Abstract
The use of plant biostimulants is a promising tool to stimulate crop growth and yield, as well as to promote plant defense mechanisms under abiotic stresses. The aim of the present work was to investigate the effect of oligosaccharides and their mode of application (to roots, leaves, or both) on the yield and fruit composition of tomatoes grown under greenhouse conditions. Two set-point temperatures for ventilation were established, resulting in two high-temperature levels, one higher than the other. Oligosaccharins stimulated photosynthesis and improved fruit production at both temperatures, but increased yields were more evident under lower temperature-stress. Treatments that included the application of oligosaccharins to the roots decreased the concentrations of sugars, lutein, lycopene, and most phenolic compounds in the fruit. However, when oligosaccharins were applied via the leaves, the concentration of most of the metabolites of nutritional interest in the fruit did not change. The different effects of oligosaccharins on the concentration of the different compounds may be due to a dilution effect due to increased fruit yield, and/or to the possible role of the biostimulants in reducing the stress situation in tomato plants. The results show that the application of biostimulants such as oligosaccharins can improve tomato yield under stress conditions, with the advantage that they are natural products with no negative effect on the environment.
1. Introduction
The tomato (Solanum lycopersicum L.) is a horticultural crop of great economic value worldwide, and is one of the most widely consumed vegetables. Crop production can be affected by various abiotic stresses, such as water deficit, salinity, and extreme temperatures. Tomato production in south-eastern Spain, and in other semi-arid areas around the world, can be seriously affected by high temperatures during the spring cycle, and also because greenhouses, which often have high temperatures, are extensively used for its cultivation. Issues regarding elevated greenhouse temperatures are common and can severely impact tomato yield due to the deregulation of vital plant functions, which may affect photosynthesis [1] and lead to, among other reactions, the generation of toxic reactive oxygen species (ROS) and oxidative stress [2]. High-temperature stress can cause poor pollen germination and pollen tube development [3], as well as flower abscission [4], leading to fewer fruits. Moreover, high temperatures also affect fruit development and the maturation process [5], resulting in lower fruit weight. Thus, several previous studies have reported decreased tomato production because of high-temperature conditions [6,7].
High temperatures may not only be detrimental to tomato yield, but can also have an effect on fruit composition, either decreasing or increasing some of the primary and secondary metabolites that define the sensory and nutritional quality of the fruit [8,9,10]. In particular, tomato consumption represents one of the main sources of bioactive compounds in the diet, providing positive effects for human health and nutrition. Tomatoes are a source of compounds such as carboxylic acids (including ascorbic acid), carotenoids, (especially lycopene), and β-carotene (precursor of vitamin A), and phenolic compounds, as well as hydroxycinnamic acid derivatives and flavonoids. These compounds promote health due to their antioxidant and anti-inflammatory properties [11,12,13,14]. In particular, lycopene has been associated with reducing the risk of cancer, cardiovascular disease, and macular degeneration [15]. The concentration of all these bioactive compounds in fruits can be affected by environmental conditions. Indeed, both increases and decreases in phenolic and carotenoid compounds under high temperature conditions have been described in the literature for tomatoes, the exact nature of which depended on the intensity of the stress and the specific compound [8,9,10,16]. Considering global climate change and the consequences of increasing temperatures, as well as the increase in world population, new agronomic strategies need to be developed to help meet those challenges. In this regard, a growing interest has recently developed in the use of biostimulants to improve crop development and increase crop tolerance to abiotic stress, reducing the negative effect of this stress on yield and quality. In addition, the application of biostimulants is considered a sustainable, environmentally friendly strategy, and it has been shown to improve plant physiological, metabolic, and nutritional processes to help cope with these stress conditions [17].
Biostimulants, including both microbial and non-microbial categories, are a very heterogeneous group of materials [18,19]. Non-microbial categories include chitosan and other biopolymers [18]. Oligosaccharins, natural oligosaccharides or polysaccharides with a chain of glycoside residues linked by glycosidic bonds, are capable of modulating plant growth and of acting as regulators of the plant response to attack by phytopathogens. They are part of the cell walls of plants and fungi. When a pathogen attacks a plant, it activates the generation of oligosaccharins by means of enzymatic lysis of the cell wall of the attacked plant [20]. Since they induce growth and have developmental effects in plants, even at low concentrations [21], oligosaccharins can be considered biostimulants. Their potential use as regulators of plant growth, defense, and development has been known since the 1980s [22,23,24]. In the specific case of tomatoes, promising results have been obtained with oligosaccharins, which act in the promotion of stem elongation [24], increased plant biomass production [25], and increased yield through foliar application [26]. Although not specifically oligosaccharins, the application of polysaccharide-enriched extracts as biostimulants obtained from seaweed led to an improvement in tomato growth, yield, and quality [27]. In regards to quality parameters and the content of bioactive compounds, there is little information on the effect of pre-harvest application of oligosaccharins on tomato and other fruit and vegetable crops. In grapes, a mixture of pectic oligosaccharides (Pectimorf®) led to an increase in fruit color intensity and anthocyanin content [28]. Recently is has also been reported that pre-harvest treatment with chitosan oligosaccharides improved strawberry fruit quality [29].
The promising results obtained with oligosaccharins in relation to crop yield point to the need for information on their effect on the physicochemical parameters and bioactive compounds which determine fruit quality. Moreover, it would also be useful to determine whether the application of oligosaccharins could improve yield and fruit quality under high-temperature stress conditions. Taking all this into consideration, the aim of the present work was to gain new knowledge to develop sustainable cultivation strategies under abiotic stress conditions. Specifically, this study evaluates the effect of oligosaccharins as biostimulants and the method of application (to the roots, leaves, or both) on tomato yield and fruit composition, including bioactive compounds, under high-temperature conditions.
2. Materials and Methods
The experiment was carried out in a greenhouse located in the Instituto Murciano de Investigación y Desarrollo Agrario y Medioambiental (IMIDA) in La Alberca (Murcia, Spain) from December to July 2019. The polycarbonate tunnel greenhouse was divided into two 40 m2 compartments (C1 and C2), equipped with zenithal and perimeter windows and a thermal screen (TEMPA 5557 D). Tomato seedlings (Solanum lycopersicum L. cv. Marenza) were transplanted into 20 L black plastic pots containing a mixture of peat and perlite (80:20). Irrigation was carried out with an automatic drip irrigation system with Hoagland nutrient solution containing 14 N, 6 K, 4 Ca, 2 P, 1 S, and 1 Mg (mM) and 50 Cl, 25 B, 2 Mn, 2 Zn, 0.5 Cu, 0.5 Mo, and 20 Fe (μM). During the experimental period, plants were pruned by removing the side shoots, and pollination was carried out by hand.
The application of two commercial biostimulants (Nurseed® and Nurspray® from the Fyteko Company, Brussels, Belgium) to tomato plants was studied under Mediterranean greenhouse conditions during a spring-summer growing cycle. Both biostimulants were oligosaccharins, derived from enzymatically modified plant polysaccharides and differing in their presentation and mode of application. Nurseed® is a biostimulant in liquid form deigned for root application and with an active molecule concentration of 10 g L−1. Nurspray® is also a liquid product formulated for foliar application, with a concentration of 0.15 g L−1. Four different biostimulant treatments were carried out: a control (C) with no biostimulant application, a root application of Nurseed® (O-R), a foliar application of Nurspray® (O-L), and the combination of both applications (O-R + L). For the root treatments of the Nurseed biostimulant (O-R and O-R + L), the product was applied with irrigation at a dose of 1 mg L−1 and a volume of 10–15 mL plant−1 in each application. In the foliar treatments (O-L and O-R + L), Nurspray was applied by spraying with a solution of 0.6 mg L−1 and a volume of 5–15 mL plant−1 in each application, depending on the size of the plant. Root and foliar applications were made every three weeks, 40, 59, 79, 122, 146, and 160 days after transplant (DAT). The biostimulant treatments were combined with two different temperature conditions, one in each greenhouse compartment (C1 and C2), as follows: in both, tomato plants were grown under the same conditions until 125 DAT, at which time, different temperature conditions were imposed in each compartment by activating ventilation when the temperature exceeded 20 °C or 28 °C (temperature set-points) for C1 and C2, respectively. As a result, the average temperature in C1 was 21–24 °C from April to June, with a maximum temperature of 38 °C. The temperature in C2 was generally 5–7 degrees higher than in C1, with an average temperature of 23–26 °C and a maximum of 41 °C. Thus, plants in C1 and C2 were grown under high temperature conditions characteristic of a semi-arid climate during the spring-summer season, the more severe stress corresponding to compartment C2. The temperatures during the growing period in C1 and C2 are presented in Supplementary Figure S1. In each compartment, the four biostimulant treatments were distributed in a randomized block design with 2 blocks per treatment and six plants per block (12 plants per treatment in each compartment).
The effect of treatments and compartment-specific conditions on gas exchange parameters, net CO2 assimilation rate (net photosynthesis) (AN), stomatal conductance (gs) and transpiration (E) was measured at 163 DAT using a LI-6400XT portable photosynthesis meter equipped with a broadleaf chamber (6 cm2). All measurements were taken at a reference CO2 concentration of 400 µmol mol−1 and at a saturating photosynthetic photon flux of 1500 µmol m−2 s−1 supplied by a red/blue light source (6400-02B LED). Intrinsic (WUEi) water use efficiency values were calculated as the AN/gs ratio.
Tomato fruits from each plant were individually weighed to determine total production, fruit number, and mean fruit weight. For the determination of quality parameters, each replicate consisted of ten fruits from two plants, collected from trusses 3, 4, and 5 at the full red ripening stage between 145 and 175 DAT. The fruits with no homogeneous color or with defects were discarded. The ripening stage was supervised daily to avoid over-ripening.
The ten fruits from the same replicate were cut into small pieces, mixed and homogenized. This was considered a replicate (six replicates for each treatment). Half of the homogenate was frozen at −80 °C for the subsequent analysis of sugars, organic acids, vitamin C, individual phenolic compounds, and carotenoids. After centrifugation, the other half was used to determine total soluble solids (TSS) and total acidity.
Total soluble solids were determined by refraction index (expressed as ºBrix) with a digital refractometer (Pocket Model PAL-1, Atago, Tokyo, Japan), with automatic temperature compensation. Acidity was determined by automatic titration (702 SM Titrino, Metrohm, Herisau, Switzerland) with NaOH 0.1 N and given as g citric acid per L of juice.
Soluble sugars and organic acids were extracted with water and analyzed in an Agilent 1100 liquid chromatograph (HPLC) (Waldbronn, Germany) equipped with a refraction index detector and a CARBOSep CHO-682 LEAD column with ultra-pure water as the mobile phase at a flow rate of 0.4 mL min−1. Organic acids were analyzed according to Flores et al. [30] by liquid chromatography (Agilent 1200; Agilent Technologies, Santa Clara, CA, USA) using a triple quadrupole mass spectrometer detector (HPLC-MS-MS).
Phenolic compounds were extracted with methanol:formic acid (97:3) and identified as described by Vallverdú-Queralt et al. [31]. The analysis was carried out by HPLC-MS-MS according to Flores et al. [32]. Phenolic compounds were quantified against their corresponding standards, purchased from Sigma–Aldrich. When standards were not available, quantification was performed against the corresponding isomers, hydroxy-cinnamic acid or aglycone. The LC-QqQ analysis led to the identification of 18 compounds, which were grouped into different families: total flavanones (calculated as the sum of naringenin and naringenin-O-hexoside), total flavonols (the sum of rutin-O-hexoside and kaempferol-3-O-rutinoside), hydroxycinnamic acids (sum of chlorogenic isomers, p-coumaric, ferulic, ferulic acid-O-hexoside isomers, caffeic and caffeic acid-O-hexoside isomers), phloretin-C-diglucoside, and homovanillic acid-O-hexoside.
Total vitamin C was analyzed according to Fenoll et al. [33] using HPLC-MS-MS. Carotenoids were extracted according to the method of Böhm [34] using β-apo-8′-carotenal as the internal standard and determined using a Hewlett–Packard HPLC 1200 system (Waldbronn, Germany) equipped with a UV-visible photodiode array detector, according to Hernández et al. [16]. The main compounds were quantified using commercially available external standards of carotenoids (DHI LAB, Hoersholm, Denmark). For SST, acidity, and all metabolites, each sample was analyzed in triplicate.
The results were statistically analyzed by IBM SPSS Statistic 25 using analysis of variance (ANOVA) and Duncan’s multiple range test for differences between means.
3. Results and Discussion
3.1. Gas Exchange Parameters
The rate of net photosynthesis increased significantly (19–36%) with the different applications of oligosaccharins in both the C1 and C2 compartments (Table 1). When treatments were applied to the root (O-R) or to both root and leaves (O-R + L), the increase in net photosynthesis (AN) correlated with a significant increase in transpiration (E) and stomatal conductance (gs). By contrast, in O-L treatment, the increase in net photosynthesis compared with the control was not due to stomatal opening. Photosynthesis in plants involves a series of interconnected biological processes: CO2 transport and several biochemical reactions in the chloroplast thylakoid membrane, stroma, mitochondria, and cytosol of the cell. These biophysical and biochemical processes, along with environmental variables such as light and temperature, ultimately determine the rate of net CO2 assimilation [35]. In particular, high temperatures cause morphological, physiological, and biochemical alterations that affect photosynthesis, and thus reduce plant growth and productivity [36,37]. Under these heat stress conditions, plants show cellular and metabolic responses, including changes in the organization of cellular structures, organelles, and cytoskeleton and membrane functions [38]. The higher values of intrinsic water use efficiency (WUEi) observed in the control and O-L treatments compared to those found in the treatments that involved the application of oligosaccharins via the roots (O-R and O-R + L) suggest the existence of a mechanism, other than stomatal opening, that helps plants to adapt to the specific conditions of the greenhouse. Despite the similar WUEi values found in the control and O-L treatments, the application of biostimulants to the leaves increased the net photosynthesis value compared with the control.
Table 1.
The net photosynthesis (AN, µmol CO2 m−2 s−1), stomatal conductance (gs, mol m−2 s˗1), transpiration (E, mmol m−2 s−1), and intrinsic water use efficiency (WUEi, µmol CO2 mol−1) of plants grown under different biostimulant treatments—control (C), root application (O-R), foliar application (O-L), and both applications (O-R + L), and temperature stress conditions—(C1 and C2). Values are means (n = 6).
3.2. Yield Parameters
The increase in the photosynthetic rate after all the oligosaccharin treatments was accompanied by a significant increase in tomato yield compared with the control (Table 2), due to a slight increase in fruit number and average fruit weight. Although the effect of oligosaccharins was not significant in either of these parameters, the combination of both led to significantly higher production. Total production was lower under higher temperature stress (C2 conditions) than under C1 conditions. The results reported by Botella et al. [8] showed that the reduction in tomato yield because of high temperature conditions (35 °C maximum) was due to a reduction in fruit weight. By contrast, in this study, the reduction in yield because of the increased temperature in C2 compared with C1 was associated with a reduction in fruit number. The difference in the results of both studies is probably due to the more limiting conditions of the present study, which would have led to impaired pollen germination and/or flower abscission [3,4].
Table 2.
The total fruit yield (kg plant−1), fruit number, mean fruit weight (g), total soluble solids (TSS, °Brix), and total acidity (g citric acid L−1) of fruits grown under different biostimulant treatments—control (C), root application (O-R), foliar application (O-L) and both applications (O-R + L), and temperature stress conditions—(C1 and C2). Values are means (n = 6).
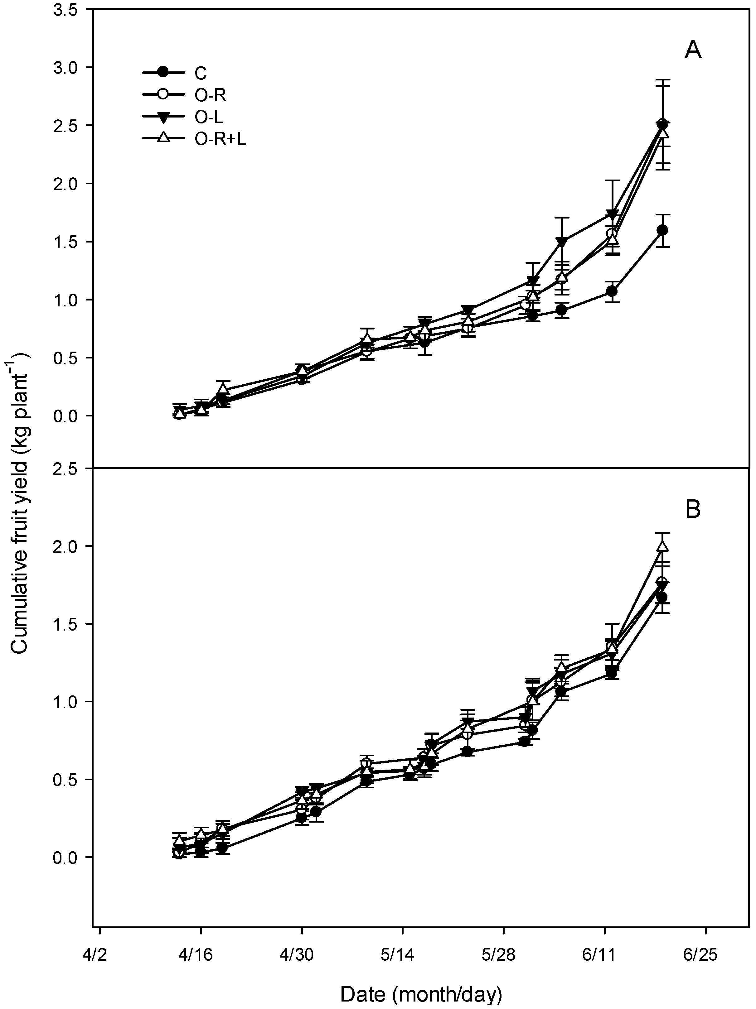
Total cumulative production over the growing season is presented in Figure 1. In compartment C1, a significant increase in production over the control was observed due to the oligosaccharin treatments from the 1 June for O-L treatment (p < 0.05) and from the 5 June for O-R and O-R + L treatments (p < 0.05) (Figure 1A). The final total production (19 June) was significantly increased by 52–58% for all oligosaccharin treatments compared with the control. Under C2 conditions (maximum daytime temperatures 5–7 °C higher than in compartment C1 from 125 DAT), the combined application to roots and leaves (O-R + L) produced the highest yield increase compared with the control (19%), although this increase was lower than that achieved by the same treatment under C1 compartment conditions (Table 2). Differences between control and biostimulant treatments were only significant (p < 0.05) at the end of the growing season (Figure 1B). A previous study under non-stress conditions indicated that oligosaccharide application increased tomato yield, size, and mean weight and quality [39]. Similarly, treatments with polysaccharide-enriched extracts increased the yield, fruit number, and mean fruit weight in tomato plants [27]. Our results indicate that the application of oligosaccharins can also contribute to increased tomato yield under high-temperature conditions, although the beneficial effect of these biostimulants may be reduced under more extreme high-temperature conditions.
Figure 1.
The cumulative fruit yield in plants grown with different biostimulant treatments—control (C), root application (O-R), foliar application (O-L) and both applications (O-R + L), and the specific temperature stress conditions of compartments C1 (A) and C2 (B). Values are means ± standard error (n = 12).
3.3. Fruit Organoleptic Properties
TSS and acidity were affected by oligosaccharins application, and an interaction was found between the different treatments and the level of temperature stress, according to ANOVA (Table 2). Under the lowest temperature stress (C1), TSS significantly decreased when oligosaccharins were applied to the root (O-R), or to both the root and leaves (O-R + L), by 21% and 17%, respectively, and no effect of foliar application (O-L) was observed (Figure 2A). Similarly, acidity decreased with the same treatments by 18% (O-R) and 10% (O-R + L), and did not change with foliar application (Figure 2B). Pre-harvest factors that increase tomato yield usually lead to a decrease in fruit metabolite concentration due to a lower source/sink ratio (dilution effect) [40,41]. Similarly, a dilution effect as a result of higher fruit yield may explain the decrease in TSS and acidity observed in the O-R and O-R + L treatments. Interestingly, however, when oligosaccharides were applied through the leaves (O-L), these quality parameters were maintained, despite the increase in fruit yield. Under the highest level of temperature stress (C2), foliar application of biostimulants (O-L) was the only treatment that significantly affected TSS and acidity, causing an increase in both parameters (16% and 14%, respectively) compared with the control. Previously, it has been reported that the foliar application of oligosaccharides in tomatoes increased TSS and acidity [39]. However, in our experimental conditions, this was only observed under the highest temperature stress (C2). Therefore, it seems that the application of oligosaccharins as biostimulants to the leaves under high-temperature stress favors TSS accumulation and increase acidity. Furthermore, the present results show the influence of different variables (mode of application and intensity of heat stress) on the biostimulant effect of oligosaccharins on fruit production and quality.
Figure 2.
The effect of interaction between biostimulant treatments—control (C), root application (O-R), foliar application (O-L), and both applications (O-R + L), and heat stress intensity—(C1 and C2)—on total soluble solids (TSS, °Brix) (A) and total acidity (g citric acid L−1) (B). Values are means ± standard error (n = 6). For each compartment, different letters indicate significant differences between means according to Duncan’s multiple range test at the 5% level.
Soluble sugars and organic acids are important for tomato quality, as they affect sweetness, sourness, and flavor intensity [27,42]. The data for glucose and fructose concentrations support and correlate with the previous results obtained for TSS. Thus, a significantly positive Pearson’s correlation (p < 0.01) was observed between glucose and TSS and between fructose and TSS. Regarding the different organic acids, citric acid concentrations decreased following the root application of biostimulant (O-R), while no changes were observed in glutamic and malic acid. Higher temperature-stress (C2) significantly decreased fructose and increased citric and malic acid concentrations, and no interaction between temperature and biostimulants was observed (Table 3). As in the case of glucose and fructose, a significant positive correlation (p < 0.01) was found between citric and glutamic acid concentrations and TSS concentration.
Table 3.
The concentration of glucose, fructose, and glutamic, citric, and malic acids (mg g−1 fresh weight) in fruits grown with different biostimulant treatments—control (C), root application (O-R), foliar application (O-L), and both applications (O-R + L), and temperature stress conditions—(C1 and C2). Values are means (n = 6).
3.4. Phenolic Compounds
Among the antioxidant compounds present in tomatoes that determine their functional quality, ascorbic acid (vitamin C) and phenolic compounds are of particular note [43]. The most abundant phenolic compound found in our experiment was homovanillic acid-O-hexoside, followed by flavanones and hydroxycinnamic acids (Table 4).
Table 4.
The concentration of flavanones (Flvones), flavonols (Flvnols), hydroxycinnamic acids (Hydroxy), phloretin-C-diglycoside (Phl-C), homovanillic acid-O-hexoside (Homoval) and vitamin C (Vit C) (µg g−1 fresh weight) in fruits grown under different biostimulant treatments—control (C), root application (O-R), foliar application (O-L) and both applications (O-R + L), and temperature stress conditions—(C1 andC2). Values are means (n = 6).
The concentration of these metabolites in the fruit can be modified because of different external conditions, including high-temperature stress [44]. Under C1 conditions (the lowest temperature stress) the application of oligosaccharins in the root (O-R) reduced the concentration of all the families of phenolic compounds, except flavanones (Table 4 and Figure 3). This reduction was also observed in the concentration of hydroxycinnamic acids, as a consequence of the combined root and leaf oligosaccharin treatment (O-R + L). However, in these C1 conditions, the application of oligosaccharins to the leaves (O-L) did not lead to a decrease in the concentration of any of the phenolic compound families, despite the increase in fruit production observed in this treatment with respect to the control. However, under C2 conditions, with higher temperature than C1, the decrease in the concentration of flavonols (Figure 3A) and homovanillic acid-O-hexoside (Figure 3B) with respect to the control also occurred with the application of oligosaccharins to the leaves (O-L).
Figure 3.
The effect of the interaction between biostimulant treatments—control (C), root application (O-R), foliar application (O-L), and both applications (O-R + L), and heat stress intensity—(C1 and C2) on flavonol (A), homovanillic acid-O-hexoside (B), and phloretin-C-diglycoside (C) concentrations. Values are means ± standard error (n = 6). For each compartment, different letters indicate significant differences between means according to Duncan’s multiple range test at the 5% level.
In regards to the effect of temperature on the concentration of phenolic compounds, some authors reported an increase in specific phenolic compounds under high-temperature conditions [9,10]. In our study, increasing the severity of heat stress (C2 vs. C1) increased the concentration of flavanones and hydroxycinnamic acids in all treatments. This was also the case for flavonols (Figure 3A), homovanillic acid-O-hexoside (Figure 3B), and phloretin-C-diglucoside (Figure 3C) in the control treatment and when oligosaccharins were applied to the root (O-R); this was also observed in the case of phloretin-C-diglucoside following foliar application (O-L). However, in the case of flavonols and homovanillic acid-O-hexoside, the application of oligosaccharins to the leaves (O-L) and to the roots and leaves (O-R + L) prevented this increase, as did the combined treatment (O-R + L) in the case of phloretin-C-diglucoside. In summary, oligosaccharin treatments tend to decrease the concentration of the different families of phenolic compounds, depending on the form of application and temperature conditions. The fact that phenolic compounds, which normally increase under stress conditions, did not increase, or even decrease with the application of oligosaccharins, together with the increase in fruit production, may indicate that those biostimulants are able to reduce the effect of the stress situation in tomato plants. From a nutritional point of view, the possible negative impact of oligosaccharin treatments on the concentration of health-promoting antioxidants in the fruit could be avoided by foliar application of these biostimulants if the heat-stress conditions are not too severe.
3.5. Vitamin C
Vitamin C decreased by 7.5–9.2% due to the application of all the oligosaccharin treatments (Table 4). There is little information on the effect of pre-harvest application of oligosaccharins on the concentration of different metabolites in fruit. In strawberries, pre-harvest spray application of chitosan oligosaccharides resulted in the accumulation of antioxidant compounds in the fruit, including vitamin C, thus improving its nutritional quality, although no information was given on the effect of the treatments on fruit yield [29]. The decrease in vitamin C observed in tomatoes could be partly attributed to the increase in production observed in plants treated with oligosaccharins, which could have led to a dilution effect due to a decrease in the source/sink ratio, similar to the effect observed on TSS, acidity, and soluble sugars. In addition, the decrease in the concentration of vitamin C following the application of biostimulants could be attributed to a possible lower accumulation of this compound due to an alteration of the plant’s response mechanisms to stress. Regarding temperature increase, vitamin C concentrations decreased by 7.9% under C1 conditions compared with plants grown in compartment C2 (Table 4). According to Hernández et al. [16], ascorbate accumulation in fruit is limited under high temperature conditions, depending on the stage of fruit development and the time of exposure to stress. This decrease was partly attributed to a reduction in ascorbate synthesis and an increase in its degradation by oxidation, due to increased ascorbate peroxidase and ascorbate oxidase activity and to a decrease in the activity of dehydroascorbate reductase [45].
3.6. Carotenoids
The effect of oligosaccharins on carotenoid concentration depended on the application mode (Table 5 and Figure 4). On the one hand, root application (O-R) decreased lutein in C1 and C2, while the O-R and O-R + L treatments decreased lycopene levels (sum of all-trans- and cis-isomers) in C1. On the other hand, the O-L treatment did not decrease lutein or lycopene compared to the control, and increased β-carotene concentrations in both temperature conditions (C1 and C2).
Table 5.
The concentration of all-trans-β-carotene (β-carot), lutein, and total lycopene (sum of all-trans- and cis-isomers, (Lycop) (µg g−1 fresh weight) in fruits grown under different biostimulant treatments—control (C), root application (O-R), foliar application (O-L), and both applications (O-R + L), and temperature stress conditions—(C1 and C2). Values are means (n = 6).
Figure 4.
The effect of the interaction between biostimulant treatments—control (C), root application (O-R), foliar application (O-L), and both applications (O-R + L), and heat stress intensity—(C1 and C2) on total lycopene (sum of all-trans- and cis-isomers) concentration. Values are means ± standard error (n = 6). For each compartment, different letters indicate significant differences between means ac-cording to Duncan’s multiple range test at the 5% level.
The effects of temperature differed according to the compound studied. At the higher temperature stress (C2), lutein increased and β-carotene and lycopene decreased in all oligosaccharin treatments, except for lycopene in the O-R treatment. Similar to the results obtained for phenolic compounds, the increase in production observed with the application of oligosaccharins to the roots alone or combined (O-R and O-R + L) was accompanied by a decrease in the concentration of carotenoids (lutein, lycopene, or both) in the fruit. However, when oligosaccharins were applied to the leaf (O-L), this decrease was not observed, but the concentration of β-carotene increased despite the increase in yield. These results indicate that metabolic channeling between the different branches of the isoprenoid biosynthetic pathway as a result of oligosaccharin treatments depends on both the mode of application of the oligosaccharins and their interaction with temperature.
4. Conclusions
Under the usual high-temperature conditions found in semi-arid climates for crop production in greenhouses, the application of oligosaccharides to tomato plants stimulated CO2 fixation through different mechanisms, depending on the mode of application. The biostimulant effect of these compounds resulted in an increase in yield, especially under the more moderate stress conditions. The effect of the treatments on fruit composition depended mainly on the mode of application, but it also depended on the severity of the stress. While the root application of oligosaccharins tended to decrease the concentration of sugars, lutein, lycopene, and most families of phenolic compounds, foliar application did not modify the concentration of most of the metabolites of nutritional interest in the fruit. The differential effect of oligosaccharins on the concentration of the different compounds could be attributed to a dilution effect (as a result of yield increase) and/or to the possible role of biostimulants in reducing the stress situation in tomato plants. In summary, oligosaccharins could be used as an eco-friendly tool to improve tomato yield under stress conditions. From a quality point of view, the possible negative impact of oligosaccharin treatments on the concentration of health-promoting antioxidants in the fruit could be minimized by foliar application.
Supplementary Materials
The following is available online at https://www.mdpi.com/article/10.3390/agronomy12040802/s1, Figure S1: Evolution of temperatures in compartments 1 (C1) and 2 (C2) throughout the growing cycle.
Author Contributions
Conceptualization, P.F. and P.H.; methodology, V.H., P.H. and P.F.; software V.H. and P.F.; validation P.H., M.Á.B. and P.F.; formal analysis, V.H. and E.V.; investigation, V.H., P.H. and P.F.; resources, P.H. and P.F.; data curation, E.V., V.H. and M.Á.B.; writing—original draft preparation, M.Á.B. and P.F.; writing—review and editing, M.Á.B., P.F. and V.H.; visualization, M.Á.B., P.H. and J.F.; project administration, P.F.; funding acquisition, P.F., P.H. and J.F. All authors have read and agreed to the published version of the manuscript.
Funding
This research was funded by FEDER 14-20-22.
Data Availability Statement
Data are available upon reasonable request from the authors.
Acknowledgments
The authors are grateful to Inmaculada Garrido González, María V. Molina Menor, Elia Molina Menor, Juana Cava Artero, Inmaculada Fernández, and Carlos Colomer for technical assistance. The authors would like to thank Fyteko for kindly supplying the biostimulants studied.
Conflicts of Interest
The authors declare no conflict of interest. The funders had no role in the design of the study; in the collection, analyses or interpretation of data; in the writing of the manuscript, or in the decision to publish the results.
References
- Nankishore, A.; Farrell, A.D. The response of contrasting tomato genotypes to combined heat and drought stress. J. Plant Physiol. 2016, 202, 75–82. [Google Scholar] [CrossRef] [PubMed]
- Larkindale, J.; Hall, J.D.; Knight, M.R. Heat stress phenotypes of Arabidopsis mutants implicate multiple signaling pathways in the acquisition of thermotolerance. Plant Physiol. 2005, 138, 882–897. [Google Scholar] [CrossRef] [PubMed] [Green Version]
- Raja, M.M.; Vijayalakshmi, G.; Naik, M.L.; Basha, P.O.; Sergeant, K.; Hausman, J.F.; Khan, P.S.V. Pollen development and function under heat stress: From effects to responses. Acta Physiol. Plant. 2019, 41, 47. [Google Scholar] [CrossRef]
- Camejo, D.; Rodriguez, P.; Morales, A.; Dell’Amico, J.M.; Torrecillas, A.; Alarcon, J.J. High temperature effects on photosynthetic activity of two tomato cultivars with different heat susceptibility. J. Plant Physiol. 2005, 162, 281–289. [Google Scholar] [CrossRef] [PubMed]
- Alsamir, M.; Mahmood, T.; Trethowan, R.; Ahmad, N. An overview of heat stress in tomato (Solanum lycopersicum L.). Saudi J. Biol. Sci. 2021, 28, 1654–1663. [Google Scholar] [CrossRef]
- Adams, S.R.; Cockshull, K.E.; Cave, C.R.J. Effect of temperature on the growth and development of tomato fruits. Ann. Bot. 2001, 88, 869–877. [Google Scholar] [CrossRef]
- Islam, M.T. Effect of temperature on photosynthesis, yield attributes and yield of tomato genotypes. Int. J. Exp. Agric. 2011, 2, 8–11. [Google Scholar]
- Botella, M.A.; Hernandez, V.; Mestre, T.; Hellin, P.; Garcia-Legaz, M.F.; Rivero, R.M.; Martinez, V.; Fenoll, J.; Flores, P. Bioactive compounds of tomato fruit in response to salinity, heat and their combination. Agriculture 2021, 11, 534. [Google Scholar] [CrossRef]
- Gautier, H.; Diakou-Verdin, V.; Benard, C.; Reich, M.; Buret, M.; Bourgaud, F.; Poessel, J.L.; Caris-Veyrat, C.; Genard, M. How does tomato quality (sugar, acid, and nutritional quality) vary with ripening stage, temperature, and irradiance? J. Agric. Food Chem. 2008, 56, 1241–1250. [Google Scholar] [CrossRef]
- Rosales, M.A.; Cervilla, L.M.; Sanchez-Rodriguez, E.; del Mar Rubio-Wilhelmi, M.; Blasco, B.; Rios, J.J.; Soriano, T.; Castilla, N.; Romero, L.; Ruiz, J.M. The effect of environmental conditions on nutritional quality of cherry tomato fruits: Evaluation of two experimental Mediterranean greenhouses. J. Sci. Food Agric. 2011, 91, 152–162. [Google Scholar] [CrossRef]
- Yao, L.H.; Jiang, Y.M.; Shi, J.; Tomas-Barberan, F.A.; Datta, N.; Singanusong, R.; Chen, S.S. Flavonoids in food and their health benefits. Plant Foods Hum. Nutr. 2004, 59, 113–122. [Google Scholar] [CrossRef] [PubMed]
- Slimestad, R.; Verheul, M. Review of flavonoids and other phenolics from fruits of different tomato (Lycopersicon esculentum Mill) cultivars. J. Sci. Food Agric. 2009, 89, 1255–1270. [Google Scholar] [CrossRef]
- Carr, A.C.; Vissers, M.C. Synthetic or food-derived vitamin C are they equally bioavailable? Nutrients 2013, 28, 4284–4304. [Google Scholar] [CrossRef] [PubMed] [Green Version]
- Cory, H.; Passarelli, S.; Szeto, J.; Tamez, M.; Mattei, J. The role of polyphenols in human health and food systems: A mini-review. Front. Nutr. 2018, 5, 87. [Google Scholar] [CrossRef] [PubMed] [Green Version]
- Tan, H.L.; Thomas-Ahner, J.M.; Grainger, E.M.; Wan, L.; Francis, D.M.; Schwartz, S.J.; Erdman, J.W., Jr.; Clinton, S.K. Tomato-based food products for prostate cancer prevention: What have we learned? Cancer Metastasis Rev. 2010, 29, 553–568. [Google Scholar] [CrossRef] [Green Version]
- Hernandez, V.; Hellín, P.; Fenoll, J.; Flores, P. Increased temperature produces changes in the bioactive composition of tomato, depending on its developmental stage. J. Agric. Food Chem. 2015, 63, 2378–2382. [Google Scholar] [CrossRef]
- Rouphael, Y.; Colla, G. Biostimulants in agriculture. Front. Plant Sci. 2020, 11, 40. [Google Scholar] [CrossRef] [Green Version]
- Du Jardin, P. Plant biostimulants: Definition, concept, main categories and regulation. Sci. Hortic. 2015, 196, 3–14. [Google Scholar] [CrossRef] [Green Version]
- Colla, G.; Rouphael, Y. Biostimulants in horticulture. Sci. Hortic. 2015, 196, 1–2. [Google Scholar] [CrossRef]
- Díaz, V.B. Oligosacarinas (Oligosacáridos): Producción Química y Aplicación a Los Cultivos Vegetales, 1st ed.; Autores de Argentina: Buenos Aires, Argentina, 2018. [Google Scholar]
- Falcón-Rodríguez, A.B.; Costales-Mené, D.; González-Peña, F.D.; Nápoles-García, M.-C. Nuevos productos naturales para la agricultura: Las oligosacarinas. Cultiv. Trop. 2015, 36, 111–129. [Google Scholar]
- Albersheim, P.; Darvill, A.; Augur, C.; Cheong, J.J.; Eberhard, S.; Hahn, M.G.; Marfa, V.; Mohnen, D.; Oneill, M.A.; Spiro, M.D. Oliosaccharins-oligosaccharide regulatory molecules. Acc. Chem. Res. 1992, 25, 77–83. [Google Scholar] [CrossRef]
- Darvill, A.; Augur, C.; Bergmann, C.; Carlson, R.W.; Cheong, J.J.; Eberhard, S.; Hahn, M.G.; Lo, V.M.; Marfa, V.; Meyer, B.; et al. Oligosaccharins-oligosaccharides that regulate growth, development and defense responses in plants. Glycobiology 1992, 2, 181–198. [Google Scholar] [CrossRef] [PubMed]
- Cabrera, J.C.; Wegria, G.; Onderwater, R.C.A.; González, G.; Napoles, M.C.; Falcon-Rodriguez, A.B.; Costales, D.; Rogers, H.J.; Diosdado, E.; González, S.; et al. Practical use of oligosaccharins in agriculture. Acta Hortic. 2013, 1009, 195–212. [Google Scholar] [CrossRef]
- Costales, D.; Martínez, L.; Núñez, M. Efecto del tratamiento de semillas con una mezcla de oligogalacturónidos sobre el crecimiento de plántulas de tomate (Lycopersicum esculentum Mill). Cultiv. Trop. 2007, 28, 85–91. [Google Scholar]
- Ruiz, J.; Terry, E.; Tejeda, T.; Díaz, M. Aplicación de bioproductos a la producción ecológica de tomate. Cultiv. Trop. 2009, 30, 60–64. [Google Scholar]
- Mzibra, A.; Aasfar, A.; Khouloud, M.; Farrie, Y.; Boulif, R.; Kadmiri, I.M.; Bamouh, A.; Douira, A. Improving growth, yield, and quality of tomato plants (Solanum lycopersicum L.) by the application of Moroccan seaweed-based biostimulants under greenhouse conditions. Agronomy 2021, 11, 1373. [Google Scholar] [CrossRef]
- Ochoa-Villarreal, M.; Vargas-Arispuro, I.; Islas-Osuna, M.A.; Gonzalez-Aguilar, G.; Martínez-Tellez, A.M. Pectin-derived oligosaccharides increase color and anthocyanin content in flame seedless grapes. J. Sci. Food Agric. 2011, 91, 1928–1930. [Google Scholar] [CrossRef]
- He, Y.; Bose, S.K.; Wang, W.; Jia, X.; Lu, H.; Yin, H. Pre-harvest treatment of chitosan oligosaccharides improved strawberry fruit quality. Int. J. Mol. Sci. 2018, 19, 2194. [Google Scholar] [CrossRef] [Green Version]
- Flores, P.; Hernández, V.; Hellín, P.; Fenoll, J.; Cava, J.; Mestre, T.; Martínez, V. Metabolite profile of the tomato dwarf cultivar Micro-Tom and comparative response to saline and nutritional stresses with regard to a commercial cultivar. J. Sci. Food Agric. 2016, 96, 1562–1570. [Google Scholar] [CrossRef]
- Vallverdu-Queralt, A.; Jauregui, O.; Medina-Remon, A.; Andres-Lacueva, C.; Lamuela-Raventos, R.M. Improved characterization of tomato polyphenols using liquid chromatography/electrospray ionization linear ion trap quadrupole orbitrap mass spectrometry and liquid chromatography/electrospray ionization tandem mass spectrometry. Rapid Commun. Mass Spectrom. 2010, 24, 2986–2992. [Google Scholar] [CrossRef]
- Flores, P.; Hernández, V.; Fenoll, J.; Hellín, P. Pre-harvest application of ozonated water on broccoli crops: Effect on head quality. J. Food Compos. Anal. 2019, 83, 103260. [Google Scholar] [CrossRef]
- Fenoll, J.; Martínez, A.; Hellín, P.; Flores, P. Simultaneous determination of ascorbic and dehydroascorbic acids in vegetables and fruits by liquid chromatography with tandem-mass spectrometry. Food Chem. 2011, 127, 340–344. [Google Scholar] [CrossRef]
- Bohm, V. Use of column temperature to optimize carotenoid isomer separation by C30 high performance liquid chromatography. J. Sep. Sci. 2001, 24, 955–959. [Google Scholar] [CrossRef]
- Sharkey, T.D.; Bernacchi, C.J.; Farquhar, G.D.; Singsaas, E.L. Fitting photosynthetic carbon dioxide response curves for c-3 leaves. Plant Cell Environ. 2007, 30, 1035–1040. [Google Scholar] [CrossRef]
- Wang, W.X.; Vinocur, B.; Shoseyov, O.; Altman, A. Biotechnology of plant osmotic stress tolerance: Physiological and molecular considerations. Acta Hortic. 2001, 560, 285–292. [Google Scholar] [CrossRef]
- Ashraf, M.; Harris, P.J.C. Photosynthesis under stressful environments: An overview. Photosynthetica 2013, 51, 163–190. [Google Scholar] [CrossRef]
- Weis, E.; Berry, J.A. Plants and high temperature stress. Symp Soc. Exp. Biol. 1988, 42, 329–346. [Google Scholar]
- García-Sahagún, M.L.; Martínez-Juárez, V.; Avendaño-López, A.N.; Padilla-Sahagún, M.C.; Izquierdo-Oviedo, H. Acción de oligosacáridos en el rendimiento y calidad de tomate. Rev. Fitotec. Mex. 2009, 32, 295–301. [Google Scholar] [CrossRef]
- Benard, C.; Gautier, H.; Bourgaud, F.; Grasselly, D.; Navez, B.; Caris-Veyrat, C.; Weiss, M.; Genard, M. Effects of low nitrogen supply on tomato (Solanum lycopersicum) fruit yield and quality with special emphasis on sugars, acids, ascorbate, carotenoids, and phenolic compounds. J. Agric. Food Chem. 2009, 57, 4112–4123. [Google Scholar] [CrossRef]
- Hernández, V.; Hellín, P.; Fenoll, J.; Flores, P. Impact of nitrogen supply limitation on tomato fruit composition. Sci. Hortic. 2020, 264, 109173. [Google Scholar] [CrossRef]
- Tigist, M.; Workneh, T.S.; Woldetsadik, K. Effects of variety on the quality of tomato stored under ambient conditions. J. Food Sci. Technol. 2013, 50, 477–486. [Google Scholar] [CrossRef] [PubMed] [Green Version]
- Salehi, B.; Sharifi-Rad, R.; Sharopov, F.; Namiesnik, J.; Roointan, A.; Kamle, M.; Kumar, P.; Martins, N.; Sharifi-Rad, J. Beneficial effects and potential risks of tomato consumption for human health: An overview. Nutrition 2019, 62, 201–208. [Google Scholar] [CrossRef] [PubMed]
- Lokesha, A.N.; Shivashankara, K.S.; Hunashikatti, L.A.G. Effect of high temperature on fruit quality parameters of contrasting tomato genotypes. Int. J. Curr. Microbiol. Appl. Sci. 2019, 8, 1019–1029. [Google Scholar] [CrossRef]
- Rosales, M.A.; Ruiz, J.M.; Hernández, J.; Soriano, T.; Castilla, N.; Romero, L. Antioxidant content and ascorbate metabolism in cherry tomato exocarp in relation to temperature and solar radiation. J. Sci. Food Agric. 2006, 86, 1545–1551. [Google Scholar] [CrossRef]
Publisher’s Note: MDPI stays neutral with regard to jurisdictional claims in published maps and institutional affiliations. |
© 2022 by the authors. Licensee MDPI, Basel, Switzerland. This article is an open access article distributed under the terms and conditions of the Creative Commons Attribution (CC BY) license (https://creativecommons.org/licenses/by/4.0/).



