Power Flow in Multimode Graded-Index Microstructured Polymer Optical Fibers
Abstract
1. Introduction
2. GI mPOF Design
3. Time-Independent Power Flow Equation
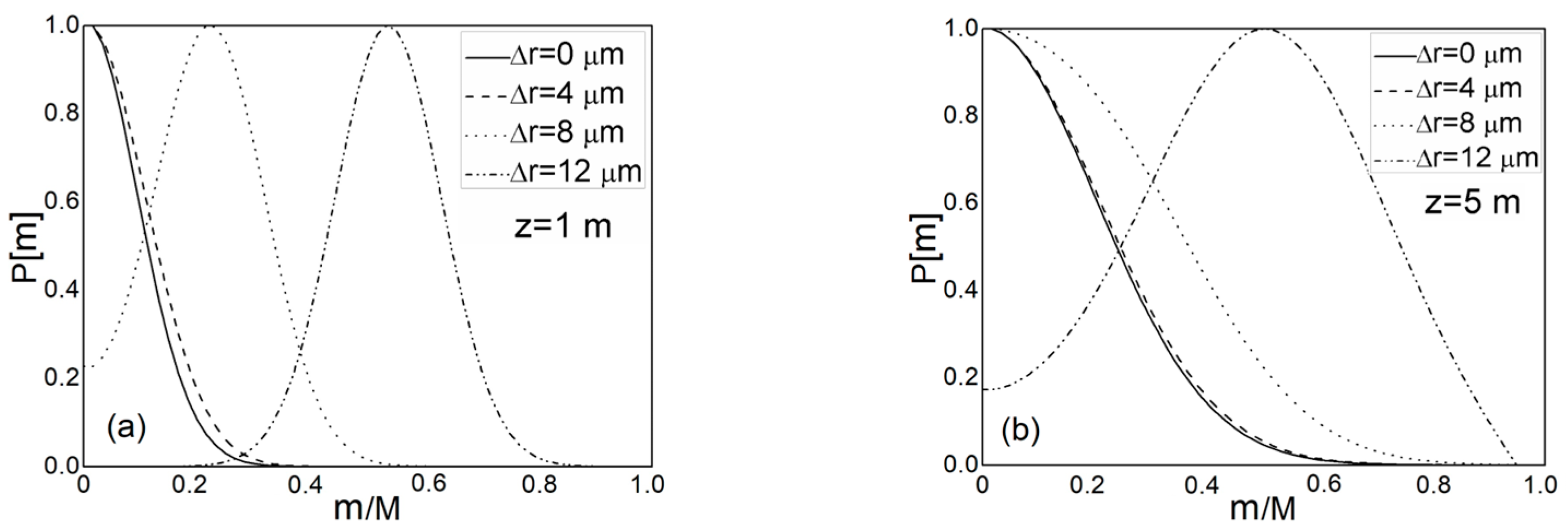
4. Numerical Simulation Results
5. Conclusions
Author Contributions
Funding
Institutional Review Board Statement
Informed Consent Statement
Data Availability Statement
Conflicts of Interest
References
- Barbio, C.; Mekonnen, K.A.; Huijskens, F.; Koonen, A.; Tangdiongga, E. Bidirectional Gigabits per Second Spatial Diversity Link Using POF for Passive Optical Front-Ends. J. Light. Technol. 2022, 40, 6753–6761. [Google Scholar] [CrossRef]
- Huang, O.; Shi, J.; Chi, N. Performance and complexity study of a neural network post-equalizer in a 638-nm laser transmission system through over 100-m plastic optical fiber. Opt. Eng. 2022, 61, 126108. [Google Scholar] [CrossRef]
- Ye, Y.; Zhao, C.; Wang, Z.; Teng, C.; Marques, C.; Min, R. Portable Multi-hole Plastic Optical Fiber Sensor for Liquid Level and Refractive Index Monitoring. IEEE Sens. J. 2023, 23, 2161–2168. [Google Scholar] [CrossRef]
- Teng, C.; Wang, Y.; Min, R.; Deng, S.; Deng, H.; Li, Y.; Yuan, L. Plastic Optical Fiber Based SPR Sensor for Simultaneous Measurement of Refractive Index and Liquid Level. IEEE Sens. J. 2022, 22, 6677–6684. [Google Scholar] [CrossRef]
- Leal-Junior, A.; Guo, J.; Min, R.; Fernandes, A.J.; Frizera-Neto, A.; Marques, C. Photonic smart bandage for wound healing assessment. Photonics Res. 2021, 9, 272. [Google Scholar] [CrossRef]
- Guo, J.; Niu, M.; Yang, C. Highly flexible and stretchable optical strain sensing for human motion detection. Optica 2017, 4, 1285–1288. [Google Scholar] [CrossRef]
- Fasano, A.; Woyessa, G.; Stajanca, P.; Markos, C.; Stefani, A.; Nielsen, K.; Rasmussen, H.K.; Krebber, K.; Bang, O. Fabrication and characterization of polycarbonate microstructured polymer optical fibers for high-temperature-resistant fiber Bragg grating strain sensors. Opt. Mater. Express 2016, 6, 649–659. [Google Scholar] [CrossRef]
- Zubel, M.G.; Fasano, A.; Woyessa, G.T.; Min, R.; Leal-Junior, A.G.; Theodosiou, A.; Marques, C.A.F.; Rasmussen, H.K.; Bang, O.; Ortega, B.; et al. Bragg Gratings Inscribed in Solid-Core Microstructured Single-Mode Polymer Optical Fiber Drawn from a 3D-Printed Polycarbonate Preform. IEEE Sens. J. 2020, 20, 12744–12757. [Google Scholar] [CrossRef]
- Akimoto, Y.; Asai, M.; Koike, K.; Makino, K.; Koike, Y. Poly(styrene)-based graded-index plastic optical fiber for home networks. Opt. Lett. 2012, 37, 1853–1855. [Google Scholar] [CrossRef]
- Makino, K.; Akimoto, Y.; Koike, K.; Kondo, A.; Inoue, A.; Koike, Y. Low Loss and High Bandwidth Polystyrene-Based Graded Index Polymer Optical Fiber. J. Light. Technol. 2013, 31, 2407–2412. [Google Scholar] [CrossRef]
- Leal-Junior, A.G.; Theodosiou, A.; Min, R.; Casas, J.; Diaz, C.R.; Dos Santos, W.M.; Pontes, M.J.; Siqueira, A.A.; Marques, C.; Kalli, K.; et al. Quasi-Distributed Torque and Displacement Sensing on a Series Elastic Actuator’s Spring Using FBG Arrays Inscribed in CYTOP Fibers. IEEE Sens. J. 2019, 19, 4054–4061. [Google Scholar] [CrossRef]
- Chapalo, I.; Chah, K.; Gusarov, A.; Ioannou, A.; Pospori, A.; Nan, Y.-G.; Kalli, K.; Mégret, P. Gamma-radiation enhancement of sensing properties of FBGs in a few-mode polymer CYTOP fiber. Opt. Lett. 2023, 23, 39. [Google Scholar] [CrossRef]
- Woyessa, G.; Rasmussen, H.K.; Bang, O. Zeonex—A route towards low loss humidity insensitive single-mode step-index polymer optical fibre. Opt. Fiber Technol. 2020, 57, 102231. [Google Scholar] [CrossRef]
- Dash, J.N.; Cheng, X.; Tam, H.-Y. Low gas pressure sensor based on a polymer optical fiber grating. Opt. Lett. 2021, 46, 933–936. [Google Scholar] [CrossRef] [PubMed]
- Markos, C.; Stefani, A.; Nielsen, K.; Rasmussen, H.; Yuan, W.; Bang, O. High-Tg TOPAS microstructured polymer optical fiber for fiber Bragg grating strain sensing at 110 degrees. Opt. Express 2013, 21, 4758–4765. [Google Scholar] [CrossRef]
- Woyessa, G.; Fasano, A.; Stefani, A.; Markos, C.; Nielsen, K.; Rasmussen, H.K.; Bang, O. Single mode step-index polymer optical fiber for humidity insensitive high temperature fiber Bragg grating sensors. Opt. Express 2016, 24, 1253–1260. [Google Scholar] [CrossRef] [PubMed]
- Broadway, C.; Min, R.; Leal-Junior, A.G.; Marques, C.; Caucheteur, C. Toward tommercial polymer fiber Bragg grating sensors: Review and applications. J. Light. Technol. 2019, 37, 2605–2615. [Google Scholar] [CrossRef]
- Cheng, X.; Gunawardena, D.S.; Pun, C.-F.J.; Bonefacino, J.; Tam, H.-Y. Single nanosecond-pulse production of polymeric fiber Bragg gratings for biomedical applications. Opt. Express 2020, 28, 33573–33583. [Google Scholar] [CrossRef] [PubMed]
- Kuang, R.; Ye, Y.; Chen, Z.; He, R.; Savović, I.; Djordjevich, A.; Savović, S.; Ortega, B.; Marques, C.; Li, X.; et al. Low-cost plastic optical fiber integrated with smartphone for human physiological monitoring. Opt. Fiber Technol. 2022, 71, 102947. [Google Scholar] [CrossRef]
- Hu, X.; Chen, Z.; Cheng, X.; Min, R.; Qu, H.; Caucheteur, C.; Tam, H.-Y. Femtosecond laser point-by-point Bragg grating inscription in BDK-doped step-index PMMA optical fibers. Opt. Lett. 2022, 47, 249–252. [Google Scholar] [CrossRef]
- Theodosiou, A.; Min, R.; Leal-Junior, A.G.; Ioannou, A.; Frizera, A.; Pontes, M.J.; Marques, C.; Kalli, K. Long period grating in a multimode cyclic transparent optical polymer fiber inscribed using a femtosecond laser. Opt. Lett. 2019, 44, 5346–5349. [Google Scholar] [CrossRef]
- Knight, J.C.; Birks, T.A.; Russell, P.S.J.; Atkin, D.M. All-silica single-mode optical fiber with photonic crystal cladding. Opt. Lett. 1996, 21, 1547–1549. [Google Scholar] [CrossRef] [PubMed]
- Stefańska, K.; Majchrowska, S.; Gemza, K.; Soboń, G.; Sotor, J.; Mergo, P.; Tarnowski, K.; Martynkien, T. Soliton trapping and orthogonal Raman scattering in a birefringent photonic crystal fiber. Opt. Lett. 2022, 47, 4183–4186. [Google Scholar] [CrossRef]
- Zhao, S.; Guo, R.; Zeng, Y. Effects of frequency-dependent Kerr nonlinearity on higher-order soliton evolution in a photonic crystal fiber with one zero-dispersion wavelength. Phys. Rev. A 2022, 106, 033516. [Google Scholar] [CrossRef]
- Wang, C.; Lin, K.; Cao, S.; Feng, G.; Wang, J.; Abdalla, A.N. Polarized Supercontinuum Generation in C 2-Core All-Normal Dispersion Photonic Crystal Fiber. IEEE Photonics J. 2022, 14, 3061607. [Google Scholar] [CrossRef]
- Heydarian, K.; Nosratpour, A.; Razaghi, M. Computational study of wavelength conversion based on XGM by photonic crystal semiconductor optical amplifier. Opt. Laser Technol. 2022, 156, 108531. [Google Scholar] [CrossRef]
- Van Eijkelenborg, M.A.; Large, M.C.J.; Argyros, A.; Zagari, J.; Manos, S.; Issa, N.A.; Bassett, I.; Fleming, S.; McPhedran, R.C.; De Sterke, C.M.; et al. Microstructured polymer optical fibre. Opt. Express 2001, 9, 319–327. [Google Scholar] [CrossRef] [PubMed]
- Woyessa, G.; Pedersen, J.K.M.; Fasano, A.; Nielsen, K.; Markos, C.; Rasmussen, H.K.; Bang, O. Zeonex-PMMA microstructured polymer optical FBGs for simultaneous humidity and temperature sensing. Opt. Lett. 2017, 42, 1161–1164. [Google Scholar] [CrossRef]
- Min, R.; Pereira, L.; Paixao, T.; Woyessa, G.; Hu, X.; Antunes, P.; Andre, P.; Bang, O.; Pinto, J.; Ortega, B.; et al. Chirped POF Bragg grating production utilizing UV cure adhesive coating for multiparameter sensing. Opt. Fiber Technol. 2021, 65, 102593. [Google Scholar] [CrossRef]
- Lwin, R.; Barton, G.; Harvey, L.; Harvey, J.; Hirst, D.; Manos, S.; Large, M.C.J.; Poladian, L.; Bachmann, A.; Poisel, H.; et al. Beyond the bandwidth-length product: Graded index microstructured polymer optical fiber. Appl. Phys. Lett. 2007, 91, 191119. [Google Scholar] [CrossRef]
- Savovic, S.; Simovic, A.; Drljaca, B.; Djordjevich, A.; Stepniak, G.; Bunge, C.A.; Bajic, J. Power Flow in Graded-Index Plastic Optical Fibers. J. Light. Technol. 2019, 37, 4985–4990. [Google Scholar] [CrossRef]
- Saitoh, K.; Koshiba, M. Empirical relations for simple design of photonic crystal fibers. Opt. Express 2005, 13, 267–274. [Google Scholar] [CrossRef] [PubMed]
- Savović, S.; Kovačević, M.S.; Simović, A.; Kuzmanović, L.; Drljača, B.; Djordjevich, A. Method for investigation of mode coupling in multimode step-index silica photonic crystal fibers. Optik 2021, 246, 167728. [Google Scholar] [CrossRef]
- Drljača, B.; Savović, S.; Kovačević, M.S.; Simović, A.; Kuzmanović, L.; Djordjevich, A.; Min, R. Theoretical Investigation of Bandwidth in Multimode Step-Index Silica Photonic Crystal Fibers. Photonics 2022, 9, 214. [Google Scholar] [CrossRef]
- Simović, A.; Drljača, B.; Savović, S.; Djordjevich, A.; Min, R. Investigation of bandwidth in multimode graded-index plastic optical fibers. Opt. Express 2021, 29, 29587–29594. [Google Scholar] [CrossRef]



| i = 1 | i = 2 | i = 3 | i = 4 | |
|---|---|---|---|---|
| ai0 | 0.54808 | 0.71041 | 0.16904 | −1.52736 |
| ai1 | 5.00401 | 9.73491 | 1.85765 | 1.06745 |
| ai2 | −10.43248 | 47.41496 | 18.96849 | 1.93229 |
| ai3 | 8.22992 | −437.50962 | −42.4318 | 3.89 |
| bi1 | 5 | 1.8 | 1.7 | −0.84 |
| bi2 | 7 | 7.32 | 10 | 1.02 |
| bi3 | 9 | 22.8 | 14 | 13.4 |
Disclaimer/Publisher’s Note: The statements, opinions and data contained in all publications are solely those of the individual author(s) and contributor(s) and not of MDPI and/or the editor(s). MDPI and/or the editor(s) disclaim responsibility for any injury to people or property resulting from any ideas, methods, instructions or products referred to in the content. |
© 2023 by the authors. Licensee MDPI, Basel, Switzerland. This article is an open access article distributed under the terms and conditions of the Creative Commons Attribution (CC BY) license (https://creativecommons.org/licenses/by/4.0/).
Share and Cite
Savović, S.; Simović, A.; Drljača, B.; Kovačević, M.S.; Kuzmanović, L.; Djordjevich, A.; Aidinis, K.; Min, R. Power Flow in Multimode Graded-Index Microstructured Polymer Optical Fibers. Polymers 2023, 15, 1474. https://doi.org/10.3390/polym15061474
Savović S, Simović A, Drljača B, Kovačević MS, Kuzmanović L, Djordjevich A, Aidinis K, Min R. Power Flow in Multimode Graded-Index Microstructured Polymer Optical Fibers. Polymers. 2023; 15(6):1474. https://doi.org/10.3390/polym15061474
Chicago/Turabian StyleSavović, Svetislav, Ana Simović, Branko Drljača, Milan S. Kovačević, Ljubica Kuzmanović, Alexandar Djordjevich, Konstantinos Aidinis, and Rui Min. 2023. "Power Flow in Multimode Graded-Index Microstructured Polymer Optical Fibers" Polymers 15, no. 6: 1474. https://doi.org/10.3390/polym15061474
APA StyleSavović, S., Simović, A., Drljača, B., Kovačević, M. S., Kuzmanović, L., Djordjevich, A., Aidinis, K., & Min, R. (2023). Power Flow in Multimode Graded-Index Microstructured Polymer Optical Fibers. Polymers, 15(6), 1474. https://doi.org/10.3390/polym15061474

