Prod. 2019, 140, 111663. [Google Scholar] [CrossRef]
- Raj, K.; Krishnan, C. Improved high solid loading enzymatic hydrolysis of low-temperature aqueous ammonia soaked sugarcane bagasse using laccase-mediator system and high concentration ethanol production. Ind. Crop. Prod. 2019, 131, 32–40. [Google Scholar] [CrossRef]
- Alio, M.A.; Tugui, O.-C.; Rusu, L.; Pons, A.; Vial, C. Hydrolysis and fermentation steps of a pretreated sawmill mixed feedstock for bioethanol production in a wood biorefinery. Bioresour. Technol. 2020, 310, 123412. [Google Scholar] [CrossRef]
- Molaverdi, M.; Karimi, K.; Mirmohamadsadeghi, S. Improvement of dry simultaneous saccharification and fermentation of rice straw to high concentration ethanol by sodium carbonate pretreatment. Energy 2019, 167, 654–660. [Google Scholar] [CrossRef]
- Yu, J.; Xu, Z.; Liu, L.; Chen, S.; Wang, S.; Jin, M. Process integration for ethanol production from corn and corn stover as mixed substrates. Bioresour. Technol. 2019, 279, 10–16. [Google Scholar] [CrossRef] [PubMed]
- Ziegler-Devin, I.; Menana, Z.; Chrusciel, L.; Chalot, M.; Bert, V.; Brosse, N. Steam explosion pretreatment of willow grown on phytomanaged soils for bioethanol production. Ind. Crop. Prod. 2019, 140, 111722. [Google Scholar] [CrossRef]
- Nasirpour, N.; Mousavi, S.M. RSM based optimization of PEG assisted ionic liquid pretreatment of sugarcane bagasse for enhanced bioethanol production: Effect of process parameters. Biomass Bioenergy 2018, 116, 89–98. [Google Scholar] [CrossRef]
- Kossatz, H.L.; Rose, S.H.; Viljoen-Bloom, M.; van Zyl, W.H. Production of ethanol from steam exploded triticale straw in a simultaneous saccharification and fermentation process. Process Biochem. 2017, 53, 10–16. [Google Scholar] [CrossRef]
- Zhu, J.; Chen, L.; Gleisner, R.; Zhu, J. Co-production of bioethanol and furfural from poplar wood via low temperature (≤ 90 C) acid hydrotropic fractionation (AHF). Fuel 2019, 254, 115572. [Google Scholar] [CrossRef]
- Söderström, J.; Pilcher, L.; Galbe, M.; Zacchi, G. Two-step steam pretreatment of softwood by dilute H2SO4 impregnation for ethanol production. Biomass Bioenergy 2003, 24, 475–486. [Google Scholar] [CrossRef]
- Binder, J.B.; Raines, R.T. Fermentable sugars by chemical hydrolysis of biomass. Proc. Natl. Acad. Sci. USA 2010, 107, 4516–4521. [Google Scholar] [CrossRef] [Green Version]
- Yang, S.-T. Bioprocessing for Value-Added Products from Renewable Resources: New Technologies and Applications; Elsevier: Amsterdam, The Netherlands, 2011. [Google Scholar]
- Anon. Wood Engineering Handbook, 2nd ed.; BNI Building News: Los Angles, CA, USA; Anaheim, CA, USA; Washington, DC, USA, 2000. [Google Scholar]
- Candra, K.P.; Kasma, K.; Ismail, I.; Murdianto, W.; Marwati, M.; Yuliani, Y. Optimization method for the bioethanol production from Giant cassava (Manihot esculenta var. Gajah) originated from east Kalimantan. Indones. J. Chem. 2019, 19, 176–182. [Google Scholar] [CrossRef] [Green Version]
- Suresh, T.; Sivarajasekar, N.; Balasubramani, K.; Ahamad, T.; Alam, M.; Naushad, M. Process intensification and comparison of bioethanol production from food industry waste (potatoes) by ultrasonic assisted acid hydrolysis and enzymatic hydrolysis: Statistical modelling and optimization. Biomass Bioenergy 2020, 142, 105752. [Google Scholar] [CrossRef]
- Timung, R.; Naik Deshavath, N.; Goud, V.V.; Dasu, V.V. Effect of subsequent dilute acid and enzymatic hydrolysis on reducing sugar production from sugarcane bagasse and spent citronella biomass. J. Energy 2016, 2016. [Google Scholar] [CrossRef] [Green Version]
- Lenihan, P.; Orozco, A.; O’Neill, E.; Ahmad, M.; Rooney, D.; Walker, G. Dilute acid hydrolysis of lignocellulosic biomass. Chem. Eng. J. 2010, 156, 395–403. [Google Scholar] [CrossRef]
- Den, W.; Sharma, V.K.; Lee, M.; Nadadur, G.; Varma, R.S. Lignocellulosic biomass transformations via greener oxidative pretreatment processes: Access to energy and value-added chemicals. Front. Chem. 2018, 6, 141. [Google Scholar] [CrossRef] [Green Version]
- Shiraki, Y.; Goto, T.; Nonaka, H. Concentrated sulfuric acid hydrolysis of softwood with t-butyl alcohol. Biomass Convers. Biorefin. 2021, 11, 937–941. [Google Scholar] [CrossRef]
- Mankar, A.R.; Pandey, A.; Modak, A.; Pant, K. Pre-treatment of Lignocellulosic Biomass: A Review on Recent Advances. Bioresour. Technol. 2021, 125235. [Google Scholar] [CrossRef]
- Keating, J.D.; Panganiban, C.; Mansfield, S.D. Tolerance and adaptation of ethanologenic yeasts to lignocellulosic inhibitory compounds. Biotechnol. Bioeng. 2006, 93, 1196–1206. [Google Scholar] [CrossRef]
- Landaeta, R.; Aroca, G.; Acevedo, F.; Teixeira, J.A.; Mussatto, S.I. Adaptation of a flocculent Saccharomyces cerevisiae strain to lignocellulosic inhibitors by cell recycle batch fermentation. Appl. Energy 2013, 102, 124–130. [Google Scholar] [CrossRef] [Green Version]
- Matano, Y.; Hasunuma, T.; Kondo, A. Cell recycle batch fermentation of high-solid lignocellulose using a recombinant cellulase-displaying yeast strain for high yield ethanol production in consolidated bioprocessing. Bioresour. Technol. 2013, 135, 403–409. [Google Scholar] [CrossRef]
- Canilha, L.; Chandel, A.K.; Suzane dos Santos Milessi, T.; Antunes, F.A.F.; Luiz da Costa Freitas, W.; das Graças Almeida Felipe, M.; da Silva, S.S. Bioconversion of sugarcane biomass into ethanol: An overview about composition, pretreatment methods, detoxification of hydrolysates, enzymatic saccharification, and ethanol fermentation. J. Biomed. Biotechnol. 2012, 2012. [Google Scholar] [CrossRef]
- Shen, J.; Agblevor, F.A. Modeling semi-simultaneous saccharification and fermentation of ethanol production from cellulose. Biomass Bioenergy 2010, 34, 1098–1107. [Google Scholar] [CrossRef]
- Olguin-Maciel, E.; Singh, A.; Chable-Villacis, R.; Tapia-Tussell, R.; Ruiz, H.A. Consolidated Bioprocessing, an Innovative Strategy towards Sustainability for Biofuels Production from Crop Residues: An Overview. Agronomy 2020, 10, 1834. [Google Scholar] [CrossRef]
- Kongkeitkajorn, M.B.; Sae-Kuay, C.; Reungsang, A. Evaluation of Napier Grass for Bioethanol Production through a Fermentation Process. Processes 2020, 8, 567. [Google Scholar] [CrossRef]
- Akhtar, N.; Goyal, D.; Goyal, A. Characterization of microwave-alkali-acid pre-treated rice straw for optimization of ethanol production via simultaneous saccharification and fermentation (SSF). Energy Convers. Manag. 2017, 141, 133–144. [Google Scholar] [CrossRef]
- Santos, F.; Eichler, P.; de Queiroz, J.H.; Gomes, F. Chapter 11—Production of second-generation ethanol from sugarcane. In Sugarcane Biorefinery, Technology and Perspectives; Santos, F., Rabelo, S.C., De Matos, M., Eichler, P., Eds.; Academic Press: Cambridge, MA, USA, 2020; pp. 195–228. [Google Scholar]
- Slathia, P.S.; Raina, N.; Kiran, A.; Kour, R.; Bhagat, D.; Sharma, P. Dilute acid pretreatment of pine needles of Pinus roxburghii by response surface methodology for bioethanol production by separate hydrolysis and fermentation. Biomass Convers. Biorefin. 2020, 10, 95–106. [Google Scholar] [CrossRef]
- Hans, M.; Kumar, S.; Chandel, A.K.; Polikarpov, I. A review on bioprocessing of paddy straw to ethanol using simultaneous saccharification and fermentation. Process Biochem. 2019, 85, 125–134. [Google Scholar] [CrossRef]
- Khawla, B.J.; Sameh, M.; Imen, G.; Donyes, F.; Dhouha, G.; Raoudha, E.G.; Oumèma, N.-E. Potato peel as feedstock for bioethanol production: A comparison of acidic and enzymatic hydrolysis. Ind. Crop. Prod. 2014, 52, 144–149. [Google Scholar] [CrossRef]
- Thangavelu, S.K.; Rajkumar, T.; Pandi, D.K.; Ahmed, A.S.; Ani, F.N. Microwave assisted acid hydrolysis for bioethanol fuel production from sago pith waste. Waste Manag. 2019, 86, 80–86. [Google Scholar] [CrossRef]
- Tasić, M.B.; Konstantinović, B.V.; Lazić, M.L.; Veljković, V.B. The acid hydrolysis of potato tuber mash in bioethanol production. Biochem. Eng. J. 2009, 43, 208–211. [Google Scholar] [CrossRef]
- Kumoro, A.; Ngoh, G.; Hasan, M.; Ong, C.; Teoh, E. Conversion of fibrous sago (Metroxylon sagu) waste into fermentable sugar via acid and enzymatic hydrolysis. Asian J. Sci. Res. 2008, 1, 412–420. [Google Scholar] [CrossRef]
- Aditiya, H.; Sing, K.; Hanif, M.; Mahlia, T. Effect of acid pretreatment on enzymatic hydrolysis in bioethanol production from rice straw. Int. J. Technol. 2015, 6, 3–10. [Google Scholar] [CrossRef]
- Tadmourt, W.; Khiari, K.; Boulal, A.; Tarabet, L. Waste paper valorization for bioethanol production: Pretreatment and acid hydrolysis optimization. Energy Sources Part A Recovery Util. Environ. Eff. 2020, 1–20. [Google Scholar] [CrossRef]
- Nguyen, Q.A.; Keller, F.A.; Tucker, M.P. Ethanol Production with Dilute Acid Hydrolysis Using Partially Dried Lignocellulosics. U.S. Patent 6,660,506 B2, 9 December 2003. [Google Scholar]
- Prasad, S.; Malav, M.K.; Kumar, S.; Singh, A.; Pant, D.; Radhakrishnan, S. Enhancement of bio-ethanol production potential of wheat straw by reducing furfural and 5-hydroxymethylfurfural (HMF). Bioresour. Technol. Rep. 2018, 4, 50–56. [Google Scholar] [CrossRef]
- El Harchi, M.; Kachkach, F.F.; El Mtili, N. Optimization of thermal acid hydrolysis for bioethanol production from Ulva rigida with yeast Pachysolen tannophilus. S. Afr. J. Bot. 2018, 115, 161–169. [Google Scholar] [CrossRef]
- Heinonen, J.; Tamminen, A.; Uusitalo, J.; Sainio, T. Ethanol production from wood via concentrated acid hydrolysis, chromatographic separation, and fermentation. J. Chem. Technol. Biotechnol. 2012, 87, 689–696. [Google Scholar] [CrossRef]
- Qin, L.; Zhao, X.; Li, W.C.; Zhu, J.-Q.; Liu, L.; Li, B.-Z.; Yuan, Y.-J. Process analysis and optimization of simultaneous saccharification and co-fermentation of ethylenediamine-pretreated corn stover for ethanol production. Biotechnol. Biofuels 2018, 11. [Google Scholar] [CrossRef] [Green Version]
- Bu, J.; Yan, X.; Wang, Y.-T.; Zhu, S.-M.; Zhu, M.-J. Co-production of high-gravity bioethanol and succinic acid from potassium peroxymonosulfate and deacetylation sequentially pretreated sugarcane bagasse by simultaneous saccharification and co-fermentation. Energy Convers. Manag. 2019, 186, 131–139. [Google Scholar] [CrossRef]
- Senila, L.; Kovacs, E.; Scurtu, D.A.; Cadar, O.; Becze, A.; Senila, M.; Levei, E.A.; Dumitras, D.E.; Tenu, I.; Roman, C. Bioethanol Production from Vineyard Waste by Autohydrolysis Pretreatment and Chlorite Delignification via Simultaneous Saccharification and Fermentation. Molecules 2020, 25, 2606. [Google Scholar] [CrossRef]
- Annamalai, N.; Al Battashi, H.; Anu, S.N.; Al Azkawi, A.; Al Bahry, S.; Sivakumar, N. Enhanced Bioethanol Production from Waste Paper Through Separate Hydrolysis and Fermentation. Waste Biomass Valorization 2020, 11, 121–131. [Google Scholar] [CrossRef]
- Su, T.; Zhao, D.; Khodadadi, M.; Len, C. Lignocellulosic biomass for bioethanol: Recent advances, technology trends, and barriers to industrial development. Curr. Opin. Green Sustain. Chem. 2020, 24, 56–60. [Google Scholar] [CrossRef]
- Nguyen, T.H.; Ra, C.H.; Sunwoo, I.Y.; Sukwong, P.; Jeong, G.-T.; Kim, S.-K. Bioethanol Production from Soybean Residue via Separate Hydrolysis and Fermentation. Appl. Biochem. Biotechnol. 2018, 184, 513–523. [Google Scholar] [CrossRef]
- Chow, T.-J.; Su, H.-Y.; Tsai, T.-Y.; Chou, H.-H.; Lee, T.-M.; Chang, J.-S. Using recombinant cyanobacterium (Synechococcus elongatus) with increased carbohydrate productivity as feedstock for bioethanol production via separate hydrolysis and fermentation process. Bioresour. Technol. 2015, 184, 33–41. [Google Scholar] [CrossRef]
- Singh, N.; Mathur, A.S.; Gupta, R.P.; Barrow, C.J.; Tuli, D.; Puri, M. Enhanced cellulosic ethanol production via consolidated bioprocessing by Clostridium thermocellum ATCC 31924. Bioresour. Technol. 2018, 250, 860–867. [Google Scholar] [CrossRef]
- De Araujo Guilherme, A.; Dantas, P.V.F.; Padilha, C.E.D.A.; Dos Santos, E.S.; De Macedo, G.R. Ethanol production from sugarcane bagasse: Use of different fermentation strategies to enhance an environmental-friendly process. J. Environ. Manag. 2019, 234, 44–51. [Google Scholar] [CrossRef]
- Zheng, T.; Yu, H.; Liu, S.; Jiang, J.; Wang, K. Achieving high ethanol yield by co-feeding corncob residues and tea-seed cake at high-solids simultaneous saccharification and fermentation. Renew. Energy 2020, 145, 858–866. [Google Scholar] [CrossRef]
- Phwan, C.K.; Ong, H.C.; Chen, W.-H.; Ling, T.C.; Ng, E.P.; Show, P.L. Overview: Comparison of pretreatment technologies and fermentation processes of bioethanol from microalgae. Energy Convers. Manag. 2018, 173, 81–94. [Google Scholar] [CrossRef]
- Mohapatra, S.; Mishra, C.; Behera, S.S.; Thatoi, H. Application of pretreatment, fermentation and molecular techniques for enhancing bioethanol production from grass biomass—A review. Renew. Sustain. Energy Rev. 2017, 78, 1007–1032. [Google Scholar] [CrossRef]
- Park, S.H.; Pham, T.T.H.; Kim, T.H. Effects of Additional Xylanase on Saccharification and Ethanol Fermentation of Ammonia-Pretreated Corn Stover and Rice Straw. Energies 2020, 13, 4574. [Google Scholar] [CrossRef]
- Wang, Z.; Dien, B.S.; Rausch, K.D.; Tumbleson, M.E.; Singh, V. Improving ethanol yields with deacetylated and two-stage pretreated corn stover and sugarcane bagasse by blending commercial xylose-fermenting and wild type Saccharomyces yeast. Bioresour. Technol. 2019, 282, 103–109. [Google Scholar] [CrossRef]
- Salapa, I.; Katsimpouras, C.; Topakas, E.; Sidiras, D. Organosolv pretreatment of wheat straw for efficient ethanol production using various solvents. Biomass Bioenergy 2017, 100, 10–16. [Google Scholar] [CrossRef]
- Malik, K.; Salama, E.-S.; El-Dalatony, M.M.; Jalalah, M.; Harraz, F.A.; Al-Assiri, M.; Zheng, Y.; Sharma, P.; Li, X. Co-fermentation of immobilized yeasts boosted bioethanol production from pretreated cotton stalk lignocellulosic biomass: Long-term investigation. Ind. Crop. Prod. 2021, 159, 113122. [Google Scholar] [CrossRef]
- Silva, V.F.; Nakanishi, S.C.; Dionísio, S.R.; Rossell, C.E.; Ienczak, J.L.; Gonçalves, A.R.; Rocha, G.J. Using cell recycling batch fermentations to validate a setup for cellulosic ethanol production. J. Chem. Technol. Biotechnol. 2016, 91, 1853–1859. [Google Scholar] [CrossRef]
- El-Dalatony, M.M.; Kurade, M.B.; Abou-Shanab, R.A.; Kim, H.; Salama, E.-S.; Jeon, B.-H. Long-term production of bioethanol in repeated-batch fermentation of microalgal biomass using immobilized Saccharomyces cerevisiae. Bioresour. Technol. 2016, 219, 98–105. [Google Scholar] [CrossRef]
- Nguyen, T.Y.; Cai, C.M.; Osman, O.; Kumar, R.; Wyman, C.E. CELF pretreatment of corn stover boosts ethanol titers and yields from high solids SSF with low enzyme loadings. Green Chem. 2016, 18, 1581–1589. [Google Scholar] [CrossRef]
- Hama, S.; Kihara, M.; Noda, H.; Kondo, A. Development of cell recycle technology incorporating nutrient supplementation for lignocellulosic ethanol fermentation using industrial yeast Saccharomyces cerevisiae. Biochem. Eng. J. 2018, 137, 23–29. [Google Scholar] [CrossRef]
- Fan, C.; Qi, K.; Xia, X.-X.; Zhong, J.-J. Efficient ethanol production from corncob residues by repeated fermentation of an adapted yeast. Bioresour. Technol. 2013, 136, 309–315. [Google Scholar] [CrossRef] [PubMed]
- Ma, K.; Ruan, Z.; Shui, Z.; Wang, Y.; Hu, G.; He, M. Open fermentative production of fuel ethanol from food waste by an acid-tolerant mutant strain of Zymomonas mobilis. Bioresour. Technol. 2016, 203, 295–302. [Google Scholar] [CrossRef]
- Neves, P.; Pitarelo, A.; Ramos, L. Production of cellulosic ethanol from sugarcane bagasse by steam explosion: Effect of extractives content, acid catalysis and different fermentation technologies. Bioresour. Technol. 2016, 208, 184–194. [Google Scholar] [CrossRef] [PubMed]
- De Barros, E.M.; Carvalho, V.M.; Rodrigues, T.H.S.; Rocha, M.V.P.; Gonçalves, L.R.B. Comparison of strategies for the simultaneous saccharification and fermentation of cashew apple bagasse using a thermotolerant Kluyveromyces marxianus to enhance cellulosic ethanol production. Chem. Eng. J. 2017, 307, 939–947. [Google Scholar] [CrossRef]
- Saha, P.; Baishnab, A.C.; Alam, F.; Khan, M.R.; Islam, A. Production of Bio-fuel (Bio-ethanol) from Biomass (Pteris) by Fermentation Process with Yeast. Procedia Eng. 2014, 90, 504–509. [Google Scholar] [CrossRef] [Green Version]
- Joannis-Cassan, C.; Riess, J.; Jolibert, F.; Taillandier, P. Optimization of very high gravity fermentation process for ethanol production from industrial sugar beet syrup. Biomass Bioenergy 2014, 70, 165–173. [Google Scholar] [CrossRef] [Green Version]
- Torli, M.; Geer, L.; Kontogeorgis, G.M.; Fosbøl, P.L. Benchmarking of Separation Methods for Bioethanol (<5 wt %) Recovery. Ind. Eng. Chem. Res. 2021, 60, 5924–5944. [Google Scholar] [CrossRef]
- Kumar, S.; Singh, N.; Prasad, R. Anhydrous ethanol: A renewable source of energy. Renew. Sustain. Energy Rev. 2010, 14, 1830–1844. [Google Scholar] [CrossRef]
- Hajinezhad, A.; Lak, M.; Alimoradiyan, H. Optimum energy analysis of separation and purification units for bioethanol production by the use of lignocellulose feedstock. Int. J. Energy Res. 2021. [Google Scholar] [CrossRef]
- Huang, H.-J.; Ramaswamy, S.; Tschirner, U.; Ramarao, B. A review of separation technologies in current and future biorefineries. Sep. Purif. Technol. 2008, 62, 1–21. [Google Scholar] [CrossRef]
- Vane, L.M. Separation technologies for the recovery and dehydration of alcohols from fermentation broths. Biofuels Bioprod. Biorefin. 2008, 2, 553–588. [Google Scholar] [CrossRef]
- Frolkova, A.; Raeva, V. Bioethanol dehydration: State of the art. Theor. Found. Chem. Eng. 2010, 44, 545–556. [Google Scholar] [CrossRef]
- Kaibel, B.; Jansen, H.; Zich, E.; Olujic, Z. Unfixed dividing wall technology for packed and tray distillation columns. Distill. Absorpt. 2006, 152, 252–266. [Google Scholar]
- Baker, R.W. Membrane Technology and Applications; John Wiley & Sons: Hoboken, NJ, USA, 2012. [Google Scholar]
- Khalid, A.; Aslam, M.; Qyyum, M.A.; Faisal, A.; Khan, A.L.; Ahmed, F.; Lee, M.; Kim, J.; Jang, N.; Chang, I.S. Membrane separation processes for dehydration of bioethanol from fermentation broths: Recent developments, challenges, and prospects. Renew. Sustain. Energy Rev. 2019, 105, 427–443. [Google Scholar] [CrossRef]
- Morales, M.; Arvesen, A.; Cherubini, F. Integrated process simulation for bioethanol production: Effects of varying lignocellulosic feedstocks on technical performance. Bioresour. Technol. 2021, 328, 124833. [Google Scholar] [CrossRef] [PubMed]
- Chong, T.Y.; Cheah, S.A.; Ong, C.T.; Wong, L.Y.; Goh, C.R.; Tan, I.S.; Foo, H.C.Y.; Lam, M.K.; Lim, S. Techno-economic evaluation of third-generation bioethanol production utilizing the macroalgae waste: A case study in Malaysia. Energy 2020, 210, 118491. [Google Scholar] [CrossRef]
- Devi, A.; Niazi, A.; Ramteke, M.; Upadhyayula, S. Techno-economic analysis of ethanol production from lignocellulosic biomass—A comparison of fermentation, thermo catalytic, and chemocatalytic technologies. Bioprocess Biosyst. Eng. 2021, 44, 1093–1107. [Google Scholar] [CrossRef]
- Soleymani Angili, T.; Grzesik, K.; Rödl, A.; Kaltschmitt, M. Life Cycle Assessment of Bioethanol Production: A Review of Feedstock, Technology and Methodology. Energies 2021, 14, 2939. [Google Scholar] [CrossRef]
- Lu, J.; Song, F.; Liu, H.; Chang, C.; Cheng, Y.; Wang, H. Production of high concentration bioethanol from reed by combined liquid hot water and sodium carbonate-oxygen pretreatment. Energy 2021, 217, 119332. [Google Scholar] [CrossRef]
- Zheng, X.; Xian, X.; Hu, L.; Tao, S.; Zhang, X.; Liu, Y.; Lin, X. Efficient short-time hydrothermal depolymerization of sugarcane bagasse in one-pot for cellulosic ethanol production without solid-liquid separation, water washing, and detoxification. Bioresour. Technol. 2021, 339, 125575. [Google Scholar] [CrossRef] [PubMed]
- Chen, J.; Zhang, B.; Luo, L.; Zhang, F.; Yi, Y.; Shan, Y.; Liu, B.; Zhou, Y.; Wang, X.; Lü, X. A review on recycling techniques for bioethanol production from lignocellulosic biomass. Renew. Sustain. Energy Rev. 2021, 149, 111370. [Google Scholar] [CrossRef]
- Al-Sabagh, A.M.; Yehia, F.Z.; Eshaq, G.; Rabie, A.M.; ElMetwally, A.E. Greener routes for recycling of polyethylene terephthalate. Egypt. J. Pet. 2016, 25, 53–64. [Google Scholar] [CrossRef] [Green Version]
- Damayanti; Wu, H.S. Strategic Possibility Routes of Recycled PET. Polymers 2021, 13, 1475. [Google Scholar] [CrossRef]
- Ubeda, S.; Aznar, M.; Nerín, C. Determination of oligomers in virgin and recycled polyethylene terephthalate (PET) samples by UPLC-MS-QTOF. Anal. Bioanal. Chem. 2018, 410, 2377–2384. [Google Scholar] [CrossRef]
- Li, B.; Wang, Z.-W.; Lin, Q.-B.; Hu, C.-Y. Study of the Migration of Stabilizer and Plasticizer from Polyethylene Terephthalate into Food Simulants. J. Chromatogr. Sci. 2016, 54, 939–951. [Google Scholar] [CrossRef] [Green Version]
- Kumartasli, S.; Avinc, O. Important Step in Sustainability: Polyethylene Terephthalate Recycling and the Recent Developments. Sustain. Text. 2020, 1, 1–19. [Google Scholar] [CrossRef]
- Shen, L.; Worrell, E.; Patel, M.K. Open-loop recycling: A LCA case study of PET bottle-to-fibre recycling. Resour. Conserv. Recycl. 2010, 55, 34–52. [Google Scholar] [CrossRef]
- Bioplastics, E. Bioplastic Market Data. Available online: https://docs.european-bioplastics.org/publications/EUBP_Bioplastics_market_data_report_2016.pdf (accessed on 20 August 2021).
- Shen, L.; Worrell, E.; Patel, M.K. Comparing life cycle energy and GHG emissions of bio-based PET, recycled PET, PLA, and man-made cellulosics. Biofuels Bioprod. Biorefin. 2012, 6, 625–639. [Google Scholar] [CrossRef]
- Salazar Hernandez, D.A. Chemistry and Chemical Engineering Process for Making PET from Bio Based Monomers; University of Toledo: Toledo, OH, USA, 2015. [Google Scholar]
- Peters, M.W.; Taylor, J.D.; Jenni, M.; Manzer, L.E.; Henton, D.E. Integrated Process to Selectively Convert Renewable Isobutanol to p-Xylene. United States Patent Application Publication U.S. 2011/0087000 A1, 14 April 2011. [Google Scholar]
- Scientific Design Company Inc. Renewable Ethylene, Ethylene Oxide & Ethylene Glycol. Available online: https://www.scidesign.com/?s=bio+ETHYLENE+GLYCOL (accessed on 14 July 2021).
- Voet, V.; Jager, J.; Folkersma, R. Plastics in the Circular Economy; De Gruyter: Berlin, Germany; Boston, MA, USA, 2021; ISBN 9783110666762. [Google Scholar]
- Group, T. 2012 Teijin Group CSR Report. Available online: https://www.teijin.com/csr/report/pdf/csr_12_en_all.pdf (accessed on 14 July 2021).
- Reddy, M.M.; Vivekanandhan, S.; Misra, M.; Bhatia, S.K.; Mohanty, A.K. Biobased plastics and bionanocomposites: Current status and future opportunities. Prog. Polym. Sci. 2013, 38, 1653–1689. [Google Scholar] [CrossRef]
- Far Eastern New Century Corporation. Bio PET Filament. Available online: https://industry.fenc.com/fiber_product.aspx?lang=en&id=61 (accessed on 20 August 2021).
- Indorama. Indorama Ventures Sustainability Report 2017. Available online: https://www.indoramaventures.com/storage/sustain/report/en/2017-sustainability-report.pdf (accessed on 14 July 2021).
- Volanti, M.; Cespi, D.; Passarini, F.; Neri, E.; Cavani, F.; Mizsey, P.; Fozer, D. Terephthalic acid from renewable sources: Early-stage sustainability analysis of a bio-PET precursor. Green Chem. 2019, 21, 885–896. [Google Scholar] [CrossRef]
- Rebsdat, S.; Mayer, D. Ethylene oxide. In Ullmann’s Encyclopedia of Industrial Chemistry; Wiley-VCH Verlag GmbH & Co. KGaA: Weinheim, Germany, 2000; ISBN 9783527306732. [Google Scholar]
- Gubbels, E.; Heitz, T.; Yamamoto, M.; Chilekar, V.; Zarbakhsh, S.; Gepraegs, M.; Köpnick, H.; Schmidt, M.; Brügging, W.; Rüter, J. Polyesters; Wiley-VCH Verlag GmbH & Co. KGaA: Weinheim, Germany, 2000; pp. 1–30. [Google Scholar]
- McKechnie, J.; Pourbafrani, M.; Saville, B.A.; MacLean, H.L. Environmental and financial implications of ethanol as a bioethylene feedstock versus as a transportation fuel. Environ. Res. Lett. 2015, 10, 124018. [Google Scholar] [CrossRef]
- Zacharopoulou, V.; Lemonidou, A.A. Olefins from biomass intermediates: A review. Catalysts 2018, 8, 2. [Google Scholar] [CrossRef] [Green Version]
- Mendieta, C.M.; Vallejos, M.E.; Felissia, F.E.; Chinga-Carrasco, G.; Area, M.C. Bio-polyethylene from wood wastes. J. Polym. Environ. 2020, 28, 1–16. [Google Scholar] [CrossRef]
- Morschbacker, A. Bio-ethanol based ethylene. J. Macromol. Sci. Part C Polym. Rev. 2009, 49, 79–84. [Google Scholar] [CrossRef]
- Mohsenzadeh, A.; Zamani, A.; Taherzadeh, M.J. Bioethylene production from ethanol: A review and techno-economical evaluation. ChemBioEng Rev. 2017, 4, 75–91. [Google Scholar] [CrossRef] [Green Version]
- Fadzil, N.A.M.; Rahim, M.H.A.; Maniam, G.P. A brief review of para-xylene oxidation to terephthalic acid as a model of primary C–H bond activation. Chin. J. Catal. 2014, 35, 1641–1652. [Google Scholar] [CrossRef]
- Tibbetts, J.D.; Russo, D.; Lapkin, A.A.; Bull, S.D. Efficient Syntheses of Biobased Terephthalic Acid, p-Toluic Acid, and p-Methylacetophenone via One-Pot Catalytic Aerobic Oxidation of Monoterpene Derived Bio-p-cymene. ACS Sustain. Chem. Eng. 2021, 9, 8642–8652. [Google Scholar] [CrossRef]
- Zhang, M.; Yu, Y. Dehydration of ethanol to ethylene. Ind. Eng. Chem. Res. 2013, 52, 9505–9514. [Google Scholar] [CrossRef]
- Ciftci, A.; Varisli, D.; Tokay, K.C.; Sezgi, N.A.; Dogu, T. Dimethyl ether, diethyl ether & ethylene from alcohols over tungstophosphoric acid based mesoporous catalysts. Chem. Eng. J. 2012, 207, 85–93. [Google Scholar] [CrossRef]
- Krutpijit, C.; Tochaeng, P.; Jongsomjit, B. Temperature and ethanol concentration effects on catalytic ethanol dehydration behaviors over alumina-spherical silica particle composite catalysts. Catal. Commun. 2020, 145, 106102. [Google Scholar] [CrossRef]
- Vondrová, P.; Tišler, Z.; Kocík, J.; de Paz Carmona, H.; Murat, M. Comparison of doped ZSM-5 and ferrierite catalysts in the dehydration of bioethanol to ethylene in a flow reactor. React. Kinet. Mech. Catal. 2021, 132, 449–462. [Google Scholar] [CrossRef]
- Hu, Y.; Zhan, N.; Dou, C.; Huang, H.; Han, Y.; Yu, D.; Hu, Y. Selective dehydration of bio-ethanol to ethylene catalyzed by lanthanum-phosphorous-modified HZSM-5: Influence of the fusel. Biotechnol. J. 2010, 5, 1186–1191. [Google Scholar] [CrossRef] [PubMed]
- Fan, D.; Dai, D.-J.; Wu, H.-S. Ethylene formation by catalytic dehydration of ethanol with industrial considerations. Materials 2013, 6, 101–115. [Google Scholar] [CrossRef] [Green Version]
- Niu, P.; Ren, X.; Xiong, D.; Ding, S.; Li, Y.; Wei, Z.; Chen, X. Synthesis of Highly Selective and Stable Co-Cr/SAPO-34 Catalyst for the Catalytic Dehydration of Ethanol to Ethylene. Catalysts 2020, 10, 785. [Google Scholar] [CrossRef]
- Chen, G.; Li, S.; Jiao, F.; Yuan, Q. Catalytic dehydration of bioethanol to ethylene over TiO2/γ-Al2O3 catalysts in microchannel reactors. Catal. Today 2007, 125, 111–119. [Google Scholar] [CrossRef]
- Varisli, D.; Dogu, T.; Dogu, G. Silicotungstic acid impregnated MCM-41-like mesoporous solid acid catalysts for dehydration of ethanol. Ind. Eng. Chem. Res. 2008, 47, 4071–4076. [Google Scholar] [CrossRef]
- Adkins, H.; Perkins, P.P. Dehydration of alcohols over alumina. J. Am. Chem. Soc. 1925, 47, 1163–1167. [Google Scholar] [CrossRef]
- Schenk, N.J.; Biesbroek, A.; Heeres, A.; Heeres, H.J. Process for the Preparation of Aromatic Compounds. WO2015047085, 2 April 2015. [Google Scholar]
- Nakajima, H.; Dijkstra, P.; Loos, K. The recent developments in biobased polymers toward general and engineering applications: Polymers that are upgraded from biodegradable polymers, analogous to petroleum-derived polymers, and newly developed. Polymers 2017, 9, 523. [Google Scholar] [CrossRef] [PubMed]
- Wendisch, V.F.; Kim, Y.; Lee, J.-H. Chemicals from lignin: Recent depolymerization techniques and upgrading extended pathways. Curr. Opin. Green Sustain. Chem. 2018, 14, 33–39. [Google Scholar] [CrossRef]
- Damayanti, D.; Wulandari, Y.R.; Wu, H.-S. Product Distribution of Chemical Product Using Catalytic Depolymerization of Lignin. Bull. Chem. React. Eng. Catal. 2020, 15, 432–453. [Google Scholar] [CrossRef]
- Settle, A.E.; Berstis, L.; Rorrer, N.A.; Roman-Leshkóv, Y.; Beckham, G.T.; Richards, R.M.; Vardon, D.R. Heterogeneous Diels–Alder catalysis for biomass-derived aromatic compounds. Green Chem. 2017, 19, 3468–3492. [Google Scholar] [CrossRef]
- Bai, Z.; Phuan, W.C.; Ding, J.; Heng, T.H.; Luo, J.; Zhu, Y. Production of terephthalic acid from lignin-based phenolic acids by a cascade fixed-bed process. ACS Catal. 2016, 6, 6141–6145. [Google Scholar] [CrossRef]
- Song, S.; Zhang, J.; Gözaydın, G.; Yan, N. Production of terephthalic acid from corn stover lignin. Angew. Chem. 2019, 131, 4988–4991. [Google Scholar] [CrossRef] [Green Version]
- Salvador, M.; Abdulmutalib, U.; Gonzalez, J.; Kim, J.; Smith, A.A.; Faulon, J.-L.; Wei, R.; Zimmermann, W.; Jimenez, J.I. Microbial genes for a circular and sustainable bio-PET economy. Genes 2019, 10, 373. [Google Scholar] [CrossRef] [Green Version]
Publisher’s Note: MDPI stays neutral with regard to jurisdictional claims in published maps and institutional affiliations. |
© 2021 by the authors. Licensee MDPI, Basel, Switzerland. This article is an open access article distributed under the terms and conditions of the Creative Commons Attribution (CC BY) license (https://creativecommons.org/licenses/by/4.0/).





