Abstract
Three cytokinin derivatives (CKd) designated as RR-G, RR-O, and RR-V applied by foliar spraying at tillering, and one compound previously described as a cytokinin antagonist (CKa) designated as RR-P applied as a seed coating were tested in winter wheat and spring barley in field trial experiments. The aim of the study was to examine the influence of the compounds that were tested on the number of productive tillers, grain yield, and endogenous CK content. With the exception of the compound RR-V, the measured parameters clearly showed the stimulatory effects of CKd on tillering and grain yield in spring barley and winter wheat. The RR-V showed a stimulatory effect on the number of productive tillers and yield in spring barley, but not in winter wheat. Although in winter wheat CKa stimulated both the number of productive tillers and the grain yield, there was an inhibitory effect in terms of the number of productive tillers observed in spring barley. The results of the endogenous cytokinin analysis suggested, among others, the importance of the role of isopentenyl-adenine types of cytokinins in the tillering of spring barley. In conclusion, the cytokinin derivative compounds with an agonistic or antagonistic role showed strong potential for application in the future development of plant growth regulators.
1. Introduction
Wheat and barley belong to the most important cereals in the world. The harvested area of wheat is 214 million ha and barley is 48 million hectares [1]. Maintaining yield stability in these cereals is especially important now, when their production is repeatedly endangered by changing climate and the subsequent environmental stresses. It has been shown previously that the formation of productive tillers correlates linearly with the number of ears and has a strong effect on the grain yield [2].
Tiller formation is a complicated developmental process. However, in cereals we can recognize at least two types of tillers: Productive, which lead to the formation of ears and thus are most important for the grain yield; and non-productive tillers [3]. The second ones represent an example of a natural “ineffective” process that consumes the plant’s resources but does not produce a yield at the end [4]. Such non-productive tillers often do not survive until the end of the plant’s life. It has been demonstrated that an increase in the number of non-productive tillers leads to a decrease in the grain yield [5,6,7,8]. The number of productive tillers and the ratio between productive and non-productive tillers in wheat and barley show a strong correlation with the number of ears before harvesting and grain yield [3]. The final number of ears depends more on the maximum number of shoots produced at the end of tillering than on the total losses of tillers [9].
The formation of tillers is dependent on the developmental stage of the plant, nutrition status, and environmental stimuli, and is driven by a complex network of hormonal regulation [10]. Among others, the stimulation of secondary branches in plants is importantly affected by the group of plant hormones called cytokinins (CK). Although CK occur naturally in plants, the first compound with cytokinin activity was kinetin (N6-furfuryladenine), originally isolated from autoclaved herring sperm DNA in 1955 [11]. Later, the first CK of plant origin was discovered, named zeatin, extracted from immature corn kernels [12,13]. CK occur in plants as nucleotide, nucleoside, and nucleobase forms. The nucleobase forms are considered to be the active forms with the ability to bind CK receptors. CK are classified according to their sidechain configuration as either isoprenoid CKs: N6-(isopent-2-enyl)adenine (iP), trans-zeatin (tZ), cis-zeatin (cZ), and dihydrozeatin (DHZ) forms or aromatic cytokinins (meta-topolin, ortho-topolin) [14]. Whereas free bases and ribosides represent bioactive forms (e.g., tZ and iP) and translocation forms (e.g., trans-zeatin riboside, tZR) [15], nucleotides and glycoconjugates represent storage and inactivated forms [14].
The metabolism of CK in plants is regulated by a set of anabolic and catabolic enzymes that keep endogenous CK contents in homeostatic concentrations. The enzymes responsible for CK biosynthesis (isopentenyl transferase—IPT), activation (Lonely Guy—LOG), degradation (cytokinin oxidase/dehydrogenase—CKX), the reversible inactivation of zeatin (O-glucosyl transferases—ZOG), reactivation (β-glucosidases—GLUs), and irreversible N-glycosylation (UDP glycosyltransferases—UGTs) have been described. IPT, which is a rate-limiting step in CK biosynthesis [16] and CKX, responsible for most CK catabolism, can be considered as the key metabolic regulators [17].
CKs play a role in key plant developmental processes such as cell division, root and shoot development, lateral branching, chlorophyll synthesis, flowering, and plant senescence [18,19]. They are also well known for their ability to increase plant stress tolerance [20]. All these processes may be considered as potential targets for the improvement of the grain yield in various crops by manipulation of the plant to CK responses. Their role in promoting lateral branching makes CK interesting as a potential tool to stimulate the formation of tillers in cereals. The exogenous application of kinetin stimulated the growth of tillers and reduced root growth in oats [21]. Similarly, the application of synthetic CK (kinetin) in field-grown rice caused an increase in the number of tillers (34.7%), number of panicles (38.5%), and paddy yield (21.6%) [22]. The stimulatory effects of various exogenous CK on tiller bud outgrowth have also been shown in barley [19]. When the endogenous CK were affected in transgenic plants, similar effects were achieved. Some authors [22] reported a significant increase in tiller numbers as a result of the downregulation of one of the eleven CKX (catabolic) enzymes in rice. An increase in the number of tillers and subsequently in the grain yield was observed in barley plants with a silenced HvCKX1 gene [23]. Besides the effect of CK in later branching, the other potential mechanisms targeting grain yield should be considered. Since the beginning of CK research, a positive correlation between CK levels and cell division in developing fruits has been reported [13]. CK regulates several processes during fruit and seed development. It has been shown that cereals showed strong and sharp peaks of CK levels immediately after anthesis [24]. In coherence with their key role in cell division, CK stimulate sink size in the developing endosperm of wheat [25], maize [26,27], and rice [22]. Repeated treatment of early seedlings of barley with synthetic CK 6-benzylaminopurine (BAP) in pot experiments led to the stimulation of the seed set and seed size and a subsequent increase in the grain yield by up to 57% [28]. In other species, too, a positive effect of the application of CK or manipulation of the endogenous CK level led to the prevention of flower abortion, an increased seed set, higher endosperm size, and finally a higher yield [29]. These promising results of CK research should open up the possibility of fine-tuning selected agronomical parameters to stabilize and increase crop yields. Although some authors are skeptical about the agronomic potential of CK because of its pleiotropic effects [16,29], synthetic CK compounds with different activity and diverse physiological effects provide a challenging opportunity to design targeted CK treatment to affect particular plant developmental processes.
A novel derivative of 6-benzylaminopurine (BAP) 2-chloro-6-(3-methoxybenzylamino)purine (2-Cl-3MeO-BAP) in field-grown spring barley increased the grain yield, stem elongation, and number of productive tillers [30]. On the contrary, the application of 2-Cl-3MeO-BAP to winter wheat did not significantly affect either the grain yield or the number of productive tillers [30]. The compound 6-furfurylamino-9-(2-chloroethyl)purine derived from kinetin is another example of a highly active synthetic CK reaching 131% of the kinetin activity in a tobacco callus bioassay. This substance showed high anti-senescence activity, with no inhibitory effect on root growth [31]. Similarly, three other derivatives of BAP with strong activity in CK receptor bioassays showed negligible effects in the Arabidopsis phenotype [32]. Several novel compounds derived from 6-benzylaminopurine-9-β-d-arabinosides (BAPAs) tested in CK bioassays showed different CK activities. None of the compounds exceeded 31% of the activity observed for BAP in the Amaranthus bioassay, suggesting they have only weak CK-like activity. In the tobacco callus bioassay, the highest relative activity of the compound that was tested was 73% in comparison to BAP. In contrast, several of the BAPAs exhibited activity similar to or greater than that of BAP in a wheat leaf senescence bioassay (up to 180% compared to BAP). This indicated that the new BAPAs specifically affect the physiological processes primarily related to senescence and/or stress without being active in the CK pathway [33].
A step further than the synthetic analogues of CK is the development of substances targeted to the blocking of CK perception in plants. 6-(2-hydroxy-3-methylbenzylamino)purine (PI-55, syn. RR-P) was the first molecule to antagonize cytokinin activity at the receptor level. The substance was the most active compound in the senescence and tobacco bioassays [34]. The RR-P lost its initial high CK activity and the action was changed from agonist to CK antagonist blocking the CRE1⁄AHK4 receptor and signal transfer [34,35,36]. The substance RR-P as an anti-cytokinin inhibited tobacco callus growth in an adequate CK concentration [35]. The growth inhibition in this case is caused by the mechanism of the inhibition of CK-dependent kinase (CDKs) [36]. These results clearly indicate that CK responses and, subsequently, plant development can be differentially regulated by the modification of the original CK structures, which suggests a high application potential of research on CK derivatives.
The aim of our study was to examine the application potential of three cytokinin derivatives (CKd) designated RR-G, RR-O, and RR-V and one cytokinin antagonist (CKa) designated as RR-P in real field conditions on cereals.
2. Materials and Methods
2.1. Compounds Structures
The substance designed as RR-G (2-fluoro-6-(3-methoxybenzylamino)purine) is a heterocyclic compound based on N6-substituted adenine that exhibited high CK activity [37,38] (Figure 1).
Figure 1.
Structures of tested compounds.
The substance designed as RR-O is the N9-substituted derivative of kinetin (6-furfurylamino-9-(2-chloroethyl)purine). This compound enhanced the CK activity of the parent compound in the bioassays to a remarkable degree but had a negative effect on its perception by CRE1/AHK4 and AHK3 Arabidopsis receptors [31].
The substance designed as RR-V is the aromatic CK derivative (6-(3-methoxybenzylamino)-9-(β-d-arabinofuranosyl)purine) (BAPA). The compound is effective in delaying senescence in detached leaves while having low interactions with the CK signaling pathway. [33].
The substance designed as RR-P (6-(2-hydroxy-3-methylbenzylamino)purine) antagonizes the endogenous CK activity at the receptor level [34]. At the molecular level RR-P blocks the CK receptor CRE1/AHK4.
2.2. Analysis of Endogenous Cytokinins
Quantification of CK metabolites was performed in accordance with the method described by Svačinová [39], including the method of modifications for spring barley samples [40]. The samples (20 mg FW) were homogenized and extracted in 1 mL of modified Bieleski buffer (60% methanol, 10% formic acid - HCOOH, and 30% H2O) together with a cocktail of stable isotope-labeled internal standards (0.25 pmol of CK bases, ribosides, N-glucosides, and 0.5 pmol of CK O-glucosides, nucleotides per sample added). The extracts were applied onto an Oasis MCX column (30 mg/1 mL, Waters) conditioned with 1 mL each of 100% methanol and H2O, equilibrated sequentially with 1 mL of 50% (v/v) nitric acid, 1 mL of H2O, and 1 mL of 1 M HCOOH, and washed with 1 mL of 1 M HCOOH and 1 mL of 100% methanol. The analytes were then eluted by two-step elution using 1 mL of 0.35 M NH4OH aqueous solution and 2 mL of 0.35 M NH4OH in 60% (v/v) methanol solution. The eluates were then evaporated to dryness and stored at −20 °C. Cytokinin levels were determined by ultra-high-performance liquid chromatography-electrospray tandem mass spectrometry (UHPLC-MS/MS) using stable isotope-labeled internal standards as a reference [41]. Separation was performed on an Acquity UPLC® System (Waters, Milford, MA, USA) equipped with an Acquity UPLC BEH Shield RP18 column (150 × 2.1 mm, 1.7 μm; Waters), and the effluent was introduced into the electrospray ion source of a triple quadrupole mass spectrometer Xevo™ TQ-S MS (Waters). Six independent biological replicates were performed.
2.3. CK Activity Bioassays
The cytokinin activity in the bioassays was tested in a tobacco callus test [42]. The effects of the novel CKs and CKa compounds on the proliferation of cytokinin-dependent tobacco callus were tested in concentrations of the compounds that were tested from 1 × 10−4 to 1 × 10−9 mol∙L−1.
2.4. Field Plot Experiments
Field plot experiments were performed on the winter wheat variety Turandot (Selgen joint-stock company) during the harvest years 2016–2020 and the Etana variety (Saaten-Union CZ, limited company) during the years 2012–2015, and the spring barley variety Bojos (Limagrain Central Europe Cereals, limited company) during the harvest years 2012–2014 and the Francin variety (Selgen joint-stock company) during the years 2015–2020. All the derivatives were tested according to the good experimental practice (GEP) methodology for field trials. The sowing and harvesting plot sizes were 10 m2 in five randomized replications. Field testing was performed at a location at Olomouc (49.5750947 N, 17.2843269 E).
The sowing rate of the winter wheat and spring barley was 3.5 million germinated seeds. Fertilization by nitrogen during the vegetation period was 60 + 40 + 40 kg∙ha−1 of nitrogen in the case of winter wheat and 40 kg∙ha−1 in one term in the case of spring barley. The field trials were not treated against fungal diseases or with growth regulators; the trials were treated with insecticides and herbicides.
According to the most suitable concentration in previous bioassays, CK derivatives were applied to the winter wheat and spring barley by single foliar spraying at the beginning of the tillering stage (according to Phenological Development Stages of Plants—BBCH scale 21–25). Each of the compounds (RR-G, RR-O, RR-V) was tested over at least four agronomic seasons (harvests). Two parameters were recorded in all samples: The number of productive tillers (evaluated at BBCH 37–39) and grain yield per hectare. The synthetic CK-antagonist RR-P was also tested in field-plot experiments, but the treatment was applied to the seeds by coating them before sowing. The CK antagonist was tested in spring barley during three agronomic seasons and in winter wheat for six seasons.
We applied the derivatives (growth regulators) as seed treatment in a concentration of 10 µM and a dosage of 9 mL∙kg−1 of seeds (RR-P substance) and as single foliar treatment in a dosage of 300 L per ha and a concentration of 5 µM (RR-G, RR-O, and RR-V). All variants were compared with a non-treated control in each year of testing. Harvesting was performed with an HEGE-160 small plot combined harvester with sampling and measuring of the moisture. Finally, the yield grains were standardized for 14% moisture.
Thirty random plants (not from borders) of each variant were used for morphological assessment. The number of plants evaluated for morphological assessment was 30. Single plants for root and shoot weight evaluation were removed from the plots in the stage from 8 to 10 leaves (BBCH 18–20). Single plants for the evaluation of tillers were removed from the plots in the stage of stem elongation (BBCH 37–39). In this stage, two types of tillers were evaluated: 1—strong/productive tillers with the development of spikes following and 2—weak (non-productive) tillers, with no development of spikes. Plant samples for the analysis of cytokinins were taken 14 days after the foliar treatment by CKs substances, at the phenological stage—the beginning of stem elongation BBCH 30–33 (15 May 2019). Samples from the CKa (RR-P) treatment were removed from the field plots at the same stage (BBCH 30–33). Fifteen plant shoots (stem and leaf) from each variant were used and were homogenized before the analysis.
2.5. Statistical Analysis
Data from the experiments were statistically analyzed in software Statistica ver. 13.4.0.14. In all measured traits, the mean % compared at the control is noted in Supplementary Tables S2 and S3. Data from the analysis of endogenous hormones were analyzed using a paired Student’s t-test. Data from grain yield were compared using a non-parametric Kruskal–Wallis ANOVA.
3. Results
3.1. CK Activity Bioassays
The results from the tobacco callus test bioassay are shown in the Supplementary File (Figure S1). The highest activity of the RR-P substance was observed in conc. 1 × 10−5 mol∙L−1 (+ 56.8% over the control); a higher concentration of the substance led to markedly decreasing activity in the tobacco callus test. The activity of the RR-G substance was increased with a rise in the concentration of the substance in the callus medium. The highest activity of the substance was found in conc. 1 × 10−5 and 1∙× 10−4 mol∙L−1 (+437.1% or + 440.8% over the control). The highest activity of the RR-V substance in the tobacco callus test was found in conc. 1 × 10−4 mol∙L−1 (+21.4% over the control). In lower concentrations, its activity raised slightly above the control. The activity of the RR-O substance in the assay increased from the conc. 1 × 10−9 to 1 × 10−5 mol∙L−1 (activity raised from 11.6% to 186.9% over the control). A higher concentration led to a decrease in activity in the tobacco callus test.
3.2. Effect of CK Derivatives and CK Antagonist on Tillering and Grain Yield
Although the variability in particular seasons did not allow statistical significance (for p < 0.005) in the recorded agronomical parameters to be proved, the data from particular seasons showed clear trends (Supplementary File, Tables S1 and S2). Figure 2 and Figure 3 show summaries of the data from all relevant seasons for particular treatments in both crops.
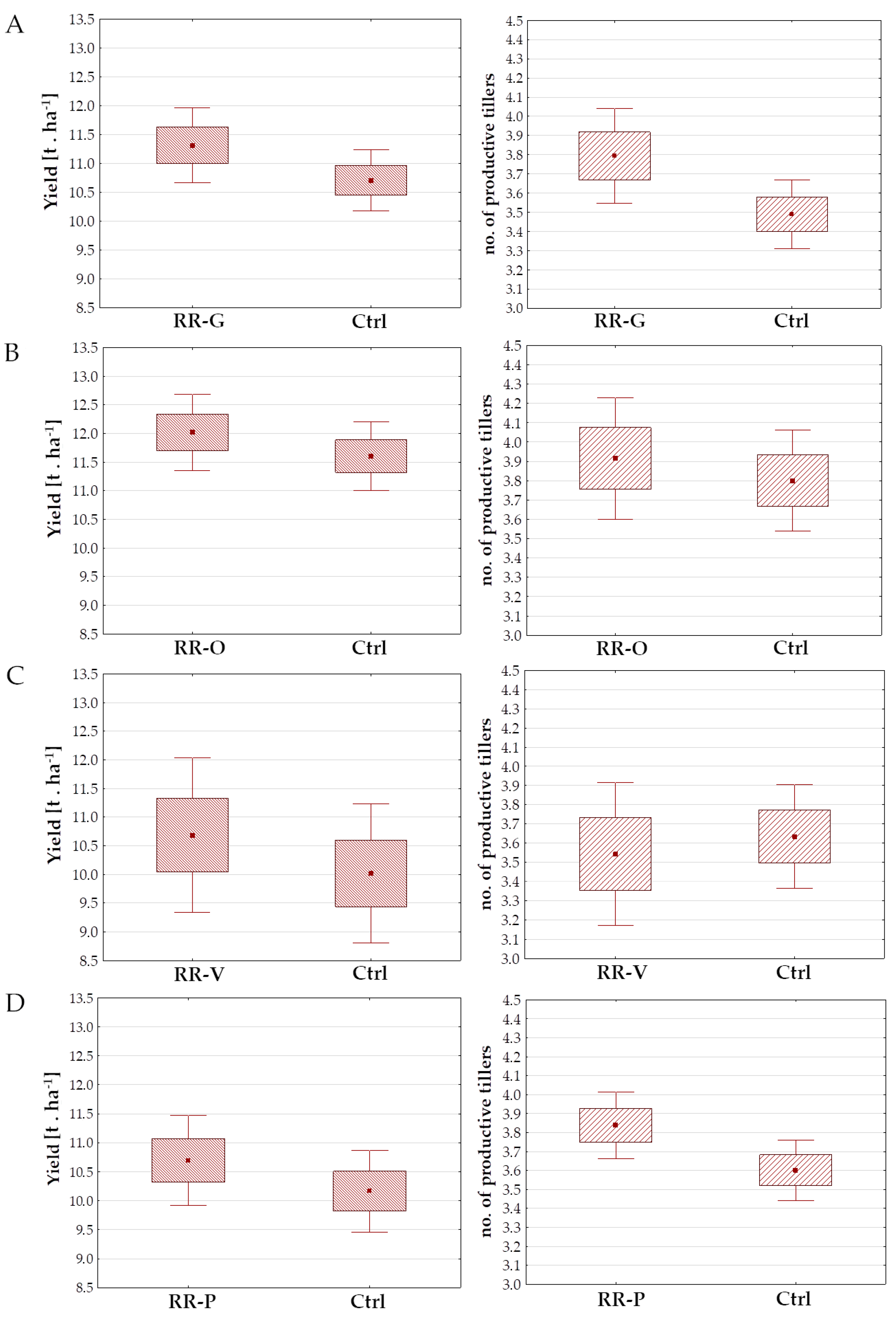
Figure 2.
Results (grain yield in t∙ha−1 and number of productive tillers) from field plot experiments with winter wheat, compared to the control. (A) RR-P application as seed coating, (B) RR-G, (C) RR-O, and (D) RR-V applied as foliar spraying at the tillering stage (BBCH 21–25).
Figure 3.
Results (grain yield in t∙ha−1 and number of productive tillers) from field plot experiments with spring barley, compared to the control. (A) RR-P application as a seed coating, (B) RR-G, (C) RR-O, and (D) RR-V applied as foliar spraying at the tillering stage (BBCH 21–25).
In all the treatments of winter wheat, the mean grain yields showed increases over the non-treated control of 2.88% (RR-O), 5.21% (RR-V) and 3.85% (RR-G) (Figure 3). In the case of RR-P seed treatment, the grain yield surpassed the control by 2.87% in the six years of the field experiments. Foliar treatments with CK derivatives were associated with elevated numbers of productive tillers in the plots treated with RR-G and RR-O. After the application of the substances, the numbers of productive tillers increased in comparison to the control by 8.72% and 3.05%. On the contrary, a slightly lower mean number of productive tillers was observed in the plots sprayed with RR-V (at 2.54% less than the control). The mean grain yields were also increased in all variants. Seed treatment with the RR-P substance led to an increase in productive tillers over the control by 6.60%. The influence of cultivar and harvest year at the grain yield and productive tillers number for single treatments and controls were analyzed. The results did not show the effect of using two varieties in field experiments. The harvest year had a more significant effect on the yield and the number of productive tillers.
Variants of spring barley sprayed with CK derivatives in the tillering stage showed increased mean numbers of productive tillers compared to the non-treated control. Grain yields were increased by 8.46% after the application of RR-G, 7.38% after that of RR-O, and by 5.40% after that of RR-V. The grain yield after spraying with CK derivatives showed a correlation with the increased number of productive tillers (Figure 3).
A different course was observed in plants treated with the CK antagonist RR-P, which was applied as a seed coating before sowing. In spring barley, productive tillers were reduced (−7.9% compared to the control) and only a negligible effect on the grain yield was observed in the case of RR-P treatment of the seeds. However, in winter wheat RR-P treatment was associated with an increase in both parameters: The number of productive tillers and the grain yield. The influence of cultivar and harvest year at grain yield and productive tillers number for single treatments and controls were analyzed. In the grain yield parameter, the results did not show any significant effect of variety or harvest year. In the productive tillers number, some significant differences were found, but their occurrence was more affected by harvested year than by the used cultivar.
3.3. Analysis of Endogenous Cytokinin Content
To study the potential effects of CKd and CKa on CK metabolism, plants were harvested at the stage BBCH 30–33 and the content of various CK metabolites was analyzed. Although the total CK content in the plants sprayed with CK derivatives was lower than or similar to the controls, important differences were observed, especially in the iP and iPR content (Table 1). However, in the plants treated with the CK antagonist RR-P, cZ, cZR, and tZR were also increased, in addition to iP and iPR.
Table 1.
Cytokinin levels in pmol∙g−1 FW (mean ± SD; RSD = relative standard deviation; statistically significant difference in treated plants versus control (untreated plants) in a paired Student’s t-test (*, **, and *** correspond to p-values of 0.05 > p > 0.01, 0.01 > p > 0.001, and p < 0.001). (A) Total CK content, (B) total CK O- and N-glucosides, (C) total CK bases and CK ribosides, (D) N6-(isopent-2-enyl)adenine (iP) and N6-(isopent-2-enyl)adenosine (iPR), (E) trans-zeatin (tZ) and trans-zeatin riboside (tZR), (F) cis-zeatin (cZ) and cis-zeatin riboside (cZR).
In all the plants treated with CK derivatives, the upregulation of iP but downregulation of iPR was found. Among the CK derivatives, the highest increase in iP and also an important decrease in iPR were observed in the plants treated with RR-G and RR-O. However, in terms of the quantities of deactivated CKs, important differences were observed in these samples. In the RR-O samples, there were decreases in the contents of irreversibly inactivated CKs: N-glucosides and in reversible O-glucosides. On the contrary, the RR-G samples exhibited upregulation of N-glucosides but downregulation of O-glucosides in comparison to the control. The samples treated with the CK derivative RR-V showed CK levels very similar to the control plants in most of the CK metabolites that were analyzed, with the exception of iP and iPR, as iP was elevated and iPR was decreased with respect to the controls, similarly to the other CK derivative treatments. The situation was clearly different in the CK antagonist samples, where dramatic elevation of most of the CK metabolites that were analyzed was detected. The most important exception was in the content of O-glucosides, which was downregulated in the RR-P plants in comparison to the control (Table 1).
4. Discussion
The hormonal regulation of plant developmental stages represents a complex network of interacting agents that is, beside its genetic background, further complicated by the nutritional and environmental status of the plant. Here we present the results of a multi-seasonal field plot experiment showing that improving the plant yield by means of substances targeted to the specific hormonal pathway is reasonable and effective. Although the increase in grain yield was not statistically significant, there was a clear trend of a positive effect of RR-G, RR-O, RR-V, and RR-P application on grain yield (please see Supplementary File).
The testing of original CKs and CKa substances in real field conditions clearly showed that even a single treatment (foliar or seed) may boost the number of productive tillers and subsequently improve grain yields in wheat and barley.
Although we did not reach the formal statistical significant differences, trends in means showing effectivity of studied compounds were clearly visible. Testing of normality proved that some of these data do not manifest normal distribution which is often a problem with agronomical data, where the differences between sprayed and control variants are not extremely dramatic and the number of repeats is limited. As the normal data distribution is a necessary condition for parametric tests such as the t-test or ANOVA, we used non-parametric test Kruskal–Wallis ANOVA with multiple comparisons of p-values. Non-parametric tests are very robust; however, their sensitivity is importantly lower that in parametric ones. For these reasons we did not reach formal statistical significance, although compound effect was repeatedly observed in subsequent seasons. Authors were asked to report the values of significance testing in the main text of the manuscript, rather than in the Supplementary File. Please see Table 2 for details, but the reader is kindly asked to see the results of particular seasons as given in Supplementary File. It is also worth noting that the reliability of the frequentist statistical approach (p-values) has been questioned in general [43], suggesting the necessity of re-thinking statistical approaches toward to Bayesian modeling [44]. Looking to the raw data, we observed the same trend per particular compounds in most of the experimental seasons.
Table 2.
The Kruskal–Wallis ANOVA non-parametric test with multiple comparisons of p-values performed on harvest yields of wheat and barley for individual seasons.
In the Supplementary Files (Tables S2 and S3), these particular trends are clearly visible, proving the effects of tested compounds in real field conditions. It has been shown previously that exogenous application of CK in real field conditions affecting grain yield is less pronounced in contrast to pot experiments in greenhouses. In our study, we observed relatively strong effects of tested compounds ranging from +0.44% to +9.02% in the grain yield. Exogenous application of CK oxidase/dehydrogenase inhibitors in winter wheat and spring barley increased the grain yield at 4.0–6.6% and 0.7–6.4% over the control [45]. In addition, biostimulants containing plant hormones, increased the grain yield of spring barley in real field conditions moderately (from 2.0% to 2.6% over the control) [46].
To widen our testing portfolio, we applied CK-derived compounds with two presumed mechanisms of action. Whereas the compounds RR-G, RR-O, and RR-V should work synergistically with endogenous CK, the substance RR-P has previously been proven to work as a CK antagonist. Moreover, the RR-V substance presumably works in a non-CK mode of action, as discussed below.
A substance derived from kinetin (RR-O) has previously been described as strongly activating the CK receptor pathway, showing strong CK activity in specific bioassays [31] RR-G activity is shown in Figure 2. When these substances were sprayed onto the barley and wheat plants, the number of productive tillers increased in both crops. This corresponds to previous works in which compounds with CK activity were applied to crop plants [28,30,47]. Contrary to some previous studies [48], the compounds were applied to the crop plants only once, which represents a “close-to-application” approach. Additionally, the effective dosages of the substances were very low (approx. 4.5 g∙ha−1) in comparison with some commonly-used agrochemicals. The effects of RR-G and RR-O on CK metabolism were demonstrated in barley seedlings. Here the preferential role of iP types seems to occur in the response to CKd treatments. Analyses of endogenous iP+iPR versus Z+ZR (without distinguishing between the cis or trans form) content in rice tiller buds after treatment with nitrogen were performed [49]. On the fifth day after the treatment, the iP+iPR content was approximately three times higher than endogenous Z+ZR. It should be noted that in our samples the iP and iPR were measured separately with much better detection limits [14]. The data suggests the preferential role of iP–the type CKs in tiller formation. In our samples, the enhancement of active forms of iP was coupled with suppression of iPR and negative or negligible effects in other metabolites, except N-glucosides, which were elevated in the treated samples. The total amount of endogenous CK was reduced in both RR-G and RR-O, but more pronouncedly in the RR-G samples. The suppression of CK synthesis is perhaps caused by the feedback loop signaling mechanism [50]. As the exogenous CK substances activate CK signaling, plant CK biosynthesis is backwardly inhibited until the signal persists within the organism. The upregulation of CK catabolism by RR-G and RR-O via irreversible N9-conjugation also follows the same logic: To reduce excessive CK signaling in plants.
RR-V, an arabinoside derivative of BAP, was found to perform no detectable affinity to Arabidopsis CK receptors AHK3 and AHK4 [33], suggesting that its mechanism of action is different from those of the other two CKd compounds. This is in agreement with the results of standard CK activity bioassays. The RR-V substance showed lower activity than the controls, with the exception of a senescence bioassay, where its activity was 19% higher than in the controls [33]. We presumed here that an increase in the number of productive tillers is primarily stimulated via the CK receptor pathway [22]; however, RR-V complicates the hypothesis. Whereas the results of the winter wheat experiment showed a rather negative effect on the number of productive tillers, in the spring barley the effect was clearly stimulatory. The grain yield was higher in both crops when they were treated with RR-V. Although the effect on the yield may be in relation to anti-senescence and anti-oxidative stress capability, the conflicting role in tillering is not easy to understand. However, it is also possible that there is still some affinity of RR-V to CK receptors in barley, but no affinity to CK receptors in wheat. It would be joined with the higher weight of a thousand grains of wheat in the case of non-superabundant spike density. The anti-stress effect of RR-V on barley tiller formation should also be considered, as many of the testing seasons suffered from high temperatures and a lack of spring rainfall (Supplementary File, Table S3). The differential mode of action of RR-V was also manifested in the analysis of the endogenous CK content in barley plants. With the exception of iP-type CK metabolites, after RR-V treatment most of the endogenous CK concentrations were very close to those of the control plants. As this was the first time when the effect of the BAP arabinoside derivative on endogenous CK content was analyzed, we can conclude that its minor effect on CK metabolism is in good coherence with its presumed non-CK mode of action. It suggests that the CK receptor pathway was not activated in the same way as in the cases of RR-G and RR-O. Nevertheless, the stimulation of iP in barley seedlings may indicate at least partial activation of CK perception in barley.
The last substance to be tested, RR-P, has been shown to work antagonistically against cytokinins. Its mode of action consists of non-activating binding to the CK receptors that block the binding site for endogenous CK. Such a block in the CK perception leads to an insufficient feedback loop and overproduction of endogenous CK [51]. This is exactly what we observed here; the RR-P treatment led to the overproduction of the majority of CK metabolites. However, the total number of CK in RR-P was lower than in the control samples. This seemed mainly to be due to the lower level of O-glucosides, which represented a major pool of CK in the plant. Perhaps via feedback regulation, the plants treated with RR-P released reversible O-glucosides more intensively to increase the pool of free CK. Free hormone compounds are “short-life”, non-persistent compounds [52]. It may lead to increased CK compounds resulting from CK synthesis, but a lower total amount resulting from the fast release of stored CK forms (O-glucosides) and rapid degradation of active CK within the plants.
Moreover, in our experimental scheme, RR-P was applied as a seed treatment, with the intention being to stimulate root development in young seedlings via the inhibition of CK action. Although the effect on roots was not observed, an important improvement in the number of productive tillers in winter wheat and the grain yield was observed. On the contrary, in spring barley negative effects on tillering and no effect on the yield were found. The important difference between winter wheat and spring barley is in the duration between seed treatment and the developmental stages that were monitored (tillering and yield). Whereas in winter wheat, it was from about five to six months from treatment to tillering, in spring barley it was only about one or two months. It is highly probable that after six months no active compound was present within the plants, but the effect of the feedback loop persisted for some time and increased endogenous CK, subsequently supporting tillering and yield. On the other hand, in spring barley the compound may maintain its activity of blocking CK receptors, even until tiller bud formation. This thus leads to the inhibition of tiller formation. By the time of the harvest, the activity of the compound has probably diminished and plants can improve their yield via elevated CK content by other mechanisms, such as increased endosperm or sink size [29].
5. Conclusions
We have shown in the present study that foliar application of CK-derived compounds improved the number of productive tillers and the grain yield in winter wheat and spring barley. A positive effect on the grain yield was also observed in an arabinoside derivative of BAP that was expected to have a mode of action other than a CK. Blocking of the CK receptor pathway via the application of a CK antagonist led to an increase in the number of productive tillers and grain yield in winter wheat, but not in spring barley. Taken together, our data shows that the modulation of cereal development using CK-derived substances shows considerable potential for application in agricultural practice.
Supplementary Materials
The following are available online at https://www.mdpi.com/2073-4395/11/1/67/s1, Figure S1: Activity and standard deviation of the tested compounds: RR-P (6-(2-hydroxy-3-methylbenzylamino)purine); RR-G (2-fluoro-6-(3-methoxybenzylamino)purine); RR-O (6-furfurylamino-9-(2-chloroethyl)purine), and RR-V (6-(3-methoxybenzylamino)-9-(β-D-arabinofuranosyl)purine in the tobacco callus bioassay. Table S1: Grain yield and number of productive tillers in winter wheat in particular seasons (field plot trials). Seasons are marked as a year of harvest. Table S2: Grain yield and number of productive tillers in spring barley in particular seasons (field plot trials). Seasons are marked as a year of harvest. Table S3: Meteorological records for experimental seasons in location Olomouc-Holice, compared long-time normal values. (A) Sums of month precipitations [mm], (B) Monthly mean temperature (°C).
Author Contributions
Conceptualization, R.K., J.F.H.; statistics, J.F.H., R.K., synthesis of substances, M.B., M.Z., V.M., J.N., K.D., cytokinin analyses, O.N., field experiments, R.K., Z.Š., J.F.H., writing-original draft preparation, R.K., J.F.H., funding acquisition, K.D. All authors have read and agreed to the published version of the manuscript.
Funding
This research was supported by grant no. 18-07563S from the Czech Science Foundation and ERDF project “Plants as a tool for sustainable global development” (No. CZ.02.1.01/0.0/0.0/16_019/0000827) and the Internal Grant Agency of Palacký University (IGA_PrF_2020_010).
Acknowledgments
We thank Hana Martínková for help with cytokinin analysis.
Conflicts of Interest
The authors declare no conflict of interest.
References
- FAOSTAT. Food and Agriculture organization of the United Nations. 2008. Available online: http://www.fao.org/faostat/en/#data/QC (accessed on 17 October 2020).
- Darwinkel, A. Ear development and formation of grain yield in winter wheat. Neth. J. Agric. Sci. 1980, 28, 156–163. [Google Scholar] [CrossRef]
- Kirby, E.J.M.; Jones, H.G. The relationhips between the main shoot and tillers in barley plants. J. Agric. Sci. 1977, 78, 281–288. [Google Scholar] [CrossRef]
- Yang, M.-D.; Leghari, S.J.; Guan, X.-K.; Ma, S.-C.; Ding, C.-M.; Mei, F.-J.; Wei, L.; Wang, T.-C. Deficit Subsurface Drip Irrigation Improves Water Use Efficiency and Stabilizes Yield by Enhancing Subsoil Water Extraction in Winter Wheat. Front. Plant Sci. 2020, 11. [Google Scholar] [CrossRef] [PubMed]
- Kirby, E.J.M.; Riggs, T.J. Developmental consequences of two-row and six-row ear type in spring barley: 2. Shoot apex, leaf and tiller development. J. Agric. Sci. 1978, 91, 207–216. [Google Scholar] [CrossRef]
- Kulshrestha, V.P.; Chowdhury, S. A new selection criterion for yield in wheat. Theor. Appl. Genet. 1987, 74, 275–279. [Google Scholar] [CrossRef]
- Simmons, S.R.; Rasmusson, D.C.; Wiersma, J.V. Tillering in Barley: Genotype, Row Spacing, and Seeding Rate Effects 1. Crop. Sci. 1982, 22, 801–805. [Google Scholar] [CrossRef]
- Thorne, G.N. Survival of Tillers and Distribution of Dry Matter between Ear and Shoot of Barley Varieties. Ann. Bot. 1962, 26, 37–54. [Google Scholar] [CrossRef]
- Del Moral, M.; Del Moral, L. Tiller production and survival in relation to grain yield in winter and spring barley. Field Crop. Res. 1995, 44, 85–93. [Google Scholar] [CrossRef]
- McSteen, P. Hormonal Regulation of Branching in Grasses. Plant Physiol. 2009, 149, 46–55. [Google Scholar] [CrossRef]
- Miller, C.O.; Skoog, F.; Von Saltza, M.H.; Strong, F.M.; Kinetin, A. Cell Division Factor from Deoxyribonucleic Acid1. J. Am. Chem. Soc. 2005, 77, 1392. [Google Scholar] [CrossRef]
- Letham, D.S. Zeatin, a Factor Inducing Cell Division from Zea mays. Life Sci. 1963, 2, 569–573. [Google Scholar] [CrossRef]
- Letham, D. Regulators of cell division in plant tissues. N. Z. J. Bot. 2012, 1, 336–350. [Google Scholar] [CrossRef]
- Sakakibara, H.; Kasahara, H.; Ueda, N.; Kojima, M.; Takei, K.; Hishiyama, S.; Asami, T.; Okada, K.; Kamiya, Y.; Yamaya, T.; et al. Agrobacterium tumefaciens increases cytokinin production in plastids by modifying the biosynthetic pathway in the host plant. Proc. Natl. Acad. Sci. USA 2005, 102, 9972–9977. [Google Scholar] [CrossRef] [PubMed]
- Takei, K.; Sakakibara, H.; Sugiyama, T. Identification of Genes Encoding Adenylate Isopentenyltransferase, a Cytokinin Biosynthesis Enzyme, inArabidopsis thaliana. J. Biol. Chem. 2001, 276, 26405–26410. [Google Scholar] [CrossRef] [PubMed]
- Kakimoto, T. Identification of plant cytokinin biosynthetic enzymes as dimethylallyl diphosphate: ATP/ADP isopentenyl-transferases. Plant Cell Physiol. 2001, 42, 677–685. [Google Scholar] [CrossRef]
- Schmülling, T.; Werner, T.; Riefler, M.; Krupková, E.; Manns, I.B. Structure and function of cytokinin oxi-dase/dehydrogenase genes of maize, rice, Arabidopsis and other species. J. Plant Res. 2003, 116, 241–252. [Google Scholar] [CrossRef]
- Mok, M.C. Cytokinins and plant development-An overview. In Cytokinins: Chemistry, Activity and Function; Mok, D.W.S., Mok, M.C., Eds.; CRC: Boca Raton, FL, USA, 1994; pp. 155–166. [Google Scholar]
- Sharif, R.; Dale, J.E. Growth-Regulating Substances and the Growth of Tiller Buds in Barley; Effects of IAA and GA3. J. Exp. Bot. 1980, 31, 1191–1197. [Google Scholar] [CrossRef]
- Ha, S.; Vankova, R.; Yamaguchi-Shinozaki, K.; Shinozaki, K.; Tran, L.-S.P. Cytokinins: Metabolism and function in plant adaptation to environmental stresses. Trends Plant Sci. 2012, 17, 172–179. [Google Scholar] [CrossRef]
- Harrison, M.A.; Kaufman, P.B. Hormonal regulation of lateral bud (tiller) release in oats (Avena saliva L.). Plant Physiol. 1980, 66, 1123–1127. [Google Scholar] [CrossRef]
- Yeh, S.-Y.; Chen, H.-W.; Ng, C.-Y.; Lin, C.-Y.; Tseng, T.-H.; Li, W.-H.; Ku, M.S.B. Down-Regulation of Cytokinin Oxidase 2 Expression Increases Tiller Number and Improves Rice Yield. Rice 2015, 8, 1–13. [Google Scholar] [CrossRef]
- Holubová, K.; Hensel, G.; Vojta, P.; Tarkowski, P.; Bergougnoux, V.; Galuszka, P. Modification of Barley Plant Productivity Through Regulation of Cytokinin Content by Reverse-Genetics Approaches. Front. Plant Sci. 2018, 9, 1676. [Google Scholar] [CrossRef]
- Morris, R.D.; Blevins, D.G.; Dietrich, J.T.; Durley, R.C.; Gelvin, S.B.; Gray, J.; Hommes, N.G.; Kaminek, M.; Mathews, L.J.; Meilan, R. Cytokinins in plant pathogenic bacteria and developing cere-al grains. Aust. J. Plant Physiol. 1993, 20, 621–637. [Google Scholar]
- Harrison, J.C. Development and genetics in the evolution of land plant body plans. Philos. Trans. R. Soc. B 2017, 372, 20150490. [Google Scholar] [CrossRef] [PubMed]
- Brugière, N.; Jiao, S.; Hantke, S.; Zinselmeier, C.; Roessler, J.A.; Niu, X.; Jones, R.J.; Habben, J.E. Cytokinin oxidase gene expression in maize is localized to the vasculature, and is induced by cytokinins, abscisic acid, and abiotic stress. Plant Physiol. 2003, 132, 1228. [Google Scholar] [CrossRef] [PubMed]
- Dietrich, J.T.; Kaminek, M.; Blevins, D.G.; Reinbott, T.M.; Morris, R.O. Changes in cytokinins and cytokinin oxidase activ-ity in developing maize kernels and the effects of endogenous cytokinins on kernel development. Plant Physiol. Biochem. 1995, 33, 327–336. [Google Scholar]
- Williams, R.H.; Cartwright, P.M. The Effect of Applications of a Synthetic Cytokinin on Shoot Dominance and Grain Yield in Spring Barley. Ann. Bot. 1980, 46, 445–452. [Google Scholar] [CrossRef]
- Jameson, P.E.; Song, J. Cytokinin: A key driver of seed yield. J. Exp. Bot. 2016, 67, 593–606. [Google Scholar] [CrossRef]
- Koprna, R.; De Diego, N.; Dundálková, L.; Spíchal, L. Use of cytokinins as agrochemicals. Bioorg. Med. Chem. 2016, 24, 484–492. [Google Scholar] [CrossRef]
- Mik, V.; Szüčová, L.; Šmehilová, M.; Zatloukal, M.; Doležal, K.; Nisler, J.; Gruz, J.; Galuszka, P.; Strnad, M.; Spíchal, L. N9-substituted derivatives of kinetin: Effective anti-senescence agents. Phytochemistry 2011, 72, 821–831. [Google Scholar] [CrossRef]
- Podlešáková, K.; Zalabák, D.; Čudejková, M.; Plíhal, O.; Szüčová, L.; Doležal, K.; Spíchal, L.; Strnad, M.; Galuszka, P. Novel Cytokinin Derivatives Do Not Show Negative Effects on Root Growth and Proliferation in Submicromolar Range. PLoS ONE 2012, 7, e39293. [Google Scholar] [CrossRef]
- Bryksová, M.; Dabravolski, S.; Kučerová, Z.; Zavadil Kokáš, F.; Špundová, M.; Plíhalová, L.; Takáč, T.; Grúz, J.; Hudeček, M.; Hloušková, V.; et al. Aromatic Cytokinin Arabinosides Promote PAMP-like Responses and Positively Regulate Leaf Longevity. ACS Chem. Biol. 2020, 15, 1949–1963. [Google Scholar] [CrossRef] [PubMed]
- Nisler, J.; Zatloukal, M.; Popa, I.; Doležal, K.; Strnad, M.; Spíchal, L. Cytokinin receptor antagonists derived from 6-benzylaminopurine. Phytochemistry 2010, 71, 823–830. [Google Scholar] [CrossRef] [PubMed]
- Spíchal, L.; Werner, T.; Popa, I.; Riefler, M.; Schmülling, T.; Strnad, M. The purine derivative PI-55 blocks cytokinin action via receptor inhibition. FEBS J. 2009, 276, 244–253. [Google Scholar] [CrossRef] [PubMed]
- Spíchal, L.; Kryštof, V.; Paprskářová, M.; Lenobel, R.; Stýskala, J.; Binarová, P.; Cenklová, V.; De Veylder, L.; Inze, D.; Kontopidis, G.; et al. Classical Anticytokinins Do Not Interact with Cytokinin Recep-tors but Inhibit Cyclin-dependent Kinases. Biol. Chem. 2007, 282, 14356. [Google Scholar] [CrossRef]
- Popa, I.; Holub, J.; Lenobel, R.; Werbrouck, S.; Doležal, K.; Strnad, M.; Zatloukal, M.; Massino, F.J. Heterocyclic Compounds Based on N6-Substituted Adenine, Methods of Their Preparation, Their Use for Preparation of Drugs, Cosmetic Preparation and Growth Regulators, Pharmaceutical Preparations, Cosmetic Preparations and Growth Regulators Containing These Compounds. U.S. Patent 20080014227A1, 9 October 2008. [Google Scholar]
- Dolezal, K.; Popa, I.; Holub, J.; Lenobel, R.; Werbrouck, S.; Strnad, M.; Zatloukal, M. Heterocyclic Compounds Based on N6-Substituted Adenine, Methods of Their Preparation, Their Use for Preparation of Drugs, Cosmetic Preparation and Growth Regulators, Pharmaceutical Preparations, Cosmetic Preparations and Growth Regulators Containing These Compounds. U.S. Patent 2005.0043328A1, 24 February 2005. [Google Scholar]
- Svačinová, J.; Novák, O.; Plačková, L.; Lenobel, R.; Holík, J.; Strnad, M.; Doležal, K. A new approach for cytokinin isola-tion from Arabidopsis tissues using miniaturized purification: Pipette tip solid-phase extraction. Plant Methods 2012, 8, 17. [Google Scholar] [CrossRef]
- Antoniadi, I.; Plačková, L.; Simonovik, B.; Doležal, K.; Turnbull, C.; Ljung, K.; Novák, O. Cell-type specific cytokinin dis-tribution within the Arabidopsis primary root apex. Plant Cell 2015, 27, 1955–1967. [Google Scholar] [CrossRef]
- Rittenberg, D.; Foster, L. A new procedure for quantitative analysis by isotope dilution, with application to the determina-tion of amino acids and fatty acids. J. Biol. Chem. 1940, 133, 727–744. [Google Scholar]
- Holub, J.; Hanuš, J.; Hanke, D.E.; Strnad, M. Biological activity of cytokinins derived from Ortho- and Meta-Hydroxybenzyladenine. Plant Growth Regul. 1998, 26, 109–115. [Google Scholar] [CrossRef]
- Mathews, R.A.J. Beyond significance: Principles and Practise of the Analysis of Credibility. R. Soc. Open Sci. 2018, 5, 171047. [Google Scholar] [CrossRef]
- Goodman, S.N. How sure are you of your result? Put a number on it. Nat. Cell Biol. 2018, 564, 7. [Google Scholar] [CrossRef]
- Nisler, J.; Kopečný, D.; Pěkná, Z.; Končitíková, R.; Koprna, R.; Murvanidze, N.; Werbrouck, S.; Havlíček, L.; De Diego, N.; Kopečná, M.; et al. Diphenylurea-derived cytokinin oxidase/dehydrogenase inhibitors for biotechnology and agriculture. J. Exp. Bot. 2020. [Google Scholar] [CrossRef] [PubMed]
- Szczepanek, M.; Jaśkiewicz, B.; Kotwica, K. Response of barley on seaweed biostimulant application. Res. Rural Dev. 2018, 2. [Google Scholar] [CrossRef]
- Zahir, Z.; Asghar, H.; Arshad, M. Cytokinin and its precursors for improving growth and yield of rice. Soil Biol. Biochem. 2001, 33, 405–408. [Google Scholar] [CrossRef]
- Yang, D.; Li, Y.; Shi, Y.; Cui, Z.; Luo, Y.; Zheng, M.; Chen, J.; Li, Y.; Yin, Y.; Wang, Z. Exogenous Cytokinins Increase Grain Yield of Winter Wheat Cultivars by Improving Stay-Green Characteristics under Heat Stress. PLoS ONE 2016, 11, e0155437. [Google Scholar] [CrossRef] [PubMed]
- Liu, Y.; Gu, D.; Ding, Y.; Wang, Q.; Li, G.; Wang, S. The relationship between nitrogen, auxin and cytokinin in the growth regulation of rice (Oryza satival.) Tiller buds. Aust. J. Crop Sci. 2011, 5, 1019. [Google Scholar]
- Peleg, Z.; Blumwald, E. Hormone balance and abiotic stress tolerance in crop plants. Curr. Opin. Plant Biol. 2011, 14, 290–295. [Google Scholar] [CrossRef]
- Kumari, A.; Baskaran, P.; Plačková, L.; Omámiková, H.; Nisler, J.; Doležal, K.; Van Staden, J. Plant growth regulator in-teractions in physiological processes for controlling plant regeneration and in vitro development of Tulbaghia simmleri. J. Plant Physiol. 2018, 223, 65–71. [Google Scholar] [CrossRef]
- Sakakibara, H. Cytokinin biosynthesis and metabolism. In Plant Hormones; Springer: Dordrecht, the Netherlands, 2010; pp. 95–114. [Google Scholar]
Publisher’s Note: MDPI stays neutral with regard to jurisdictional claims in published maps and institutional affiliations. |
© 2020 by the authors. Licensee MDPI, Basel, Switzerland. This article is an open access article distributed under the terms and conditions of the Creative Commons Attribution (CC BY) license (http://creativecommons.org/licenses/by/4.0/).


