Abstract
The oil and gas industry is subject to significant fire hazards due to the flammability of hydrocarbons and the extreme conditions of operational facilities. Intumescent coatings (ICs) serve as a crucial passive fire protection strategy, forming an insulating char layer when exposed to heat, thereby reducing heat transfer and delaying structural failure. This review article provides an overview of recent developments in the effectiveness of ICs in mitigating fire risks, enhancing structural resilience, and reducing environmental impacts within the oil and gas industry. The literature surveyed shows that analytical techniques, such as thermogravimetric analysis, scanning electron microscopy, and large-scale fire testing, have been used to evaluate the thermal insulation performances of the coatings. The results indicate significant temperature reductions on protected steel surfaces that extend critical failure times under hydrocarbon fire conditions. Recent advancements in nano-enhanced and bio-derived ICs have also improved thermal stability and mechanical durability. Furthermore, numerical modeling based on heat transfer, mass conservation, and kinetic equations aids in optimizing formulations for real-world applications. Nevertheless, challenges remain in terms of standardizing modeling frameworks and enhancing the environmental sustainability of ICs. This review highlights the progress made and the opportunities for continuous advances and innovation in IC technologies to meet the ever-evolving challenges and complexities in oil and gas industry operations. Consequently, the need to enhance fire protection by utilizing a combination of tools improves predictive modeling and supports regulatory compliance in high-risk industrial environments.
1. Introduction
1.1. Background and Significance of Fire Protection in the Oil and Gas Industry
Intumescent coatings (ICs) are categorized into epoxy-based, water-based, and solvent-based types, each tailored to specific environmental and performance requirements in the oil and gas industry. Epoxy-based ICs offer superior durability in harsh offshore conditions, while water-based coatings are preferred for their low Volatile Organic Compound (VOC) emissions, aligning with sustainability goals. Application methods, such as spray, brush, or trowel, depend on the substrate and operational constraints, with spray techniques being prevalent for large-scale structures like pipelines and storage tanks [1,2]. These coatings typically comprise an acid source (e.g., ammonium polyphosphate), a char former (e.g., pentaerythritol), and a blowing agent (e.g., melamine), which synergistically form an insulating char layer under heat exposure. Fire hazards in the oil and gas industry pose significant threats to infrastructure, human safety, and the environment, necessitating robust passive fire protection (PFP) strategies like intumescent coatings (ICs).
The oil and gas industry is pivotal in global energy supply, meeting over 50% of the world’s energy demand [2]. Despite growing environmental concerns and fire hazards, projections indicate that fossil fuels will continue to supply 50–58% of global energy needs by 2040 [3]. This persistent reliance on hydrocarbons underscores the critical need for advanced fire protection technologies that mitigate risks associated with fires and explosions in oil and gas operations [4].
Environmental Impact of Fire Hazards in the Oil and Gas Industry
The oil and gas industry faces significant fire hazards due to the flammability of hydrocarbons, leading to infrastructure damage, human safety risks, and environmental impacts, including CO2, SO2, and NOx emissions [5,6]. Intumescent coatings (ICs) address these challenges by forming an expanded char layer.
Hydrocarbons are highly flammable, making fire safety a significant challenge across the industry [7]. The associated extreme temperatures, high-pressure environments, and volatile compounds further exacerbate fire risks, necessitating the implementation of comprehensive fire protection strategies (FPSs) [8]. Given these hazards, passive fire protection (PFP) materials, such as fire-resistant coatings, are crucial for preventing structural failures and limiting fire spread [9,10].
Figure 1 illustrates the intumescent response of a protective coating on a hydrogen storage tank exposed to fire. As heat flux increases, the coating transitions from its unreacted state to a reacting phase, eventually forming a fully expanded char layer. This thermal barrier reduces heat transfer to underlying components such as the carbon-fiber-reinforced polymer (CFRP), liner, and hydrogen fuel core. This mechanism is vital in preventing structural failure in the oil and gas sector, where fire risks are ever-present and severe. Recent studies have shown that applying intumescent coatings (ICs) can extend the fire resistance of CFRP-based hydrogen tanks from a few minutes to over two hours, providing critical protection during emergencies [11].
Figure 1.
Schematic showing the thermal response of ICs applied to a hydrogen storage tank exposed to fire, illustrating the physical evolution from unreacted coating to expanded charred layer. This process highlights how intumescent coatings serve as a thermal barrier to protect the composite structure and internal hydrogen from extreme heat. Adapted with permission from [11].
Additionally, active fire suppression systems, advanced detection technologies, and stringent safety protocols are widely implemented to mitigate fire-related hazards [12,13,14].
The complexity of fire safety management in the oil and gas sector is further heightened by extreme weather conditions and the persistent risk of gas leaks, necessitating continuous improvements in fire testing, emergency response strategies, and personnel training [15,16]. A well-integrated FPS incorporating both passive and active fire-mitigation measures is crucial for ensuring operational safety, environmental protection, and the long-term sustainability of oil and gas infrastructure [17,18,19]. Given the industry’s operational risks, developing and implementing advanced PFP materials remain imperative to safeguard critical infrastructure, protect personnel, and enhance fire resilience in oil and gas facilities [20,21].
1.2. Scope of This Article
This article reviews fire-retardant coatings, focusing on their chemical compositions, fire protection mechanisms, and applications in the oil and gas industry. It also explores the different evaluation methods used to assess their effectiveness. Our analysis covers recent advancements in hybrid formulations, numerical modeling techniques, and artificial intelligence applications in fire simulation, providing a comprehensive overview of emerging trends and innovations in the field.
Although advances have been made, this review will focus on FPSs tailored to the specific structural and operational needs of the oil and gas industry. This review aims to provide an overview of recent developments in IC applications, performance, and limitations as well as opportunities for future advancement. This article should serve as a valuable resource for researchers interested in advancing and innovating new technologies for ICs that enhance fire safety, meet regulatory requirements, and save costs while improving efficiency, effectiveness, and sustainability compliance in this critical industry.
1.3. Motivations
ICs have emerged as a key PFP strategy, offering thermal insulation and delaying structural failure during fire incidents. However, their adoption by industry faces challenges related to performance limitations, regulatory compliance, sustainability concerns, and cost-effectiveness. This review aims to bridge the gap between academic research and industry needs by assessing current trends, technological advancements, and future perspectives of ICs. There are critical questions that industry managers often encounter and must address through a structured analysis of technical performance, regulatory influences, innovation trends, and cost considerations. Engaging with industry leaders through targeted inquiries helps identify gaps in current coating technologies, highlights the need to explore emerging research directions, and fosters collaboration between academia and industry. By understanding industry challenges and future expectations, the authors hope that this review will guide the development of the next generation of ICs, further enhancing fire protection, meeting evolving safety standards, and aligning with sustainability goals in high-risk environments.
1.4. Novelty
The novelty of this review lies in its integration of cutting-edge advancements in IC technology with a focus on oil and gas applications, addressing gaps in existing literature. The following points outline the unique contributions of this work, each linked to specific sections where they are explored in detail:
- Bio-Derived Innovations: This review introduces tannic acid as a dual-function acid source and charring agent in bio-derived ICs, enhancing sustainability—a novel focus not commonly emphasized in other reviews.
- AI-Driven Modeling: This review examines AI-based numerical models for predicting and optimizing thermal insulation under conditions involving hydrocarbon fires. This cutting-edge approach differs from traditional modeling methods.
- Nano-Additive Synergies: Provides the first detailed study on the synergistic effects of graphene and silica nanoparticles, improving the mechanical durability and heat-blocking efficiency of ICs, and setting it apart from general nano-additive discussions.
- Self-Healing Technology: This section explores self-healing ICs with fire-responsive sensors for real-time monitoring, an innovative feature not widely covered in other IC literature.
- Environmental Impact Quantification: This study uniquely quantifies reductions in CO2, SO2, and NOx emissions using optimized IC formulations, addressing environmental concerns more specifically than other studies.
- Hybrid Coating Systems: Proposes a novel hybrid IC–ceramic coating system to enhance durability in offshore conditions, a strategy not commonly discussed in other documents.
- Rheological Insights: This study investigates the rheological modification of IC binders with boric acid and clay, linking viscosity to improved char morphology—a new perspective on formulation optimization.
- Industry-Specific Applications: Uses 3E Plus software (3EPlus version 4.1 (Naima.exe)) to optimize IC thickness for oil and gas infrastructure, a tailored application not typically highlighted in broader IC reviews.
- Regulatory and Economic Focus: Links IC performance to API, ASME, and NFPA standards while analyzing economic impacts, offering a practical framework for industry adoption unique to this review.
- Historical Fire Analysis: This paper integrates a comprehensive review of industrial fire incidents (2010–2025) with IC performance, providing a real-world data correlation not extensively covered in other papers.
2. Importance of PFP Systems in the Oil and Gas Industry
PFP systems, particularly ICs, are critical in safeguarding against oil and gas sector structural failures. These coatings reduce heat transfer during fires and enhance fire resistance by forming an insulating char layer, which protects the underlying substrate from thermal degradation [22,23]. This expansion mechanism is particularly valuable in high-risk environments such as offshore platforms, industrial facilities, and onshore critical infrastructure [24,25].
2.1. Role of Intumescent Coatings in Fire Protection
ICs are critical passive fire protection (PFP) systems that form an insulating expanded char layer, reducing heat transfer and delaying structural failure [22,23]. Compared with conventional fireproofing methods, IC offers superior thermal insulation while improving operational efficiency by reducing application time by up to 30% [26]. The oil and gas industry consumes over 40% of IC products due to increased awareness [27]. However, their performance can be influenced by coating thickness, environmental exposure, and fire conditions, necessitating complementary FPSs to enhance durability and stability in oil and gas applications [28]. Critical structures in the oil and gas industry are mainly steel frames, equipment, and lives that need to be protected when exposed to extreme temperature conditions. As illustrated in Figure 2, the temperature evolution of steel structures with varying IC thicknesses under a standard fire regime demonstrates the effectiveness of these coatings. Thicker coatings provide enhanced thermal insulation, with a 20 mm coating significantly delaying heat transfer. In contrast, thinner coatings result in a more rapid temperature increase. Unprotected steel can reach nearly 900 °C within 60 min, posing a significant risk of severe structural failure. In contrast, a 20 mm IC preserves structural integrity for approximately 40 min, underscoring the critical role of ICs in improving fire resistance for oil and gas infrastructure.
Figure 2.
Oil and gas structures: Forecasting the fire resistance of steel structures with fire protection under hydrocarbon fire conditions. adapted with permission from [29].
To address these limitations, recent advancements in PFP technology have focused on optimizing formulations by incorporating nano-additives and enhancing resistance to harsh environmental conditions [30,31,32]. Their performances are influenced by factors such as coating thickness, substrate properties, and environmental conditions. Achieving an optimal balance between fire protection efficiency and cost-effectiveness requires careful material selection and application techniques [33]. The ongoing development of PFP materials and advanced application methods is crucial for improving fire resistance across various industrial and structural settings.
The combustion of hydrocarbons, including oil, liquid petroleum gas, and methane, not only leads to substantial financial losses, it also contributes to atmospheric pollution, exacerbating environmental degradation and resource inefficiency [34,35,36]. Mechanical failures are a primary cause of fire incidents, often resulting in large-scale explosions, facility shutdowns, and severe contamination of surrounding ecosystems [37,38]. Beyond their financial implications, which include maintenance and repairs, uncontrolled fires in oil and gas facilities can contaminate water sources, disrupt agricultural productivity, and endanger biodiversity [39]. To mitigate these risks, PFP strategies, including IC, are essential for enhancing fire resistance while minimizing environmental hazards [40,41]. Advances in PFP and IC technologies aim to improve fire resistance and retardants, reduce economic losses, and lower the industry’s environmental footprint, ensuring a more sustainable and resilient energy sector.
Figure 3 shows the carbon dioxide (CO2), sulfur dioxide (SO2), and nitrogen oxides (NOx) emissions from significant fire incidents in the oil and gas industry, highlighting their environmental impact. The Deepwater Horizon [42] disaster resulted in the highest CO2 emissions, demonstrating the severe consequences of offshore oil spills. The ExxonMobil [43] and Pemex Platform [44] incidents also led to significant air pollution. Although the SO2 and NOx emissions were lower, they still contributed to the formation of acid rain and posed respiratory health risks. Although the Natanz Facility [45] incident generated lower emissions, it posed a considerable environmental threat. Table 1 summarizes three gases that are predominantly monitored and identified in fire incidents and their typical exposure details.
Figure 3.
Environmental impact of recent major fire incidents in the oil and gas industry: CO2 and pollutant emissions analysis.
Table 1.
Emitted gases and their lethal exposure details.
Table 2 summarizes key findings from reports that provide insights into the relationship between flame retardancy and emission reduction. The Deepwater Horizon fire incident in 2010 produced significantly higher CO2, SO2, and NOx emissions than the 2015 Natanz facility fire due to its large-scale combustion of hydrocarbon-rich fuel, prolonged burn duration, and challenging offshore suppression conditions; the use of ICs in such scenarios can help mitigate these emissions by delaying structural failure, limiting fuel exposure, and reducing fire intensity and duration, ultimately lowering the release of harmful pollutants during catastrophic events.
Chuang et al. [49] optimized vinyl acetate copolymers for low-foam, dense char formation to reduce CO/CO2 emissions. Ref. [46] used bio-based additives in vinyl acetate ethylene copolymers to enhance char yield, achieving high limiting oxygen index (LOI) and lower CO2 output. Higher LOI values signify lower flammability of coatings, as they indicate that a higher oxygen concentration is needed to sustain combustion. In contrast, ref. [50,51] combined magnesium hydroxide (MH) and ammonium polyphosphate (APP) to alter combustion via ammonia release, improving flame retardancy but potentially increasing NOx. Each of these studies applies a distinct additive strategy to balance fire performance and emissions.
Table 2.
Summary of key findings from relevant studies.
Table 2.
Summary of key findings from relevant studies.
| Study | Findings Related to Flame Retardancy | Emission Impact | Methodology |
| Flame Retardancy Effects on Intumescent Coatings with Vinyl Acetate Copolymers [49] | Reduced peak heat release rate, extended time to peak, low foam content forms ideal char, reduces CO, CO2. | Significant reduction in CO, CO2 emissions. | Fire combustion tests, emission analysis. |
| Flammability properties of intumescent vinyl acetate-ethylene copolymer emulsion [52] | 73% reduction in peak heat release rate with bio-based additives, LOI increased to 31.5. | Reduced CO2 emissions due to char formation. | LOI, UL-94, cone calorimetry tests. |
| Fire retardant mechanism in intumescent ethylene vinyl acetate compositions [50] | MH-APP interaction enhances ammonia evolution and modifies combustion behavior. | Potential increase in NOx due to ammonia. | UL94 test, thermal analysis. |
The incorporation of vinyl acetate–ethylene emulsion-based formulations reported by Lu et al. [46] demonstrates the significant improvements in fire retardancy and CO2 emission reduction. These coatings effectively reduce peak heat release rates, extend ignition times, and form an ideal char structure, enhancing insulation and fire resistance. The bio-based additives improved LOI, contributing to lower flammability. Additionally, emissions analysis suggests that these coatings reduce CO emissions by approximately 40% and CO2 emissions by 35%, primarily due to improved char formation, which limits incomplete combustion. However, the presence of MH and APP (MH-APP) interactions can lead to increased NO_x emissions, highlighting the need for optimized formulations that balance fire performance with environmental impact. Experimental methodologies, including fire combustion tests, LOI measurements, UL-94 ratings, and cone calorimetry, validate these findings, providing a comprehensive understanding of the effectiveness of ICs in reducing fire hazards and limiting the release of toxic gases.
With time, significant progress has been made in developing more effective fire-retardant coatings. For instance, in 2003, Riva et al. employed a combination of MH and APP, which enhances fire resistance by releasing gases such as ammonia. However, as mentioned above, this can increase harmful gas emissions, such as NOx. By 2019, Chuang et al. had improved the coating by focusing on how the foam formed during burning. They used vinyl acetate copolymers to make a denser, low-foam char layer, which helped reduce CO and CO2 emissions and made the coating more stable during a fire.
In 2022, Lu et al. took it a step further by adding eco-friendly (bio-based) ingredients to their coating. This made the coating burn even less quickly, as indicated by a high LOI value, and also reduced CO2 emissions during a fire by creating a more protective char. Overall, these changes in formulation—from chemical additives to bio-based and foam-controlled systems—demonstrate how newer coatings are not only more effective at stopping fires but are also safer and more environmentally friendly.
2.2. Economic Impact of IC in the Oil and Gas Industries
IC effectiveness depends on factors such as heating rate, fire duration, and environmental exposure, all of which influence their thermal insulation performance [53,54]. To ensure reliability in high-risk environments, standardized methods for evaluating the fire-retardant efficiency of these coatings under various fire scenarios have been reported [55,56,57]. Predictive models and numerical simulations have increasingly been utilized to optimize coating thickness and enhance fire resistance while maintaining cost-effectiveness [58,59,60]. The continuous advancement of intumescent formulations is crucial for enhancing fire safety, minimizing infrastructure damage, and improving operational resilience in oil and gas facilities. Table 3 summarizes major industrial incidents from 2010 to 2025, highlighting their causes and impacts. Data from past fire incidents indicate that facilities using ICs experience fewer casualties and reduced economic losses. These coatings offer broad applicability and effectively complement other fire protection measures, as demonstrated in the 2021 Pemex Offshore Platform incident. Given the persistent fire risks in the oil and gas sector, integrating ICs into comprehensive FPSs remains essential. Ongoing research and technological innovations will further enhance their effectiveness, ensuring long-term safety and sustainability. Below is a summary of fire incidents in the oil and gas industry, their causes, impacts, and FPSs used.
Table 3.
Fire incidents in the oil and gas industry and their consequences (2010–2025).
ICs enhance fire resistance by forming an insulating char layer, significantly reducing casualties and economic losses in incidents like the 2021 Pemex Offshore Platform fire [72,73]. Recent advancements have focused on reducing volatile organic compound (VOC) emissions [46] and enhancing thermal resistance through the use of nano-additives, such as graphene, carbon nanotubes, and silica nanoparticles. These nanomaterials enhance the thermal stability, mechanical durability, and heat-blocking efficiency of ICs, making them more effective in high-temperature applications. In addition, innovation in coatings technology with self-healing properties and fire-responsive sensors enables the real-time monitoring of fire protection performance. Artificial intelligence (AI)- driven models are a new tool employed to speed the assessment of fire resistance and improve failure predictions of coating technology. As fire hazards remain a critical concern, ongoing research into bio-based, high-performance coatings is essential for enhancing durability, efficiency, and sustainability in FPSs [74].
3. Fire Hazards and the Role of Intumescent Coatings
Intumescent fire retardants (IFRs) are one of the three classes of ablative coatings (i.e., coatings destroyed as a product of their protective function) [75]. These sacrificial coatings have been employed since the 1970s. Their main application spaces have historically been offshore drilling platforms, large boats, and submarines; spaces where traditional firefighting has proved challenging [76,77]. Furthermore, it is known that structural components such as concrete and steel can lose up to half of their compressive strength at temperatures well below the melting temperature [78,79,80]. As reported in several historical cases, this could result in unexpected catastrophic structural failure and uncontrolled fire spread [81]. IFRs are employed to prevent this heating, thereby lengthening the window for implementing safety drills to evacuate and begin active fire controls.
To better understand how IFR works when there is a fire, the transformation of the coating may be explained by separating the chemical from the physical mechanisms for insight and clarity. IFR coatings are often composed of three chemical components compounded into a hydrocarbon binder [76,82,83]. These chemical components are reportedly categorized as charring agents, blowing agents, and acid sources. In the presence of elevated temperature or thermal flux across the surface of an IFR, several reactions occur simultaneously, coinciding with the softening of the binder. The acid source dehydrates in response to heat, releasing highly protic acids [84]. The combination of heat in the presence of acid catalysts will initiate the dehydration of the char-forming and blowing agents. The char former, typically a hydroxyl-rich small molecule (e.g., pentaerythritol), is driven to form intermolecular ether bonds by the acid, generating some blowing gas [84]. The blowing agent will then undergo similar catalytic degradation, producing a significantly larger amount of gas [85]. These reactions serve to generate blowing gas and promote the formation of temperature-stable ether bonds between molecules of the charring agent. This chemical transformation is accompanied by distinct physical changes within the coating, as illustrated in Figure 4. In the initial stage (a), heat conduction begins at the virgin coating layer without significant morphological transformation. As the temperature rises, intermediate reactions (b) begin with the generation of decomposition gases and char formation, creating a distinct intumescent front. This expanding char acts as a thermal barrier by disrupting heat flow. Eventually, in the final stage (c), a thick and stable char layer forms on the coating surface, effectively shielding the substrate from further thermal degradation.
Figure 4.
Physical mechanisms of action for ICs. Adapted with permission from Theoretical Modeling of Intumescent Fire-Retardant Materials [86].
The physical mechanism of intumescence is proposed to be a synergistic process between the softening of the binder into a semi-liquid and the formation of gas within a reaction zone [87,88]. This system resembles that of a typical blown system when exposed to extreme temperatures where chemical reactions occur in the semi-liquid state [87,89]. These reactions, described in further detail below, result in the formation of low-density char. Gases evolved from these reactions as bubbles that move outward through the reacting layers. As the surface is dehydrated further, the semi-liquid will ‘gel’ and solidify into a porous carbon foam [90,91,92]. This resulting multi-cellular foam has excellent heat-blocking capacity [93].
4. Formulation of Intumescent Fire Retardants
Several variables influence the quality of the resulting char foam. These factors include—but are not limited to—the void fraction in the char, crosslinking density, chemical species present in the char, pore size, and pore distribution [92,94,95]. These factors are in turn influenced by variables present during the reaction, such as heat transfer to the reacting layer, the viscoelastic state of the incipient char, and species transport in the semi-liquid [88,92,96]. These variables are then dependent on the initial chemical composition of the IFR. Several of these factors are co-dependent on the active ingredients/conditions and evolve over the course of prolonged exposure to flame conditions.
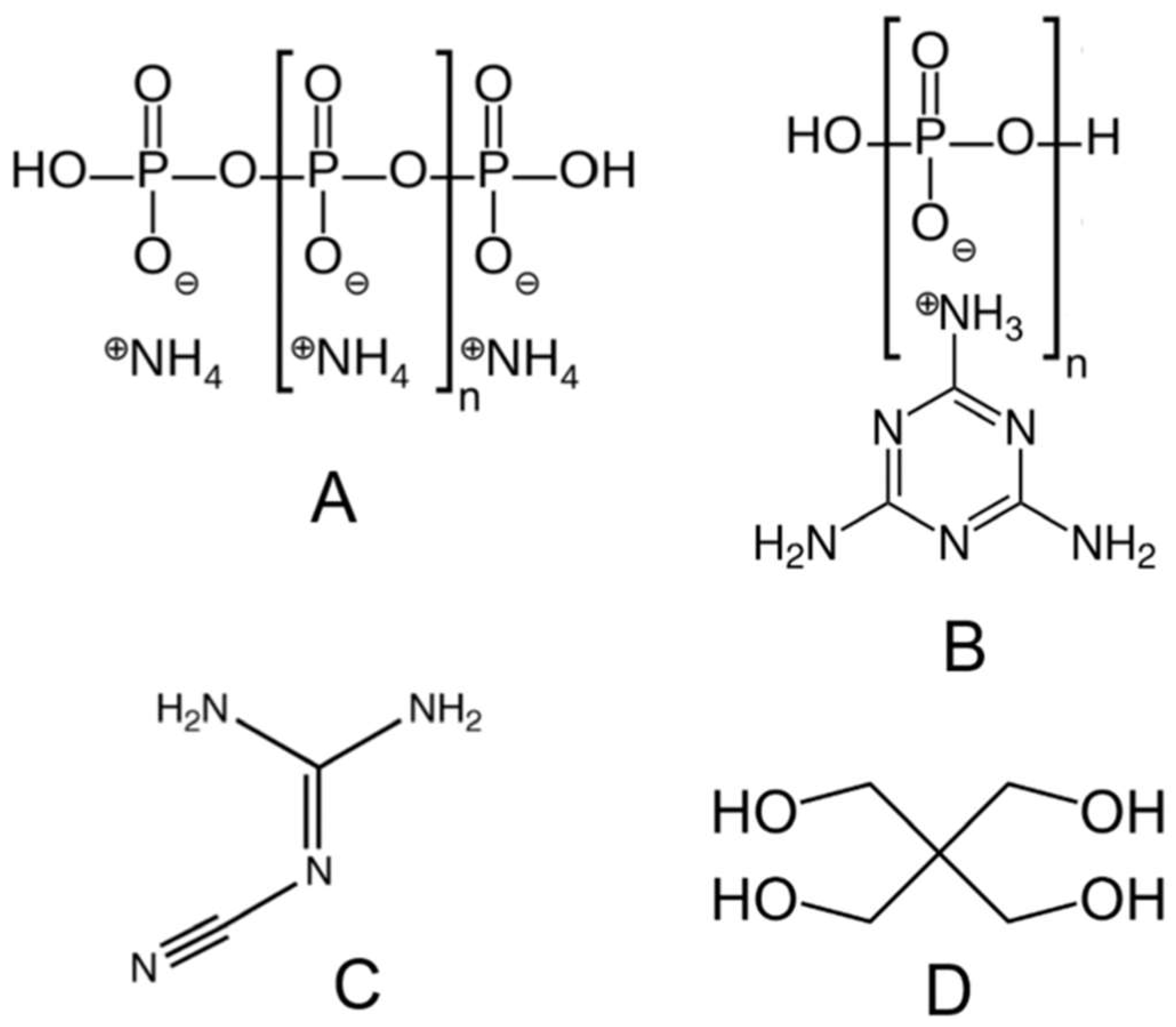
Figure 5 presents the molecular structures of key ingredients commonly used in IFR coatings, which rely on a synergistic combination of an acid source, a carbon-rich char-former, and a gas-releasing agent [97]. APP is a widely used acid donor that, upon thermal decomposition, generates phosphoric acid, which promotes the formation of a stable char layer on the substrate [98,99]. Structure B is melamine polyphosphate (MPP), in which melamine serves as a nitrogen-rich porophore, and polyphosphate again acts as an acid source. MPP decomposes to release non-flammable gases such as ammonia, aiding in the expansion of the protective char [100]. C shows the structure of dicyandiamide (DICY), another nitrogen-based additive that functions as a blowing agent. It enhances intumescence and contributes to foam expansion during decomposition [101]. Finally, D represents pentaerythritol (PER), a common polyol that acts as a carbon source or char former. It undergoes carbonization in the presence of acid to form an insulating carbonaceous layer critical for fire protection [102,103]. When properly formulated, these components form the backbone of effective IFR coatings, improving the flame retardancy of materials like epoxy resins and polyurethane foams [104].
Figure 5.
Representative chemical structures of typical intumescent flame-retardant (IFR) components used in coatings: (A) ammonium polyphosphate (APP); (B) melamine polyphosphate (MPP) with a melamine core; (C) dicyandiamide (DICY); (D) pentaerythritol. This figure is adapted with written permission from [105].
This sets the foundation for the following section on acid sources, which delves deeper into their role, decomposition behavior, and contribution to the effectiveness of IFRs.
4.1. Acid Sources
Tannic acid shown in Figure 6 below, is a naturally occurring polyphenolic compound composed of multiple gallic acid units esterified to a central glucose core. Its high density of hydroxyl groups enables it to act as both an acid source and a carbon-rich charring agent in intumescent formulations. Due to its bio-derived nature and thermal reactivity, tannic acid offers a promising alternative to traditional acid donors in IFR systems.
Figure 6.
Chemical structure of tannic acid.
The acid source is designed to decompose in the lower temperature range of fire exposure, thereby releasing acids as the binder softens [106,107]. These acids interact with the charring agent, binder, and blowing agent, catalyzing the intumescence process. The inclusion of acids has been shown to promote charring behavior in a wide variety of polymers and natural materials [108,109]. The effect and efficiency of several acids employed in commercial IFRs as well as the viability of less commercial acids has been evaluated and reported. Phosphoric acid in its polymeric form (also known as polyphosphoric acid) forms at high temperatures by the loss of water, and its salts are among the most common acid sources for IFRs [106]. For example, APP is commonly used in research and development due to its high shelf stability and ability to generate blowing gas from the ammonium salt. P. Anna et al. utilized APP in several studies, reporting that the effect of the acid source modified the rheology of the IFRs studied [110] and that increased loading of APP and borosiloxane led to reduced dripping and better char formation. In their investigation of the effects of nanoparticle encapsulation on the fire resistance of wires, Wang et al. found that char formation in by the APP–pentaerythritol–melamine system (a very common system) may be attributed to the synergy between APP and pentaerythritol in the moderate range of fire exposure temperatures (350–450 °C) [84,111]. Similarly, Duquesque et al. reported that condensed phosphates play a key role in the stiffness of the resulting char in their study of the application if intumescence to polypropylene with high talc loading. Other acid sources, such as sulfuric and boric acids, have also been studied to some extent [83,108,112].
4.2. Char Formers
Figure 7 illustrates the molecular structure of pentaerythritol, a common polyhydric alcohol used as a char-forming agent in IFR coatings. Pentaerythritol contains four hydroxyl groups that facilitate dehydration and carbonization reactions under heat, forming a stable, insulating carbonaceous layer. pentaerythritol exemplifies a classic carbon source that reacts with acids in IFR systems to generate protective char, enhancing the fire resistance of coated materials.
Figure 7.
Chemical structure of pentaerythritol.
The charring agent in an IC serves as the primary source of the carbon atoms that will make up the resulting char barrier. Traditionally, these are small molecules with abundant hydroxyl groups, such as pentaerythritol or sorbitol, but many molecules can behave as char formers [82,83]. Common IFR charring agents have abundant (and often radial) hydroxyl groups that provide a template for the formation of a char network. At high temperatures, an inorganic acid can preferentially esterify the charring agent. At slightly higher temperatures the ester will decompose via dehydration to form an inorganic residue with abundant ether bonds [84,113].
Recently, there has been growing interest in the sourcing and application of bio-derived macromolecules as charring agents [114,115,116]. Research by Nagarajan et al., Celzard et al., and others indicates that the macromolecule tannic acid may be a suitable replacement for traditional charring agents (e.g., pentaerythritol) [117,118,119]. Tannic acid is a large planar polyphenol with abundant hydroxyl groups on the outer edges. It is formed of galloyl groups linked with esters to a central phenol ring. The high conjugation and ether bonding make it more stable to heating than small molecule char formers, as demonstrated by thermogravimetric analysis (TGA) [120,121].
4.3. Blowing Agents
Figure 8 shows the molecular structure of melamine, a nitrogen-rich compound commonly used as a blowing agent in IFR systems. Upon thermal decomposition, melamine releases inert gases, such as ammonia, that help expand the softened char into a multi-cellular insulating foam. Melamine’s high thermal stability and gas-yielding behavior are critical in promoting an IFR coating’s expansion and insulation properties during fire exposure.
Figure 8.
Chemical structure of melamine.
The purpose of the blowing agent in an IFR is to produce gas upon degradation. This gas serves to blow the semi-liquid into a multi-cellular porous foam [76,83,122]. Important blowing agents for IFRs include melamine and urea. These two blowing agents have been the backbone of IFR design on both commercial and development scales. Both are large-volume chemicals with high stability and large-volume gas production upon degradation [82,112,122]. However, melamine is currently on the European Chemical Agency (ECHA) reclassification list pending additional investigation [123]. Accordingly, there is some desire to remove it entirely from compositions.
There is an interplay between binder softening (discussed below) and gas evolution that creates the foam. Like the formation of a polymer foam, the encapsulating phase must solidify around the gas bubbles to create a multi-cellular structure [92,93]. Thus, the transitions from dry film to semi-liquid reacting layer must coincide with the production of gas. If blowing occurs at temperatures exceeding that of softening, the coating will not expand; conversely, blowing at insufficiently high temperature can cause catastrophic failure of the dry film. Additionally, it has been shown that the char former, acid, and binder can all contribute to blowing to a lesser extent [118].
4.4. Binders and Binder Rheology
Various polymers can be employed as binders for ICs, and each will have their own rheological profile with respect to heating. Research has been conducted into the temperature evolution of the rheology of several common intumescent binders, both as IFRs and as non-FR filled systems [96]. P. Anna et al. investigated polypropylene compounded with a simple IFR package of pentaerythritol and APP with boroxosilane. This study was one of the first to utilize thermal scanning rheometry to characterize IFRs, revealing that increased loading of boroxosilane leads to increased melt viscosity and increased thermal barrier properties. Additionally, they showed the correlation between complex viscosity during heating and intumescence [110].
Jimenez et al. used statistical techniques to correlate the trough complex viscosity with the expansion and mechanical resistance of IFR char, this study found that the viscosity of the semi-liquid must be within a critical window in order to capture gas [88]. Later, Bodzay et al. investigated the influence of rheological additives on char formation and FR performance of IFRs. Their study on styrene–butyl acrylate copolymer FR systems filled with clay particles found that as little as 0.25 wt.% of a rheological additive changed the morphology, height, and structure of the char. They also noted differences in performance due to different aspect ratios of clay fillers [124]. Recently, Zeng et al. showed that an increase in the loading of boric acid significantly increases the minimum dynamic viscosity of the incipient char. This increase in viscosity led to a more uniform but less expanded char layer [125].
Systems such as thermoplastic polypropylene and bisphenol-based epoxies are ideal for rapid evaluation. They are simple to process, can be compounded at temperatures below the degradation of any intumescent reagent, and can encapsulate most additives without additional modification. These binders also have low LOIs and high heats of combustion, meaning they have low thresholds for combustion and will tend to burn without FR modification [126,127]. Commercial intumescent formulations will additionally contain rheological modifiers meant to ease application and storage but that do not contribute to IFR performance, such as stabilizers, dispersants, and thixotropics.
4.5. Other Additives
Figure 9 shows the molecular structure of sodium metasilicate, an inorganic additive commonly included in IFR systems. It serves as a multi-functional additive, contributing to enhanced flame resistance by promoting char formation, absorbing thermal energy, and improving the thermal stability of the coating.
Figure 9.
Structure of sodium metasilicate.
It has been shown that even low loadings of inorganic additives can significantly increase the protective performance of an IFR. Some inorganic additives (e.g., aluminum trihydride) function as fire retardants by diluting the burning phase and absorbing energy via a reduction reaction [128]. It has been shown that loading with aluminum trihydride or other similar oxides can increase LOIs above ambient conditions and lower heat of combustion values by as much as half [129]. To obtain useful effects from inorganic loading alone it is necessary to use higher loadings than may be desirable for mechanical properties or processing. In IFRs, inorganics are often added in lower weights as a synergist. It has been shown that as low as 1% loading of an inorganic additive such as TiO2 promotes the formation of highly stable carbides, causing increased mass retention and stiffness in the char [130].
5. The Use of Numerical Models to Study IC Performance
Numerical models have significantly advanced our understanding of IC performance in fire protection [131]. These models simulate heat transfer [132] combustion dynamics [133], coating expansion [134], and thermal insulation properties under various fire scenarios, particularly in the oil and gas industry [135]. Recent advancements in insulation design software have improved the accuracy of insulation thickness calculations [136]. For example, the 3E Plus software package developed by NAIMA [137] enables researchers to perform engineering calculations to optimize the thickness of ICs for enhanced fire protection in the oil and gas industry [138,139]. This software integrates heat transfer simulations to aid in material selection for pipelines, storage tanks, and offshore structures [132,140]. Its predictive capabilities help minimize thermal losses, improve fire resistance, and optimize passive fire protection systems [141,142].
Researchers have also developed finite element and finite difference models to predict coating behavior, including swelling and char formation [143,144,145]. These models account for temperature-dependent material properties, such as thermal conductivity and expansion factors [135]. Numerical simulations have evaluated coating performance on structural steel elements and composite members [146]. Some models incorporate radiative heat transfer equations to improve prediction accuracy [134]. Comparisons between numerical models and experimental results have demonstrated strong agreement, validating their effectiveness [147]. These numerical approaches provide valuable tools for researchers and engineers to assess and design ICs for fire protection applications.
Key Equations Used to Model ICs
ICs are complex fire protection systems that are modeled using various approaches, ranging from simple one-dimensional heat conduction equations to sophisticated multi-dimensional models. Key governing equations typically include mass and energy conservation, accounting for coating expansion, density changes, and thermal properties. Reference [148] explored the thermal decomposition of ICs, focusing on mass and energy conservation through one-dimensional heat transfer models, which were validated with experimental pyrolysis data. In contrast, [149] developed multi-dimensional models that emphasize energy conservation and density variations during expansion, using fire test data.
The Arrhenius equation is commonly used to describe pyrolysis reactions in these coatings [150]. They developed a kinetic model based on the Arrhenius equation to simulate the degradation of coating components under transient heating, applying it to predict reaction rates during pyrolysis. Models may also incorporate radiative heat transfer, which is significant in the expanded char region [151]. It also provided a comprehensive review highlighting the role of radiative heat transfer in the porous char layer and its integration into multi-dimensional models.
Some models divide the coating into reacted and unreacted layers while others consider multiple components degrade independently [150,152]. The latter approach accounts for the independent degradation of different coating constituents. Expansion is often modeled as a function of mass loss. Reference [153] developed an early thermodynamic model linking coating expansion to mass loss due to volatile release, utilizing simplified heat transfer equations.
Despite the variety of modeling approaches available, there remains a lack of standardization and a need for a universal framework capable of reliably simulating IC performance across different products and conditions [149]. Provided a recent review identifying gaps in current modeling techniques and advocating for a standardized modeling framework based on an extensive literature survey up to 2024.
The modeling of ICs relies on fundamental governing equations that capture the complex interplay of heat transfer, chemical reactions, and physical expansion, all of which are critical to their fire protection performance. Some studies utilize transient heat conduction models incorporating radiative and convective heat transfer while accounting for porosity effects on thermal conductivity. These models are often validated using cone calorimeter tests [154]. The heat transfer equation given in Equation (1), typically formulated as a transient conduction model with terms for radiation and convection, forms the backbone of these models:
where Q accounts for heat sources from chemical reactions or external fire exposure, with adaptations to include the effective thermal conductivity of the porous char layer [154]. Coupled with this, mass conservation principles govern gas release during intumescence. The release is often modeled using an Arrhenius-type reaction rate expression (Equation (2)),
where represents the gas generate on rates from decomposition, which drives the expansion of the coating [155]. It can also be used to computationally analyze gas release using mass conservation equations, linking decomposition rates to coating expansion under fire conditions [156]. Momentum equations, such as Darcy’s Law for porous media (Equation (3)), describe gas flow through the evolving char structure, influencing pore formation and heat transfer resistance [157].
Additionally, kinetic models, such as the Arrhenius equation (Equation (2)), simulate the reaction rates of char-forming components, linking thermal and chemical processes [158].
These equations collectively enable a comprehensive simulation of intumescent behavior, validated against experimental data to optimize fire protection efficiency [149]. Table 4 shows the key governing equations used in modeling ICs based on selected journal publications from 2004 to 2025, particularly in oil and gas industry fire protection. It highlights findings related to heat transfer, porosity, swelling dynamics, and mass conservation under fire exposure. Validated models emphasize the role of swelling kinetics, gas-driven expansion, and permeability in enhancing fire resistance.
Table 4.
Summary of key governing equations used to model ICs (2004–2025).
Nevertheless, despite significant advancements, challenges remain in integrating radiative heat transfer, multi-step reaction kinetics, and post-expansion material behavior. Future research should focus on refining computational models and incorporating advanced material designs to optimize insulation performance and durability.
6. Industry Perspectives on ICs in the Oil and Gas Sector: Challenges, Opportunities, and Future Directions
In the oil and gas industry, ICs are applied to critical infrastructure, including offshore platforms, pipelines, and storage tanks, to mitigate hydrocarbon fire risks. For instance, epoxy-based ICs are used on steel structures to delay heat transfer, extending structural integrity by up to 40 min under jet fire conditions [29]. The 2021 Pemex Offshore Platform incident demonstrated the effectiveness of ICs in reducing fire spread and economic losses (Table 3). These coatings are often combined with cementitious fireproofing or ceramic coatings to enhance durability in harsh offshore environments, addressing challenges such as UV degradation and corrosion [72]. Industry feedback from experts emphasizes the need for coatings with improved adhesion and consistent thickness to ensure reliability in real-world applications.
ICs in the oil and gas industry must meet strict safety and performance standards set by organizations like the API, ASME, ISO, NFPA, and ASTM (e.g., NFPA 101, API 2218, ASTM E119). They also require third-party certifications such as those by Underwriters Laboratories and Factory Mutual, which test and certify a product’s fire resistance and reliability. However, current testing methods do not always reflect real-life fire conditions or measure long-term performance, leading to a need for updated standards that account for real exposure, coating–layer combinations (like primers and topcoats), and evolving material technologies. The adoption of these coatings is also slowed by economic and logistical issues, including high initial costs, long curing times, and a shortage of skilled workers to apply them properly. Procurement teams often focus on cost over performance, adding further delays. Supply chain problems like material shortages and long manufacturing times also increase delays and impact safety planning. To manage these issues, companies are turning to strategies like supplier diversification and just-in-time inventory. Despite these obstacles, ICs remain promising due to their thin application, flexibility, and visual appeal. With industry collaboration—especially with manufacturers like Future Pipe and major paint producers—there is a clear path forward to improve adoption and safety outcomes.
Survey-Based Industry Reflections and Adoption Insights
Industry feedback from structured interviews reveals that, despite the promising performance of ICs in lab settings, their adoption in the oil and gas sector faces real-world challenges, including lengthy qualification procedures, procurement hesitation, and lack of long-term data. Experts stress the need for coatings that demonstrate durability under offshore conditions and predictive performance under realistic fire scenarios. There is growing enthusiasm for innovations such as nano-enhanced materials, AI-driven modeling, and self-healing formulations. However, these must be supported by practical testing, regulatory clarity, and cost-effectiveness. Sustainability is also becoming a key driver, with increasing attention to VOC emissions, recyclability, and eco-certification. Overall, closing the gap between research and industrial application through collaboration and standardization is essential for advancing adoption and meeting future fire safety demands.
7. Conclusions
This review underscores the critical role of ICs in enhancing fire safety in the oil and gas industry. Key findings include the following: Enhanced fire resistance: ICs extend the fire resistance of steel structures by up to 40 min under hydrocarbon fire conditions, significantly reducing the risk of structural failure. Advanced formulations: Nano-additives, such as graphene and silica, enhance mechanical durability and heat-blocking efficiency, while bio-derived tannic acid reduces environmental impact by lowering CO2 emissions by 35%. Predictive modeling: AI-driven numerical models optimize coating performance, enabling real-time failure predictions. Regulatory compliance: ICs meet stringent standards (e.g., API 2218, NFPA 101), supporting industry adoption. Future research should focus on standardizing testing frameworks, improving char stability, and developing sustainable formulations to ensure broader adoption and compliance with evolving safety and environmental standards.
ICs play a critical role in fire protection within the oil and gas industry. By forming an insulating char layer, these coatings significantly enhance the fire resistance of steel structures, delaying temperature rise and structural failure. Experimental findings demonstrate that properly formulated coatings can extend fire resistance times by up to 40 min compared with unprotected steel, which rapidly reaches failure temperatures. Fire incident analyses further validate the effectiveness of these coatings in reducing casualties, economic losses, and the emissions of harmful gases such as CO2, SO2, and NOx. Advances in nano-additives, such as graphene and silica nanoparticles, have improved mechanical strength and heat-shielding capacity, while AI-driven predictive models enable real-time performance optimization. However, challenges persist in multi-step reaction kinetics, post-expansion behavior, and environmental sustainability. Future research should focus on refining numerical models, expanding large-scale validation, and developing eco-friendly intumescent formulations. This review reinforces the transformative potential of ICs in improving infrastructure resilience, minimizing environmental impact, and ensuring compliance with evolving fire safety standards in the oil and gas industry.
Despite this progress, several challenges remain. These include the need for standardized testing frameworks, improved long-term char stability, and more accurate modeling of complex behaviors such as multi-step reaction kinetics, dynamic porosity evolution, and radiative heat transfer. Addressing these issues is essential to support the broader adoption of ICs in high-risk applications and ensure regulatory compliance. Future research should prioritize large-scale validation, the development of hybrid materials, and the integration of predictive simulations that tailor coating performance to specific fire conditions. By bridging the gap between academic research and industrial implementation, this review aims to advance the development of next-generation ICs that not only provide superior fire protection but also contribute to the long-term safety, resilience, and environmental sustainability of the oil and gas sector.
Funding
The authors gratefully acknowledge the Saudi Arabian Cultural Mission (SACM)’s financial support and scholarship throughout the research process.
Acknowledgments
The authors would like to acknowledge the valuable contributions and expert insights provided by professionals whose input enriched the industrial relevance of this review. Tariq Mahmood, Upstream Chemist at Baker Hughes and GE Oil & Gas, offered practical feedback on the technical and regulatory limitations that influence coating qualification and procurement decisions within the oil and gas sector. Yassine Malajati, Polymer Materials Expert and Project Manager at the R&D Center of Saudi Aramco provided insightful observations regarding formulation constraints and testing standards from an industrial research and development perspective. The authors also gratefully acknowledge the Saudi Arabian Cultural Mission (SACM)’s financial support and scholarship throughout the research process. Thanks are extended to Case Western Reserve University (CWRU) for providing the research infrastructure, academic environment, and collaborative opportunities that helped shape the technical direction of this work. Special appreciation is given to Ya-Ting Liao for her constructive feedback, mentorship, and thoughtful guidance, which significantly contributed to the refinement and clarity of this review.
Conflicts of Interest
Author Abdulkareem Melaiye was employed by the company Research and Development, Goodyear Tire & Rubber Company. The remaining authors declare that the research was conducted in the absence of any commercial or financial relationships that could be construed as a potential conflict of interest.
References
- Litvinenko, V. The Role of Hydrocarbons in the Global Energy Agenda: The Focus on Liquefied Natural Gas. Resources 2020, 9, 59. [Google Scholar] [CrossRef]
- Löffler, K.; Krumm, A. The Energy Transition in India: Quantifying Effects of the Low-Carbon Transition on the Indian Energy System. SSRN Electron. J. 2022. [Google Scholar] [CrossRef]
- Ben-Naceur, K. How the Oil and Gas Industry Is Contributing to Sustainability. J. Pet. Technol. 2019, 71, 38–39. [Google Scholar] [CrossRef]
- Solomon, M.B.; Rabha, S.S.; Fimbres-Weihs, G.; Goyal, H.; Taghikhah, F.R.; Varghese, J.J.; Wenger, S.R.; Liang, W.; Kearns, E.R.; Huang, J.; et al. Decarbonization in Australia and India: Bilateral Opportunities and Challenges for the Net Zero Transformation. ACS Eng. Au 2024, 4, 295–311. [Google Scholar] [CrossRef]
- Keerthi Narayanan, D.; Abdur Ravoof, A.; Jayapriya, J.; Revathi, G.; Murugan, M. 4—Hazards in Oil, Gas, and Petrochemical Industries. In Crises in Oil, Gas and Petrochemical Industries; Rahimpour, M.R., Omidvar, B., Shirazi, N.A., Makarem, M.A., Eds.; Elsevier: Amsterdam, The Netherlands, 2023; pp. 71–99. [Google Scholar] [CrossRef]
- Yazdi, M.; Adesina, K.A.; Korhan, O.; Nikfar, F. Learning from Fire Accident at Bouali Sina Petrochemical Complex Plant. J. Fail. Anal. Prev. 2019, 19, 1517–1536. [Google Scholar] [CrossRef]
- Baerncopf, J.; Hutches, K. A Review of Modern Challenges in Fire Debris Analysis. Forensic Sci. Int. 2014, 244, e12–e20. [Google Scholar] [CrossRef]
- Bassi, I.; Delchiaro, F.; Bandinelli, C.; Mazzocchetti, L.; Salatelli, E.; Sarti, G. A New Perspective on Hydrogen Chloride Scavenging at High Temperatures for Reducing the Smoke Acidity of PVC Cables in Fires, IV: The Impact of Acid Scavengers at High Temperatures on Flame Retardance and Smoke Emission. Fire 2023, 6, 259. [Google Scholar] [CrossRef]
- Gravit, M.V.; Kotlyarskaya, I.L.; Zybina, O.A.; Korolchenko, D.A.; Nuguzhinov, Z.S. Fire Resistance of Building Structures and Fire Protection Materials: Bibliometric Analysis. Fire 2024, 8, 10. [Google Scholar] [CrossRef]
- Soares, I.; Ferreira, J.L.; Silva, H.; Rodrigues, M.P. Fire-Retardant and Fire-Resistant Coatings: From Industry to the Potential Use on Cultural Heritage. J. Cult. Herit. 2024, 68, 316–327. [Google Scholar] [CrossRef]
- Kim, Y.; Makarov, D.; Kashkarov, S.; Joseph, P.; Molkov, V. Modelling Heat Transfer in an Intumescent Paint and Its Effect on Fire Resistance of On-Board Hydrogen Storage. Int. J. Hydrogen Energy 2017, 42, 7297–7303. [Google Scholar] [CrossRef]
- Aydin, N.; Seker, S.; Şen, C. A New Risk Assessment Framework for Safety in Oil and Gas Industry: Application of FMEA and BWM Based Picture Fuzzy MABAC. J. Pet. Sci. Eng. 2022, 219, 111059. [Google Scholar] [CrossRef]
- Cirpici, B.K.; Aydin, I. Investigation of Intumescent Coating on the Fire Endurance of Concrete-Filled Steel Columns with Varied Characteristics. J. Mater. Res. Technol. 2023, 25, 1959–1980. [Google Scholar] [CrossRef]
- Gorlenko, N.V.; Murzin, M.A. Comparative Analysis of Fire Risks in Coal and Oil and Gas Industries. IOP Conf. Ser. Mater. Sci. Eng. 2019, 687, 066009. [Google Scholar] [CrossRef]
- Zang, X.; Liu, W.; Wu, D.; Pan, X.; Zhang, W.; Bian, H.; Shen, R. Contemporary Fire Safety Engineering in Timber Structures: Challenges and Solutions. Fire 2023, 7, 2. [Google Scholar] [CrossRef]
- Siddiqui, N.A.; Tauseef, S.M.; Abbasi, S.A.; Rangwala, A.S. Advances in Fire and Process Safety; Springer Transactions in Civil and Environmental Engineering; Springer: Berlin/Heidelberg, Germany, 2018; pp. 171–181. [Google Scholar]
- Zhu, Y.; Li, X.; Yu, J.; Cheng, Y.; Zhang, F. A Simplified Heat Transfer Model for Intumescent Coatings. J. Therm. Anal. Calorim. 2024, 149, 1343–1350. [Google Scholar] [CrossRef]
- Kuznetsov, G.V.; Zhdanova, A.O.; Volkov, R.S.; Strizhak, P.A. Optimizing Firefighting Agent Consumption and Fire Suppression Time in Buildings by Forming a Fire Feedback Loop. Process Saf. Environ. Prot. 2022, 165, 754–775. [Google Scholar] [CrossRef]
- Chopade, M. Fire Suppression Systems for High Rise Buildings in India. Int. J. Sci. Res. Eng. Dev. 2020, 3, 473–489. [Google Scholar]
- Edwards, A.; Smith, S.; Busch, P.; Winchester, D.; Tan, F.; Pang, V. Critical Learning from Fires: An Investigation of Complexity in IS-Enabled Emergency Management. 2020. Available online: https://web.archive.org/web/20220802072600id_/https://aisel.aisnet.org/cgi/viewcontent.cgi?article=1098&context=pacis2020 (accessed on 15 June 2025).
- Cadena, J.E.; Osorio, A.F.; Torero, J.L.; Reniers, G.; Lange, D. Uncertainty-Based Decision-Making in Fire Safety: Analyzing the Alternatives. J. Loss Prev. Process Ind. 2020, 68, 104288. [Google Scholar] [CrossRef]
- Takahashi, F. Fire Blanket and Intumescent Coating Materials for Failure Resistance. MRS Bull. 2021, 46, 429–434. [Google Scholar] [CrossRef]
- Kang, J.; Takahashi, F.; T’ien, J.S. In Situ Thermal-Conductivity Measurements and Morphological Characterization of Intumescent Coatings for Fire Protection. J. Fire Sci. 2018, 36, 419–437. [Google Scholar] [CrossRef]
- Gomez-Mares, M.; Tugnoli, A.; Landucci, G.; Barontini, F.; Cozzani, V. Behavior of Intumescent Epoxy Resins in Fireproofing Applications. J. Anal. Appl. Pyrolysis 2012, 97, 99–108. [Google Scholar] [CrossRef]
- Gomez-Mares, M.; Tugnoli, A.; Landucci, G.; Cozzani, V. Performance Assessment of Passive Fire Protection Materials. Ind. Eng. Chem. Res. 2012, 51, 7679–7689. [Google Scholar] [CrossRef]
- Brameld, M.; Baensch, T. Development of a Novel Passive Fire Protection System–Humidur Char. APPEA J. 2023, 63, S155–S158. [Google Scholar] [CrossRef]
- M.R.F. Intumescent Coatings Market Size, Share and Forecast Report 2032. Available online: https://www.marketresearchfuture.com/reports/intumescent-coatings-market-10536 (accessed on 19 March 2025).
- Sorathia, U.; Gracik, T.; Ness, J.; Durkin, A.; Williams, F.; Hunstad, M.; Berry, F. Evaluation of Intumescent Coatings for Shipboard Fire Protection. J. Fire Sci. 2003, 21, 423–450. [Google Scholar] [CrossRef]
- Gravit, M.; Korolchenko, D.; Nedviga, E.; Portnov, F.; Diachenko, S. Impact of Jet Fires on Steel Structures: Application of Passive Fire Protection Materials. Fire 2024, 7, 281. [Google Scholar] [CrossRef]
- Mariappan, T. Recent Developments of Intumescent Fire Protection Coatings for Structural Steel: A Review. J. Fire Sci. 2016, 34, 120–163. [Google Scholar] [CrossRef]
- Jagadeesha, T.; Kunar, S. Integrating Metal Forming and Additive Manufacturing for Enhanced Product Quality and Efficiency. In Advances in Additive Manufacturing; John Wiley & Sons: Hoboken, NJ, USA, 2024; pp. 129–143. [Google Scholar] [CrossRef]
- Jagadeesha, T.; Kunar, S. Nano-Additives for Advanced Additive Manufacturing: Enhancing Quality, Sustainability and Performance. In Advances in Additive Manufacturing; John Wiley & Sons: Hoboken, NJ, USA, 2024; pp. 157–164. [Google Scholar]
- Jo, S.; Oterkus, E. Thermal and Structural Behaviour of Offshore Structures with Passive Fire Protection. Sustain. Mar. Struct. 2022, 4, 16–28. [Google Scholar]
- Ngene, S.; Tota-Maharaj, K.; Eke, P.; Hills, C. Environmental Implications of Flaring and Venting in Crude Oil and Natural Gas Production. Energy Res. 2015, 4, 154. [Google Scholar] [CrossRef]
- Otutu, J.O. Environmental Impact of Gas Flaring within Umutu-Ebedei Gas Plant in Delta State, Nigeria. 2011. Available online: https://www.scholarsresearchlibrary.com/articles/environmental-impact-of-gas-flaring-within-umutuebedei-gas-plant-in-delta-state-nigeria.pdf (accessed on 15 June 2025).
- Hunter, E. Wildfire Resilience in Southern Alberta. Available online: https://ucalgary.scholaris.ca/items/e3f17a1b-2101-44bb-bb58-bb449c3d9067 (accessed on 15 June 2025).
- Asad, M.M.; Bin Hassan, R.; Sherwani, F.; Soomro, Q.M.; Sohu, S.; Lakhiar, M.T. Oil and Gas Disasters and Industrial Hazards Associated with Drilling Operation: An Extensive Literature Review. In Proceedings of the 2019 2nd International Conference on Computing, Mathematics and Engineering Technologies (iCoMET), Sukkur, Pakistan, 30–31 January 2019; pp. 1–6. [Google Scholar] [CrossRef]
- Zia, A.W.; Hussain, S.A.; Baig, M.M.F.A. Optimizing Diamond-like Carbon Coatings—From Experimental Era to Artificial Intelligence. Ceram. Int. 2022, 48, 36000–36011. [Google Scholar] [CrossRef]
- Al-Hemoud, A.; Al-Dousari, A.; Misak, R.; Al-Sudairawi, M.; Naseeb, A.; Al-Dashti, H.; Al-Dousari, N. Economic Impact and Risk Assessment of Sand and Dust Storms (SDS) on the Oil and Gas Industry in Kuwait. Sustainability 2019, 11, 200. [Google Scholar] [CrossRef]
- Elehinafe, F.B.; Nwizu, C.I.; Odunlami, O.B.; Ibukun, F.D. Natural Gas Flaring in Nigeria, Its Effects and Potential Alternatives—A Review. J. Ecol. Eng. 2022, 23, 141–151. [Google Scholar] [CrossRef]
- Usiabulu, G.I.; Amadi, A.H.; Adebisi, O.; Ifedili, U.D.; Ajayi, K.E.; Moses, P.R. Gas Flaring, and Its Environmental Impact in Ekpan Community, Delta State, Nigeria. Am. J. Sci. Eng. Technol. 2023, 8, 42–53. [Google Scholar]
- Makocha, I.R.; Ete, T.; Saini, G. Deepwater Horizon Oil Spill: A Review. Volume 5. Available online: https://www.researchgate.net/publication/351372279_Deepwater_Horizon_Oil_Spill_A_Review (accessed on 15 June 2025).
- Reuters. Fire on Pemex Offshore Platform in Gulf of Mexico Kills Five. 2021. Available online: https://www.bbc.com/news/world-latin-america-58315356 (accessed on 15 June 2025).
- Kohler, M.D.; Massari, A.; Heaton, T.H.; Kanamori, H.; Hauksson, E.; Guy, R.; Clayton, R.W.; Bunn, J.; Chandy, K.M. Downtown Los Angeles 52-Story High-Rise and Free-Field Response to an Oil Refinery Explosion. Earthq. Spectra 2016, 32, 1793–1820. [Google Scholar] [CrossRef]
- Al Jazeera. Iran’s Natanz Nuclear Facility Hit by “Sabotage”. 2020.
- Gałaj, J.A.; Saleta, D. 5—Toxicity of Toxic Gases Emitted during a Fire and Ventilation. In Advances in the Toxicity of Construction and Building Materials; Pacheco-Torgal, F., Falkinham, J.O., Gałaj, J.A., Eds.; Woodhead Publishing Series in Civil and Structural Engineering; Woodhead Publishing: Oxford, UK, 2022; pp. 81–115. [Google Scholar] [CrossRef]
- Terrill, J.B.; Montgomery, R.R.; Reinhardt, C.F. Toxic Gases from Fires. Science 1978, 200, 1343–1347. [Google Scholar] [CrossRef]
- Docslib. Chapter 1: Chemistry and Physics of Fire. Available online: https://docslib.org/doc/11675931/chapter-1-chemistry-and-physics-of-fire (accessed on 20 March 2025).
- Chuang, C.-S.; Fan, Y.-J.; Sheen, H.-J. Flame Retardancy Effects on Intumescent Coatings with Vinyl Acetate Copolymers. Int. Polym. Process. 2019, 34, 541–550. [Google Scholar] [CrossRef]
- Riva, A.; Camino, G.; Fomperie, L.; Amigouët, P. Fire Retardant Mechanism in Intumescent Ethylene Vinyl Acetate Compositions. Polym. Degrad. Stab. 2003, 82, 341–346. [Google Scholar] [CrossRef]
- Jimenez, M.; Duquesne, S.; Bourbigot, S. Kinetic Analysis of the Thermal Degradation of an Epoxy-Based Intumescent Coating. Polym. Degrad. Stab. 2009, 94, 404–409. [Google Scholar] [CrossRef]
- Lu, J.; Li, L.; Jiang, P.; Chen, Z.; Fontaine, G.; Zhang, Y.; Yu, G.; Bourbigot, S. Flammability Properties of Intumescent Vinyl Acetate–Ethylene Copolymer Emulsion Including Natural Carbonization Agent. Polymer 2022, 245, 124709. [Google Scholar] [CrossRef]
- Lucherini, A.; Hidalgo, J.P.; Torero, J.L.; Maluk, C. A Novel Approach to Model the Thermal and Physical Behaviour of Swelling Intumescent Coatings Exposed to Fire. In Proceedings of the 11th International Conference on Structures in Fire (SiF2020); The University of Queensland: Brisbane, Australia, 2020. [Google Scholar] [CrossRef]
- Lucherini, A.; Hidalgo, J.P.; Torero, J.L.; Maluk, C. Influence of Heating Conditions and Initial Thickness on the Effectiveness of Thin Intumescent Coatings. Fire Saf. J. 2021, 120, 103078. [Google Scholar] [CrossRef]
- Kovalov, A.; Otrosh, Y.; Semkiv, O.; Konoval, V.; Chernenko, O. Influence of the Fire Temperature Regime on the Fire-Retardant Ability of Reinforced-Concrete Floors Coating. Mater. Sci. Forum 2020, 1006, 87–92. [Google Scholar] [CrossRef]
- Kovalov, A.I.; Otrosh, Y.A.; Kovalevska, T.M.; Safronov, S.O. Methodology for Assessment of the Fire-Resistant Quality of Reinforced-Concrete Floors Protected by Fire-Retardant Coatings. IOP Conf. Ser. Mater. Sci. Eng. 2019, 708, 012058. [Google Scholar] [CrossRef]
- Qin, D.; Gao, P.; Aslam, F.; Sufian, M.; Alabduljabbar, H. A Comprehensive Review on Fire Damage Assessment of Reinforced Concrete Structures. Case Stud. Constr. Mater. 2022, 16, e00843. [Google Scholar] [CrossRef]
- Amini, R.; Amini, M.; Jafarinia, A.; Kashfi, M. Numerical Investigation on Effects of Using Segmented and Helical Tube Fins on Thermal Performance and Efficiency of a Shell and Tube Heat Exchanger. Appl. Therm. Eng. 2018, 138, 750–760. [Google Scholar] [CrossRef]
- Hafiz, T.; Gassama, E.; Covello, J.; Wnek, G.; Liao, Y.-T.; Melaiye, A.K. Experimental and Numerical Approaches to Optimize Heat Blocking Efficiency in Intumescent Coatings. Eng. Model. Anal. Simul. 2025, 2. [Google Scholar] [CrossRef]
- Natarajan, E.; Freitas, L.I.; Santhosh, M.S.; Markandan, K.; Al-Talib, A.A.M.; Hassan, C.S. Experimental and Numerical Analysis on Suitability of S-Glass-Carbon Fiber Reinforced Polymer Composites for Submarine Hull. Def. Technol. 2023, 19, 1–11. [Google Scholar] [CrossRef]
- Barrera, A. Neil Prophet, Senior Partner. Available online: https://www.iomosaic.com/about/our-teams/neil-prophet (accessed on 15 June 2025).
- Bloor, M.; Boyle, T.; Chintapatla, T. Failures, Repeated—The Tianjin Explosion. Available online: https://www.icheme.org/media/18714/lpb286_pg17.pdf (accessed on 15 June 2025).
- Nolan, D.P. Handbook of Fire and Explosion Protection Engineering Principles for Oil, Gas, Chemical, and Related Facilities; Elsevier: Amsterdam, The Netherlands, 2019. [Google Scholar]
- Fatal Explosion Hits Giant BASF Site. CEN Glob. Enterp. 2016, 94, 13. [CrossRef]
- Fire and Explosions at Philadelphia Energy Solutions Refinery. Available online: https://www.csb.gov/philadelphia-energy-solutions-pes-refinery-fire-and-explosions-/ (accessed on 15 June 2025).
- Iheukwumere, O.E.; Moore, D.; Omotayo, T. Investigating the Challenges of Refinery Construction in Nigeria: A Snapshot across Two-Timeframes over the Past 55 Years. Int. J. Constr. Supply Chain Manag. 2020, 10, 46–72. [Google Scholar]
- Manikumar, D.; Raju, T.B.; Sharma, U. Analysis of Accidents in the Oil and Gas Industry in Kuwait. Int. J. Saf. Secur. Eng. 2024, 14, 893–905. [Google Scholar] [CrossRef]
- Бeздeнeжнaя, E.H.; Дoлгушинa, Л.B. Пoжaрнaя Бeзoпaснoсть Нa Склaдaх Нeфти и Нeфтeпрoдуктoв. Facilities 2023, 10. [Google Scholar]
- Shell Will Sell Its Singapore Cracker. CEN Glob. Enterp. 2024, 102, 12. [CrossRef]
- Seydi, S.T. Assessment of the January 2025 Los Angeles County Wildfires: A Multi-Modal Analysis of Impact, Response, and Population Exposure. arXiv 2025, arXiv:250117880. [Google Scholar]
- Qiu, M.; Chen, D.; Kelp, M.; Li, J.; Huang, G.; Yazdi, M.D. The Rising Threats of Wildland-Urban Interface Fires in the Era of Climate Change: The Los Angeles 2025 Fires. Innovation 2025, 6, 100835. [Google Scholar] [CrossRef] [PubMed]
- Yasir, M.; Ahmad, F.; Yusoff, P.S.M.M.; Ullah, S.; Jimenez, M. Latest Trends for Structural Steel Protection by Using Intumescent Fire Protective Coatings: A Review. Surf. Eng. 2020, 36, 334–363. [Google Scholar] [CrossRef]
- Yasir, M.; Amir, N.; Ahmad, F.; Ullah, S.; Jimenez, M. Synergistic Effect of Basalt Fiber on the Thermal Properties of Intumescent Fire Retardant Coating. Mater. Today Proc. 2019, 16, 2030–2038. [Google Scholar] [CrossRef]
- Tiwari, V.M.; Rao, M.B.S.V.; Mishra, D.C. Density Inhomogeneities beneath Deccan Volcanic Province, India as Derived from Gravity Data. J. Geodyn. 2001, 31, 1–17. [Google Scholar] [CrossRef]
- Tran, H.K.; Johnson, C.E.; Rasky, D.J.; Hui, F.C.L.; Hsu, M.-T.; Chen, T.; Chen, Y.K.; Paragas, D.; Kobayashi, L. Phenolic Impregnated Carbon Ablators (PICA) as Thermal ProtectionSystems for DiseoveN Missions; NASA TM-110440; NASA: Washington, DC, USA, 1997.
- Hao, J.; Chow, W.K.; Chow, W.K. A Brief Review of Intumescent Fire Retardant Coatings. Archit. Sci. Rev. 2003, 46, 89. [Google Scholar] [CrossRef]
- Horacek, H.; Pieh, S. The Importance of Intumescent Systems for Fire Protection of Plastic Materials. Fire Retard. Polym. 2000, 49, 1106–1114. [Google Scholar] [CrossRef]
- Wang, W.; Liu, B.; Kodur, V. Effect of Temperature on Strength and Elastic Modulus of High-Strength Steel. J. Mater. Civ. Eng. 2013, 25, 174–182. [Google Scholar] [CrossRef]
- Kodur, V. Properties of Concrete at Elevated Temperatures. Int. Sch. Res. Not. 2014, 2014, 468510. [Google Scholar] [CrossRef]
- El-Zohairy, A.; Hammontree, H.; Oh, E.; Moler, P. Materials Temperature Effect on the Compressive Behavior and Constitutive Model of Plain Hardened Concrete. Materials 2020, 13, 2801. [Google Scholar] [CrossRef]
- Keltner, N.R.; Alvares, N.J.; Grayson, S.J. (Eds.) Very Large-Scale Fires; STP1336-EB; ASTM International: Conshohocken, PA, USA, 1998. [Google Scholar]
- Alongi, J.; Han, Z.; Bourbigot, S. Intumescence: Tradition versus Novelty. A Comprehensive Review. Prog. Polym. Sci. 2015, 51, 28–73. [Google Scholar] [CrossRef]
- Puri, R.G.; Khanna, A.S. Intumescent Coatings: A Review on Recent Progress. J. Coat. Technol. Res. 2017, 14, 1–20. [Google Scholar] [CrossRef]
- Camino, G.; Costa, L.; Trossarelli, L. Study of the Mechanism of Intumescence in Fire Retardant Polymers: Part l-Thermal Degradation of Ammonium Polyphosphate-Pentaerythritol Mixtures. Polym. Degrad. Stab. 1984, 6, 243–252. [Google Scholar] [CrossRef]
- Pan, Y.; Zhao, H. A Novel Blowing Agent Polyelectrolyte for Fabricating Intumescent Multilayer Coating that Retards Fire on Cotton Fabric. J. Appl. Polym. Sci. 2018, 135, 46583. [Google Scholar] [CrossRef]
- Shih, Y.C.; Cheung, F.B.; Koo, J.H. Theoretical Modeling of Intumescent Fire-Retardant Materials. J. Fire Sci. 1998, 16, 46–71. [Google Scholar] [CrossRef]
- Bugajny, M.; Bras, M.L.; Noeuml, A.; Bourbigot, S. Use of Thermoplastic Polyurethanes as Carbonisation Agents in Intumescent Blends. Part 3: Modification of the Dynamic Properties of Polypropylene/Thermoplastic Polyurethane/Ammonium Polyphosphate Formulations with Heat and Stress. J. Fire Sci. 2000, 18, 104–129. [Google Scholar] [CrossRef]
- Jimenez, M.; Duquesne, S.; Bourbigot, S. Multiscale Experimental Approach for Developing High-Performance Intumescent Coatings. Ind. Eng. Chem. Res. 2006, 45, 4500–4508. [Google Scholar] [CrossRef]
- Duquesne, S.; Bras, M.L.; Bourbigot, S.; Delobel, R.; Camino, G.; Eling, B.; Lindsay, C.; Roels, T.; Vezin, H. Mechanism of Fire Retardancy of Polyurethanes Using Ammonium Polyphosphate. J. Appl. Polym. Sci. 2001, 82, 3262–3274. [Google Scholar] [CrossRef]
- Bugajny, M.; Bras, M.L.; Bourbigot, S. New Approach to the Dynamic Properties of an Intumescent Material. Fire Mater. 1999, 23, 49–51. [Google Scholar] [CrossRef]
- Duquesne, S.; Magnet, S.; Jama, C.; Delobel, R. Thermoplastic Resins for Thin Film Intumescent Coatings—Towards a Better Understanding of Their Effect on Intumescence Efficiency. Polym. Degrad. Stab. 2005, 88, 63–69. [Google Scholar] [CrossRef]
- Bourbigot, S. Chapter 6—Evaluation of Condensed Phase: Char/Residue Analysis. In Analysis of Flame Retardancy in Polymer Science; Vahabi, H., Saeb, M.R., Malucelli, G., Eds.; Elsevier: Amsterdam, The Netherlands, 2022; pp. 191–231. [Google Scholar] [CrossRef]
- Chang, W.-H.; Scriven, R.L.; Ross, R.B. Flame-Retardant Organic Coatings. In Flame-Retardant Polymeric Materials; Lewin, M., Atlas, S.M., Pearce, E.M., Eds.; Springer: Boston, MA, USA, 1975; pp. 399–453. [Google Scholar] [CrossRef]
- Muller, M.; Bourbigot, S.; Duquesne, S.; Klein, R.A.; Giannini, G.; Lindsay, C.I. Measurement and Investigation of Intumescent Char Strength: Application to Polyurethanes. J. Fire Sci. 2013, 31, 293–308. [Google Scholar] [CrossRef]
- Zeng, Y.; Weinell, C.E.; Dam-Johansen, K.; Ring, L.; Kiil, S. Effects of Coating Ingredients on the Thermal Properties and Morphological Structures of Hydrocarbon Intumescent Coating Chars. Prog. Org. Coat. 2020, 143, 105626. [Google Scholar] [CrossRef]
- Rajan, K.P.; Thomas, S.P.; Gopanna, A.; Al-Ghamdi, A.; Chavali, M. Rheology, Mechanical Properties and Thermal Degradation Kinetics of Polypropylene (PP) and Polylactic Acid (PLA) Blends. Mater. Res. Express 2018, 5, 085304. [Google Scholar] [CrossRef]
- Zybina, O.; Gravit, M. Basic Ingredients of Intumescent Compositions. In Intumescent Coatings for Fire Protection of Building Structures and Materials; Zybina, O., Gravit, M., Eds.; Springer International Publishing: Cham, Switzerland, 2020; pp. 1–51. [Google Scholar] [CrossRef]
- Leca, M.; Cioroianu, L.; Cioroianu, G.; Damian, G. Aqueous Ecological Intumescent Fire Retardant Coatings for Multifunctional Applications. 1. Preparation and Characterization. 2007. Available online: https://revroum.lew.ro/wp-content/uploads/2007/RRCh_8-9_2007/Art_M.Leca.pdf (accessed on 15 June 2025).
- Lu, W.; Jin, Z. Synthesis of Phosphorus/Nitrogen Containing Intumescent Flame Retardants from p-Hydroxybenzaldehyde, Vanillin and Syringaldehyde for Rigid Polyurethane Foams. Polym. Degrad. Stab. 2022, 195, 109768. [Google Scholar] [CrossRef]
- Wang, J.; Li, G.; Yang, S.; Jiang, J. New Intumescent Flame-retardant Agent: Application to Polyurethane Coatings. J. Appl. Polym. Sci. 2004, 91, 1193–1206. [Google Scholar] [CrossRef]
- Zoleta, J.B.; Itao, G.B.; Resabal, V.J.T.; Lubguban, A.A.; Corpuz, R.D.; Ito, M.; Hiroyoshi, N.; Tabelin, C.B. Improved Pyrolysis Behavior of Ammonium Polyphosphate-Melamine-Expandable (APP-MEL-EG) Intumescent Fire Retardant Coating System Using Ceria and Dolomite as Additives for I-Beam Steel Application. Heliyon 2020, 6, e03119. [Google Scholar] [CrossRef]
- Gao, M.; Yang, S. A Novel Intumescent Flame-retardant Epoxy Resins System. J. Appl. Polym. Sci. 2010, 115, 2346–2351. [Google Scholar] [CrossRef]
- Yan, H.; Zhang, J.; Zhang, M.; Du, X.; Ma, S.; Xu, B. Synergistic Flame-Retardant Effect of IFR and PPO in Improving Flame Retardancy of Polystyrene. Adv. Polym. Technol. 2016, 35, 208–214. [Google Scholar] [CrossRef]
- Wladyka-Przybylak, M.; Kozlowski, R. The Thermal Characteristics of Different Intumescent Coatings. Fire Mater. 1999, 23, 33–43. [Google Scholar] [CrossRef]
- Angelova, L.V.; Shugar, A.; Maines, C.A.; Tanimoto, S.; Singer, M.; Dommermuth, J.; Duggan, H.; Duncan, T.T.; Finnefrock, A.C.; Mass, J.L. The Use and Deterioration of Intumescent Fire-Retardant Paint on Louise Nevelson’s Erol Beker Chapel of the Good Shepherd. Heritage 2025, 8, 128. [Google Scholar] [CrossRef]
- Lim, K.-S.; Bee, S.-T.; Sin, L.T.; Tee, T.-T.; Ratnam, C.T.; Hui, D.; Rahmat, A.R. A Review of Application of Ammonium Polyphosphate as Intumescent Flame Retardant in Thermoplastic Composites. Compos. Part B 2015, 84, 155–174. [Google Scholar] [CrossRef]
- Wang, J.S.; Wang, D.Y.; Liu, Y.; Ge, X.G.; Wang, Y.Z. Polyamide-Enhanced Flame Retardancy of Ammonium Polyphosphate on Epoxy Resin. J. Appl. Polym. Sci. 2008, 108, 2644–2653. [Google Scholar] [CrossRef]
- Nagieb, Z.A.; Nassar, M.A.; El-Meligy, M.G. Effect of Addition of Boric Acid and Borax on Fire-Retardant and Mechanical Properties of Urea Formaldehyde Saw Dust Composites. Int. J. Carbohydr. Chem. 2011, 2011, 146763. [Google Scholar] [CrossRef]
- Wang, Q.; Li, J.; Winandy, J.E. Chemical Mechanism of Fire Retardance of Boric Acid on Wood. Wood Sci. Technol. 2004, 38, 375–389. [Google Scholar] [CrossRef]
- Anna, P.; Marosi, G.; Csontos, I.; Bourbigot, S.; Le Bras, M.; Delobel, R. Influence of Modified Rheology on the Efficiency of Intumescent Flame Retardant Systems. Polym. Degrad. Stab. 2001, 74, 423–426. [Google Scholar] [CrossRef]
- Wang, Z.; Han, E.; Ke, W. Effect of Nanoparticles on the Improvement in Fire-Resistant and Anti-Ageing Properties of Flame-Retardant Coating. Surf. Coat. Technol. 2006, 200, 5706–5716. [Google Scholar] [CrossRef]
- Ullah, S.; Ahmad, F.; Yusoff, P.S.M.M. Effect of Boric Acid and Melamine on the Intumescent Fire-Retardant Coating Composition for the Fire Protection of Structural Steel Substrates. J. Appl. Polym. Sci. 2013, 128, 2983–2993. [Google Scholar] [CrossRef]
- Coimbra, A.; Sarazin, J.; Bourbigot, S.; Legros, G.; Consalvi, J.-L. A Semi-Global Reaction Mechanism for the Thermal Decomposition of Low-Density Polyethylene Blended with Ammonium Polyphosphate and Pentaerythritol. Fire Saf. J. 2022, 133, 103649. [Google Scholar] [CrossRef]
- Schinazi, G.; D’almeida, J.J.M.; Pokorski, J.K.; Schiraldi, D.A. Bio-Based Flame Retardation of Acrylonitrile−Butadiene−Styrene. ACS Appl. Polym. Mater. 2020, 2021, 372–388. [Google Scholar] [CrossRef]
- Kulkarni, S.; Xia, Z.; Yu, S.; Kiratitanavit, W.; Morgan, A.B.; Kumar, J.; Mosurkal, R.; Nagarajan, R. Bio-Based Flame-Retardant Coatings Based on the Synergistic Combination of Tannic Acid and Phytic Acid for Nylon-Cotton Blends. ACS Appl. Mater. Interfaces 2021, 13, 61620–61628. [Google Scholar] [CrossRef]
- Villamil Watson, D.A.; Schiraldi, D.A. Biomolecules as Flame Retardant Additives for Polymers: A Review. Polymers 2020, 12, 849. [Google Scholar] [CrossRef] [PubMed]
- Price, E.J.; Covello, J.; Paul, R.; Wnek, G.E. Tannic Acid Based Super-intumescent Coatings for Prolonged Fire Protection of Cardboard and Wood. SPE Polym. 2021, 2, 153–168. [Google Scholar] [CrossRef]
- Xia, Z.; Singh, A.; Kiratitanavit, W.; Mosurkal, R.; Kumar, J.; Nagarajan, R. Unraveling the Mechanism of Thermal and Thermo-Oxidative Degradation of Tannic Acid. Thermochim. Acta 2015, 605, 77–85. [Google Scholar] [CrossRef]
- Basak, S.; Raja, A.S.M.; Saxena, S.; Patil, P.G. Tannin Based Polyphenolic Bio-Macromolecules: Creating a New Era towards Sustainable Flame Retardancy of Polymers. Polym. Degrad. Stab. 2021, 189, 109603. [Google Scholar] [CrossRef]
- Celzard, A.; Fierro, V.; Amaral-Labat, G.; Pizzi, A.; Torero, J. Flammability Assessment of Tannin-Based Cellular Materials. Polym. Degrad. Stab. 2011, 96, 477–482. [Google Scholar] [CrossRef]
- Hobbs, C. Recent Advances in Bio-Based Flame Retardant Additives for Synthetic Polymeric Materials. Polymers 2019, 11, 224. [Google Scholar] [CrossRef]
- Jü, B.; Irran, E.; Senker, J.R.; Kroll, P.; Mü, H.; Schnick, W. Melem (2,5,8-Triamino-Tri-s-Triazine), an Important Intermediate during Condensation of Melamine Rings to Graphitic Carbon Nitride: Synthesis, Structure Determination by X-Ray Powder Diffractometry, Solid-State NMR, and Theoretical Studies. J. Am. Chem. Soc. 2003, 125, 10288–10300. [Google Scholar] [CrossRef]
- Federal Institute for Occupational Safety and Health. CLH Report Proposal for Harmonised Classification and Labelling Based on Regulation (EC) No 1272/2008 (CLP Regulation): Melamine. 2019. Available online: https://www.iaeg.com/binaries/content/assets/iaeg-newsletters/2023/04/eu_clh-report_proposal-for-harmonised-classification-and-labelling.pdf (accessed on 15 June 2025).
- Bodzay, B.; Bocz, K.; Bárkai, Z.; Marosi, G. Influence of Rheological Additives on Char Formation and Fire Resistance of Intumescent Coatings. Polym. Degrad. Stab. 2011, 96, 355–362. [Google Scholar] [CrossRef]
- Zeng, Y.; Weinell, C.E.; Dam-Johansen, K.; Ring, L.; Kiil, S. Exposure of Hydrocarbon Intumescent Coatings to the UL1709 Heating Curve and Furnace Rheology: Effects of Zinc Borate on Char Properties. Prog. Org. Coat. 2019, 135, 321–330. [Google Scholar] [CrossRef]
- Chen, X.; Jiao, C. Flame Retardancy and Thermal Degradation of Intumescent Flame Retardant Polypropylene Material. Polym. Adv. Technol. 2011, 22, 817–821. [Google Scholar] [CrossRef]
- Drabek, J.; Zatloukal, M. Evaluation of Thermally Induced Degradation of Branched Polypropylene by Using Rheology and Different Constitutive Equations. Polymers 2016, 8, 317. [Google Scholar] [CrossRef] [PubMed]
- Fan, F.; Xia, Z.; Li, Q.; Li, Z. Effects of Inorganic Fillers on the Shear Viscosity and Fire Retardant Performance of Waterborne Intumescent Coatings. Prog. Org. Coat. 2013, 76, 844–851. [Google Scholar] [CrossRef]
- Jiao, C.; Chen, X.; Zhang, J. Synergistic Flame-Retardant Effects of Aluminum Oxide with Layered Double Hydroxides in EVA/LDH Composites. J. Thermoplast. Compos. Mater. 2010, 23, 501–512. [Google Scholar] [CrossRef]
- Aziz, H.; Ahmad, F. Effects from Nano-Titanium Oxide on the Thermal Resistance of an Intumescent Fire Retardant Coating for Structural Applications. Prog. Org. Coat. 2016, 101, 431–439. [Google Scholar] [CrossRef]
- Lin, X.-Y.; Yang, Z.-H.; Hsu, S.-Y. The Performance Evaluation of Intumescent Coating in Bench-Scale Tests by Using Experiments and Numerical Models. In Proceedings of the 2018 IEEE International Conference on Applied System Invention (ICASI), Chiba, Japan, 13–17 April 2018; pp. 1192–1195. [Google Scholar] [CrossRef]
- Zhu, A.; Wu, H.; Liu, J. Feasibility Study on Novel Fire-Resistant Coating Materials. J. Mater. Civ. Eng. 2022, 34, 04022080. [Google Scholar] [CrossRef]
- Branca, C.; Di Blasi, C.; Horacek, H. Analysis of the Combustion Kinetics and Thermal Behavior of an Intumescent System. Ind. Eng. Chem. Res. 2002, 41, 2107–2114. [Google Scholar] [CrossRef]
- Hsu, S.-Y. The Thermal Response of Intumescent Coating Under Different Combinations of External Heat Fluxes. J. Heat Transf. 2018, 140, 082001. [Google Scholar] [CrossRef]
- Weisheim, W.; Schaumann, P.; Sander, L.; Zehfuß, J. Numerical Model for the Fire Protection Performance and the Design of Intumescent Coatings on Structural Steel Exposed to Natural Fires. J. Struct. Fire Eng. 2019, 11, 33–50. [Google Scholar] [CrossRef]
- FastEST, Inc. FastWRAP—Mechanical Insulation Estimating Software. Available online: https://fastest-inc.com/FastWRAP (accessed on 20 February 2025).
- Purwanto, R.E.; Fuadi, F. The Method of NAIMA 3E plus Simulation for Selection of Material Insulation in Removable Thermal Insulation Cover. In IOP Conference Series: Materials Science and Engineering; IOP Publishing: Bristol, UK, 2020; Volume 732, p. 012095. [Google Scholar]
- Kazmi, B.; Raza, F.; Taqvi, S.A.A.; Ali, S.I.; Suleman, H. Energy, Exergy and Economic (3E) Evaluation of CO2 Capture from Natural Gas Using Pyridinium Functionalized Ionic Liquids: A Simulation Study. J. Nat. Gas Sci. Eng. 2021, 90, 103951. [Google Scholar] [CrossRef]
- King, R.R.L. Insulation Investment= Energy Savings and Exceptional Financial Returns. Strateg. Plan. Energy Environ. 2009, 28, 37–52. [Google Scholar] [CrossRef]
- Griffin, G.J. The Modeling of Heat Transfer across Intumescent Polymer Coatings. J. Fire Sci. 2010, 28, 249–277. [Google Scholar] [CrossRef]
- Lagaros, N.D. Design Optimization of Active and Passive Structural Control Systems; IGI Global: New York, NY, USA, 2012. [Google Scholar]
- Wilson, T.; Grossman, I.; Temple, J. Local Area Population Projections Dataset for Australia. Data Brief 2022, 44, 108559. [Google Scholar] [CrossRef]
- Ogundairo, O. A Comparative Study of Finite Difference and Finite Element Methods for Fractional Diffusion Equations Author Ogundairo Obaloluwa. J. Math. Math. Educ. 2024, 8, 166–186. [Google Scholar]
- Behseresht, S.; Park, Y.H.; Love, A.; Valdez Pastrana, O.A. Application of Numerical Modeling and Finite Element Analysis in Fused Filament Fabrication: A Review. Materials 2024, 17, 4185. [Google Scholar] [CrossRef] [PubMed]
- Roniotis, A.; Marias, K.; Sakkalis, V.; Stamatakos, G.; Zervakis, M. Comparing Finite Elements and Finite Differences for Developing Diffusive Models of Glioma Growth. In Proceedings of the 2010 Annual International Conference of the IEEE Engineering in Medicine and Biology, Buenos Aires, Argentina, 31 August–4 September 2010; pp. 6797–6800. [Google Scholar] [CrossRef]
- Cirpici, B.K.; Wang, Y.C.; Rogers, B.D.; Bourbigot, S. A Theoretical Model for Quantifying Expansion of Intumescent Coating under Different Heating Conditions. Polym. Eng. Sci. 2016, 56, 798–809. [Google Scholar] [CrossRef]
- Tian, N.; Delichatsios, M.A.; Zhang, J.; Fateh, T. A Methodology and a Simple Engineering Fire Performance Model for Intumescent Fire Retardant Coatings. Fire Saf. J. 2018, 98, 120–129. [Google Scholar] [CrossRef]
- Jiang, G.; Xu, X.; Zhang, J.; He, C.; Tao, S.; Wu, Y.; Ding, Y. Pyrolysis Characteristics and Reaction Mechanism of Intumescent Fire-Retardant Coating with Thermogravimetry/Fourier Transform Infrared Analysis. J. Anal. Appl. Pyrolysis 2024, 177, 106306. [Google Scholar] [CrossRef]
- Lucherini, A.; de Silva, D. Modelling Intumescent Coatings for the Fire Protection of Structural Systems: A Review. J. Struct. Fire Eng. 2024, 15, 483–507. [Google Scholar] [CrossRef]
- Di Blasi, C.; Branca, C. Mathematical Model for the Nonsteady Decomposition of Intumescent Coatings. AIChE J. 2001, 47, 2359–2370. [Google Scholar] [CrossRef]
- Hsu, S.-Y. Modeling of Heat Transfer in Intumescent Fire-Retardant Coating Under High Radiant Heat Source and Parametric Study on Coating Thermal Response. J. Heat Transf. 2017, 140, 032701. [Google Scholar] [CrossRef]
- Mesquita, L.M.R.; Piloto, P.A.G.; Vaz, M.A.P.; Vila Real, P.M.M. Experimental and Numerical Research on the Critical Temperature of Laterally Unrestrained Steel I Beams. J. Constr. Steel Res. 2005, 61, 1435–1446. [Google Scholar] [CrossRef]
- Anderson, C.E.; Wauters, D.K. A Thermodynamic Heat Transfer Model for Intumescent Systems. Int. J. Eng. Sci. 1984, 22, 881–889. [Google Scholar] [CrossRef]
- Wang, Y.; Goransson, U.; Holmstedt, G.; Omrane, A. A Model for Prediction of Temperature in Steel Structure Protected by Intumescent Coating, Based on Tests in the Cone Calorimeter. Fire Saf. Sci. 2005, 8, 235–246. [Google Scholar] [CrossRef]
- Xu, W. Modeling Gas Transport in Shale Reservoir—Conservation Laws Revisited. In Proceedings of the SPE/AAPG/SEG Unconventional Resources Technology Conference, Denver, CO, USA, 25–27 August 2014. [Google Scholar] [CrossRef]
- Di Blasi, C. Modeling the Effects of High Radiative Heat Fluxes on Intumescent Material Decomposition. J. Anal. Appl. Pyrolysis 2004, 71, 721–737. [Google Scholar] [CrossRef]
- Zhang, L.; Hu, Y.; Li, M. Combined Heat Transfer Mechanisms in the Porous Char Layer Formed from the Intumescent Coatings under Fire. Coatings 2021, 11, 200. [Google Scholar] [CrossRef]
- Jimenez, M.; Duquesne, S.; Bourbigot, S. Intumescent fire protective coating: Toward a better understanding of their mechanism of action. Thermochim. Acta 2006, 449, 16–26. [Google Scholar] [CrossRef]
- Lucherini, A.; Abusamha, N.; Segall-Brown, J.; Maluk, C. Experimental Study on the Onset of Swelling for Thin Intumescent Coatings. J. Phys. Conf. Ser. 2018, 1107, 032017. [Google Scholar] [CrossRef]
- Li, G.; Li, J.; Lu, X.; Lü, K.; Huang, J.; Huang, Y.; Chen, W.; Deng, L.; Jiang, J.; Dong, S.; et al. Oxidation Behavior and Interface Evolution of Tri-Layer Si/Yb2SiO5/LaMgAl11O19 Thermal and Environmental Barrier Coatings under Isothermal Heat Treatment at 1300 °C. Surf. Coat. Technol. 2023, 464, 129554. [Google Scholar] [CrossRef]
- De Schampheleire, S.; De Kerpel, K.; Ameel, B.; De Jaeger, P.; Bagci, O.; De Paepe, M. A Discussion on the Interpretation of the Darcy Equation in Case of Open-Cell Metal Foam Based on Numerical Simulations. Materials 2016, 9, 409. [Google Scholar] [CrossRef]
- Gong, T.; Xie, Q.; Huang, X. Fire Behaviors of Flame-Retardant Cables Part I: Decomposition, Swelling and Spontaneous Ignition. Fire Saf. J. 2018, 95, 113–121. [Google Scholar] [CrossRef]
- Piperopoulos, E.; Scionti, G.; Atria, M.; Calabrese, L.; Valenza, A.; Proverbio, E. Optimizing Ammonium Polyphosphate–Acrylic Intumescent Coatings with Sustainable Fillers for Naval Fire Safety. Materials 2024, 17, 5222. [Google Scholar] [CrossRef] [PubMed]
- Liu, H.; Zhao, X. Thermal Conductivity Analysis of High Porosity Structures with Open and Closed Pores. Int. J. Heat Mass Transf. 2022, 183, 122089. [Google Scholar] [CrossRef]
- Li, P.; Jiang, X.-C.; Song, W.-M.; Zhang, L.-Y.; Xu, Y.-J.; Liu, Y.; Zhu, P. Green Organic-Inorganic Coatings for Flexible Polyurethane Foams: Evaluation of the Effects on Flame Retardancy, Antibacterial Activity, and Ideal Mechanical Properties. J. Clean. Prod. 2023, 411, 137265. [Google Scholar] [CrossRef]
- Kaya, A. Effects of Buoyancy and Conjugate Heat Transfer on Non-Darcy Mixed Convection about a Vertical Slender Hollow Cylinder Embedded in a Porous Medium with High Porosity. Int. J. Heat Mass Transf. 2011, 54, 818–825. [Google Scholar] [CrossRef]
- Yu, X.; Kang, Z.; Li, Y.; Lin, X.; Xie, L.; Li, J. Integration of Geological Model and Numerical Simulation Technique to Characterize the Remaining Oil of Fractured Biogenic Limestone Reservoirs. Arab. J. Sci. Eng. 2024, 50, 5117–5133. [Google Scholar] [CrossRef]
- Hafiz, T.; Covello, J.; Wnek, G.E.; Hostler, S.; Gassama, E.; Wei, Y.; Ji, J. Thermal Insulation Performance of Epoxy-Based Intumescent Coatings: Influence of Temperature-Induced Porosity Evolution on Heat Transfer Resistance. Polymers 2025, 17, 1426. [Google Scholar] [CrossRef]
Disclaimer/Publisher’s Note: The statements, opinions and data contained in all publications are solely those of the individual author(s) and contributor(s) and not of MDPI and/or the editor(s). MDPI and/or the editor(s) disclaim responsibility for any injury to people or property resulting from any ideas, methods, instructions or products referred to in the content. |
© 2025 by the authors. Licensee MDPI, Basel, Switzerland. This article is an open access article distributed under the terms and conditions of the Creative Commons Attribution (CC BY) license (https://creativecommons.org/licenses/by/4.0/).








