Abstract
To address the secondary pollution problem of chemical reduction and the defects of a long bioremediation period for the soil around a chromium (Cr) salt plant in China, calcium polysulfide (CPS) combined with biostimulation (adding nutrient solution with glucose and urea) was used to reduce and stabilize hexavalent chromium [Cr(VI)] in the soil. The results showed that the remediation effect of adding CPS and nutrient solution was better than that of CPS alone for Cr(VI)-contaminated soil. An amount of 2.15% CPS with the Cr(VI) concentration reduced to approximately 330.0 mg/kg was selected as the optimal reducing agent dosage. Following the addition of 11 g/kg glucose and 13 g/kg urea, the degradation rate of Cr(VI) reached over 92% after 3 days, and the water-soluble fraction decreased by 95.6% after 40 days. The stability of the Cr was significantly enhanced. The correlation and regression analyses of Cr speciation indicated that the water-soluble fraction had significant negative correlations with the iron-manganese (Fe-Mn) oxide-bound fraction and the organic matter-bound fraction. There were significant negative correlations between the exchangeable fraction and the carbonate-bound fraction as well as extremely significant positive correlations between the Fe-Mn oxide-bound fraction and the organic matter-bound fraction. It was speculated that both the Fe-Mn oxide-bound fraction and the organic matter-bound fraction were transformed from the water-soluble fraction, and the exchangeable fraction and the carbonate-bound fraction were mutually transformed. This study enables us to acquire more knowledge about the speciation transformation of Cr in soil and provides an efficient, low-cost, and low-risk technology for the remediation of high Cr(VI)-contaminated soil.
1. Introduction
Chromium (Cr) has become one of the most common sources of heavy metal pollution in soil due to its extensive industrial use [1,2,3,4]. In soil, it mainly exists in two valence states: trivalent [Cr(III)] and hexavalent [Cr(VI)] chromium. Cr(III), a trace element with little toxicity that is required by organisms, is almost completely precipitated above pH 5.5, so its compounds are highly stable in the soil. Compared to Cr(III), Cr(VI) has stronger mobility and is highly toxic, teratogenic, carcinogenic, and mutagenic [5,6]. Therefore, the key to remediation of Cr-contaminated soil is to reduce Cr(VI) to Cr(III), and chemical reduction is commonly performed for this purpose [7]. It mainly uses iron-based reducing agents (such as ferrous sulfate and zero-valent iron) and sulfide compounds (such as calcium polysulfide) to reduce Cr(VI), lowering the mobility and biotoxicity of Cr and reducing the harm of Cr pollution in soil. Ferrous sulfate and nanoscale zero-valent iron (nZVI) have been used to reduce Cr(VI); the residual amount of Cr(VI) was lower than the industrial standard after 16 h, and a complete reduction occurred after 45 h with a large amount of excess ferrous sulfate, while the nZVI had a faster reaction rate [8]. Another previous study revealed that calcium polysulfide (CPS), iron sulfide (FeS), and sodium sulfide (Na2S) could reduce Cr(VI) efficiently compared to pyrite (FeS2) when the four types of excessive sulfides were added to three kinds of soil [9]. While the chemical reduction method acts quickly and develops maturely, any excess reducing agent increases the cost of remediation and causes secondary pollution. Moreover, using a reducing agent alone results in poor stability to treat the contaminated soil, and after a period of time, Cr(III) is re-oxidized to Cr(VI) with the phenomenon of “yellowing” observed [10,11].
In recent years, microbial remediation technology has become a research hotspot in the field of Cr-contaminated soil treatment due to its advantages of stability, cost-efficiency, and no secondary pollution [12,13,14,15]. Biostimulation is one of the microbial remediation methods, and it stimulates the growth and activity of indigenous microorganisms in soil by changing various factors in the environment to achieve the purpose of pollution remediation. In 1999, Bader et al. enriched indigenous microorganisms in soil for the first time through lysozyme broth (LB) medium and medium containing glucose to evaluate the potential of aerobic reduction of Cr (VI) in a local soil microbial community. Under anaerobic conditions, bacteria and molasses were mixed with soil samples containing 5.6 mg/g of Cr(VI), and the reduction rate of Cr(VI) reached 97% after 20 days [16]. Lara et al. [17] used sodium acetate as an electron donor and effectively promoted the microbial reduction of Cr(VI) in soil. However, the tolerance of microorganisms to Cr(VI) is limited, and a high concentration of Cr(VI) will inhibit the growth of microorganisms or even kill them [18]. Thus, the combination of chemical and microbial reduction has been considered for better effect, but few existing studies focus on combined remediation. The chemical-microbial combination shortens the repair time, enables Cr-resistant microorganisms, and allows Cr(III) and the soil to form aggregates [19], all of which ensure the long-term safety of the remediation and thus make it suitable for the treatment of high Cr(VI)-contaminated soil.
At present, most studies [7,20,21] focus on evaluating the potential impact of Cr as a pollutant based on the residual Cr(VI) concentration. Nevertheless, the toxicity of Cr in soil is not only related to the valence state but also closely connected with Cr speciation. The mobility of various Cr fractions is different depending on the soil environment, and the mobility determines the bioavailability and toxicity [22,23]. The water-soluble and exchangeable fractions are easily absorbed by organisms and have the greatest toxicity. The carbonate-bound fraction, Fe-Mn oxide-bound fraction, and organic matter-bound fraction also have bioavailability with conditions, such as pH and redox change. The residual fraction is the most stable and is not easily used by organisms [24,25].
In this study, high hexavalent chromium-contaminated soil of an abandoned Cr salt plant in China served as the research object. The reduction effect of Cr by CPS combined with biostimulation was assessed. Especially the concentration of Cr speciation in the soil as well as its transformation mode were studied during the remediation.
2. Materials and Methods
2.1. Sample Collection and Property Analyses
Soil samples were collected from the sites of a Cr salt plant in Hebei Province of China. The soil is half luvisols, and ten sampling sites were chosen. The sampling depth was about 50 cm. One hundred kg of soil sample was collected from each of the 10 sampling sites and mixed. Large particles, such as stones and glass fragments, were removed from the soil. The remaining portion was put into a plastic bucket, mixed evenly, and covered for use. The physicochemical characteristics of the soil are presented in Table 1.
Table 1.
Physicochemical characteristics of Cr-contaminated soil presented as the means ± standard deviations (SDs); n = 3.
2.2. Optimization Test of Reducing Agent Dosage
CPS with a mass fraction of 45.0% (Lianyungang Yosoo Industrial Technique Co., Ltd., Lianyungang, China) was used as the chemical reducing agent in the experiment. First, five 1 kg soil samples were prepared, then CPS was dissolved in 100 mL of pure water according to the (CPS/soil) mass ratios of 0.00%, 1.75%, 2.00%, 2.15%, and 2.50%. Next, the CPS solution was slowly added to the soil samples and stirred uniformly. After the samples were left for 24 h at room temperature, the pH level and Cr(VI) concentration were determined.
2.3. Biostimulation
Glucose and urea were low cost, good effects, and environmentally friendly carbon and nitrogen sources for microbial. They were used as the microbial nutrient solution for biostimulation. The soil reduced by the CPS was left for 8 days and then divided into plastic pots containing 1 kg each. Based on the (w:v) ratio of 1:1, different proportions of the nutrient solution were added to the soil samples, and the mixtures were stirred evenly. The experimental conditions are shown in Table 2. A solid–liquid ratio of 1:1 was maintained during the experiment. The samples were tested at 3, 10, 20, 30, and 40 days to determine the concentrations of Cr(VI), total Cr, and Cr speciation (including the water-soluble fraction (F1), exchangeable fraction (F2), carbonate-bound fraction (F3), Fe-Mn oxide-bound fraction (F4), organic matter-bound fraction (F5), and residual fraction).
Table 2.
Experimental conditions of soil samples.
2.4. Analytical Methods
Soil pH values were measured using a Hash pH meter (soil–water = 1:2.5 (w:v)) [26]. Aqueous extracts of the soil samples were used to determine electrical conductivity (1:10 w/v sample water ratio) and salinity using a conductivity meter (Mettler Toledo, Shanghai China). Cr(VI) was extracted from the soil samples according to the United States Environmental Protection Agency (USEPA) method 3060A [27], and Cr(VI) concentration was calculated based on the USEPA method 7196A [28]. For the determination of total Cr, a modified version of the USEPA method 3052 was used to digest the soil samples [27,29,30]. Next, the samples were analyzed by inductively coupled plasma optical emission spectrometry (ICP-OES). The modified Tessier sequential extraction procedure [31,32] was employed to extract the different Cr fractions. According to the modified Tessier sequential extraction method, Cr exists in six different fractions, including the water-soluble fraction (F1), exchangeable fraction (F2), carbonate-bound fraction (F3), Fe-Mn oxide-bound fraction (F4), organic matter-bound fraction (F5) and residual fraction. The stability and biotoxicity of these six fractions increase in sequence while the mobility and bioavailability gradually decrease [33,34,35]. Water soluble Cr (VI) was added and was extracted with distilled water at a 1:8 ratio of soil to water for 30 min. Cr fractions were determined by ICP-OES. SPSS Statistics 21.0 software (IBM, Armonk, NY, USA) was used to perform the correlation and regression analyses.
3. Results and Discussion
3.1. Chemical Reduction Effect and Optimization of CPS Dosage
In this study, CPS was used to reduce Cr(VI) to Cr(III) in the contaminated soil so that the Cr(VI) concentration could be tolerated by microorganisms. Table 3 shows the Cr(VI) concentration and pH under different CPS dosages. As shown in Table 3, with an increase in CPS dosage, the pH tended to rise first before declining, and the value was essentially maintained between 8.15 and 8.50. In addition, the pH values of CPS-added soils increased compared to that of the original soil. This finding may be attributed to the fact that CPS is an alkaline substance that can improve the pH value of soil, which is consistent with past research by Zhang et al. [36]. Cr(VI) in soil decreased significantly with an increase in CPS dosage. The reduction rate of Cr(VI) exceeded 90.0% after adding 2.15% CPS for 24 h, while the reduction rate of 2.50% CPS reached as high as 98.0%.
Table 3.
Cr(VI) concentration and pH under different CPS dosages.
The initial concentration of Cr(VI) in the soil of a Cr slag yard in Hunan province was 1521.9 mg/kg, and after the addition of nutrient solution, the concentration of Cr(VI) was reduced to 199.2 mg/kg by native microorganisms under aerobic conditions 66 h later [37]. Chai et al. [32] used the indigenous bacterium Pannonibacter phragmitetus BB to reduce the Cr(VI) in soil from the original 462.8 mg/kg to 10.0 mg/kg. Given that a higher concentration of Cr(VI) would inhibit microorganisms and increased reducing agent dosage would lead to increasing costs as well as damage to the soil physicochemical properties and surrounding ecological environment. The results showed that the Cr(VI) concentration was the lowest when 2.5% CPS was added, but the release of odorous H2S gas increased evidently. To sum up, the 2.15% CPS with the Cr(VI) concentration reduced to approximately 330.0 mg/kg was selected as the optimal reducing agent dosage.
3.2. Effect of Cr(VI) Reduction by Biostimulation
After chemical reduction by 2.15% CPS for 8 days, the concentration of Cr(VI) was increased to 1126.6 mg/kg, and much higher than adding CPS for 24 h (330.4 mg/kg). This indicated that Cr(III) was re-oxidized to Cr(VI) after a period of chemical reduction, which reflects the instability of chemical reduction. It is necessary to use biological method to further reduce and stable Cr. After CPS reduce and stable for 8 days, nutrient solution was added according to Table 2. The Cr(VI) concentration was monitored over the course of biostimulation (Figure 1). During the process, the concentration of Cr(VI) in each experimental group went down with time. In samples S0 and S3, the concentration of Cr(VI) declined slowly. The concentration in sample S0 increased to 1130.9 ± 57.7 mg/kg on the 10th day and then decreased until the 20th day, at which point it leveled off. Sample S0 showed signs of rebounding, demonstrating the instability of relying solely on the chemical reduction method. The concentration of Cr(VI) in other groups descended rapidly with time. The reduction rate of Cr(VI) in samples S11 and S13 on the third day was over 92.0% and closer to 90.0% in sample SC, which was lower than that of sample S13. While low temperatures have a certain inhibitory effect on microorganisms, the proportion of nutrient solution has even more influence. After remediation for 40 days, the degradation rate of Cr(VI) in sample S0 was 79.1%, and those of other groups were above 97.0%. These results showed that the nutrient solution promoted the growth of microorganisms, thus accelerating the reduction of Cr(VI). Furthermore, the higher the proportion of nutrient solution, the more obvious the degradation effect on Cr(VI). The temperature also had an impact on Cr(VI) reduction.
Figure 1.
Changes in Cr(VI) concentration during remediation.
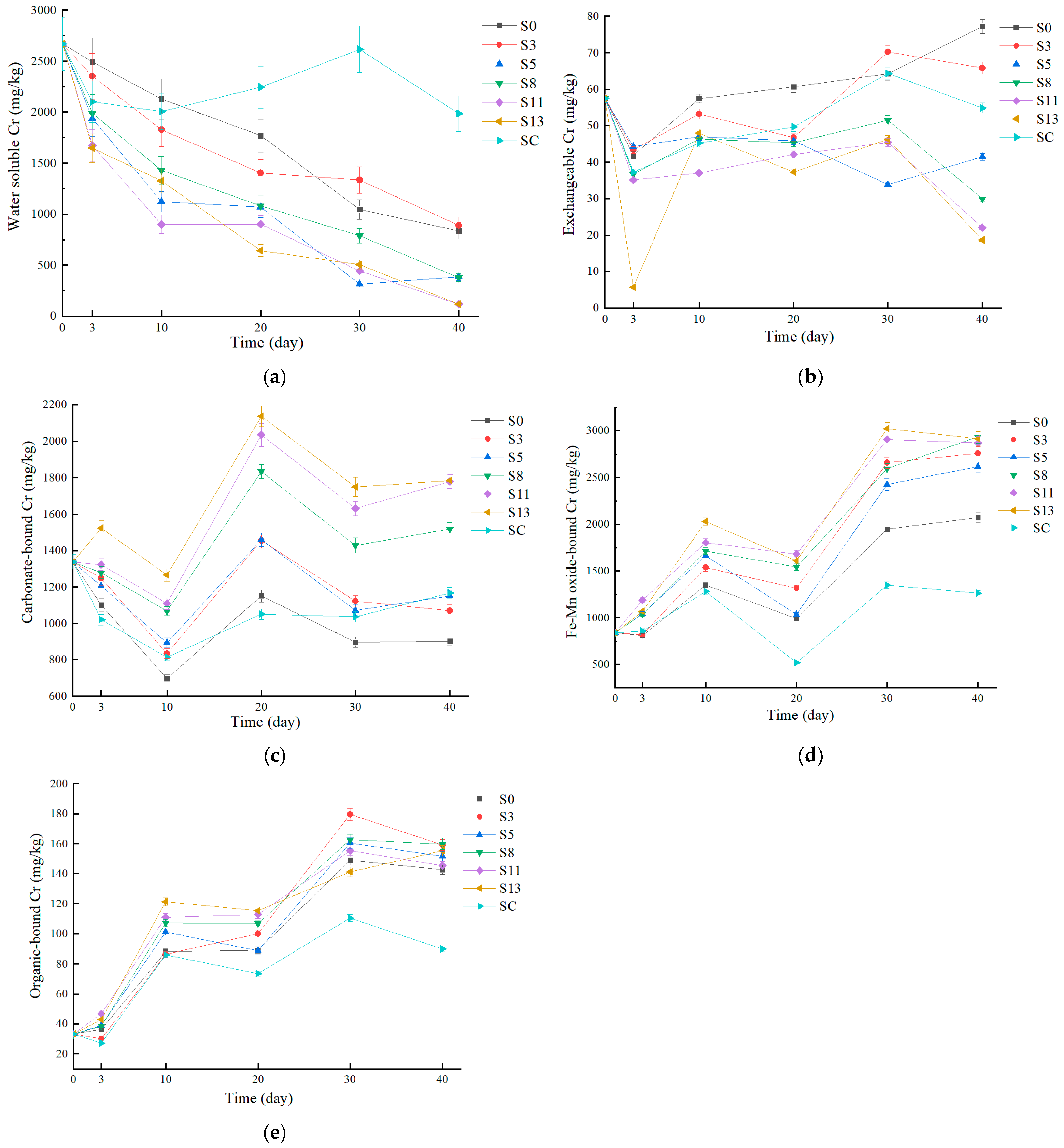
3.3. Cr Speciation
Six different fractions of Cr were extracted by the modified Tessier sequential extraction method. Figure 2 shows the concentrations of Cr speciation in the samples during remediation. According to Figure 2, except for sample SC, the content of F1 in other samples gradually decreased with time. At the late stage of remediation (40 days), samples S11 and S13 demonstrated a remarkable decline of 95.6% and 95.7%, respectively. In addition, with increases in the proportion of nutrient solution, the concentration of F1 clearly declined. This result is likely due to that the addition of nutrient solution stimulated the growth of naturally occurring microorganisms in the soil, and the content of F1 was transformed into more stable fractions in soil under the action of these microorganisms. The concentration of F1 in sample SC declined in step with time, which suggests that the ability of microorganisms to stabilize Cr is inhibited under low temperature.
Figure 2.
Concentration of Cr speciation in soils during remediation ((a) water-soluble fraction, (b) exchangeable fraction, (c) carbonate-bound fraction, (d) Fe-Mn oxide-bound, (e) organic matter-bound fraction.).
At the late stage, the contents of F2 and F3 increased in some samples and decreased in others. Compared with the initial state of remediation (0 day), the content of F2 in samples S0 and S3 increased while samples S5, S8, S11, S13, and SC decreased at the late stage. Moreover, as the proportion of nutrient solution increased, the concentration range of F2 decreases became more significant. The concentration of F2 in sample S13 decreased the most (67.5%) and was followed by sample S11 (61.7%). In the later period, the concentration of F3 in samples S0, S3, S5, and SC declined while that of samples S8, S11, and S13 increased compared to the initial state. In general, the concentration of F3 fluctuated with time during the remediation.
Over the process of remediation, the concentrations of F4 and F5 showed a fluctuating upward trend. Compared with the initial state, the concentration of F4 in the soil samples increased by 50.5–249.9% at the late stage, and the rising range tended to increase as the proportion of nutrient solution increased. Compared with the initial state, the concentration of F5 in soil samples increased within the range of 170.5–381.3%, and that of sample S8 reached the peak value. Previous studies [38,39] found that with the increase in organic matter concentration, the concentrations of F4 and F5 gradually increased. At the late stage, the concentration of F5 in each group increased more than that of F4, showing that the addition of nutrient solution had a stronger effect on the fraction transformation of F5 in soils.
Overall, the concentration of F1 in soils decreased with the participation of microorganisms, while the concentrations of F4 and F5 increased, and the concentrations of F2 and F3 increased or decreased, respectively. These findings indicate that the microorganisms may transform the fractions of high mobility and toxicity into stable and less toxic fractions. Moreover, the transformation ability of the microorganisms was enhanced by increases in the proportion of the nutrient solution. When incubated at 4 °C with the nutrient solution, the growth of the microorganisms was inhibited, and the transformation ability of the fractions was limited.
3.4. Relationship Analysis of Cr Speciation
In order to clarify the transformation rules of Cr speciation, we investigated the correlation between the concentrations of the fractions in all samples in the beginning (3 days), early (10 days), middle (20 days), and late (40 days) phases of remediation.
As can be seen in Table 4, there was a significant negative correlation between F1 and F4 (r = −0.917, −0.791, −0.889, and −0.918) during the remediation (3 days, 10 days, 20 days, and 40 days, respectively), especially in later phases (p < 0.01), and the result indirectly reflected that F1 and F4 were transformed into each other by microorganisms. Furthermore, curve matching was carried out on the concentrations of F1 and F4 in all groups on the 40th day, and the result is shown in Table 5. The results indicated that there was a positive linear relationship between the concentrations of F1 and F4. Similarly, the relationship between the concentrations of F1 and F5 was analyzed (Table 4 and Table 5). The concentrations of F1 and F5 in samples showed an opposite but weaker trend than that of F1 and F4. The result indicated that F1 was transformed to F4 more easily. In comparison with F4, F5 was more stable, and the transformation from F1 to F5 was both more difficult and greatly affected by environmental factors.
Table 4.
Pearson correlation coefficients between different fractions.
Table 5.
Linear regression analysis among fractions.
There was a significant negative correlation between F2 and F3 (Table 4), especially at the end of the remediation (r = −0.948). As the equations show in Table 5, F2 had a very significant linear relationship with F3, which suggested that F2 and F3 in samples had a great influence on each other and were easily transformed into one another. According to the literature reports, F2 and F3 [22] were correlated with pH, so it is assumed that F2 and F3 may be mutually transformed through the pH change.
An extremely significant positive correlation existed between F4 and F5 in the early, middle, and late phases (r = 0.951, 0.990, and 0.929; p < 0.01) of remediation. The results showed a trend of co-growth. In addition, the regression equation fitted at 40 days showed a positive linear relationship (Table 5), suggesting that F4 shares a homology with F5. It is inferred from the aforementioned findings that both F4 and F5 were transformed from F1.
3.5. Stabilization Effects of Biostimulation
F3, F4, and F5 have been found to be more stable than F1 and F2 [23,38]. It can be seen in Table 5 that every two out of the three fractions (F3, F4, and F5) are positively correlated, indicating that the transforming behaviors of these three fractions are relatively consistent. In our study, the three fractions were united into a “bound fraction” for research. The regression equation for the concentration changes of this bound fraction (Table 6) is fitted from the line chart about the concentration of the bound fraction under different nutrient proportions (Figure 3). We took the derivative of the regression equation with respect to time and obtained the rate of change curve of the bound fraction in soil under different nutrient solution proportions (Figure 4). The changes in the bound fraction were analyzed to reflect the stabilization effects of different nutrient proportions.
Table 6.
Regression equation for concentration change of the bound fraction.
Figure 3.
Concentrations of the bound fraction during remediation.
Figure 4.
Change rate of bound fraction during remediation.
The rate of change of the bound fraction was positive in all groups (Figure 4), and the concentration of bound fraction generally increased over time (Figure 3). The rate of the bound fraction in the non-nutrient group S0 was constant (approximately 28 mg/(kg·d)). The rate in S3 and S5 increased with remediation time, while that of the other groups displayed a descending trend.
The rates in S3 and S5 were low at the beginning of remediation, which may be attributed to the low proportion of nutrients and thus the slow growth of microorganisms. As time passed, the microorganisms continued to grow, the rate went up gradually, and the concentration also kept increasing. In contrast, the rates in groups with relatively high proportions of nutrients were very high at the start and gradually declined with time. These findings indicate that nutrients of high proportions accelerated the growth of microorganisms at the early stage of remediation, which activated the transformation process of Cr speciation and rapidly increased the bound fraction concentration. This active phenomenon gradually weakened with time, and the concentration of the bound fraction tended to remain unchanged.
In the initial 20 d of remediation, the change rate of the bound fraction in groups with added nutrients decreased in the order of S13 > S11 > S8 > S3 > S5, and the rates in S11 and S13 exceeded 100 mg/(kg·d), while the rate order of the groups from 30~40 days was opposite to that of the first 20 days. In the 20~40-day period of remediation, the concentration of the bound fraction was arranged in the same order as the rate in the first half, which suggested that the rate of change in the first half is crucial to the stabilization of Cr in the soil. During the 30~40-day period, the concentration of the bound fraction was unchanged, and Cr in the soil was ultimately stabilized. The stabilization effects in S11 and S13 were approximately the same, and S11 and S13 increased by 116.9% and 119.6%, respectively, compared to the initial state.
4. Conclusions
The combined effect of CPS and microbial nutrient solution on the remediation of Cr(VI)-contaminated soil was significantly better than that of reduction by CPS alone. The reduction rate of Cr(VI) exceeded 97% in the experimental groups containing nutrient solution. With the participation of microorganisms, the Cr in the soil was transformed from highly toxic, mobile water-soluble, and exchangeable fractions to Fe-Mn oxide-bound and organic matter-bound fractions, which are relatively stable, as well as a less toxic carbonate-bound fraction, thereby reducing the environmental risks of Cr. The specific transformation rules of Cr speciation in soil were speculated as follows: the water-soluble fraction was transformed into the Fe-Mn oxide-bound and organic matter-bound fractions, while the exchangeable and carbonate-bound fractions were transformed into each other. Considering the degradation rate of Cr(VI), transformation degree of Cr speciation, stabilization effects, and economic costs, the results indicated that a nutrient solution with 11 g/kg glucose and 13 g/kg urea was optimal for Cr remediation. Thus, this study provides a theoretical basis and technical support for the combined remediation of high-level Cr(VI)-contaminated soil.
Author Contributions
Data curation, C.Z.; formal analysis, J.L. and W.M.; funding acquisition, Q.W.; investigation, Q.L.; methodology, Q.W.; validation, R.W. and Q.L.; writing—original draft, J.L. and R.W.; writing—review and editing, Q.W. and S.P. All authors have read and agreed to the published version of the manuscript.
Funding
This research was funded by a grant from the National Natural Science Foundation of China (50908159).
Data Availability Statement
The data used in this manuscript are available by writing to the corresponding authors.
Conflicts of Interest
The authors declare no conflict of interest. The funders had no role in the design of the study; in the collection, analyses, or interpretation of data; in the writing of the manuscript; or in the decision to publish the results.
References
- Jobby, R.; Jha, P.; Yadav, A.K.; Desai, N. Biosorption and biotransformation of hexavalent chromium [Cr(VI)]: A comprehensive review. Chemosphere 2018, 207, 255–266. [Google Scholar] [CrossRef] [PubMed]
- Pradhan, D.; Sukla, L.B.; Sawyer, M.; Rahman, P.K.S.M. Recent bioreduction of hexavalent chromium in wastewater treatment: A review. J. Ind. Eng. Chem. 2017, 55, 1–20. [Google Scholar] [CrossRef] [Green Version]
- Hou, R.; Wang, L.; Shen, Z.; Alessi, D.S.; Hou, D. Simultaneous reduction and immobilization of Cr(VI) in seasonally frozen areas: Remediation mechanisms and the role of ageing. J. Hazard. Mater. 2021, 415, 125650. [Google Scholar] [CrossRef] [PubMed]
- Zhang, T.; Wang, T.; Wang, W.; Liu, B.; Li, W.; Liu, Y. Reduction and stabilization of Cr (VI) in soil by using calcium polysulfide: Catalysis of natural iron oxides. Environ. Res. 2020, 190, 109992. [Google Scholar] [CrossRef]
- Prado, C.; Chocobar Ponce, S.; Pagano, E.; Prado, F.E.; Rosa, M. Differential physiological responses of two Salvinia species to hexavalent chromium at a glance. Aquat. Toxicol. 2016, 175, 213–221. [Google Scholar] [CrossRef]
- Shahid, M.; Shamshad, S.; Rafiq, M.; Khalid, S.; Bibi, I.; Niazi, N.K.; Dumat, C.; Rashid, M.I. Chromium speciation, bioavailability, uptake, toxicity and detoxification in soil-plant system: A review. Chemosphere 2017, 178, 513–533. [Google Scholar] [CrossRef]
- Liao, Y.; Min, X.; Yang, Z.; Chai, L.; Zhang, S.; Wang, Y. Physicochemical and biological quality of soil in hexavalent chromium-contaminated soils as affected by chemical and microbial remediation. Environ. Sci. Pollut. Res. 2014, 21, 379–388. [Google Scholar] [CrossRef]
- Di Palma, L.; Gueye, M.T.; Petrucci, E. Hexavalent chromium reduction in contaminated soil: A comparison between ferrous sulphate and nanoscale zero-valent iron. J. Hazard. Mater. 2015, 281, 70–76. [Google Scholar] [CrossRef]
- Mahdieh, K.; Shahin, O.; Nosratollah, N.; Alireza, K. Treatment of Cr(VI)-spiked soils using sulfur-based amendments. Arch. Agron. Soil Sci. 2016, 62, 1474–1485. [Google Scholar] [CrossRef]
- Dhal, B.; Thatoi, H.N.; Das, N.N.; Pandey, B.D. Chemical and microbial remediation of hexavalent chromium from contaminated soil and mining/metallurgical solid waste: A review. J. Hazard. Mater. 2013, 250–251, 272–291. [Google Scholar] [CrossRef]
- Xia, S.; Song, Z.; Jeyakumar, P.; Shaheen, S.M.; Rinklebe, J.; Ok, Y.S.; Bolan, N.; Wang, H. A critical review on bioremediation technologies for Cr(VI)-contaminated soils and wastewater. Crit. Rev. Env. Sci. Tec. 2019, 49, 1027–1078. [Google Scholar] [CrossRef]
- Dhaliwal, S.S.; Singh, J.; Taneja, P.K.; Mandal, A. Remediation techniques for removal of heavy metals from the soil contaminated through different sources: A review. Environ. Sci. Pollut. Res. 2020, 27, 1319–1333. [Google Scholar] [CrossRef] [PubMed]
- Govarthanan, M.; Lee, K.J.; Cho, M.; Kim, J.S.; Kamala-Kannan, S.; Oh, B.T. Signifcance of autochthonous Bacillus sp. KK1 on biomineralization of lead in mine tailings. Chemosphere 2013, 90, 2267–2272. [Google Scholar] [CrossRef] [PubMed]
- Zheng, Z.; Li, Y.; Zhang, X.; Liu, P.; Ren, J.; Wu, G.; Zhang, Y.; Chen, Y.; Li, X. A Bacillus subtilis strain can reduce hexavalent chromium to trivalent and an nfrA gene is involved. Int. Biodeterior. Biodegrad. 2015, 97, 90–96. [Google Scholar] [CrossRef]
- Zeng, Q.; Hu, Y.T.; Yang, Y.R.; Hu, L.; Zhong, H.; He, Z.G. Cell envelop is the key site for Cr(VI) reduction by Oceanobacillus oncorhynchi W4, a newly isolated Cr(VI) reducing bacterium. J. Hazard Mater. 2019, 369, 149–155. [Google Scholar] [CrossRef] [PubMed]
- Jeyasingh, J.; Philip, L. Bioremediation of chromium contaminated soil: Optimization of operating parameters under laboratory conditions. J. Hazard. Mater. 2005, 118, 113–120. [Google Scholar] [CrossRef]
- Lara, P.; Morett, E.; Juárez, K. Acetate biostimulation as an effective treatment for cleaning up alkaline soil highly contaminated with Cr(VI). Environ. Sci. Pollut. Res. 2017, 24, 25513–25521. [Google Scholar] [CrossRef]
- Ma, Y.; Zhong, H.; He, Z. Cr(VI) reductase activity locates in the cytoplasm of Aeribacillus pallidus BK1, a novel Cr(VI)-reducing thermophile isolated from Tengchong geothermal region, China. Chem. Eng. J. 2019, 371, 524–534. [Google Scholar] [CrossRef]
- Sharma, S.; Tiwari, S.; Hasan, A.; Saxena, V.; Pandey, L.M. Recent advances in conventional and contemporary methods for remediation of heavy metal-contaminated soils. 3 Biotech 2018, 8, 216. [Google Scholar] [CrossRef]
- Kathiravan, M.N.; Karthick, R.; Muthukumar, K. Ex situ bioremediation of Cr(VI) contaminated soil by Bacillus sp.: Batch and continuous studies. Chem. Eng. J. 2011, 169, 107–115. [Google Scholar] [CrossRef]
- Tahri Joutey, N.; Bahafid, W.; Sayel, H.; Maâtaoui, H.; Errachidi, F.; El Ghachtouli, N. Use of experimental factorial design for optimization of hexavalent chromium removal by a bacterial consortium: Soil microcosm bioremediation. Soil Sediment Contam. Int. J. 2015, 24, 129–142. [Google Scholar] [CrossRef]
- Bashir, F.; Kashmiri, M.A.; Shafiq, T.; Tariq, M. Heavy metals uptake by vegetables growing in sewage irrigated soil: Relationship with heavy metal fractionation in soil. Chem. Spec. Bioavailab. 2009, 21, 199–209. [Google Scholar] [CrossRef]
- Zimmerman, A.J.; Weindorf, D.C.; Cifuentes, A. Heavy metal and trace metal analysis in soil by sequential extraction: A review of procedures. Int. J. Anal. Chem. 2010, 2010, 387803. [Google Scholar] [CrossRef] [PubMed] [Green Version]
- Sundaray, S.K.; Nayak, B.B.; Lin, S.; Bhatta, D. Geochemical speciation and risk assessment of heavy metals in the river estuarine sediments—A case study: Mahanadi basin, India. J. Hazard. Mater. 2011, 186, 1837–1846. [Google Scholar] [CrossRef]
- Ma, J.; Xiong, H.B.; Gao, J.T.; Gao, Y.T. Physical chemical properties and BCR speciation analysis of cr-contaminated soil in plateau. IOP Conf. Ser. Mater. Sci. Eng. 2019, 479, 12056. [Google Scholar] [CrossRef] [Green Version]
- Liu, B.; Huang, Q.; Su, Y.; Sun, L.; Wu, T.; Wang, G.; Kelly, R.M. Rice busk biochar treatment to cobalt-polluted fluvo-aquic soil: Speciation and enzyme activities. Ecotoxicology 2019, 28, 1220–1231. [Google Scholar] [CrossRef]
- US Environmental Protection Agency. Alkaline Digestion for Hexavalent Chromium, USEPA Method 3060A; Office of Solid Waste and Emerging Response: Washington, DC, USA, 1996.
- US Environmental Protection Agency. Chromium, Hexavalent (Colorimetric), USEPAMethod 7196A; Office of Solid Waste and Emerging Response: Washington, DC, USA, 1992.
- Broadway, A.; Cave, M.R.; Wragg, J.; Fordyce, F.M.; Bewley, R.J.F.; Graham, M.C.; Ngwenya, B.T.; Farmer, J.G. Determination of the bioaccessibility of chromium in Glasgow soil and the implications for human health risk assessment. Sci. Total Environ. 2010, 409, 267–277. [Google Scholar] [CrossRef]
- US Environmental Protection Agency. Microwave Assisted Acid Digestion of Siliceousand Organically Based Matrices, USEPA Method 3052; Office of Solid Waste and Emerging Response: Washington, DC, USA, 1996.
- Tessier, A.P.; Campbell, P.G.C.; Bisson, M.X. Sequential Extraction Procedure for the Speciation of Trace Metals. Anal. Chem. 1979, 51, 844–851. [Google Scholar] [CrossRef]
- Chai, L.; Huang, S.; Yang, Z.; Peng, B.; Huang, Y.; Chen, Y. Cr (VI) remediation by indigenous bacteria in soils contaminated by chromium-containing slag. J. Hazard. Mater. 2009, 167, 516–522. [Google Scholar] [CrossRef]
- Huang, X.; Hu, J.; Deng, J.; Li, C.; Qin, F. Speciation of heavy metals in sediments from Baihua Lake and Aha Lake. Asia-Pac. J. Chem. Eng. 2009, 4, 635–642. [Google Scholar] [CrossRef]
- Cuong, D.T.; Obbard, J.P. Metal speciation in coastal marine sediments from Singapore using a modified BCR-sequential extraction procedure. Appl. Geochem. 2006, 21, 1335–1346. [Google Scholar] [CrossRef]
- Liu, Y.; Tang, Y.; Zhong, G.; Zeng, H. A comparison study on heavy metal/metalloid stabilization in Maozhou River sediment by five types of amendments. J. Soil. Sediment. 2019, 19, 3922–3933. [Google Scholar] [CrossRef]
- Zhang, T.; Xue, Q.; Wei, M. Leachability and stability of Hexavalent-Chromium-Contaminated soil stabilized by ferrous sulfate and calcium polysulfide. Appl. Sci. 2018, 8, 1431. [Google Scholar] [CrossRef] [Green Version]
- Su, C.; Li, L.; Yang, Z.; Chai, L.; Liao, Q.; Shi, Y.; Li, J. Cr(VI) reduction in chromium-contaminated soil by indigenous microorganisms under aerobic condition. Trans. Nonferr. Metal. Soc. 2019, 29, 1304–1311. [Google Scholar] [CrossRef]
- Shen, B.; Wang, X.; Zhang, Y.; Zhang, M.; Wang, K.; Xie, P.; Ji, H. The optimum pH and Eh for simultaneously minimizing bioavailable cadmium and arsenic contents in soils under the organic fertilizer application. Sci. Total Environ. 2020, 711, 135229. [Google Scholar] [CrossRef]
- Rendina, A.; Josefina Barros, M.; Fabrizio De Iorio, A. Changes in the speciation, partitioning and phytoavailability of chromium induced by organic soil amendments. Chem. Speciat. Bioavailab. 2011, 23, 53–60. [Google Scholar] [CrossRef]
Publisher’s Note: MDPI stays neutral with regard to jurisdictional claims in published maps and institutional affiliations. |
© 2022 by the authors. Licensee MDPI, Basel, Switzerland. This article is an open access article distributed under the terms and conditions of the Creative Commons Attribution (CC BY) license (https://creativecommons.org/licenses/by/4.0/).



