Abstract
Conservative agricultural practices have been adopted to improve soil quality and maintain crop productivity. An efficient intercropping of maize with mushroom has been developed in Northeast China. The objective of this study was to evaluate and compare the effects of planting patterns on the diversity and structure of the soil bacterial communities at a 0–20 cm depth in the black soil zone of Northeast China. The experiment consisted of monoculture of maize and mushroom, and intercropping in a split-plot arrangement. The characteristics of soil microbial communities were performed by 16S rRNA gene amplicom sequencing. The results showed that intercropping increased soil bacterial richness and diversity compared with maize monoculture. The relative abundances of Acidobacteria, Chloroflexi, Saccharibacteria and Planctomycetes were significantly higher, whereas Proteobacteria and Firmicutes were lower in intercropping than maize monoculture. Redundancy analysis suggested that pH, NO3−-N and NH4+-N contents had a notable effect on the structure of the bacterial communities. Moreover, intercropping significantly increased the relative abundance of carbohydrate metabolism pathway functional groups. Overall, these findings demonstrated that intercropping of maize with mushroom strongly impacts the physical and chemical properties of soil as well as the diversity and structure of the soil bacterial communities, suggesting this is a sustainable agricultural management practice in Northeast China.
    1. Introduction
Maize (Zea mays L.) is not only one of the three major food crops in the world, but also a high-quality animal feed and an important industrial raw material. Maize production in China accounts for 21.9% of total maize output in the world. The northeast area is the largest maize producer in China, particularly in the Jilin province, which accounts for 1/8th of maize production in China []. However, the maize planting pattern in Northeast China was mainly based upon conventional agricultural practices (e.g., monoculture cropping, tillage and removal of crop residues) that have caused soil erosion, fertility decline, and loss of soil biodiversity []. Therefore, conservation and sustainable agricultural practices, such as intercropping, no tillage and mulching, have been adopted to improve soil quality and increase crop productivity.
Intercropping, a method of simultaneously planting two or more crops on the same field, has been practiced in many countries for several decades []. It increases the productivity per unit of land through better utilization of resources, control of disease and reducing soil erosion []. Soil microbial activity, nutrient cycling, decomposition of organic matter, and physical and chemical properties can be changed in intercropping systems [,]. Soil organic matter, reflecting the physical, chemical and biological properties of soil, is an effective indicator of soil quality [,], which is defined as the capacity of a soil to function within ecosystem and land-use boundaries to sustain biological productivity, maintain environmental quality, and promote plant and animal health []. Mushroom compost is used as a soil conditioner for the growth of soybean, and the substrate pH for growing soybean is increased from acidity to neutrality []. The residual fungi and a large number of mycelium are incorporated into the soil, making the soil loose, which improves the physical and chemical properties of the soil, and increases the content of various nutrients in the soil in the maize–mushroom intercropping system []. Soil microorganisms play crucial roles in soil ecosystem functioning, as they are involved in soil nutrient cycling and energy flows, micro-ecology regulation and soil sustainable productivity [,]. In the soil ecosystem, soil bacteria are crucial decomposers that metabolize organic matter by secreting specific extracellular enzymes to break down large organic molecules into monomers, which are then available for plant uptake [,]. The cultivation of continuous monoculture often results in the accumulation of soil-borne pathogens, the growth inhibition of beneficial bacteria [], and a decrease of bacterial diversity, ultimately []. Pear/mushroom intercropping significantly increased the number and biomass of cultivable microorganisms in the 0–40-cm soil layer and had a marked effect on the soil fertility of the pear garden and the quality of the pear fruit [].
Oyster mushroom (class Basidiomycetes) is a fungus that is an excellent source of human nutrients (e.g., vitamins, minerals and micro nutrients) and has medicinal values []. It can be used as an intercropping crop to promote the efficient uptake of nutrients and resources []. For example, the mushroom (Plearotus spp.) intercropped with field-grown faba bean (Vicia faba L.) increased the faba bean dry seed yield and mushroom basidiocarp yield compared to sole cultivation []. Maize–mushroom intercropping systems have been previously studied and were proved to improve maize yield and land equivalent ratio [,]. However, few studies have attempted to investigate the effects of maize–mushroom intercropping on soil physical and chemical properties and the diversity and composition of soil microbial community. Therefore, the objective of this study was to explore the effect of maize–mushroom intercropping on the soil bacterial community in Northeast China. Recently, we developed an integrated agricultural management practice involving wide–narrow-row spacing alternation (160 + 40 cm), adoption of no tillage, and mulching by crop residues in maize cropping system in the Northeast China plain, resulting in an improvement of soil quality, reduced soil erosion, and a more sustainable use of cultivated land []. Furthermore, in order to use land resources with high efficiency, control disease, and increase the income of farmers, maize–mushroom intercropping was developed based on the integrated agricultural practice. We hypothesized that the intercropping could lead to (i) a marked effect on the structure and diversity of the soil bacterial community and (ii) an improvement of soil quality compared with monocultures.
2. Materials and Methods
2.1. Site Description and Experimental Design
The integrated agricultural management practice was initiated in spring 2012 and the maize–mushroom intercropping under integrated agricultural practice experiment was initiated in spring 2014 at Changchun Agricultural Experimental Field of the Northeast Institute of Geography and Agroecology, Jilin Province, China (43°59′54″ N, 125°23′57″ E). The climate is a north temperate continental monsoon. The mean annual air temperature is 7.2 °C. The mean annual precipitation is 530.5 mm. The frost-free period is 138 days. Snow cover usually occurs from November to April. The soil is a typical silty clay loam (classified as Mollisols), which is highly fertile, inherently productive and suitable soil for cultivation in the world [], with organic matter 3.1%, total nitrogen 1.49 g kg−1, total phosphorus 0.59 g kg−1, total potassium 21.53 g kg−1, available nitrogen 204.54 mg kg−1, available phosphorus 9.43 mg kg−1, effective potassium 125.84 mg kg−1, soil bulk density 1.19 g cm−3, cation exchange capacity 23.3 cmol kg−1, and pH 6.71.
The experiment was conducted in a plot comparison experiment with three treatments including (1) maize–mushroom intercropping, (2) maize monocultures, and (3) mushroom monocultures. Each plot was 20 m long and 8 m wide with four plot replicates for each treatment. The cultivars were maize Liangyu 99 and oyster mushroom (provided by Liaoning Sanyou Agricultural Biotechnology Company). The maize seeds were sown in late April and harvested in late September, and mushroom sticks were planted in early July and harvested in late September every year. In the maize monoculture treatment, the wide–narrow row spacing was 160 and 40 cm, respectively; no tillage was implemented; the maize stalks were cut at 35 cm above the ground, and then maize stalks were left in the field. Maize was planted on a narrow line of 40-cm spacing, with a plant spacing of 15 cm and a planting density of 6.5 × 104 plants ha−1. The intercropping of maize with mushroom was based on the integrated agricultural management practice. In the intercropping and maize monoculture, maize seeds were sown in 40-cm, narrow rows using a small jukebox in late April. During the maize spinning period, a 10-cm-deep and 40-cm-wide sulcus was dug in advance to place mushroom sticks in the intercropping. Then, mushroom sticks were evenly placed in the sulcus, covered in 2–3 cm soil (Figure 1). The distance between mushroom and maize, mushroom and high stubble both were 27 cm. The mushroom row spacing of mushroom monoculture treatment was 160 cm. A based controlled release compound fertilizer (resin coating) of 600 kg ha−1 (total nutrient ≥ 53%, Zn ≥ 2%) was applied to all treatments (as the base of the fertilizer) before rotating the soil (using the small rotating machine). The type of controlled release nutrient was nitrogen, and the amount of controlled release nutrient was greater or equal to 8%. In mid-May, the compound fertilizer was added once. Throughout the growth period of mushroom, intermittent spray irrigation was used to maintain the optimum moisture for mushroom production.
 
      
    
    Figure 1.
      Schematic illustration of row placement of (a) maize–mushroom intercropping, (b) maize monoculture and (c) mushroom monoculture. Red arrows indicate the sampling point. The unit of distances is the centimeter (cm).
  
2.2. Soil Sampling
On September 20 2017 (After the mushrooms had been planted for 70 days), soil core samples (5.5 cm in diameter, 20 cm in depth, repeated four times) from each treatment were taken randomly from the maize rows (10 cm from the maize rows) of maize monoculture and intercropping treatment, and high stubble rows (10 cm from high stubble rows) of mushroom treatment. In total, there were 12 soil samples used for the analysis. All samples were sieved by a 2-mm sieve to remove rocks and were then separated into two parts: one part air dried to determine soil properties, and another stored at −80 °C for DNA extraction.
2.3. Soil Chemical Assays
Total nitrogen (TN), nitrate nitrogen (NO3−-N), ammonium nitrogen (NH4+-N), were determined by a continuous flow analyzer (San++, Skalar, Breda, Holland). Soil organic matter (SOM) was measured by the method of potassium dichromate heating oxidation-volumetric based on the standard LY/T1237-1999 []. Briefly, 0.2 g of air-dried soil was added into 5 mL K2Cr2O7 (0.8 M) and 5 mL concentrated H2SO4 solution and heated on a hot plate (300 °C) for 5 min. Three to four drops of phenanthroline indicator were then added, and titrated with FeSO4 (0.4 M).
TN, available nitrogen (AN), NH4+-N, and NO3−-N were measured by standard methods based on LY/T1228-2015. For TN, 1 g soil was added to 1.8 g catalyst (selenium powder: copper sulfate: potassium sulfate = 1:10:100), mixed with 4 mL concentrated sulfuric acid, and removed on the electric heating plate until the soil became grayish white. The resulting solution was green and was transferred to a 100-mL volumetric flask after cooling. The solution was then diluted to volume with distilled water and shaken for testing. For AN, 2 g soil was mixed with 3 mL of 2% H3BO3, 10 mL of 1 M NaOH solution, and then incubated at 40 °C for 24 h. After cooling, the sample was titrated with HCl (0.012 M) until the color changed from blue-green to purple. For NH4+-N and NO3−-N, 5 g soil was mixed with 25 mL of KCl (2 M), shaken for 30 min, and filtered for testing.
To measure soil pH, 10 g soil was placed in a 100-mL beaker. Then, 50 mL of distilled water (water:soil = 5:1) was added, shaken for 30 min, and measured with a calibrated pH meter (Mettler-Toledo FE 20, Zurich, Switzerland).
2.4. DNA Extraction and MiSeq Sequencing
DNA was extracted from 0.25 g fresh soil using E.Z.N.A Mag-Bind Soil DNA Kits (OMEGA, Irving, TX, USA) according to the manufacturer’s instructions. The DNA extraction quality was measured by 0.8% agarose gel electrophoresis, and the DNA was quantified by an ultraviolet spectrophotometer. The PCR amplification used Q5 high-fidelity DNA polymerase (NEB, Ipswich, MA, USA), and the V3-V4 region of the 16S rDNA genes were amplified using the primers 338F (ACTCCTACGGGAGGCAGCA) and 806R (GGACTACHVGGGTWTCTAAT) []. Referring to the preliminary quantitative results of gel electrophoresis, the PCR amplified product was subjected to fluorescence quantification, the fluorescent reagent was Quant-iTPicoGreen dsDNA Assay Kit, and the quantitative instrument was Microplate reader (BioTek, FLx800). A total of 20 pM DNA for each sample were pooled and sequenced in an Illumina MiSeq platform (Illumina, SanDiego, CA, USA) with a 600-cycle kit (2 × 300 bp paired ends). The Miseq sequencing raw data were deposited in the NCBI Sequence Read Archive database, and the project ID is PRJNA432129 and BioSample is SAMN10362720.
2.5. Data Analysis
The original paired-end sequencing data were exported in a FASTQ format. Sequences were removed if the read length was <150 bp, with a mean quality score <20 []. Sequence analysis was performed using QIIME software (Version 1.8.0) []. Sequences with ≥97% similarity were assigned to the same operational taxonomic units (OTUs) using UCLUST []. In detail, the sequences were merged according to ≥97% similarity into OTUs, and the most abundant sequence in each OTU was chose as the representative OTU sequence. Then, according to the number of sequences of each OTU in each sample, a matrix file of OTU abundance in each sample was constructed (i.e., OTU table). The relative abundance of OTUs with <0.001% of the total reads of all samples were removed []. The Greengenes database (Release 13.8) was used to annotate taxonomic information [].
Data were compared using analysis of variance (ANOVA) in IBM SPSS 23.0 software (SPSS Inc., USA). Alpha diversity (Chao1 and Shannon index) was calculated with QIIME (Version 1.8.0). Pearson’s correlation coefficients between soil properties, OTU richness (Chao1 index) and diversity (Shannon index), and bacterial phyla were computed.
Differences of soil bacterial communities based on OTUs between treatments were analyzed using LEfSe []. Cluster analysis of soil bacterial communities based on the non-metric multidimensional scaling (NMDS) dissimilarity matrix was performed using QIIME. Permutational multivariate analysis of variance (PERMANOVA; function ‘adonis’) was adopted to compare community composition on three treatments with QIIME. Redundancy analysis (RDA) was carried out to explore the relationship between soil properties and microbial community composition using the ‘vegan’ package in the R program (Version 3.3.1). Function predictions were classified into KEGG pathways using PICRUSt (Version 1.1.4) method []. In detail, firstly, OTU table was standardized by copy number; the full-length 16S rRNA gene sequence of the tested microbial genome was used to infer the gene function spectrum of their common ancestor; then, the gene function profiles of other untested species in the Greengenes 16S rRNA gene full-length sequence database was inferred and constructed the gene function prediction profiles of the entire lineage of archaea and bacteria; thirdly, the 16S rRNA gene sequence data obtained by sequencing with the Greengenes database was compared to find the “nearest neighbor of the reference sequence” of each sequenced sequence and classified it as a reference OTU; the obtained OTU abundance matrix according to the copy number of the rRNA gene of the nearest neighbor of the reference sequence was corrected; finally, the microbial composition data to the known gene function profile database was “mapped” to realize the prediction of the metabolic function of the microbial communities. The KEGG pathways statistical analysis was implemented using SPSS.
3. Results
3.1. Soil Chemical Properties
The planting pattern was found to significantly affect soil pH and the contents of AN, NO3−-N, NH4+-N, and SOM (Table 1). The soil pH and SOM were markedly increased in intercropping, whereas the contents of AN, NO3−-N and NH4+-N were decreased, compared with maize monoculture. Soil pH was higher, whereas AN, NO3−-N and NH4+-N contents were lower in mushroom monoculture than maize monoculture.
 
       
    
    Table 1.
    Soil chemical properties under maize monoculture, mushroom monoculture and maize–mushroom intercropping.
  
3.2. Soil Bacterial Community Diversity
Sequencing of the 16S rRNA gene fragment from 12 soil samples produced a total of 462,813 sequences (Table S1). After filtration, alignment, pre-clustering and removal of chimeric sequences and singletons, 359,341 sequences were obtained. They were assigned into 18,519 OTUs.
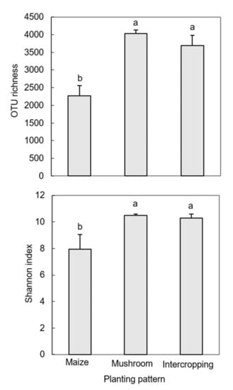
Intercropping and mushroom monoculture had higher bacterial OTU richness and Shannon index compared with maize monoculture (Figure 2). There was a striking positive relationship between Shannon index and pH and SOM, whereas there was a negative association between Shannon index and the contents of AN, NO3−-N, NH4+-N (Table S2).
 
      
    
    Figure 2.
      Operational taxonomic units (OTUs) richness and Shannon index of soil bacterial community under maize monoculture, mushroom monoculture and maize–mushroom intercropping. The error bars represent standard errors (SE). Different letters indicate significant different (p < 0.05) according to Tukey’s test. The number of replicates per treatment is 4 (n = 4).
  
3.3. Soil Bacterial Community Structure
In order to characterize the effect of planting pattern on soil bacterial communities, the relative abundances at phylum, class, order, family and genus levels were analyzed. Then, 16S rRNA gene amplicon sequencing showed that the dominant bacterial phyla were Proteobacteria, Chloroflexi, Acidobacteria, Actinobacteria, Firmicutes, Gemmatimonadetes, Cyanobacteria, Saccharibacteria, Bacteroidetes, Nitrospirae, Planctomycetes, Verrucomicrobia and Parcubacteria (Figure 3), and these groups accounted for over 88–95% of the sequences. Moreover, soil chemical properties were closely correlated with the relative abundance of some dominant microbial phyla groups (Table S2). There was a marked positive association between soil pH and Chloroflexi, Acidobacteria, Planctomycetes, Verrucomicrobia, and Parcubacteria, whereas the relationships were negative between the contents of AN, NO3−-N, NH4+-N and those dominant microbial phyla.
 
      
    
    Figure 3.
      Relative abundances of the dominant phyla of bacteria at 0-20-cm soil depths under maize monoculture, mushroom monoculture and maize–mushroom intercropping. The number of replicates per treatment is 4 (n = 4).
  
In total, 13 phyla, 31 classes, 64 orders, and 84 families in the bacterial community were significantly affected by planting pattern. At the phylum level, planting pattern significantly altered the relative abundance of Chloroflexi, Acidobacteria, Saccharibacteria, Planctomycetes, Armatimonadetes, Fusobacteria, Euryarchaeota, WS6, Elusimicrobia, Peregrinibacteria, WWE3 and Gracilibacteria. Intercropping had higher relative abundance of Acidobacteria, Chloroflexi, and Planctomycetes, and lower relative abundance of Proteobacteria and Firmicutes compared with maize monoculture treatment (Figure 3). Intercropping had higher relative abundance of Saccharibacteria, and lower Cyanobacteria than mushroom monoculture. The distribution of related genera varied between maize monoculture, mushroom monoculture and intercropping soils. Pseudomonas, Sphingomonas, Lactobacillus and Rhodanobacter were the most abundant genera across all soil samples, representing 5.57%, 2.83%, 0.19%, and 3.74% of all classified sequences in intercropping, 17.24%, 9.28%, 10.79%, and 2.05% in maize monoculture and 6.64%, 1.59%, 0.14%, and 1.05% in mushroom monoculture, respectively. Gemmatimonas, Cystobacteraceae, Marmoricola, Bradyrhizobium, Streptomyces, Rhodoglobus, Nakamurella, Frateuria, Sphingobium, Woodsholea, and Oribacterium showed an increased relative abundance in intercropping, while the relative abundance of Streptomycetaceae decreased in intercropping compared with maize monoculture (Figure 4).
 
      
    
    Figure 4.
      Cladogram of bacteria at 0–20-cm soil depths under maize monoculture, mushroom monoculture and maize–mushroom intercropping. The Cladogram shows the hierarchical relationship of all classification units from the phylum to the genus (from the inner circle to the outer circle). The node size corresponds to the average relative abundance of the classification units. The blue, green and red node represents that the difference of bacterial relative abundance between groups is significant. The letters identify the taxon name that has a significant difference between groups. The number of replicates per treatment is 4 (n = 4).
  
3.4. Comparative Analysis of Soil Bacterial Community
Based on the NMDS dissimilarity matrix, hierarchical cluster analysis for investigated the beta diversity of bacterial communities showed that soil bacterial communities were affected by planting patterns (Figure 5). PERMANOVA analysis indicated that soil bacterial community composition was significantly affected by maize monoculture, mushroom monoculture and intercropping treatments. The RDA was performed to determine the strength of the association between the soil bacterial community and soil physical, chemical properties. RDA revealed a strong difference between maize monoculture, mushroom monoculture and intercropping soils (Figure 6). The first two canonical axes are responsible for 45.73% of variance (25.42% by RDA1 axis and 20.31% by RDA2 axis). The RDA indicated that pH, NO3−-N and NH4+-N contents had an extremely significant influence on the structure of the bacterial community (p < 0.05) (Table S3).
 
      
    
    Figure 5.
      Hierarchical cluster analysis of soil bacterial communities based on the NMDS dissimilarity matrix among maize monoculture, mushroom monoculture and intercropping. Permutational multivariate analysis of variance (PERMANOVA) was adopted to compare community composition on three treatments. The number of replicates per treatment is 4 (n = 4).
  
 
      
    
    Figure 6.
      Redundancy analysis (RDA) of soil bacterial community structure and soil properties under maize monoculture, mushroom monoculture and intercropping. Soil factors indicated in blue text include pH, contents of organic matter (SOM), total nitrogen (TN), available nitrogen (AN), nitrate nitrogen (NO3−-N) and ammonium nitrogen (NH4+-N). The circles are the RDA scores of the samples and the arrows are the scores of the soil variables by RDA. The number of replicates per treatment is 4 (n = 4).
  
3.5. Metabolism of Soil Microbial Community
Potential metabolism were assigned to predicted functional annotation of protein sequences. The KEGG metabolic pathway difference analysis of soil bacteria revealed significant changes in 11 metabolic networks between the groups of planting patterns. The analysis showed that intercropping significantly increased the relative abundance of carbohydrate metabolism pathway functional groups compared with maize monoculture (Figure 7). In addition, the relative abundance of glycan biosynthesis and other secondary metabolites functional groups in intercropping and mushroom monoculture was higher compared with maize monoculture (p < 0.05) (Figure 7 and Table S4).
 
      
    
    Figure 7.
      The KEGG metabolic pathway difference analysis of bacteria at 0–20-cm soil depths under maize monoculture, mushroom monoculture and intercropping. The number of replicates per treatment is 4 (n = 4).
  
4. Discussion
4.1. Soil Physicochemical Properties
Nutrients such as carbon, nitrogen, phosphorus and potassium, are essential for proper plant growth. Soil carbon and nitrogen contents are the most sensitive indicators of soil quality [], and it has been suggested that below ground interspecific interactions improved soil nitrogen supply capacity [], mobilization [] and increased TN in intercropping []. The results of the current study have shown that contents of AN, NO3−-N, NH4+-N in intercropping treatment were no higher than maize monoculture treatment. Below ground interactions through intercropping could affect N-cycling [,]. Moreover, soil nitrate nitrogen is dynamic, and is influenced by soil particle distribution, soil depth, and precipitation, and varies during crop growth and development []. Soil nitrate would likely decline faster in intercropping and mushroom monoculture treatments in comparison with maize monoculture, mostly due to decomposition of mineral nutrients by saprotrophs and leaching losses [], using intermittent spray irrigation to maintain the optimum moisture for mushroom production. Vieira et al. [] also showed that nitrogen losses after 10 and 15 days impacted by mushroom yield. In this study, intercropping treatment significantly increased the contents of SOM compared with maize monoculture. This is consistent with previous studies that demonstrated that soil organic carbon fraction, carbon pool management index and soil carbon sequestration were improved under intercropping [,,].
4.2. Bacterial Community Diversity
The soil microbial community, a biomarker indicator of soil quality and ecosystem processes [], is very sensitive to vegetation. On the other hand, it can also strongly affect plant growth and yield formation []. Our study revealed that intercropping significantly increased the OTU richness and diversity of the bacterial community compared to maize monoculture treatment. Consistent with our findings, Fu et al. [] reported that maize–soybean intercropping had higher Shannon index compared with monocultures. Qin et al. [] demonstrated that maize–potato intercropping increased the carbon source utilization rate and diversity of the microbial community. In addition, the bacterial Shannon index was correlated with contents of N, SOM and pH, suggesting that the improvements in C and N source utilization were beneficial to increased soil bacterial diversity, such as species richness []. Moreover, soil bacterial community could be changed by pH with a higher bacterial diversity in neutral soil than acidic soil, which a significant positive association between Shannon index and pH was found in this study.
4.3. Bacterial Community Structure
Microbial community composition has large effects on organic matter dynamics and nutrient cycling, and can influence soil function and ecosystem sustainability []. In total, 46 phyla, 168 classes, 356 orders, 605 families and 1207 genera of bacterial communities were obtained in our samples. Within the thirteen dominant bacterial phyla, Proteobacteria was the most abundant bacterial phylum, which was consistent with the results of mulberry and alfalfa intercropping system []. The major microbial phyla, such as Chloroflexi, Acidobacteria, Actinobacteria, identified in this study are often observed in other soils, though the relative abundance was different [,].
Previous studies have indicated that the dominant bacterial phyla could be changed by manipulating planting patterns and plant species [,,]. In the present study, the bacterial community structures among intercropping and maize and mushroom monoculture treatments were significantly different. Planting patterns significantly affected the four dominant and eight other bacterial phyla. The relative abundance of Chloroflexi, Acidobacteria, Planctomycetes and Saccharibacteria were higher in intercropping than maize or mushroom monoculture treatments. Anaerolineae, a dominant class of Chloroflexi, has been thought to be ubiquitous and to play important roles in ecosystems []. The greater abundance of Chloroflexi in the intercropping than maize monoculture treatment likely indicated that intercropping would better coordinate soil ecosystems []. Acidobacteria is an acidophilic and oligotrophic chemoorganotrophic bacterium; Planctomycetes play possible role in the evolution of the methane cycle []. Saccharibacteria play a role in the degradation of various organic compounds as well as sugar compounds under aerobic, nitrate reducing, and anaerobic conditions []. Although the phylum Proteobacteria was not affected by planting pattern, Gammaproteobacteria, the most dominant class of Proteobacteria in our study, had a prominent higher abundance under intercropping than maize monoculture treatment, stimulated by higher SOM and lower nitrate nitrogen contents of intercropping treatment []. Pseudomonas is one of the widely distributed plant growth promoting rhizobacteria []. The result revealed that the soil Pseudomonas community was affected by planting pattern. Consistent with previous studies, the altered plant species affected the microbial community composition [].
In this study, the relative abundance of Actinobacteria in intercropping and maize monoculture treatment were significant different at class level. At genus level, Gemmatimonas, Streptomyces, Nakamurella and Frateuria had greater abundance in intercropping soils. Actinobacteria have a critical role in decomposition of soil organic materials, such as cellulose, chitin and polysaccharides []. Streptomyces could produce bioactive secondary metabolites which show antifungals and antivirals biological activities [], and have more efficient secretion mechanisms which could promote protein solubilization []; Nakamurella is able to accumulate polysaccharides []; Frateuria is able to enhance potassium uptake efficiently in plants and has been found to increase biomass and nutrient content []. In addition, Gemmatimonas, the dominant genus of Gemmatimonadetes, is involved in modulating carbon and nitrogen intake, decomposing polyaromatic carbon and promoting plant development []. The greater abundance of Actinobacteria, Streptomyces, Nakamurella, Frateuria and Gemmatimonas likely be attributed to the effects of secondary metabolites such as carbohydrates, free amino acids, and nucleotides produced by mushroom during metabolism []. Our study showed that the relative abundance of glycan and secondary metabolites functional groups in intercropping and mushroom monoculture significantly increased compared with maize monoculture. This is consistent with the other research that intercropping lead to changes in plants accumulation of minerals and secondary metabolites [].
To investigate the relationships between soil microbial community structure and measured soil variables in the maize monoculture, monoculture mushroom and intercropping systems, we analyzed the dominant bacterial phyla and OTUs data using Pearson’s correlation and RDA. The soil variables have a substantial impact on the dominant bacterial phyla. In this study, SOM, TN, AN, NO3−-N, NH4+-N, and pH had positive/negative correlations with the dominant bacterial phyla. For example, the abundance of Chloroflexi and Planctomycetes were positively correlated with SOM content, which indicated that SOM correlated with the relative abundance of these bacteria []. SOM may play non-negligible roles in influencing on the soil microbial community structure by affecting the metabolism of soil microbes []. The output of RDA with soil variation in bacterial community indicated that pH plays critical roles in the structure of the bacterial community. This was in accordance with other studies that indicated that soil pH was a major factor in determining the structure of the soil bacterial community [,].
5. Conclusions
In total, 13 phyla, 31 classes, 64 orders, 84 families in the bacterial community were significantly affected by planting pattern. The results revealed that SOM, TN contents, Shannon index and the relative abundance of Chloroflexi, Acidobacteria, Saccharibacteria, Planctomycetes and carbohydrate metabolism pathway functional groups were significantly increased in intercropping compared with maize monoculture treatment. Moreover, soil chemical properties closely correlated with OTU richness, Shannon index and the relative abundance of Chloroflexi, Acidobacteria, Planctomycetes, Verrucomicrobia, Parcubacteria phyla groups. Our study demonstrates that intercropping of maize with mushroom affected the physical and chemical properties of the soil, and altered the structure and diversity of the soil microbial community. These results suggest that this crop production system could be a sustainable efficient agricultural management practice in Northeast China.
Supplementary Materials
The following are available online at https://www.mdpi.com/2073-4395/10/10/1526/s1, Table S1: Numbers of bacterial sequences and OTUs identified by 16S rRNA gene sequencing, Table S2: Pearson’s correlation coefficients between relative abundances of dominant bacterial phyla and soil properties, Table S3: The environmental vectors onto two ordination of redundancy analysis, Table S4: The analysis of variance of the KEGG metabolic pathway.
Author Contributions
Conceptualization, F.S. and X.Z.; methodology, X.Y.; software, X.Y. and X.Z.; investigation, X.Y., L.S. and X.Q.; data curation, X.Y.; writing—original draft preparation, X.Y.; writing—review and editing, Y.W. and X.Z.; supervision, X.Q.; project administration, Y.W. and X.Z. All authors have read and agreed to the published version of the manuscript.
Funding
This research was funded by the “One-Three-Five” Strategic Planning Program of Chinese Academy of Sciences, grant number IGA-135-04.
Conflicts of Interest
The authors declare no conflict of interest.
References
- NBSC (National Bureau of Statistics of China). National Statistical Yearbook; China Statistics Press: Beijing, China, 2017. [Google Scholar]
- Zhu, X.; Sun, L.; Song, F.; Liu, S.; Liu, F.; Li, X. Soil microbial community and activity are affected by integrated agricultural practices in China. Eur. J. Soil Sci. 2018, 69, 924–935. [Google Scholar] [CrossRef]
- Zaeem, M.; Nadeem, M.; Pham, T.H.; Ashiq, W.; Ali, W.; Gilani, S.S.M.; Elavarthi, S.; Kavanagh, V.; Cheema, M.; Galagedara, L.; et al. The potential of corn-soybean intercropping to improve the soil health status and biomass production in cool climate boreal ecosystems. Sci. Rep. 2019, 9, 13148. [Google Scholar] [CrossRef] [PubMed]
- Fu, Z.; Zhou, L.; Chen, P.; Du, Q.; Pang, T.; Song, C.; Wang, X.; Liu, W.; Yang, W.; Yong, T. Effects of maize-soybean relay intercropping on crop nutrient uptake and soil bacterial community. J. Integr. Agr. 2019, 18, 2006–2018. [Google Scholar] [CrossRef]
- De Freitas, M.A.M.; Silva, D.V.; Guimaraes, F.R.; Leal, P.L.; Moreira, F.M.D.; da Silva, A.A.; Souza, M.D. Biological attributes of soil cultivated with corn intercropped with Urochloa brizantha in different plant arrangements with and without herbicide application. Agr. Ecosyst. Environ. 2018, 254, 35–40. [Google Scholar] [CrossRef]
- Nyawade, S.O.; Karanja, N.N.; Gachene, C.K.K.; Gitari, H.I.; Schulte-Geldermann, E.; Parker, M.L. Short-term dynamics of soil organic matter fractions and microbial activity in smallholder potato-legume intercropping systems. Appl. Soil Ecol. 2019, 142, 123–135. [Google Scholar] [CrossRef]
- Bünemann, E.K.; Bongiorno, G.; Bai, Z.; Creamer, R.E.; De Deyn, G.; de Goede, R.; Fleskens, L.; Geissen, V.; Kuyper, T.W.; Mäder, P.; et al. Soil quality—A critical review. Soil Biol. Biochem. 2018, 120, 105–125. [Google Scholar] [CrossRef]
- Jonathan, S.; Oyetunji, O.; Asemoloye, M.J.N. Asemoloye, Influence of spent mushroom compost (SMC) of Pleurotus ostreatus on the yield and nutrient compositions of Telfairia occidentalis Hook.F.A. (Pumpkin), a Nigerian leafy vegetable. Nat. Sci. 2012, 10, 149–156. [Google Scholar]
- Wang, B. New mushroom cultivation technology between field crop maize rows. J. Shanxi Agric. Sci. 2009, 37, 91–92. [Google Scholar]
- Griffiths, B.S.; Philippot, L. Insights into the resistance and resilience of the soil microbial community. FEMS Microbiol. Rev. 2013, 37, 112–129. [Google Scholar] [CrossRef]
- Zheng, W.; Gong, Q.; Zhao, Z.; Liu, J.; Zhai, B.; Wang, Z.; Li, Z. Changes in the soil bacterial community structure and enzyme activities after intercrop mulch with cover crop for eight years in an orchard. Eur. J. Soil Biol. 2018, 86, 34–41. [Google Scholar] [CrossRef]
- Gong, X.; Liu, C.; Li, J.; Luo, Y.; Yang, Q.; Zhang, W.; Yang, P.; Feng, B. Responses of rhizosphere soil properties, enzyme activities and microbial diversity to intercropping patterns on the Loess Plateau of China. Soil Till. Res. 2019, 195, 104355. [Google Scholar] [CrossRef]
- Monneveux, P.; Quillerou, E.; Sanchez, C.; Lopez-Cesati, J. Effect of zero tillage and residues conservation on continuous maize cropping in a subtropical environment (Mexico). Plant Soil 2006, 279, 95–105. [Google Scholar] [CrossRef]
- She, S.; Niu, J.; Zhang, C.; Xiao, Y.; Chen, W.; Dai, L.; Liu, X.; Yin, H.J.A.o.M. Significant relationship between soil bacterial community structure and incidence of bacterial wilt disease under continuous cropping system. Arch. Microbiol. 2017, 199, 267–275. [Google Scholar] [CrossRef] [PubMed]
- Chen, S.; Hou, D.; Wu, W.; Sun, W.; Qiu, L. Influence of interplanting Pleurotus ostreatus on soil biological activity and fruit quality in pear orchard. J. Fruit Sci. 2012, 29, 583–588. [Google Scholar]
- Mohamed, M.F.; Nassef, D.M.T.; Waly, E.A.; Kotb, A.M. Production of oyster mushroom (Pleurotus spp.) intercropped with field grown faba bean (Vicia faba L.). Asian. J. Crop Sci. 2014, 6, 27–37. [Google Scholar] [CrossRef][Green Version]
- Yang, X.; Wang, Y.; Qi, X.; Sun, L.; Zhang, M.; Song, F.; Liu, S.; Li, X.; Zhu, X. Effects of maize/mushroom intercropping on photosynthetic characteristics of maize ear leaf under high photosynthetic efficiency planting pattern. Soil Crops 2020, 9, 166–177. [Google Scholar]
- Sun, L.; Song, F.; Liu, S.; Cao, Q.; Liu, F.; Zhu, X. Integrated agricultural management practice improves soil quality in Northeast China. Arch. Agron. Soil Sci. 2018, 64, 1932–1943. [Google Scholar] [CrossRef]
- Zhu, X.; Yang, W.; Song, F.; Li, X. Diversity and composition of arbuscular mycorrhizal fungal communities in the cropland black soils of China. Glob. Ecol. Conserv. 2020, 22, e00964. [Google Scholar] [CrossRef]
- Gu, Z.; Li, G.; Du, Y.; Li, J.; Cai, F.; Wang, H. Investigation on parameters affecting the determination of organic matter in forest soil by potassium dichromate heating oxidation-volumetric method. Hubei For. Sci. Technol. 2014, 43, 24–26. [Google Scholar]
- Lei, Y.; Xiao, Y.; Li, L.; Jiang, C.; Zu, C.; Li, T.; Cao, H. Impact of tillage practices on soil bacterial diversity and composition under the tobacco-rice rotation in China. J. Microbiol. 2017, 55, 349–356. [Google Scholar] [CrossRef]
- Magoč, T.; Salzberg, S.L. FLASH: Fast length adjustment of short reads to improve genome assemblies. Bioinformatics 2011, 27, 2957–2963. [Google Scholar] [CrossRef] [PubMed]
- Caporaso, J.G.; Kuczynski, J.; Stombaugh, J.; Bittinger, K.; Bushman, F.D.; Costello, E.K.; Fierer, N.; Peña, A.G.; Goodrich, J.K.; Gordon, J.I.J.N.M. QIIME allows analysis of high-throughput community sequencing data. Nat. Methods 2010, 7, 335–336. [Google Scholar] [CrossRef] [PubMed]
- Edgar, R.C. Search and clustering orders of magnitude faster than BLAST. Bioinformatics 2010, 26, 2460–2461. [Google Scholar] [CrossRef] [PubMed]
- Bokulich, N.A.; Subramanian, S.; Faith, J.J.; Gevers, D.; Gordon, J.I.; Knight, R.; Mills, D.A.; Caporaso, J.G. Quality-filtering vastly improves diversity estimates from Illumina amplicon sequencing. Nat. Methods 2013, 10, 57. [Google Scholar] [CrossRef]
- DeSantis, T.Z.; Hugenholtz, P.; Larsen, N.; Rojas, M.; Brodie, E.L.; Keller, K.; Huber, T.; Dalevi, D.; Hu, P.; Andersen, G.L. Greengenes, a chimera-checked 16S rRNA gene database and workbench compatible with ARB. Appl. Environ. Microbiol. 2006, 72, 5069–5072. [Google Scholar] [CrossRef]
- Segata, N.; Izard, J.; Waldron, L.; Gevers, D.; Miropolsky, L.; Garrett, W.S.; Huttenhower, C. Metagenomic biomarker discovery and explanation. Genome Biol. 2011, 12, R60. [Google Scholar] [CrossRef]
- Langille, M.G.I.; Zaneveld, J.; Caporaso, J.G.; McDonald, D.; Knights, D.; Reyes, J.A.; Clemente, J.C.; Burkepile, D.E.; Vega Thurber, R.L.; Knight, R.; et al. Predictive functional profiling of microbial communities using 16S rRNA marker gene sequences. Nat. Biotechnol. 2013, 31, 814–821. [Google Scholar] [CrossRef]
- Fuentes, M.; Govaerts, B.; De León, F.; Hidalgo, C.; Dendooven, L.; Sayre, K.D.; Etchevers, J. Fourteen years of applying zero and conventional tillage, crop rotation and residue management systems and its effect on physical and chemical soil quality. Eur. J. Agron. 2009, 30, 228–237. [Google Scholar] [CrossRef]
- Li, Q.; Chen, J.; Wu, L.; Luo, X.; Li, N.; Arafat, Y.; Lin, S.; Wang, X. Belowground interactions impact the soil bacterial community, soil fertility, and crop yield in maize/peanut intercropping systems. Int. J. Mol. Sci. 2018, 19, 622. [Google Scholar] [CrossRef]
- Sun, Y.; Zhang, N.; Wang, E.; Yuan, H.; Yang, J.; Chen, W. Influence of intercropping and intercropping plus rhizobial inoculation on microbial activity and community composition in rhizosphere of alfalfa (Medicago sativa L.) and Siberian wild rye (Elymus sibiricus L.). FEMS Microbiol. Ecol. 2010, 70, 62–70. [Google Scholar]
- Du, B.; Pang, J.; Hu, B.; Allen, D.E.; Bell, T.L.; Pfautsch, S.; Netzer, F.; Dannenmann, M.; Zhang, S.; Rennenberg, H. N2-fixing black locust intercropping improves ecosystem nutrition at the vulnerable semi-arid Loess Plateau region, China. Sci. Total Environ. 2019, 688, 333–345. [Google Scholar] [CrossRef] [PubMed]
- de Oliveira, A.B.; Cantarel, A.A.M.; Seiller, M.; Florio, A.; Bérard, A.; Hinsinger, P.; Cadre, E.L. Short-term plant legacy alters the resistance and resilience of soil microbial communities exposed to heat disturbance in a Mediterranean calcareous soil. Ecol. Indic. 2020, 108, 105740. [Google Scholar] [CrossRef]
- Kebeney, S.J.; Semoka, J.M.R.; Msanya, B.M.; Ng’Etich, W.K.; Chemei, D.K. Effects of nitrogen fertilizer rates and soybean residue management on nitrate nitrogen in sorghum-soybean intercropping system. Int. J. Plant Soil Sci. 2014, 4, 212–229. [Google Scholar] [CrossRef]
- Phiri, A.T.; Weil, R.R.; Yobe, G.; Msaky, J.J.; Mrema, J.; Grossman, J.; Harawa, R. Insitu assessment of soil nitrate-nitrogen in the pigeon pea-groundnut intercropping-maize rotation system: Implications on nitrogen management for increased maize productivity. Int. Res. J. Agric. Sci. Soil Sci. 2014, 2, 13–29. [Google Scholar]
- Vieira, F.R.; Pecchia, J.A.; Segato, F.; Polikarpov, I. Exploring oyster mushroom (Pleurotus ostreatus) substrate preparation by varying phase I composting time: Changes in bacterial communities and physicochemical composition of biomass impacting mushroom yields. J. Appl. Microbiol. 2019, 126, 931–944. [Google Scholar] [CrossRef]
- Kim, D.G. Estimation of net gain of soil carbon in a nitrogen-fixing tree and crop intercropping system in sub-Saharan Africa: Results from re-examining a study. Agroforest Syst. 2012, 86, 175–184. [Google Scholar] [CrossRef]
- Dos Santos Soares, D.; Ramos, M.L.G.; Marchão, R.L.; Maciel, G.A.; de Oliveira, A.D.; Malaquias, J.V.; de Carvalho, A.M. How diversity of crop residues in long-term no-tillage systems affect chemical and microbiological soil properties. Soil Tillage Res. 2019, 194, 104316. [Google Scholar] [CrossRef]
- Trivedi, P.; Delgadobaquerizo, M.; Anderson, I.C.; Singh, B.K. Response of soil properties and microbial communities to agriculture: Implications for primary productivity and soil health indicators. Front. Plant Sci. 2016, 7, 990. [Google Scholar] [CrossRef]
- Yang, G.; Ma, K.; Lu, F.; Wei, C.; Dai, X. Effect of continuous cropping of potato on allelochemicals and soil microbial community. J. Ecol. Rural Environ. 2015, 31, 711–717. [Google Scholar]
- Qin, X.; Zheng, Y.; Tang, L.; Long, G. Effects of maize and potato intercropping on rhizosphere microbial community structure and diversity. Acta Agron. Sin. 2015, 41, 919–928. [Google Scholar] [CrossRef]
- Acosta-Martínez, V.; Acosta-Mercado, D.; Sotomayor-Ramírez, D.; Cruz-Rodríguez, L. Microbial communities and enzymatic activities under different management in semiarid soils. Appl. Soil Ecol. 2008, 38, 249–260. [Google Scholar] [CrossRef]
- Zhang, M.; Wang, N.; Hu, Y.; Sun, G. Changes in soil physicochemical properties and soil bacterial community in mulberry (Morus alba L.)/alfalfa (Medicago sativa L.) intercropping system. Microbiol. Open 2018, 7, e00555. [Google Scholar] [CrossRef] [PubMed]
- Lupwayi, N.Z.; May, W.E.; Kanashiro, D.A.; Petri, R.M. Soil bacterial community responses to black medic cover crop and fertilizer N under no-till. Appl. Soil Ecol. 2018, 124, 95–103. [Google Scholar] [CrossRef]
- Yu, H.; Chen, S.; Zhang, X.; Zhou, X.; Wu, F. Rhizosphere bacterial community in watermelon-wheat intercropping was more stable than in watermelon monoculture system under Fusarium oxysporum f. sp. niveum invasion. Plant Soil 2019, 445, 369–381. [Google Scholar] [CrossRef]
- Hugenholtz, P.; Goebel, B.M.; Pace, N.R. Impact of culture-independent studies on the emerging phylogenetic view of bacterial diversity. J. Bacteriol. 1998, 180, 4765–4774. [Google Scholar] [CrossRef]
- Thiel, V.; Fukushima, S.I.; Kanno, N.; Hanada, S. Chloroflexi. In Encyclopedia of Microbiology, 4th ed.; Schmidt, T.M., Ed.; Academic Press: Cambridge, MA, USA, 2019; pp. 651–662. [Google Scholar]
- Chistoserdova, L.; Jenkins, C.; Kalyuzhnaya, M.G.; Marx, C.J.; Lapidus, A.; Vorholt, J.A.; Staley, J.T.; Lidstrom, M.E. The enigmatic planctomycetes may hold a key to the origins of methanogenesis and methylotrophy. Mol. Biol. Evol. 2004, 21, 1234. [Google Scholar] [CrossRef]
- Kindaichi, T.; Yamaoka, S.; Uehara, R.; Ozaki, N.; Ohashi, A.; Albertsen, M.; Nielsen, P.H.; Nielsen, J.L. Phylogenetic diversity and ecophysiology of candidate phylum Saccharibacteria in activated sludge. FEMS Microbiol. Ecol. 2016, 92, fiw078. [Google Scholar] [CrossRef]
- Ahn, J.H.; Lee, S.A.; Kim, J.M.; Kim, M.S.; Song, J.; Weon, H.Y. Dynamics of bacterial communities in rice field soils as affected by different long-term fertilization practices. J. Microbiol. 2016, 54, 724–731. [Google Scholar] [CrossRef]
- Wackett, L.P. Pseudomonas putida-a versatile biocatalyst. Nat. Biotechnol. 2003, 21, 136–138. [Google Scholar] [CrossRef]
- Bever, J.D.; Dickie, I.A.; Facelli, E.; Facelli, J.M.; Klironomos, J.; Moora, M.; Rillig, M.C.; Stock, W.D.; Tibbett, M.; Zobel, M. Rooting theories of plant community ecology in microbial interactions. Trends Ecol. Evol. 2010, 25, 468–478. [Google Scholar] [CrossRef]
- Lladó, S.; Žifčáková, L.; Větrovský, T.; Eichlerová, I.; Baldrian, P. Functional screening of abundant bacteria from acidic forest soil indicates the metabolic potential of Acidobacteria subdivision 1 for polysaccharide decomposition. Biol. Fertil. Soils 2016, 52, 251–260. [Google Scholar] [CrossRef]
- Rashad, F.M.; Fathy, H.M.; El-Zayat, A.S.; Elghonaimy, A.M. Isolation and characterization of multifunctional Streptomyces species with antimicrobial, nematicidal and phytohormone activities from marine environments in Egypt. Microbiol. Res. 2015, 175, 34–47. [Google Scholar] [CrossRef] [PubMed]
- Binnie, C.; Cossar, J.D.; Stewart, D.I.H. Heterologous biopharmaceutical protein expression in Streptomyces. Trends Biotechnol. 1997, 15, 315–320. [Google Scholar] [CrossRef]
- Tao, T.; Yue, Y.; Chen, W.; Chen, W. Proposal of Nakamurella gen. nov. as a substitute for the bacterial genus Microsphaera Yoshimi et al. 1996 and Nakamurellaceae fam. nov. as a substitute for the illegitimate bacterial family Microsphaeraceae Rainey et al. 1997. Int. J. Syst. Evol. Microbiol. 2004, 54, 999–1000. [Google Scholar] [CrossRef] [PubMed]
- Subhashini, D. Growth promotion and increased potassium uptake of tobacco by potassium-mobilizing bacterium Frateuria aurantia grown at different potassium levels in vertisols. Commun. Soil Sci. Plant Anal. 2015, 46, 210–220. [Google Scholar] [CrossRef]
- Li, F.; Chen, L.; Zhang, J.; Yin, J.; Huang, S. Bacterial community structure after long-term organic and inorganic fertilization reveals important associations between soil nutrients and specific taxa involved in nutrient transformations. Front. Microbiol. 2017, 8, 187. [Google Scholar] [CrossRef]
- Kojima, M.; Kimura, N.; Miura, R. Regulation of primary metabolic pathways in oyster mushroom mycelia induced by blue light stimulation: Accumulation of shikimic acid. Sci. Rep. 2015, 5, 8630. [Google Scholar] [CrossRef]
- Ngwene, B.; Neugart, S.; Baldermann, S.; Ravi, B.; Schreiner, M. Intercropping induces changes in specific secondary metabolite concentration in Ethiopian Kale (Brassica carinata) and African Nightshade (Solanum scabrum) under controlled conditions. Front. Plant Sci. 2017, 8, 1700. [Google Scholar] [CrossRef]
- Zhang, X.; Gao, G.; Wu, Z.; Wen, X.; Zhong, H.; Zhong, Z.; Bian, F.; Gai, X. Agroforestry alters the rhizosphere soil bacterial and fungal communities of moso bamboo plantations in subtropical China. Appl. Soil Ecol. 2019, 143, 192–200. [Google Scholar] [CrossRef]
© 2020 by the authors. Licensee MDPI, Basel, Switzerland. This article is an open access article distributed under the terms and conditions of the Creative Commons Attribution (CC BY) license (http://creativecommons.org/licenses/by/4.0/).
