Abstract
The application of organic liquid fertilizer combined with chemical fertilizer is one of the key technologies used to simultaneously improve cotton yield and efficiently utilize resources. However, organic fertilizer is usually applied once as a base fertilizer during production, and few studies have been conducted on topdressing with water during the growth period. Therefore, in this study, Xinluzao 74 was used as the experimental material, and a single fertilizer application (CF) was used as a control in 2019–2020 under the conditions of integrated control of water and fertilizer with mulch drip irrigation. Five combinations of reduction in chemical fertilizer combined with organic fertilizer (OF1, OF2, OF3, OF4, and OF5) were used to investigate the influences of chemical fertilizer combined with organic liquid fertilizer on the leaf area index (LAI), canopy openness (DIFN), mean foliage tilt angle (MTA), photosynthetically active radiation (PAR), canopy apparent photosynthesis (CAP), and yield and quality of cotton. The results show that among the different fertilization treatments, the OF2 treatment had the best results, not only ensuring a suitable LAI (4.8) and maintaining a large DIFN (0.1) but also increasing the light transmittance of the middle and lower canopies (0.02–0.03). At the same time, CAP increased significantly compared with that in the CF treatment, with an average increase of 12.8%. The high value lasted for a long time, and the late decay stage remained at 8.9 μmol m−2 s−1. The ratio of the population respiration rate to total photosynthesis (CR/TCAP) decreased significantly, with an average decrease of 13.5%. Compared with that in CF, the lint yield increased by 27.0% in the other treatments. The correlation analysis showed that lint yield was positively correlated with the relative chlorophyll content (SPAD value), PAR transmittance (PARU) and CAP in the upper canopy (p < 0.05) and significantly negatively correlated with PAR transmittance (PARM) in the middle canopy and PAR transmittance (PARD) and CR/TCAP in the lower canopy (p < 0.05). Therefore, under mulch drip irrigation, the OF2 treatment (OF + 80% CF) improved the canopy structure of cotton at the late growth stage, increased the population photosynthetic rate, and increased lint yield significantly; thus, this approach can be used as an effective fertilization method to achieve the goal of decreasing costs and increasing efficiency in cotton production.
1. Introduction
Cotton is an important cash crop and a major source of natural fiber [1]. As one of the major cotton producers, China accounts for 25.6% of the world’s cotton output [2]. In 2020, Xinjiang’s cotton output accounted for 87.3% of the output of the whole country and 22.3% of the output worldwide [3]. A high yield of cotton is inseparable from the large amount of fertilizer input used in production. For a long time, the view was that the more fertilizer that is applied, the higher the yield will be, and excessive fertilization in production has been common [4]. However, long-term excessive application of chemical fertilizer can lead to a series of environmental problems, such as soil bulk-density reduction, soil consolidation, soil acidification, water eutrophication and soil microbial-diversity reduction [5,6], seriously hindering the sustainable development of the cotton industry [7]. Therefore, identifying sustainable fertilization modes has become the core problem for sustainable cotton production.
Increasing organic fertilizer could not only significantly improve cotton yield and nitrogen-use efficiency [8] but also be of great significance to soil fertility [9]. A reduction in nitrogen and phosphorus combined with organic fertilizer can in practice ameliorate the content of soil nutrients [10] to provide sufficient nutrients to crops, which is conducive to crop growth and yield increases [11]. A 20% reduction in nitrogen fertilizer combined with organic liquid fertilizer had the best effect on the physiological characteristics and yield of cotton [12]. Therefore, exploring the potential of the combined effect of chemical fertilizer and organic liquid fertilizer is a way to sustainably increase crop yield and efficiency.
An appropriate canopy structure is the basis of efficient crop production [13], and soil moisture and nutrients are important environmental factors affecting the cotton canopy [14]. Most previous studies have focused on the effects of organic fertilizer base application combined with fertilizer reduction on soil nutrients, cotton growth and yield formation [15], and few studies have been conducted on the influence of liquid organic fertilizer combined with reduced chemical fertilizer on the canopy structure and function of cotton during its growth period. Previous studies have shown that [16] compared with chemical fertilizer alone, organic liquid-fertilizer investment could improve the total boll amount per unit area of cotton and then increase lint yield. We hypothesized that a reduction in chemical fertilizer combined with organic liquid fertilizer would optimize the canopy structure of cotton, enhance the photosynthetic capacity of the cotton population, and ultimately promote an increase in cotton yield.
Therefore, in this study, with drip irrigation under mulch, (1) the effects of liquid organic fertilizer combined with chemical fertilizer on the canopy structure and photosynthetic characteristics of cotton were investigated. (2) In addition, the correlation between canopy structure and cotton yield was analyzed, and the best combination of chemical fertilizer and organic liquid fertilizer was selected to achieve high yields and efficient cotton production.
2. Materials and Methods
2.1. Experimental Area and Soil Characteristics
A two-year field experiment was conducted during 2019–2020 at the Shihezi Experimental Station for Crop Water Use of the Ministry of Agriculture, Shihezi, China (45°38′ N latitude, 86°09′ E longitude). The cotton cultivar Xinluzao 74 (Gossypium hirsutum L.) (with a growth period of 124 d) was used. The basic physical and chemical characteristics of the 0–20 cm topsoil layer are shown in (Table 1). The meteorological data during the cotton-growing stage are shown in (Figure 1)
Table 1.
The basic physical and chemical characteristics of the 0–20 cm topsoil layer.
Figure 1.
Average monthly precipitation (mm) and air temperature (°C) in the 2019 and 2020 cotton-growing seasons.
Each experimental plot was 10 m long and 6.84 m wide, and the total area was 68.4 m2. Chemical fertilizers included urea (46.0% N), monoammonium phosphate (12.0% N and 61.0% P2O5), and potassium sulfate (50.0% K2O). The organic liquid fertilizer was soluble organic matter (humic acid ≥30 g−1, amino acid ≥10 g−1), trace elements (manganese, zinc, boron ≥ 1 g−1), and microbial flora (Bacillussubtilis ≥ 2 × 108 g−1) [17].
2.2. Experimental Design and Crop Management
An experiment was designed with six treatments and three replications applied to a randomized block. The treatments included a single-use chemical fertilizer (CF) used as a control and a combination of chemical fertilizer and organic liquid fertilize (OF) with CF in the following ratios, i.e., OF1, OF2, OF3, OF4, and OF5, with adjusted ratios of N, P2O5, and K2O. These treatments were as follows: CF, where N, P2O5, and K2O were applied at 228–131–95 kg ha−1 (Ma et al., 2020); OF1 = (OF + 60% CF), where N, P2O5, and K2O were applied at 137–78–57 kg ha−1; OF2 = (OF + 80% CF), where N, P2O5, and K2O were applied at 182–104–76 kg ha−1; OF3 = (OF + 100% CF), where N, P2O5, and K2O were applied at 228–131–95 kg ha−1; OF4 = (OF + 120% CF), where N, P2O5, and K2O were applied at 273–157–114 kg ha−1; and OF5 = (OF + 140% CF), where N, P2O5, and K2O were applied at 319–183–133 kg ha−1.
The cotton-cultivation method was 66 + 10 cm with six rows in each mulch sheet, relying on drip irrigation technology under membrane. Seeds were sown on 18 April 2019 and 13 April 2020, with a planting density of 20.07 × 104 plants ha−1. The quantity of irrigation water applied was 4350 m3 ha−1, and fertilizers were applied as topdressing under drip irrigation. Crop-management measures including irrigation, thinning, hoeing, and weeding were used.
2.3. Relative Chlorophyll Content
The relative chlorophyll content (SPAD values) of fully expanded functional leaves (from the fourth vertex) was obtained at different growth periods using a chlorophyll meter (SPAD—502Plus, KONICA MINOLTA, Chiyoda-ku, Tokyo, Japan). Fifteen leaves were selected for each treatment; each leaf was measured 3 times and the average value was taken, avoiding the leaf veins during the measurement.
2.4. Canopy Structure
The leaf area index (LAI) was measured by an LAI-2200 canopy analyzer (LI-COR, USA), and it included the mean foliage tilt angle (MTA) and canopy openness (DIFN) at the initial flowering stage (IF), full-flowering stage (FF), full-boll stage (FB), late full-boll stage (LFB), and boll-opening stage (BO) from 11:00 to 14:00. Each treatment was repeated 4–6 times.
2.5. Canopy Light Transmittance Rate
On days with clear fine bright weather, from 11:00 to 14:00, SUNSCAN was used to measure the natural total light (Io) 30 cm above the top of the canopy with the instrument’s probe plane horizontally upward, reflected light intensity (In) with the probe plane horizontally downward, light transmittance rate (LLR); light transmittance of the upper canopy (IU), mid (IM), and lower (IL) canopy layer was then calculated using the equation: LLR (%) = IU/Io × 100, IM/Io × 100, IL/Io × 100.
2.6. Canopy Apparent Photosynthesis and Canopy Respiration
Canopy apparent photosynthesis (CAP) and canopy respiration rate (CR) were measured using the assimilation chamber method on the same day described by Reddy et al. [18]. A Li-8100A soil CO2 flux system (Li-Cor Inc., Lincoln, NE, USA) was used to measure indoor CO2 concentrations. The CAP measurements were taken on clear windless days between 12:00 and 14:00. The assimilation chamber (0.9 m long × 0.7 m wide × 1 m high) had two fans installed to mix the chamber inside the air, and the frame cover was transparent polyester film. A closed-circuit system was used for the measurements. Gas-exchange rates in different treatments were measured at 60 s intervals. Then, the data were logged when the chamber inside CO2 concentrations decreased steadily. The ratio of respiration rate to total photosynthetic rate was calculated as CR/TCAP = CR/(CR + CAP)Each treatment was repeated 4–6 times.
2.7. Yield and Quality
During the cotton harvest period (22 September 2019 and 26 September 2020), three representative sampling points (2 m × 2.28 m) were selected in each treatment. Fifty bolls were picked in each plot and put into mesh bags for indoor measurement of lint percentage. Lint yield was converted into lint percentage after sampling 50 bolls. Lint quality (including specific breaking strength, fiber elongation, and micronaire value) was measured at the Ministry of Agriculture center (Anyang, China) with an HVI 900 large-capacity fiber tester.
2.8. Data Analysis
Data processing was performed using Microsoft Excel 2016. All data were analyzed using SPSS (IBM Inc., Chicago, IL, USA) software, and multiple comparisons were conducted by standard analyses of variance (ANOVA) and the Duncan method (p ≤ 0.05). Significant differences were separated among treatments at the 5% probability level (p ≤ 0.05). Data presented are the mean ± SEM (standard error of the mean).
3. Results
3.1. Chlorophyll SPAD Value
FS, full-squaring stage; IF, initial flowering stage; FF, full-flowering stage; FB, full-boll stage; LFB, late full-boll stage; BO, boll-opening stage. Different letters for a particular growth stage indicate significant treatment differences at the p ≤ 0.05. The same applies in the figures below.
The SPAD values were affected by the different fertilization treatments (Figure 2). The SPAD values of the different fertilization treatments all reached maximum values at the full-boll stage, and the SPAD values of the OF1~OF5 treatments increased significantly compared with those of the CF treatment, with average increases of 3.4%, 5.3%, 5.3%, 7.1%, and 6.5% for OF5, OF4, OF2, OF3, and OF1, respectively. The chlorophyll SPAD values of the OF1~OF5 treatments increased by 0.2%, 2.3%, 0.6%, 2.4%, and 6.6% compared with the CF treatment, indicating that organic liquid fertilizer combined with chemical fertilizer can effectively delay leaf senescence.
Figure 2.
Effect of organic liquid fertilizer combined with different ratios of chemical fertilizer on the SPAD values of cotton. FS, full-squaring stage; IF, initial flowering stage; FF, full-flowering stage; FB, full-boll stage; LFB, late full-boll stage; BO, boll-opening stage. Different letters above the columns indicate statistical significance at the p = 0.05 level within the same growth stage in each year.
3.2. Leaf Area Index
The LAI was affected by the different fertilization treatments, as shown in Figure 3. The LAI changed with different fertilization treatments, and the LAI in all treatments reached peak values at the later full-boll stage. ANOVA showed that the OF1~OF2 treatments were obviously lower than the CF treatment (p < 0.05), while no obvious difference was found in the LAI of the OF3, OF4 and OF5 treatments and the CF treatment, with the LAI occurring in the order of OF3 > OF5, OF4 > OF1, OF2. In the boll-opening stage, the OF1–OF5 treatments had a smaller decrease in LAI than that of the CF treatment—55.5%, 62.7%, 51.7%, 81.5%, and 38.7%, respectively.
Figure 3.
Effect of organic liquid fertilizer combined with different ratios of chemical fertilizers on the cotton leaf area index. IF, initial flowering stage; FF, full-flowering stage; FB, full-boll stage; LFB, late full-boll stage; BO, boll-opening stage. Different letters above the columns indicate statistical significance at the p = 0.05 level within the same growth stage in each year.
3.3. Canopy Openness
The cotton canopy decreased rapidly after the initial flowering stage (Figure 4). The DIFN decreased initially and then increased during the growth stage under the different fertilization treatments. The minimum value (0.01~0.03) was reached at the LFB with DIFN, and the different treatments were OF2 > OF4, OF3, OF5, CF, and OF1. At the later full boll stage, the DIFN of the OF2 treatment was obviously higher than that of the CF treatment, and the OF1~OF5 treatments had no significant difference in their DIFN compared with that of the CF treatment. In the boll-opening stage, in the OF2, OF3, and OF4 treatments, the DIFN was obviously larger than that in the CF treatment. DIFN occurred in the order of OF2 > OF4 > OF1 > OF5 > OF3 in the treatment of organic liquid fertilizer combined with chemical fertilizer.
Figure 4.
Effect of organic liquid fertilizer combined with different ratios of chemical fertilizers on cotton canopy openness. IF, initial flowering stage; FF, full-flowering stage; FB, full-boll stage; LFB, late full-boll stage; BO, boll-opening stage. Different letters above the columns indicate statistical significance at the p = 0.05 level within the same growth stage in each year.
3.4. Mean Foliage Tilt Angle
The MTA of the different fertilization treatments increased initially and then decreased throughout the whole period and peaked at the later full-boll stage (Figure 5). No obvious difference in MTA values was found in the OF1–OF5 treatments and the CF treatment from the later full-boll stage to the boll-opening stage; however, the OF1 treatment had a minimum reduction of 10.4%, and the CF treatment had a maximum reduction of 24.4%. The results showed that increasing the organic liquid fertilizer effectively adjusted the cotton leaf angle and made the leaves more upright.
Figure 5.
Effect of organic liquid fertilizer combined with different ratios of chemical fertilizers on cotton leaf inclination. IF, initial flowering stage; FF, full-flowering stage; FB, full-boll stage; LFB, late full-boll stage; BO, boll-opening stage. Different letters above the columns indicate statistical significance at the p = 0.05 level within the same growth stage in each year.
3.5. Canopy Transmittance
The canopy transmittance of the different fertilization treatments decreased initially and then increased with the growth period (Figure 6). The vertical distance and transmittance of PAR within the canopy were higher in the upper layer and lower in the lower layer. At the later full-boll stage, PARM and PARD in the OF1, OF2, and OF3 treatments increased significantly by 1.8~2.2%, 1.3~1.8%, and 0.3~1.7%, respectively, compared with the CF treatment, while the OF4 and OF5 treatments showed no obvious difference in their PARM and PARD values compared with that in the CF treatment. At the beginning of the boll-opening stage, compared with that in the CF treatment, PARU in the OF1 and OF2 treatments significantly increased by 11.2% and 17.7%, respectively. The OF3, OF4, and OF5 treatments increased significantly by 5.1%, 0.7%, and 0.4%, respectively. Compared with that in the CF treatment, in the OF1 and OF2 treatments PARM increased significantly by 3.6% and 2.4%, respectively. No obvious difference was found in the OF3 treatment, and PARM decreased significantly by 0.8% and 1.1% in the OF4 and OF5 treatments, respectively. Compared with the CF treatment, PARD in the OF2 treatment showed a significant increase of 2.2%, a significant decrease of 2.2% in the OF4 treatment, and no significant difference in the OF1, OF3, and OF5 treatments. The PARU values occurred in the order of OF2 > OF1 > OF3, OF4, and OF5, and the PARM and PARD values occurred in the order of OF2 > OF1 > OF3, CF > OF5, and OF4.
Figure 6.
Effect of organic liquid fertilizer combined with different ratios of chemical fertilizers on the cotton canopy. The numbers of legend from 0.02 to 0.18 indicate vertical-position canopy light transmittance.
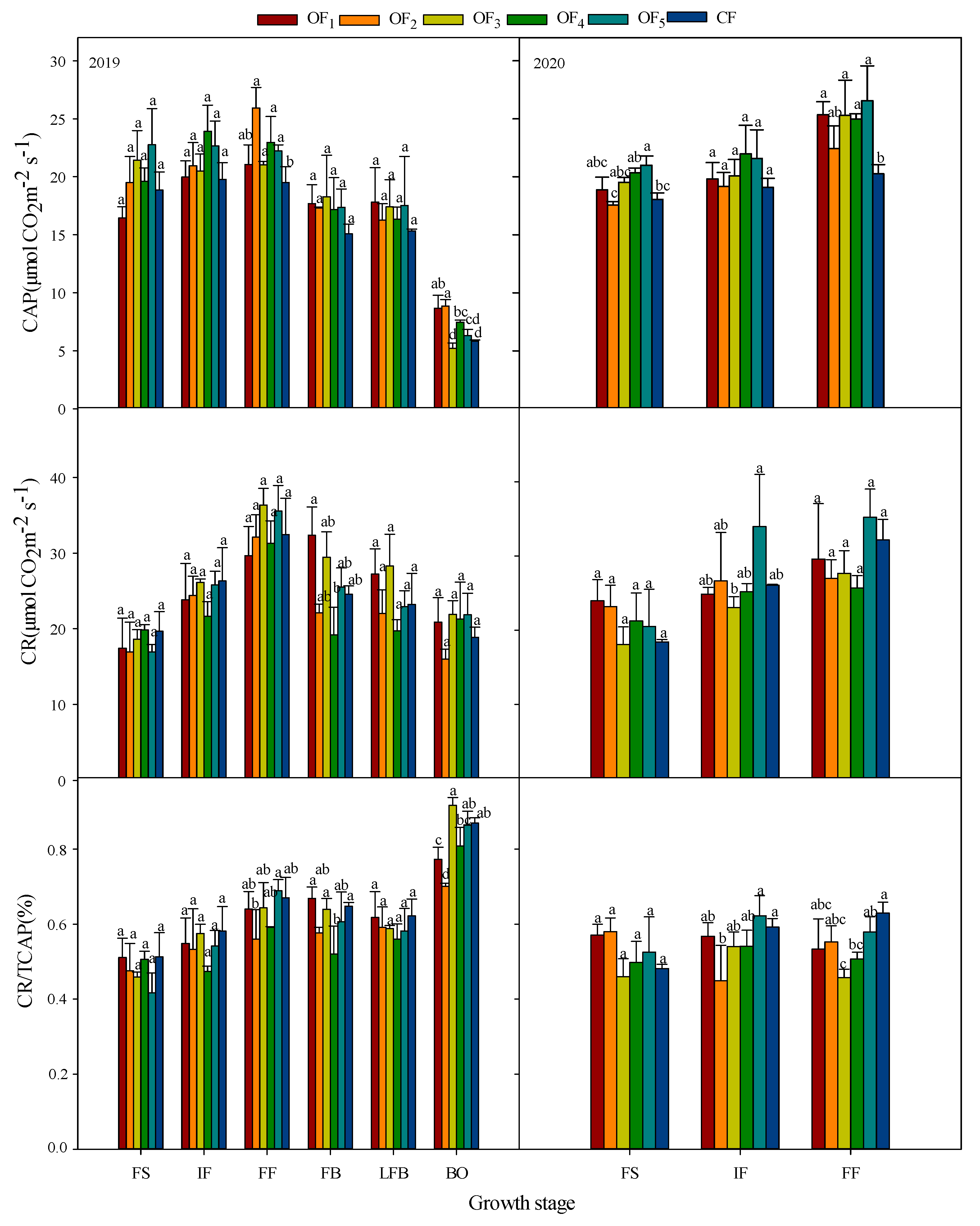
3.6. Canopy Apparent Photosynthesis and Canopy Respiration
The CAP was significantly influenced by the different fertilization treatments (Figure 7). The CAP under the different fertilization treatments first increased and then decreased with the development of the entire period. The CF treatment showed that the peak CAP value occurred at the initial flowering stage, while the OF1, OF2, and OF3 treatments had later peak CAP values at the full-flowering period. The OF4 and OF5 treatments showed a peak CAP value at the initial flowering stage, and the CAP values in these treatments were obviously larger than those in the CF treatment. In the later growth stage, the CAP values in the OF1~OF5 treatments increased by 5.0%, 12.8%, 11.3%, 12.9%, and 15.7% on average compared with the CF treatment, respectively. In the boll-opening stage, the CAP values in the OF1, OF2, and OF4 treatments remained at a high level and increased significantly (p < 0.05) compared with the CF treatment, increasing by 48.6%, 52.2%, and 28.2%, respectively.
Figure 7.
Effect of organic liquid fertilizer combined with different ratios of chemical fertilizers in cotton populations. FS, full-squaring stage; IF, initial flowering stage; FF, full-flowering stage; FB, full-boll stage; LFB, late full-boll stage; BO, boll-opening stage. Different letters above the columns indicate statistical significance at the p = 0.05 level within the same growth stage in each year.
The change trend of the CR value was consistent with that of the CAP value during the growth stage. Except in the OF1 treatment, the CR values of the other treatments peaked at the full-flowering period. In the OF1 and OF2 treatments, CR increased by 9.4% and 1.1%, respectively, compared with the CF treatment at the full-flowering stage. Compared with the CF treatment, the OF3, OF4, and OF5 treatments had CR values that occurred in the order of OF3 > OF5, CF, and OF4, and the ratio of population respiration rate to total photosynthesis (CR/TCAP) was also higher. In the boll-opening stage, the CR of the OF1–OF5 treatments was not obviously different from that of the CF treatment, but the CR/TCAP in the OF1 and OF2 treatments was obviously lower than that in the CF treatment (p < 0.05). From the initial flowering stage to the later full-boll stage, CR and CR/TCAP were obviously lower in the OF2 treatment than in the CF treatment (p < 0.05).
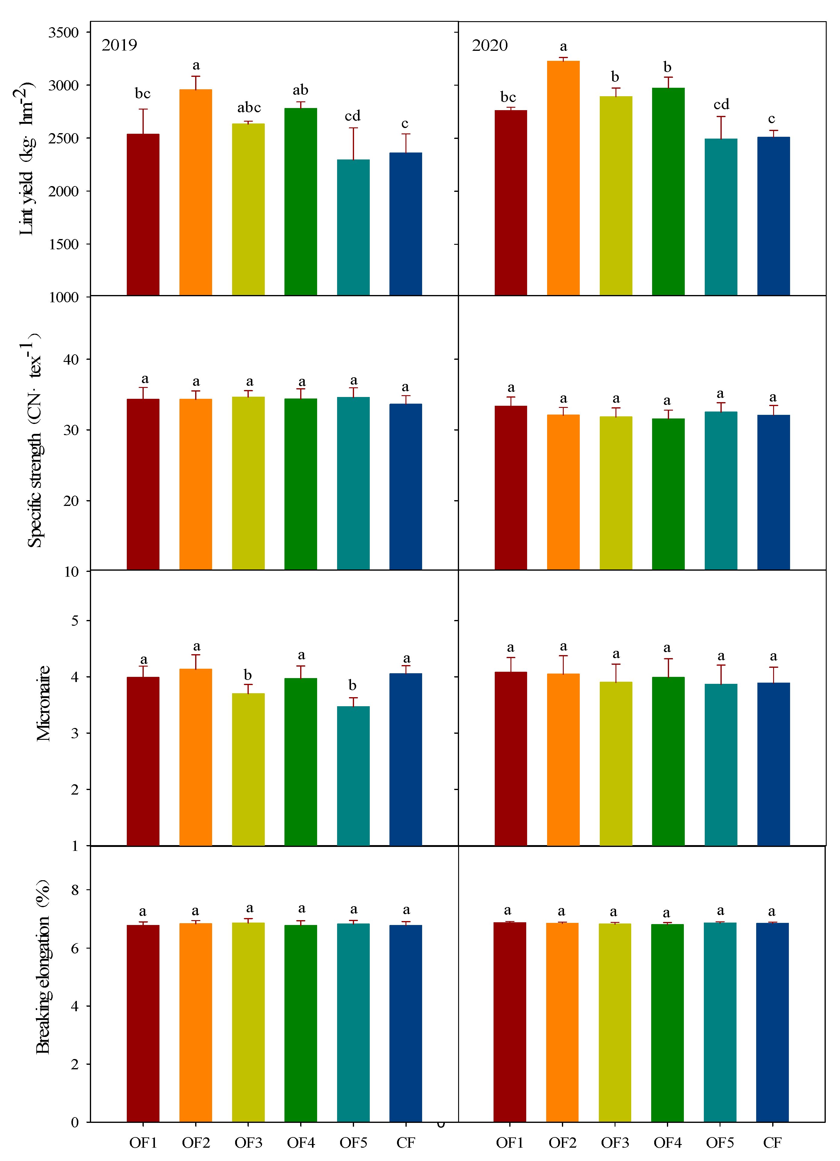
3.7. Yield and Fiber Quality
Both cotton yield and fiber quality were obviously influenced under the different fertilization treatments (Figure 8). The lint yield of each fertilization treatment was OF2 > OF4 > OF3 > OF1 > CF and OF5. Compared with the CF treatment, the lint yield in the OF2 and OF4 treatments increased significantly, with average increases of 27.0% and 18.1%, respectively. The OF5 treatment lint yield decreased by 1.7% compared with the CF treatment, and the difference was not significant. No obvious difference was found in breaking strength or fiber elongation under the different fertilization treatments. The micronaire value in the CF treatment combined with organic liquid fertilizer was slightly lower than that in the CF treatment, while that in the OF3 and OF5 treatments decreased by 4.5~8.3%.
Figure 8.
Effect of organic liquid fertilizer combined with different ratios of chemical fertilizers on cotton yield and quality. Different letters above the columns indicate statistical significance at the p = 0.05 level between different treatments in each year.
3.8. Correlation Analysis between Yield and Cotton Indices in Different Periods
The correlation analysis between yield and various cotton indicators in different periods is shown in Figure 9. The SPAD value at the full-squaring stage, PARU at the boll-opening stage, and canopy apparent photosynthesis were significantly positively correlated with yield. A significant negative correlation was found between PARM and PARD at the initial flowering stage and the ratio of respiration rate to total photosynthetic rate at the full-boll stage and late full-boll stage and yield.
Figure 9.
Correlation analysis between yield and various cotton indicators in different periods. Note: * and ** indicate significance at 0.05 and 0.01, respectively. FS, full-squaring stage; IF, initial flowering stage; FF, full-flowering stage; FB, full-boll stage; LFB, late full-boll stage; BO, boll-opening stage.
4. Discussion
4.1. Chemical Fertilizer Combined with Organic Liquid Fertilizer Improved Cotton Canopy Structure
The SPAD value reflects the total chlorophyll content in leaves and is used to measure the nutrient growth status and degree of premature senescence of crop leaves and canopy [19]. Previous studies have shown that organic and inorganic compound fertilizers increase leaf SPAD values [20]. In this study, fertilizer combined with organic liquid fertilizer obviously increased the full-boll stage SPAD value, and the SPAD value increased with increasing fertilizer-application rate.
LAI can reflect the ability of plants to intercept light and is an important indicator of canopy structure performance [21]. Previous studies have shown that organic fertilizer with the chemical fertilizer NPK can significantly increase crop LAI and leaf size and delay function, maintaining a higher photosynthetic rate and LAI after reaching 4.8. However, leaf blades shade each other, and the light entering through the canopy is insufficient, leading to premature birth, premature leaf aging, leaf fall-off, decreases in photosynthetic effective area, and decreases in group photosynthetic capacity [22]. The results showed that the OF2 treatments’ lint yield reached 2955.2~3225.7 kg ha−1, while the LAI was approximately 4.8, which may be related to the fact that cotton leaves still had a high chlorophyll content in the later growth period, prolonging photosynthesis and promoting the production and accumulation of photosynthetic substances.
4.2. Chemical Fertilizer Combined with Organic Liquid Fertilizer Affected the Canopy Light Distribution of Cotton
Leaf distribution in a canopy is the main factor determining canopy light capture and transmittance [23,24]. Previous studies have shown that the cotton LAI should be kept in an appropriate range. An excessive LAI may lead to shade in the lower and middle parts of the canopy, resulting in a decrease in the effective photosynthetic area and affecting the interception of light energy at the cotton canopy bottom [22]. Canopy light distribution is determined by PAR interception [25], and light energy is reasonably distributed in the canopy within the appropriate range in LAI, which can effectively improve the light energy utilization efficiency [26]. Previous studies have shown that the optimal light-receiving structure is the minimum light interception at the upper part, which makes the middle blade fully exposed to light and reduces the light leakage loss at the lower part [27]. If the DIFN remains relatively stable and reaches an optimal value, the canopy light transmittance will increase, the light-energy waste will decrease, and light-energy capture and photosynthetic accumulation will be facilitated [28].
Our research results also showed that the high LAI (5.3~6.6) of cotton in the OF3~OF5 treatments in the late full-boll stage resulted in severe canopy shading and low light transmittance (0.52~2.85%) in the lower and middle parts of cotton, which were not conducive to the absorption of light energy. The optimal canopy shade for cotton in the OF1 and OF2 treatments was smaller. The upper part of the canopy had higher light transmittance (2.97~15.07%), and the lower part of the canopy could absorb more light energy, which improved the light environment of the lower and middle leaves and reduced the possibility of leaf shedding caused by insufficient light [29].
4.3. Chemical Fertilizer Combined with Organic Liquid Fertilizer Enhanced the Photosynthetic Capacity of Cotton
Photosynthesis is responsible for 90 to 95% of the dry matter of crop yields [30,31]. This study showed that the photosynthetic rate of the cotton population was significantly positively correlated with lint yield; in addition, the results were similar among the treatments [27], but the peak times were different [32], as the peak value was advanced at the full flowering period. The CAP in the OF2 treatment was 33.0~52.2% higher than that in the CF treatment from the full-flowering stage to the boll-opening stage, which might have been related to the higher LAI and larger canopy opening in the late growth stage.
The respiration of crops provides energy and intermediate products for the movement, synthesis, and metabolism of substances during the growth and development of crops [33]. Previous studies have shown that the population respiration rate affects the yield of cotton, and the CR/TCAP of high-yield cotton was lower. The results of this study showed that CR/TCAP remained at a low level of 46.6~72.2% during the whole growth period in the OF2 treatment; the results were similar among the treatments [32], especially at the boll-opening stage, which was 13.5% lower than that in the CF treatment, and the research results were different [34]. The lower respiration rate was beneficial for accumulating photosynthetic substances, which may be the main reason for the large accumulation of photosynthetic substances in the late growth period.
4.4. Fertilizer Combined with Organic Liquid Fertilizer Affected Cotton Yield and Quality
Studies have shown [12] that the yield of cotton could reach its highest value (3078 kg ha−1) with a 20% reduction in nitrogen fertilizer combined with organic liquid fertilizer. The difference was significant compared with that in the control. Studies have shown [15] that when the replacement ratio of organic fertilizer is 20~40%, the yield of cotton is 4945~4978 kg ha−1. In this study, CAP had a positive correlation with seed cotton yield at the later growth stage [35]. The results showed that lint yield was significantly correlated with the chlorophyll SPAD value at the full-squaring stage, PARM and PARD at the initial flowering stage, CR/TCAP at the full-boll stage, CR and CR/TCAP at the late full-boll stage and PARU and CAP at the boll-opening stage. In the OF2 (OF + 80% CF) treatment, the yield was significantly higher than that in the other organic liquid fertilizer (OF) combined with reduced chemical fertilizer treatments and the CF treatment. The seed cotton yield was 6977~7142 kg ha−1 compared with that in the CF treatment, and the increase was 21.8%. However, increasing the dosage of the organic liquid fertilizer resulted in a small production increase. The reason for this result may have been that the organic liquid fertilizer improved the utilization rate of the fertilizer; thus, the increases in fertilizer applications resulted in the cotton LAI being too large, causing the canopy to shade the areas below it, leading to photosynthetic effective area decreases, and affecting the lower part of cotton canopy ability to capture light energy, eventually reducing CAP and the yield.
The study found that [36] compared with conventional fertilization, 25% organic fertilizer could replace conventional fertilizer to increase crop yield and improve crop quality. Our study showed no obvious difference in fiber elongation between the CF treatment and the other treatments in terms of specific breaking strength. Low temperature, overcast conditions, and rain are other important reasons for the low micronaire value [37]. The results show that the fiber quality in 2019 was lower than that in 2020. The reason may be that precipitation during the flowering and boll periods from July to September was significantly higher than that in 2020, which hindered the growth of the cotton fibers, resulting in inadequate maturity and fineness and low micronaire values.
5. Conclusions
Compared with the CF treatment, organic liquid fertilizer (OF) combined with reduced chemical fertilizer (CF) increased the leaf SPAD value, reduced the leaf area index at the late growth stage, and increased PARM and PARD, which improved the light environment in the lower and middle canopy and ensured higher canopy apparent photosynthesis values. The OF combined with CF treatment improved the canopy structure of cotton, while the OF1–OF5 treatments reduced the photosynthetic area, which was not conducive to increasing cotton yields. In the OF2 treatment (OF + 80% CF, 182 – 104 – 76 (N – P2O5 – K2O) kg ha−1), these rates maintained a suitable leaf area index (4.8) and a large canopy opening (0.1), improved the light distribution in the middle and lower canopy, ensured a higher population photosynthetic rate in the later growth period, and achieved the goal of decreasing costs and increasing efficiency in cotton production. Improving cotton yield and efficiently utilizing resources are of great significance.
Author Contributions
Q.L. and X.S. were jointly responsible for the test design and operation and completed the writing of the manuscript; N.L., F.S., Y.T. and H.Z. helped complete the test operation and provided suggestions on test design during the test; X.H. and H.L. provided the overall idea for the experiment. All authors have read and agreed to the published version of the manuscript.
Funding
We are grateful to the National Natural Science Foundation of China (Grant number 31760369) and the Third Division Tumushuke City Transfer and Transformation of Scientific and Technological Achievements of the Xinjiang Production and Construction Corps (No. KJ2022CG03).
Informed Consent Statement
Informed consent was obtained from all subjects involved in the study.
Conflicts of Interest
All the authors have approved the manuscript and agree with its submission to the esteemed journal. There are no conflicts of interest to declare.
References
- Macedo, J.; Rosa, D. Eco-efficiency of poly (lactic acid)-Starch-Cotton composite with high natural cotton fiber content: Environmental and functional value. J. Cleaner Prod. 2019, 217, 32–41. [Google Scholar]
- Arshad, A.; Raza, M.A.; Zhang, Y.; Zhang, L.; Habib-Ur-Rehman, M. Impact of Climate Warming on Cotton Growth and Yields in China and Pakistan: A Regional Perspective. Agriculture 2021, 11, 97. [Google Scholar] [CrossRef]
- National Bureau of Statistics. China Statistical Yearbook; China Statistics Press: Beijing, China, 2020. [Google Scholar]
- Zhang, F.S.; Wang, J.Q.; Zhang, W.F.; Cui, Z.L.; Ma, W.Q.; Chen, X.P.; Jiang, R.F. Nutrient Use Efficiencies of Major Cereal Crops in China and measures for improvement. Acta Pedol. Sin. 2008, 45, 915–924. [Google Scholar]
- Saha, S.; Prakash, V.; Kundu, S.; Kumar, N.; Mina, B.L. Soil enzymatic activity as affected by long term application of farm yard manure and mineral fertilizer under a rainfed soybean-wheat system in N-W Himalaya. Eur. J. Soil Biol. 2008, 44, 309–315. [Google Scholar] [CrossRef]
- Zhu, Z.L. Research on Soil Nitrogen in China. Acta Pedol. Sin. 2008, 45, 778–783. [Google Scholar]
- Wang, H.; Yi, X.Y. Advances in research on fertilization and decision-making behavior of farmers in the context of green de-velopment. Chin. J. Eco Agric. 2019, 27, 1284–1292. [Google Scholar]
- Singh, R.J.; Ahlawat, I.P.S. Growth Behaviour of Transgenic Cotton with Peanut Intercropping System Using Modified Ferti-lization Technique. Proc. Natl. Acad. Sci. USA 2014, 84, 19–30. [Google Scholar]
- Dong, C.H.; Gao, J.S.; Zeng, X.B.; Liu, Q.; Xu, M.G.; Wen, S.L. Effects of long-term organic manure and inorganic fertilizer combined application on rice yield and soil organic carbon content in reddish paddy fields. Plant Nutr. Fert. Sci. 2014, 20, 336–345. [Google Scholar]
- Zhao, J.; Li, Y.; Ran, W.; Zhang, R.F.; Shen, B.; Shen, Q.R. Effects of organic manure partial substitution for chemical fertilizer on crop yield and soil microbiome in a rice-wheat cropping system. J. Nanjing Agric. Univ. 2016, 39, 594–602. [Google Scholar]
- Pei, X.X.; Dang, J.Y.; Zhang, D.Y.; Zhang, J.; Cheng, M.F.; Wang, J.A. Effects of organic sustitution on the yield and nutrient absorption and utilization of wheat under chemical fertilizer reduction. Plant Nutr. Fert. Sci. 2020, 26, 1768–1781. [Google Scholar]
- Xu, R.Q.; Haidong, X.; Dong, H.L.; Tang, J.; Xu, W.X.; Fan, X.L. Liquid organic fertilizer and nitrogen fertilizer management effects on physiological characteristics and yield of cotton. Chin. Agric. Sci. Bull. 2019, 35, 42–47. [Google Scholar]
- Dagdelen, N.; Basal, H.; Yilmaz, E.; Gürbüz, T.; Akay, S. Different drip irrigation regimes affect cotton yield, water use efficiency and fiber quality in western Turkey. Agric. Water Manag. 2009, 96, 111–120. [Google Scholar] [CrossRef]
- Zheng, Z.; Ma, F.; Mu, Z.X.; Li, J.H.; Yang, H.H. Effects of factors of water and fertilizers under mulch drip irrigation on cot-ton canopy structure and yield. Agric. Res Arid Areas. 2001, 19, 43–47. [Google Scholar]
- Tao, L.; Chu, G.X.; Liu, T.; Tang, C.; Li, J.H.; Liang, Y.C. Impacts of organic manure partial substitution for chemical fertilizer on cotton yield, soil microbial community and enzyme activities in mono-cropping system in drip irrigation condition. Acta Ecol. Sin. 2014, 34, 6137–6146. [Google Scholar]
- Ma, Y.; Hao, X.Z.; Xia, J.; Luo, H.H.; Liu, P. Effects of organic liquid fertilizer on cotton growth and yield. XinJiang Agric. Sci. Tech. 2020, 43, 27–29. [Google Scholar]
- Shi, X.J.; Hao, X.Z.; Li, N.N.; Li, J.H.; Shi, F.; Han, H.Y.; Tian, Y.; Chen, Y.; Wang, J.; Luo, H.H. Organic Liquid Fertilizer Coupled with Single Application of Chemical Fertilization Improves Growth, Biomass, and Yield Components of Cotton Under Mulch Drip Irrigation. Front. Plant Sci. 2021, 12, 763525. [Google Scholar] [CrossRef] [PubMed]
- Reddy, V.R.; Reddy, K.R.; Hodges, H.F. Carbon dioxide enrichment and temperature effects on cotton canopy photosynthe-sis, transpiration, and water-use efficiency. Field Crops Res. 1995, 41, 13–23. [Google Scholar] [CrossRef]
- Zhang, S.M.; Baidengsha, M.; Liu, S.L.; Sun, L.B.; Pan, S.X.; Feng, G. Study on the performance and reasons of premature se-nescence in cotton in XinJiang. Xinjiang Agric. Sci. 2014, 51, 801–809. [Google Scholar]
- Moe, K.; Moh, S.M.; Htwe, A.Z.; Kajihara, Y.; Yamakawa, T. Effects of integrated organic and inorganic fertilizers on yield and growth parameters of rice varieties. Rice Sci. 2019, 26, 309–318. [Google Scholar] [CrossRef]
- Zhan, D.X.; Zhang, C.; Yang, Y.; Luo, H.H.; Zhang, Y.L.; Zhang, W.F. Water deficit alters cotton canopy structure and increases photosynthesis in the mid-canopy layer. Agron. J. 2015, 107, 1947–1957. [Google Scholar] [CrossRef]
- Luo, H.H.; Zhang, Y.L.; Zhu, B.; Zhang, W.F.; He, Z.J.; Zhang, H.Z. Study on photosynthetic characteristics of North Xinjiang Hybrid Cotton Biaoza A1 with super high yield. Xinjiang Agric. Sci. 2008, 45, 20–24. [Google Scholar]
- Boedhram, N.; Arkebauer, T.J.; Batchelor, W.D. Season-long characterization of vertical distribution of leaf area in corn. Agron. J. 2001, 93, 1235–1242. [Google Scholar] [CrossRef]
- Subedi, K.D.; Ma, B. Ear position, leaf area, and contribution of individual leaves to grain yield in conventional and leafy maize hybrids. Crop Sci. 2005, 45, 2246–2257. [Google Scholar] [CrossRef]
- Niinemets, Ü.; Keenan, T.F.; Hallik, L. A worldwide analysis of within-canopy variations in leaf structural, chemical and phys-iological traits across plant functional types. New Phytol. 2015, 205, 973–993. [Google Scholar] [CrossRef] [PubMed]
- Zhi, X.Y.; Han, Y.C.; Mao, S.C.; Wang, G.P.; Feng, L.; Yang, B.F.; Fan, Z.Y.; Du, W.L.; Lu, J.H.; Li, Y.B. Light spatial distribution in the canopy and crop development in cotton. PLoS ONE 2014, 9, e113409. [Google Scholar] [CrossRef]
- Yao, H.S.; Zhang, Y.L.; Yi, X.P.; Zuo, W.Q.; Lei, Z.Y.; Sui, L.L.; Zhang, W.F. Characters in light-response curves of canopy photosynthetic use efficiency of light and N in responses to plant density in field-grown cotton. Field Crops Res. 2017, 203, 192–200. [Google Scholar] [CrossRef]
- Feng, G.Y.; Luo, H.H.; Zhang, Y.L.; Gou, L.; Yao, Y.D.; Lin, Y.Z.; Zhang, W.F. Relationship between plant canopy characteris-tics and photosynthetic productivity in diverse cultivars of cotton (Gossypium hirsutum L.). Acta Agron. Sin. 2016, 4, 499–508. [Google Scholar]
- Wullschleger, S.; Oosterhuis, D. Photosynthetic carbon production and use by developing cotton leaves and bolls. Crop Sci. 1990, 30, 1259–1264. [Google Scholar] [CrossRef]
- Kalt-Torres, W.; Huber, S.C. Diurnal changes in maize leaf photosynthesis: III. leaf elongation rate in relation to carbohydrates and activities of sucrose metabolizing enzymes in elongating leaf tissue. Plant Physiol. 1987, 83, 294–298. [Google Scholar] [CrossRef]
- Maddonni, G.A.; Otegui, M.E.; Cirilo, A.G. Plant population density, row spacing and hybrid effects on maize canopy archi-tecture and light attenuation. Field Crops Res. 2001, 71, 183–193. [Google Scholar] [CrossRef]
- Du, M.W.; Luo, H.H.; Zhang, Y.L.; Yao, Y.D.; Zhang, W.F.; Xia, D.L.; Ma, L.; Zhu, B. Photosynthesis characteristics of su-per-high yield hybrid cotton in XinJiang. Sci. Agric. Sin. 2009, 42, 1952–1962. [Google Scholar]
- Guan, Y.A.; Li, X.Y.; Li, Q.; Li, J.H. Population respiration characteristics and its relationship with population photosynthesis in summer millet. Sci. Agric. Sin. 2001, 21, 329–333. [Google Scholar]
- Yang, C.X.; Zhang, W.F.; Xu, S.Z.; Sui, L.L.; Liang, F.B.; Dong, H.Y. Effects of spraying chemical topping agents on canopy structure and canopy photosynthetic production in cotton. Sci. Agric. Sin. 2016, 49, 1672–1684. [Google Scholar]
- Zhang, W.F.; Wang, Z.L.; Yu, S.L.; Li, S.K.; Cao, L.P.; Ren, L.T. Effect of under-mulch -drip irrigation on canopy apparent photosynthesis canopy structure and yield formation in high-yield cotton of XinJiang. Sci. Agric. Sin. 2002, 35, 632–637. [Google Scholar]
- Singh, R.V.; Kumar, R. Effect of organic and inorganic fertilizers on growth yield and quality and nutrients uptake of wheat under late sown condition. Progress. Agric. 2010, 10, 341–344. [Google Scholar]
- Li, Y.H.; Cao, Y.L.; Zhao, X.Y. Factors affecting cotton micronaire value and counte measures. China Fiber Insp. 2005, 43. [Google Scholar]
Publisher’s Note: MDPI stays neutral with regard to jurisdictional claims in published maps and institutional affiliations. |
© 2022 by the authors. Licensee MDPI, Basel, Switzerland. This article is an open access article distributed under the terms and conditions of the Creative Commons Attribution (CC BY) license (https://creativecommons.org/licenses/by/4.0/).








