Fibre and Seed Productivity of Industrial Hemp (Cannabis sativa L.) Varieties under Mediterranean Conditions
Abstract
1. Introduction
2. Materials and Methods
2.1. Experimental Design and Plant Materials
2.2. Growth Conditions
2.3. Hemp Development
2.4. Hemp Fibre and Seed Yields
2.5. Fibre Physical Parameters
2.6. Cannabinoid Analysis
2.7. Statistical Analyses
3. Results
3.1. Growth Conditions
3.2. Hemp Development
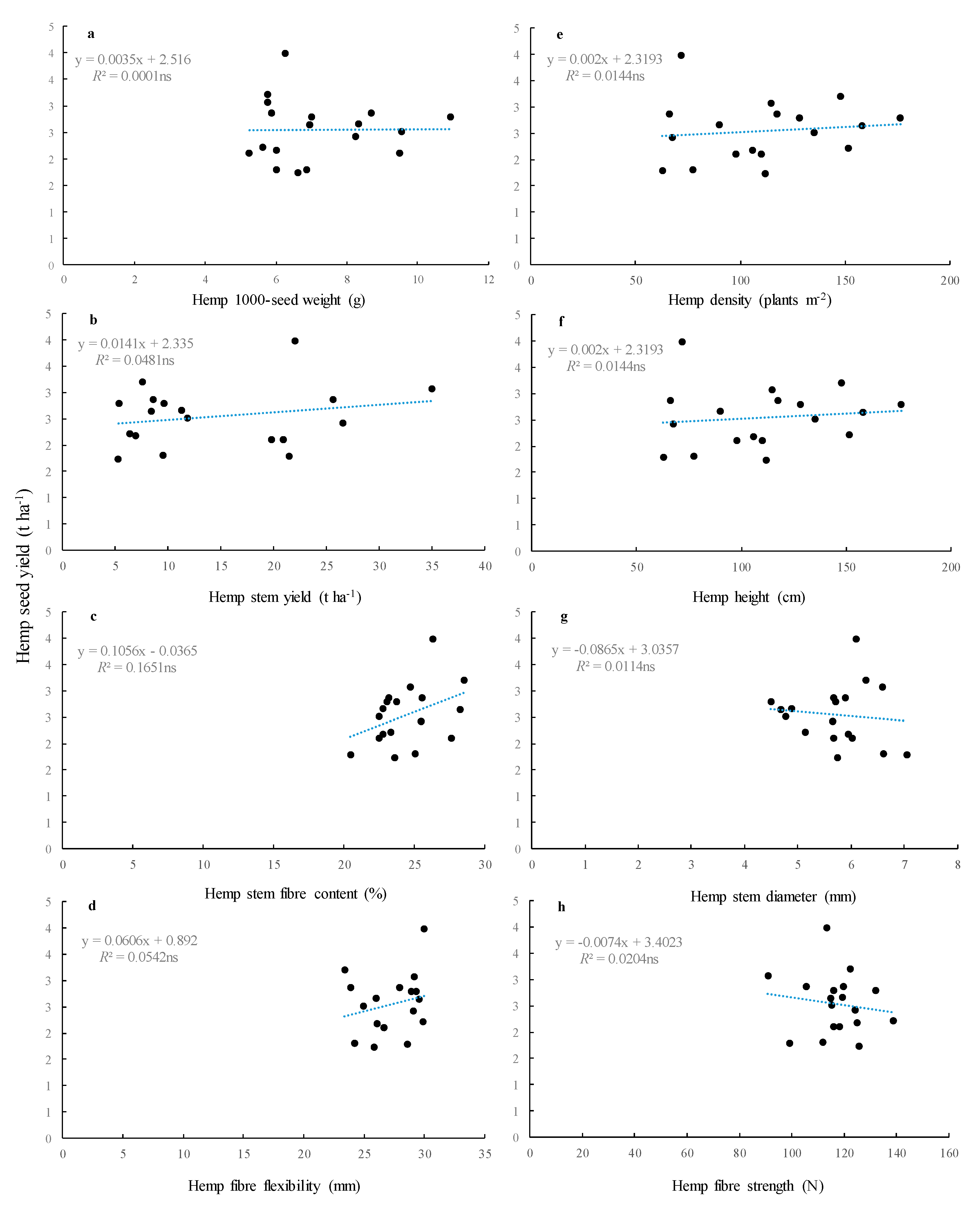
3.3. Hemp Fibre and Seed Yields
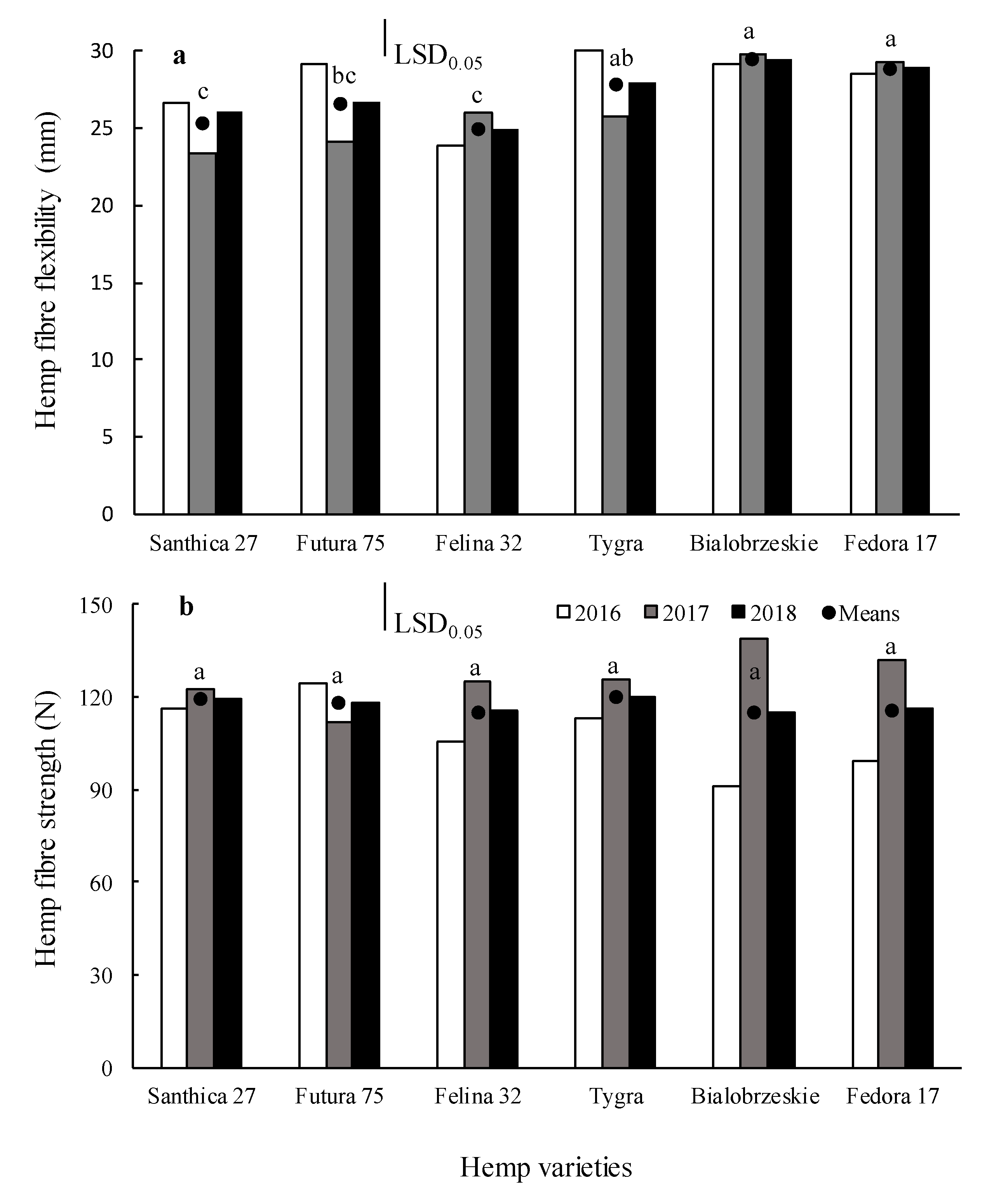
3.4. Fibre Physical Parameters
3.5. Cannabinoid Content
4. Discussion
4.1. Growth Conditions
4.2. Hemp Development
4.3. Hemp Fibre and Seed Yields
4.4. Fibre Physical Parameters
4.5. Cannabinoid Content
5. Conclusions
Author Contributions
Funding
Conflicts of Interest
References
- Struik, P.C.; Amaducci, S.; Bullard, M.J.; Stutterheim, N.C.; Venturi, G.; Cromack, H.T.H. Agronomy of fibre hemp (Cannabis sativa L.) in Europe. Ind. Crops Prod. 2000, 11, 107–118. [Google Scholar] [CrossRef]
- Carus, M.; Sarmento, L. The European Hemp Industry: Cultivation, Processing and Applications for Fibres, Shives, Seeds and Flowers. European Industrial Hemp Association (EIHA). 2016. Available online: https://eiha.org/media/2016/05/16-05-17-European-Hemp-Industry-2013.pdf (accessed on 7 November 2020).
- Baldini, M.; Ferfuia, C.; Zuliani, F.; Danuso, F. Suitability assessment of different hemp (Cannabis sativa L.) varieties to the cultivation environment. Ind. Crops Prod. 2020, 143, 111860. [Google Scholar] [CrossRef]
- Salentijn, E.M.J.; Zhang, Q.; Amaducci, S.; Yang, M.; Trindade, L.M. New developments in fiber hemp (Cannabis sativa L.) breeding. Ind. Crops Prod. 2015, 68, 32–41. [Google Scholar] [CrossRef]
- European Commission (EC). Commission Regulation No. 809/2014 of 17 July 2014 laying down rules for the application of Regulation (EU) No 1306/2013 of the European Parliament and of the Council with regard to the integrated administration and control system, rural development measures and cross compliance. Off. J. Eur. Union 2014, 227, 69–124. [Google Scholar]
- European Industrial Hemp Association (EIHA). Hemp cultivation & Production in Europe in 2018. 2020. Available online: https://eiha.org/wp-content/uploads/2020/06/2018-Hemp-agri-report.pdf (accessed on 7 November 2020).
- Campiglia, E.; Radicetti, E.; Mancinelli, R. Plant density and nitrogen fertilization affect agronomic performance of industrial hemp (Cannabis sativa L.) in Mediterranean environment. Ind. Crops Prod. 2017, 100, 246–254. [Google Scholar] [CrossRef]
- Angelini, L.G.; Tavarini, S.; Candilo, M.D. Performance of new and traditional fiber hemp (Cannabis sativa L.) cultivars for novel applications: Stem, bark, and core yield and chemical composition. J. Nat. Fibers 2016, 13, 238–252. [Google Scholar] [CrossRef]
- Faux, A.-M.; Draye, X.; Lambert, R.; d’Andrimont, R.; Raulier, P.; Bertin, P. The relationship of stem and seed yield to flowering phenology and sex expression in monoecious hemp (Cannabis sativa L.). Eur. J. Agron. 2013, 47, 11–22. [Google Scholar] [CrossRef]
- Tang, K.; Struik, P.C.; Yin, X.; Thouminot, C.; Bjelkova, M.; Stramkale, V. Comparing hemp (Cannabis sativa L.) cultivars for dual-purpose production under contrasting environments. Ind. Crops Prod. 2016, 87, 33–46. [Google Scholar] [CrossRef]
- Van der Werf, H.M.G. The effect of plant density on light interception in hemp (Cannabis sativa L.). J. Int. Hemp Assoc. 1997, 4, 8–13. [Google Scholar]
- Cosentino, S.L.; Riggi, E.; Testa, G.; Scordia, D.; Copani, V. Evaluation of European developed fibre hemp genotypes (Cannabis sativa L.) in semi-arid Mediterranean environment. Ind. Crops Prod. 2013, 50, 312–324. [Google Scholar] [CrossRef]
- Hall, J.; Bhattarai, S.P.; Midmore, D.J. The effects of different sowing times on maturity rates, biomass, and plant growth of industrial fiber hemp. J. Nat. Fibers 2013, 10, 40–50. [Google Scholar] [CrossRef]
- Sikora, V.; Berenji, J.; Latkovic, D. Influence of agroclimatic conditions on content of main cannabinoids in industrial hemp (Cannabis sativa L.). Genetika 2011, 43, 449–456. [Google Scholar] [CrossRef]
- García-Tejero, L.F.; Durán-Zuazo, V.H.; Pérez-Álvarez, R.; Hernández, A.; Casano, S.; Morón, M.; Muriel-Fernández, J.L. Impact of plant density and irrigation on yield of hemp (Cannabis sativa L.) in a Mediterranean semi-arid environment. J. Agric. Sci. Technol. 2014, 16, 887–895. [Google Scholar]
- Yassoglou, N.; Tsadilas, C.; Kosmas, C. The Soils of Greece; Springer International Publishing: New York, NY, USA, 2017; p. 113. [Google Scholar]
- Papastylianou, P.; Kakabouki, I.; Travlos, I. Effect of nitrogen fertilization on growth and yield of industrial hemp (Cannabis sativa L.). Not. Bot. Horti Agrobo. 2018, 46, 197–201. [Google Scholar] [CrossRef]
- Tsaliki, E.F.; Xanthopoulos, F.; Kechagia, U.; Leloudis, C. Evaluation of germination ability of cotton cultivars (Gossypium hirsutum L.) under artificial stress conditions. J. Agric. Sci. Pract. 2019, 4, 4–8. [Google Scholar] [CrossRef]
- Mediavilla, V.; Jonquera, M.; Schmid-Slembrouck, I.; Soldati, A. Decimal code for growth stages of hemp (Cannabis sativa L.). J. Int. Hemp Ass. 1998, 5, 67–72. [Google Scholar]
- Jankauskiene, Z.; Butkute, B.; Gruzdeviene, E.; Ceseviciene, J.; Fernando, A.L. Chemical composition and physical properties of dew- and water –retted hemp fibers. Ind. Crops Prod. 2015, 75, 206–211. [Google Scholar] [CrossRef]
- Jankauskiene, Z.; Gruzdeviene, E. Physical parameters of dew retted and water retted hemp (Cannabis sativa L.) fibres. Zemdirb. Agric. 2013, 100, 71–80. [Google Scholar] [CrossRef]
- United Nations Office on Drugs and Crime (UNODC). Recommended Methods for the Identification and Analysis of Cannabis and Cannabis Products; United Nations Publications: New York, NY, USA, 2009. [Google Scholar]
- MSTAT-C. A Microcomputer Program for the Design, Management, and Analysis of Agronomic Research Experiments; Michigan State University: East Lansing, MI, USA, 1988. [Google Scholar]
- Statistical Package for the Social Sciences (SPSS). SPSS Base 16.0 User’s Guide; SPSS Inc.: Chicago, IL, USA, 2007. [Google Scholar]
- Amaducci, S.; Scordia, D.; Liu, F.H.; Zhang, Q.; Guo, H.; Testa, G.; Cosentino, S.L. Key cultivation techniques for hemp in Europe and in China. Ind. Crops Prod. 2015, 68, 2–16. [Google Scholar] [CrossRef]
- Lisson, S.N.; Mendham, N.J.; Carberry, P.S. Development of a hemp (Cannabis sativa L.) simulation model 1. General introduction and the effect of temperature on the pre-emergent development of hemp. Austr. J. Exp. Agric. 2000, 40, 405–411. [Google Scholar] [CrossRef]
- Sankari, H.S. Comparison of bast fibre yield and mechanical fibre properties of hemp (Cannabis sativa L.) cultivars. Ind. Crops Prod. 2000, 11, 73–84. [Google Scholar] [CrossRef]
- Cappelletto, P.; Brizzi, M.; Mongardini, F.; Barberi, B.; Sannibale, M.; Nenci, G.; Poli, M.; Corsi, G.; Grassi, G.; Pasini, P. Italy-grown hemp: Yield, composition and cannabinoid content. Ind. Crops Prod. 2001, 13, 101–113. [Google Scholar] [CrossRef]
- Di Bari, V.; Campi, P.; Colucci, R.; Mastrorilli, M. Potential productivity of fibre hemp in southern Europe. Euphytica 2004, 140, 25–32. [Google Scholar] [CrossRef]
- Deleuran, L.C.; Flengmark, P.K. Yield Potential of hemp (Cannabis sativa L.) cultivars in Denmark. J. Ind. Hemp. 2006, 10, 19–31. [Google Scholar] [CrossRef]
- Clarke, R.C.; Merlin, M.D. Cannabis Domestication, Breeding History, Present-day Genetic Diversity, and Future Prospects. Crit. Rev. Plant Sci. 2016, 35, 293–327. [Google Scholar] [CrossRef]
- Glivara, T.; Erženb, J.; Kreftc, S.; Zagožend, M.; Čerenakd, A.; Čehd, B.; Tavčar Benković, E. Cannabinoid content in industrial hemp (Cannabis sativa L.) varieties grown in Slovenia. Ind. Crops Prod. 2020. [Google Scholar] [CrossRef]
- Toth, J.A.; Stack, G.M.; Cala, A.R.; Carlson, C.H.; Wilk, R.L.; Crawford, J.L.; Donald, R.; Viands, D.R.; Philippe, G.; Smart, C.D.; et al. Development and validation of genetic markers for sex and cannabinoid chemotype in Cannabis sativa L. GCB Bioenergy 2020, 12, 213–222. [Google Scholar] [CrossRef]









| Hemp Variety | Hemp Plant m−2 | |||
|---|---|---|---|---|
| Yr 1 | Yr 2 | Yr 3 | Over Year | |
| Santhica 27 | 110 | 148 | 90 | 116 |
| Futura 75 | 68 | 78 | 98 | 81 |
| Felina 32 | 66 | 106 | 135 | 102 |
| Tygra | 72 | 112 | 118 | 101 |
| Bialobrzeskie | 115 | 152 | 158 | 142 |
| Fedora 17 | 63 | 177 | 128 | 123 |
| LSD0.05 | 33 | 19 | ||
| Over variety | 82 | 129 | 121 | |
| LSD0.05 | 12 | |||
| Year Main Effect | ||||||
|---|---|---|---|---|---|---|
| Plant Height * (cm) | Stem Diameter (mm) | Biomass (t ha−1) | Stem Yield (t ha−1) | Fibres (%) | Fibre Strength (N) | |
| Year 1 | 147.9 a | 6.2 a | 8.25 a | 25.27 a | 24.63 b | 11.04 c |
| Year 2 | 131.2 b | 5.9 a | 1.83 c | 6.85 c | 26.02 a | 12.84 a |
| Year 3 | 131.2 b | 5.0 b | 3.39 b | 11.58 b | 24.41 b | 11.96 b |
| Fibre Flexibility (mm) | Fibre Yield (t ha−1) | Seed Yield (t ha−1) | 1000-seeds Weight (g) | THC (%) | CBD (%) | |
| Year 1 | 27.88 a | 6.22 a | 2.70 a | 6.38 b | 0.133 a | 1.165 a |
| Year 2 | 26.43 a | 1.78 c | 2.32 a | 6.17 b | 0.101 b | 1.137 b |
| Year 3 | 27.35 a | 2.79 b | 2.60 a | 8.99 a | 0.103 b | 0.870 c |
Publisher’s Note: MDPI stays neutral with regard to jurisdictional claims in published maps and institutional affiliations. |
© 2021 by the authors. Licensee MDPI, Basel, Switzerland. This article is an open access article distributed under the terms and conditions of the Creative Commons Attribution (CC BY) license (http://creativecommons.org/licenses/by/4.0/).
Share and Cite
Tsaliki, E.; Kalivas, A.; Jankauskiene, Z.; Irakli, M.; Cook, C.; Grigoriadis, I.; Panoras, I.; Vasilakoglou, I.; Dhima, K. Fibre and Seed Productivity of Industrial Hemp (Cannabis sativa L.) Varieties under Mediterranean Conditions. Agronomy 2021, 11, 171. https://doi.org/10.3390/agronomy11010171
Tsaliki E, Kalivas A, Jankauskiene Z, Irakli M, Cook C, Grigoriadis I, Panoras I, Vasilakoglou I, Dhima K. Fibre and Seed Productivity of Industrial Hemp (Cannabis sativa L.) Varieties under Mediterranean Conditions. Agronomy. 2021; 11(1):171. https://doi.org/10.3390/agronomy11010171
Chicago/Turabian StyleTsaliki, Eleni, Apostolos Kalivas, Zofija Jankauskiene, Maria Irakli, Catherine Cook, Ioannis Grigoriadis, Ioannis Panoras, Ioannis Vasilakoglou, and Kitsios Dhima. 2021. "Fibre and Seed Productivity of Industrial Hemp (Cannabis sativa L.) Varieties under Mediterranean Conditions" Agronomy 11, no. 1: 171. https://doi.org/10.3390/agronomy11010171
APA StyleTsaliki, E., Kalivas, A., Jankauskiene, Z., Irakli, M., Cook, C., Grigoriadis, I., Panoras, I., Vasilakoglou, I., & Dhima, K. (2021). Fibre and Seed Productivity of Industrial Hemp (Cannabis sativa L.) Varieties under Mediterranean Conditions. Agronomy, 11(1), 171. https://doi.org/10.3390/agronomy11010171

