Abstract
Soil erosion is a major form of land degradation, especially in agroecosystems, which has been effectively controlled by vegetation restoration. However, the interactive role of erosion and cropland revegetation on soil enzyme activities and microbial nutrient limitations is less understood. To address this issue, we examined carbon (C), nitrogen (N), and phosphorus (P) in bulk soils and microbial biomass, enzyme activities, and microbial nutrient limitations in the 0–200 cm soils in eroded and deposited landscapes occupied by cropland, revegetated forest, and grassland. The results showed that the activities of C-, N-, and P-acquiring enzymes were larger in the deposited landscape than in the eroded landscape for 0–20 cm soils in forest and grassland but not in cropland. Microbial metabolism was co-limited by N and P, and the threshold element ratio (TERL) indicated that P was the most limiting factor. Microbial N limitation was lower in the deposited than the eroded zone, especially in surface soils in revegetated forest and grassland. The TERL value was larger at the deposited than at the eroded zone, and a greater difference was found in the surface soils of forest and grassland. Microbial nutrient limitations were mostly explained by C/P and N/P. Conclusively, the deposited areas were characterized by ameliorated enzyme activities, decreased microbial N limitation but relatively strengthened microbial P limitation compared to the eroded area, and such variations existed in the revegetated forest and grassland but not in the cropland, which thus contributes to a better understanding of C and nutrient cycling for agroecosystems and revegetation ecosystems in eroded environments.
1. Introduction
Soil erosion is the major driver of land surface processes and has caused environmental problems such as soil and nutrient losses, soil siltation, vegetation degradation, and water eutrophication [1,2,3]. Globally, approximately 84% of the Earth’s land surface suffers from soil erosion, half of which occurs in agricultural ecosystems [4]. Cropland revegetation has been deemed the most effective and economical way to curb severe soil erosion and has achieved remarkable effects [5,6,7]. Understanding the coupled role of soil erosion and vegetation restoration in microbial metabolism is of vital importance to the biogeochemical cycling of essential elements in an erosive environment [8,9].
Soil erosion leads to the distribution of soil particles and nutrients and alters conditions, and thus has an important effect on soil microorganisms’ metabolism [3,9,10,11]. Microorganisms secrete extracellular enzymes catalyzing the decomposition of complex organic compounds to get soil nutrients, thus playing a critical role in biogeochemical nutrient cycling [12,13,14,15]. Soil extracellular enzyme activities are affected by multiple factors, such as substrate concentration and availability, soil moisture, temperature, and ventilation conditions [15,16]. Research has shown that extracellular enzyme activities are lower in eroded than in deposited sites due to the redistribution of soil nutrients and changes in the microclimate during the eroded-deposited process [17,18]. The combination of ecoenzymatic stoichiometric theory with the metabolic theory of ecology and ecological stoichiometric theory was accustomed to assess microorganisms’ metabolism limitations in soil ecosystems from enzyme activity patterns [19]. A common method used to evaluate and measure microbial metabolic limitations is the threshold element ratio (TER) model. This model characterizes the carbon (C), nitrogen (N), and phosphorous (P) ratios in which microbial metabolic management is effective in converting from energy to nutrients [20]. Recent studies have proven that microbial metabolic limitations differ based on land-use patterns, tillage management, and fertilization treatments, which are driven by soil moisture, soil physical properties (i.e., clay content and pH), and nutrient availability [21,22,23,24]. However, how soil microbial metabolic limitations vary in eroded and deposited landscapes remains less understood, despite the well-acknowledged variations in soil physiochemical properties.
Vegetation type is an important factor affecting soil extracellular enzyme activities and microbial nutrient limitations. Plant community characteristics and soil physicochemical properties (e.g., plant species and litter nutrient input, respectively) have a profound influence on soil extracellular enzyme activities and microbial nutrient limitations [12,14,25]. For example, Wobeng [21] recommended soybean cultivation in agroecosystems in South Africa since it can alleviate microbial C limitation compared with the other three leguminous species (Phaseolus vulgaris L., Glycine max L. and Arachis hypogea L.). Yan [26] demonstrated that reafforestation worsens soil microbial metabolic N and P limitation, especially at medium and high Pinus tabuliformis plantation densities on China’s Loess Plateau. Cropland revegetation is an effective measure for ecosystem restoration and soil erosion control with the increasing plant coverage and less human disturbance, such as tillage activities [27,28]; however, the interactive role of soil erosion and cropland revegetation on soil microbial metabolism is less understood in eroding landscapes.
It has been estimated that 27–77% of organic C (OC) is stored below 20 cm, and any small change in deep soil C would also have an important impact on global C cycling [29,30]. With increasing soil depth, the input of plant organic matter decreases gradually, and the soil nutrient content, microbial biomass, and microbial activity also decrease correspondingly [31]. In addition, compared with topsoil, the environmental conditions, including moisture, porosity, and pH, are significantly different in the subsoil, which has a significant influence on soil microbial metabolism [32]. For example, soil enzyme activities have been reported to significantly decrease with depth and respond significantly to water-enrichment treatment in the 40–160 cm layers along the 0–340 cm soil profile [33]. While previous studies on microorganisms’ nutrient limitations have principally targeted on surface soils [12,14,34], information about soil microbial metabolism in deep soils is currently limited, although the effects of soil erosion and vegetation restorage can influence deep soil carbon and nutrient cycling [9,35].
China’s Loess Plateau is one of the “most liable to erosion” regions globally [7]. The “Grain-for-Green” project and the construction of check dams have been implemented to decelerate soil erosion on the Loess Plateau over the past few decades [6]; thus, the region provides an ideal platform for our study. The objective of this study was to elucidate the coupled role of erosion and vegetation restoration on soil enzyme activities and microbial nutrient limitations. To achieve this goal, cropland and revegetated forest and grassland were selected in both the eroded and the deposited landscapes, and 0–200 cm soil and sediment samples were collected to analyze the C-, N-, and P-acquiring enzyme activities and microbial nutrient limitation. We hypothesized that (H1) the deposited landscape would have higher enzyme activities and lower nutrient limitations than the eroded landscape due to the accumulation of C, nutrients, and moisture [20,36]; (H2) variations in these indicators would be greater in cropland since revegetation reduces the effect of erosion; and (H3) variations in these indicators would be higher in surface soils since the influences of erosion and vegetation restoration are more obvious.
2. Materials and Methods
2.1. Study Site and Sampling
The study was conducted in the Jiuyuangou watershed (37°33′–37°38′ N, 110°16′–110°26′ E) in Suide County, Shaanxi Province, China, which belongs to the loess hilly area on the Loess Plateau. This area features a temperate, semi-arid, continental monsoon climate. The annual average temperature is 8 °C, the annual mean rainfall is 475 mm, and most of the rainy season is concentrated from July to September [37].
The upper and middle parts of the slopes were selected as the eroded zones, and the neighboring check dams were chosen as the deposited zones. Cropland, revegetated forest, and grassland were selected in both the eroded and the deposited zones. The main plant species of cropland, forest, and grassland were Zea mays, Robinia pseudoacacia L., and Phragmites communis in the deposited zone and Solanum tuberosum, Prunus armeniaca L., and Cynanchum chinense in the eroded zone, respectively. The chemical N and P fertilizers used were diammonium hydrogen phosphate and dipotassium hydrogen phosphate for cropland and no fertilizers were applied in the forest and grassland.
Site surveys and soil sample collection were conducted in July 2021. Three 20 × 20 m plots with similar elevations and slope aspects were selected for each land-use type in the eroded and deposited landscapes. In each plot, three subplots (3 × 3 m) were randomly established, and both surface soils (0–10 and 10–20 cm) and deep soils (60–80 and 180–200 cm) were sampled with a soil auger. The three samples for each subplot were mixed into one sample at each depth. Subsequently, visible plant organic matter was removed and each soil sample was divided into two parts. One part of the samples was immediately sieved to pass through a 2 mm sieve in the field, sent back to the laboratory, and stored at 4 °C to determine the biological indices. The other part of the bulk soil (without sieving) was put in sealed bags and sent back to the laboratory to measure the soil’s physical and chemical properties. A subsample of these soils was oven-dried at 105 °C for 24 h until constant weight to measure soil moisture (SM) and the rest was air-dried.
2.2. Laboratory Analysis
The soil particle size distribution was measured with a laser particle size analyzer (Mastersizer 2000, Malvern Instruments Ltd., Malvern, UK). Soil pH was determined with a pH-meter (PHS-3C, Leici, Shanghai, China) at a soil:water ratio of 1:2.5. After extracting with 2 M KCl, soil nitrate nitrogen (NO3−) and ammonium nitrogen (NH4+) were analyzed with a continuous flow autoanalyzer (AutoAnalyzer-AA3, Seal Analytical, Norderstedt, Germany). The soil extractable P (EP) content was measured with the Olsen method. Soil organic C (OC) was measured with the Walkley Black method and total N (TN) with the Kjeldahl methods. Soil total P (TP) content was measured colorimetrically following digestion with HClO4-H2SO4 [38].
The fresh soil samples were used to measure dissolved organic carbon (DOC), microbial biomass C (MBC), microbial biomass N (MBN), microbial biomass P (MBP), and extracellular enzyme activities. The DOC was measured through extraction with deionized water after shaking and then filtered through a Millipore 0.45-μm filter [39]. Soil MBC, MBN, and MBP were measured using the chloroform fumigation-extraction method [14]. The potential activities of C-acquiring enzymes (β-d-cellobiosidase (CBH), β-1,4-glucosidase (BG)), N-acquiring enzyme (β-1,4-N-acetylglucosaminidase (NAG), L-leucine aminopeptidase (LAP)), and P-acquiring enzyme (alkaline phosphatase (AP)) were determined with the microplate fluorescence method [40,41].
2.3. Calculation of Microbial Nutrient Limitation
Based on the stoichiometric microbic C:N:P values obtained from the enzyme information, the TERC:N and TERC:P values were obtained via the threshold element model according to the subsequent formulas projected by Sinsabaugh [42]:
where the CUE is the carbon use efficiency of microorganisms, EEA is the soil extracellular activity, AX represents the apparent assimilation efficiency of N or P, the ratios of soil MBC:MBN and MBC:MBP were used as estimates of BC:X, SC:X is a scalar indicating the extent to which the allocation of ecoenzymatic activities offsets the difference between the elemental composition and microbial biomass composition of the available resources, KX is the half-saturation constant and has a value of 0.5, the molar ratios of soil OC:TN and soil OC:TP were used as estimates of LC:N and LC:P, respectively, and EEAC:N and EEAC:P were expressed by (CBH + BG)/(NAG + LAP) and (CBH + BG)/AP, respectively [42].
In this study, we used the corresponding soil available nutrient ratios and subtracted the TER to calculate the microbial nutrient limitations, and the positive values indicated that microorganisms were subjected to nutrient restriction and vice versa. We also calculated the TERL to identify the most limiting nutrient to microbial metabolism [20].
where X represents N or P.
2.4. Statistical Analysis
Multiway analysis of variance (three-way ANOVA) and LSD tests were used to examine the significant differences in landform position (eroded and deposited), land-use type (cropland, revegetated forest, and grassland), soil depth (0–10, 10–20, 60–80, 180–200 cm), and their interactions with soil physicochemical properties, microbial biomass, extracellular enzyme activities, and microbial nutrient limitations. Statistical analyses were performed using SPSS 20.0 (SPSS Company, Chicago, IL, USA). Redundancy analysis (RDA) was used to identify the contributions of soil physic-chemical properties to soil enzyme activities and microbial nutrient limitation in Canoco 5.0 (Microcomputer Power, Inc., Ithaca, NY, USA). The random forest (RF) model was used to identify the key factors influencing soil extracellular enzymatic activity and microbial nutrient limitations in R software v.4.1.3. Before the RF analysis, extracellular enzymatic activities were extracted from the principal components (Figure S1), and the first principal component was used to represent the microbial enzyme activity.
3. Results
3.1. Soil Physicochemical Properties
Soil moisture was significantly higher in the deposited zone (10.9%) than in the eroded zone (5.0%) (p < 0.05), with more dramatic variations at 60–80 and 180–200 cm than at 0–10 and 10–20 cm (Tables S1 and S2). The deposited sediments had a higher clay content than the eroded soils (p < 0.05), and such variations were higher in grassland (+70.4%) than in cropland (+37.5%) and forest (+28.0%). The deposited zone had a higher pH (p < 0.1), especially in cropland.
There were no significant variations in the OC and TN between the two landform positions (p > 0.05, Table S1). The DOC concentration was significantly higher in the deposited zone (55.88 mg kg−1) than in the eroded zone (38.83 mg kg−1) in cropland (p < 0.05) but not in grassland or forestland (p > 0.05). The soil NH4+ and NO3− concentrations did not differ significantly between the two landform positions for each land use (p > 0.05) (Tables S1 and S3). The soil TP concentration was significantly lower in the deposited zone than in the eroded zone (−9%) for each land use, while the EP concentration was significantly higher in the deposited zone than in the eroded zone for forest (+53%) and grassland (+143%) but was significantly lower in the deposited zone for cropland (−56%). The soil C/N did not significantly differ between the two landforms (p > 0.05). However, the C/P and N/P were larger at the deposited site than at the eroded site in forest (p < 0.05).
3.2. Soil Microbial C, N, P and Enzyme Activity
Generally, the differences in MBC and MBN were not significant between the deposited site and eroded site, and such variation was not dependent on land use and soil depth (p > 0.05, Figure 1a,b). The MBP content was considerably larger at the deposited site than at the eroded site in the surface but not in the deep soils in the forest and grassland, but not in cropland. Therefore, the deposited zone had a higher microbial P at the 0–10 cm depth in the forest and grassland (Figure 1c).
Figure 1.
(a) Microbial biomass carbon (C), (b) nitrogen (N), and (c) phosphorous (P) from different soil sites. MBC: microbial biomass carbon; MBN: microbial biomass nitrogen; MBP: microbial biomass phosphorous. CL: cropland; FL: forestland; GL: grassland; ES: eroded site; DS: deposited site. Values are expressed as the mean ± standard error. P: landform position; L: land use type; D: soil depth. ***, **, * mean the significant differences at p < 0.001, p < 0.01, and p < 0.05, respectively, and ns means no significant differences (p > 0.05).
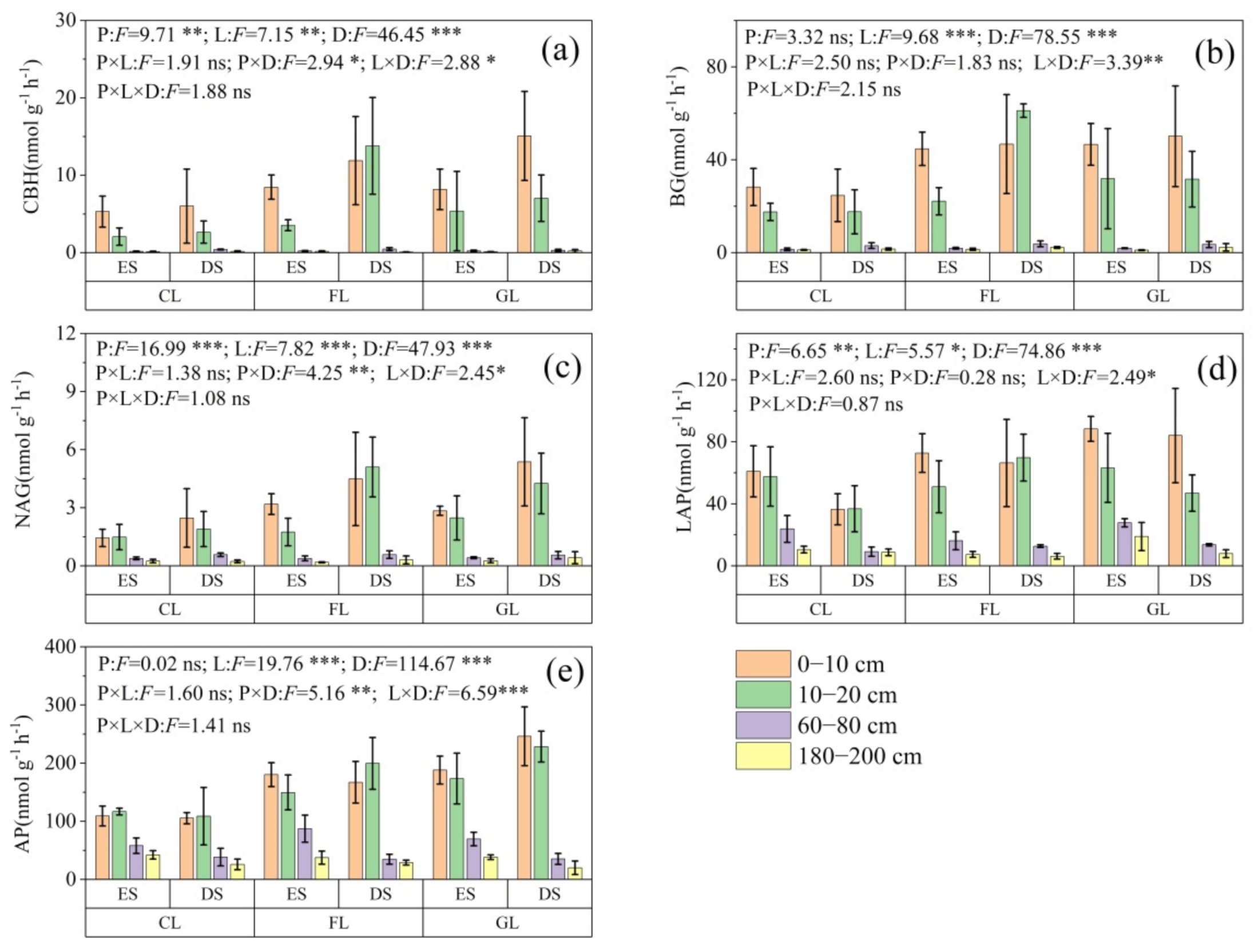
Landform position significantly influenced soil extracellular enzyme activities, and the effects depended on land-use type and soil depth (p < 0.05, Figure 2). For example, the C-acquiring enzyme CBH and the N-acquiring enzyme NAG were higher in the deposited zone (4.843 and 2.185 nmol g−1 h−1, respectively) than in the eroded zone (2.831 and 1.254 nmol g−1 h−1, respectively) (Figure 2a,c). The variations in the CBH and NAG were significant at the 0–20 cm depth in forest and grassland (p < 0.05) and not significant in cropland for either surface or deep soils (p > 0.05). The P-acquiring enzyme AP was also significantly higher in the deposited zone than in the eroded zone at the 0–20 cm depth in forest and grassland (p < 0.05) but similar in the two landform positions at the 0–2 m soil profile in cropland (p > 0.05, Figure 2e). Thus, the deposited area had higher C-, N-, and P-acquiring enzyme activities in surface soils in forest and grassland but were similar in cropland.
Figure 2.
Soil microbial enzymatic activity of (a) CBH, (b) BG, (c) NAG, (d) LAP, and (e) AP from different soil sites. CBH: β-d-cellobiosidase; BG: β-1,4-glucosidase; NAG: β-1,4-N-acetylglucosaminidase; LAP: leucine aminopeptidase; AP: alkaline phosphatase. CL: cropland; FL: forestland; GL: grassland; ES: eroded site; DS: deposited site. Values are expressed as the mean ± standard error. P: landform position; L: land use type; D: soil depth. ***, **, * mean the significant differences at p < 0.001, p < 0.01 and p < 0.05, respectively, and ns means no significant differences (p > 0.05).
3.3. Soil Microbial Nutrient Limitation
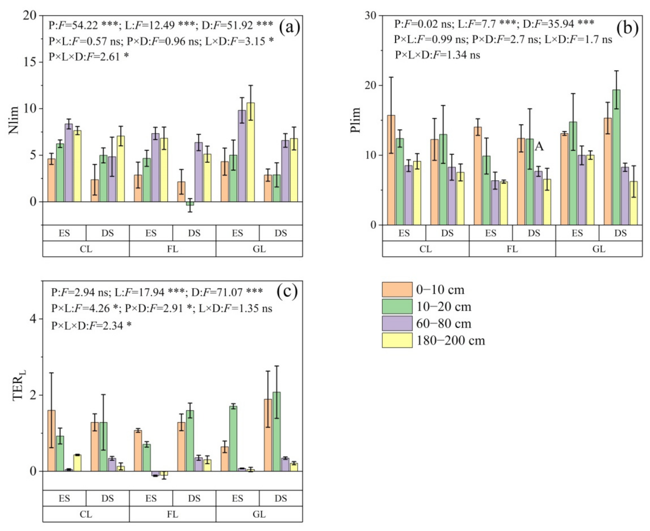
The study area suffered from both N limitation and P limitation, with average values of 5.41 and 10.81, respectively (Figure 3a,b). The positive TERL value (0.76) indicated that P was the most limiting factor for microbial metabolism (Figure 3c). The microbial N limitation in the eroded zone was 6.525, which was significantly higher than the value of 4.301 in the deposited zone (p < 0.05, Figure 3a). Although the variations in microbial N limitation between the two landform positions were independent of land use and soil depth, the response ratios of microbial N limitation were higher in surface soils (−45%) than in deep soils (−27%) and higher in forest (−39%) and grassland (−36%) than in cropland (−28%). Microbial P limitation did not differ significantly between the eroded and deposited zones, regardless of land use and soil depth (p > 0.05, Figure 3b), which indicated a similar P limitation between landform positions. However, the TERL was significantly higher in the deposited zone than in the eroded zone at the 0–20 cm depth in forest and grassland (p < 0.05) but was not significantly different at the 0–2 m soil profile in cropland (p > 0.05, Figure 3c).
Figure 3.
(a) Microbial N limitation, (b) microbial P limitation and (c) Threshold elemental ratio (TERL) from different soil sites. CL: cropland; FL: forestland; GL: grassland; ES: eroded site; DS: deposited site. Different capital letters represent significant difference (p < 0.05) between different landform positions in the same land use type and soil depth. Values are expressed as the mean ± standard error. P: landform position; L: land use type; D: soil depth. ***, * mean the significant differences at p < 0.001 and p < 0.05, respectively, and ns means no significant differences (p > 0.05).
3.4. Factors Influencing Extracellular Enzyme Activities and Microbial Nutrient Limitations
The redundancy analysis (RDA) showed that the RDA 1 and 2 axes explained 85.47% and 85.17% of the soil extracellular enzyme activity and microbial nutrient limitation, respectively (Figure 4a,b). The forward selection and RF results indicated that the OC, MBP, SM, clay, NO3−, and MBC were the most powerful factors affecting soil extracellular enzyme activities (Table 1 and Figure 5a). The RDA results showed that the OC, MBP, clay, NO3−, and MBC were positively associated with soil extracellular enzyme activities, while the SM was negatively associated with extracellular enzyme activities (Figure 4a). Furthermore, the forward selection and RF results implied that the C/P, clay, C/N, OC, N/P, DOC, and MBP were the most influential factors affecting the microbial nutrient limitations (Table 2, Figure 5b,c). The RDA results showed that the C/P, clay, OC, N/P, DOC, MBP, and P limitation were negatively related to microbial N limitation (Figure 4b). The RF results also highlighted that soil nutrients and their stoichiometry, MBC, MBN, and MBP were affecting the TERL (Figure 5d).
Figure 4.
The redundancy analysis (RDA) was used to identify the (a) relationship between enzyme activities and soil physicochemical and microbial properties and (b) the relationship between microbial nutrient limitations and soil physicochemical and microbial properties. SM: soil moisture; OC: soil organic carbon; TN: total nitrogen; TP: total phosphorus; MBC: microbial carbon; MBN: microbial nitrogen; MBP: microbial phosphorus; DOC: dissolved organic carbon; EP: soil available phosphorus; NO3−: nitrate nitrogen; NH4+: ammonia nitrogen; Nlim: microbial N limitation; Plim: microbial P limitation.
Table 1.
Simple term effects and forward selection of environmental variables on soil enzyme activities from the redundancy analysis (RDA).
Figure 5.
The Random Forest model (RF) was used to determine the key factors affecting (a) soil extracellular enzymatic activity, (b) soil microbial N limitation, (c) P limitation, and (d) Threshold elemental ratio (TERL). SM: soil moisture; OC: soil organic carbon; TN: total nitrogen; TP: total phosphorus; DOC: dissolved organic carbon; EP: soil available phosphorus; NO3−: nitrate nitrogen; NH4+: ammonia nitrogen. **, * mean the significant differences at p < 0.01 and p < 0.05, respectively.
Table 2.
Simple term effects and forward selection of environmental variables on microbial nutrient limitations from the redundancy analysis (RDA).
4. Discussion
4.1. Variations in Soil Enzyme Activities between the Eroded and Deposited Zones and Their Dependence on Land Use and Soil Depth
The activities of CBH, NAG, and AP were greater in the deposited area than in the eroded area, and such variations were significant at the 0–20 cm depth in revegetated forest and grassland but not in cropland in either surface or deep soils, which was consistent with Hypotheses H1 and H3, but not H2. Differences in the extracellular enzyme activities between the eroded and deposited areas may be due to the OC concentration; stoichiometry of C, N, and P; microbial biomass C, N, and P; clay content; and SM (Table 1, Figure 5a). Previous studies have shown that enzyme activities were considerably lower in the eroded zone than the deposited zone, mainly due to the depletion of OC and other nutrients by erosion [11]. Forward selection and RF results revealed that OC was the key factor influencing enzyme activities (Table 1, Figure 5a). However, the difference in OC between landform positions was not significant in our study, which may be explained by the positive effect of vegetation restoration in forest and grassland and fertilization in cropland on OC [22,43]. Previous studies also illustrated that soil enzyme activity tends to be closely associated with the microbial biomass [44,45] and lower MBP in the eroded site, which can have a greater inhibitory effect on extracellular enzyme activities by downregulating the quantity of enzyme released by unit of biomass [11]. The significantly higher MBP in the surface soils of forest and grassland in the deposited zone than in the eroded zone (Figure 1c) contributed to the larger discrepancy of soil enzyme activities between landform positions. In addition, the soil enzyme activity per unit of MBC can also assess microorganisms’ metabolism [46]. In the present study, especially in the surface soils and forests and grasslands, we found that the CBH/MBC and NAG/MBC values were considerably higher at the deposited site than at the eroded site (Table S4); thus, soil microorganism biomass released more enzymes in the surface soils of forests and grasslands at the deposited site [47]. Previous studies found that changes in soil nutrient content altered the stoichiometric ratio of C, N, and P, and the relative shortage of certain elements promoted the secretion of corresponding soil enzymes [48,49]. In our study, the higher soil C/P and N/P at the deposited site than at the eroded site were only significant in surface soils in the forest and grassland (Table S3), which contributed to increasing the AP (Figure 2e).
The SM and clay content were two other important factors influencing soil extracellular enzyme activities (Table 2). The clay and silt contents within the eroded zone were considerably lower than those within the deposited zone, which may be because soil erosion destroyed the aggregate structure and selectively transported fine particles to the deposited site [1,9,22]. Reported studies illustrated that the removal of the clay and silt content caused by erosion will harm extracellular enzyme activities because these are easily absorbable on the surface of the fine particles [11,50]. In this study, the clay and silt contents were positively related to enzyme activities (Figure 4a); thus, the greater differences of clay and silt contents between two landform positions in the surface soils of forest and grassland (Table S2) may explain the greater variations of enzyme activities in these land uses and depths. A previous study indicated that a decrease in soil moisture could enhance the oxygen content, which stimulated extracellular enzyme activity [51]. In our study, we also found that SM was negatively correlated with CBH and NAG (Figure 4a). Compared with topsoils, the higher SM in the deposited site, as compared to the eroded site, was prominent in deep soils, which would attenuate the response of enzymes to erosion and deposition. Therefore, given the differences in soil enzyme activities between landform positions, its interactions with land use and soil depth may be explained by a combination of factors of the ratios of C, N, and P, MBP, clay content, and soil moisture.
4.2. Variations in Soil Microbial Nutrient Limitations between Eroded and Deposited Zones and Their Dependence on Land Use and Soil Depth
Our results implied that soil microorganisms’ metabolism was restricted by N and P, which was in line with reported studies on the Loess Plateau [23,44]. Microbial N limitation was considerably larger in the eroded zone than in the deposited zone (p < 0.05, Figure 3a), and this change was higher in surface soils than in deep soils and higher in forest and grassland than in cropland, which was consistent with our Hypotheses H1 and H3 but did not support H2. Our forward selection and RF results indicated that nutrient and nutrient stoichiometry were the vital factors influencing soil microbial N limitation (Table 2 and Figure 5b). N and P are thought of as the dominant nutrient elements limiting vegetation growth and microorganism metabolism [14,52,53]. Studies have shown that soil microorganisms’ nutrient limitation was vulnerable to nutrient ratio imbalance [12,54]. For example, Cui et al. (2019) [12] implied that the soil C/N, C/P, and N/P considerably affected microorganisms’ C and P limitations in temperate grassland ecosystems. In surface soils, we found that the C/P and N/P were higher at the deposited site than at the eroded site, which had a positive impact on alleviating the microbial N limitation (Figure 4b). Another vital factor affecting N limitation was clay content (Table 2), which had a negative effect on N limitation (Figure 4b). A review of nutrient limitations in terrestrial ecosystems showed a shift from relative P to N limitation with lower soil clay content at global scales [52]. This was because high clay contents in soils are strongly weathered and tend to be deficient in P availability. Thus, the greater differences of clay content in grassland and forest between the eroded and deposited zones (Table S2) would result in more prominent variations of the N limitation. Furthermore, soil DOC concentration was negatively related to N limitation (Table 2, Figure 4), meaning that the higher the soil DOC concentration, the lower the microbial N limitation. Zhang et al. (2022) [55] implied that the soil microbial N limitation was strongly dependent on soil available C. The higher DOC concentration indicated that there were more labile C fractions and the labile C would provide energy for microbes to decompose organic matter, which would release available N and alleviate the microbial N limitation. Thus, in cropland, the higher DOC at the eroded site than at the deposited site was conducive to alleviating the N limitation at the eroded site (Table S3), which may be why the smallest difference was observed in cropland between landform positions relative to revegetated forest and grassland. Therefore, the change in N limitation affected by landform positions and its dependence on land-use types and soil depth may be attributed to the combined effect of soil nutrient stoichiometry, clay content, and DOC.
There was no significant difference in microorganism P limitation between the eroded and deposited sites. The TERL indicated that the study area was primarily limited by P relative to N, which was in line with previous studies. Studies have reported that microorganism metabolism is widely restricted by soil P in several terrestrial ecosystems, such as subtropic forests and semiarid grasslands [14,23,56]. This phenomenon was mainly attributed to the soil nutrient ratio, especially in surface soils. Soil C/P and N/P values were higher at the deposited zone than at the eroded zone, which may enhance microbial P limitation (Figure 4b). That is, nutrient limitations rely not only on the supply of nutrients but also on the supply of other nutrients. The increase in soil C/P and N/P could also be attributed to the fact that soil P was principally gained through weathering. Higher vegetation aboveground biomass and root systems would assimilate more P after vegetation restoration, and soil eroded would accelerate the loss of P, which can hardly be replenished by plant inputs and resulted in a relatively stable P compared with soil OC and N [14,23,57]. The increase of C/P and N/P meant the relative dilution of P compared with C or N, which would potentially result in microbial P limitation and, in turn, stimulate P-acquisition enzyme activities [20,23]. Xiao et al. (2020) [23] and Jiao et al. (2013) [58] additionally reported that the ratio of N to P increased after farmland abandonment and implied that soil microorganisms were principally restricted by P in the Loess Plateau. Furthermore, the higher P limitation at the deposited site than at the eroded site was prominent in revegetated forests, which may be due to the larger difference in MBP between landform positions in forests as a positive relation between MBP and P limitation (Figure 4b and Figure 5d). These results implied that soil nutrient stoichiometry has a powerfully regulatory impact on microorganism metabolism by influencing fundamental balance and the nutrient ratio would thus potentially be the important threshold resulting in microbic metabolic limitations.
5. Conclusions
Elucidating how soil enzyme activities and microbial nutrient limitations respond to soil erosion and their dependence on land use is essential to understanding the microbial metabolisms and nutrient cycling of agriculture and revegetated ecosystems in eroded and deposited landscapes. In our study, the deposited sites had higher enzyme activities and lower microbial N limitation than the eroded sites, and such variations were more pronounced in forest and grassland than in cropland and were greater in surface soils (0–10 and 10–20 cm) than in deep soils (60–80 and 180–200 cm). The terminal threshold ratio model illustrated that the study area was mostly restricted by P, and such restrictions were greater in the deposited zone than in the eroded zone for the surface soils in forest and grassland. Our study highlighted the variations in microbial nutrient limitations between two landform positions and their dependence on land uses in a hilly-gully area of the northern Loess Plateau. However, our study did not capture the changes in the metabolic metabolism characteristics in the eroded and deposited processes, and further studies are recommended to investigate the dynamic features with the aid of rainfall simulation experiments.
Supplementary Materials
The following supporting information can be downloaded at: https://www.mdpi.com/article/10.3390/agronomy12112796/s1, Table S1: ANOVA results for soil physicochemical properties as affected by landform position (P), land-use type (L), soil depth (D) and their interactions. Table S2: Soil physicochemical properties in erosion and deposition landform positions with different land-use types and soil depths. Table S3: Soil nutrients in erosion and deposition landform positions with different land-use types and soil depths. Table S4: The ratios of soil microbial C, N, P and ratios of soil extracellular enzymes to MBC in different landform positions within land use types and soil depths. Figure S1: Results of principle component analysis of soil extracellular enzyme activities. CBH: β-d-cellobiosidase; BG: β-1,4-glucosidase; NAG: β-1,4-N-acetylglucosaminidase; LAP: leucine aminopeptidase; AP: alkaline phosphatase.
Author Contributions
Conceptualization, F.T.; Data curation, F.T., C.W. and Y.L.; Formal analysis, F.T.; Supervision, Y.Y. and J.S.; Writing—original draft, F.T.; Writing—review & editing, F.T. and Y.Y. All authors have read and agreed to the published version of the manuscript.
Funding
This study was supported by the National Natural Science Foundation of China (42107344, 42041004), the China Postdoctoral Science Foundation (2021T140558, 2020M683699XB) and the State Key Laboratory of Soil Erosion and Dryland Farming on the Loess Plateau (A314021402-202106).
Data Availability Statement
The authors confirm that the data supporting the findings of this study are available within the article and its Supplementary Materials.
Acknowledgments
We would thankful for the support of the above funding programs.
Conflicts of Interest
The authors declare no conflict of interest.
References
- Quinton, J.N.; Govers, G.; Van Oost, K.; Bardgett, R.D. The Impact of Agricultural Soil Erosion on Biogeochemical Cycling. Nat. Geosci. 2010, 3, 311–314. [Google Scholar] [CrossRef]
- Petito, M.; Cantalamessa, S.; Pagnani, G.; Degiorgio, F.; Parisse, B.; Pisante, M. Impact of Conservation Agriculture on Soil Erosion in the Annual Cropland of the Apulia Region (Southern Italy) Based on the RUSLE-GIS-GEE Framework. Agronomy 2022, 12, 281. [Google Scholar] [CrossRef]
- Lal, R. Accelerated Soil Erosion as a Source of Atmospheric CO2. Soil Tillage Res. 2019, 188, 35–40. [Google Scholar] [CrossRef]
- Borrelli, P.; Robinson, D.A.; Fleischer, L.R.; Lugato, E.; Ballabio, C.; Alewell, C.; Meusburger, K.; Modugno, S.; Schütt, B.; Ferro, V.; et al. An Assessment of the Global Impact of 21st Century Land Use Change on Soil Erosion. Nat. Commun. 2017, 8, 2013. [Google Scholar] [CrossRef] [PubMed]
- Lasanta, T.; Nadal-Romero, E.; Arnáez, J. Managing Abandoned Farmland to Control the Impact of Re-Vegetation on the Environment. The State of the Art in Europe. Environ. Sci. Policy 2015, 52, 99–109. [Google Scholar] [CrossRef]
- Wang, S.; Fu, B.; Piao, S.; Lü, Y.; Ciais, P.; Feng, X.; Wang, Y. Reduced Sediment Transport in the Yellow River Due to Anthropogenic Changes. Nat. Geosci. 2016, 9, 38–41. [Google Scholar] [CrossRef]
- Zhu, G.; Shangguan, Z.; Hu, X.; Deng, L. Effects of Land Use Changes on Soil Organic Carbon, Nitrogen and Their Losses in a Typical Watershed of the Loess Plateau, China. Ecol. Indic. 2021, 133, 108443. [Google Scholar] [CrossRef]
- Dungait, J.A.J.; Ghee, C.; Rowan, J.S.; McKenzie, B.M.; Hawes, C.; Dixon, E.R.; Paterson, E.; Hopkins, D.W. Microbial Responses to the Erosional Redistribution of Soil Organic Carbon in Arable Fields. Soil Biol. Biochem. 2013, 60, 195–201. [Google Scholar] [CrossRef]
- Berhe, A.A.; Barnes, R.T.; Six, J.; Marín-Spiotta, E. Role of Soil Erosion in Biogeochemical Cycling of Essential Elements: Carbon, Nitrogen, and Phosphorus. Annu. Rev. Earth Planet. Sci. 2018, 46, 521–548. [Google Scholar] [CrossRef]
- De Nijs, E.A.; Cammeraat, E.L.H. The Stability and Fate of Soil Organic Carbon during the Transport Phase of Soil Erosion. Earth-Sci. Rev. 2020, 201, 103067. [Google Scholar] [CrossRef]
- Du, L.; Wang, R.; Hu, Y.; Li, X.; Gao, S.; Wu, X.; Gao, X.; Yao, L.; Guo, S. Contrasting Responses of Soil C-Acquiring Enzyme Activities to Soil Erosion and Deposition. Catena 2021, 198, 105047. [Google Scholar] [CrossRef]
- Cui, Y.; Fang, L.; Guo, X.; Han, F.; Ju, W.; Ye, L.; Wang, X.; Tan, W.; Zhang, X. Natural Grassland as the Optimal Pattern of Vegetation Restoration in Arid and Semi-Arid Regions: Evidence from Nutrient Limitation of Soil Microbes. Sci. Total Environ. 2019, 648, 388–397. [Google Scholar] [CrossRef]
- Guan, H.; Fan, J.; Zhang, H.; Harris, W. Comparison of Drivers of Soil Microbial Communities Developed in Karst Ecosystems with Shallow and Deep Soil Depths. Agronomy 2021, 11, 173. [Google Scholar] [CrossRef]
- Xu, M.; Li, W.; Wang, J.; Zhu, Y.; Feng, Y.; Yang, G.; Zhang, W.; Han, X. Soil Ecoenzymatic Stoichiometry Reveals Microbial Phosphorus Limitation after Vegetation Restoration on the Loess Plateau, China. Sci. Total Environ. 2022, 815, 152918. [Google Scholar] [CrossRef]
- Ahmed, I.U.; Mengistie, H.K.; Godbold, D.L.; Sandén, H. Soil Moisture Integrates the Influence of Land-Use and Season on Soil Microbial Community Composition in the Ethiopian Highlands. Appl. Soil Ecol. 2019, 135, 85–90. [Google Scholar] [CrossRef]
- Hsiao, C.-J.; Sassenrath, G.F.; Zeglin, L.H.; Hettiarachchi, G.M.; Rice, C.W. Vertical Changes of Soil Microbial Properties in Claypan Soils. Soil Biol. Biochem. 2018, 121, 154–164. [Google Scholar] [CrossRef]
- Park, J.-H.; Meusburger, K.; Jang, I.; Kang, H.; Alewell, C. Erosion-Induced Changes in Soil Biogeochemical and Microbiological Properties in Swiss Alpine Grasslands. Soil Biol. Biochem. 2014, 69, 382–392. [Google Scholar] [CrossRef]
- Sarapatka, B.; Cap, L.; Bila, P. The Varying Effect of Water Erosion on Chemical and Biochemical Soil Properties in Different Parts of Chernozem Slopes. Geoderma 2018, 314, 20–26. [Google Scholar] [CrossRef]
- Sinsabaugh, R.L.; Lauber, C.L.; Weintraub, M.N.; Ahmed, B.; Allison, S.D.; Crenshaw, C.; Contosta, A.R.; Cusack, D.; Frey, S.; Gallo, M.E.; et al. Stoichiometry of Soil Enzyme Activity at Global Scale. Ecol. Lett. 2008, 11, 1252–1264. [Google Scholar] [CrossRef]
- Cui, Y.; Moorhead, D.L.; Guo, X.; Peng, S.; Wang, Y.; Zhang, X.; Fang, L. Stoichiometric Models of Microbial Metabolic Limitation in Soil Systems. Glob. Ecol. Biogeogr. 2021, 30, 2297–2311. [Google Scholar] [CrossRef]
- Wobeng, N.B.M.; Banfield, C.C.; Megueni, C.; Mapongmetsem, P.M.; Dippold, M.A. Impact of Legumes on Soil Microbial Activity and C Cycle Functions in Two Contrasting Cameroonian Agro-Ecological Zones. Pedobiologia 2020, 81–82, 150662. [Google Scholar] [CrossRef]
- Wang, X.; Cui, Y.; Wang, Y.; Duan, C.; Niu, Y.; Sun, R.; Shen, Y.; Guo, X.; Fang, L. Ecoenzymatic Stoichiometry Reveals Phosphorus Addition Alleviates Microbial Nutrient Limitation and Promotes Soil Carbon Sequestration in Agricultural Ecosystems. J. Soils Sediments 2022, 22, 536–546. [Google Scholar] [CrossRef]
- Xiao, L.; Liu, G.; Li, P.; Li, Q.; Xue, S. Ecoenzymatic Stoichiometry and Microbial Nutrient Limitation during Secondary Succession of Natural Grassland on the Loess Plateau, China. Soil Tillage Res. 2020, 200, 104605. [Google Scholar] [CrossRef]
- Bai, X.; Dippold, M.A.; An, S.; Wang, B.; Zhang, H.; Loeppmann, S. Extracellular Enzyme Activity and Stoichiometry: The Effect of Soil Microbial Element Limitation during Leaf Litter Decomposition. Ecol. Indic. 2021, 121, 107200. [Google Scholar] [CrossRef]
- Kanté, M.; Riah-Anglet, W.; Cliquet, J.-B.; Trinsoutrot-Gattin, I. Soil Enzyme Activity and Stoichiometry: Linking Soil Microorganism Resource Requirement and Legume Carbon Rhizodeposition. Agronomy 2021, 11, 2131. [Google Scholar] [CrossRef]
- Yan, B.; Duan, M.; Wang, R.; Li, J.; Wei, F.; Chen, J.; Wang, J.; Wu, Y.; Wang, G. Planted Forests Intensified Soil Microbial Metabolic Nitrogen and Phosphorus Limitation on the Loess Plateau, China. Catena 2022, 211, 105982. [Google Scholar] [CrossRef]
- Liu, Y.; Fu, B.; Lü, Y.; Wang, Z.; Gao, G. Hydrological Responses and Soil Erosion Potential of Abandoned Cropland in the Loess Plateau, China. Geomorphology 2012, 138, 404–414. [Google Scholar] [CrossRef]
- Kou, M.; Jiao, J.; Yin, Q.; Wang, N.; Wang, Z.; Li, Y.; Yu, W.; Wei, Y.; Yan, F.; Cao, B. Successional Trajectory Over 10 Years of Vegetation Restoration of Abandoned Slope Croplands in the Hill-Gully Region of the Loess Plateau. Land Degrad. Dev. 2016, 27, 919–932. [Google Scholar] [CrossRef]
- Jobbágy, E.G.; Jackson, R.B. The Vertical Distribution of Soil Organic Carbon and Its Relation to Climate and Vegetation. Ecol. Appl. 2000, 10, 423–436. [Google Scholar] [CrossRef]
- Koven, C.D.; Riley, W.J.; Subin, Z.M.; Tang, J.Y.; Torn, M.S.; Collins, W.D.; Bonan, G.B.; Lawrence, D.M.; Swenson, S.C. The Effect of Vertically Resolved Soil Biogeochemistry and Alternate Soil C and N Models on C Dynamics of CLM4. Biogeosciences 2013, 10, 7109–7131. [Google Scholar] [CrossRef]
- Engelhardt, I.C.; Welty, A.; Blazewicz, S.J.; Bru, D.; Rouard, N.; Breuil, M.-C.; Gessler, A.; Galiano, L.; Miranda, J.C.; Spor, A.; et al. Depth Matters: Effects of Precipitation Regime on Soil Microbial Activity upon Rewetting of a Plant-Soil System. ISME J. 2018, 12, 1061–1071. [Google Scholar] [CrossRef]
- Chen, X.; Feng, J.; Ding, Z.; Tang, M.; Zhu, B. Changes in Soil Total, Microbial and Enzymatic C-N-P Contents and Stoichiometry with Depth and Latitude in Forest Ecosystems. Sci. Total Environ. 2022, 816, 151583. [Google Scholar] [CrossRef]
- Schütz, K.; Kandeler, E.; Nagel, P.; Scheu, S.; Ruess, L. Functional Microbial Community Response to Nutrient Pulses by Artificial Groundwater Recharge Practice in Surface Soils and Subsoils. FEMS Microbiol. Ecol. 2010, 72, 445–455. [Google Scholar] [CrossRef]
- Mganga, K.Z.; Razavi, B.S.; Kuzyakov, Y. Land Use Affects Soil Biochemical Properties in Mt. Kilimanjaro Region. Catena 2016, 141, 22–29. [Google Scholar] [CrossRef]
- Kong, W.; Wei, X.; Wu, Y.; Shao, M.; Zhang, Q.; Sadowsky, M.J.; Ishii, S.; Reich, P.B.; Wei, G.; Jiao, S.; et al. Afforestation Can Lower Microbial Diversity and Functionality in Deep Soil Layers in a Semiarid Region. Glob. Chang. Biol. 2022, 28, 6086–6101. [Google Scholar] [CrossRef]
- Doetterl, S.; Berhe, A.A.; Nadeu, E.; Wang, Z.; Sommer, M.; Fiener, P. Erosion, Deposition and Soil Carbon: A Review of Process-Level Controls, Experimental Tools and Models to Address C Cycling in Dynamic Landscapes. Earth-Sci. Rev. 2016, 154, 102–122. [Google Scholar] [CrossRef]
- Gao, H.; Li, Z.; Li, P.; Jia, L.; Zhang, X. Quantitative Study on Influences of Terraced Field Construction and Check-Dam Siltation on Soil Erosion. J. Geogr. Sci. 2012, 22, 946–960. [Google Scholar] [CrossRef]
- Page, A.L. (Ed.) Methods of Soil Analysis: Part 2 Chemical and Microbiological Properties; Agronomy Monographs; American Society of Agronomy, Soil Science Society of America: Madison, WI, USA, 1983; ISBN 978-0-89118-977-0. [Google Scholar]
- Jones, D.; Willett, V. Experimental Evaluation of Methods to Quantify Dissolved Organic Nitrogen (DON) and Dissolved Organic Carbon (DOC) in Soil. Soil Biol. Biochem. 2006, 38, 991–999. [Google Scholar] [CrossRef]
- Saiya-Cork, K.R.; Sinsabaugh, R.L.; Zak, D.R. The Effects of Long Term Nitrogen Deposition on Extracellular Enzyme Activity in an Acer Saccharum Forest Soil. Soil Biol. Biochem. 2002, 34, 1309–1315. [Google Scholar] [CrossRef]
- German, D.P.; Weintraub, M.N.; Grandy, A.S.; Lauber, C.L.; Rinkes, Z.L.; Allison, S.D. Optimization of Hydrolytic and Oxidative Enzyme Methods for Ecosystem Studies. Soil Biol. Biochem. 2011, 43, 1387–1397. [Google Scholar] [CrossRef]
- Sinsabaugh, R.L.; Turner, B.L.; Talbot, J.M.; Waring, B.G.; Powers, J.S.; Kuske, C.R.; Moorhead, D.L.; Follstad Shah, J.J. Stoichiometry of Microbial Carbon Use Efficiency in Soils. Ecol. Monogr. 2016, 86, 172–189. [Google Scholar] [CrossRef]
- Zeng, Y.; Fang, N.; Shi, Z. Effects of Human Activities on Soil Organic Carbon Redistribution at an Agricultural Watershed Scale on the Chinese Loess Plateau. Agric. Ecosyst. Environ. 2020, 303, 107112. [Google Scholar] [CrossRef]
- Cui, Y.; Fang, L.; Guo, X.; Wang, X.; Zhang, Y.; Li, P.; Zhang, X. Ecoenzymatic Stoichiometry and Microbial Nutrient Limitation in Rhizosphere Soil in the Arid Area of the Northern Loess Plateau, China. Soil Biol. Biochem. 2018, 116, 11–21. [Google Scholar] [CrossRef]
- Zhang, W.; Xu, Y.; Gao, D.; Wang, X.; Liu, W.; Deng, J.; Han, X.; Yang, G.; Feng, Y.; Ren, G. Ecoenzymatic Stoichiometry and Nutrient Dynamics along a Revegetation Chronosequence in the Soils of Abandoned Land and Robinia Pseudoacacia Plantation on the Loess Plateau, China. Soil Biol. Biochem. 2019, 134, 1–14. [Google Scholar] [CrossRef]
- Lagomarsino, A.; Benedetti, A.; Marinari, S.; Pompili, L.; Moscatelli, M.C.; Roggero, P.P.; Lai, R.; Ledda, L.; Grego, S. Soil Organic C Variability and Microbial Functions in a Mediterranean Agro-Forest Ecosystem. Biol. Fertil. Soils 2011, 47, 283–291. [Google Scholar] [CrossRef]
- Raiesi, F.; Beheshti, A. Soil Specific Enzyme Activity Shows More Clearly Soil Responses to Paddy Rice Cultivation than Absolute Enzyme Activity in Primary Forests of Northwest Iran. Appl. Soil Ecol. 2014, 75, 63–70. [Google Scholar] [CrossRef]
- Kivlin, S.N.; Treseder, K.K. Soil Extracellular Enzyme Activities Correspond with Abiotic Factors More than Fungal Community Composition. Biogeochemistry 2014, 117, 23–37. [Google Scholar] [CrossRef]
- Romanowicz, K.J.; Freedman, Z.B.; Upchurch, R.A.; Argiroff, W.A.; Zak, D.R. Active Microorganisms in Forest Soils Differ from the Total Community yet Are Shaped by the Same Environmental Factors: The Influence of PH and Soil Moisture. FEMS Microbiol. Ecol. 2016, 92, fiw149. [Google Scholar] [CrossRef]
- Chen, H.; Luo, P.; Wen, L.; Yang, L.; Wang, K.; Li, D. Determinants of Soil Extracellular Enzyme Activity in a Karst Region, Southwest China. Eur. J. Soil Biol. 2017, 80, 69–76. [Google Scholar] [CrossRef]
- Henry, H.A.L. Soil Extracellular Enzyme Dynamics in a Changing Climate. Soil Biol. Biochem. 2012, 47, 53–59. [Google Scholar] [CrossRef]
- Du, E.; Terrer, C.; Pellegrini, A.F.A.; Ahlström, A.; van Lissa, C.J.; Zhao, X.; Xia, N.; Wu, X.; Jackson, R.B. Global Patterns of Terrestrial Nitrogen and Phosphorus Limitation. Nat. Geosci. 2020, 13, 221–226. [Google Scholar] [CrossRef]
- Marklein, A.R.; Houlton, B.Z. Nitrogen Inputs Accelerate Phosphorus Cycling Rates across a Wide Variety of Terrestrial Ecosystems. New Phytol. 2012, 193, 696–704. [Google Scholar] [CrossRef]
- Sinsabaugh, R.L.; Follstad Shah, J.J. Ecoenzymatic Stoichiometry and Ecological Theory. Annu. Rev. Ecol. Evol. Syst. 2012, 43, 313–343. [Google Scholar] [CrossRef]
- Zhang, S.; Pan, Y.; Zhou, Z.; Deng, J.; Zhao, F.; Guo, Y.; Han, X.; Yang, G.; Feng, Y.; Ren, G.; et al. Resource Limitation and Modeled Microbial Metabolism along an Elevation Gradient. Catena 2022, 209, 105807. [Google Scholar] [CrossRef]
- Vitousek, P.M.; Porder, S.; Houlton, B.Z.; Chadwick, O.A. Terrestrial Phosphorus Limitation: Mechanisms, Implications, and Nitrogen–Phosphorus Interactions. Ecol. Appl. 2010, 20, 5–15. [Google Scholar] [CrossRef]
- Lemma, B.; Kebede, F.; Mesfin, S.; Fitiwy, I.; Abraha, Z.; Norgrove, L. Quantifying Annual Soil and Nutrient Lost by Rill Erosion in Continuously Used Semiarid Farmlands, North Ethiopia. Environ. Earth Sci. 2017, 76, 190. [Google Scholar] [CrossRef]
- Jiao, F.; Wen, Z.-M.; An, S.-S.; Yuan, Z. Successional Changes in Soil Stoichiometry after Land Abandonment in Loess Plateau, China. Ecol. Eng. 2013, 58, 249–254. [Google Scholar] [CrossRef]
Publisher’s Note: MDPI stays neutral with regard to jurisdictional claims in published maps and institutional affiliations. |
© 2022 by the authors. Licensee MDPI, Basel, Switzerland. This article is an open access article distributed under the terms and conditions of the Creative Commons Attribution (CC BY) license (https://creativecommons.org/licenses/by/4.0/).




