Evaluating Impacts between Laboratory and Field-Collected Datasets for Plant Disease Classification
Abstract
1. Introduction
1.1. Related Works
1.2. Open Issues
1.3. Our Contribution
- We investigate and quantify the factors that occur and affect the plant disease classification performance, analyzing the same crop and disease under different environmental conditions using the recent CNNs architectures such as MobileNetV2, EfficientB0, InceptionV2, VGG16 and ResNet50;
- We evaluate the results with a range of metrics, including classification accuracy metrics, convergence speed comparison and the feature visualization process;
- We analyze the effects of background removal;
- We inspect the features learned from the models to better understand the strengths and limitations of deep learning models. We outline the main reasons that conduct the classifiers to misclassifications, and which ones are more important in the classification process;
- We released our code as a toolbox, called LeafBox, to facilitate the reproduction of the results obtained (https://leafbox.francescamalloci.com, accessed on 17 October 2022).
1.4. RoadMap
2. Case Study
2.1. Image Dataset
2.1.1. Introduction
2.1.2. Description
2.2. Experimental Approach
2.3. Transfer Learning
2.4. Data Augmentation
2.5. Experimental Setup
2.6. Metrics
2.6.1. Classification Accuracy Metrics
- Accuracy is defined as ;
- Precision is defined as ;
- Recall is defined as ;
- F1 score is defined as ;
- The confusion matrix is a table that displays and compares actual values with the model’s predicted values. It provides detailed information on how a classifier performed on a dataset. Table 4 reports a template of the confusion matrix used for the binary classification.
2.6.2. Interpreting the Classification through Feature Visualization
3. Results
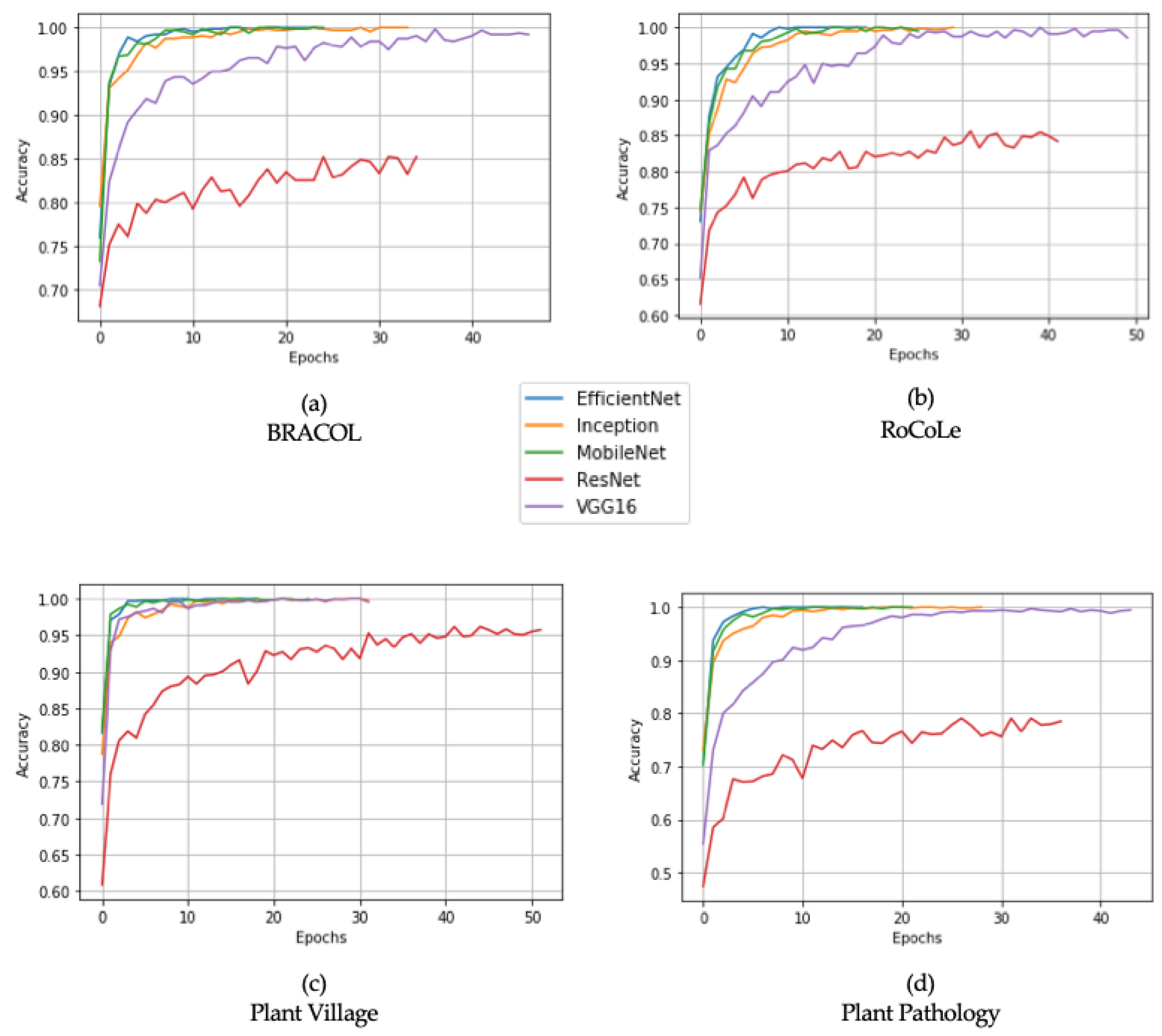
3.1. Classification Accuracy Metrics and Convergence Speed Comparisons
3.2. Interpreting the Classification through Feature Visualization
3.3. Extrinsic Factors
3.4. Intrinsic Factors
3.5. Investigating Preprocessing Impact
4. Discussion
5. Conclusions
Supplementary Materials
Author Contributions
Funding
Data Availability Statement
Acknowledgments
Conflicts of Interest
References
- Asongu, S.A.; Le Roux, S.; Biekpe, N. Enhancing ICT for environmental sustainability in sub-Saharan Africa. Technol. Forecast. Soc. Chang. 2018, 127, 209–216. [Google Scholar] [CrossRef]
- Newbery, F.; Qi, A.; Fitt, B.D. Modelling impacts of climate change on arable crop diseases: Progress, challenges and applications. Curr. Opin. Plant Biol. 2016, 32, 101–109. [Google Scholar] [CrossRef] [PubMed]
- Fenu, G.; Malloci, F.M. Forecasting Plant and Crop Disease: An Explorative Study on Current Algorithms. Big Data Cogn. Comput. 2021, 5, 2. [Google Scholar] [CrossRef]
- Malloci, F.M.; Penadés, L.P.; Boratto, L.; Fenu, G. A Text Mining Approach to Extract and Rank Innovation Insights from Research Projects. In Proceedings of the International Conference on Web Information Systems Engineering, Amsterdam, The Netherlands, 20–24 October 2020; Springer: Berlin/Heidelberg, Germany, 2020; pp. 143–154. [Google Scholar]
- Fenu, G.; Malloci, F.M. Artificial Intelligence Technique in Crop Disease Forecasting: A Case Study on Potato Late Blight Prediction. In Proceedings of the International Conference on Intelligent Decision Technologies, Split, Croatia, 17–19 June 2020; Springer: Berlin/Heidelberg, Germany, 2020; pp. 79–89. [Google Scholar] [CrossRef]
- Fenu, G.; Malloci, F.M. An Application of Machine Learning Technique in Forecasting Crop Disease. In Proceedings of the 2019 3rd International Conference on Big Data Research, France, Paris, 20–22 November 2019; pp. 76–82. [Google Scholar] [CrossRef]
- Fenu, G.; Malloci, F.M. Using Multi-Output Learning to Diagnose Plant Disease and Stress Severity. Complexity 2021, 2021, 18. [Google Scholar] [CrossRef]
- Brahimi, M.; Boukhalfa, K.; Moussaoui, A. Deep learning for tomato diseases: Classification and symptoms visualization. Appl. Artif. Intell. 2017, 31, 299–315. [Google Scholar] [CrossRef]
- Szegedy, C.; Liu, W.; Jia, Y.; Sermanet, P.; Reed, S.; Anguelov, D.; Erhan, D.; Vanhoucke, V.; Rabinovich, A. Going deeper with convolutions. In Proceedings of the 2015 IEEE Conference on Computer Vision and Pattern Recognition (CVPR), Boston, MA, USA, 7–12 June 2015. [Google Scholar] [CrossRef]
- Sladojevic, S.; Arsenovic, M.; Anderla, A.; Culibrk, D.; Stefanovic, D. Deep neural networks based recognition of plant diseases by leaf image classification. Comput. Intell. Neurosci. 2016, 2016, 3289801. [Google Scholar] [CrossRef]
- Barré, P.; Stöver, B.C.; Müller, K.F.; Steinhage, V. LeafNet: A computer vision system for automatic plant species identification. Ecol. Inform. 2017, 40, 50–56. [Google Scholar] [CrossRef]
- Shrivastava, V.K.; Pradhan, M.K.; Minz, S.; Thakur, M.P. Rice plant disease classification using transfer learning of deep convolution neural network. Int. Arch. Photogramm. Remote. Sens. Spat. Inf. Sci. 2019, 3, 631–635. [Google Scholar] [CrossRef]
- Liu, B.; Zhang, Y.; He, D.; Li, Y. Identification of apple leaf diseases based on deep convolutional neural networks. Symmetry 2017, 10, 11. [Google Scholar] [CrossRef]
- Lu, Y.; Yi, S.; Zeng, N.; Liu, Y.; Zhang, Y. Identification of rice diseases using deep convolutional neural networks. Neurocomputing 2017, 267, 378–384. [Google Scholar] [CrossRef]
- Too, E.C.; Yujian, L.; Njuki, S.; Yingchun, L. A comparative study of fine-tuning deep learning models for plant disease identification. Comput. Electron. Agric. 2019, 161, 272–279. [Google Scholar] [CrossRef]
- Barbedo, J.G.A. A review on the main challenges in automatic plant disease identification based on visible range images. Biosyst. Eng. 2016, 144, 52–60. [Google Scholar] [CrossRef]
- Priyadharshini, R.A.; Arivazhagan, S.; Arun, M.; Mirnalini, A. Maize leaf disease classification using deep convolutional neural networks. Neural Comput. Appl. 2019, 31, 8887–8895. [Google Scholar] [CrossRef]
- Ji, M.; Zhang, L.; Wu, Q. Automatic grape leaf diseases identification via UnitedModel based on multiple convolutional neural networks. Inf. Process. Agric. 2020, 7, 418–426. [Google Scholar] [CrossRef]
- Uğuz, S.; Uysal, N. Classification of olive leaf diseases using deep convolutional neural networks. Neural Comput. Appl. 2020, 33, 4133–4149. [Google Scholar] [CrossRef]
- Barbedo, J.G.A. Impact of dataset size and variety on the effectiveness of deep learning and transfer learning for plant disease classification. Comput. Electron. Agric. 2018, 153, 46–53. [Google Scholar] [CrossRef]
- Esgario, J.G.; Krohling, R.A.; Ventura, J.A. Deep learning for classification and severity estimation of coffee leaf biotic stress. Comput. Electron. Agric. 2020, 169, 105162. [Google Scholar] [CrossRef]
- Hughes, D.; Salathé, M. An open access repository of images on plant health to enable the development of mobile disease diagnostics. arXiv 2015, arXiv:1511.08060. [Google Scholar]
- Fenu, G.; Malloci, F.M. DiaMOS plant: A dataset for diagnosis and monitoring plant disease. Agronomy 2021, 11, 2107. [Google Scholar] [CrossRef]
- Parraga-Alava, J.; Cusme, K.; Loor, A.; Santander, E. RoCoLe: A robusta coffee leaf images dataset for evaluation of machine learning based methods in plant diseases recognition. Data Brief 2019, 25, 104414. [Google Scholar] [CrossRef]
- Krohling, R.; Esgario, J.; Ventura, J.A. BRACOL-A Brazilian Arabica Coffee Leaf images dataset to identification and quantification of coffee diseases and pests. Mendeley Data 2019, V1. [Google Scholar] [CrossRef]
- Thapa, R.; Zhang, K.; Snavely, N.; Belongie, S.; Khan, A. The Plant Pathology Challenge 2020 data set to classify foliar disease of apples. Appl. Plant Sci. 2020, 8, e11390. [Google Scholar] [CrossRef] [PubMed]
- Simonyan, K.; Zisserman, A. Very deep convolutional networks for large-scale image recognition. arXiv 2014, arXiv:1409.1556. [Google Scholar]
- He, K.; Zhang, X.; Ren, S.; Sun, J. Deep Residual Learning for Image Recognition. In Proceedings of the 2016 IEEE Conference on Computer Vision and Pattern Recognition (CVPR), Las Vegas, NV, USA, 27–30 June 2016. [Google Scholar] [CrossRef]
- Howard, A.G.; Zhu, M.; Chen, B.; Kalenichenko, D.; Wang, W.; Weyand, T.; Andreetto, M.; Adam, H. Mobilenets: Efficient convolutional neural networks for mobile vision applications. arXiv 2017, arXiv:1704.04861. [Google Scholar]
- Tan, M.; Le, Q.V. Efficientnet: Rethinking model scaling for convolutional neural networks. arXiv 2019, arXiv:1905.11946. [Google Scholar]
- Ferentinos, K.P. Deep learning models for plant disease detection and diagnosis. Comput. Electron. Agric. 2018, 145, 311–318. [Google Scholar] [CrossRef]
- Yan, Q.; Yang, B.; Wang, W.; Wang, B.; Chen, P.; Zhang, J. Apple Leaf Diseases Recognition Based on An Improved Convolutional Neural Network. Sensors 2020, 20, 3535. [Google Scholar] [CrossRef] [PubMed]
- Montalbo, F.J.P.; Hernandez, A.A. An Optimized Classification Model for Coffea Liberica Disease using Deep Convolutional Neural Networks. In Proceedings of the 2020 16th IEEE International Colloquium on Signal Processing & Its Applications (CSPA), Langkawi, Malaysia, 28–29 February 2020; pp. 213–218. [Google Scholar]
- Chollet, F. Deep Learning with Python; Manning Publications: New York, NY, USA, 2017. [Google Scholar]
- Deng, J.; Dong, W.; Socher, R.; Li, L.J.; Li, K.; Li, F.-F. ImageNet: A large-scale hierarchical image database. In Proceedings of the 2009 IEEE Conference on Computer Vision and Pattern Recognition, Miami, FL, USA, 20–25 June 2009. [Google Scholar] [CrossRef]
- Yoshida, Y.; Okada, M. Data-Dependence of Plateau Phenomenon in Learning with Neural Network—Statistical Mechanical Analysis. Adv. Neural Inf. Process. Syst. 2019, 32, 1722–1730. [Google Scholar] [CrossRef]
- Toda, Y.; Okura, F. How Convolutional Neural Networks Diagnose Plant Disease. Plant Phenomics 2019, 2019, 9237136. [Google Scholar] [CrossRef]
- Selvaraju, R.R.; Cogswell, M.; Das, A.; Vedantam, R.; Parikh, D.; Batra, D. Grad-cam: Visual explanations from deep networks via gradient-based localization. In Proceedings of the IEEE International Conference on Computer Vision, Venice, Italy, 22–29 October 2017; pp. 618–626. [Google Scholar]
- Ahmad, I.; Hamid, M.; Yousaf, S.; Shah, S.T.; Ahmad, M.O. Optimizing Pretrained Convolutional Neural Networks for Tomato Leaf Disease Detection. Complexity 2020, 2020, 8812019. [Google Scholar] [CrossRef]
- Atila, Ü.; Uçar, M.; Akyol, K.; Uçar, E. Plant leaf disease classification using EfficientNet deep learning model. Ecol. Inform. 2021, 61, 101182. [Google Scholar] [CrossRef]
- Chen, J.; Chen, J.; Zhang, D.; Sun, Y.; Nanehkaran, Y.A. Using deep transfer learning for image-based plant disease identification. Comput. Electron. Agric. 2020, 173, 105393. [Google Scholar] [CrossRef]
- Kamal, K.; Yin, Z.; Wu, M.; Wu, Z. Depthwise separable convolution architectures for plant disease classification. Comput. Electron. Agric. 2019, 165, 104948. [Google Scholar]
- Rangarajan, A.K.; Purushothaman, R.; Ramesh, A. Tomato crop disease classification using pre-trained deep learning algorithm. Procedia Comput. Sci. 2018, 133, 1040–1047. [Google Scholar] [CrossRef]
- Jasim, M.A.; Al-Tuwaijari, J.M. Plant leaf diseases detection and classification using image processing and deep learning techniques. In Proceedings of the 2020 IEEE International Conference on Computer Science and Software Engineering (CSASE), Duhok, Iraq, 16–18 April 2020; pp. 259–265. [Google Scholar]
- Wang, G.; Sun, Y.; Wang, J. Automatic image-based plant disease severity estimation using deep learning. Comput. Intell. Neurosci. 2017, 2017, 2917536. [Google Scholar] [CrossRef]










| Dataset | Leaf Side | Variables | Number of Images |
|---|---|---|---|
| RoCoLe [24] | Adaxial and Abaxial | Healthy | 1560 |
| Red spider mite | |||
| Rust level 1 | |||
| Rust level 2 | |||
| Rust level 3 | |||
| Rust level 4 | |||
| BRACOL [25] | Abaxial | Healthy | 1747 |
| Miner | |||
| Rust | |||
| Phoma | |||
| Cercospora | |||
| Severity | |||
| Plant Pathology [26] | Adaxial | Healthy | 3651 |
| Cedar rust | |||
| Scab | |||
| Multiple diseases | |||
| Plant Village [22] | Adaxial | Healthy | 3172 |
| (only apple images) | Cedar rust | ||
| Scab |
| Dataset | Condition | Plant | Disease | Number of Images |
|---|---|---|---|---|
| RoCoLe [24] | Field | Coffee | Healthy | 602 |
| rust | 602 | |||
| BRACOL [25] | Laboratory | Coffee | Healthy | 684 |
| rust | 684 | |||
| Plant Pathology [26] | Field | Apple | Healthy | 516 |
| Cedar rust | 516 | |||
| Scab | 516 | |||
| Plant Village [22] | Laboratory | Apple | Healthy | 630 |
| Cedar rust | 630 | |||
| Scab | 630 |
| Parameter | Value |
|---|---|
| Optimizer | RMSprop |
| Loss function | Binary-Entropy, Cross-Entropy |
| Learning rate | 2 × 10−5 |
| Momentum | 0.9 |
| Predicted Y | |||
|---|---|---|---|
| Positive | Negative | ||
| Actual Y | Positive | True Positive (TP) | False Negative (FN) |
| Negative | False Positive (FP) | True Negative (TN) | |
| Laboratory Dataset | Field Dataset | Laboratory Dataset | Field Dataset | |
|---|---|---|---|---|
| Coffee Leaf | Coffee Leaf | Apple Leaf | Apple Leaf | |
| BRACOL (%) | RoCoLE (%) | Plant Village (%) | Plant Pathology (%) | |
| EfficientNetB0 | 99.31 | 82.90 | 99.57 | 82.57 |
| InceptionV2 | 97.23 | 85.36 | 98.06 | 81.94 |
| MobileNetV2 | 99.31 | 87.02 | 99.35 | 87.31 |
| ResNet50 | 83.39 | 67.40 | 92.67 | 54.41 |
| VGG16 | 96.54 | 79.83 | 97.84 | 70.11 |
| BRACOL | RoCoLe | Plant Village | Plant Pathology | |||||||||
|---|---|---|---|---|---|---|---|---|---|---|---|---|
| Prec | Rec | F1 | Prec | Rec | F1 | Prec | Rec | F1 | Prec | Rec | F1 | |
| EfficientNetB0 | 98.82% | 99.51% | 99.16% | 85.91% | 82.59% | 82.18% | 99.65% | 99.64% | 99.64% | 87.4% | 82.79% | 81.43% |
| InceptionV2 | 96.94% | 96.25% | 96.59% | 87.27% | 85.35% | 85.16% | 96.2% | 97.99% | 98.09% | 84.94% | 81.93% | 80.76% |
| MobileNetV2 | 99.15% | 99.15% | 99.15% | 89.23% | 87.01% | 86.83% | 99.47% | 99.47% | 99.47% | 89.24% | 87.31% | 86.59% |
| ResNet50 | 83.24% | 74.32% | 76.92% | 72.47% | 67.4% | 85.45% | 92.93% | 93.58% | 93.12% | 69.78% | 54.4% | 44.95% |
| VGG16 | 96.08% | 95.41% | 95.74% | 83.38% | 79.83% | 79.28% | 98.25% | 98.23% | 98.23% | 76.73% | 70.1% | 66.29% |
| Without Preprocessing | With Preprocessing | |
|---|---|---|
| EfficientNetB0 | 82.90% | 71.27% |
| InceptionV2 | 85.36% | 72.93% |
| MobileNetV2 | 87.02% | 73.30% |
| Dataset | Models | Accuracy | Authors |
|---|---|---|---|
| Plant Village | AlexNet | 99.45% | [40] |
| Plant Village | VGG16 | 99.81% | [40] |
| Plant Village | ResNet50 | 99.77% | [40] |
| Plant Village | InceptionV3 | 99.81% | [40] |
| Plant Village | EfficientNet | 99.91% | [40] |
| Plant Village | DenseNet-201 | 99.91% | [41] |
| Plant Village | InceptionV3 | 85% | [41] |
| Laboratory-built dataset | ResNet20 | 92.76% | [13] |
| Laboratory-built dataset | VGG16 | 96.32% | [13] |
| Plant Village | MobileNet | 98.65% | [42] |
| Plant Village | AlexNet | 95.81% | [43] |
| Plant Village | VGG16 | 96.19% | [43] |
| Plant Village | CNN | 98.02% | [44] |
| Plant Village | VGG16 | 90.04% | [45] |
Publisher’s Note: MDPI stays neutral with regard to jurisdictional claims in published maps and institutional affiliations. |
© 2022 by the authors. Licensee MDPI, Basel, Switzerland. This article is an open access article distributed under the terms and conditions of the Creative Commons Attribution (CC BY) license (https://creativecommons.org/licenses/by/4.0/).
Share and Cite
Fenu, G.; Malloci, F.M. Evaluating Impacts between Laboratory and Field-Collected Datasets for Plant Disease Classification. Agronomy 2022, 12, 2359. https://doi.org/10.3390/agronomy12102359
Fenu G, Malloci FM. Evaluating Impacts between Laboratory and Field-Collected Datasets for Plant Disease Classification. Agronomy. 2022; 12(10):2359. https://doi.org/10.3390/agronomy12102359
Chicago/Turabian StyleFenu, Gianni, and Francesca Maridina Malloci. 2022. "Evaluating Impacts between Laboratory and Field-Collected Datasets for Plant Disease Classification" Agronomy 12, no. 10: 2359. https://doi.org/10.3390/agronomy12102359
APA StyleFenu, G., & Malloci, F. M. (2022). Evaluating Impacts between Laboratory and Field-Collected Datasets for Plant Disease Classification. Agronomy, 12(10), 2359. https://doi.org/10.3390/agronomy12102359

