Mechanism Analysis of Ethanol Production from Cellulosic Insulating Paper Based on Reaction Molecular Dynamics
Abstract
1. Introduction
2. Methods
2.1. Experiment
2.2. Density Functional Theory
2.3. ReaxFF-MD Pyrolysis
3. Results and Discussion
3.1. Experimental Results
3.2. Molecular Structure of Cellobiose
3.2.1. Bond Length and Mayer Bond Order Analysis
3.2.2. Electrostatic Potential on the Molecular Surface
3.3. ReaxFF-MD of Cellobioses
3.3.1. Production of Ethanol in the Pyrolysis
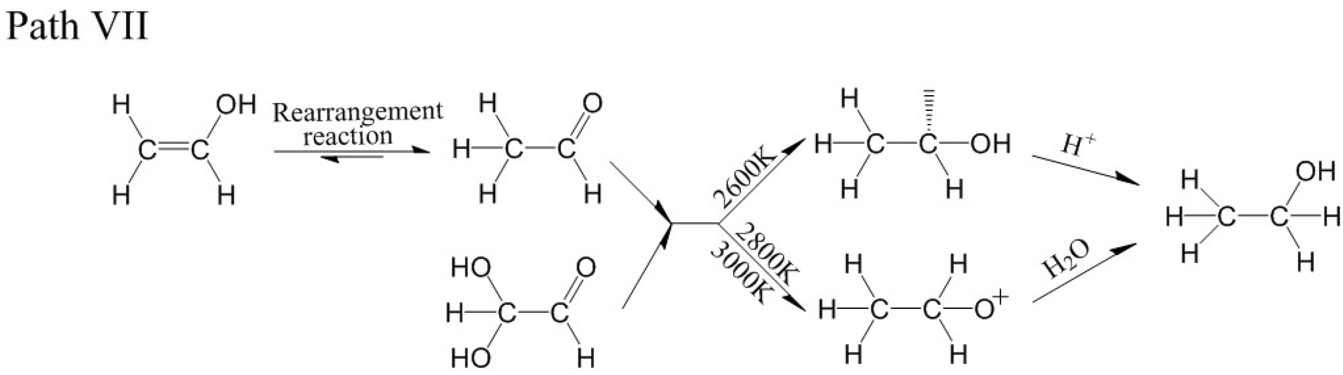
3.3.2. Analysis of Ethanol Formation Path
3.4. Kinetic Analysis of Cellobiose Pyrolysis
4. Conclusions
Author Contributions
Funding
Institutional Review Board Statement
Informed Consent Statement
Data Availability Statement
Acknowledgments
Conflicts of Interest
References
- IS 10593: 2018; Bureau of Indian Standards. Mineral Oil-Impregnated Electrical Equipment in Services—Guide to the Interpretation of Dissolved and Free Gases Analysis. Bureau of Indian Standards: New Delhi, India, 2018.
- Gao, Y.; Wang, X.H.; Yang, H.P.; Chen, H.P. Characterization of products from hydrothermal treatments of cellulose. Energy 2012, 42, 457–465. [Google Scholar] [CrossRef]
- Stebbins, R.D.; Myers, D.S.; Shkolnik, A.B. Furanic compounds in dielectric liquid samples: Review and update of diagnostic interpretation and estimation of insulation ageing. In Proceedings of the 7th International Conference on Properties and Applications of Dielectric Materials (Cat. No.03CH37417), Nagoya, Japan, 1–5 June 2003; pp. 921–926. [Google Scholar]
- Tamura, R.; Anetai, H.; Ishii, T.; Kawamura, T. The diagnosis on the aging deterioration of insulating paper in transformers by gas analysis. Trans. Inst. Electr. Eng. Jpn. A 1981, 101, 30–36. [Google Scholar]
- Urquiza, D.; Garcia, B.; Burgos, J.C. Statistical study on the reference values of furanic compounds in power transformers. IEEE Electr. Insul. Mag. 2015, 4, 15–23. [Google Scholar] [CrossRef]
- Leibfried, T.; Jaya, M.; Majer, N.; Schafer, M.; Stach, M.; Voss, S. Postmortem investigation of power transformers—Profile of degree of polymerization and correlation with furan concentration in the oil. IEEE Trans. Power Deliv. 2013, 28, 886–893. [Google Scholar] [CrossRef]
- Jalbert, J.; Gilbert, R.; Tétreault, P.; Morin, B.; Lessard-Déziel, D. Identification of a chemical indicator of the rupture of 1,4-β-glycosidic bonds of cellulose in an oil-impregnated insulating paper system. Cellulose 2007, 14, 295–309. [Google Scholar] [CrossRef]
- Arroyo-Fernández, O.H.; Fofana, I.; Jalbert, J.; Rodriguez, E.; Rodriguez, L.B.; Ryadi, M. Assessing changes in thermally upgraded papers with different nitrogen contents under accelerated aging. IEEE Trans. Dielectr. Electr. Insul. 2017, 24, 1829–1839. [Google Scholar] [CrossRef]
- Yan, Y.; Xue, Y.; Zhao, H.; Liu, H.; Lu, Z.; Gu, F.-L. Insight into the Polymerization-Induced Self-Assembly via a Realistic Computer Simulation Strategy. Macromolecules 2019, 52, 6169–6180. [Google Scholar] [CrossRef]
- Zhang, Z.; Krajniak, J.; Samaey, G.; Nies, E. A Parallel Multiscale Simulation Framework for Complex Polymerization: AB2-Type Monomer Hyperbranched Polymerization as an Example. Adv. Theory Simul. 2019, 2, 1800102. [Google Scholar] [CrossRef]
- Van Duin, A.C.T.; Dasgupta, S.; Lorant, F.; Goddard, W.A. ReaxFF: A reactive force field for hydrocarbons. J. Phys. Chem. A. 2001, 105, 9396–9409. [Google Scholar] [CrossRef]
- Friesner, R.A. Ab initio quantum chemistry: Methodology and applications. Proc. Natl. Acad. Sci. USA 2005, 102, 6648–6653. [Google Scholar] [CrossRef]
- Hong, D.; Cao, Z.; Guo, X. Effect of calcium on the secondary reactions of tar from Zhundong coal pyrolysis: A molecular dynamics simulation using ReaxFF. J. Anal. Appl. Pyrolysis 2019, 137, 246–252. [Google Scholar] [CrossRef]
- Zheng, M.; Wang, Z.; Li, X.; Qiao, X.; Song, W.; Guo, L. Initial reaction mechanisms of cellulose pyrolysis revealed by ReaxFF molecular dynamics. Fuel 2016, 177, 130–141. [Google Scholar] [CrossRef]
- Paajanen, A.; Vaari, J. High-temperature decomposition of the cellulose molecule: A stochastic molecular dynamics study. Cellulose 2017, 24, 2713–2725. [Google Scholar] [CrossRef]
- Zhang, Y.; Wang, X.; Li, Q.; Yang, R.; Li, C. A ReaxFF molecular dynamics study of the pyrolysis mechanism of oleic-type triglycerides. Energy Fuels 2015, 29, 5056–5068. [Google Scholar] [CrossRef]
- Li, Y.; Zhang, X.; Tian, S.; Xiao, S.; Li, Y.; Chen, D. Insight into the decomposition mechanism of C6F12O-CO2 gas mixture. Chem. Eng. J. 2019, 360, 929–940. [Google Scholar] [CrossRef]
- Torrejos, R.E.C.; Nisola, G.M.; Song, H.S.; Limjuco, L.A.; Lawagon, C.P.; Parohinog, K.J.; Koo, S.; Han, J.W.; Chung, W.-J. Design of lithium selective crown ethers: Synthesis, extraction and theoretical binding studies. Chem. Eng. J. 2017, 326, 921–933. [Google Scholar] [CrossRef]
- Yuan, G.; Tian, Y.; Liu, J.; Tu, H.; Liao, J.; Yang, J.; Yang, Y.; Wang, D.; Liu, N. Schiff base anchored on metal-organic framework for Co (II) removal from aqueous solution. Chem. Eng. J. 2017, 326, 691–699. [Google Scholar] [CrossRef]
- Lu, T.; Chen, F. Multiwfn: A multifunctional wavefunction analyzer. J. Comput. Chem. 2012, 33, 580–592. [Google Scholar] [CrossRef]
- Lu, T.; Chen, F. Quantitative analysis of molecular surface based on improved Marching Tetrahedra algorithm. J. Mol. Graph. Model. 2012, 38, 314–323. [Google Scholar] [CrossRef]
- Humphrey, W.; Dalke, A.; Schulten, K. VMD: Visual molecular dynamics. J. Mol. Graph. 1996, 14, 33–38. [Google Scholar] [CrossRef]
- Zhang, Y.; Liu, C.; Chen, X. Unveiling the initial pyrolytic mechanisms of cellulose by DFT study. J. Anal. Appl. Pyrolysis 2015, 113, 621–629. [Google Scholar] [CrossRef]
- Gao, Z.; Li, N.; Chen, M.; Yi, W. Comparative study on the pyrolysis of cellulose and its model compounds. Fuel Process. Technol. 2019, 193, 131–140. [Google Scholar] [CrossRef]
- Wang, D.; Zhu, Z.; Zhang, L.; Qian, Y.; Su, W.; Chen, T.; Fan, S.; Zhao, Y. Influence of metal transformer materials on oil-paper insulation after thermal aging. IEEE Trans. Dielectr. Electr. Insul. 2019, 26, 554–560. [Google Scholar] [CrossRef]
- Mazeau, K.; Heux, L. Molecular dynamics simulations of bulk native crystalline and amorphous structures of cellulose. J. Phys. Chem. B 2003, 107, 2394–2403. [Google Scholar] [CrossRef]
- Lin, Y.C.; Cho, J.; Tompsett, G.A.; Westmoreland, P.R.; Huber, G.W. Kinetics and mechanism of cellulose pyrolysis. J. Phys. Chem. C 2009, 113, 20097–20107. [Google Scholar] [CrossRef]
- Bouma, W.J.; Radom, L.; Rodwell, W.R. Structures and thermodynamic stabilities of the C2H4O isomers: Acetaldehyde, vinyl alcohol and ethylene oxide. Theor. Chim. Acta 1980, 56, 149–155. [Google Scholar] [CrossRef]
- Te Velde, G.; Bickelhaupt, F.M.; Baerends, E.J.; Fonseca Guerra, C.; van Gisbergen, S.J.A.; Snijders, J.G.; Ziegler, T. Chemistry with ADF. J. Comput. Chem. 2001, 22, 931–967. [Google Scholar] [CrossRef]
- Chenoweth, K.; Van Duin, A.C.T.; Goddard, W.A. ReaxFF reactive force field for molecular dynamics simulations of hydrocarbon oxidation. J. Phys. Chem. A 2008, 112, 1040–1053. [Google Scholar] [CrossRef]
- Tang, J.; Song, Y.; Zhao, F.; Spinney, S.; da Silva Bernardes, J.; Tam, K.C. Compressible cellulose nanofibril (CNF) based aerogels produced via a bio-inspired strategy for heavy metal ion and dye removal. Carbohydr. Polym. 2019, 208, 404–412. [Google Scholar] [CrossRef]
- So/rensen, M.R.; Voter, A.F. Temperature-accelerated dynamics for simulation of infrequent events. J. Chem. Phys. 2000, 112, 9599–9606. [Google Scholar] [CrossRef]
- Neyts, E.C.; Bogaerts, A. Numerical study of the size-dependent melting mechanisms of nickel nanoclusters. J. Phys. Chem. C 2009, 113, 2771–2776. [Google Scholar] [CrossRef]
- Mees, M.J.; Pourtois, G.; Neyts, E.C.; Thijsse, B.J.; Stesmans, A. Uniform-acceptance force-bias Monte Carlo method with time scale to study solid-state diffusion. Phys. Rev. B 2012, 85, 134301. [Google Scholar] [CrossRef]
- Neyts, E.C.; Shibuta, Y.; Van Duin, A.C.T.; Bogaerts, A. Catalyzed growth of carbon nanotube with definable chirality by hybrid molecular dynamics—Force biased Monte Carlo simulations. ACS Nano 2010, 4, 6665–6672. [Google Scholar] [CrossRef] [PubMed]
- Neyts, E.C.; Van Duin, A.C.T.; Bogaerts, A. Changing chirality during single-walled carbon nanotube growth: A reactive molecular dynamics/Monte Carlo study. J. Am. Chem. Soc. 2011, 133, 17225–17231. [Google Scholar] [CrossRef] [PubMed]
- Bridgeman, A.J.; Cavigliasso, G.; Ireland, L.R.; Rothery, J. The Mayer bond order as a tool in inorganic chemistry. J. Chem. Soc. Dalt. Trans. 2001, 2095–2108. [Google Scholar] [CrossRef]
- Chen, W.H.; Kuo, P.C. Isothermal torrefaction kinetics of hemicellulose, cellulose, lignin and xylan using thermogravimetric analysis. Energy 2011, 36, 6451–6460. [Google Scholar] [CrossRef]
- Wang, Q.D.; Wang, J.B.; Li, J.Q.; Tan, N.X.; Li, X.Y. Reactive molecular dynamics simulation and chemical kinetic modeling of pyrolysis and combustion of n-dodecane. Combust. Flame 2011, 158, 217–226. [Google Scholar] [CrossRef]
- Ding, J.; Zhang, L.; Zhang, Y.; Han, K.-L. A reactive molecular dynamics study of n-heptane pyrolysis at high temperature. J. Phys. Chem. A 2013, 117, 3266–3278. [Google Scholar] [CrossRef]


























| Bond | Bond Length | Mayer Bond Order | Bond | Bond Length | Mayer Bond Order | 
|---|---|---|---|---|---|
| C1-C2 | 1.5106 | 0.8705 | C4-O13 | 1.4047 | 0.8371 | 
| C2-C3 | 1.5137 | 0.8626 | C8-O13 | 1.4401 | 0.7902 | 
| C3-C4 | 1.5137 | 0.8601 | C1-O14 | 1.4322 | 0.8681 | 
| C4-O5 | 1.4443 | 0.7749 | C2-O15 | 1.4358 | 0.8602 | 
| O5-C6 | 1.4386 | 0.8065 | C3-O16 | 1.4305 | 0.8653 | 
| C6-C1 | 1.5254 | 0.8197 | C6-C17 | 1.5182 | 0.9207 | 
| C7-C8 | 1.5288 | 0.8469 | C17-C22 | 1.4497 | 0.8175 | 
| C8-C9 | 1.5172 | 0.8785 | C9-O21 | 1.4383 | 0.8574 | 
| C9-C10 | 1.5135 | 0.8603 | C10-O20 | 1.4340 | 0.8489 | 
| C10-C11 | 1.5069 | 0.8285 | C11-O19 | 1.4101 | 0.8729 | 
| C11-O12 | 1.4224 | 0.8229 | C7-C18 | 1.5105 | 0.9197 | 
| C7-O12 | 1.4473 | 0.7936 | C18-O23 | 1.4406 | 0.8663 | 
| Publisher’s Note: MDPI stays neutral with regard to jurisdictional claims in published maps and institutional affiliations. | 
© 2022 by the authors. Licensee MDPI, Basel, Switzerland. This article is an open access article distributed under the terms and conditions of the Creative Commons Attribution (CC BY) license (https://creativecommons.org/licenses/by/4.0/).
Share and Cite
Fan, Y.; Li, Y.; Zhang, Y.; Shi, K. Mechanism Analysis of Ethanol Production from Cellulosic Insulating Paper Based on Reaction Molecular Dynamics. Polymers 2022, 14, 4918. https://doi.org/10.3390/polym14224918
Fan Y, Li Y, Zhang Y, Shi K. Mechanism Analysis of Ethanol Production from Cellulosic Insulating Paper Based on Reaction Molecular Dynamics. Polymers. 2022; 14(22):4918. https://doi.org/10.3390/polym14224918
Chicago/Turabian StyleFan, Yufan, Yi Li, Yiyi Zhang, and Keshuo Shi. 2022. "Mechanism Analysis of Ethanol Production from Cellulosic Insulating Paper Based on Reaction Molecular Dynamics" Polymers 14, no. 22: 4918. https://doi.org/10.3390/polym14224918
APA StyleFan, Y., Li, Y., Zhang, Y., & Shi, K. (2022). Mechanism Analysis of Ethanol Production from Cellulosic Insulating Paper Based on Reaction Molecular Dynamics. Polymers, 14(22), 4918. https://doi.org/10.3390/polym14224918
 
        



 
       