PHB Processability and Property Improvement with Linear-Chain Polyester Oligomers Used as Plasticizers
Abstract
1. Introduction
2. Materials and Methods
2.1. Materials
2.2. X-ray Photoelectron Spectroscopy
2.3. Preparation of Plasticized PHB
2.4. Thermal Characterization
2.5. Crystalline Morphology
2.6. X-ray Diffraction (XRD) Analysis
2.7. Mechanical Properties
3. Results and Discussion
3.1. Structure of the Polyesters
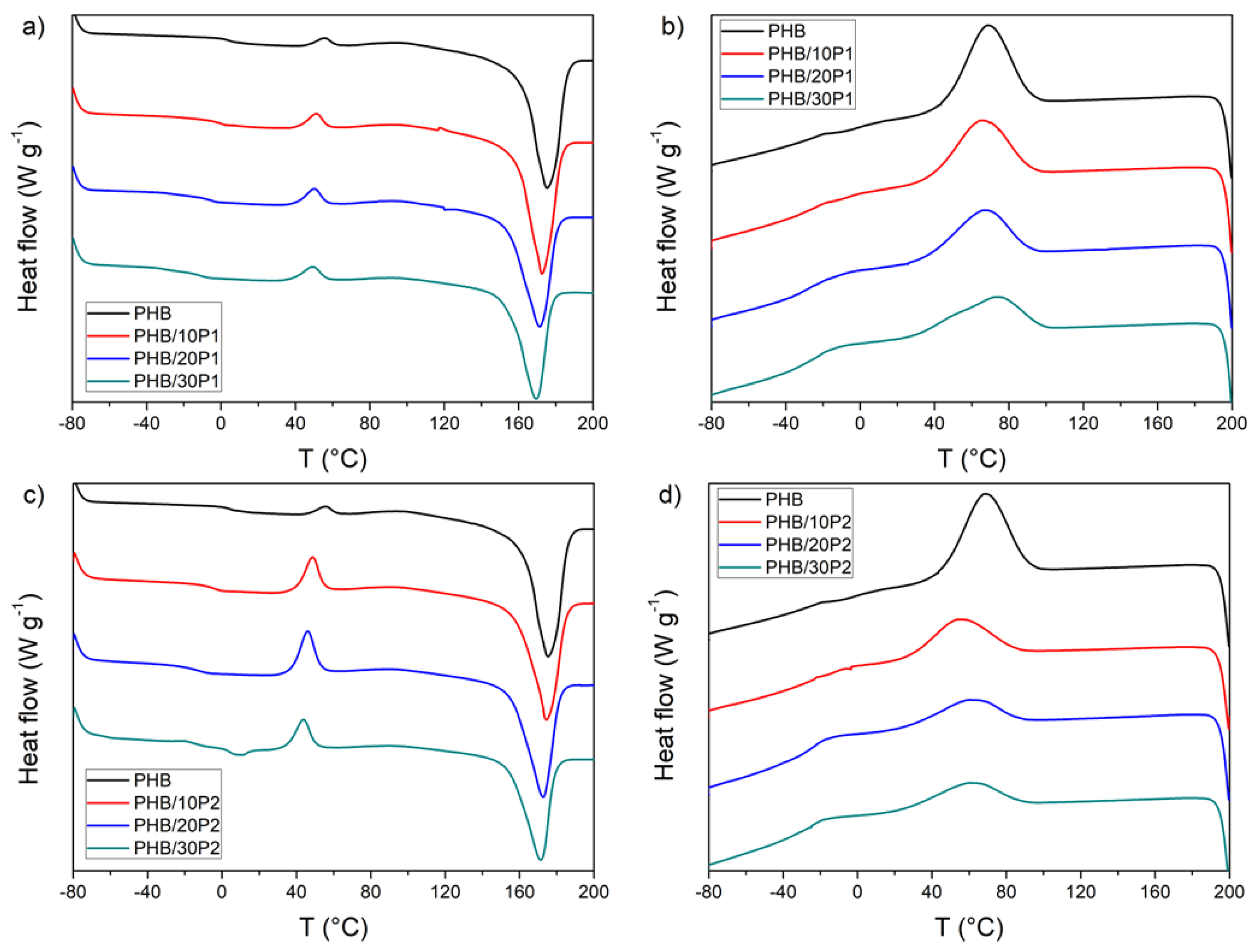
3.2. Thermal Properties
3.3. Morphology
3.4. Crystalline Structure
3.5. Mechanical Behavior
4. Conclusions
Author Contributions
Funding
Institutional Review Board Statement
Data Availability Statement
Acknowledgments
Conflicts of Interest
References
- Statista Market Volume Share of Plastics Worldwide in 2019 and 2030 by Feedstock Type. Available online: www.statista.com/statistics/1135484/market-volume-share-plastics-worldwide-by-feedstock (accessed on 19 August 2022).
- Thompson, R.C.; Moore, C.J.; vom Saal, F.S.; Swan, S.H. Plastics, the Environment and Human Health: Current Consensus and Future Trends. Philos. Trans. R. Soc. B Biol. Sci. 2009, 364, 2153–2166. [Google Scholar] [CrossRef] [PubMed]
- Antonino, L.D.; Gouveia, J.R.; de Sousa Júnior, R.R.; Garcia, G.E.S.; Gobbo, L.C.; Tavares, L.B.; dos Santos, D.J. Reactivity of Aliphatic and Phenolic Hydroxyl Groups in Kraft Lignin towards 4,4′ MDI. Molecules 2021, 26, 2131. [Google Scholar] [CrossRef] [PubMed]
- Gouveia, J.R.; de Sousa Júnior, R.R.; Ribeiro, A.O.; Saraiva, S.A.; dos Santos, D.J. Effect of Soft Segment Molecular Weight and NCO:OH Ratio on Thermomechanical Properties of Lignin-Based Thermoplastic Polyurethane Adhesive. Eur. Polym. J. 2020, 131, 109690. [Google Scholar] [CrossRef]
- Bucci, D.Z.; Tavares, L.B.B.; Sell, I. Biodegradation and Physical Evaluation of PHB Packaging. Polym. Test. 2007, 26, 908–915. [Google Scholar] [CrossRef]
- Markl, E.; Grünbichler, H.; Lackner, M. PHB—Bio Based and Biodegradable Replacement for PP: A Review. Nov. Tech. Nutr. Food Sci. 2018, 2, 206–209. [Google Scholar] [CrossRef]
- Râpă, M.; Darie-Niţă, R.N.; Grosu, E.; Tănase, E.E.; Trifoi, A.R.; Papa, T.; Vasile, C. Effect of Plasticizers on Melt Processability and Properties of PHB. J. Optoelectron. Adv. Mater 2015, 17, 1778–1784. [Google Scholar]
- Sharma, V.; Sehgal, R.; Gupta, R. Polyhydroxyalkanoate (PHA): Properties and Modifications. Polymer 2021, 212, 123161. [Google Scholar] [CrossRef]
- Kamravamanesh, D.; Kovacs, T.; Pflügl, S.; Druzhinina, I.; Kroll, P.; Lackner, M.; Herwig, C. Increased Poly-β-Hydroxybutyrate Production from Carbon Dioxide in Randomly Mutated Cells of Cyanobacterial Strain Synechocystis Sp. PCC 6714: Mutant Generation and Characterization. Bioresour. Technol. 2018, 266, 34–44. [Google Scholar] [CrossRef] [PubMed]
- Kamravamanesh, D.; Slouka, C.; Limbeck, A.; Lackner, M.; Herwig, C. Increased Carbohydrate Production from Carbon Dioxide in Randomly Mutated Cells of Cyanobacterial Strain Synechocystis Sp. PCC 6714: Bioprocess Understanding and Evaluation of Productivities. Bioresour. Technol. 2019, 273, 277–287. [Google Scholar] [CrossRef] [PubMed]
- Lackner, M.; Drew, D.; Bychkova, V.; Mustakhimov, I. Value-Added Products from Natural Gas Using Fermentation Processes: Fermentation of Natural Gas as Valorization Route, Part 1. In Natural Gas—New Perspectives and Future Developments; IntechOpen: London, UK, 2022. [Google Scholar]
- Lackner, M.; Drew, D.; Bychkova, V.; Mustakhimov, I. Value-Added Products from Natural Gas Using Fermentation Processes: Products from Natural Gas Using Fermentation Processes, Part 2. In Natural Gas—New Perspectives and Future Developments; IntechOpen: London, UK, 2022. [Google Scholar]
- Darie-Niță, R.N.; Râpă, M.; Frąckowiak, S. Special Features of Polyester-Based Materials for Medical Applications. Polymers 2022, 14, 951. [Google Scholar] [CrossRef] [PubMed]
- Narancic, T.; Cerrone, F.; Beagan, N.; O’Connor, K.E. Recent Advances in Bioplastics: Application and Biodegradation. Polymers 2020, 12, 920. [Google Scholar] [CrossRef]
- Popa, M.S.; Frone, A.N.; Panaitescu, D.M. Polyhydroxybutyrate Blends: A Solution for Biodegradable Packaging? Int. J. Biol. Macromol. 2022, 207, 263–277. [Google Scholar] [CrossRef] [PubMed]
- Verlinden, R.A.J.; Hill, D.J.; Kenward, M.A.; Williams, C.D.; Radecka, I. Bacterial Synthesis of Biodegradable Polyhydroxyalkanoates. J. Appl. Microbiol. 2007, 102, 1437–1449. [Google Scholar] [CrossRef]
- Mekonnen, T.; Mussone, P.; Khalil, H.; Bressler, D. Progress in Bio-Based Plastics and Plasticizing Modifications. J. Mater. Chem. A 2013, 1, 13379. [Google Scholar] [CrossRef]
- Weinmann, S.; Bonten, C. Thermal and Rheological Properties of Modified Polyhydroxybutyrate (PHB). Polym. Eng. Sci. 2019, 59, 1057–1064. [Google Scholar] [CrossRef]
- Seoane, I.T.; Manfredi, L.B.; Cyras, V.P. Effect of Two Different Plasticizers on the Properties of Poly(3-Hydroxybutyrate) Binary and Ternary Blends. J. Appl. Polym. Sci. 2018, 135, 46016. [Google Scholar] [CrossRef]
- Lee, M.S.; Park, W.H. Compatibility and Thermal Properties of Poly(3-Hydroxybutyrate)/Poly(Glycidyl Methacrylate) Blends. J. Polym. Sci. Part A Polym. Chem. 2002, 40, 351–358. [Google Scholar] [CrossRef]
- Godwin, A.D. Plasticizers. In Applied Polymer Science: 21st Century; Elsevier: Amsterdam, The Netherlands, 2000; pp. 157–175. [Google Scholar]
- Umemura, R.T.; Felisberti, M.I. Plasticization of Poly(3-hydroxybutyrate) with Triethyl Citrate: Thermal and Mechanical Properties, Morphology, and Kinetics of Crystallization. J. Appl. Polym. Sci. 2021, 138, 49990. [Google Scholar] [CrossRef]
- Savenkova, L.; Gercberga, Z.; Nikolaeva, V.; Dzene, A.; Bibers, I.; Kalnin, M. Mechanical Properties and Biodegradation Characteristics of PHB-Based Films. Process Biochem. 2000, 35, 573–579. [Google Scholar] [CrossRef]
- Panaitescu, D.M.; Nicolae, C.A.; Frone, A.N.; Chiulan, I.; Stanescu, P.O.; Draghici, C.; Iorga, M.; Mihailescu, M. Plasticized Poly(3-Hydroxybutyrate) with Improved Melt Processing and Balanced Properties. J. Appl. Polym. Sci. 2017, 134, 44810. [Google Scholar] [CrossRef]
- Nosal, H.; Moser, K.; Warzała, M.; Holzer, A.; Stańczyk, D.; Sabura, E. Selected Fatty Acids Esters as Potential PHB-V Bioplasticizers: Effect on Mechanical Properties of the Polymer. J. Polym. Environ. 2021, 29, 38–53. [Google Scholar] [CrossRef]
- Jost, V.; Langowski, H.-C. Effect of Different Plasticisers on the Mechanical and Barrier Properties of Extruded Cast PHBV Films. Eur. Polym. J. 2015, 68, 302–312. [Google Scholar] [CrossRef]
- Choi, J.S.; Park, W.H. Effect of Biodegradable Plasticizers on Thermal and Mechanical Properties of Poly(3-Hydroxybutyrate). Polym. Test. 2004, 23, 455–460. [Google Scholar] [CrossRef]
- Frone, A.N.; Nicolae, C.A.; Eremia, M.C.; Tofan, V.; Ghiurea, M.; Chiulan, I.; Radu, E.; Damian, C.M.; Panaitescu, D.M. Low Molecular Weight and Polymeric Modifiers as Toughening Agents in Poly(3-Hydroxybutyrate) Films. Polymers 2020, 12, 2446. [Google Scholar] [CrossRef]
- Mochizuki, M.; Hirami, M. Structural Effects on Biodegradation of Aliphatic Polyesters. Polym. Adv. Technol. 1997, 8, 203–209. [Google Scholar] [CrossRef]
- Tsai, C.-J.; Chang, W.-C.; Chen, C.-H.; Lu, H.-Y.; Chen, M. Synthesis and Characterization of Polyesters Derived from Succinic Acid, Ethylene Glycol and 1,3-Propanediol. Eur. Polym. J. 2008, 44, 2339–2347. [Google Scholar] [CrossRef]
- Lackner, M.; Kamravamanesh, D.; Krampl, M.; Itzinger, R.; Paulik, C.; Chodak, I.; Herwig, C. Characterization of Photosynthetically Synthesized Poly(3-Hydroxybutyrate) Using a Randomly Mutated Strain of Synechocystis Sp. PCC 6714. Int. J. Biobased Plast. 2019, 1, 48–59. [Google Scholar] [CrossRef]
- Scofield, J.H. Hartree-Slater Subshell Photoionization Cross-Sections at 1254 and 1487 EV. J. Electron Spectros. Relat. Phenomena 1976, 8, 129–137. [Google Scholar] [CrossRef]
- Chiulan, I.; Mihaela Panaitescu, D.; Nicoleta Frone, A.; Teodorescu, M.; Andi Nicolae, C.; Căşărică, A.; Tofan, V.; Sălăgeanu, A. Biocompatible Polyhydroxyalkanoates/Bacterial Cellulose Composites: Preparation, Characterization, and in Vitro Evaluation. J. Biomed. Mater. Res. Part A 2016, 104, 2576–2584. [Google Scholar] [CrossRef]
- Ito, N.M.; Antunes, R.A.; Teixeira, F.D.S.; Salvadori, M.C.; Santos, D.J.D. The Peeling Resistance of Flexible Laminated Food Packaging: Roles of the NCO:OH Ratio and Aluminum Surface Aging Times. J. Adhes. 2018, 94, 784–798. [Google Scholar] [CrossRef]
- Tang, J.; Zhang, Z.; Song, Z.; Chen, L.; Hou, X.; Yao, K. Synthesis and Characterization of Elastic Aliphatic Polyesters from Sebacic Acid, Glycol and Glycerol. Eur. Polym. J. 2006, 42, 3360–3366. [Google Scholar] [CrossRef]
- Vickerman, J.C.; Gilmore, I.S. Surface Analysis: The Principal Techniques; John Wiley & Sons Ltd.: Hoboken, NJ, USA, 2009. [Google Scholar]
- Barbosa, J.L.; Perin, G.B.; Felisberti, M.I. Plasticization of Poly(3-Hydroxybutyrate- Co -3-Hydroxyvalerate) with an Oligomeric Polyester: Miscibility and Effect of the Microstructure and Plasticizer Distribution on Thermal and Mechanical Properties. ACS Omega 2021, 6, 3278–3290. [Google Scholar] [CrossRef] [PubMed]
- Bibers, I.; Tupureina, V.; Dzene, A.; Kalnins, M. Improvement of the Deformative Characteristics of Poly-β-Hydroxybutyrate by Plasticization. Mech. Compos. Mater. 1999, 35, 357–364. [Google Scholar] [CrossRef]
- Bocqué, M.; Voirin, C.; Lapinte, V.; Caillol, S.; Robin, J.-J. Petro-Based and Bio-Based Plasticizers: Chemical Structures to Plasticizing Properties. J. Polym. Sci. Part A Polym. Chem. 2016, 54, 11–33. [Google Scholar] [CrossRef]
- Hong, S.-G.; Gau, T.-K.; Huang, S.-C. Enhancement of the Crystallization and Thermal Stability of Polyhydroxybutyrate by Polymeric Additives. J. Therm. Anal. Calorim. 2011, 103, 967–975. [Google Scholar] [CrossRef]
- Botana, A.; Mollo, M.; Eisenberg, P.; Torres Sanchez, R.M. Effect of Modified Montmorillonite on Biodegradable PHB Nanocomposites. Appl. Clay Sci. 2010, 47, 263–270. [Google Scholar] [CrossRef]
- Cavalcante, M.P.; Toledo, A.L.M.M.; Rodrigues, E.J.R.; Neto, R.P.C.; Tavares, M.I.B. Correlation between Traditional Techniques and TD-NMR to Determine the Morphology of PHB/PCL Blends. Polym. Test. 2017, 58, 159–165. [Google Scholar] [CrossRef]
- Baltieri, R.C.; Innocentini Mei, L.H.; Bartoli, J. Study of the Influence of Plasticizers on the Thermal and Mechanical Properties of Poly(3-Hydroxybutyrate) Compounds. Macromol. Symp. 2003, 197, 33–44. [Google Scholar] [CrossRef]
- Hong, S.-G.; Hsu, H.-W.; Ye, M.-T. Thermal Properties and Applications of Low Molecular Weight Polyhydroxybutyrate. J. Therm. Anal. Calorim. 2013, 111, 1243–1250. [Google Scholar] [CrossRef]










| P1 | |||
| C1s | eV | Area | O/C Ratio | 
| C-C | 284.78 | 253,860.40 | 0.337 | 
| C-O | 286.36 | 55,793.56 | |
| C=O | 288.71 | 49,916.54 | |
| O1s | |||
| C=O | 531.92 | 201,597.11 | |
| C-O | 533.27 | 199,786.81 | |
| P2 | |||
| C1s | eV | Area | O/C Ratio | 
| C-C | 284.72 | 153,483.66 | 0.306 | 
| C-O | 286.26 | 120,512.52 | |
| C=O | 288.59 | 33,676.95 | |
| HO-C=O | 290.22 | 9883.34 | |
| O1s | |||
| C=O | 531.80 | 85,402.08 | |
| C-O | 533.18 | 188,690.41 | |
| HO-C=O | 535.21 | 11,023.46 | |
| Material | T5% (°C) | Td1 (°C) | Td2 (°C) | 
|---|---|---|---|
| PHB | 268.41 | 288.37 | - | 
| P1 | 243.48 | 377.63 | - | 
| P2 | 302.98 | 414.91 | - | 
| PHB/10P1 | 269.52 | 287.27 | 363.47 | 
| PHB/20P1 | 269.35 | 284.97 | 351.81 | 
| PHB/30P1 | 269.94 | 290.86 | 368.41 | 
| PHB/10P2 | 269.25 | 287.17 | 390.82 | 
| PHB/20P2 | 266.62 | 284.72 | 383.96 | 
| PHB/30P2 | 268.37 | 287.54 | 383.38 | 
| Material | Tg (°C) | Tc (°C) | ΔHc (J g−1) | Tcc (°C) | ΔHcc (J g−1) | Tm (°C) | ΔHm (J g−1) | XDSC (%) | 
|---|---|---|---|---|---|---|---|---|
| PHB | 4.38 | 68.11 | 55.53 | 55.71 | 2.75 | 175.24 | 90.20 | 61.78 | 
| PHB/10P1 | −1.10 | 64.63 | 45.46 | 48.61 | 5.28 | 172.48 | 86.64 | 65.94 | 
| PHB/20P1 | −6.06 | 66.04 | 37.90 | 46.12 | 6.05 | 171.21 | 76.80 | 65.75 | 
| PHB/30P1 | −11.27 | 72.30 | 32.92 | 43.72 | 5.96 | 169.23 | 68.20 | 66.73 | 
| PHB/10P2 | −3.23 | 53.64 | 31.24 | 51.09 | 12.68 | 174.40 | 82.38 | 62.69 | 
| PHB/20P2 | −13.07 | 59.40 | 20.86 | 50.18 | 16.17 | 172.68 | 76.23 | 65.26 | 
| PHB/30P2 | −14.71 | 59.47 | 22.09 | 49.23 | 11.22 | 171.21 | 64.56 | 63.17 | 
| Material | XDSC (%) | XXRD (%) | 
|---|---|---|
| PHB | 61.78 | 70.17 | 
| PHB/10P1 | 65.94 | 64.22 | 
| PHB/20P1 | 65.75 | 58.75 | 
| PHB/30P1 | 66.73 | 53.78 | 
| PHB/10P2 | 62.69 | 67.76 | 
| PHB/20P2 | 65.26 | 59.30 | 
| PHB/30P2 | 63.17 | 56.24 | 
| Publisher’s Note: MDPI stays neutral with regard to jurisdictional claims in published maps and institutional affiliations. | 
© 2022 by the authors. Licensee MDPI, Basel, Switzerland. This article is an open access article distributed under the terms and conditions of the Creative Commons Attribution (CC BY) license (https://creativecommons.org/licenses/by/4.0/).
Share and Cite
de Sousa Junior, R.R.; dos Santos, C.A.S.; Ito, N.M.; Suqueira, A.N.; Lackner, M.; dos Santos, D.J. PHB Processability and Property Improvement with Linear-Chain Polyester Oligomers Used as Plasticizers. Polymers 2022, 14, 4197. https://doi.org/10.3390/polym14194197
de Sousa Junior RR, dos Santos CAS, Ito NM, Suqueira AN, Lackner M, dos Santos DJ. PHB Processability and Property Improvement with Linear-Chain Polyester Oligomers Used as Plasticizers. Polymers. 2022; 14(19):4197. https://doi.org/10.3390/polym14194197
Chicago/Turabian Stylede Sousa Junior, Rogerio Ramos, Carlos Alberto Soares dos Santos, Nathalie Minako Ito, Airton Nizetti Suqueira, Maximilian Lackner, and Demetrio Jackson dos Santos. 2022. "PHB Processability and Property Improvement with Linear-Chain Polyester Oligomers Used as Plasticizers" Polymers 14, no. 19: 4197. https://doi.org/10.3390/polym14194197
APA Stylede Sousa Junior, R. R., dos Santos, C. A. S., Ito, N. M., Suqueira, A. N., Lackner, M., & dos Santos, D. J. (2022). PHB Processability and Property Improvement with Linear-Chain Polyester Oligomers Used as Plasticizers. Polymers, 14(19), 4197. https://doi.org/10.3390/polym14194197
 
        



 
       