Characteristics of Epoxy Composites Containing Carbon Nanotubes/Graphene Mixtures
Abstract
1. Introduction
2. Materials and Methods
2.1. Reagents and Materials
2.2. Preparing CNTs/GO and CNTs/GNPs Hybrid Particles
2.3. Preparing Epoxy Composites
2.4. Material Characterization
3. Results and Discussion
3.1. Studying the CNTs/GO and CNTs/GNPs Hybrid Material Formation
3.2. Modifying the Epoxy Resin with the CNTs/GO and CNTs/GNPs Hybrid Fillers
3.3. Studying the Characteristics of the Hardened Epoxy Nanocomposites
3.3.1. Electrical Conductivity
3.3.2. Thermogravimetric Analysis
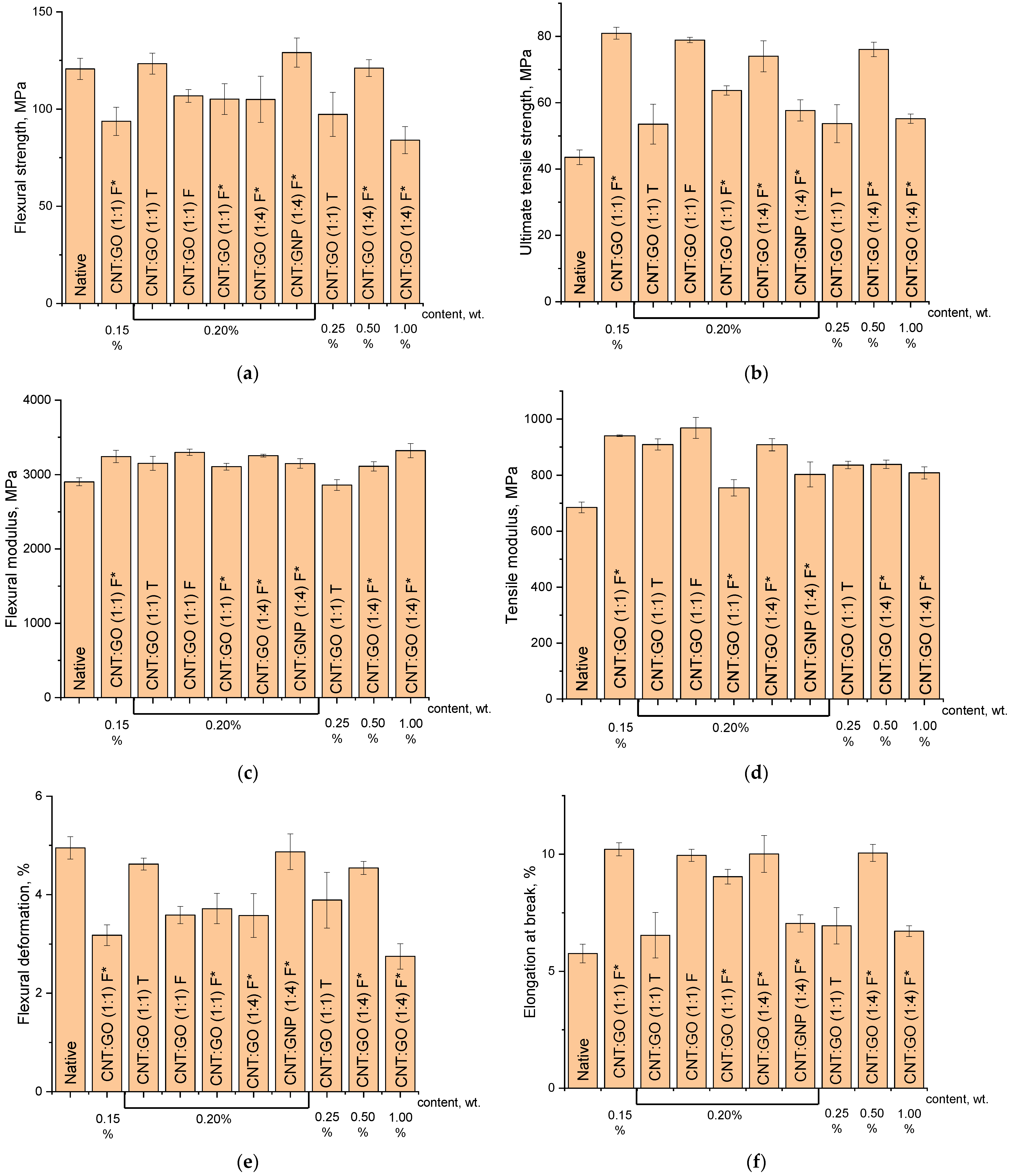
3.3.3. Mechanical Properties
3.3.4. SEM Data on the Composite Fracture
4. Conclusions
Author Contributions
Funding
Institutional Review Board Statement
Data Availability Statement
Acknowledgments
Conflicts of Interest
Abbreviations
| carbon nanomaterials | CNMs |
| carbon nanotubes | CNTs |
| multiwalled carbon nanotubes | MWCNTs |
| carbon nanofibers | CNFs |
| graphene nanoplatelets | GNPs |
| graphene oxide | GO |
| epoxy resin | ER |
References
- Li, Z.; Wang, L.; Li, Y.; Feng, Y.; Feng, W. Carbon-based functional nanomaterials: Preparation, properties and applications. Compos. Sci. Technol. 2019, 179, 10–40. [Google Scholar] [CrossRef]
- Geim, A.K.; Novoselov, K.S. The rise of graphene. Nat. Mater. 2007, 6, 183–191. [Google Scholar] [CrossRef] [PubMed]
- Yang, Q.; Qian, Y.; Zepeng, F.; Lin, J.; Wang, D.; Zhong, Z.; Oeser, M. Exploiting the synergetic effects of graphene and carbon nanotubes on the mechanical properties of bitumen composites. Carbon 2021, 172, 402–413. [Google Scholar] [CrossRef]
- Al-Saleh, M.H. Electrical and mechanical properties of graphene/carbon nanotube hybrid nanocomposites. Synth. Met. 2015, 209, 41–46. [Google Scholar] [CrossRef]
- Min, C.; Liu, D.; Shen, C.; Zhang, Q.; Song, H.; Li, S.; Shen, X.; Zhu, M.; Zhang, K. Unique synergistic effects of graphene oxide and carbon nanotube hybrids on the tribological properties of polyimide nanocomposites. Tribol. Int. 2018, 117, 217–224. [Google Scholar] [CrossRef]
- Bagotia, N.; Choudhary, V.; Sharma, D.K. Synergistic effect of graphene/multiwalled carbon nanotube hybrid fillers on mechanical, electrical and EMI shielding properties of polycarbonate/ethylene methyl acrylate nanocomposites. Compos. B Eng. 2019, 159, 378–388. [Google Scholar] [CrossRef]
- Liu, H.; Gao, J.; Huang, W.; Dai, K.; Zheng, G.; Liu, C.; Shen, C.; Yan, X.; Guo, J.; Guo, Z. Electrically conductive strain sensing polyurethane nanocomposites with synergistic carbon nanotubes and graphenebifillers. Nanoscale 2016, 8, 12977–12989. [Google Scholar] [CrossRef]
- Badakhsh, A.; Lee, Y.-M.; Rhee, K.Y.; Park, C.W.; An, K.-H.; Kim, B.-J. Improvement of thermal, electrical and mechanical properties of composites using a synergistic network of length controlled-CNTs and graphene nanoplatelets. Compos. B Eng. 2019, 175, 107075. [Google Scholar] [CrossRef]
- Zhang, S.; Yin, S.; Rong, C.; Huo, P.; Jiang, Z.; Wang, G. Synergistic effects of functionalized graphene and functionalized multi-walled carbon nanotubes on the electrical and mechanical properties of poly(ether sulfone) composites. Eur. Polym. J. 2013, 49, 3125–3134. [Google Scholar] [CrossRef]
- Li, Y.; Yang, T.; Yu, T.; Zheng, L.; Liao, K. Synergistic effect of hybrid carbon nanotube–graphene oxide as a nanofiller in enhancing the mechanical properties of PVA composites. J. Mater. Chem. 2011, 21, 10844–10851. [Google Scholar] [CrossRef]
- Xiao, Y.; Wang, W.; Chen, X.; Lin, T.; Zhang, Y.; Yang, J.; Wang, Y.; Zhou, Z. Hybrid network structure and thermal conductive properties in poly(vinylidene fluoride) composites based on carbon nanotubes and graphene nanoplatelets. Compos. Part A Appl. Sci. Manuf. 2016, 90, 614–625. [Google Scholar] [CrossRef]
- Ren, P.-G.; Di, Y.-Y.; Zhang, Q.; Li, L.; Pang, H.; Li, Z.-M. Composites of ultrahigh-molecular-weight polyethylene with graphene sheets and/or MWCNTs with segregated network structure: Preparation and properties. Macromol. Mater. Eng. 2011, 297, 437–443. [Google Scholar] [CrossRef]
- Song, S.; Zhang, Y. Carbon nanotube/reduced graphene oxide hybrid for simultaneously enhancing the thermal conductivity and mechanical properties of styrene -butadiene rubber. Carbon 2017, 123, 158–167. [Google Scholar] [CrossRef]
- Aghelinejad, M.; Leung, S.N. Thermoelectric nanocomposite foams using non-conducting polymers with hybrid 1D and 2D nanofillers. Materials 2018, 11, 1757. [Google Scholar] [CrossRef] [PubMed]
- Araby, S.; Saber, N.; Ma, X.; Kawashima, N.; Kang, H.; Shen, H.; Zhang, L.; Xu, J.; Majewski, P.; Ma, J. Implication of multi-walled carbon nanotubes on polymer/graphene composites. Mater. Des. 2015, 65, 690–699. [Google Scholar] [CrossRef]
- Yang, S.-Y.; Lin, W.-N.; Huang, Y.-L.; Tien, H.-W.; Wang, J.-Y.; Ma, C.-C.M.; Li, S.-M.; Wang, Y.-S. Synergetic effects of graphene platelets and carbon nanotubes on the mechanical and thermal properties of epoxy composites. Carbon 2011, 49, 793–803. [Google Scholar] [CrossRef]
- Safdari, M.; Al-Haik, M.S. Synergistic electrical and thermal transport properties of hybrid polymeric nanocomposites based on carbon nanotubes and graphite nanoplatelets. Carbon 2013, 64, 111–121. [Google Scholar] [CrossRef]
- Li, Y.; Umer, R.; Isacovic, A.; Samad, Y.A.; Zheng, L.; Liao, K. Synergistic toughening of epoxy with carbon nanotubes and graphene oxide for improved long-term performance. RSC Adv. 2013, 3, 8849–8856. [Google Scholar] [CrossRef]
- Ghaleb, Z.A.; Mariatti, M.; Ariff, Z.M. Synergy effects of graphene and multiwalled carbon nanotubes hybrid system on properties of epoxy nanocomposites. J. Reinf. Plast. Compos. 2017, 36, 685–695. [Google Scholar] [CrossRef]
- Han, W.; Zhou, J.; Shi, Q. Research progress on enhancement mechanism and mechanical properties of FRP composites reinforced with graphene and carbon nanotubes. Alex. Eng. J. 2023, 64, 541–579. [Google Scholar] [CrossRef]
- Garipov, R.R.; Khantimerov, S.M.; Suliemanov, N.M. Investigation of the carbon nanotubes functionalization effect on the composite material conductive properties. J. Adv. Mater. Technol. 2020, 1, 64–67. [Google Scholar] [CrossRef]
- Dong, M.; Zhang, H.; Tzounis, L.; Santagiuliana, G.; Bilotti, E.; Papageorgiou, D.G. Multifunctional epoxy nanocomposites reinforced by two-dimensional materials: A review. Carbon 2021, 185, 57–81. [Google Scholar] [CrossRef]
- Bao, X.; Wu, F.; Wang, J. Thermal degradation behavior of epoxy resin containing modified carbon nanotubes. Polymers 2021, 13, 3332. [Google Scholar] [CrossRef] [PubMed]
- He, Y.; Yang, S.; Liu, H.; Shao, Q.; Chen, Q.; Lu, C.; Jiang, Y.; Liu, C.; Guo, Z. Reinforced carbon fiber laminates with oriented carbon nanotube epoxy nanocomposites: Magnetic field assisted alignment and cryogenic temperature mechanical properties. J. Colloid Interface Sci. 2018, 517, 40–51. [Google Scholar] [CrossRef] [PubMed]
- Shi, L.; Song, G.; Li, P.; Li, X.; Pan, D.; Huang, Y.; Ma, L.; Guo, Z. Enhancing interfacial performance of epoxy resin composites via in-situ nucleophilic addition polymerization modification of carbon fibers with hyperbranched polyimidazole. Compos. Sci. Technol. 2021, 201, 108522. [Google Scholar] [CrossRef]
- Dyachkova, T.P.; Rukhov, A.V.; Tkachev, A.G.; Tugolukov, E.N. Functionalization of carbon nanotubes: Methods, mechanisms and technological realization. Adv. Mater. Technol. 2018, 2, 18–41. [Google Scholar] [CrossRef]
- Mostovoy, A.; Shcherbakov, A.; Yakovlev, A.; Arzamastsev, S.; Lopukhova, M. Reinforced epoxy composite with functionalized graphene oxide. Polymers 2022, 14, 338. [Google Scholar] [CrossRef]
- Zhang, K.; Tang, X.; Guo, F.; Xiao, K.; Zheng, D.; Ma, Y.; Zhao, Q.; Wang, F.; Yang, B. Improved dynamic compressive and electro-thermal properties of hybrid nanocomposite visa physical modification. Nanomaterials 2023, 13, 52. [Google Scholar] [CrossRef]
- Chatterjee, S.; Nafezarefi, F.; Tai, N.H.; Schlagenhauf, L.; Nüesch, F.A.; Chu, B.T.T. Size and synergy effects of nanofiller hybrids including graphene nanoplatelets and carbon nanotubes in mechanical properties of epoxy composites. Carbon 2012, 50, 5380–5386. [Google Scholar] [CrossRef]
- Melezhik, A.V.; Romantsova, I.V.; D’yachkova, T.P.; Bychkov, O.N.; Shlykova, A.A.; Smykov, M.A.; Tkachev, A.G.; Golovin, Y.I. Effect of the matrix composition on activity of metal oxide catalysts in CVD synthesis of carbon nanotubes. Russ. J. Appl. Chem. 2012, 85, 782–787. [Google Scholar] [CrossRef]
- Tkachev, A.G.; Melezhik, A.V.; Osipov, A.A.; Tkachev, M.A. Method for Producing Graphene Oxide (Russian Patent No.RU2709594C1). Federal Service for Intellectual Property. 2018. Available online: https://patents.google.com/patent/RU2709594C1/ru (accessed on 12 February 2023).
- Wang, M.; Sun, Y.; Yang, X.; Zhao, J. Sensitive determination of Amaranth in drinks by highly dispersed CNT in graphene oxide “water” with the aid of small amounts of ionic liquid. Food Chem. 2015, 179, 318–324. [Google Scholar] [CrossRef]
- Dyachkova, T.P.; Rukhov, A.V.; Khan, Y.A.; Protasov, D.N.; Stolbov, D.N.; Burakova, E.A.; Titov, G.A.; Tkachev, A.G. Interaction of components of epoxy composite containing carbon nanotubes and graphene oxide mixture. Liq. Cryst. Appl. 2022, 22, 102–109. [Google Scholar] [CrossRef]
- Keszler, A.M.; Nemes, L.; Ahmad, S.R.; Fang, X. Characterisation of carbon nanotube materials by Raman spectroscopy and microscopy—A case study of multiwalled and singlewalled samples. J. Optoelectron. Adv. Mater. 2004, 6, 1269–1274. [Google Scholar]
- Pimenta, M.A.; Dresselhaus, G.; Dresselhaus, M.S.; Cançado, L.G.; Jorio, A.; Saito, R. Studying disorder in graphite-based systems by Raman spectroscopy. Phys. Chem. Chem. Phys. 2007, 9, 1276–1290. [Google Scholar] [CrossRef]
- Radon, A.; Wlodarczyk, P.; Lukowiec, D. Structure, temperature and frequency dependent electrical conductivity of oxidized and reduced electrochemically exfoliated graphite. Phys. E Low-Dimens. Syst. Nanostructures 2018, 99, 82–90. [Google Scholar] [CrossRef]
- Lee, A.Y.; Yang, K.; Anh, N.D.; Park, C.; Lee, S.M.; Lee, T.G.; Jeong, M.S. Raman study of D* band in graphene oxide and its correlation with reduction. Appl. Surf. Sci. 2021, 536, 147990. [Google Scholar] [CrossRef]
- Hayashida, K.; Nagaoka, S.; Ishitani, H. Growth and oxidation of graphitic crystallites in soot particles within a laminar diffusion flame. Fuel 2014, 128, 148–154. [Google Scholar] [CrossRef]
- Malard, M.; Pimenta, M.A.; Dresselhaus, G.; Dresselhaus, M.S. Raman spectroscopy in graphene. Phys. Rep. 2009, 473, 51–87. [Google Scholar] [CrossRef]
- Eckmann, A.; Felten, A.; Mishchenko, A.; Britnell, L.; Krupke, R.; Novoselov, K.S.; Casiraghi, C. Probing the Nature of Defects in Graphene by Raman Spectroscopy. Nano Lett. 2012, 12, 3925–3930. [Google Scholar] [CrossRef]
- Erofeev, V.T.; Ivlev, V.I.; Sigachyov, A.F.; Fomin, N.E.; Yudin, V.A.; Blohin, A.N.; Yel’chishcheva, T.F.; Suhorukov, A.K.; Tkachev, A.G. Mechanical properties of epoxy resin with additives soot and nanotubes. Mater. Phys. Mech. 2021, 47, 20–30. [Google Scholar]
- Moon, I.K.; Lee, J.; Ruoff, R.S.; Lee, H. Reduced graphene oxide by chemical graphitization. Nat. Commun. 2010, 1, 73. [Google Scholar] [CrossRef] [PubMed]
- Mousavi, S.R.; Estaji, S.; Kiaei, H.; Mansourian-Tabaei, M.; Nouranian, S.; Jafari, S.H.; Ruckdäschel, H.; Arjmand, M.; Khonakdar, H.A. A review of electrical and thermal conductivities of epoxy resin systems reinforced with carbon nanotubes and graphene-based nanoparticles. Polym. Test. 2022, 112, 107645. [Google Scholar] [CrossRef]
- Kumar, A.; Sharma, K.; Dixit, A.R. Carbon nanotube- and graphene-reinforced multiphase polymeric composites: Review on their properties and applications. J. Mater. Sci. 2020, 55, 2682–2724. [Google Scholar] [CrossRef]
- Micaela, C.; Alessandro, C.; Imran, S.M.; Vitthal, J.P.; Alberto, T. Electrical conductivity phenomena in an epoxy resin–carbon-based materials composite. Compos. Part A Appl. Sci. Manuf. 2014, 61, 108–114. [Google Scholar]
- Liu, S.; Chevali, V.S.; Xu, Z.; Hui, D.; Wang, H. A review of extending performance of epoxy resins using carbon nanomaterials. Compos. Part B Eng. 2018, 136, 197–214. [Google Scholar] [CrossRef]
- Baruah, P.; Karak, N. Bio-based tough hyperbranched epoxy/graphene oxide nanocomposite with enhanced biodegradability attribute. Polym. Degrad. Stabil. 2016, 129, 26–33. [Google Scholar] [CrossRef]
- Kharitonov, A.P.; Simbirtseva, G.V.; Tkachev, A.G.; Blohin, A.N.; Dyachkova, T.P.; Maksimkin, A.A.; Chukov, D.I. Reinforcement of epoxy resin composites with fluorinated carbon nanotubes. Polym. Sci. Technol. 2015, 107, 162–168. [Google Scholar] [CrossRef]










| Sample Designation | Hybrid Filler Composition (Component Mass Ratio) | Drying Condition | Grinding Time, min | Hybrid Filler Mass Content in Composite, % |
|---|---|---|---|---|
| Native | - | - | - | 0 |
| 0.15%CNT:GO(1:1)F* | CNTs and GO (1:1) | lyophilic | 3 | 0.15 |
| 0.20%CNT:GO(1:1)T | CNTs and GO (1:1) | at 40 °C | 1 | 0.20 |
| 0.20%CNT:GO(1:1)F | CNTs and GO (1:1) | lyophilic | 1 | 0.20 |
| 0.20%CNT:GO(1:1)F* | CNTs and GO (1:1) | lyophilic | 3 | 0.20 |
| 0.20%CNT:GO(1:4)F* | CNTs and GO (1:4) | lyophilic | 3 | 0.20 |
| 0.20%CNT:GNP(1:4)F* | CNTs and GNPs (1:4) | lyophilic | 3 | 0.20 |
| 0.25%CNT:GO(1:1)T | CNTs and GO (1:1) | at 40 °C | 1 | 0.25 |
| 0.50%CNT:GO(1:4)F* | CNTs and GO (1:4) | lyophilic | 3 | 0.50 |
| 1.00%CNT:GO(1:4)F* | CNTs and GO (1:4) | lyophilic | 3 | 1.00 |
| Characteristics | Hybrid Material Composition | ||||
|---|---|---|---|---|---|
| CNTs/GO (1:1) | CNTs/GO (1:4) | CNTs/GNPs (1:1) | CNTs/GNPs (1:4) | ||
| Peak G position, cm−1 | 1575 | 1577 | 1580 | 1583 | |
| Integrated intensity ratio | D/G | 1.395 | 1.217 | 0.541 | 0.617 |
| D′’/G | 0.372 | 0.290 | 0.081 | 0.085 | |
| D′/G | 0.744 | 0.362 | 0.108 | 0.170 | |
| D/D′ | 1.875 | 3.360 | 5.000 | 3.625 | |
| 2D/G | 0.256 | 0.087 | 0.378 | 0.298 | |
| Drying Condition | Mechanical Grinding | Intensity Ratio | |||
|---|---|---|---|---|---|
| D/G | D″/G | D′/G | D/D′ | ||
| lyophilic | − | 1.312 | 0.269 | 0.699 | 1.877 |
| lyophilic | + | 2.020 | 0.157 | 1.588 | 1.272 |
| at 40 °C | + | 1.795 | 0.308 | 0.821 | 2.188 |
| Sample | Electrical Conductivity, S/m |
|---|---|
| Native | 1.08 × 10−11 |
| 0.15%CNT:GO(1:1)F* | 1.57 × 10−11 |
| 0.20%CNT:GO(1:1)F | 1.05 × 10−11 |
| 0.25%CNT:GO(1:1)T | 8.91 × 10−12 |
| 0.20%CNT:GO(1:1)T | 2.07 × 10−11 |
| 0.20%CNT:GO(1:1)F* | 1.38 × 10−11 |
| 0.20%CNT:GO(1:4)F* | 1.31 × 10−11 |
| 0.50%CNT:GO(1:4)F* | 1.05 × 10−11 |
| 1.00%CNT:GO(1:4)F* | 1.03 × 10−12 |
| 0.20%CNT:GNP(1:4)F* | 1.16 × 10−11 |
Disclaimer/Publisher’s Note: The statements, opinions and data contained in all publications are solely those of the individual author(s) and contributor(s) and not of MDPI and/or the editor(s). MDPI and/or the editor(s) disclaim responsibility for any injury to people or property resulting from any ideas, methods, instructions or products referred to in the content. |
© 2023 by the authors. Licensee MDPI, Basel, Switzerland. This article is an open access article distributed under the terms and conditions of the Creative Commons Attribution (CC BY) license (https://creativecommons.org/licenses/by/4.0/).
Share and Cite
Dyachkova, T.P.; Khan, Y.A.; Burakova, E.A.; Galunin, E.V.; Shigabaeva, G.N.; Stolbov, D.N.; Titov, G.A.; Chapaksov, N.A.; Tkachev, A.G. Characteristics of Epoxy Composites Containing Carbon Nanotubes/Graphene Mixtures. Polymers 2023, 15, 1476. https://doi.org/10.3390/polym15061476
Dyachkova TP, Khan YA, Burakova EA, Galunin EV, Shigabaeva GN, Stolbov DN, Titov GA, Chapaksov NA, Tkachev AG. Characteristics of Epoxy Composites Containing Carbon Nanotubes/Graphene Mixtures. Polymers. 2023; 15(6):1476. https://doi.org/10.3390/polym15061476
Chicago/Turabian StyleDyachkova, Tatiana P., Yulian A. Khan, Elena A. Burakova, Evgeny V. Galunin, Gulnara N. Shigabaeva, Dmitry N. Stolbov, Georgy A. Titov, Nikolay A. Chapaksov, and Alexey G. Tkachev. 2023. "Characteristics of Epoxy Composites Containing Carbon Nanotubes/Graphene Mixtures" Polymers 15, no. 6: 1476. https://doi.org/10.3390/polym15061476
APA StyleDyachkova, T. P., Khan, Y. A., Burakova, E. A., Galunin, E. V., Shigabaeva, G. N., Stolbov, D. N., Titov, G. A., Chapaksov, N. A., & Tkachev, A. G. (2023). Characteristics of Epoxy Composites Containing Carbon Nanotubes/Graphene Mixtures. Polymers, 15(6), 1476. https://doi.org/10.3390/polym15061476

