Cover Crops Enhance Soil Properties in Arid Agroecosystem despite Limited Irrigation
Abstract
:1. Introduction
2. Materials and Methods
2.1. Site Descriptions
2.2. Experimental Design
2.3. Cover Crop Management
2.4. Soil Sampling
2.5. Soil Laboratory Analysis
2.6. Statistical Analyses
3. Results
3.1. Cover Crop Biomass
3.2. Soil Physical Properties
3.2.1. Dry Aggregate Size Distribution
3.2.2. Wet Aggregate Stability
3.3. Soil Chemical and Nutrient Properties
3.3.1. Permanganate Oxidizable Carbon
3.3.2. Soil Organic Matter
3.3.3. Supplemental Nitrogen Fertilizer Added
3.3.4. Sweet Corn Yield
4. Discussion
4.1. Irrigation Effects and Cover Crop Biomass
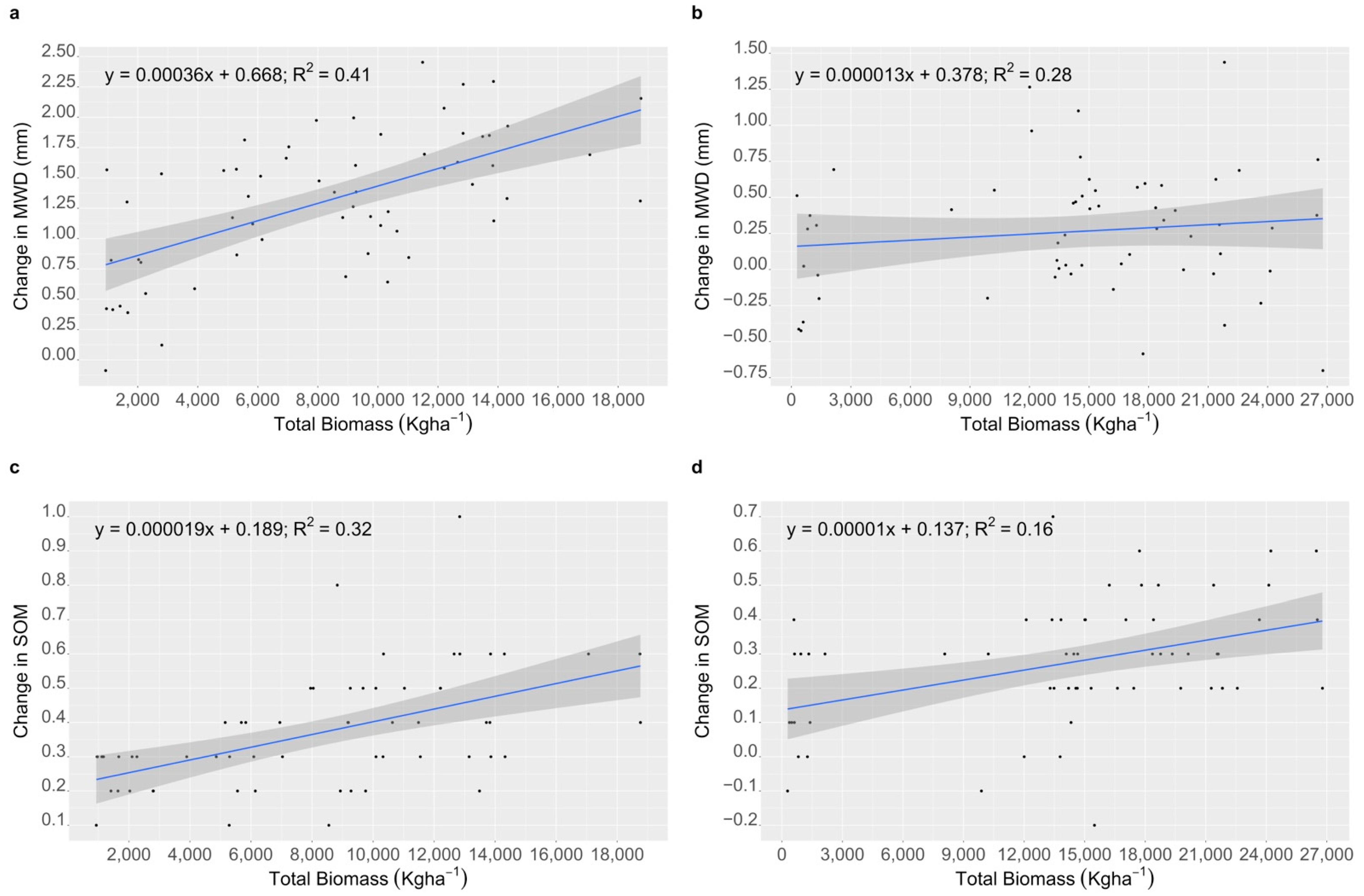
4.2. Soil Physical Properties
4.3. Soil Chemical and Nutrient Properties
5. Conclusions
Author Contributions
Funding
Institutional Review Board Statement
Acknowledgments
Conflicts of Interest
References
- Moore, E.B.; Wiedenhoeft, M.H.; Kaspar, T.C.; Cambardella, C.A. Rye Cover Crop Effects on Soil Quality in No-Till Corn Silage-Soybean Cropping Systems. Soil Sci. Soc. Am. J. 2014, 78, 968–976. [Google Scholar] [CrossRef]
- Dabney, S.M.; Delgado, J.A.; Reeves, D.W. Using Winter Cover Crops to Improve Soil and Water Quality. Commun. Soil Sci. Plant Anal. 2001, 32, 1221–1250. [Google Scholar] [CrossRef]
- Hobbs, P.R.; Sayre, K.; Gupta, R. The Role of Conservation Agriculture in Sustainable Agriculture. Philos. Trans. Biol. Sci. 2008, 363, 543–555. [Google Scholar] [CrossRef] [PubMed]
- Hermawan, B.; Bomke, A.A. Effects of Winter Cover Crops and Successive Spring Tillage on Soil Aggregation. Soil Tillage Res. 1997, 44, 109–120. [Google Scholar] [CrossRef]
- Steele, M.K.; Coale, F.J.; Hill, R.L. Winter Annual Cover Crop Impacts on No-Till Soil Physical Properties and Organic Matter. Soil Sci. Soc. Am. J. 2012, 76, 2164–2173. [Google Scholar] [CrossRef]
- Kheirabadi, H.; Mahmoodabadi, M.; Jalali, V.; Naghavi, H. Sediment Flux, Wind Erosion and Net Erosion Influenced by Soil Bed Length, Wind Velocity and Aggregate Size Distribution. Geoderma 2018, 323, 22–30. [Google Scholar] [CrossRef]
- Chen, G.; Weil, R.R. Penetration of Cover Crop Roots through Compacted Soils. Plant Soil 2010, 331, 31–43. [Google Scholar] [CrossRef]
- Materechera, S.A.; Dexter, A.R.; Alston, A.M. Penetration of very strong soils by seedling roots of different plant species. Plant Soil 1991, 135, 31–41. [Google Scholar] [CrossRef]
- Williams, S.M.; Weil, R.R. Crop Cover Root Channels May Alleviate Soil Compaction Effects on Soybean Crop. Soil Sci. Soc. Am. J. 2010, 68, 1403. [Google Scholar] [CrossRef]
- Dabney, S.M.; Delgado, J.A.; Collins, F.; Meisinger, J.J.; Schomberg, H.H.; Liebig, M.A.; Kaspar, T.; Mitchell, J. Chapter 9 Using Cover Crops and Cropping Systems for Nitrogen Management. Adv. Nitrogen Manag. Water Qual. 2010, 230–281. [Google Scholar]
- Tobergte, D.R.; Curtis, S. Managing Cover Crops Profitably; Diane Publishing: Darby, PA, USA, 2012; Volume 53. [Google Scholar] [CrossRef]
- Olson, K.; Ebelhar, S.A.; Lang, J.M. Long-Term Effects of Cover Crops on Crop Yields, Soil Organic Carbon Stocks and Sequestration. Open J. Soil Sci. 2001, 4, 284–292. [Google Scholar] [CrossRef] [Green Version]
- Blanco-Canqui, H.; Mikha, M.M.; Presley, D.R.; Claassen, M.M. Addition of Cover Crops Enhances No-Till Potential for Improving Soil Physical Properties. Soil Sci. Soc. Am. J. 2011, 75, 1471–1482. [Google Scholar] [CrossRef]
- Qi, Z.; Helmers, M.J. Soil Water Dynamics under Winter Rye Cover Crop in Central IowaAll Rights Reserved. No Part of This Periodical May Be Reproduced or Transmitted in Any Form or by Any Means, Electronic or Mechanical, Including Photocopying, Recording, or Any Information Storage and Retrieval System, without Permission in Writing from the Publisher. Vadose Zone J. 2010, 9, 53–60. [Google Scholar] [CrossRef]
- Carlson, S.; Stockwell, R. Research Priorities for Advancing Adoption of Cover Crops in Agriculture-Intensive Regions. J. Agric. Food Syst. Community Dev. 2013, 3, 125–129. [Google Scholar] [CrossRef] [Green Version]
- Nielsen, D.C.; Lyon, D.J.; Hergert, G.W.; Higgins, R.K.; Holman, J.D. Cover Crop Biomass Production and Water Use in the Central Great Plains. Agron. J. 2015, 107, 2047–2058. [Google Scholar] [CrossRef]
- Sheng, Z. Impacts of Groundwater Pumping and Climate Variability on Groundwater Availability in the Rio Grande Basin. Ecosphere 2013, 4, 1–25. [Google Scholar] [CrossRef]
- Idowu, J.; Grover, K. Principles of Cover Cropping for Arid and Semi-Arid Farming Systems; New Mexico State University: Las Cruces, NM, USA, 2014; pp. 1–8. [Google Scholar]
- Agarwal, P.; Schutte, B.J.; Idowu, O.J.; Steiner, R.L.; Lehnhoff, E.A. Weed Suppression versus Water Use: Efficacy of Cover Crops in Water-Limited Agroecosystems. Weed Res. 2022, 62, 24–37. [Google Scholar] [CrossRef]
- Idowu, O.J.; Kircher, P. Soil Quality of Semi-Arid Conservation Reserve Program Lands in Eastern New Mexico. Arid. Land Res. Manag. 2016, 30, 153–165. [Google Scholar] [CrossRef]
- Ogden, C.B.; van Es, H.M.; Schindelbeck, R.R. Miniature Rain Simulator for Field Measurement of Soil Infiltration. Soil Sci. Soc. Am. J. 1997, 61, 1041–1043. [Google Scholar] [CrossRef]
- Weil, R.R.; Stine, M.A.; Islam, K.R.; Gruver, J.B.; Samson-liebig, S.E. Estimating Active Carbon for Soil Quality Assessment: A Simplified Method for Laboratory and Field Use Estimating Active Carbon for Soil Quality Assessment: A Simpli ® Ed Method for Laboratory and ® Eld Use. Am. J. Altern. Agric. 2003, 18, 3–17. [Google Scholar] [CrossRef]
- Gruver, J. Evaluating the Sensitivity and Linearity of a Permanganate-Oxidizable Carbon Method. Commun. Soil Sci. Plant Anal. 2015, 46, 490–510. [Google Scholar] [CrossRef]
- Olsen, S. Estimation of Available Phosphorus in Soils by Extraction with Sodium Bicarbonate; US Department of Agriculture: Washington, DC, USA, 1954. [Google Scholar]
- McGeorge, W.T. Diagnosis and Improvement of Saline and Alkaline Soils. Soil Sci. Soc. Am. J. 1954, 18, 348. [Google Scholar] [CrossRef]
- Richard, B.J. Recommended Chemical Soil Test Procedures for the North Central Region; Missouri Agricultural Experiment Station: Columbia, MO, USA, 1998. [Google Scholar]
- Schulte, E.E.; Hopkins, B.G. Estimation of Soil Organic Matter by Weight Loss-On-Ignition. Soil Org. Matter Anal. Interpret. 1996, 46, 21–31. [Google Scholar] [CrossRef]
- Kuznetsova, A.; Brockhoff, P.B.; Christensen, R.H.B. LmerTest Package: Tests in Linear Mixed Effects Models. J. Stat. Softw. 2017, 82, 1–26. [Google Scholar] [CrossRef] [Green Version]
- Antosh, E.; Idowu, J.; Schutte, B.; Lehnhoff, E. Winter Cover Crops Effects on Soil Properties and Sweet Corn Yield in Semi-Arid Irrigated Systems. Agron. J. 2020, 112, 92–106. [Google Scholar] [CrossRef]
- Khan, Q.A.; Mcvay, K.A. Productivity and Stability of Multi-Species Cover Crop Mixtures in the Northern Great Plains. Agron. J. 2019, 111, 1817–1827. [Google Scholar] [CrossRef]
- Guo, M. Soil Sampling and Methods of Analysis. J. Environ. Qual. 2009, 38, 375. [Google Scholar] [CrossRef]
- Blanco-canqui, H.; Holman, J.D.; Schlegel, A.J.; Tatarko, J.; Shaver, T.M. Replacing Fallow with Cover Crops in a Semiarid Soil: Effects on Soil Properties. Soil Sci. Soc. Am. J. 2013, 77, 1026–1034. [Google Scholar] [CrossRef] [Green Version]
- Kaspar, T.C.; Singer, J.W. The Use of Cover Crops to Manage Soil. Soil Manag. Build. Stable Base Agric. 2011, 321–337. [Google Scholar] [CrossRef]
- Legout, C.; Leguédois, S.; le Bissonnais, Y. Aggregate Breakdown Dynamics under Rainfall Compared with Aggregate Stability Measurements. Eur. J. Soil Sci. 2005, 56, 225–238. [Google Scholar] [CrossRef]
- Haynes, R.J.; Beare, M.H. Influence of Six Crop Species on Aggregate Stability and Some Labile Organic Matter Fractions. Soil Biol. Biochem. 1997, 29, 1647–1653. [Google Scholar] [CrossRef]
- Villamil, M.B.; Bollero, G.A.; Darmody, R.G.; Simmons, F.W.; Bullock, D.G. No-Till Corn/Soybean Systems Including Winter Cover Crops. Soil Sci. Soc. Am. J. 2006, 70, 1936–1944. [Google Scholar] [CrossRef]
- Ramos, M.E.; Benítez, E.; García, P.A.; Robles, A.B. Cover Crops under Different Managements vs. Frequent Tillage in Almond Orchards in Semiarid Conditions: Effects on Soil Quality. Appl. Soil Ecol. 2010, 44, 6–14. [Google Scholar] [CrossRef]
- Paustian, K.; Collins, H.P.; Paul, E.A. Management Controls on Soil Carbon. In Soil Organic Matter in Temperate Agroecosystems; CRC Press: Boca Raton, FL, USA, 1997; pp. 15–49. [Google Scholar] [CrossRef]
- Newman, Y.C.; Wright, D.W.; Mackowiak, C.; Scholberg, J.M.S.; Cherr, C.M. Benefits of Cover Crops for Soil Health. EDIS 2007, 20, 1–3. [Google Scholar] [CrossRef]
- Blanco-Canqui, H.; Shapiro, C.A.; Wortmann, C.S.; Drijber, R.A.; Mamo, M.; Shaver, T.M.; Ferguson, R.B. Soil Organic Carbon: The Value to Soil Properties. J. Soil Water Conserv. 2013, 68, 129–134. [Google Scholar] [CrossRef]
- Seo, J.; Lee, H.; Hur, I.; Kim, S.; Kim, C.; Jo, H. Use of Hairy Vetch Green Manure as Nitrogen Fertilizer for Corn Production. Korean J. Crop Sci. 2000, 45, 294–299. [Google Scholar]
- Kaleeem Abbasi, M.; Mahmood Tahir, M.; Sabir, N.; Khurshid, M.; Jammu, A. Impact of the Addition of Different Plant Residues on Nitrogen Mineralization-Immobilization Turnover and Carbon Content of a Soil Incubated under Laboratory Conditions. Solid Earth 2015, 6, 197–205. [Google Scholar] [CrossRef] [Green Version]



| Cover Crop Treatments | Leyendecker | Los Lunas | ||||
|---|---|---|---|---|---|---|
| 2018 | 2019 | 2020 | 2018 | 2019 | 2020 | |
| AGG > 2 mm (%) | ||||||
| Fallow | 30 (2.2) Caba a | 37 (2.2) Bb | 43 (2.2) Ab | 29 (3.0) ABa | 25 (3.0) Ba | 30 (3.0) Aa |
| Barley | 30 (2.0) Cab | 40 (2.0) Bb | 60 (2.0) Aa | 29 (2.9) Ba | 19 (2.9) Ca | 36 (2.9) Aa |
| Mustard | 32 (2.0) Ca | 43 (2.0) Bab | 59 (2.0) Aa | 29 (2.9) Aa | 22 (2.9) Ba | 30 (2.9) Aa |
| Pea | 31 (2.0) Ca | 45 (2.0) Ba | 62 (2.0) Aa | 25 (2.9) Ba | 17 (2.9) Ca | 35 (2.9) Aa |
| Mix | 25 (2.0) Cb | 45 (2.0) Ba | 62 (2.0) Aa | 29 (2.9) Ba | 20 (2.9) Ca | 34 (2.9) Aa |
| WAS (%) | ||||||
| Fallow | 61 (2.5) Aa | 61 (2.5) Aa | 59 (2.5) Ab | 61 (1.9) Ba | 73(1.9) Aa | 70(1.9) Aa |
| Barley | 59 (2.5) Ba | 67 (2.5) Aa | 64 (2.5) ABab | 60 (1.9) Bab | 72 (1.9) Aa | 72 (1.9) Aa |
| Mustard | 59 (2.5) Ba | 68 (2.5) Aa | 65 (2.5) ABab | 59 (1.9) Bab | 71 (1.9) Aa | 68 (1.9) Aab |
| Pea | 61 (2.5) Ba | 66 (2.5) ABa | 67 (2.5) Aa | 56 (1.9) Bb | 70 (1.9) Aa | 70 (1.9) Aa |
| Mix | 58 (2.5) Ba | 68 (2.5) Aa | 69 (2.5) Aa | 62 (1.9) Ba | 73 (1.9) Aa | 64 (1.9) Bb |
| POXC (mg kg−1) | ||||||
| Fallow | 430 (7.7) Aab | 435 (7.7) Aa | 431(7.7) Aa | 353 (10.0) Ba | 438 (10.0) Aa | 457 (10.0) Aa |
| Barley | 430 (7.7) Aab | 440 (7.7) Aa | 441 (7.7) Aa | 364 (9.7) Ca | 431 (9.7) Ba | 483 (9.7) Aa |
| Mustard | 418 (7.7) Bb | 446 (7.7) Aa | 433 (7.7) ABa | 359 (9.7) Ca | 436 (9.7) Ba | 477 (9.7) Aa |
| Pea | 444 (7.7) Aa | 445 (7.7) Aa | 445 (7.7) Aa | 354 (9.7) Ca | 437 (9.7) Ba | 477 (9.7) Aa |
| Mix | 425 (7.7) Bab | 436 (7.7) ABa | 450 (7.7) Aa | 373 (9.7) Ca | 433 (9.7) Ba | 469 (9.7) Aa |
| SOM (%) | ||||||
| Fallow | 2.21 (0.07) Ca | 2.61 (0.07) Ab | 2.46 (0.07) Bb | 1.85 (0.07) Ba | 2.06 (0.07) Aa | 2.01 (0.07) Aa |
| Barley | 2.2 (0.07) Ba | 2.68 (0.07) Aab | 2.57 (0.07) Aab | 1.81 (0.06) Ba | 2.05 (0.06) Aa | 2.12 (0.06) Aa |
| Mustard | 2.3 (0.07) Ba | 2.69 (0.07) Aab | 2.61 (0.07) Aa | 1.86 (0.06) Ba | 2.05 (0.06) Aa | 2.14 (0.06) Aa |
| Pea | 2.2 (0.07) Ba | 2.78 (0.07) Aa | 2.7 (0.07) Aa | 1.81 (0.06) Ba | 2.01 (0.06) Aa | 2.1 (0.06) Aa |
| Mix | 2.25 (0.07) Ba | 2.7 (0.07) Aab | 2.68 (0.07) Aa | 1.84 (0.06) Ba | 2.13 (0.06) Aa | 2.18 (0.06) Aa |
Publisher’s Note: MDPI stays neutral with regard to jurisdictional claims in published maps and institutional affiliations. |
© 2022 by the authors. Licensee MDPI, Basel, Switzerland. This article is an open access article distributed under the terms and conditions of the Creative Commons Attribution (CC BY) license (https://creativecommons.org/licenses/by/4.0/).
Share and Cite
Agarwal, P.; Lehnhoff, E.A.; Steiner, R.L.; Idowu, O.J. Cover Crops Enhance Soil Properties in Arid Agroecosystem despite Limited Irrigation. Agronomy 2022, 12, 1235. https://doi.org/10.3390/agronomy12051235
Agarwal P, Lehnhoff EA, Steiner RL, Idowu OJ. Cover Crops Enhance Soil Properties in Arid Agroecosystem despite Limited Irrigation. Agronomy. 2022; 12(5):1235. https://doi.org/10.3390/agronomy12051235
Chicago/Turabian StyleAgarwal, Prashasti, Erik A. Lehnhoff, Robert L. Steiner, and Omololu John Idowu. 2022. "Cover Crops Enhance Soil Properties in Arid Agroecosystem despite Limited Irrigation" Agronomy 12, no. 5: 1235. https://doi.org/10.3390/agronomy12051235
APA StyleAgarwal, P., Lehnhoff, E. A., Steiner, R. L., & Idowu, O. J. (2022). Cover Crops Enhance Soil Properties in Arid Agroecosystem despite Limited Irrigation. Agronomy, 12(5), 1235. https://doi.org/10.3390/agronomy12051235

