Abstract
Fusarium are considered as the major plant pathogen fungi, that cause the majority of soil-borne diseases to more than 100 plant species in the world, including maize. Thus, there are emerging demands of biocontrol reagents, and Crotalaria longirostrata showed fungicidal activity. The C. longirostrata branch extract was phytochemically characterized and evaluated for efficacy for the control of Fusarium wilt in maize. The application of the extract reduced the percentage of disease incidence significantly caused by Fusarium verticillioides from 70.4% to 40.12% as compared to non-treated plants, and evenly the disease severity was reduced from 40.15% to 29.46%. The phytochemical components of the extract were cinnamic acids (caffeic acid and ferulic acid) and phenolic acid (gallic acid). Furthermore, multiple structures were detected through mass spectrometry such as: phenols, alkaloids, esters, terpene, ketones, and amides. The bioautography assay showed that to separate the compounds of C. longirostrata branch extract causes it’s the loss of fungicidal activity. This is due to the synergy or additive interactions of secondary metabolites present in the raw extract. Our results suggest that the application of C. longirostrata branch extract is a promising strategy to be applied to the soil as a preventive treatment.
1. Introduction
Fusarium is considered in economic and scientific terms to be one of the most important pathogenic fungi. This genus causes serious problems since their species produce toxic metabolites, such as enniatins and fusaric acid, which are phytotoxins, that is, they are toxic to plants and they produce trichothecenes and fumonisins, which are toxic to animals [1]. These are, in fact, carcinogenic, mutagenic, teratogenic, cytotoxic, neurotoxic, nephrotoxic and even immuno-suppressive and estrogenic, presenting therefore serious risks to the public health [2]. In addition, these fungi cause the majority of soil-borne diseases in more than 100 plant species in the world, including maize (one of the most important food crops in the world).
Fusarium verticillioides (synonym, Fusarium moniliforme) is the most commonly reported fungal species infecting maize [3]. This fungus develops inside the young plant, moving from the roots to the stalk and finally to the cob and kernels [4]. This pathogen causes decay on the plant organs (for instance, the leaves, stem and root), stalk rot, ear rot and mycotoxin contamination. It is difficult to control due to its ability to survive on the ground for long periods with or without a receiving plant (it even survives in crop residues as stalk fragments or roots), and there is also the fact that most species are saprophytes [5,6,7]. Because of this, early detection of disease in crops caused by pathogen fungi is crucial in order to be able to choose appropriate protective measures. In addition to this, identifying the infestation level can help to reduce economic loss. Traditionally, the most commonly used control methods have been crop rotation, soil pH manipulation, seed treatment, and the use of resistant cultivars [8,9]. However, excessive use of these has affected both soil and water quality. So, it is important to achieve implementation strategies that are environmentally-friendly and less damaging to soil and water resources.
In recent years a great deal of attention has been focused on the application of alternative methods in the management of plant diseases, emphasizing the use of natural compounds derived from plants obtained in the form of extracts and essential oils, since they are rich in a wide range of secondary metabolites such as tannins, terpenoids, alkaloids, flavonoids, etc., that have been effective in tests in vitro for the control of various pathogens [10,11].
Fungal disease treatment with aqueous and organic extracts have reduced diseases caused by pathogens like Fusarium due to metabolic changes in the plants because of prompted systemic resistance through induction of phenol biosynthesis enzymes, anti-oxidant defensive enzymes, accumulation of phenolic compounds [12,13,14] and pathogenesis-related proteins, that increase plant resistance [15]. Akanmu et al. [16] reported on the phytofungicidal potentials of aqueous extracts of Mangifera indica (mango) and Jatropha curcas (physic nut) on the Fusarium pathogens of millet seedlings. J. curcas at 0.15, 0.30 and 0.45 mg/mL concentrations significantly (p < 0.05) suppressed F. anthophilum, F. verticillioides and F. oxysporum. Similarly, M. indica at 0.30 and 0.45 mg/mL concentrations was observed to show significant (p < 0.05) effect on F. verticillioides and F. scirpi. Crude extracts of pomegranate peel significantly reduced F. oxysporum population and wilt severity in naturally infected soils [17]. On the other hand, Crotalaria longirostrata is a species rich in secondary metabolites, whose leaf extract has demonstrated antibacterial activity [18] while its root, stem and branch extracts have shown antifungal properties, inhibiting mycelial growth and sporulation in vitro, without statistically significant difference in the results against Fusarium strains using the diffusion method in agar wells and the diffusion plate [19]. C. longirostrata leaves are consumed in various foods and the branches are discarded as waste facilitating their use, unlike the stem or roots. For this reason, this study aimed to evaluate the phytochemical characterization and efficacy of C. longirostrata branch extract for the control of Fusarium wilt in maize.
2. Materials and Methods
2.1. Chemicals
Methanol (≥99.8%) and formic acid (99%) were purchased from J.T. Baker, Thermo Fisher Scientific Inc, Madrid, Spain and FLUKA, Honeywell International Inc., Seelze, Germany respectively. The standards: gallic acid (97.5%–102.5%), protocatechuic acid (≥97.0%), chlorogenic acid (≥95.0%), caffeic acid (≥98.0%), p-coumaric acid (≥98.0%), trans-3-hydroxycinnamic acid (99.0%), ferulic acid (99.0%), rosmarinic acid (96.0%), rutin (≥94.0%), naringenin (99.0%), quercetine (≥95%), hesperetin (95.0%), genistein (≥98%), and scopoletin (≥99.0%) from Sigma-Aldrich-Merck, Darnstadt, Germany; vanillic acid (≥97%), hesperidin (≥97.0%), from Honeywell International Inc., Seelze, Germany; myricetin (97%), luteolin (≥99.0%), kaempferol (≥99%), chrysine (98.0%), galangin (99.0%), and acacetin (≥90.0%) from INDOFINE Chemical Company, Hillsborough, NJ, USA; apigenin (≥97.0%), pinobanksin 3-acetate (isolated from propolis: ≥95.0%), caffeic acid phenethyl ester (CAPE), was synthesized according to the procedure of Grunberger [20].
2.2. Plant Material
Fresh samples of C. longirostrata branches were collected in the municipality of Suchiapa, Chiapas, Mexico, geographic location: latitude 16°37′5″ N and longitude 93°5′39″ W. The plant material was shade-dried for three days and ground into powder.
2.3. Preparation of Extract
The methanolic extract was prepared with 10 g of dried powder in 100 mL of methanol; the mixture was shaken for 24 h. Afterwards, it was filtered through Whatman No. 1 filter paper and evaporated under vacuum in a rotary evaporator (Büchi Labortechnik AG, Flawil, Switzerland) at 45 °C. The residue was suspended in 10 mL of methanol, was next dissolved in water at a concentration of 20 mg/mL and was then stored at 4 °C until used.
2.4. Fungal Strains
F. verticillioides strain was characterized and molecularly identified (Genbank accession no. GU982311.1) by Figueroa–López et al. [21] from a monoconidial culture from Fusarium stalk, ear and root rot (SERR) of maize symptomatic tissue.
2.5. In Vivo Greenhouse Experiment
Pathogen inoculum was prepared by culturing F. verticillioides for seven days at 28 ± 2 °C on potato dextrose agar (PDA). Conidia were harvested by adding to the plates 10 mL of sterile distilled water and crystal pearls that were shaken slowly to detach spores of the mycelium with the collected conidia. Subsequently, a suspension was prepared with a concentration of 1 × 106 spores/mL. Maize seeds were sown in pots containing 70 g of sterilized peat moss and after 12 days the plants were transplanted to pots containing 500 g of the same substrate. Eight days before the transplantation, the soil was infested by the inoculum (50 mL of suspension) [22]. Treatments were evaluated: (1) distilled water (control), (2) F. verticillioides + C. longirostrata branch extract (Fv + EC), (3) C. longirostrata branch extract (EC) and (4) F. verticillioides (Fv). The C. longirostrata branch extract (20 mg/mL) was applied to the soil in each experimental unit of treatments 2 and 3, every 5 days until the experiment ended. After transplantation symptom development was assessed using six plants for each sampling per treatment; the observations were at seven-day intervals until termination after 42 days. The experiment was done twice. The variables evaluated were plant height (cm), root length (cm), dry root weight (g), dry leaf weight (g), disease incidence (%), and disease severity (%).
The percentage of disease incidence (PDI) in roots was determined using the following formula:
where n is the number of plants showing diseased symptoms with at least one diseased root and N is the total number of samples used.
The disease severity was calculated by the formula below [23]: whereas, scoring of symptom severity was based on the disease severity rating [16] (Figure 1).
where n is the number of assessed plants in each score of disease symptoms, v is the specific symptom score, N is the sum of all plants observed, and V the highest score of disease symptoms.
Figure 1.
The disease severity rating.
The PDI and DSS were used to evaluate the progress of the disease. The area under the disease progress curve (AUDPC) was determined using the equation reported by Palaniyandi et al. [24].
where n is the number of assessment times; y is the disease incidence (%) or severity (%) in different evaluations; i and I + 1 represent observations from 1 to n, and t is the days after disease initiation at different dates.
2.6. High Performance Liquid Chromatography (HPLC) Analysis
The dried extracts were dissolved in methanol and filtered through a nylon membrane (MNYL, 0.2 µm; Whatman; Kent, England). The analysis of chemical constituents from C. longirostrata branch extract was performed on a Varian ProStar 320 polaris (Walnut Creek, CA, USA) equipped with a LiChrospher 100 RP-18 (150 × 4.6 mm) column and diode array detector (DAD). The temperature was maintained at 30 °C during the analysis employing a Meta Term column heater. The column was eluted using a formic acid/methanol gradient at a flow rate of 1 mL/min. The mobile phase consisted of 5% formic acid in water (A) and methanol (B). The gradient program was 30% B (0–15 min), 40% B (15–20 min), 45% B (20–30 min), 60% B (30–50 min), 80% B (50–65 min) and 100% B (65–75 min). Eluting compounds were monitored at 280 and 340 nm and UV spectra recorded from 200 to 600 nm. A comparison of the retention times and the absorption spectra of an authentic standard were carried out in order to identify the compounds present in the samples.
2.7. Gas Chromatography-Mass Spectrometry (GC-MS) Analysis
The compounds present in C. longirostrata branch extract were identified using a gas chromatograph (Agilent Technologies 7890) coupled to a mass spectrometry detector (MSD VL 5975 C Wilmington, Santa Clara, USA), and using the method 8270D [25], equipped with a PE-XLB capillary column, 30 m × 0.25 mm (di) × 0.25 μm. The carrier gas was helium with a flow of 1.4 mL/min. The injector and detector temperatures were 110 °C and 150 °C, respectively. The initial temperature was 110 °C × 0.5 min, with a program of temperature ramps from 110 °C to 300 °C increasing 15 °C per minute and 300 °C to 320 °C, raising the temperature by 5 °C per min. Compounds in each sample were identified by comparing with mass spectra from the National Institute of Standards and Technology Library (NIST05).
2.8. Bioautography
The inhibition assay on thin-layer chromatography (TLC) plates was realized to test fungitoxicity of the of C. longirostrata branch extract, and C. longirostrata root extract as reported by Masoko and Eloff [26]. In two repetitions of the experiment, the 20 µL aliquots were spotted on duplicated silica-gel TLC plates (Silica Gel 60 F-254, Sigma-Aldrich-Merck, Darnstadt, Germany); one plate was developed with chloroform: methanol: ammonium hydroxide (8.5:1.4:0.1) and the other plate was a reference without use of the mobile system. Afterwards, the developed plates were dried for 1 to 2 h, and both plates were covered with a conidial suspension (1 × 106 spores/mL) of F. verticillioides into Czapek broth. The plates were incubated in a humid chamber for 48 to 72 h at 28 °C. Finally, inhibition of growth was determined by the presence of clear zones on chromatograms.
2.9. Experimental Design and Statistical Analysis
A randomized complete design was utilized of four treatments with six replicates monitored seven times; the total number of runs was 148. Arcsine square root transformations were performed for the data of disease incidence and severity per week due to a slight departure of the residuals from normality. For statistical analyses, one-way analysis of variance (ANOVA) at 5% level of significance using the STATGRAPHICS CENTURION XVI,(StatPoint Technologies, Inc., Warrenton, VA, USA) program was used [27].
3. Results
3.1. Effects on Plant Growth Parameters
The application of C. longirostrata branch extract has a beneficial effect on root system development compared to untreated plants (Table 1). Root length is the most sensitive variable, because the pathogen starts infection in that area of the plant. When we analyzed the average values of the growth variables, we did not obtain a statistically significant difference between treatments 1 and 3, which indicates that C. longirostrata branch extract does not affect the normal development of the plant (Figure 2). Meanwhile, treatments 2 and 4 that were inoculated with the pathogen presented a statistically significant difference for the variables root length, dry root weight and vegetative dry weight, showing higher averages with treatment 2 which received periodic doses of C. longirostrata branch extract, thus producing the reduction of symptoms in the plants due to the presence of the pathogen.
Table 1.
Effect of C. longirostrata branch extract on growth parameters of maize plants after 42 days.
Figure 2.
Effect of the application of C. longirostrata branch extract (EC) on maize plants infected with F. verticillioides (Fv).
3.2. Disease Assessment
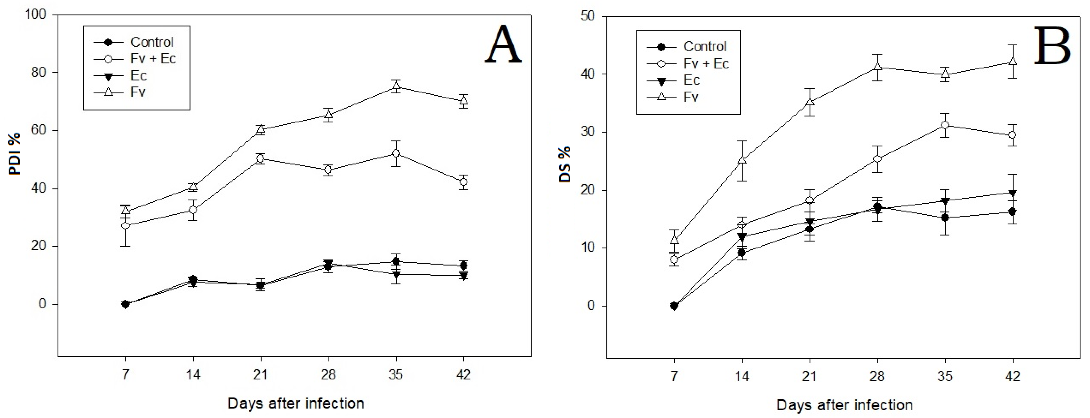
The percentage of disease incidence (PDI) in roots and the level of disease severity (DS) were observed during the experiment under greenhouse conditions. The plant’s control and Ec treatment showed light symptoms because this test was performed with seeds that were not sterilized and infected grains are the second most common route of infection of maize and usually, only a small percentage of them become symptomatic. When the treatments with F. verticillioides (Fv) had high incidence, we observed root rot and wilting in the diseased tissues. Our results showed that the plants treated with doses of 50 mL (20 mg/mL) of C. longirostrata branch extract every 5 days significantly reduced the PDI in the roots of 70.4% of plants infected by F. verticillioides (Fv) to 40.12% (Fv + Ec), (Figure 3A), and the DS in plants treated with C. longirostrata branch extract (Fv + Ec) was also reduced from 42.15% to 29.46% (Figure 3B).
Figure 3.
Effects of application of C. longirostrata branches extract (doses of 50 mL (20 mg/mL) every 5 days in plants infected by F. verticillioides on the percentage of disease incidence (PDI) (A) and disease severity (DS) (B). The observations were every 7 days. Fv: F. verticillioides; Ec: C. longirostrata branch extract.
Soil application of C. longirostrata branch extract significantly reduced disease progress in plants infected by F. verticillioides under greenhouse conditions. The analysis of AUDPC values indicated a statistically significant difference p < 0.05) in the incidence and severity disease between the plants infected with F. verticillioides (Fv) and plants treated with C. longirostrata branch extract (Fv + EC); plants infected (Fv) exhibited severe wilt symptom in leaves. Mild disease symptoms were observed in the control plants (Table 2).
Table 2.
Disease incidence of maize plants infected with F. verticillioides under greenhouse conditions.
3.3. Phytochemical Analysis of C. longirostrata Branch Extract
The qualitative HPLC analysis of C. longirostrata branch extract showed three phenolic acids in the sample: gallic, caffeic and ferulic acid. While the results pertaining to GC-MS analysis lead to the identification of components of a different nature like hydrocarbons, diterpenes, ester, phenols, amides, alkaloids and aromatic dicarboxylic acids, the components in major abundance were monocrotaline (20.7%), phthalic acid (16.47%), phytane (2,6,10,14-tetramethylhexadecane)(12.39%), vinyl crotonate (8.76%), hexadecanoic acid, methyl ester (8.03%), cyclopropanecarboxylic acid, 2-isopropoxyphenyl ester (6.94%), chlorocresol (6.64%), 2-methyl-2-propenoic acid, ethenyl ester (5.32%) and adogen 73 (9-octadecenamide) (1.18%).
3.4. Fungitoxicity Assay
In direct bioautography, we used C. longirostrata branch extract (EC) and C longirostrata root extract (ECR), to compare its reported antifungal activity [18]. The antifungal activity of the crude extracts EC and ECR (Figure 4A) was evidenced on silica gel plates. After the incubation period, clear zones of inhibition of the growth of F. verticillioides were observed with both extracts. After performing TLC and inoculating the plate with the spore suspension of the pathogen, it was observed that in the EC lane there was uniform growth of the fungus, while in the ECR lane there was the presence of zones of inhibition (Figure 4B), which indicates that certain compounds in ECR in isolation maintain their fungi-toxic effect.
Figure 4.
Bioautography. Zones of fungitoxicity using C. longirostrata branch extract (EC) and C. longirostrata root extract (ECR) on F. verticillioides. (A). Raw extract, (B) thin-layer chromatography (TLC).
4. Discussion
Different studies [16,22,28,29] have been conducted with the purpose of evaluating the use of plant extracts and essential oils as sustainable, environmentally friendly and non-phytotoxic alternative methods to protect crops against pathogens such as Fusarium, Aspergillus, Magnaporthe, and Alternaria. For instance, Akila et al. [30] reported that the leaf extract of Datura metel (10%) completely inhibited the mycelial growth of Fusarium oxysporum f. sp. cubense (Foc) (which causes bananas to wilt); it was also found that when mixing the extract with a botanical formulation and biocontrol agents, a significant reduction in disease incidence and growth promotion are achieved. The mechanism of disease suppression found in plant products and biocontrol agents has suggested that the active principles present may either act on pathogens directly or induce systemic resistance in host plants resulting in a reduction of disease development [12,31]. Oren et al. [4] suggest that the amount of fungal inoculum in the soil affects the level of plant colonization, which is more pronounced in roots in the early growth stages. Lagopodi et al. [32] indicated that the pathogen first attaches to the lateral roots and root hairs and then penetrates directly through the cuticle and epidermis of these tissues as a common mode of plant colonization. This is due to the fact that F. verticillioides caused root necrosis, thus reducing the absorption of nutrients and water, which then negatively affected the vegetative development of plants. Studies of several plant species have revealed that defense enzyme activities are increased by environmental factors such as fungal infection [33,34]. Based on our results, the suppression of root necrosis and wilt development in the greenhouse corresponds with the ability of C. longirostrata branch extract to reduce populations of Fusarium in soil. The mode of action could be related to a mixture of natural, volatile and aromatic compounds it contains and that can affect the integrity of the pathogen’s cell membrane; thus an option for improving the effect against Fusarium may be to add C. longirostrata branch extract into soil before sowing to reduce the pathogen population at a concentration of 0.2 mg/mL. We observed a reduction in disease symptoms of plants in the greenhouse, possibly because of enhanced defence enzyme production.
Phenolic acids are derivatives of hydrocinnamic, hydrobenzoic, phenylacetic, and phenylpropionic acids. Phenolic acids commonly exist as esters, glycosides or amides in nature, but not in their free form. The hydrocinnamic acids found in the Crotalaria extract (caffeic acid and ferulic acid) are compounds belonging to the phenylpropanoid family, its structures award that they have biological properties such as antioxidant, antimicrobial [35], anticancer, anti-inflammatory and antithrombotic among others. Phenylpropanoid acids are precursors of C6-C1 aromatic compounds such as gallic acid, which induces apoptosis [36], and possesses antifungal properties [37] as well as caffeic acid [38].
The different compounds found in C. longirostrata branches extract contain mostly aromatic nuclei, and hydroxyl groups (-OH), which are known to be reactive and can form hydrogen bonds with sulfhydryl groups (SH) at active enzyme sites [39,40], resulting in their deactivation in fungi, which could be the mechanism of antifungal action of these compounds, however, it requires further studies are required to define the mode of action and its use in field conditions.
The bioautography is a simple and rapid method for the chemical and biological screening of plant extracts, its major applications are fast screening for bioactivity namely antibacterial, antifungal, antioxidant, enzyme inhibition etc. and in the target-directed isolation of active compounds. A silica plate covered with the broth medium becomes a source of nutrients that enables the growth of the microorganisms directly on it. In the place where an antimicrobial agent is detected, the inhibition zone of the microorganism growth is formed [41]. The absence of bioactivity of C. longirostrata branch extract in TLC could be due to photo-oxidation or to a very little amount of the active compound [26]. It is also possible that it is due to synergism or additive interactions of extract phytocompounds [42]. The different of bioactivity with C. longirostrata root extract (ECR) is that with its separated compounds antifungal activity could take place because of the presence of compound(s) such as phenolic acids, cyclopropane-carboxylic acid, 2-isopropoxyphenyl ester, 1-bromo-2.3,3-trifluorocyclopropene, vanillin [43] and acetophenone that inhibit the growth of fungi.
5. Conclusions
The application of C. longirostrata branch extract showed a positive effect in reducing the progress of the disease caused by F. verticillioides in maize, mainly on incidence in the root. Its activity can be attributed to the aromatic compounds containing radicals OH and SH, these could act in synergy or additive interactions to inhibit pathogen enzymes or activate defense mechanisms in plants.
Author Contributions
R.I.C.-R. and N.R.-L. designed this study. R.I.C.-R. and A.C.-S. analyzed the data. R.M.-G. provided the technical information on the phytochemical analysis and supervised the investigation R.I.C.-R. wrote the manuscript. A.C.-S., J.I.P.-V. and H.A.E.-A. revised and edited the manuscript. All authors have read and agreed to the published version of the manuscript.
Funding
The authors are grateful for grant number (00022011068A) and the Tecnologico Nacional de México/Instituto Tecnológico de Tuxtla Gutiérrez for providing complementary funds for this work (TGZ-IBQ-2012-111 and 5174.13-P).
Acknowledgments
The authors are grateful for the access granted to the biotechnology laboratory and greenhouses of the Tecnológico Nacional de México/Instituto Tecnológico de Tuxtla Gutiérrez.
Conflicts of Interest
The authors declare no conflict of interest.
References
- Agrios, G. Plant Pathology, 5th ed.; Elsevier Academic Press: New York, NY, USA, 2005; p. 922. [Google Scholar]
- Wagacha, J.; Muthomi, J.W. Fusarium culmorum: Infection process, mechanisms of mycotoxin production and their role in pathogenesis in wheat. Crop. Prot. 2007, 26, 877–885. [Google Scholar] [CrossRef]
- Nelson, P.E. Taxonomy and biology of Fusarium moniliforme. Mycopathol. 1992, 117, 29–36. [Google Scholar] [CrossRef] [PubMed]
- Oren, L.; Ezrati, S.; Cohen, D.; Sharon, A. Early Events in the Fusarium verticillioides-Maize Interaction Characterized by Using a Green Fluorescent Protein-Expressing Transgenic Isolate. Appl. Environ. Microbiol. 2003, 69, 1695–1701. [Google Scholar] [CrossRef] [PubMed]
- Dean, R.; Van Kan, J.A.L.; Pretorius, Z.A.; Hammond-Kosack, K.E.; Di Pietro, A.; Spanu, P.D.; Rudd, J.J.; Dickman, M.; Kahmann, R.; Ellis, J.; et al. The Top 10 fungal pathogens in molecular plant pathology. Mol. Plant Pathol. 2012, 13, 414–430. [Google Scholar] [CrossRef] [PubMed]
- Pantelides, I.; Tjamos, S.; Pappa, S.; Kargakis, M.; Paplomatas, E.J. The ethylene receptor ETR1 is required for Fusarium oxysporum pathogenicity. Plant Pathol. 2013, 62, 1302–1309. [Google Scholar] [CrossRef]
- Patil, M.K.M.; Nimbaragi, Y. Management of Stalk Rot of Maize Caused by Fusarium moniliforme (Sheldon). Int. J. Curr. Microbiol. Appl. Sci. 2017, 6, 3546–3552. [Google Scholar] [CrossRef]
- Katan, J. Physical and cultural methods for the management of soil-borne pathogens. Crop. Prot. 2000, 19, 725–731. [Google Scholar] [CrossRef]
- Lamichhane, J.R.; Dürr, C.; Schwanck, A.A.; Robin, M.-H.; Sarthou, J.-P.; Cellier, V.; Messéan, A.; Aubertot, J.-N. Integrated management of damping-off diseases. A review. Agron. Sustain. Dev. 2017, 37, 420. [Google Scholar] [CrossRef]
- Javaid, A.; Rauf, S. Management of basal rot disease of onion with dry leaf biomass of Chenopodium album as soil amendment. Int. J. Agric. Biol. 2015, 17, 142–148. [Google Scholar]
- Prieto, J.A.; Patiño, O.J.; Plazas, E.A.; Pabón, L.C.; Ávila, M.C.; Guzmán, J.D.; Cuca, L.E. Natural Products from Plants as Potential Source Agents for Controlling Fusarium. In Fungicides—Showcases of Integrated Plant Disease Management from around the World; IntechOpen: London, UK, 2013. [Google Scholar]
- Paul, P.; Sharma, P. Azadirachta indica leaf extract induces resistance in barley against leaf stripe disease. Physiol. Mol. Plant Pathol. 2002, 61, 3–13. [Google Scholar] [CrossRef]
- Guleria, S.; Kumar, A. Azadirachta indica leaf extract induces resistance in sesame against Alternaria leaf spot disease. J. Cell Mol. Biol. 2006, 5, 81–86. [Google Scholar]
- Trilogy, A Product of Neem (Azadirachta indica) Induces Resistance in Cucumber Against Podosphaera xanthii. Res. J. Microbiol. 2007, 2, 402–414. [CrossRef]
- McGovern, R. Management of tomato diseases caused by Fusarium oxysporum. Crop. Prot. 2015, 73, 78–92. [Google Scholar] [CrossRef]
- Akanmu, A.O.; Odebode, A.C.; Abiala, M.A.; Aiyelaagbe, O.O.; Olaoluwa, O.O. Inhibition of Fusarium pathogens in millet by extracts of Jatropha curcas and Magnifera indica. Int. J. Plant Biol. Res. 2014, 2, 1007. [Google Scholar]
- Rongai, D.; Pulcini, P.; Pesce, B.; Milano, F. Antifungal activity of pomegranate peel extract against fusarium wilt of tomato. Eur. J. Plant Pathol. 2016, 147, 229–238. [Google Scholar] [CrossRef]
- Cruz-Rodríguez, R.I.; Meza-Gordillo, R.; Rodríguez-Mendiola, M.A.; Arias-Castro, C.; Mancilla-Margalli, N.A.; Ávila-Miranda, M.E.; Ricaldi, J.M.C.; Gutiérrez-Miceli, F.A.; Ruíz-Valdiviezo, V.M.; Ayora-Talavera, T.D.R. Antifungal activity of Crotalaria longirostrata Hook. & Arn. extracts against phytopathogen fungi from maize. Gayana Bot. 2017, 74, 167–175. [Google Scholar]
- Miranda-Granados, J.; Chacón, C.; Ruiz-Lau, N.; Vargas, M.E.; Zepeda, L.G.; Gutiérrez, P.E. Álvarez; Meza-Gordillo, R.; Lagunas-Rivera, S. Alternative Use of Extracts of Chipilín Leaves (Crotalaria longirostrata Hook. & Arn) as Antimicrobial. Sustainability 2018, 10, 883. [Google Scholar]
- Grunberger, D.; Banerjee, R.; Eisinger, K.; Oltz, E.M.; Efros, L.; Caldwell, M.; Estevez, V.; Nakanishi, K. Preferential cytotoxicity on tumor cells by caffeic acid phenethyl ester isolated from propolis. Cell. Mol. Life Sci. 1988, 44, 230–232. [Google Scholar] [CrossRef]
- Figueroa-López, A.M.; Cordero-Ramírez, J.D.; Quiroz-Figueroa, F.; Maldonado-Mendoza, I.E. A high-throughput screening assay to identify bacterial antagonists against Fusarium verticillioides. J. Basic Microbiol. 2013, 54, 125. [Google Scholar] [CrossRef]
- Abiala, M.O.; Akanmu, A.O.; Onanuga, O.E.; Odebode, A.C. Azadirachta indica inhibited phytopathogenic fungi of sorghum (Sorghum bicolor. L. Moench). Advan. Biol. Res. 2013, 7, 241–247. [Google Scholar]
- Miftakhurohmah Hidayat, S.H.; Mutaqin, K.H.; Soekarno, B.P.W.; Wahyuno, D. Incidence and severity of mottle disease in black pepper plants (piper nigrum) in Sukamulya Research Station, Sukabumi Regency, West Java. IOP Conf. Ser. Earth Environ. Sci. 2020, 418, 012054. [Google Scholar] [CrossRef]
- Palaniyandi, S.A.; Cheng, J.; Suh, J.-W.; Yang, S.; Meng, L. Biological control of anthracnose (Colletotrichum gloeosporioides) in yam by Streptomyces sp. MJM5763. J. Appl. Microbiol. 2011, 111, 443–455. [Google Scholar] [CrossRef] [PubMed]
- Johnson, B. Analysis of US EPA Method 8270D. Semivolatile Organic Compounds by GC/MS. Lc Gc N AM. 2002, 20, 8. [Google Scholar]
- Masoko, P.; Picard, J.; Eloff, J.N. Antifungal activities of six South African Terminalia species (Combretaceae). J. Ethnopharmacol. 2005, 99, 301–308. [Google Scholar] [CrossRef] [PubMed]
- Statgraphics Plus for Windows. Design of Experiments Analyses Software; Manugistics, Inc.: Rockville, MD, USA, 1999. [Google Scholar]
- Ngo, M.T.; Han, J.W.; Yoon, S.; Bae, S.; Kim, S.-Y.; Kim, H.; Choi, G.J. Discovery of New Triterpenoid Saponins Isolated from Maesa japonica with Antifungal Activity against Rice Blast Fungus Magnaporthe oryzae. J. Agric. Food Chem. 2019, 67, 7706–7715. [Google Scholar] [CrossRef]
- Tomazoni, E.Z.; Ribeiro, R.T.S.; Pauletti, G.F.; Soares, G.L.G.; Schwambach, J. Inhibition of Alternaria stem canker on tomato by essential oils from Baccharis species. J. Environ. Sci. Heal. Part B 2019, 54, 781–790. [Google Scholar] [CrossRef]
- Akila, R.; Rajendran, L.; Harish, S.; Saveetha, K.; Raguchander, T.; Samiyappan, R. Combined application of botanical formulations and biocontrol agents for the management of Fusarium oxysporum f. sp. cubense (Foc) causing Fusarium wilt in banana. Biol. Control. 2011, 57, 175–183. [Google Scholar] [CrossRef]
- Sangeetha, G.; Thangavelu, R.; Rani, S.U.; Muthukumar, A. Antimicrobial activity of medicinal plants and induction of defense related compounds in banana fruits cv. Robusta against crown rot pathogens. Biol. Control. 2013, 64, 16–25. [Google Scholar] [CrossRef]
- Lagopodi, A.; Ram, A.F.; Lamers, G.E.M.; Punt, P.J.; Hondel, C.A.M.J.J.V.D.; Lugtenberg, B.J.J.; Bloemberg, G.V. Novel Aspects of Tomato Root Colonization and Infection by Fusarium oxysporum f. sp. radicis-lycopersici Revealed by Confocal Laser Scanning Microscopic Analysis Using the Green Fluorescent Protein as a Marker. Mol. Plant Microbe Interact. 2002, 15, 172–179. [Google Scholar] [CrossRef]
- Jetiyanon, K. Defensive-related enzyme response in plants treated with a mixture of Bacillus strains (IN937a and IN937b) against different pathogens. Biol. Control. 2007, 42, 178–185. [Google Scholar] [CrossRef]
- Shanmugam, V.; Kanoujia, N. Biological management of vascular wilt of tomato caused by Fusarium oxysporum f.sp. lycospersici by plant growth-promoting rhizobacterial mixture. Biol. Control. 2011, 57, 85–93. [Google Scholar] [CrossRef]
- Lima, V.N.; Oliveira-Tintino, C.D.; Santos, E.S.; Morais, L.P.; Tintino, S.R.; Freitas, T.S.; Geraldo, Y.S.; Pereira, R.L.; Cruz, R.P.; Menezes, I.R.; et al. Antimicrobial and enhancement of the antibiotic activity by phenolic compounds: Gallic acid, caffeic acid and pyrogallol. Microb. Pathog. 2016, 99, 56–61. [Google Scholar] [CrossRef] [PubMed]
- Inoue, M.; Suzuki, R.; Koide, T.; Sakaguchi, N.; Ogihara, Y.; Yabu, Y. Antioxidant, Gallic Acid, Induces Apoptosis in HL-60RG Cells. Biochem. Biophys. Res. Commun. 1994, 204, 898–904. [Google Scholar] [CrossRef] [PubMed]
- Li, Z.-J.; Liu, M.; Dawuti, G.; Dou, Q.; Ma, Y.; Liu, H.-G.; Aibai, S. Antifungal Activity of Gallic Acid In Vitro and In Vivo. Phytotherapy Res. 2017, 31, 1039–1045. [Google Scholar] [CrossRef] [PubMed]
- Kim, J.H.; Campbell, B.C.; Mahoney, N.E.; Chan, K.L.; Molyneux, R.J. Identification of Phenolics for Control ofAspergillus flavusUsingSaccharomyces cerevisiaein a Model Target-Gene Bioassay. J. Agric. Food Chem. 2004, 52, 7814–7821. [Google Scholar] [CrossRef] [PubMed]
- Velluti, A. Inhibitory effect of cinnamon, clove, lemongrass, oregano and palmarose essential oils on growth and fumonisin B1 production by Fusarium proliferatum in maize grain. Int. J. Food Microbiol. 2003, 89, 145–154. [Google Scholar] [CrossRef]
- Alma, M.H.; Ertaş, M.; Nitz, S.; Kollmannsberger, H. chemical composition an content of essential oil from the bud of cultivated Turkish clove (Syzygium aromaticum L.). BioResources 2007, 2, 265–269. [Google Scholar]
- Choma, I.M.; Grzelak, E.M. Bioautography detection in thin-layer chromatography. J. Chromatogr. A 2011, 1218, 2684–2691. [Google Scholar] [CrossRef]
- Zhang, A.; Sun, H.; Wang, X.J.; Jiao, G.; Yuan, Y.; Sun, W. Simultaneous in vivo RP-HPLC-DAD quantification of multiple-component and drug-drug interaction by pharmacokinetics, using 6,7-dimethylesculetin, geniposide and rhein as examples. Biomed. Chromatogr. 2011, 26, 844–850. [Google Scholar] [CrossRef]
- Romero-Cortes, T.; Pérez-España, V.H.; López-Pérez, P.A.; Rodríguez-Jimenes, G.C.; Robles-Olvera, V.J.; Aparicio-Burgos, J.E.; Cuervo-Parra, J.A. Antifungal activity of vanilla juice and vanillin against Alternaria alternata. CyTA-J Food 2019, 17, 375–383. [Google Scholar] [CrossRef]
© 2020 by the authors. Licensee MDPI, Basel, Switzerland. This article is an open access article distributed under the terms and conditions of the Creative Commons Attribution (CC BY) license (http://creativecommons.org/licenses/by/4.0/).



