Abstract
Interspecific interactions and recovery growth play an important role in crop growth, development and ultimately yield in intercropping systems. However, the impact of different water and nitrogen levels on intercropping production, interspecific interactions between intercrops, and the recovery growth of late-maturing crops is still unclear. A two-year field experiment was conducted in Yangling, Shaanxi province, to investigate the dynamics of interspecific interactions, and the effects of interspecific interactions on crop growth and yield. The experiment consisted of three factors, including three cropping systems (wheat/maize intercropping, sole wheat, sole maize), three nitrogen (N) levels and two water applications (supplementary irrigation and rainfed). The results demonstrated that, during the co-growth period, intercropped wheat was more competitive than intercropped maize; so, intercropped wheat showed a yield advantage. Intercropping increased maize yield under irrigated conditions, and this was attributed to the full recovery growth of intercropped maize after wheat harvest. However, rainfed and nil nitrogen aggravated the interspecific competition, and water deficit under maize rows, in turn, limited the recovery growth of intercropped maize, leading to yield reduction. However, compared with sole maize, the yield of intercropped maize decreased, indicating nitrogen deficiency limited the recovery growth of intercropped maize. Among all treatments, the intercropping of medium nitrogen fertilizer with irrigation had the best yield improvement and land use advantages, the total yield of intercropping was 14.8% higher than that of sole cropping, and the land use efficiency increased 16%. These results confirmed that supplementary irrigation and optimal nitrogen application alleviated the interspecific competition, promoted the recovery growth of intercropped maize and improved the yield of wheat/maize intercropping system.
1. Introduction
According to FAO (2017), the global population is projected to rise to around 9 billion by 2050 [1]. To feed the additional two billion people, global food demand is estimated to increase by 60% by the middle of the 21st century [2]. Achieving this goal with limited arable land is a global challenge, especially in regions that smallholder farming is dominant [3]; so it is necessary to select a productive and efficient cropping system. The yield improvement potential and yield stability of an intercropping system has been repeatedly demonstrated [4,5,6,7]. Compared with sole cropping, intercropping has significant advantages, such as better utilizing light, water and nutrient resources [8,9,10,11], improving soil quality [12] and reducing soil erosion [13,14], enhancing crop yield [15,16,17] and greater land use efficiency [18].
Interspecific interactions inevitably occur in the intercropping systems [19], and have a significant effect on the crop growth and grain yield [20,21]. Intercropping usually shows competition at the co-growth period and compensation for the late-maturing crop after the early-maturing crop harvest. Competition usually promotes the growth and yield of the dominant species but at the expense of the subordinate species. For example, alfalfa was more competitive than maize and its productivity dominated the total biomass yields in the alfalfa/maize intercropping system [22]. A previous study showed that barley was the suppressing crop in some barley-based intercropping systems and utilized the resources more aggressively [23]. The above studies mainly focused on the interspecific competition; however, the research on intraspecific competition is scarce. In addition, the calculation of competitive indices in a previous study was calculated based on the biomass at a certain time [24], and this does not reflect the competitive changes in this period, but only represents the competitive potential. We believe that the calculation based on the increase in biomass growth over a period is more scientific and reasonable.
Water is one of the most important factors influencing crop growth and yield [25]. In addition, nitrogen is one of the most important macronutrients controlling the growth and development of green plants [26,27]. It is still not clear whether the interspecific competition can be aggravated by irrigation and nitrogen supply or whether the growth recovery of the late-maturing crop can be improved in the intercropping system. Although increasing attention has been given to the dynamics of interspecific interactions [28,29,30], few studies have addressed different water and nitrogen levels in field conditions.
The aboveground biomass of the late-maturing crop increased rapidly after the early-maturing crop harvest, and this recovery growth is one factor contributing to overyielding for the late-maturing crop [31,32]. This can be explained by the compensation of early maturing crops for late maturing crops. Previous studies focused on the effects of different fertility levels on recovery growth, but the impact of water and nitrogen coupling was rarely studied, water scarcity and large variations in rainfall distribution are the main constraints to agricultural production in northwest China, so irrigation is an important approach to improve crop yield [33]. Therefore, it is necessary to study the recovery growth of the late-maturing crop after the early-maturing crop harvest under different water and nitrogen levels. We hypothesized that appropriate nitrogen and water conditions can reduce competition between intercropped crops, and promote the recovery and growth of late maturing crops in the intercropping system.
In this study, field experiments were conducted in the case of the wheat/maize intercropping system, which is extensively practiced in northwest China. The objectives of the present study were: (1) to analyze the recovery growth of intercropped maize in the wheat/maize intercropping system; (2) to investigate interspecific competition and intraspecific competition in wheat/maize intercropping as a response to different water and nitrogen level treatments; (3) to assess the effects of interspecific interactions on aboveground biomass accumulation, and grain yield of wheat/maize intercropping in all treatments.
2. Materials and Methods
2.1. Site Description
Field experiments were carried out during the 2014–2015 and 2015–2016 growing seasons at the Institute of Water Saving Agriculture in Arid Areas of China, Northwest A&F University, Yangling, Shaanxi Province, in northwest China (108°04′ E, 34°20′ N). There is a frost-free period of 169–200 days, an average annual solar radiation of 2196 h, and an annual average precipitation (55 years) of 585 mm, of which approximately 60–70% falls from July to September. Meteorological data were automatically recorded at a weather station near the experimental field, and average 10-day air temperature and rainfall during the two growing seasons (from wheat sowing to maize harvest) are presented in Figure 1. The soil of the experimental field was a heavy loam, with pH 8.14, field capacity of 23.5%, bulk density of 1.44 g cm−3, organic matter of 11.82 g kg−1, available nitrogen of 51.02 mg kg−1, available phosphorous of 13.57 mg kg−1 and available potassium of 95.32 mg kg−1.
Figure 1.
Mean air temperature and rainfall distributions during the two growing seasons.
2.2. Experiment Design and Crop Management
The field experiment was a randomized block design with 18 treatments and three replicates. The treatments were three cropping systems (wheat/maize intercropping, sole wheat, sole maize), three nitrogen levels (N0: 0 kg ha−1 for wheat and 0 kg ha−1 for maize; N1: 150 kg ha−1 for wheat and 235 kg ha−1 for maize; N2: 300 kg ha−1 for wheat and 470 kg ha−1 for maize, respectively) and two water applications (rainfed and supplementary irrigation).
Each plot had dimensions of 9 m × 10.5 m and were separated by an alley to minimize edge effects and prevent lateral water infiltration. Each intercropped plot consisted of three strips of crop: samples were collected from two strips during the growing season, while grain yield samples at maturity were taken from the third. The width of each strip in the intercropped plots was 3.5 m, and each intercropping stirp was designed with eight rows of wheat (‘wheat strip’ with 160 cm width) and four rows of maize (‘maize strip’ with 190 cm width), such that wheat and maize occupied 45.7% (160/350) and 54.3% (190/350) of the plots, respectively. An inter-row distance was 20 cm for wheat and an inter-row distance of 50 cm and an intra-row distance of 30 cm for maize, and the distance between adjacent wheat and maize rows was 30 cm (Figure 2). The winter wheat (Triticum aestivum L.) cultivar ‘Xiaoyan 22’ and spring maize (Zea mays L.) cultivar ‘Zhengdan 958′ were selected, as they are commonly planted on farms in the surrounding region. Both crops were planted in a north–south row orientation, where wheat was planted at a seeding rate of 180 kg ha−1 and maize was planted at three seeds per hole that were later thinned at the three-leaf stage to a final density of 6.67 plants m−2. In all treatments, winter wheat was sown on 18 October 2014 and 9 October 2015, and harvested on 15 June 2015 and 15 June 2016, respectively; spring maize was sown on 12 April 2015 and 15 April 2016, and harvested on 18 August 2015 and 22 August 2016, respectively.
Figure 2.
Diagrammatic representation of the field experiment: (A) sole wheat, (B) sole maize, (C) wheat/maize intercrop. (|): rows of wheat, (×): maize plants.
The fore-crop of the tested plants is maize. Prior to wheat sowing, full doses of nitrogen (as urea), phosphorus (ordinary superphosphate, 180 kg ha−1) and potassium (potassium sulfate, 39 kg ha−1) were applied by evenly spreading and incorporating into the soil in sole cropped and intercropped wheat using a spade. For maize, full doses of phosphorus, potassium and half doses of nitrogen were used as basal fertilizer, and the remaining 50% N was applied equally at the V6 and VT stage in maize, following the local management practices. Maize growth stages were defined based on Ritchie and Hanway [34]. In the supplementary irrigation treatment plots, wheat was irrigated at the over-wintering and jointing stages, and maize was irrigated at the elongation, tasseling and filling stages over the two growing seasons. During the growing season, all crops were kept free of weeds by hand hoeing, where necessary. Crops were applied with pesticides to control pests and diseases when needed.
2.3. Measurements and Methods
2.3.1. Plant Height and Leaf Area Index (LAI)
The plant height and LAI of maize were measured after emergence at the critical period including V3, V6, V9, V12, V15, R1, R2 and R3. Plant height, leaf length and width were measured by a flexible measuring tape. Before the tasseling stage, plant height was defined as the distance from the ground level to the highest point of the natural extension of the leaves; after the tasseling stage, plant height was defined as the distance from the ground level to the top of the tasseling. The total leaf area per plant was determined. Leaf length was measured from the tip of the leaf to the leaf collar. Leaf maximum width was measured as the widest region of the leaf. The leaf area of each leaf blade was calculated as the product of leaf length, leaf maximum width and a coefficient of 0.7 [35]. The LAI refers to the ratio of total area of leaves on a unit of land area.
2.3.2. Aboveground Biomass Measurement
Plant samples were collected for aboveground biomass determination at intervals of 7–15 days after emergence. Wheat plants were cut to ground from 0.3 m sections (0.3 m long times eight rows) both in the intercropped plots and the sole cropping plots. At the first sampling time for maize, intercropped maize was collected from both the border (five plants) and inner rows (five plants) to reflect the whole intercropping performance, in total ten plants, and ten plants in the monocrop and cut to the ground to obtain sufficient plant material; for subsequent sampling, six plants were selected for each sampling occasion both in the intercropping and sole cropping plots. Biomass samples were oven-dried at 105 °C for 30 min to kill the tissues and then at 75 °C, until a constant mass was maintained.
2.3.3. Yield Measurement
To assess grain yields, sole wheat and intercropped wheat were harvested from 4.8 m2 of each plot (three meters length times eight rows). The grain yields of maize were determined by harvesting all plants at maturity within a sampling area of 6 m2 (three meters length times four rows) at the center of each plot. The grains were sun-dried and weighed after threshing by hand.
2.3.4. Soil Water Content
Soil water content data were measured gravimetrically and collected at every 10 cm interval down to 100 cm. It was sampled at wheat maturity. In the intercropping system, the sampling points were located at the center of the wheat strip, between the second border row and the third border row, at the center of the maize strip, between the border row and the inner row, and between the wheat and maize strips. The mass water content of the soil samples was calculated on the basis of oven-dried weights (dried at 105 °C). Volumetric water content is mass water content multiplied by soil bulk density.
2.4. Data Calculation
2.4.1. Land Equivalent Ratio (LER)
The advantage of intercropping was evaluated using the land equivalent ratio (LER) calculated as follows [36]:
where and are the yields of wheat and maize in the intercrop (t ha−1), respectively; and and are the yields of sole wheat and sole maize (t ha−1), respectively. and are the sown proportion of wheat and maize in intercropping, respectively. An LER greater than 1.0 indicates that intercropping favors the growth and yield of the crops, whereas values less than 1.0 indicate intercropping negatively affects the growth and yield of the crops.
2.4.2. Competition Indices
(1) Aggressivity (A)
Aggressivity is used to indicate how much the relative yield of one crop component is greater than that of the other [37]. Although the cumulative aboveground biomass of crops was used to calculate the aggressivity, we predicted that using the aboveground biomass change in a given time interval (t2–t1) was better to evaluate the relative performance of wheat compared with maize. Here, the aggressivity of wheat relative to maize compared the difference value in total aboveground biomass in a given time interval (t2–t1) of wheat relative to maize. Additionally, the Aw was calculated as:
where and are the aboveground biomass of sole wheat at time t2 and t1, respectively; and are the aboveground biomass of sole wheat at time t2 and t1, respectively; and are the aboveground biomass of sole wheat at time t2 and t1, respectively; and are the aboveground biomass of wheat in intercropping at time t2 and t1, respectively. and are the sown proportion of wheat and maize in intercropping, respectively. When is equal to zero, wheat and maize are equally competitive in intercropping; when is positive, the intercropped wheat is more competitive than intercropped maize and wheat is dominant in intercropping, and vice versa.
(2) Relative competition intensity (RCI)
Relative competition intensity (RCI) is used to compare the competitive ability of different plants [24]. In this study, RCI was calculated as:
where and are the aboveground biomass of sole wheat at time t2 and t1, respectively; and are the aboveground biomass of sole wheat at time t2 and t1, respectively; and are the aboveground biomass of sole wheat at time t2 and t1, respectively; and are the aboveground biomass of wheat in intercropping at time t2 and t1, respectively. and are the sown proportion of wheat and maize in intercropping, respectively. If RCI = 0, the interspecific competition equals the intraspecific competition, and if RCI > 0, then interspecific competition is higher; if RCI < 0, then the intraspecific competition is higher.
2.5. Statistical Analysis
All statistical analysis was carried out using IBM SPSS V22.0 (Somers, NY, USA). The main and interaction effects of three factors (cropping pattern, nitrogen application and water treatments) on wheat and maize yield were determined with ANOVA analysis. Differences of growth index (RCI) among different N levels (at the same water treatment) and between different water treatments (at the same nitrogen level) were determined with one-way ANOVA analysis. In this paper, all the differences were decided at 0.05 level in ANOVA.
3. Results
3.1. Effects of Interspecific Interaction on Aboveground Biomass Dynamics
3.1.1. Wheat
There was little difference in the dynamics of aboveground biomass among different treatments until 195 days after wheat sowing, and, subsequently, a divergence occurred between sole wheat and intercropped wheat, and between two water treatments in the same cropping system (Figure 3). The aboveground biomass of intercropped wheat was significantly greater than that of sole wheat, regardless of water and nitrogen levels. Supplementary irrigation significantly increased the aboveground biomass for both the sole wheat and intercropped wheat compared with rainfed. At the final harvest, the intercropped wheat under rainfed was greater than the sole wheat with irrigation at N1 and N2 level. At the final sampling, compared with sole wheat, the two-year average aboveground biomass of intercropped wheat under supplementary irrigation increased by 18.8% under N2, 24.9% under N1 and 11.9% under N0, respectively; under rainfed that increased by 17.9%, 25.4%, 24.4% under N2, N1 and N0, respectively (Figure 3).
Figure 3.
Dynamics of wheat aboveground biomass in sole cropping and intercropping under different water and nitrogen levels in two growing seasons 2014−2015 (A–C) and 2015−2016 (D–F). The values of the aboveground biomass were calculated on an equivalent basis of land area comparable with the sole cropping. Vertical bars indicate the standard deviation. SW−sole wheat; IW−intercropped wheat; SI−supplementary irrigation; RF−rainfed. N0: 0 kg ha−1 for wheat and 0 kg ha−1 for maize; N1: 150 kg ha−1 for wheat and 235 kg ha−1 for maize; N2: 300 kg ha−1 for wheat and 470 kg ha−1 for maize, respectively. The left column was in 2014−2015, and the right column was in 2015−2016.
3.1.2. Maize
There was little difference at the initial growth stage before wheat harvest. After wheat harvest, divergence occurred in maize aboveground biomass between intercropping and sole cropping, and between the two water treatments. The growth rate (the linear slope) of intercropped maize was greater than that of sole maize at the late growth stage at N1 and N2 levels under supplementary irrigation condition (about one month after wheat harvest) (Figure 4A,B,D,E). At the final sampling, the average aboveground biomass of two years in intercropped maize was 2.4% (Figure 4A,D) and 2.6% (Figure 4B,E) greater than that of sole maize under N2 and N1 with irrigation, respectively. In contrast, the growth rate was similar or lower in intercropped maize than that of sole maize under N0 under supplementary irrigation and all nitrogen levels under rainfed treatments. Finally, the dry biomass of intercropped maize was 23.3%, 19.8% and 18.2% less than the value of sole maize at N2, N1 and N0 under rainfed, respectively (Figure 4A,D).
Figure 4.
Dynamics of maize aboveground biomass in sole cropping and intercropping under different water and nitrogen levels. The values of the aboveground biomass were calculated on an equivalent basis of land area comparable with the sole cropping. Vertical bars indicate the standard deviation. SM−sole maize; IM−intercropped maize; SI−supplementary irrigation; RF−rainfed. The left column was in 2014−2015 (A–C), and the right column was in 2015−2016 (D–F).
3.2. Dynamics of Plant Height and LAI of Maize
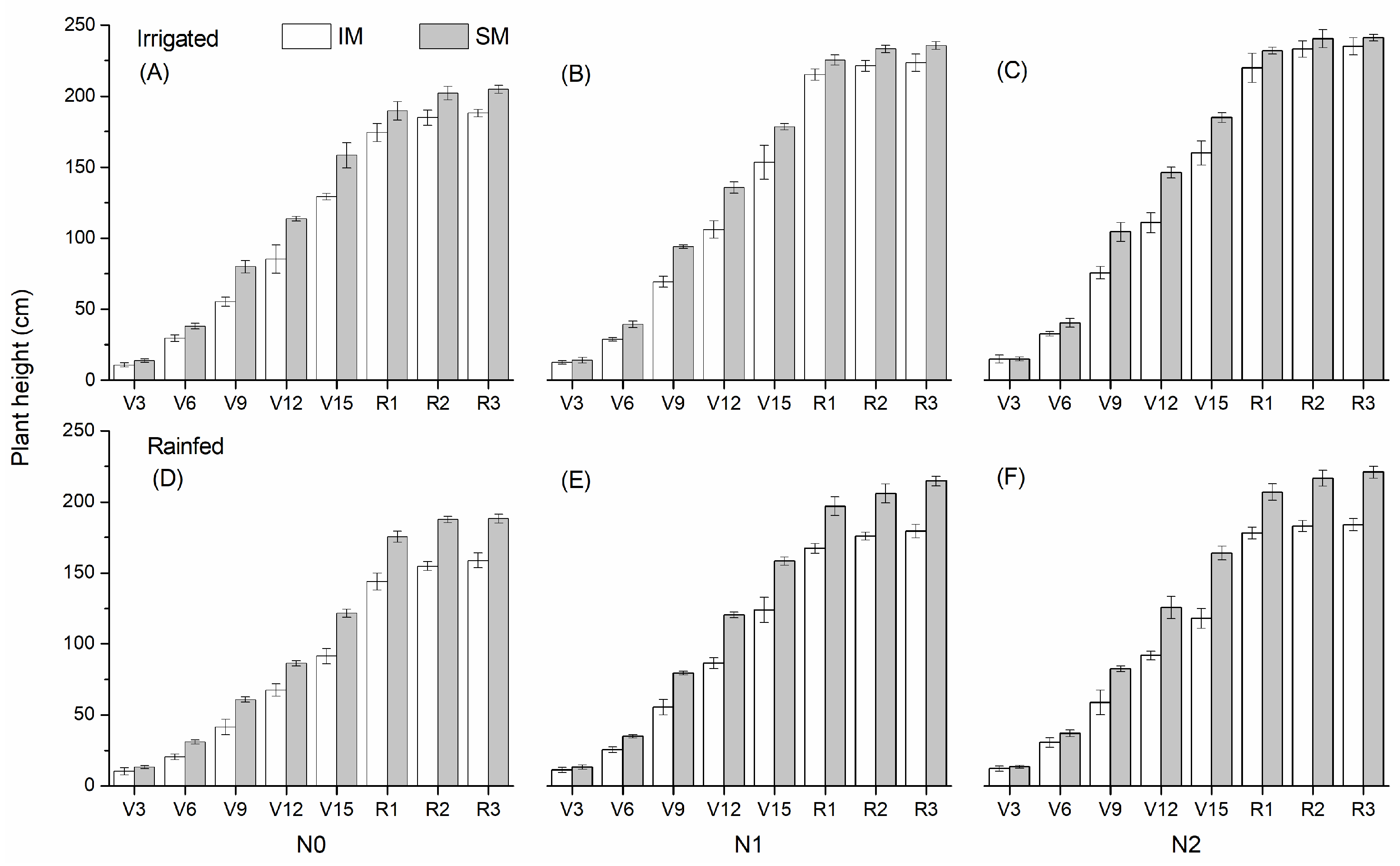
The plant height and LAI of intercropped maize had a similar pattern to that of sole maize in 2016 (Figure 5 and Figure 6). The plant height and LAI of maize in all treatments reached the maximum during early July (R2 period for plant height, R1 period for LAI). The plant height of the intercropped maize was always lower than that of sole maize during the whole growth period. Before wheat harvest (from V3 to V15), the plant height of intercropped maize at N0, N1 and N2 levels was 24%, 20% and 17% lower than that of the corresponding sole maize under irrigated conditions, correspondingly 27%, 24% and 22% lower under rainfed conditions.; after wheat harvest (from R1 to R3), the plant height of intercropped maize grew rapidly; under the irrigated conditions, the plant height of intercropped maize under N0, N1 and N2 conditions was only 8%, 5% and 4% lower than that of sole maize, correspondingly 17%, 15% and 11% lower under rainfed conditions. Under the same nitrogen level, the plant height of the intercropped maize under irrigated conditions was significantly higher than that under rainfed conditions. Under the same water conditions, the plant height of intercropped maize at N1 and N2 were significantly higher than at N0, but the difference between N1 and N2 was not significant (Figure 5). These trends were similar in 2015 (data not shown).
Figure 5.
Dynamics of maize plant height in monocropping and intercropping under different water and nitrogen treatments. SM−sole maize; IM−intercropped maize; SI−supplementary irrigation; RF−rainfed. N0 (A,D): 0 kg ha−1 for wheat and 0 kg ha−1 for maize; N1 (B,E): 150 kg ha−1 for wheat and 235 kg ha−1 for maize; N2 (C,F): 300 kg ha−1 for wheat and 470 kg ha−1 for maize, respectively.
Figure 6.
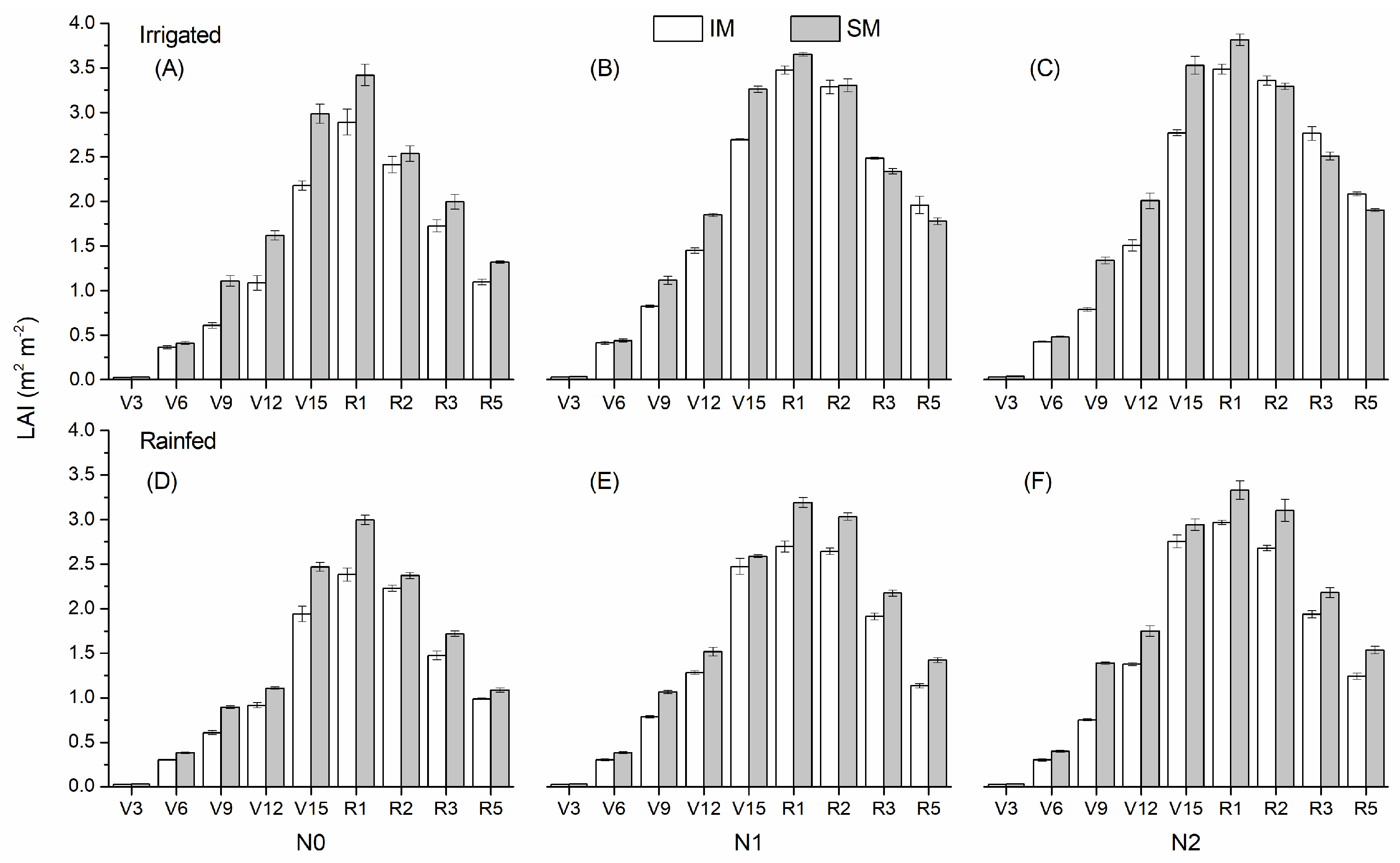
Dynamics of maize LAI in sole cropping and intercropping under different water and nitrogen levels. SM−sole maize; IM−intercropped maize; SI−supplementary irrigation; RF−rainfed. N0 (A,D): 0 kg ha−1 for wheat and 0 kg ha−1 for maize; N1 (B,E): 150 kg ha−1 for wheat and 235 kg ha−1 for maize; N2 (C,F): 300 kg ha−1 for wheat and 470 kg ha−1 for maize, respectively.
Similar to plant height, before wheat harvest (V3–V15), the LAI values and the LAI growth rate of intercropped maize were significantly lower than that of sole maize, while the LAI of intercropped maize showed profound difference between irrigated and rainfed conditions after wheat harvest. After wheat harvest (V15–R1), under irrigated conditions, the LAI of intercropped maize increased rapidly, the growth rate of LAI in maize under N0, N1 and N2 conditions was higher than that in sole maize (0.07 vs. 0.04, 0.08 vs. 0.04, 0.07 vs. 0.03 m2 m−2 d−1, respectively) and in the late growth stage of maize, the LAI decline rate of intercropped maize was lower than that of sole maize (0.05 vs. 0.06 at N0, 0.04 vs. 0.06 at N1, 0.04 vs. 0.06 m2 m−2 d−1 at N2, respectively). It should be noted that the LAI of intercropped maize was higher than that of sole maize only at N1 and N2 at late stage of maize. However, under rainfed conditions, the LAI growth rate of intercropped maize after wheat harvest was still lower than that of sole maize (data not shown) (Figure 6). These trends were similar in 2015 (data not shown).
3.3. Effects of Interspecific Interaction on Spatial Distribution of Soil Water Content
Two-dimensional soil water content profiles at wheat maturity for various treatments are shown in Figure 7. Under all treatments, the intercropped wheat strip had a low water content area at 40–80 cm. The soil water content in the intercropped maize strip increased with soil depth, and the soil water content of the intercropped maize strip was greater than that of the intercropped wheat strip. Under irrigated conditions, the soil water content in the area between wheat and maize strips was close to that of the intercropped maize strip; while it was close to that of the intercropped wheat under rainfed conditions, especially in the 40–80 cm soil layer.
Figure 7.
Comparison of spatial distributions of soil water content at different positions in intercropping under different water and nitrogen conditions. IR−irrigated treatment; RF−rainfed.
3.4. Interspecific Competition during the Co-Growth Period
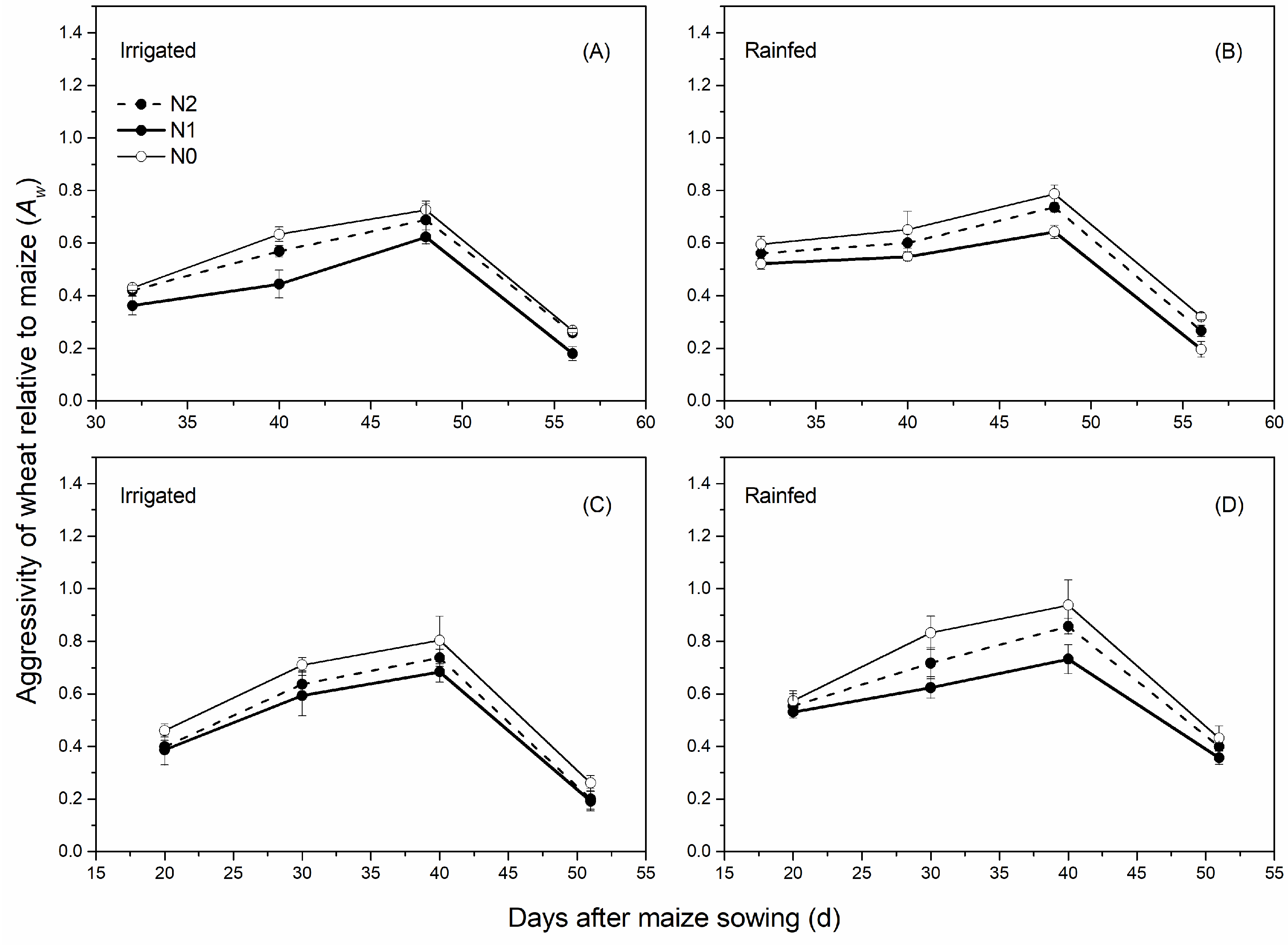
The Aw had a similar trend among different water and nitrogen levels in two seasons (Figure 8). As crop growth progressed, the value of Aw increased from early co-growth, reached a peak at middle co-growth, and declined in the late co-growth period (Figure 8). The absolute value of Aw was lower under supplementary irrigation compared with rainfed conditions at the same nitrogen level. In addition, the Aw value under N1 was significantly less than those under N0 and N2, regardless of water treatments in two seasons.
Figure 8.
Aggressivity of wheat relative to maize under different water and nitrogen levels during the co-growth period in two growing seasons. The above row was in 2015 (A,B), and the below row was in 2016 (C,D).
3.5. Relative Competitive Intensity (RCI)
3.5.1. Wheat
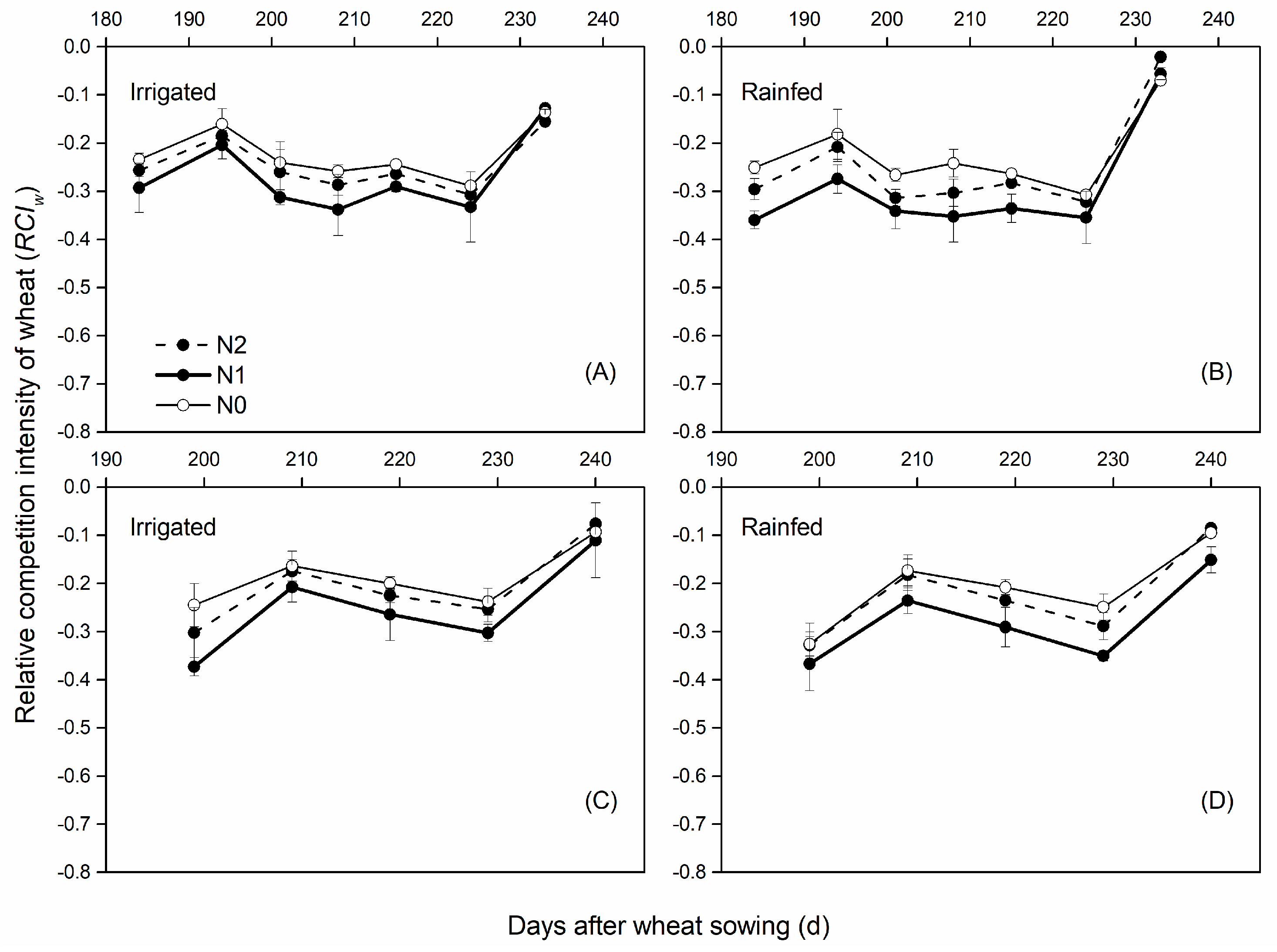
The relative competition intensity of wheat (RCIw) in intercropping fluctuated during the co-growth period (Figure 9). The value of RCIw was always negative regardless of the water and nitrogen levels. The absolute value of RCIw was lower under the supplementary irrigation than that under rainfed at the same nitrogen level, and moreover, the absolute value of RCIw was significantly higher under N1 than those under N0 and N2 under the same water conditions.
Figure 9.
Relative competition intensity of wheat under different water and nitrogen levels during the co-growth period in two growing seasons. The above row was in 2015 (A,B), and the below row was in 2016 (C,D).
3.5.2. Maize
The relative competition intensity of maize (RCIm) in intercropping fluctuated during the co-growth period (Figure 10). The value of RCIm was always positive regardless of the water and nitrogen levels. The absolute value of RCIm was lower under the supplementary irrigation than that under rainfed at the same nitrogen level, and moreover, the absolute value of RCIm was significantly lower under N1 than those under N0 and N2 under the same water conditions.
Figure 10.
Dynamic relative competition intensity of maize under different water and nitrogen levels during the co-growth period in two growing seasons. The above row was in 2015 (A,B), and the below row was in 2016 (C,D).
3.6. Grain Yields of Crops and LER of Intercropping
The grain yields of wheat and maize and the LER of wheat/maize intercropping are shown in Table 1. On average, over the three nitrogen levels and two years, yields of intercropped wheat were 28.7% and 30.7% greater than that of sole wheat under supplementary irrigation and rainfed treatments, respectively. On average, over two water applications and two years, the sole wheat yield was 21.0% and 35.7% higher at N2 and N1 compared with N0, respectively, and those values were 16.6% and 38.3% for the intercropped wheat. The yield of intercropped wheat at the N1 level was greater than that of sole wheat at the N2 level, regardless of water treatments in both seasons. The yield of intercropped wheat under rainfed was observed to ve significantly greater than that of sole wheat under supplementary irrigation at N1 and N2 levels. The effect of intercropping on maize yield varied with the water and N application treatments. Compared with sole maize, the intercropped maize yield was increased by 7% and 4% at N1 and N2 levels under irrigation conditions averaged over the two years, respectively. However, the yield of intercropped maize was reduced by 5%, 6%, 14% at N2, N1 and N0 under rainfed conditions, respectively. Similarly, the yield of intercropped maize at the N1 levels was greater than that of sole maize at N2 levels under supplementary irrigation in both seasons but not occurred under the rainfed condition.
Table 1.
Yields of wheat and maize and LER for wheat/maize intercropping under different water and nitrogen levels in two growing seasons (2014–2015 and 2015–2016).
On average for the two years, the total yield of intercropping was 11.1%, 14.8% and 6.1% greater than that of the weighted means of sole cropping under supplementary irrigation conditions at N2, N1 and N0, respectively, and those values were 4.7%, 8.9% and 1.3% under rainfed conditions (Table 2). The LER of wheat/maize intercropping in the different treatments ranged from 1.10–1.19 in 2015 and 1.05–1.16 in 2016, respectively. The LERs of the intercropping system under irrigated treatments were greater than those under rainfed treatment in both years. The highest LER among different water and nitrogen levels in intercropping was N1 with supplementary irrigation (Table 1).
Table 2.
Total grain yields of wheat/maize intercropping and weighted means of sole wheat and sole maize and the yield increase ratio of intercropping to sole cropping under different treatments in two growing seasons (2014–2015 and 2015–2016).
4. Discussion
4.1. The Role of Water and Nitrogen on Interspecific Interactions
Interspecific interaction often occurs at the interface between two crop species, resulting in the growth, development and yield of one crop species being reduced by another crop species [38,39,40]. The earlier establishment of one plant created a competitive advantage over the other for environmental resources, giving rise to strong suppression of the less competitive plant in mixtures [41]. In the current study, the wheat was sown much earlier than maize, and the value of Aw was observed to always be positive in all treatments (Figure 5), confirming that wheat was more competitive than maize in intercropping during the co-growth period. Hence, the aboveground biomass of intercropped wheat was increased (Figure 3), but the aboveground biomass, plant height and LAI of intercropped maize decreased during the co-growth period compared with the corresponding sole crop (Figure 4, Figure 5 and Figure 6). Furthermore, we observed that the interspecific competition showed a trend of increasing first and then decreasing (Figure 8). The most intense interspecific competition occurs at the middle co-growth period, when the wheat was at the grain filling stage and the maize was at V6 stage.
Water and nitrogen management affected the interspecific competition of wheat relative to maize. At the same nitrogen level, the absolute value of Aw was higher under rainfed conditions than that under supplementary irrigation here (Figure 8), indicating that water limitation aggravated the competition of wheat to maize. This might be because at the co-growth period, the roots of intercropped maize were limited laterally when water stress occurred [42], while the intercropped wheat had much greater root length density [41], spread laterally under the maize strip [43], and competed for water from the adjacent maize strip. Additionally, this could be confirmed by our soil water content data. Under the rainfed condition, the water content of 0–30 cm under the maize row was much less than that under the wheat row, while the difference between the wheat row and the maize row under irrigation conditions was not obvious (Figure 7).
Aw value at N0 was the largest, followed by N2, and N1 was the smallest under the same water conditions. This indicated that with the application of nitrogen fertilizer, the competitive strength of intercropped wheat to maize was weakened, but as the nitrogen fertilizer further increased, the competition intensity increased. This might be due to the following reasons: (1) the roots of intercropped species overlapped during co-growth, resulting in belowground competition for water and nutrient resources. Lack of nutrients under no nitrogen fertilizer conditions (N0) intensified the competition. The application of nitrogen fertilizer provided more N and alleviated competition. (2) Under the high nitrogen level (N2), larger individuals could occupy more growing space, intercept more light, and assimilate more nutrient resources and water [44,45]. Nitrogen facilitated the wheat growth at an early growth stage, inducing the strong shade and more intense competition. While the moderate nitrogen fertilizer (N1) could alleviate the competition, which was inconsistent with previous studies [35,46].
Previous studies show that intercropping had an advantage when intraspecific competition is greater than interspecific competition [19]. In the present study, during the co-growth period, the RCIw was negative in all treatments (Figure 9), indicating that the intraspecific competition was more severe than interspecific competition for intercropped wheat. Therefore, the aboveground biomass and yield of intercropped wheat was greater than that of sole wheat (Figure 3 and Table 1). While the RCIm was positive in all treatments (Figure 10), indicating that the intraspecific competition was less than interspecific competition for intercropped maize, so the intercropped maize growth was suppressed. Therefore, based on interspecific competition and interspecific complementation, reasonable management, such as water and nutrient management, are important for achieving efficient use of limited resources and making intercropping more productive. Medium nitrogen fertilizer application was more appropriate for both the rainfed and irrigated intercropping system.
4.2. Recovery Growth of Intercropped Maize after Wheat Harvest
The late-maturing crop had recovery growth after the early-maturing crop harvest in intercropping [31,35]. This phenomenon was also observed in our study, and the aboveground biomass of intercropped maize increased rapidly after wheat harvest (Figure 3, Figure 4, Figure 5 and Figure 6). Recovery growth is also the reason for the intercropping advantage of increasing production, and understanding the recovery growth can help to take reasonable management measures to play the advantage of intercropping. Previous studies showed that plants grown in shade will suffer serious photodamage when suddenly exposed to direct sunlight [47,48]. In wheat-cotton intercropping systems, the growth of cotton was depressed lasting for at least 20 d after wheat harvest, then gradually acclimated to the high light condition. Similarly, we found that the recovery growth of intercropped maize did not occur immediately but occurred about fifteen days after wheat harvest due to being exposed to direct light accompanied with high ambient temperature and low humidity, and this delay was particularly evident in plant height and aboveground biomass (Figure 4 and Figure 5). To the best of our knowledge, this delay of recovery growth was first proposed in the wheat/maize intercropping system.
Furthermore, the degree of maize recovery growth relied on the irrigation and nitrogen application. In the present study, the biomass of intercropped maize was significantly less than that of sole maize under rainfed conditions (Figure 4). Two reasons could be explained, one was that under rainfed conditions, intercropped wheat absorbed water from the intercropped maize rows, and the water supply was insufficient, leading to less water available to intercropped maize (Figure 7). The other reason was probably that during the co-growth period, the inhibition of maize was so severe that this adverse effect cannot be completely offset in the late period. A similar result was also observed by Wang et al. [18], water stress constrained the recovery growth of intercropped maize. Additionally, this also indicated that in areas with a rainfall of 400–600 mm, natural rainfall alone could not satisfy the recovery of maize.
In addition to water, nutrient supply had a main effect on the compensation of late-maturing crop growth in the intercropping system. Under N0 conditions, although supplementary irrigation was carried out, the aboveground biomass of intercropped maize was still less than that of sole maize at maturity, indicating that the intercropped maize did not fully recover (Figure 4C, Figure 5A and Figure 6A). These could be explained by the following: after wheat harvest, the adverse effects of competition diminished, although intercropped maize could capture nutrients from the empty adjacent rows in the field, it could not satisfy the maize needs. While under N1 and N2 with supplementary irrigation conditions, the recovery growth of intercropped maize was fully completed (Figure 4A,B,D,E), finally resulting in a yield increase (Table 1). It indicated that nitrogen fertilizer was also a limiting factor for recovery growth. Our present study concluded that adequate water and nutrients promoted full recovery growth, and obtained a similar yield as sole cropping. Although nitrogen fertilizer was applied under rainfed conditions, the effect of nitrogen fertilizer was limited by water. In semi-arid and sub-humid areas, where water is a limiting factor, we must strengthen the management of water, and we can take water-retaining measures such as ridge planting and mulching, and water management should take precedence over nitrogen fertilizer. We suggest that any practices to improve the grain yield of intercropping should pay more attention to the recovery growth of the late-maturing crop after the early-maturing crop harvest.
4.3. Intercropping Advantage
Intercropping could achieve higher crop yields relative to sole crops, mainly from complementary use of resources for growth by the intercrop components [49]. The total yield of wheat and maize in intercropping exceeded the weighted means of sole crops under all treatments except for N0 under rainfed in 2016 (Table 2). Such results were found by a previous study that showed the average total grain yield of maize/turnip, maize/faba bean, maize/chickpea and maize/soybean intercropping increased by 30.7%, 24.8%, 24.4% and 25.3%, respectively, compared with the weighted means of the corresponding sole crops [40]. In addition, the total LER of wheat/maize intercropping ranged from 1.05–1.19 over the two years of the study (Table 1), indicating that 5–19% more land would be needed for sole cropping to obtain yields equal to those from intercropping. These results demonstrated that the wheat/maize intercropping system are advantageous over sole cropping in terms of yield and land utilization. Under the same water conditions, with the increase in nitrogen fertilizer application, the total yield of intercropping increased, but with the further increase of nitrogen application, the total yield of intercropping decreased. This was because within a certain range, the application of nitrogen fertilizer (N1) alleviated interspecific competition, but beyond a certain range, N2 aggravated interspecific competition, resulting in a decrease in total production. Under the same nitrogen fertilizer conditions, supplementary irrigation increased the total yield of the intercropping, which may be because supplementary irrigation alleviated interspecific competition. The present study also showed that the LER and the weighted means of intercropped wheat and maize yields were highest at N1 level (Table 1 and Table 2), suggesting that applications 150 kg N ha−1 for wheat and 235 kg N ha−1 for maize were suitable for the wheat/maize intercropping system both under supplementary irrigation and rainfed conditions. Therefore, to obtain total productivity and land use advantages in the intercropping system, the rational allocation of nitrogen and water resources is essential.
Generally, the effects of intercropping on the yield of component species are different (Table 1). In this study, yield of intercropped wheat was greater than that of sole wheat in all treatments, which was mainly attributed to a border row effect [35,50] and probably the inner row effect [51]. The intercropped maize yield was increased only under supplementary irrigation coupled with nitrogen application (Table 1), confirming that the adverse effect of wheat on maize at early stage was offset at harvest due to the fully recovered growth [18,31]. Under the same water conditions, the intercropped wheat at N1 level gained higher yields compared with the yield of sole wheat at N2 levels, and similarly, the yield of intercropped maize at N1 level gained higher yields under supplementary irrigation in both seasons (Table 1). This might be because intercropping had higher nitrogen use efficiency than the corresponding sole cropping or the complementary use of nitrogen resources in the intercropping system [21,46], so that intercropping could reduce the use of nitrogen fertilizer compared to sole cropping. This was consistent with the research that showed intercropping showed a potential of reducing 5–15% N fertilizer application but still increased wheat yield by 16–30% in the wheat/faba bean intercropping system [52]. Under the same nitrogen level, compared with sole wheat under rainfed conditions, the relative yield increase in intercropped wheat under rainfed was greater than that of sole wheat under supplementary irrigation (Table 1). This indicated that the contribution of cropping system to production was greater than the contribution of irrigation to wheat yield increase. The reason was probably that compared with the irrigated sole wheat, intercropped wheat could not only capture more water and nutrient resources [41], but also better use of radiation [53] and heat, consequently the wheat yield had a higher increase. With the support of the national fallow policy, by making full use of the advantage of intercropping, higher yields could be achieved without irrigation and reducing nitrogen application, while improving land fertility and promoting agricultural sustainable green development.
5. Conclusions
In the present study, wheat was more competitive than maize in intercropping during the co-growth period, so intercropped wheat gained higher yield compared with sole wheat under all treatments. Intercropped maize showed yield advantage only under supplementary irrigation conditions at N1 and N2, attributed to the full recovery growth after wheat harvest. The water deficit and nitrogen deficiency aggravated the competition and seriously limited the recovery growth of intercropped maize, leading to the yield reduction. The wheat/maize intercropping system showed advantages in yield and land use over the corresponding sole cropping system in all treatments. The present study reinforced the importance of optimizing the water and nitrogen supply to ensure sufficient complementarity to compensate for the adverse effects of interspecific competition, and to achieve high productivity of the wheat/maize and perhaps other intercropping systems.
Author Contributions
Y.L.: Conceptualization; Data curations; Formal analysis; Funding acquisition; Investigation; Methodology; Software; Validation; Visualization; Writing–review & editing. L.M.: Conceptualization; Data curations; Formal analysis; Investigation; Methodology; Writing–review & editing. P.W.: Conceptualization; Funding acquisition; Project administration; Resources; Software; Supervision. X.Z.: Funding acquisition; Project administration; Resources; Supervision; Writing–review & editing. X.C.: Conceptualization; Investigation; Methodology; Resources; X.G.: Conceptualization; Data curations; Funding acquisition; Resources; Visualization; Writing–review & editing. All authors have read and agreed to the published version of the manuscript.
Funding
This research was funded by the National Key Research and Development Program of China (2017YFC0403600, 2017YFC0403605), the Key Science and Technology Innovation Team Program of Shaanxi Province (2017KCT-15), and the National Natural Science Foundation of China (Grant No. 32101849).
Data Availability Statement
Not applicable.
Acknowledgments
The authors thank Ma Wen for assistance with planting and harvest; and Zhang Chunhui’s field crew for irrigation management.
Conflicts of Interest
The authors declare no conflict of interest.
References
- FAO. The State of Food and Agriculture 2016 (SOFA): Climate Change, Agriculture and Food Security; FAO: Rome, Italy, 2017. [Google Scholar]
- Bijl, D.L.; Bogaart, P.W.; Dekker, S.; Stehfest, E.; de Vries, B.J.; van Vuuren, D.P. A physically-based model of long-term food demand. Glob. Environ. Chang. 2017, 45, 47–62. [Google Scholar] [CrossRef] [Green Version]
- Cui, Z.; Zhang, H.; Chen, X.; Zhang, C.; Ma, W.; Huang, C.; Zhang, W.; Mi, G.; Miao, Y.; Li, X.; et al. Pursuing sustainable productivity with millions of smallholder farmers. Nature 2018, 555, 363–366. [Google Scholar] [CrossRef] [PubMed]
- Himmelstein, J.; Ares, A.; Gallagher, D.; Myers, J. A meta-analysis of intercropping in Africa: Impacts on crop yield, farmer income, and integrated pest management effects. Int. J. Agric. Sustain. 2017, 15, 1–10. [Google Scholar] [CrossRef]
- Raseduzzaman, M.; Jensen, E.S. Does intercropping enhance yield stability in arable crop production? A meta-analysis. Eur. J. Agron. 2017, 91, 25–33. [Google Scholar] [CrossRef]
- Sharma, N.K.; Singh, R.J.; Mandal, D.; Kumar, A.; Alam, N.M.; Keesstra, S. Increasing farmer’s income and reducing soil erosion using intercropping in rainfed maize-wheat rotation of Himalaya, India. Agric. Ecosyst. Environ. 2017, 247, 43–53. [Google Scholar] [CrossRef]
- Zhou, D.; An, P.; Pan, Z.; Zhang, F. Arable land use intensity change in China from 1985 to 2005: Evidence from integrated cropping systems and agro economic analysis. J. Agric. Sci. 2012, 150, 179–190. [Google Scholar] [CrossRef]
- Willey, R.W. Resource use in intercropping systems. Agric. Water Manag. 1990, 17, 215–231. [Google Scholar] [CrossRef]
- Ren, Y.Y.; Wang, X.L.; Zhang, S.Q.; Palta, J.A.; Chen, Y.L. Influence of spatial arrangement in maize-soybean intercropping on root growth and water use efficiency. Plant Soil 2017, 415, 131–144. [Google Scholar] [CrossRef]
- Li, X.; Šimůnek, J.; Shi, H.; Yan, J.; Peng, Z.; Gong, X. Spatial distribution of soil water, soil temperature, and plant roots in a drip-irrigated intercropping field with plastic mulch. Eur. J. Agron. 2017, 83, 47–56. [Google Scholar] [CrossRef] [Green Version]
- Liu, X.; Rahman, T.; Yang, F.; Song, C.; Yong, T.; Liu, J.; Zhang, C.; Yang, W. PAR Interception and Utilization in Different Maize and Soybean Intercropping Patterns. PLoS ONE 2017, 12, e0169218. [Google Scholar] [CrossRef]
- Cong, W.-F.; Hoffland, E.; Li, L.; Six, J.; Sun, J.-H.; Bao, X.-G.; Zhang, F.-S.; van der Werf, W. Intercropping enhances soil carbon and nitrogen. Glob. Chang. Biol. 2015, 21, 1715–1726. [Google Scholar] [CrossRef] [PubMed]
- Chen, Z.; Cui, H.; Wu, P.; Zhao, Y.; Sun, Y. Study on the optimal intercropping width to control wind erosion in North China. Soil Tillage Res. 2010, 110, 230–235. [Google Scholar] [CrossRef]
- Kurothe, R.S.; Kumar, G.; Singh, R.; Singh, H.B.; Tiwari, S.P.; Vishwakarma, A.K.; Sena, D.R.; Pande, V.C. Effect of tillage and cropping systems on runoff, soil loss and crop yields under semiarid rainfed agriculture in India. Soil Tillage Res. 2015, 140, 126–134. [Google Scholar] [CrossRef]
- Latati, M.; Bargaz, A.; Belarbi, B.; Lazali, M.; Benlahrech, S.; Tellah, S.; Kaci, G.; Drevon, J.J.; Ounane, S.M. The intercropping common bean with maize improves the rhizobial efficiency, resource use and grain yield under low phosphorus availability. Eur. J. Agron. 2016, 72, 80–90. [Google Scholar] [CrossRef]
- Gou, F.; van Ittersum, M.K.; Wang, G.; van der Putten, P.E.L.; van der Werf, W. Yield and yield components of wheat and maize in wheat-maize intercropping in the Netherlands. Eur. J. Agron. 2016, 76, 17–27. [Google Scholar] [CrossRef]
- Gronle, A.; Lux, G.; Böhm, H.; Schmidtke, K.; Wild, M.; Demmel, M.; Brandhuber, R.; Wilbois, K.-P.; Heß, J. Effect of ploughing depth and mechanical soil loading on soil physical properties, weed infestation, yield performance and grain quality in sole and intercrops of pea and oat in organic farming. Soil Tillage Res. 2015, 148, 59–73. [Google Scholar] [CrossRef]
- Wang, Z.; Zhao, X.; Wu, P.; Chen, X. Effects of water limitation on yield advantage and water use in wheat (Triticum aestivum L.)/maize (Zea mays L.) strip intercropping. Eur. J. Agron. 2015, 71, 149–159. [Google Scholar] [CrossRef]
- Vandermeer, J.H. The Ecology of Intercropping Systems; Cambridge University Press: Cambridge, UK, 1989; pp. 185–188. [Google Scholar]
- Lithourgidis, A.S.; Vlachostergios, D.N.; Dordas, C.A.; Damalas, C.A. Dry matter yield, nitrogen content, and competition in pea–cereal intercropping systems. Eur. J. Agron. 2011, 34, 287–294. [Google Scholar] [CrossRef]
- Duchene, O.; Vian, J.-F.; Celette, F. Intercropping with legume for agroecological cropping systems: Complementarity and facilitation processes and the importance of soil microorganisms. A review. Agric. Ecosyst. Environ. 2017, 240, 148–161. [Google Scholar] [CrossRef]
- Zhang, G.; Yang, Z.; Dong, S. Interspecific competitiveness affects the total biomass yield in an alfalfa and corn intercropping system. Field Crop. Res. 2011, 124, 66–73. [Google Scholar] [CrossRef]
- Wahla, I.H.; Ahmad, R.; Ehsanullah Ahmad, A.; Jabbar, A. Competitive functions of components crops in some barley based intercropping systems. Int. J. Agric. Biol. 2009, 11, 69–72. [Google Scholar]
- Dhima, K.V.; Lithourgidis, A.S.; Vasilakoglou, I.B.; Dordas, C.A. Competition indices of common vetch and cereal intercrops in two seeding ratio. Field Crop. Res. 2007, 100, 249–256. [Google Scholar] [CrossRef]
- Moser, S.B.; Feil, B.; Jampatong, S.; Stamp, P. Effects of pre-anthesis drought, nitrogen fertilizer rate, and variety on grain yield, yield components, and harvest index of tropical maize. Agric. Water Manag. 2006, 81, 41–58. [Google Scholar] [CrossRef]
- Elía, M.; Slafer, G.A.; Savin, R. Yield and grain weight responses to post-anthesis increases in maximum temperature under field grown wheat as modified by nitrogen supply. Field Crop. Res. 2018, 221, 228–237. [Google Scholar] [CrossRef] [Green Version]
- Hall, A.J.; Savin, R.; Slafer, G.A. Is time to flowering in wheat and barley influenced by nitrogen? A critical appraisal of recent published reports. Eur. J. Agron. 2014, 54, 40–46. [Google Scholar]
- Hu, F.; Gan, Y.; Chai, Q.; Feng, F.; Zhao, C.; Yu, A.; Mu, Y.; Zhang, Y. Boosting system productivity through the improved coordination of interspecific competition in maize/pea strip intercropping. Field Crop. Res. 2016, 198, 50–60. [Google Scholar] [CrossRef]
- Ren, Y.; Liu, J.; Wang, Z.; Zhang, S. Planting density and sowing proportions of maize–soybean intercrops affected competitive interactions and water-use efficiencies on the Loess Plateau, China. Eur. J. Agron. 2016, 72, 70–79. [Google Scholar] [CrossRef]
- Zhang, W.-P.; Liu, G.-C.; Sun, J.-H.; Zhang, L.-Z.; Weiner, J.; Li, L. Growth trajectories and interspecific competitive dynamics in wheat/maize and barley/maize intercropping. Plant Soil 2015, 397, 227–238. [Google Scholar] [CrossRef]
- Li, L.; Sun, J.; Zhang, F.; Li, X.; Rengel, Z.; Yang, S. Wheat/maize or wheat/soybean strip intercropping: II. Recovery or compensation of maize and soybean after wheat harvesting. Field Crop. Res. 2001, 71, 173–181. [Google Scholar]
- Ma, L.; Li, Y.; Wu, P.; Zhao, X.; Gao, X.; Chen, X. Recovery growth and water use of intercropped maize following wheat harvest in wheat/maize relay strip intercropping. Field Crop. Res. 2020, 256, 107924. [Google Scholar] [CrossRef]
- Chai, Q.; Qin, A.; Gan, Y.; Yu, A. Higher yield and lower carbon emission by intercropping maize with rape, pea, and wheat in arid irrigation areas. Agron. Sustain. Dev. 2014, 34, 535–543. [Google Scholar] [CrossRef]
- Ritchie, S.; Hanway, J. How a Corn Plant Develops; Cooperative Extension Service; Iowa State University of Science and Technology: Ames, IA, USA, 1982. [Google Scholar]
- Gao, Y.; Wu, P.; Zhao, X.; Wang, Z. Growth, yield, and nitrogen use in the wheat/maize intercropping system in an arid region of northwestern China. Field Crop. Res. 2014, 167, 19–30. [Google Scholar] [CrossRef]
- Rao, M.R.; Willey, R.W. Evaluation of Yield Stability in Intercropping: Studies on Sorghum/Pigeonpea. Exp. Agric. 1980, 16, 105–116. [Google Scholar] [CrossRef]
- McGilchrist, C.A. Analysis of Competition Experiments. Biometrics 1965, 21, 975. [Google Scholar] [CrossRef]
- Zhu, J.; van Der Werf, W.; Vos, J.; Anten, N.P.R.; Van Der Putten, P.E.L.; Evers, J.B. High productivity of wheat intercropped with maize is associated with plant architectural responses. Ann. Appl. Biol. 2016, 168, 357–372. [Google Scholar] [CrossRef]
- Munz, S.; Feike, T.; Chen, Q.; Claupein, W.; Graeff-Hönninger, S. Understanding interactions between cropping pattern, maize cultivar and the local environment in strip-intercropping systems. Agric. For. Meteorol. 2014, 195–196, 152–164. [Google Scholar] [CrossRef]
- Xia, H.-Y.; Wang, Z.-G.; Zhao, J.; Sun, J.-H.; Bao, X.-G.; Christie, P.; Zhang, F.-S.; Li, L. Contribution of interspecific interactions and phosphorus application to sustainable and productive intercropping systems. Field Crop. Res. 2013, 154, 53–64. [Google Scholar] [CrossRef]
- Liu, Y.; Zhang, W.-P.; Sun, J.-H.; Li, X.; Christie, P.; Li, L. High morphological and physiological plasticity of wheat roots is conducive to higher competitive ability of wheat than maize in intercropping systems. Plant Soil 2015, 397, 387–399. [Google Scholar] [CrossRef]
- Adiku, S.G.; Ozier-Lafontaine, H.; Bajazet, T. Patterns of root growth and water uptake of a maize-cowpea mixture grown under greenhouse conditions. Plant Soil 2001, 235, 85–94. [Google Scholar] [CrossRef]
- Li, L.; Sun, J.; Zhang, F.; Guo, T.; Bao, X.; Smith, F.A.; Smith, S.E. Root distribution and interactions between intercropped species. Oecologia 2006, 147, 280–290. [Google Scholar] [CrossRef]
- Grime, J.P. Plant Strategies and Vegetation Processes; Wiley: Chichester, UK, 1979. [Google Scholar]
- Schippers, P.; Snoeijing, I.; Kropff, M. Competition under high and low nutrient levels among three grassland species occupying different positions in a successional sequence. New Phytol. 1999, 143, 547–559. [Google Scholar] [CrossRef] [PubMed]
- Li, Q.-Z.; Sun, J.-H.; Wei, X.-J.; Christie, P.; Zhang, F.-S.; Li, L. Overyielding and interspecific interactions mediated by nitrogen fertilization in strip intercropping of maize with faba bean, wheat and barley. Plant Soil 2011, 339, 147–161. [Google Scholar] [CrossRef] [Green Version]
- Demmig-Adams, B.; Adams, W.W. Photoprotection and Other Responses of Plants to High Light Stress. Annu. Rev. Plant Biol. 1992, 43, 599–626. [Google Scholar] [CrossRef]
- Yang, X.; Zou, Q.; Wang, W. Photoinhibition in Shaded Cotton Leaves After Exposing to High Light and the Time Course of Its Restoration. J. Integr. Plant Biol. 2001, 43, 1255–1259. [Google Scholar]
- Zhang, F.; Li, L. Using competitive and facilitative interactions in intercropping systems enhances crop productivity and nutrient-use efficiency. Plant Soil 2003, 248, 305–312. [Google Scholar] [CrossRef]
- Wang, Z.; Zhao, X.; Wu, P.; Gao, Y.; Yang, Q.; Shen, Y. Border row effects on light interception in wheat/maize strip intercropping systems. Field Crop. Res. 2017, 214, 1–13. [Google Scholar] [CrossRef]
- Li, L.; Sun, J.; Zhang, F.; Li, X.; Yang, S.; Rengel, Z. Wheat/maize or wheat/soybean strip intercropping: I. Yield advantage and interspecific interactions on nutrients. Field Crop. Res. 2001, 71, 123–137. [Google Scholar] [CrossRef]
- Xiao, J.; Yin, X.; Ren, J.; Zhang, M.; Tang, L.; Zheng, Y. Complementation drives higher growth rate and yield of wheat and saves nitrogen fertilizer in wheat and faba bean intercropping. Field Crop. Res. 2018, 221, 119–129. [Google Scholar] [CrossRef]
- Gou, F.; van Ittersum, M.K.; Simon, E.; Leffelaar, P.A.; van der Putten, P.E.L.; Zhang, L.; van der Werf, W. Intercropping wheat and maize increases total radiation interception and wheat RUE but lowers maize RUE. Eur. J. Agron. 2017, 84, 125–139. [Google Scholar] [CrossRef] [Green Version]
Publisher’s Note: MDPI stays neutral with regard to jurisdictional claims in published maps and institutional affiliations. |
© 2022 by the authors. Licensee MDPI, Basel, Switzerland. This article is an open access article distributed under the terms and conditions of the Creative Commons Attribution (CC BY) license (https://creativecommons.org/licenses/by/4.0/).









