Abstract
The capture and utilization of rainwater by crops under various mulching conditions have great importance in agriculture production systems, especially in dry-prone regions. Understanding the effect of mulching on rainwater use efficiency growth and yield of a crop is very important. For this purpose, field experiments were conducted in 2017 and 2018 to evaluate the potential of ridge-furrow mulching on maize growth and development under rain-fed conditions. The field study compared four treatments, i.e., ridge-furrow without mulch (WM), black plastic mulch (BM), transparent plastic mulch (TM) and grass mulch (GM). The BM treatment consistently increased the soil moisture and temperature, resulting in earlier emergence, as well as increased plant height and plant biomass, compared to the WM treatment. Compared to WM, the two-years mean yield of maize with BM, TM and GM were recorded to be increased by 33.6%, 28.1% and 10.8%, respectively. The BM produced a maximal crop growth rate at 90 days after sowing (DAS) as specified by a greater leaf area index. Transpiration rate and leaf stomatal conductance were significantly higher with BM and TM than with WM, however, the BM treatment showed the highest net photosynthetic rate in both years. Net income for the BM treatment was the highest (USD 1226 ha−1) of all the treatments and USD 335 ha−1 greater than WM. As growth, yield and net income of maize were improved with BM, therefore this treatment was found to be the most effective for maize production in rain-fed conditions. This system is evaluated at a small scale, hence to maximize its effectiveness on a large scale, a simulation design needs to be developed.
1. Introduction
Water is a crucial part of agricultural production [1,2]. Scarcity of irrigation water along with irregular and insufficient rainfall has significantly affected the agricultural productivity [3,4,5]. Inadequate water possessions are the key constraint for crop production [4,6,7]. The decline in future rainfall may cause a reduction in the yield of various crops and enhance the risk to food supply [8,9]. There is a dire need to develop strategies to capture and utilize the rainwater for optimum crop production in rain-fed, arid and semiarid areas [10].
Ridge-furrow covered with plastic mulch on flat land is one of the most viable approaches to maximize the rainfall usage [11,12]. It can enhance the availability of moisture in the crop root zone by reducing the surface runoff, reducing the unproductive evaporation and prolonging the water availability in dry conditions which enhanced the water use efficiency and yield of crops [13]. It also promotes rainfall penetration in deep soil and reduces the evaporation losses [14,15,16]. Each millimeter of rainwater collected, stored and conserved in the root zone has increased the yield of a crop up to 10 kg ha−1 [17]. It is documented that rainfall in maize crop ranging from 230–440 mm, ridge-furrow farming system increased the soil water contents in 0–100 topsoil by 5–12% when compared to that with conventional flat farming system [18]. In the northwest of China, ridge-furrow plastic film mulching and straw mulching increased the maize yield by 20% and 10%, respectively, when compared to that with conventional planting [18]. The main purpose of mulching is to improve the rainwater harvest over a small land area along with a reduction in water loss through soil evaporation [19]. Many researchers have suggested that there is a significant potential to increase agricultural productivity with a considerable increase in the rainwater use efficiency, particularly in rain-fed areas where crops depend only on rainfall [17,20,21]. Although the ridge-furrow mulching technique is considered very beneficial for achieving enhanced yield in rain-fed agriculture [22,23,24], there is still a need to understand the capture and utilization of rainwater under different mulches for clarifying physiological progression, growth and development of the crop. In general, crops are planted on the ridge in a ridge-furrow system that received little advantage from rain as rainwater makes a channel into the furrow areas, especially in the case of a light shower. However, in this study, the planting geometry was quite different than that in conventional methods of sowing, used in most areas of the world. In this study, we used furrows as planting zone and ridges served as water harvesting areas. Therefore, it is important to determine how different mulching practices affect crop growth, yield and resource utilization for maximizing the water management and enhancing the yield of maize. The main objective of this experiment was to investigate the role of the ridge-furrow mulching on the physiological, growth and yield of maize by collecting the rainwater and re-allocating it to the furrow where the crop was planted. This study could be helpful for water management approaches in maize production under rain-fed conditions.
2. Materials and Methods
2.1. Site Description
Experiments were conducted during the summer season of 2017 and 2018 at the Agronomic Research Area, College of Agriculture, University of Sargodha, Punjab Province, Pakistan (Latitude 31.41° N, Longitude 74.17° E and Altitude 194.4 m). The soil at the experimental site was clay loam with a pH of 7.7, organic matter 0.83%, 0.52% N, 10 mg/kg available P and 112 mg/kg available K. During the entire experimental phase, the daily maximum or minimum and rainfall distributions are shown in Figure 1. The total rainfall during the maize growing period was 443.76 mm in 2017 and 946.62 mm in 2018.
Figure 1.
The daily maximum or minimum temperatures and rainfall during the maize growing seasons of the experimental site in 2017 (a) and 2018 (b).
2.2. Experimental Design and Field Management
Alternate ridge and furrow were set up on the flat land. There was a narrow ridge with a width of 30 cm and a height of 15 cm, whereas the wide ridge had a width of 60 cm and a height of 10 cm (Figure 2). The ridges served as rainwater harvesting zone and furrows served as planting zone. The treatments were comprised of ridge-furrow without mulching (WM), ridge-furrow covered with black plastic mulch (BM), transparent plastic mulch (TM) and grass mulch (GM). The experiment was carried out in a Randomized Complete Block Design with four replications. Each plot size was 5 m × 4.5 m. The thickness of the film was 0.008 mm. The edge of the plastic film was buried in the soil. Grass mulch was spread evenly on the ridges and furrows at a rate of 9000 kg ha−1. The crop was sown in each furrow at the base of the ridge at 25 cm apart with a planting density of 88,888 ha−1 (Figure 2). A fertilizer having 150 kg N ha−1, 125 kg P2O5 ha−1 and 125 kg K2O ha−1 was applied uniformly over the furrows and plowed into the soil layer. The maize seed was drilled with a hand push maize seeder with a dibbler wheel into the plastic mulch for all treatments except the grass cover mulch where mulching was done after sowing of the maize seed with the maize seeder.
Figure 2.
A schematic diagram of the field layout.
Maize (cv. DK-6525) was sown on 2nd and 6th July in 2017 and 2018, respectively, using a seed rate of 25 kg ha−1 with a drill. Thinning of the crop stand was performed at the 3 to 4 leaf stage to sustain one plant per hill. All other farming practices such as the use of natural and standard insecticides were done for all the treatments. If heavy rainfall occurs, the excess rainwater will be drained out through a drain at the end of the furrows. This means that at the end of each furrow, there is a small ridge about 10–15 cm high. When the rainfall is low, all the rainwater can be trapped in the furrow. If the rainfall is heavy, the excess water will drain out automatically and will not cause serious flooding problems. To prevent flooding, the mulch film can be punctured at the point of emergence, leaving a hole for emergence. This will ensure that there is no flooding risk.
2.3. Data Collection and Measurements
- Growth and yield traits: The number of plants grown in each plot was calculated from a selected area until a steady and constant number of plants was obtained. The mean days taken to emergence were determined from the time of sowing. Plant height and 1000-grain weight were measured from five indiscriminately selected plants from each plot at maturity and then the average was recorded. The leaf area from five consecutive plants randomly selected from a line in each plot was measured at 30, 60, 90 and 120 days after sowing [25] with the help of a leaf area meter (CI-202, CID, Bio-Science, Camas, WA, USA). The following formula was used to calculate the leaf area index (LAI):
To estimate the crop growth rate (CGR), five plants per plot were taken. Each plant was mocked, mixed well and then sun-dried. The samples were then subjected to an oven at 70 °C ± 5 °C to record dry weight. The dry weight of each plant was measured and converted into dry matter per unit of land area (m2). The CGR was calculated at 30, 60, 90 and 120 days after sowing according to the formula presented by Beadle [26]:
where W2 = Plant dry weight m−2 at 2nd harvest, W1= Plant dry weight m−2 at 1st harvest, T2 = Time consistent to 2nd harvest, T1 = Time consistent to 1st harvest.
To obtain grain yield, the maize plants were harvested at maturity from every plot, dried in the sun and threshed manually. The biological yield was measured by collecting the total plant biomass from every plot, dried in the sun for several days and then transformed to t ha−1.
The harvest index was determined using the following formula:
- Soil moisture: In every maize growing period, the water content in the soil was recorded at 30, 60, 90 and 120 days after sowing (DAS) to 100 cm soil depth at 20 cm intervals. By using a soil auger, the samples were arbitrarily collected at three locations in the middle of the furrow for every treatment [25]. The self-sealing plastic bags were used to collect the soil samples from the field. Upon arrival in the laboratory, each sample was placed directly in an aluminum box. To obtain fresh weights, all soil samples were weighed within one hour of collection and dried at 105 °C to obtain a constant weight. The soil moisture was then calculated in the 0–100 cm soil from every plot and then estimated for the total soil water storage.
- Physiological traits: Net photosynthetic rate, transpiration rate and leaf stomatal conductance were recorded from five randomly selected flag leaves of maize plants from each treatment separately using a portable infrared gas analyzer (CI-340 Portable Photosynthesis System, CID Biosciences, Camas, WA, USA). The readings were taken between 9:00 am to 11:00 am.
- Economic analysis: For economic analysis, the whole cost of production was estimated by the expenses incurred on all agronomic operations during both years and their average was determined. To determine the benefit–cost ratio, the total income of grains and stover was recorded [26].
2.4. Statistical Analysis
The statistical analysis was performed by the software Statistix 8.1 computer software (Statistix 8.1, Analytical Software, Tallahassee, FL, USA) to work out an analysis of variance (ANOVA) of each data set. The treatments’ means were compared using Tukey’s (HSD) test at a 5% probability level [27]. The graphical demonstration of the data was done using the Sigma plot 11.0 (Systat Software, Inc., San Jose, CA, USA).
3. Results
3.1. Plant Growth and Yield Attributes
Data showed that in BM and TM, maize emergence was two days earlier than that with WM in both years. Maize plant height was significantly influenced by various mulching treatments over the two years with the higher plant height observed in 2017 as compared with 2018 (Table 1). In 2017, higher plant height (186.5 cm) was observed with BM and lower plant height (169.2 cm) was measured with WM. In 2018, BM produced taller plants (188.2 cm) than did all other treatments. The lowest plant height (169.2 cm) of the maize crop was recorded in plots where not mulch material was used. The 1000-grain weight of maize showed a substantial response to all mulch treatments. The BM exhibited a maximum 1000-grain weight (285.5 g) which was followed by TM in 2018. However, a minimum 1000-grain weight was recoded with WM during both growing seasons. All mulching treatments had a significant impact on grain yield as compared to WM in both years. The mulch treatments significantly influenced the grain yield of maize. The maize grain yield from every treatment was categorized as follows: BM > TM > GM > WM. Compared with WM, the mean grain yield of maize with BM, TM and GM was found to be improved significantly by 1.24 t ha−1 (33.6%), 1.04 t ha−1 (28.1%) and 0.40 t ha−1 (10.8%), respectively (Table 2). As compared to WM, the ridge and furrow mulching improved the biological yield significantly. The mean biological yield with BM, TM and GM was markedly enhanced by 1.74, 1.42 and 0.81 t ha−1, respectively. All tested treatments showed a variable harvest index (%) of maize, ranging from 42.1% to 48% in both growing seasons. The harvest index was higher (48%) in 2017 with BM and the difference of BM and TM vs. WM was significant during both years.
Table 1.
Influence of different ridge-furrow mulching on days taken to emergence, plant height (cm) and 1000-grain weight of maize during 2017 and 2018.
Table 2.
Influence of different ridge-furrow mulches on grain yield (t ha−1), biological yield (t ha−1) and harvest index (%) of maize during 2017 and 2018.
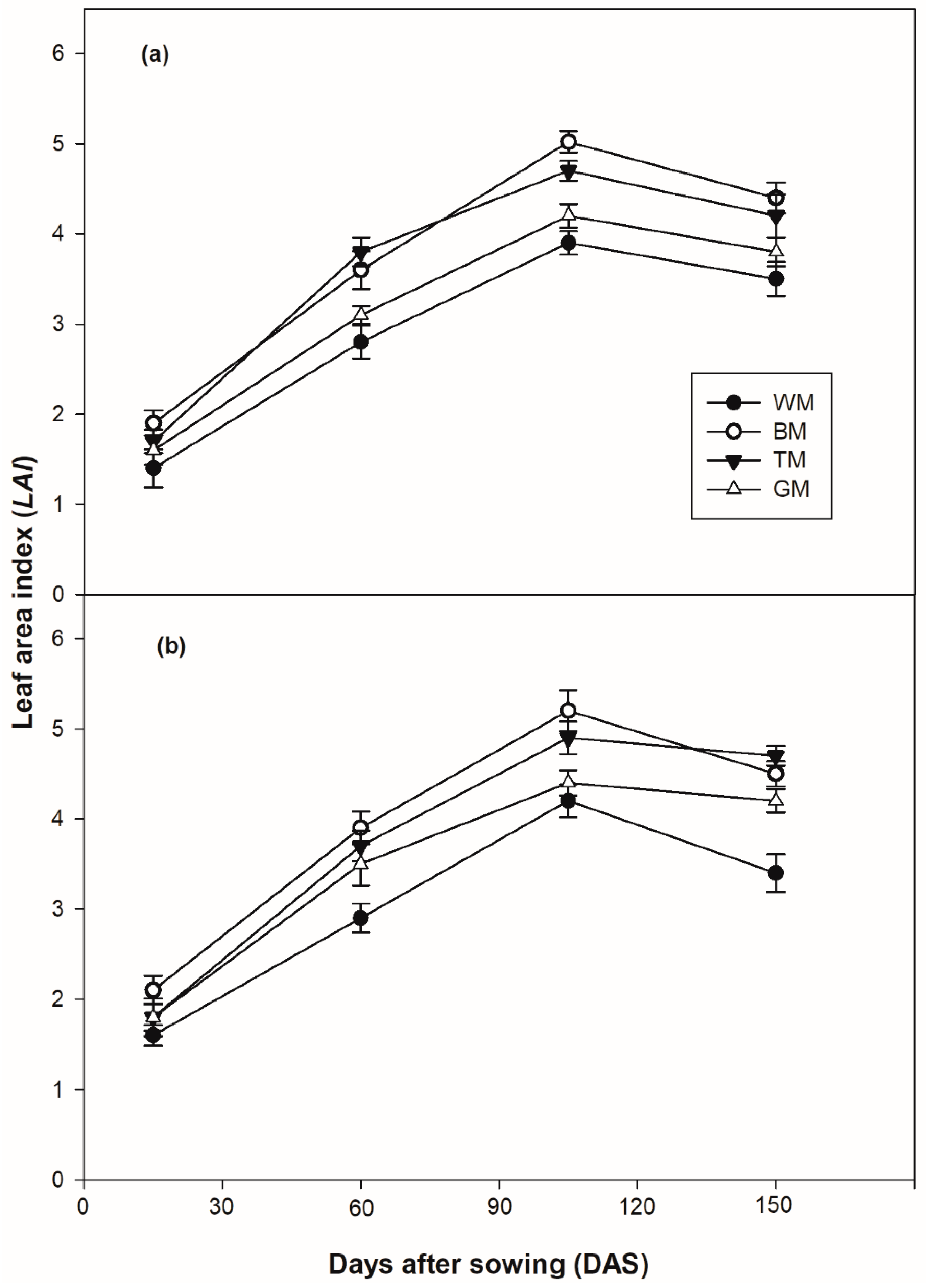
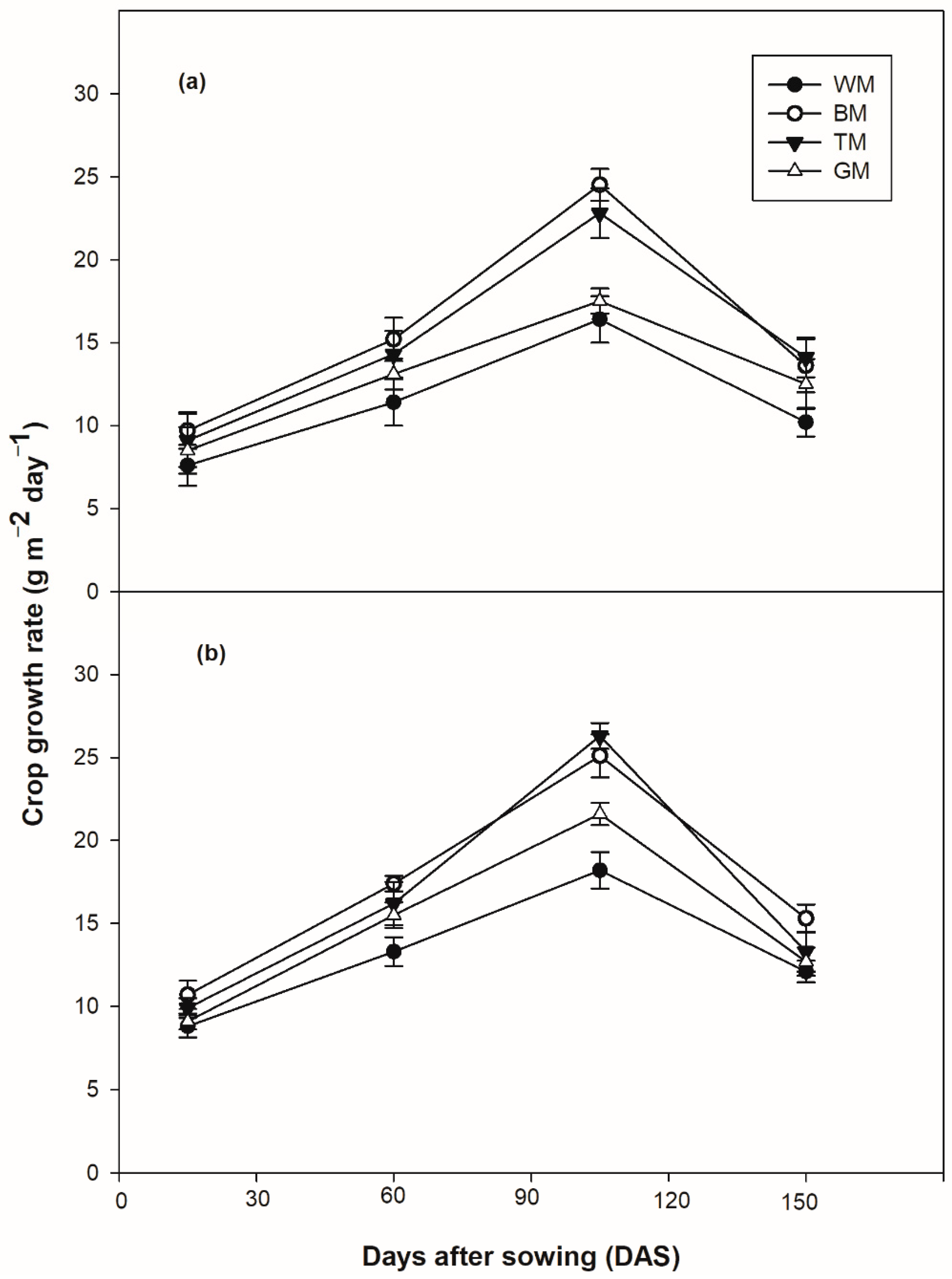
In contrast to the WM treatment, all mulching treatments improved the leaf area index in both years (Figure 3). The leaf area index was significantly higher with BM and TM when compared with WM at each critical stage. The GM produced a slightly higher leaf area index than did the WM during both years at each developmental stage. Moreover, the major differences were perceived between the WM and GM treatments in 2018, mainly at 60 and 120 days after sowing (DAS). The variation in leaf area index was connected with a different crop growth rate under various mulch treatments (Figure 4). Of all the treatments, the ridge-furrow covered with BM or TM produced a higher crop growth rate in 2017 and 2018. At 30, 60, 90 and 120 DAS, the BM produced 27.6, 33.3, 49.3 and 33.2% higher crop growth rate, respectively, than WM in 2017 (Figure 4). The increase was 21.5% at 30 DAS, 30.8% at 60 DAS, 37.9% at 90 DAS and 26.4% at 120 DAS in 2018. However, TM produced a slightly higher crop growth rate over BM at 90 days after sowing in 2018 (Figure 4).
Figure 3.
Leaf area index (LAI) of maize under ridge-furrow without mulching (WM), with black plastic mulch (BM), transparent plastic mulch (TM) and grass mulch (GM) in 2017 (a) and 2018 (b).
Figure 4.
Crop growth rate (CGR) of maize under ridge-furrow without mulching (WM), with black plastic mulch (BM), transparent plastic mulch (TM) and grass mulch (GM) in 2017 (a) and 2018 (b).
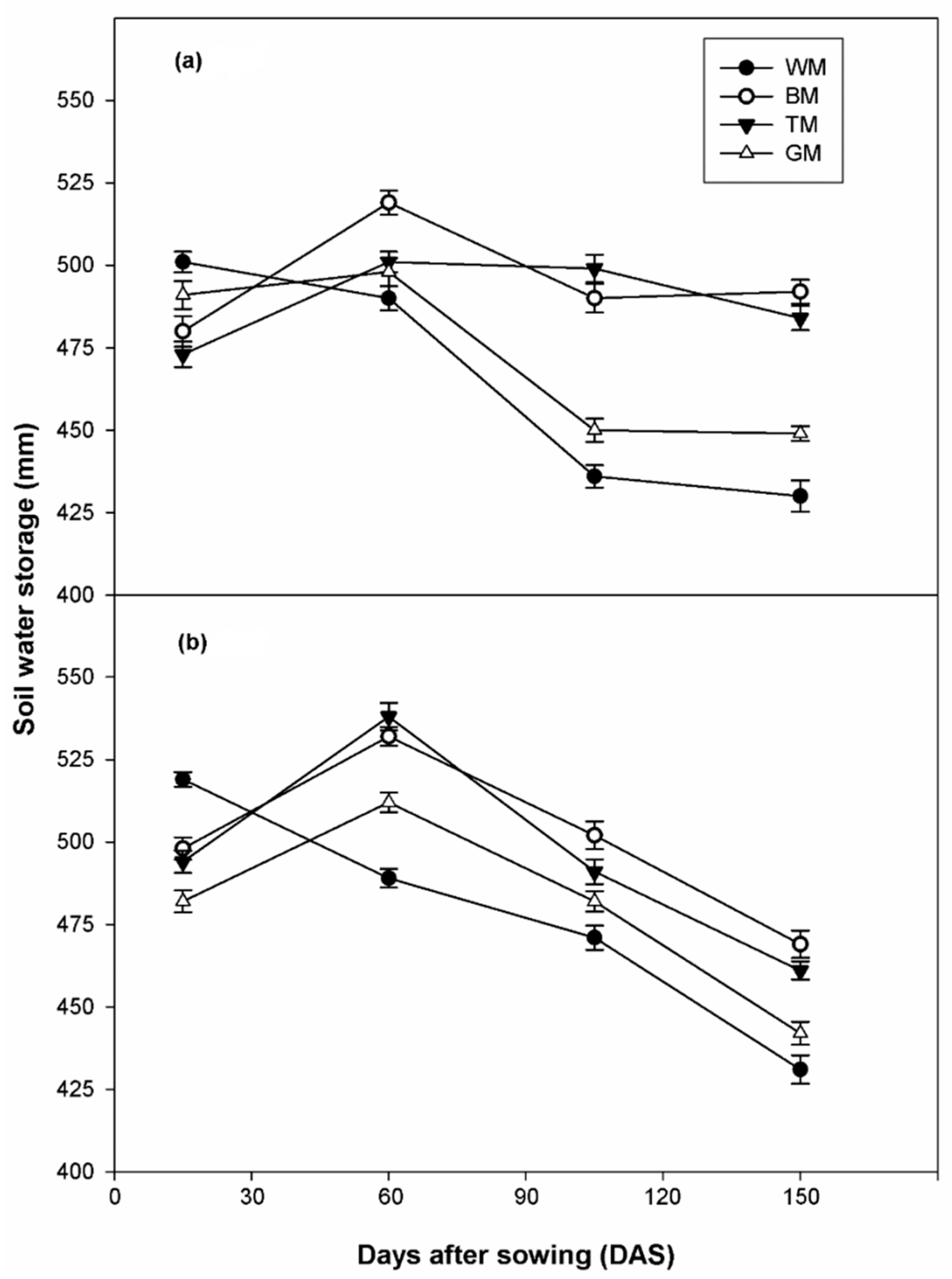
Soil water storage (SWS) indicated a slight difference among the four treatments (Figure 5). Compared to the WM treatment, all mulching treatments augmented the SWS significantly during both growing seasons. The quantity of water storage from 1st (30 DAS) to 2nd (60 DAS) sampling was recorded to be improved with BM, TM and GM treatments in 2017 and 2018, as well as being the most vital water restoring time for crop growth. While, from the 2nd (60 DAS) to the 4th (120 DAS) sampling, differences between the treatments in the value of SWS were very high in 2017, however, in 2018, the differences among the treatments were quite less. At the first sampling, higher soil water was stored in the WM treatment due to more rain in July in both growing seasons. The heavy rain caused the runoff in mulch treatments and WM facilitated the water penetration, which resulted in more soil water contents. The p-value showed that the effect of mulching was significant for leaf area index, crop growth rate and soil water storage at 30, 60, 90 and 120 DAS at a 5% level of probability (Table 3).
Figure 5.
Average soil water storage (SWS, 0–100 cm) under ridge-furrow without mulching (WM), with black plastic mulch (BM), transparent plastic mulch (TM) and grass mulch (GM) in 2017 (a) and 2018 (b).
Table 3.
Summary of the analysis variance for leaf area index, crop growth rate, soil water storage, net photosynthesis rate, transpiration rate and stomatal conductance of maize under different mulching materials.
3.2. Physiological Attributes
In both years of study, the net photosynthetic rate of maize was significantly affected by different ridge-furrow mulches (Figure 6). During both years, the net photosynthetic rate was consistently higher with BM, TM and GM as compared to that with WM. All mulching treatments markedly improved the transpiration rate of maize. The transpiration rate was observed higher in 2017 than that of 2018. The highest transpiration rate was recorded with BM and statistically at par with that of TM during both growing seasons. Compared to WM, GM showed a slightly higher transpiration rate (Figure 7). Figure 8 shows that compared to WM, other treatments, i.e., BM, TM and GM exhibited higher leaf stomatal conductance. Among all mulching treatments, BM produced slightly higher values of leaf stomatal conductance during both years. However, the lowest leaf stomatal conductance was recorded in plots with the ridge-furrow left uncovered (WM).
Figure 6.
Influence of different ridge and furrow mulching treatments on net photosynthetic rate, of maize in 2017 and 2018. WM = Ridge-furrow without mulch, BM = Ridge-furrow covered with black plastic mulch, TM = Ridge-furrow covered with transparent plastic mulch, GM = Ridge-furrow covered with grass mulch.
Figure 7.
Influence of different ridge and furrow mulching treatments on the transpiration rate of maize in 2017 and 2018. WM = Ridge-furrow without mulch, BM = Ridge-furrow covered with black plastic mulch, TM = Ridge-furrow covered with transparent plastic mulch, GM = Ridge-furrow covered with grass mulch.
Figure 8.
Influence of different ridge and furrow mulching treatments on leaf stomatal conductance of maize in 2017 and 2018. WM = Ridge-furrow without mulch, BM = Ridge-furrow covered with black plastic mulch, TM = Ridge-furrow covered with transparent plastic mulch, GM = Ridge-furrow covered with grass mulch.
3.3. Economic Analysis
Different mulching materials and treatments without mulch have a variable cost-benefit ratio (Table 4). The two-year average benefit–cost ratio was ranked as follows: BM > TM > GM > WM. The cost with different treatments followed the order: BM = TM > GM > WM. Net incomes of BM, TM and GM were higher than that of WM. Net income was highest (USD 1226 ha−1) for the BM treatment and the benefit–cost ratio was improved by 16%, compared to WM. The net income difference for BM vs. WM was USD 335 ha−1 (Table 3).
Table 4.
Average economic benefit cost ratio (USD ha−1) of maize production in 2017 and 2018.
4. Discussion
Our study showed that seedling emergence with TM was two days earlier than that with WM. It is believed that solar radiation passed through the transparent film mulch and reached the soil surface but this film prevents the entry of long-wave radiation, hence improving the soil thermal conditions. The early emergence under TM might be due to the thermal difference in the soil. Researcher also pointed out that straw mulch caused cooling effects and plastic film caused warming effects at the early growth stage of the crops. The reduction in the emergence days under mulch treatments might be due to the availability of more moisture compared to that under WM treatments. Mulch treatments reduced the days to emergence.
Consequently, the ridge-furrow mulching treatments produced higher plant height and biological yield than that with WM. The ridge-furrows covered with plastic film raised the soil moisture, which could increase the growth of maize during the early phase [14,28]. There were little differences between BM and TM in terms of improving maize growth and biological yield which may have been due to the availability of moisture at critical growth stages.
The productivity of maize appears to correlate closely with the successive distribution of detected resources [29], in particular, the uptake and absorption of sunlight, which were linked with the leaf area index [30,31]. The mulching treatments significantly improved stored soil water by retaining adequate levels of heat and water for plant growth at the seedling phase. Therefore, the increase in leaf area might have led to an increase in the effective intercepted radiation that was later available for the fast-growing maize crop. However, significant differences were observed between the treatments in terms of crop growth rate with respect to these properties. The BM and TM treatments exhibited a greater crop growth rate, which might have been due to the higher leaf area index, and improved radiation detention [32], which might have led to more biomass production compared to the WM treatment. The possible reason for this is that covering the soil with mulches preserves the soil water by inhibiting the evaporation and enhancing the water. Further, it is reported that when plants were small, soil water was lost mainly through soil evaporation. As the maize crop grew vigorously, the water loss shifted from soil evaporation to plant transpiration, so better water conditions under mulch conditions improved the growth of the maize crop. Compared to the GM and WM treatments, the BM and TM symbolize a more operative exercise to respond to the scarcity of available water. Our findings showed that the ridge-furrow mulching enhanced the soil moisture and augmented the yield of maize with BM and TM at 33.6 and 28.1%, respectively. The improvement in the maize yield resulted from the more efficient single plants developed under BM and TM and could have been due to the exploitation of deep soil water effectively [33,34]. In our study, the ridge-furrow covered with mulches markedly enhanced the water storage of soil. The increased soil moisture contents under mulch conditions could improve the soil nitrogen availability. High N accumulation promotes maize growth by improving nitrogen use efficiency. The soil water storage was higher with BM, TM and GM than that with WM, which might have been due to the reason that mulches inhibit the evaporation from the soil surface and increase rainfall infiltration. According to Li et al. [31] and Wang et al. [35], plastic-covered ridge-furrow mulching can improve the soil moisture status by collecting water more efficiently from light rainfall, endorsing rainfall infiltration and reducing the evaporation. Ren et al. [18] also described that various intensities of rainfall (440, 340 and 230 mm) improved the mean water contents of soil by 4.5, 5.2 and 2.3%, respectively, with the plastic-covered ridge-furrow mulching than with the flat cultivation without ridges and plastic mulches. In addition, more harvested rainwater infiltrated deeper in the covered ridge system when compared to that with flat cultivation, hence increasing the availability of water to plant for a longer period of time as well as being less subject to evaporation [18]. However, for effectiveness on a large scale, this system needs simulation design with different rainfall amounts.
The physiological attributes such as net photosynthetic rate, transpiration rate and leaf stomatal conductance were found to be improved with BM, TM and GM treatments compared to that of WM, because photosynthetic capacity is highly linked with water availability, with maize crop at the early growth stage showing an increase in photosynthesis rate under the plastic film or grass mulch compared to that under non-mulch treatment [36,37,38]. In our experiment, the treatments of mulches resulted in increased retention of soil moisture as compared to that with WM treatment during the partial rainy season. These results might have been due to the loss of soil moisture from the WM treatment due to the strong evaporation from the soil surface by direct sun radiation and dry air during the early phases of maize growth. The BM, TM and GM treatments produced higher net photosynthetic, transpiration rate and leaf stomatal conductance than the WM treatment, because mulches directly inhibit water evaporation from the surface of soil [30] and provide more water to plants, increasing the gas exchange activity of plants by using solar radiation and enhanced canopy transpiration [39]. The plastic and grass mulches could enhance the soil moisture of dry arable land [14,15,35,40].
5. Conclusions
The ridge-furrow covered with plastic mulches accelerated the photosynthetic capacity, growth and development by capture and utilization of rainwater. The BM significantly increased the net photosynthesis and transpiration rate during both growing seasons over the other treatments. Consequently, as compared to all other treatments, BM was found to be the most effective approach to bring an increase in the farmer’s income. Therefore, BM treatment must be encouraged and applied as an effective cultivation method in rain-fed areas.
6. Implication
Crop productivity in arid and semiarid regions of Pakistan is dependent on rainfall. Frequent drought is an important factor that limits crop production. Seasonal rainfall and distribution determine the success of crop in dry areas. This study indicates that ridge-furrow plastic film mulch has some advantages over conventional systems under the same volume of rainfall. First, the ridge-furrow configuration leads to capture and utilizing the small amount of rainfall, thus providing better conditions for maize growth and development. Secondly, the full cover of ridge-furrow with plastic film reduced the evaporation losses. This system is evaluated at a small scale, hence to maximize its effectiveness on a large scale in Pakistan, a simulation design needs to be developed. The cost of ridge-furrow plastic film is higher than the conventional system as the additional cost of plastic and labor is added every year. However, this cost can be compensated with higher productivity under plastic mulch, but plastic fate is a disadvantage in terms of recycling and environmental protection.
Author Contributions
Writing—original draft preparation and edition, M.M.J., H.W. and M.A.; project administration, F.-M.L. and M.A.; conceptualization, methodology and investigation, M.M.J., F.-M.L., A.M., H.I.M.A. and S.F.; writing—review and editing K.A.A., M.A.N., M.N., H.B.A. and M.D.F.A. All authors have read and agreed to the published version of the manuscript.
Funding
Princess Nourah bint Abdulrahman University Researchers Supporting Project Number (PNURSP2022R20), Princess Nourah bint Abdulrahman University, Riyadh, Saudi Arabia.
Institutional Review Board Statement
Not applicable as studies not involving humans or animals.
Data Availability Statement
Not applicable.
Acknowledgments
Princess Nourah bint Abdulrahman University Researchers Supporting Project Number (PNURSP2022R20), Princess Nourah bint Abdulrahman University, Riyadh, Saudi Arabia.
Conflicts of Interest
The authors declare no conflict of interest.
References
- Hanjra, M.A.; Qureshi, M.E. Global water crisis and future food security in an era of climate change. Food Policy 2010, 35, 365–377. [Google Scholar] [CrossRef]
- Basso, B.; Antle, J. Digital agriculture to design sustainable agricultural systems. Nat. Sustain. 2020, 3, 254–256. [Google Scholar] [CrossRef]
- Piao, S.; Ciais, P.; Huang, Y.; Shen, Z.; Peng, S.; Li, J.; Zhou, L.; Liu, H.; Ma, Y.; Ding, Y. The impacts of climate change on water resources and agriculture in China. Nature 2010, 467, 43–51. [Google Scholar] [CrossRef] [PubMed]
- Madushanki, R.; Wirasagoda, H.; Halgamuge, M. Adoption of the Internet of Things (IoT) in agriculture and smart farming towards urban greening: A review. Int. J. Advan. Comp. Sci. Appl. 2019, 10, 11–28. [Google Scholar] [CrossRef] [Green Version]
- Wasaya, A.; Abbas, T.; Yasir, T.A.; Sarwar, N.; Aziz, A.; Javaid, M.M.; Akram, S. Mitigating drought stress in sunflower (Helianthus annuus L.) through exogenous application of β-aminobutyric acid. J. Soil Sci. Plant Nutr. 2021, 21, 936–948. [Google Scholar] [CrossRef]
- Rockström, J.; Lannerstad, M.; Falkenmark, M. Assessing the water challenge of a new green revolution in developing countries. Proc. Natl. Acad. Sci. USA 2007, 104, 6253–6260. [Google Scholar] [CrossRef] [Green Version]
- Sarwar, R.A.; Ashraf, M.; Javaid, M.M. Response of foliar-applied nutrient solution with and without soil-applied fertilizers on growth and yield of mung bean. J. Plant Nutr. 2018, 41, 1083–1093. [Google Scholar] [CrossRef]
- Lobell, D.B.; Burke, M.B.; Tebaldi, C.; Mastrandrea, M.D.; Falcon, W.P.; Naylor, R.L. Prioritizing climate change adaptation needs for food security in 2030. Science 2008, 319, 607–610. [Google Scholar] [CrossRef]
- Dinar, A.; Tieu, A.; Huynh, H. Water scarcity impacts on global food production. Glob. Food Secur. 2019, 23, 212–226. [Google Scholar] [CrossRef] [Green Version]
- Zhao, H.; Xiong, Y.-C.; Li, F.-M.; Wang, R.-Y.; Qiang, S.-C.; Yao, T.-F.; Mo, F. Plastic film mulch for half growing-season maximized WUE and yield of potato via moisture-temperature improvement in a semi-arid agroecosystem. Agric. Water Manag. 2012, 104, 68–78. [Google Scholar] [CrossRef]
- Mak-Mensah, E.; Zhang, D.; Zhou, X.; Zhao, X.; Wang, X.; Zhao, W.; Wang, Q.; Ahiakpa, J.K. Effect of co-application of ridge-furrow rainwater harvesting and mulching on fodder yield, quality, and soil desiccation in alfalfa (Medicago sativa) production. J. Soil Sci. Plant Nutr. 2022, 22, 1–16. [Google Scholar] [CrossRef]
- Li, F.M.; Li, X.G.; Javaid, M.M.; Ashraf, M.; Zhang, F. Ridge-furrow plastic film mulching farming for sustainable dryland agriculture on the Chinese loess plateau. Agron. J. 2020, 112, 3284–3294. [Google Scholar] [CrossRef]
- Javaid, M.M.; Waheed, H.; Nazami, N.; Ashraf, M.; Li, F.-M.; Tanveer, A. Response of chickpea to foliar supply of Hoagland’s solution under rain-fed condition. Semin. Ciências Agrárias 2020, 41, 3053–3066. [Google Scholar] [CrossRef]
- Li, X.Y.; Gong, J.D.; Wei, X.H. In-situ rainwater harvesting and gravel mulch combination for corn production in the dry semi-arid region of China. J. Arid Environ. 2000, 46, 371–382. [Google Scholar] [CrossRef]
- Xie, Z.K.; Wang, Y.J.; Li, F.M. Effect of plastic mulching on soil water use and spring wheat yield in arid region of northwest China. Agric. Water Manag. 2005, 75, 71–83. [Google Scholar] [CrossRef]
- Zhang, J.; Sun, J.; Duan, A.; Wang, J.; Shen, X.; Liu, X. Effects of different planting patterns on water use and yield performance of winter wheat in the Huang-Huai-Hai plain of China. Agric. Water Manag. 2007, 92, 41–47. [Google Scholar] [CrossRef]
- Siddique, K.H.; Johansen, C.; Turner, N.C.; Jeuffroy, M.-H.; Hashem, A.; Sakar, D.; Gan, Y.; Alghamdi, S.S. Innovations in agronomy for food legumes. A review. Agron. Sustain. Dev. 2012, 32, 45–64. [Google Scholar] [CrossRef] [Green Version]
- Ren, X.; Jia, Z.; Chen, X. Rainfall concentration for increasing corn production under semiarid climate. Agric. Water Manag. 2008, 95, 1293–1302. [Google Scholar] [CrossRef]
- Wang, Q.; Zhang, D.; Zhou, X.; Mak-Mensah, E.; Zhao, X.; Zhao, W.; Wang, X.; Stellmach, D.; Liu, Q.; Li, X. Optimum planting configuration for alfalfa production with ridge-furrow rainwater harvesting in a semiarid region of China. Agric. Water Manag. 2022, 266, 107594. [Google Scholar] [CrossRef]
- Turner, N.C. Agronomic options for improving rainfall-use efficiency of crops in dryland farming systems. J. Exp. Bot. 2004, 55, 2413–2425. [Google Scholar] [CrossRef] [Green Version]
- Farooq, N.; Sarwar, G.; Abbas, T.; Bessely, L.; Nadeem, M.A.; Javaid, M.M.; Matloob, A.; Naseem, M.; Ikram, N.A. Effect of drying-rewetting durations in combination with synthetic fertilizers and crop residues on soil fertility and maize production. Pak. J. Bot. 2020, 52, 2051–2058. [Google Scholar] [CrossRef]
- Niu, J.Y.; Gan, Y.T.; Huang, G.B. dynamics of root growth in spring wheat mulched with plastic film. Crop Sci. 2004, 44, 1682–1688. [Google Scholar] [CrossRef]
- Kong, M.; Jia, Y.; Gu, Y.-J.; Han, C.-L.; Song, X.; Shi, X.-Y.; Siddique, K.H.; Zdruli, P.; Zhang, F.; Li, F.-M. How Film Mulch Increases the Corn Yield by Improving the Soil Moisture and Temperature in the Early Growing Period in a Cool, Semi-Arid Area. Agronomy 2020, 10, 1195. [Google Scholar] [CrossRef]
- Shahzad, T.; Ashraf, M.; Javaid, M.M.; Waheed, H.; Abbas, T.; Sattar, F. influence of field soil drought stress on some key physiological, yield and quality traits of selected newly-developed hexaploid bread wheat (Triticum aestivum L.) cultivars. Sains Malays. 2018, 47, 2625–2635. [Google Scholar] [CrossRef]
- Zheng, J.; Fan, J.; Zhou, M.; Zhang, F.; Liao, Z.; Lai, Z.; Yan, S.; Guo, J.; Li, Z.; Xiang, Y. Ridge-furrow plastic film mulching enhances grain yield and yield stability of rainfed maize by improving resources capture and use efficiency in a semi-humid drought-prone region. Agric. Water Manag. 2022, 269, 107654. [Google Scholar] [CrossRef]
- Abid, A.; Hussain, M.; Habib, H.S.; Kiani, T.T.; Anees, M.A.; Rahman, M.A. Foliar spray surpasses soil application of potassium for maize production under rainfed conditions. Turk. J. Field Crops 2016, 21, 36–43. [Google Scholar]
- Steel, R.; Torrie, J.; Dicky, D. Principles and Procedures of Statistics. Multiple Comparisons, 3rd ed.; McGraw Hill: New York, NY, USA, 1997; pp. 178–198. [Google Scholar]
- Deng, H.L.; Xiong, Y.C.; Zhang, H.J.; Li, F.Q.; Zhou, H.; Wang, Y.C.; Deng, Z.R. Maize productivity and soil properties in the Loess Plateau in response to ridge-furrow cultivation with polyethylene and straw mulch. Sci. Rep. 2019, 9, 1–13. [Google Scholar]
- Mwale, S.; Azam-Ali, S.; Massawe, F. Growth and development of bambara groundnut (Vigna subterranea) in response to soil moisture: Dry matter and yield. Eur. J. Agron. 2007, 26, 345–353. [Google Scholar] [CrossRef]
- Zhou, L.M.; Li, F.M.; Jin, S.L.; Song, Y. How two ridges and the furrow mulched with plastic film affect soil water, soil temperature and yield of maize on the semiarid Loess Plateau of China. Field Crops Res. 2009, 113, 41–47. [Google Scholar] [CrossRef]
- Li, X.Y.; Gong, J.D.; Gao, Q.Z.; Li, F.R. Incorporation of ridge and furrow method of rainfall harvesting with mulching for crop production under semiarid conditions. Agric. Water Manag. 2001, 50, 173–183. [Google Scholar] [CrossRef]
- Szota, C.; McCarthy, M.; Sanders, G.; Farrell, C.; Fletcher, T.; Arndt, S.; Livesley, S. Tree water-use strategies to improve stormwater retention performance of biofiltration systems. Water Res. 2018, 144, 285–295. [Google Scholar] [CrossRef] [PubMed]
- Ma, S.; Wang, Q.; Luo, X. Effect of climate change on maize (Zea mays) growth and yield based on stage sowing. Acta Ecol. Sin. 2008, 28, 2131–2139. [Google Scholar]
- Lu, H.; Xia, Z.; Fu, Y.; Wang, Q.; Xue, J.; Chu, J. Response of soil temperature, moisture, and spring maize (Zea mays L.) root/shoot growth to different mulching materials in semi-arid areas of northwest China. Agronomy 2020, 10, 453. [Google Scholar] [CrossRef] [Green Version]
- Wang, Y.; Xie, Z.; Malhi, S.S.; Vera, C.L.; Zhang, Y.; Wang, J. Effects of rainfall harvesting and mulching technologies on water use efficiency and crop yield in the semi-arid Loess Plateau, China. Agric. Water Manag. 2009, 96, 374–382. [Google Scholar] [CrossRef]
- Zhu, P.; Zhuang, Q.; Archontoulis, S.V.; Bernacchi, C.; Müller, C. Dissecting the nonlinear response of maize yield to high temperature stress with model-data integration. Glob. Change Biol. 2019, 25, 2470–2484. [Google Scholar] [CrossRef]
- Wijewardana, C.; Henry, W.B.; Hock, M.W.; Reddy, K.R. Growth and physiological trait variation among corn hybrids for cold tolerance. Canad. J. Plant Sci. 2016, 96, 639–656. [Google Scholar] [CrossRef] [Green Version]
- Javaid, M.M.; Wang, X.; Florentine, S.K.; Ashraf, M.; Mahmood, A.; Li, F.-M.; Fiaz, S. Effects on photosynthetic response and biomass productivity of Acacia longifolia subspecies longifolia under elevated CO2 and water-limited regimes. Front. Plant Sci. 2022, 13, 817730. [Google Scholar] [CrossRef]
- Jia, Y.; Li, F.-M.; Wang, X.-L.; Yang, S.-M. Soil water and alfalfa yields as affected by alternating ridges and furrows in rainfall harvest in a semiarid environment. Field Crops Res. 2006, 97, 167–175. [Google Scholar] [CrossRef]
- Gu, C.; Liu, Y.; Mohamed, I.; Zhang, R.; Wang, X.; Nie, X.; Jiang, M.; Brooks, M.; Chen, F.; Li, Z. Dynamic changes of soil surface organic carbon under different mulching practices in citrus orchards on sloping land. PLoS ONE 2016, 11, e0168384. [Google Scholar] [CrossRef] [Green Version]
Publisher’s Note: MDPI stays neutral with regard to jurisdictional claims in published maps and institutional affiliations. |
© 2022 by the authors. Licensee MDPI, Basel, Switzerland. This article is an open access article distributed under the terms and conditions of the Creative Commons Attribution (CC BY) license (https://creativecommons.org/licenses/by/4.0/).







