Influence of Soil Moisture and Crust Formation on Soil Evaporation Rate: A Wind Tunnel Experiment in Hungary
Abstract
1. Introduction
2. Materials and Methods
2.1. Study Area
2.2. Sampling and Laboratory Analyses
2.3. Wind Tunnel Experiments
2.4. Statistical Analyses
3. Results
3.1. Laboratory Analyses
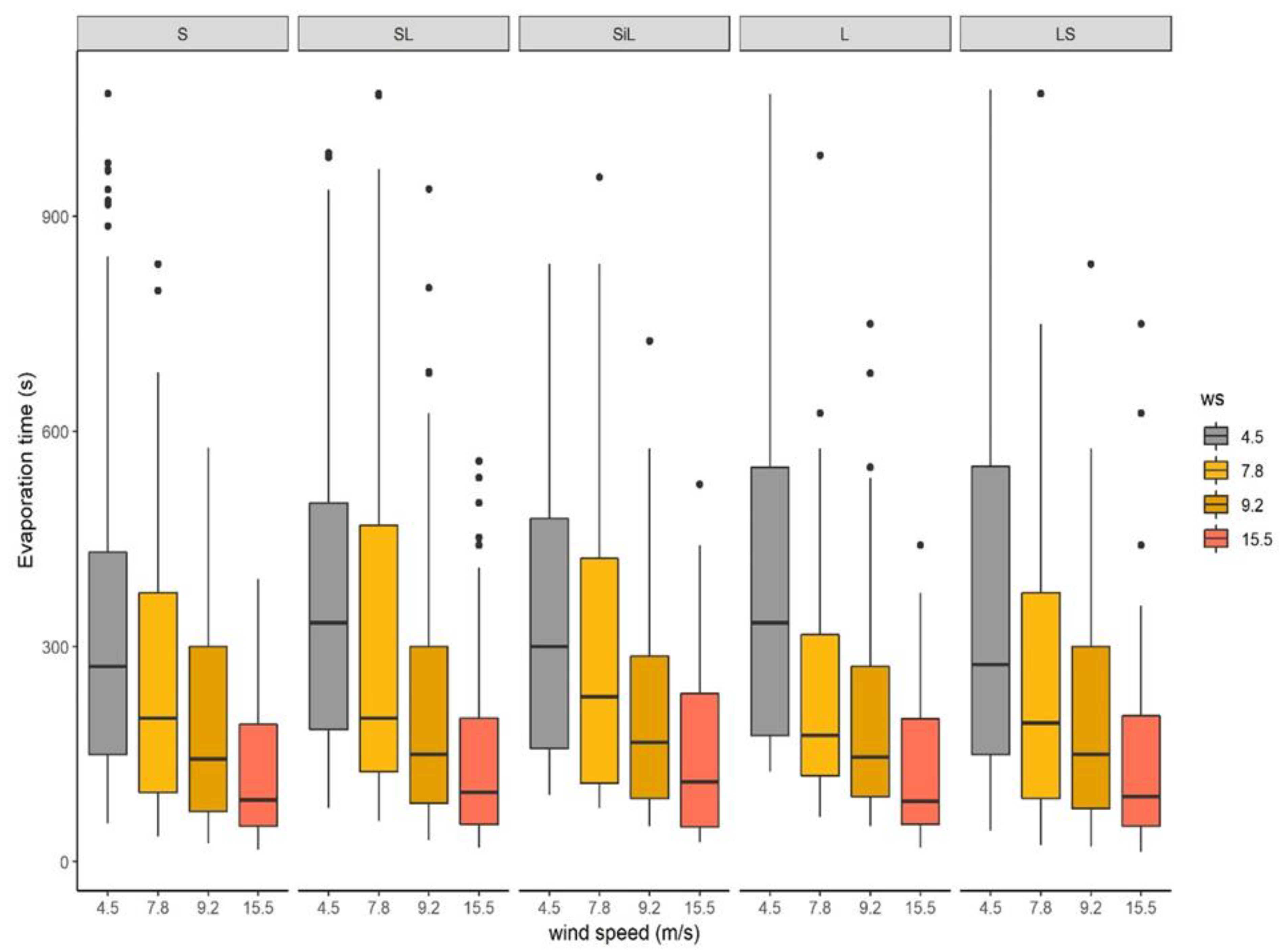
3.2. Effects of Soil Moisture
3.3. Crust Formation
3.4. Factors of Evaporation Intensity
4. Discussion
4.1. Impact of Water Treatment and Different Soil Properties on Wind Erosion and Evaporation
4.2. Crust Formation
5. Conclusions
- Longer protection time can be achieved by maintaining the appropriate soil moisture conditions. Interestingly, observed evaporation time had an exponential connection with wind speed.
- The amount of evaporation loss in soils changed primarily in accordance with the granulometric composition; however, changes were not significant between the soil texture categories.
- Granulometric composition had a significant effect on evaporation rate in the case of all texture categories except sand. The effect size (r) indicated a strong soil texture effect on the rate of evaporation.
- An amount of watering, equal to 5 mm rainfall, significantly hindered the erosive effect of even a strong (15.5 m s−1) wind for 4-6 h depending on soil texture.
- Soil texture and other soil characteristics had a remarkable impact of soil crust formation and hardness.
- Within the study area, sandy lands were more subjected to wind erosion hazard due to weak water-holding capacity, and low CaCO3%.
Author Contributions
Funding
Institutional Review Board Statement
Informed Consent Statement
Conflicts of Interest
References
- Mohammed, S.; Al-Ebraheem, A.; Holb, I.; Alsafadi, K.; Dikkeh, M.; Pham, Q.; Linh, N.; Szabo, S. Soil Management Effects on Soil Water Erosion and Runoff in Central Syria—A Comparative Evaluation of General Linear Model and Random Forest Regression. Water 2020, 12, 2529. [Google Scholar] [CrossRef]
- Keesstra, S.; Rodrigo-Comino, J.; Novara, A.; Giménez-Morera, A.; Pulido, M.; Di Prima, S.; Cerdà, A. Straw mulch as a sustainable solution to decrease runoff and erosion in glyphosate-treated clementine plantations in Eastern Spain. An assessment using rainfall simulation experiments. Catena 2019, 174, 95–103. [Google Scholar] [CrossRef]
- Safwan, M.; Alaa, K.; Omran, A.; Quoc, B.P.; Nguyen, T.T.L.; Van, N.T.; Duong, T.A.; Endre, H. Predicting soil erosion hazard in Lattakia Governorate (W Syria). Int. J. Sediment Res. 2021, 36, 207–220. [Google Scholar] [CrossRef]
- Borrelli, P.; Robinson, D.A.; Fleischer, L.R.; Lugato, E.; Ballabio, C.; Alewell, C.; Meusburger, K.; Modugno, S.; Schütt, B.; Ferro, V.; et al. An assessment of the global impact of 21st century land use change on soil erosion. Nat. Commun. 2017, 8, 1–13. [Google Scholar] [CrossRef] [PubMed]
- Zheng, X. Mechanics of Wind-blown Sand Movements; Springer: Berlin/Heidelberg, Germany, 2009; pp. 1–309. [Google Scholar]
- Fattahi, S.M.; Soroush, A.; Huang, N. Biocementation Control of Sand against Wind Erosion. J. Geotech. Geoenviron. Eng. 2020, 146, 04020045. [Google Scholar] [CrossRef]
- Heft-Neal, S.; Burney, J.; Bendavid, E.; Voss, K.K.; Burke, M. Dust pollution from the Sahara and African infant mortality. Nat. Sustain. 2020, 3, 863–871. [Google Scholar] [CrossRef]
- Molnár, V.É.; Simon, E.; Tóthmérész, B.; Ninsawat, S.; Szabó, S. Air pollution induced vegetation stress—The Air Pollution Tolerance Index as a quick tool for city health evaluation. Ecol. Indic. 2020, 113, 106234. [Google Scholar] [CrossRef]
- Molnár, V.É.; Tőzsér, D.; Szabó, S.; Tóthmérész, B.; Simon, E. Use of Leaves as Bioindicator to Assess Air Pollution Based on Composite Proxy Measure (APTI), Dust Amount and Elemental Concentration of Metals. Plants 2020, 9, 1743. [Google Scholar] [CrossRef] [PubMed]
- Varga, G.; Roettig, C.-B. Identification of Saharan dust particles in Pleistocene dune sand-paleosol sequences of Fuerteventura (Canary Islands). Hung. Geogr. Bull. 2018, 67, 121–141. [Google Scholar] [CrossRef]
- Varga, G. Changing nature of Saharan dust deposition in the Carpathian Basin (Central Europe): 40 years of identified North African dust events (1979–2018). Environ. Int. 2020, 139, 105712. [Google Scholar] [CrossRef]
- Torshizi, M.R.; Miri, A.; Shahriari, A.; Dong, Z.; Davidson-Arnott, R. The effectiveness of a multi-row Tamarix windbreak in reducing aeolian erosion and sediment flux, Niatak area, Iran. J. Environ. Manag. 2020, 265, 110486. [Google Scholar] [CrossRef] [PubMed]
- Chepil, W.S. Influence of Moisture on Erodibility of Soil by Wind. Soil Sci. Soc. Am. J. 1956, 20, 288–292. [Google Scholar] [CrossRef]
- Bisal, F.; Hsieh, J. Influence of moisture on erodibility of soil by wind. Soil Sci. 1966, 102, 143–146. [Google Scholar] [CrossRef]
- Nickling, W.G. Eolian sediment transport during dust storms: Slims River Valley, Yukon Territory. Can. J. Earth Sci. 1978, 15, 1069–1084. [Google Scholar] [CrossRef]
- Troeh, F.R.; Hobbs, J.A.; Donahue, R.L. Soil and Water Conservation for Productivity and Environmental Protection. Soil Sci. 1981, 132, 189. [Google Scholar] [CrossRef]
- Leuven, M.L. Influence of roughness elements and soil moisture on the resistance of sand to wind erosion. In Aridic Soils and Geomorphic Processes; Yaalon, D.H., Ed.; Braunschweig Catena Verlag: Berlin, Germany, 1982; pp. 161–173. [Google Scholar]
- Chen, W.; Zhibao, D.; Li, Z.; Yang, Z. Wind tunnel test of the influence of moisture on the erodibility of loessial sandy loam soils by wind. J. Arid Environ. 1996, 34, 391–402. [Google Scholar] [CrossRef]
- Yan, Y.; Wu, L.; Xin, X.; Wang, X.; Yang, G. How rain-formed soil crust affects wind erosion in a semi-arid steppe in northern China. Geoderma 2015, 249–250, 79–86. [Google Scholar] [CrossRef]
- Valentin, C.; Bresson, L.M. Morphology, genesis and classification of surface crust in loamy and sand soils. Geoderma 1992, 55, 225–245. [Google Scholar] [CrossRef]
- Chen, Y.; Tarchitzky, J.; Brouwer, J.; Morin, J.; Banin, A. Scanning Electron Microscope Observations on Soil Crusts and Their Formation. Soil Sci. 1980, 130, 49–55. [Google Scholar] [CrossRef]
- Feng, G.; Sharratt, B.; Vaddella, V. Windblown soil crust formation under light rainfall in a semiarid region. Soil Tillage Res. 2013, 128, 91–96. [Google Scholar] [CrossRef]
- Diouf, B.; Skidmore, E.; Layton, J.; Hagen, L. Stabilizing fine sand by adding clay: Laboratory wind tunnel study. Soil Technol. 1990, 3, 21–31. [Google Scholar] [CrossRef]
- Skidmore, E.L.; Layton, J.B. Dry-Soil Aggregate Stability as Influenced by Selected Soil Properties. Soil Sci. Soc. Am. J. 1992, 56, 557–561. [Google Scholar] [CrossRef]
- Marzen, M.; Iserloh, T.; de Lima, J.L.M.P.; Fister, W.; Ries, J.B. Impact of severe rainstorms on soil erosion: Experimental evaluation of wind-driven rain and its implications for natural hazard. Sci. Total Environ. 2017, 590–591, 502–513. [Google Scholar] [CrossRef]
- Phillips, C.P.; Robinson, D.A. The impact of land use on the erodibility of dispersive clay soils in central and southern Italy. Soil Use Manag. 1998, 14, 155–161. [Google Scholar] [CrossRef]
- Shainberg, I.; Shainberg, I. The Effect of Exchangeable Sodium and Electrolyte Concentration on Crust Formation. In Advances in Soil Science 12; Springer Science and Business Media LLC: Berlin/Heidelberg, Germany, 1985; Volume 1, pp. 101–122. [Google Scholar]
- Chong-Feng, B.U.; Gale, W.J.; Qiang-Guo, C.A.I.; Shu-Fang, W.U. Process and mechanism for the development of physical crusts in three typical Chinese soils. Pedosphere 2013, 23, 321–332. [Google Scholar]
- Gicheru, P.; Gachene, C.; Mbuvi, J.; Mare, E. Effects of soil management practices and tillage systems on surface soil water conservation and crust formation on a sandy loam in semi-arid Kenya. Soil Tillage Res. 2004, 75, 173–184. [Google Scholar] [CrossRef]
- Eldridge, D.J.; Leys, F.H. Exploring some relationships between biological soil crusts, soil aggregation and wind erosion. J. Arid Environ. 2003, 53, 457–466. [Google Scholar] [CrossRef]
- Rodríguez-Caballero, E.; Cantón, Y.; Chamizo, S.; Afana, A.; Solé-Benet, A. Effects of biological soil crusts on surface roughness and implications for runoff and erosion. Geomorphology 2012, 145–146, 81–89. [Google Scholar] [CrossRef]
- Shi, X.Z.; Liang, Y.; Yu, D.S.; Pan, X.Z.; Warner, E.D.; Wang, H.J. Functional rehabilitation of the “soil reservoir” in degraded soils to control floods in the Yangtze River Watershed. Pedosphere 2004, 14, 1–8. [Google Scholar]
- Stavi, I.; Lavee, H.; Ungar, E.; Sarah, P. Ecogeomorphic Feedbacks in Semiarid Rangelands: A Review. Pedosphere 2009, 19, 217–229. [Google Scholar] [CrossRef]
- Hardie, M.; Almajmaie, A. Measuring and estimating the hydrological properties of a soil crust. J. Hydrol. 2019, 574, 12–22. [Google Scholar] [CrossRef]
- Zobeck, T.M. Abrasion of Crusted Soils: Influence of Abrader Flux and Soil Properties. Soil Sci. Soc. Am. J. 1991, 55, 1091–1097. [Google Scholar] [CrossRef]
- Pásztor, L.; Laborczi, A.; Takács, K.; Szatmári, G.; Illés, G.; Fodor, N.; Négyesi, G.; Bakacsi, Z.; Szabó, J. Spatial distribution of selected soil features in Hajdú-Bihar county represented by digital soil maps. Landsc. Environ. 2016, 10, 203–213. [Google Scholar] [CrossRef]
- Pásztor, L.; Négyesi, G.; Laborczi, A.; Kovács, T.; László, E.; Bihari, Z. Integrated spatial assessment of wind erosion risk in Hungary. Nat. Hazards Earth Syst. Sci. 2016, 16, 2421–2432. [Google Scholar] [CrossRef]
- Waltner, I.; Saeidi, S.; Grósz, J.; Centeri, C.; Laborczi, A.; Pásztor, L. Spatial Assessment of the Effects of Land Cover Change on Soil Erosion in Hungary from 1990 to 2018. ISPRS Int. J. Geo-Infor. 2020, 9, 667. [Google Scholar] [CrossRef]
- Borsy, Z. Blown-sand territories in Hungary. In Zeitschrift für Geomorphologie; Borntraeger: Berlin, Germany, 1990; pp. 1–14. [Google Scholar]
- Lóki, J.; Rajkai, K.; Czyz, E.A.; Dexter, A.R.; Diaz-Pereira, E.; Dimitru, E.; Enache, R.; Fleige, H.; Horn, R.; De la Rosa, D.; et al. Wind erodibility of cultivated soils in north-east Hungary. Soil Tillage Res. 2005, 82, 39–46. [Google Scholar] [CrossRef]
- Lóki, J. Mechanism of Wind Erosion and Its Effect in Hungary. Ph.D. Thesis, Hungarian Academy of Sciences, Budapest, Hungary, 2003; p. 265. [Google Scholar]
- Négyesi, G.; Lóki, J.; Buró, B.; Szabó, S. Effect of soil parameters on the threshold wind velocity and maximum eroded mass in a dry environment. Arab. J. Geosci. 2016, 9, 1–10. [Google Scholar] [CrossRef]
- Novák, T.; Négyesi, G.; Andrási, B.; Buró, B. Alluvial plan with wind-blown sand dunes in Southern-Nyírség, East-Hungary. In Soil Sequences Atlas; Świtoniak, M., Charzyński, P., Eds.; Nicolaus Copernicus University Press: Torun, Poland, 2014; pp. 181–195. [Google Scholar]
- Müller, H.W.; Dohrmann, R.; Kloska, D.; Rehder, S.; Eckelmannm, W. Comparison of two procedures for particle-size analysis: Köhn pipette and X-ray granulometry. J. Plant Nutr. Soil Sci. 2009, 179, 172–179. [Google Scholar] [CrossRef]
- Tatzber, M.; Stemmer, M.; Spiegel, H.; Katzlberger, C.; Haberhauer, G.; Gerzabek, M.H. An alternative method to measure carbonate in soils by FT-IR spectroscopy. Environ. Chem. Lett. 2006, 5, 9–12. [Google Scholar] [CrossRef]
- Jankauskas, B.; Jankauskiene, G.; Slepetiene, A.; Fullen, M.A.; Booth, C.A. International comparison of analytical methods of determining the soil organic matter content of Lithuanian Eutric Albeluvisols. Commun. Soil Sci. Plant Anal. 2006, 37, 707–720. [Google Scholar] [CrossRef]
- Kabakoff, R.I. R in Action: Data Analysis and Graphics with R, 3rd ed.; Manning Publications: Shelter Island, NY, USA, 2015; pp. 1–608. [Google Scholar]
- Cohen, J. Statistical Power Analysis. Curr. Dir. Psychol. Sci. 1992, 1, 98–101. [Google Scholar] [CrossRef]
- Field, A. Discovering Statistics; SAGE Publications: London, UK, 2009; pp. 1–821. [Google Scholar]
- R Core Team. R: A Language and Environment for Statistical Computing; R Foundation for Statistical Computing: Vienna, Austria; Available online: http://www.R-project.org/ (accessed on 11 March 2021).
- Therneau, T.; Atkinson, B.; Ripley, B. Rpart: Recursive Partitioning and Regression Trees; R Package Version 4.1–13; R Foundation for Statistical Computing: Vienna, Austria, 2018. [Google Scholar]
- Kuhn, N.J.; Greenwood, P.; Fister, W. Use of Field Experiments in Soil Erosion Research. In Developments in Earth Surface Processes; Elsevier BV: Amsterdam, The Netherlands, 2014; Volume 18, pp. 175–200. [Google Scholar]
- Soil Survey Staff. Soil Survey Manual, USDA Handbook; US Government Printing Office: Washington, DC, USA, 2017; pp. 1–100.
- Bolte, K.; Hartmann, P.; Fleige, H.; Horn, R. Determination of critical soil water content and matric potential for wind erosion. J. Soils Sediments 2011, 11, 209–220. [Google Scholar] [CrossRef]
- Újvári, G.; Kok, J.F.; Varga, G.; Kovács, J. The physics of wind-blown loess: Implications for grain size proxy interpretations in Quaternary paleoclimate studies. Earth Sci. Rev. 2016, 154, 247–278. [Google Scholar] [CrossRef]
- Liu, T.; Xu, X.; Yang, J. Experimental study on the effect of freezing-thawing cycles on wind erosion of black soil in North-east China. Cold Reg. Sci. Technol. 2017, 135, 1–8. [Google Scholar]
- Ravi, S.; D’Odorico, P.; Over, T.M.; Zobeck, T.M. On the effect of air humidity on soil susceptibility to wind erosion: The case of air-dry soils. Geophys. Res. Lett. 2004, 31, 950. [Google Scholar] [CrossRef]
- Ravi, S.; Zobeck, T.M.; Over, T.M.; Okin, G.S.; D’Odorico, P. On the effect of moisture bonding forces in air-dry soils on threshold friction velocity of wind erosion. Sedimentolohy 2006, 53, 597–609. [Google Scholar] [CrossRef]
- Ishizuka, M.; Mikami, M.; Yamada, Y.; Zeng, F.; Gao, W. An observational study of soil moisture effects on wind erosion at a gobi site in the Taklimakan Desert. J. Geophys. Res. Space Phys. 2005, 110, 18. [Google Scholar] [CrossRef]
- Csavina, J.; Field, J.; Félix, O.; Corral-Avitia, A.Y.; Sáez, A.E.; Betterton, E.A. Effect of wind speed and relative humidity on atmospheric dust concentrations in semi-arid climates. Sci. Total Environ. 2014, 487, 82–90. [Google Scholar] [CrossRef] [PubMed]
- Kok, J.F.; Parteli, E.J.R.; Michaels, T.I.; Karam, D.B. The physics of wind-blown sand and dust. Rep. Prog. Phys. 2012, 75, 106901. [Google Scholar] [CrossRef]
- Bodolay, I.; Máté, F.; Szűcs, L. Effect of wind erosion in Bácska. Agrokém. Talajt. 1976, 25, 96–106. (in Hungarian). [Google Scholar]
- Li, J.; Okin, G.S.; Epstein, H.E. Effects of enhanced wind erosion on surface soil texture and characteristics of windblown sediments. J. Geophys. Res. Space Phys. 2009, 114, 2. [Google Scholar] [CrossRef]
- Rajot, J.; Alfaro, S.; Gomes, L.; Gaudichet, A. Soil crusting on sandy soils and its influence on wind erosion. Catena 2003, 53, 1–16. [Google Scholar] [CrossRef]
- Kheirfam, H.; Asadzadeh, F. Stabilizing sand from dried-up lakebeds against wind erosion by accelerating biological soil crust development. Eur. J. Soil Biol. 2020, 98, 103189. [Google Scholar] [CrossRef]
- Zobeck, T.M.; Popham, T.W. Influence of Microrelief, Aggregate Size, and Precipitation on Soil Crust Properties. Trans. ASAE 1992, 35, 487–492. [Google Scholar] [CrossRef]
- Reynolds, R.; Belnap, J.; Reheis, M.; Lamothe, P.; Luiszer, F. Aeolian dust in Colorado Plateau soils: Nutrient inputs and recent change in source. Proc. Natl. Acad. Sci. USA 2001, 98, 7123–7127. [Google Scholar] [CrossRef]
- Bodolay, I. Protection against wind erosion in irrigated sandy areas. Agrokém. Talajt. 1965, 14, 1–16. (in Hungarian). [Google Scholar]
- Belnap, J.; Gillette, D.A. Disturbance of biological soil crusts: Impacts on potential wind erodibility of sand desert soils in Southeastern Utah. Land Degrad. Dev. 1997, 8, 355–362. [Google Scholar] [CrossRef]
- Baddock, M.C.; Zobeck, T.M.; Van Pelt, R.S.; Fredrickson, E.L. Dust emissions from undisturbed and disturbed, crusted playa surfaces: Cattle trampling effects. Aeolian Res. 2011, 3, 31–41. [Google Scholar] [CrossRef]
- Sharratt, B.; Vaddella, V. Threshold friction velocity of soils within the Columbia Plateau. Aeolian Res. 2012, 6, 13–20. [Google Scholar] [CrossRef]
- Madarász, B.; Jakab, G.; Szalai, Z.; Juhos, K.; Kotroczó, Z.; Tót, A.; Ladányi, M. Long-term effects of conservation tillage on soil erosion in Central Europe: A random forest-based approach. Soil Tillage Res. 2021, 209, 104959. [Google Scholar] [CrossRef]





| Model | Independent Variables |
|---|---|
| all | treatments + sand (%) + silt (%) + clay (%) + OM (%) + CaCO3 (%) + wind speed + soil texture category |
| soil | sand (%) + silt (%) + clay (%) + OM (%) + CaCO3 (%) + soil texture category |
| Sand (2-0.005 mm) (%) | Silt (0.05-0.002 mm) (%) | Clay (<0.002 mm) (%) | OM (%) | CaCO3 (%) | |
|---|---|---|---|---|---|
| Sand | 92.0 ± 5.0 | 6.5 ± 5.0 | 2.9 ± 2.8 | 1.8 ± 1.4 | 2.7 ± 2.0 |
| Loamy sand | 80.0 ± 5.0 | 15.0 ± 5.0 | 4.0 ± 1.0 | 1.5 ± 0.9 | 2.7 ± 1.7 |
| Sandy loam | 62.5 ± 12.5 | 30.0 ± 1.3 | 5.9 ± 4.1 | 4.3 ± 3.4 | 6.8 ± 6.3 |
| Loam | 40.5 ± 8.5 | 42.0 ± 5.0 | 14.5 ± 5.0 | 1.5 ± 0.5 | 3.5 ± 0.5 |
| Silty loam | 25.4 ± 8.4 | 53.9 ± 2.9 | 8.4 ± 0.9 | 3.9 ± 1.8 | 6.7 ± 5.5 |
| Water (mm) | Amount of Water (m3 ha−1) | Wind Velocity (m s−1) | Sand | Loamy Sand | Sandy Loam | Loam | Silty Loam | LSD0.05 |
|---|---|---|---|---|---|---|---|---|
| Average Evaporation Time (min) | ||||||||
| 0.5 | 5 | 4.6 | 134 a | 134 a | 174 bc | 150 ab | 248 d | 29.1 |
| 7.8 | 79 b | 69 a | 99 c | 91 c | 97 c | 9.6 | ||
| 9.3 | 51 a | 53 a | 66 b | 73 b | 71 b | 8.4 | ||
| 15.5 | 32 a | 31 a | 39 b | 29 a | 43 b | 5.2 | ||
| 1.0 | 10 | 4.6 | 234 a | 288 b | 298 b | 333 c | 245 a | 34.2 |
| 7.8 | 138 a | 168 b | 170 b | 155 ab | 255 c | 28.3 | ||
| 9.3 | 103 a | 115 abc | 113 ab | 126 bc | 131c | 16.3 | ||
| 15.5 | 62 a | 71 b | 70 ab | 72 b | 78 b | 8.1 | ||
| 2.0 | 20 | 4.6 | 368 a | 500 d | 421 c | 373 ab | 408 bc | 37.4 |
| 7.8 | 313 d | 265 ab | 283 bc | 256 a | 308 cd | 25.3 | ||
| 9.3 | 208 ab | 194 a | 211 ab | 207 ab | 225 b | 23.8 | ||
| 15.5 | 131 ab | 134 ab | 145 bc | 127 a | 150 c | 15.1 | ||
| 5.0 | 50 | 4.6 | 1129 a | 1172 ab | 1196 ab | 1254 bc | 1301 c | 93.1 |
| 7.8 | 682 a | 722 ab | 765 bc | 812 c | 1006 d | 75.2 | ||
| 9.3 | 439 a | 509 b | 520 b | 571 c | 673 d | 41.3 | ||
| 15.5 | 296 a | 354 b | 359 b | 375 bc | 393 c | 35.9 | ||
| Wilcoxon z | Sig. | Effect Size (r) | |
|---|---|---|---|
| EW–sand | −0.827 | 0.437 | −0.21 |
| EW–loamy sand | −2.896 | 0.002 | −0.72 |
| EW–sandy loam | −2.482 | 0.011 | −0.62 |
| EW–loam | −2.689 | 0.005 | −0.67 |
| EW–silty loam | −3.154 | 0.000 | −0.79 |
| Sand | Silt | Clay | OM | CaCO3 | Evaporation | |
|---|---|---|---|---|---|---|
| Sand | − | 0.000 | 0.000 | 0.000 | 0.000 | 0.034 |
| Silt | −0.989 | − | 0.000 | 0.000 | 0.000 | 0.030 |
| Clay | −0.858 | 0.796 | − | 0.000 | 0.000 | 0.112 |
| OM | −0.341 | 0.346 | 0.202 | − | 0.000 | 0.486 |
| CaCO3 | −0.616 | 0.582 | 0.553 | 0.313 | − | 0.042 |
| Evaporation | −0.063 | 0.064 | 0.047 | 0.021 | 0.060 | - |
| Models | Q1 | Q2 | Q3 | |||
|---|---|---|---|---|---|---|
| R2 | MAE | R2 | MAE | R2 | MAE | |
| all | 0.558 | 95 | 0.699 | 105 | 0.782 | 123 |
| soil | 0.002 | 233 | 0.005 | 249 | 0.012 | 384 |
Publisher’s Note: MDPI stays neutral with regard to jurisdictional claims in published maps and institutional affiliations. |
© 2021 by the authors. Licensee MDPI, Basel, Switzerland. This article is an open access article distributed under the terms and conditions of the Creative Commons Attribution (CC BY) license (https://creativecommons.org/licenses/by/4.0/).
Share and Cite
Négyesi, G.; Szabó, S.; Buró, B.; Mohammed, S.; Lóki, J.; Rajkai, K.; Holb, I.J. Influence of Soil Moisture and Crust Formation on Soil Evaporation Rate: A Wind Tunnel Experiment in Hungary. Agronomy 2021, 11, 935. https://doi.org/10.3390/agronomy11050935
Négyesi G, Szabó S, Buró B, Mohammed S, Lóki J, Rajkai K, Holb IJ. Influence of Soil Moisture and Crust Formation on Soil Evaporation Rate: A Wind Tunnel Experiment in Hungary. Agronomy. 2021; 11(5):935. https://doi.org/10.3390/agronomy11050935
Chicago/Turabian StyleNégyesi, Gábor, Szilárd Szabó, Botond Buró, Safwan Mohammed, József Lóki, Kálmán Rajkai, and Imre J. Holb. 2021. "Influence of Soil Moisture and Crust Formation on Soil Evaporation Rate: A Wind Tunnel Experiment in Hungary" Agronomy 11, no. 5: 935. https://doi.org/10.3390/agronomy11050935
APA StyleNégyesi, G., Szabó, S., Buró, B., Mohammed, S., Lóki, J., Rajkai, K., & Holb, I. J. (2021). Influence of Soil Moisture and Crust Formation on Soil Evaporation Rate: A Wind Tunnel Experiment in Hungary. Agronomy, 11(5), 935. https://doi.org/10.3390/agronomy11050935

