Abstract
Peanut (Arachis hypogaea L.) is an important food crop for the U.S. and the world. The Virginia-Carolina (VC) region (Virginia, North Carolina, and South Carolina) is an important peanut-growing region of the U.S and is affected by numerous biotic and abiotic stresses. Identification of stress-resistant germplasm, along with improved phenotyping methods, are important steps toward developing improved cultivars. Our objective in 2017 and 2018 was to assess the U.S. mini-core collection for desirable traits, a valuable source for resistant germplasm under limited water conditions. Accessions were evaluated using traditional and high-throughput phenotyping (HTP) techniques, and the suitability of HTP methods as indirect selection tools was assessed. Traditional phenotyping methods included stand count, plant height, lateral branch growth, normalized difference vegetation index (NDVI), canopy temperature depression (CTD), leaf wilting, fungal and viral disease, thrips rating, post-digging in-shell sprouting, and pod yield. The HTP method included 48 aerial vegetation indices (VIs), which were derived using red, blue, green, and near-infrared reflectance; color space indices were collected using an octocopter drone at the same time, with traditional phenotyping. Both phenotypings were done 10 times between 4 and 16 weeks after planting. Accessions had yields comparable to high yielding checks. Correlation coefficients up to 0.8 were identified for several Vis, with yield indicating their suitability for indirect phenotyping. Broad-sense heritability (H2) was further calculated to assess the suitability of particular VIs to enable genetic gains. VIs could be used successfully as surrogates for the physiological and agronomic trait selection in peanuts. Further, this study indicates that UAV-based sensors have potential for measuring physiologic and agronomic characteristics measured for peanut breeding, variable rate input application, real time decision making, and precision agriculture applications.
1. Introduction
Peanut (Arachis hypogaea L.) is an important oil and food crop, with an acreage of 42 million worldwide. It is one of the major oilseed crops, and China, India, Nigeria, and the U.S. contribute to about 70% of its global production [1]. In 2019, in the U.S., over 5.5 billion pounds were produced from 567 thousand hectares across 11 states, which are limited to three geographical regions: Southeast region (Alabama, Florida, Georgia, and Mississippi), Southwest region (Oklahoma, New Mexico, and Texas), and VC region (North Carolina, South Carolina, and Virginia) [2]. Because each growing region differs in climate and disease pressures, breeding programs develop peanut varieties specifically adapted to each growing region [3,4]. The VC region primarily produces the large seeded Virginia peanut market type, and has an annual production of around $170 million [2]. The climate of the VC region is different from the other regions. Virginia and the Carolinas have a humid, subtropical climate with a 35-year multi-annual cumulative precipitation at 590 mm, average minimum, and maximum temperatures of 4 °C and 36 °C, respectively, and 78% relative humidity during the peanut growing season (May to September) (Figure 1). Because of the warm and humid climate, the peanut is prone to numerous diseases and pathogens including southern stem rot (SSR) [caused by athelia rolfsii (Curzi) C.C. Tu and Kimbr.], sclerotinia blight (SB, caused by sclerotinia minor, Jagger), cylindrocladium black rot (CBR, caused by calonectria ilicicola, Boedijn and Reitsma) and tomato spotted wilt virus (TSWV, genus Tospovirus, family Bunyaviridae) [5]. As soils are shallow and sandy, and summer temperatures are high, peanut crops can experience sudden drought in the VC region [6]. Water deficit during pegging or pod formation stages severely effect peanut yield [7,8,9,10]. Low-moisture stress may also reduce nitrogen (N) fixation and biomass growth, and increase aflatoxin contamination [11,12,13,14]. Future predictions have also shown that peanuts would be one of the worst affected crops, as a result of global warming and associated climate change by 2050 [15].
Figure 1.
Weather data at Suffolk, VA, including: (a) diurnal minimum (solid line) and maximum (dashed line) temperatures (°C); (b) cumulative growing degree days calculated from daily min and max temperatures with 13 °C as base temperature (GDD13); and (c) cumulative rainfall (mm) for 2017, 2018, and multiannual (1984–2019) average.
Identification of sources with resistance to biotic and abiotic stressors is needed to further improve peanut production in the VC region, but its success heavily relies on the phenotyping methods [16,17]. Aerially derived vegetation indices (VIs) from red-green-blue (RGB) and near-infrared (NIR) imagery were recently used for phenotyping morphological, physiological, and agronomic characteristics of multiple crops: peanut [18,19,20,21]; winter wheat (Triticum aestivum L.) [22,23]; sorghum (Sorghum bicolor L. Moench) [24,25,26]; cotton (Gossypium hirsutum L.) [27]; tall fescue (Festuca arundinacea Schreb) [28]; corn (Zea mays L.) [29]; soybean (Glycine max L.) [30,31,32]; and other crops [33]. However, to effectively use the VIs in breeding, they need to be heritable [34], i.e., a high proportion of the VIs’ variation is attributable to genetic factors [35,36,37]. Therefore, information on the VIs accuracy to predict crop characteristics, along with their heritability, is needed to develop successful high-throughput (HTP) methods for breeding selection.
The U.S. peanut germplasm collection currently has 7432 accessions, and is a potential resource for resistance to biotic and abiotic stresses. In the late 1990s, approximately 10% of these accessions, representing the geographical and morophological variation of the entire collection, were selected as the U.S. peanut core collection [38]. Because evaluating all 831 core accessions in the field is difficult, a 112-accession representative subset of the core collection, the mini-core collection, was selected to identify genes of interest in peanut breeding [39]. The mini-core collection has been evaluated in the Southeast and Southwest for multiple traits, including resistance to the peanut root-knot nematode (caused by meloidogyne arenaria [Neal] Chitwood), early leaf spot (caused by passalora arachidicola [Hori] U. Braun), late leaf spot (caused by nothopassalora personata [Berk. and M.A. Curtis] U. Braun, C. Nakash., Videira and Crous), TSWV, SSR, and SB; post-harvest quality traits including oil, fatty acid, flavonoid, and resveratrol content; and seed dormancy [39,40,41,42,43,44,45,46,47]. To our knowledge, the U.S. peanut mini-core has neither been evaluated in the VC region, nor has it been evaluated for morphological, physiological, and agronomic characteristics anywhere else. The objectives of this study were: (1) to assess the mini-core accessions for morphological, physiological, and agronomic characteristics relevant to the VC environment, using traditional and new phenotyping techniques such as RGB and NIR aerial imagery; and (2) to demonstrate the suitability of the new techniques for high throughput phenotyping.
2. Materials and Methods
2.1. Germplasm Information
The mini-core collection includes accessions with varieties hirsuta, hypogaea, fastigiata, vulgaris, and peruviana, and four peanut market types, Runner, Virginia, Spanish, and Valencia [38,48,49]. Varieties hypogaea and hirsuta belong to peanut subspecies hypogaea, which includes Runner and Virginia market types. Varieties vulgaris, peruviana, and fastigiata, belong to subspecies fastigiata, which includes Spanish and Valencia market types [50]. Details on the botanical and market types of the mini-core accession are available within the Germplasm Resource Information Network (GRIN) plant germplasm database (https://npgsweb.ars-grin.gov/gringlobal/search, accessed on 14 June 2020) and several publication; however, for some accessions, the information differs depending on the source. A compiled list of 112 accessions of the U.S. mini-core peanut germplasm collection, with information regarding taxonomy, market and variety, pod weight, 100 seed weight, and seed kernel color properties from all sources, is available to date and presented in Table 1 (GRIN database, https://npgsweb.ars-grin.gov/gringlobal/search, accessed on 14 June 2020) [39,41,48]. As some sources presented different market and varieties with the same PI numbers, separate columns for each source were included within Table 1. The kernel color information in Table 1, i.e., hue, lightness (L), a*, and b* color properties, were derived by pictures available on the GRIN database. The pictures were checked for uniformity to ensure each picture had similar resolution, background, and margins, before color properties of the kernels were extracted using BreedPix tool from the CIMMYT maize scanner 1.16 plugin (http://github.com/george-haddad/CIMMYT, accessed on 18 September, 2020; Copyright 2015 Shawn Carlisle Kefauver, University of Barcelona), produced as a part of the Image J/Fiji (open source software; http://fiji.sc/Fiji, accessed on 18 September 2020) [51,52]. In Table 1, the PI accessions used in this study are underlined.
Table 1.
List of the 112 accessions of the U.S. mini-core peanut germplasm collection, including PI numbers from the GRIN database. The table includes market type, variety, pod type, pod shape, and 100-seed weight, compiled from different sources (in the footnote). Kernel color (CIE Lab) is also included, derived from seed pictures available on the GRIN database. The underlined PI and CC numbers were planted for this study.
2.2. Experiment Information
The experiment was conducted at Virginia Tech’s Tidewater Agricultural Research and Extension Center (TAREC) in Suffolk, VA (latitude 36.66 N, longitude 76.73 W). Based on seed availability, 93 mini-core accessions and 11 check cultivars were planted in 2017, and 81 accessions and 7 check cultivars were planted in 2018. The checks were: ‘Wynne’ [53], ‘Walton’ [54], ‘TAMVal OL14’ (TVOL14) [55], ‘Tamspan 90’ (TS90) [56], ‘Tamrun OL11’ (TROL11) [57], ‘New Mexico Valencia’ (NMVal) [58], ‘C76-16’, ‘Southwest Runner’ (SWR) [59], ‘Sullivan’ [53], ‘OLé’ [60], and ‘Georgia-09B’ (GA09B) [61]. In 2017, mini-core peanut accessions included 48 hypogaea, 23 fastigiata, 31 vulgaris, and two peruviana varieties; in 2018, 41 hypogaea, 21 fastigiata, 24 vulgaris, and two peruviana accessions were planted [48]. Seeds were planted in two-row plots of 3.05 m long × 0.9 m wide, in a randomized complete block design (RCBD) with three replications. The size of each block was 37.3 m long by 13.7 m wide. Genotypes were planted on 15 May 2017 and 13 May 2018, on uniformly raised beds of 15 cm height, with one seed planted every 11 cm in the center of the bed. Approximately 55 seeds were planted per plot; however, a few accessions had limited seeds and, for these, fewer than 20 seeds per plot were planted. In 2017, 95% of the accessions and checks were provided by USDA-ARS in Stillwater, OK; 5% of the accessions were from Texas. In 2018, seed for all accessions were from Oklahoma. Cultural practices were performed following extension recommendations [62]. Plots were not irrigated.
Weather data were recorded using on-site weather station (WatchDog 2000 Series Weather Station). Rainfall, air temperature, and relative humidity (RH) were recorded daily starting from May 1 until September 30 (Figure 1). Daily growing degree days (GDD13) were calculated from min and max daily temperatures, using a base temperature of 13 °C. Only positive values were used, and negative values were recorded as 0. Similarly, the temperatures above 35 °C were taken as 35 °C. Cumulative GDD13 from 1 May to 30 September were computed from the daily GDDs for both growing seasons.
2.3. Traditional, Ground-Based Phenotyping
Stand counts were collected at 2 weeks after planting (WAP) by counting the total number of peanut plants in both rows of every plot (Table 2).
Table 2.
Peanut crop growth stages, with respect to weeks after planting (WAP), when the measurements were taken.
Plant height was collected weekly between 4 WAP and 9 WAP, randomly from every row, and the length of the main stem from the ground to the tip of the newest leaf of one randomly selected plant per row was recorded. Plant height values from two rows were averaged to obtain the plant height of each plot. Similar to plant height, lateral branch growth was measured from one randomly selected plant within each row, and the two rows of a plot were averaged for the lateral growth of the plot. Plants from end of plots were avoided.
The normalized difference vegetation index (NDVI) of each row was measured using a GreenSeeker Handheld Crop Sensor (Trimble Ag., Sunnyvale, CA, USA). The GreenSeeker was scanned over the foliage of the entire row at a height of 50 cm and NDVI from both rows of each plot were averaged. NDVI was measured every two weeks from 4 WAP to 12 WAP (full seed stage), for a total of four assessments in 2017, and seven in 2018.
The canopy temperature depression (CTD) of each row was measured using an AGRI-THERM II™ (Model 100 L) Infrared Thermometer. The “diff” option was selected and the CTD value was calculated by subtracting the canopy temperature from the ambient air temperature. CTD was measured over a random spot on each row, and values from two rows were averaged for plot CTD. As CTD is sensitive to wind and intermittent cloud covers, data were collected on sunny days with minimal wind. CTD was measured from 5 to 12 WAP, for a total of four assessments each year.
Leaf wilting was visually assessed using the following 0–5 rating scale: 0, healthy plant with no visible wilting or leaves drooping; 1, some terminal and newer leaves wilted but overall the plant looked healthy; 2, almost all upper leaves with visible signs of wilting, and lower and older leaves started to fold; 3, all leaves wilting and drooping, drought effect on older leaves was prominent, and bare ground starting to become visible; 4, all leaves wilted and some leaves started to change color due to chlorophyll degradation, bare ground prominently visible, some leaves dried and crisped; 5, all leaves were severely wilted and light green to yellow in color, bare ground fully visible, more than 50% of leaves desiccated, and the plant almost physiologically dead [64]. Leaf wilting was measured from 5 to 12 WAP, for a total of four assessments per year (Table 2).
Disease incidence, the percentage of diseased plants exhibiting symptoms of TSWV, SSR, SB, and CBR, in each plot, was rated at 10 and 12 WAP each year. The percentage was calculated as a fraction of the number of diseased plants observed, to the number of plants in each plot. Thrips (scirtothrips dorsalis) damage was rated using a scale from 0 to 10, with 0 being a plant not damaged by thrips and 10 being all leaves damaged [65].
At the physiological maturity (16 WAP), peanut pods were dug (15 September 2017, and 17 September 2018) using a Sweere C200 peanut digger, windrow dried for 7 days and combined using an Amadas 2110 two row peanut combine. For each plot, pod yield was calculated at 7% seed moisture. Peanut sprouting was evaluated 7 days after digging by counting the number of germinated seeds on the ground.
2.4. Aerial Data Collection
Aerial images were taken every 2 weeks starting at 4 WAP to 14 WAP for estimation of leaf reflectance and color space indices (Table 3). An AscTec® Falcon 8 octocopter UAV platform (Ascending Technologies, Krailling, Germany), equipped with an RGB digital camera [Sony® α6000, 24.3-megapixel, (6000 × 4000)] and a near infra-red (NIR) camera [Tetracam® ADC micro, 3.2-megapixel, (2048 × 1536)] was used. The flight campaign was in waypoint navigation, auto pilot, and at 20 m altitude with an image overlap of 75% forward and 90% sideways. Flight campaigns were created in AscTec® Navigator 3.4.5 software (Ascending Technologies, Krailling, Germany). The UAV used its built-in GPS (accuracy within 20 cm) to navigate, acquire nadir images, and coordinate recordings of individual images. Image orthomosaic was processed using Pix4Dmapper Version 4.2.26 software (Prilly, Switzerland) to create a RGB field map. The ‘reflectance map’ option in ‘index calculator’ under ‘DSM, orthomosaic, and index’ step of Pix4D processing was used to create individual red, green, and blue reflectance maps. The same settings were used for NIR orthomosaic to create an NIR reflectance map, and an additional ‘reflectance map’ option was used to generate the NDVI orthomosaic using red and NIR from the NIR images.
Table 3.
Spectral reflectance (red, green, blue, and near-infrared) derived using aerial images, and vegetation indices derived using reflectance (S. No. 1–24); and red-green-blue (RGB) color space indices derived from the same images using Breedpix software and indices derived using arithmetic combinations of color indices (S. no. 24–48).
Red, green, blue, NIR, and NDVI orthomosaics were exported to ArcMap (version 10.6) tool of ArcGIS (ESRI, Redlands, CA, USA). Polygons bordering every row were drawn on the orthomosaic. Each polygon had the same dimension as that of each row (3.05 m long × 0.9 m wide) and was numbered. Polygons were shifted to overlap the respective plot rows and collated into a single shapefile to create a fishnet. Fishnets were common for all images from every flight campaign with georeferencing. Georeferencing was done using GPS coordinates of pre-installed ground control points (GCPs) on the study field. The zonal statistics option was used to extract the digital numbers (DNs) of each row. This process averaged the raster information of every pixel within each polygon to give the DN of red, green, blue, and NIR rasters.
Calibration was performed using a reflectance panel with eight different shades, from white to black. The DNs of the eight shades were recorded for red, green, blue, and NIR rasters from each orthomosaic. On the day of every flight, the reflectance from each of the eight shades of the panel were measured using an ASD HH2 Hand-held VNIR Spectroradiometer (Malvern Panalytical, Malvern, UK). The DNs and reflectance from the panel were fitted in exponential regression models. The models trained to derive reflectance values from DNs were:
where red, green, blue, and NIR are the reflectance from the respective rasters; and DNr, DNg, DNb, and DNn, are the digital numbers from red, green, blue, and NIR rasters, respectively. The reflectance values of both rows of each plot were averaged to obtain the average reflectance value of the plot.
2.5. Calculation of the VIs
A total of 48 VIs were extracted, or calculated, and their definitions are presented in Table 3. Twenty-four VIs were calculated using the four bands (red, green, blue, near-infrared) of leaf reflectance. The VIs were selected based on their power to discriminate among healthy, stressed, and dead vegetation (https://www.indexdatabase.de, accessed on 3 March 2020) [66,70,71].
An additional 24 VIs were extracted, or computed, from the color space indices extracted from the RGB orthomosaic using ArcMap. Individual rows (two rows per plot) were used to extract eight RGB color space indices using BreedPix tool. The extracted indices were intensity, hue, saturation, lightness, a*, b*, u*, and v*. The green area (GA), greener area (GGA), crop senescence index (CSI), along with 13 other indices, were computed from the extracted indices, as shown in Table 3 [88,89,90,91,92].
2.6. Data Analyses
Statistical analyses were performed in Statistical Analysis Software (SAS) 9.4 (SAS Institute Inc., Cary, NC, USA). PROC GLM was used for analysis of variance (ANOVA). Measurements collected multiple times (plant height, lateral growth, NDVI, CTD, leaf wilting, and disease ratings) were analyzed as repeated measures ANOVA using “nouni” command and repeated option in PROC GLM. Fisher’s protected least significant difference (LSD) was used for mean separation, when appropriate, based on the number of levels in a particular factor. When designs were unbalanced, least square means (LSmeans) mean separation procedure adjusted for Student’s t-test was used. PROC CORR was used for Pearson’s correlation analysis. All image derived VIs and color space indices were correlated to ground based traits. Pearson’s correlation was performed separately for image and ground traits of each botanical variety. Since only two genotypes of variety peruviana were included, it was pooled along with vulgaris, owing to their morphological similarities (Stalker, 2017). PROC CORR was further used to create Pearson’s correlation matrix heatmap. Graphs and figures were built using JMP® Pro 15.0.0 (SAS Institute Inc., Cary, NC, USA).
Calculation of the broad sense heritability: Broad sense heritability (H2) was calculated as the ratio of genotypic variance () by phenotypic variance (). Variance was calculated as the ratio of the total sum of squares (TSS) to population size (n). H2 was calculated for all ground based and aerially derived traits.
here:
3. Results
3.1. ANOVA of Genotype and Variety
In both years, repeated measures ANOVA showed significant WAP × genotype, and WAP × variety interaction, for plant height, lateral growth, leaf wilting, ground NDVI, and CTD. Therefore, with factorial ANOVA reported in Table 4, and trait means reported in Table 5 and Table 6, averages of all WAP were used only for the traits for which these interactions were not significant, i.e., TSW, SSR, SB, and CBR. For plant height, lateral branching, and NDVI, data at 6 WAP were used. Based on our visual observations, 6 WAP coincided with the maximum point of the rapid growth phase before growth rate slowed and, even though continued through 10 WAP, steadied; 6 WAP also marked the end of vegetative and the beginning of the generative growth stage. For wilting and CTD, average values from 10 and 12 WAP in 2017, and 5 and 7 WAP in 2018, were used. During these times, sudden droughts were encountered, and plants experienced low moisture stress; the interactions of these WAP with genotype and variety were not significant. In this way, ANOVA showed that year, genotype, and their interactions, had significant effects on morphological, physiological, and agronomic characteristics, measured on the ground (Table 4). Stand count, plant height, lateral branching, leaf wilting, TSW, SSR, post-harvest sprouting, and pod yield, varied significantly (p < 0.05) among genotypes (p < 0.05 to p < 0.0001) (Table 4). Ground NDVI was significant at p < 0.1 (p = 0.074). Among the varieties, only plant height in 2017, wilting in both years, and sprouting in 2018 were significantly different at p < 0.05; pod yield, along with stand count and SB, were significant at p < 0.1(Table 4).
Table 4.
a: Analysis of variance for the effect of genotype, year, and their interaction on morphological, physiological, and agronomic characteristics, measured in 2017 and 2018 on the U.S. peanut germplasm mini-core collection. b: Analysis of variance for the effect of variety, year, and their interaction on morphological, physiological, and agronomic characteristics, measured in 2017 and 2018 on the U.S. peanut germplasm mini-core collection.
Table 5.
Plant growth and yield parameters (stand count, plant height, lateral growth, normalized ifference vegetation index (NDVI), canopy temperature depression (CTD), leaf wilting, pod yield, and post-harvest sprouting) of 104 mini-core genotypes of peanut in 2017, and 88 in 2018. The plant height, lateral growth, and NDVI, are measured at maximum vegetative growth [6 weeks after planting (WAP). Leaf wilting and canopy temperature depression (CTD) are the average of two dates (10 and 12 WAP in 2017 and 5 to 7 WAP in 2018), with highest values corresponding to sudden droughts. The values followed by the same letters are not significantly different using Fisher’s protected LSD at α = 0.05.
Table 6.
Disease and insect damage parameters (spotted wilt (TSWV), southern stem rot (SSR), sclerotinia blight (SB), cylindrocladium black rot (CBR), and thrips damage) of 104 mini-core genotypes of peanut in 2017, and 88 in 2018. Values for TSWV, SSR, SB, and CBR, are averages over both measurement dates (10 and 12 WAP). The values followed by the same letters are not significantly different using Fisher’s protected LSD at α = 0.05.
3.2. Mean Separation of Genotypes
Even though fresh seed was produced for each planting year, several genotypes had insufficient seed and this resulted in significantly poor stand in 2017 for some accessions; for this reason, these accessions were removed from the test in 2018 (Table 5). Plant height and lateral growth at 6 WAP was significantly different (p < 0.0001) within genotypes (Table 5). In 2017, genotypes CC760 and CC605 were the tallest (42.5 and 40.6 cm, respectively) and had the most lateral growth (65.4 cm and 64.1 cm, respectively); whereas CC115B and CC631 were the shortest (12.3 cm and 16.1 cm tall, and 23.5 cm and 27.7 cm lateral growth, respectively) (Table 5). Genotypes CC588 and CC760 showed severe leaf wilting (around three) in both years, whereas CC208, CC223, CC296, CC342, CC381, CC458, CC535, CC548, CC559, CC698, CC703B, CC812, and Wynne, were least wilted (<2) in both years. Incidence of TSWV and SSR differed significantly among the genotypes. In both years, CC053 and CC781 had one of the highest incidences of TSWV, whereas Wynne and Walton had the lowest. For SSR, there were no differences among genotypes in 2017; however, in 2018, CC781 showed the highest and CC787 the lowest incidences of SSR (Table 6). There were no differences for SB, CBR, and thrips damage incidence, among genotypes in 2017 and 2018. Pod yield between years were significantly different (p < 0.0001) within genotypes with Wynne (8253 kg ha−1 in 2017 and 6276 kg ha−1 in 2018), Walton (8459 kg ha−1 in 2017 and 6915 kg ha−1 in 2018), and C76-16 (8407 kg ha−1 in 2017 and 4753 kg ha−1 in 2018) performing among the best in both years (Table 5). Average pod yield was significantly lower in 2018 (2886 kg ha−1), as compared to 2017 (5334 kg ha−1). Post-harvest sprouting showed no significant difference among genotypes in 2017; however, in 2018, CC038 had the highest post-harvest sprouting (51.7 seeds per plot [5.5 m2]) (Table 5).
3.3. Mean Separation of Varieties
Among the varieties, vulgaris was the tallest and had the most robust lateral growth (Table 7). Variety peruviana had the highest wilting score, followed by vulgaris and fastigiata; variety hypogaea had the least wilting score in both years. There were no differences among botanical varieties for disease incidence, or thrips damage. Although variety hypogaea had significantly higher yield in 2017 than other varieties, no yield differences were observed among varieties in 2018. Post-harvest sprouting was higher for fastigiata and vulgaris in 2018, than in hypogaea and peruviana (Table 7).
Table 7.
The 2017 and 2018 stand count, plant height, lateral growth, Normalized Difference Vegetation Index (NDVI), canopy temperature depression (CTD), leaf wilting, tomato spotted wilt (TSW), southern stem rot (SSR), sclerotinia blight (SB), cylindrocladium black rot (CBR), thrips damage, pod yield, and post-harvest sprouting by varieties of the U.S. mini-core peanut collection. The plant height, lateral growth, and NDVI, are measurements taken at maximum vegetative growth (6 weeks after planting (WAP)). Leaf wilting and canopy temperature depression (CTD) are the average of two dates (10 and 12 WAP in 2017 and 5 to 7 WAP in 2018), with the highest values corresponding to sudden droughts. Values for TSW, SSR, SB, and CBR, are averages over both measurement dates (10 and 12 WAP). The values followed by the same letters are not significantly different using Fisher’s protected LSD at α = 0.1.
3.4. Progression of Morphological and Physiological Traits among Varieties
On average, in all genotypes, plant height, lateral growth, and NDVI were significantly different across WAP; maximal growth rates shown by NDVI were reached at 9 WAP in 2017, and 6 WAP in 2018, with significant but small changes afterwards (Figure 2). Among varieties, vulgaris was significantly taller than the other varieties, whereas lateral growth was not statistically different among varieties (Figure 3). NDVI differed during the early stages of growth until 6 WAP, with vulgaris having the highest NDVI and peruviana the lowest, in both years. Because of NDVI saturation during the late season (12 WAP), all varieties showed no significant differences for NDVI at later growth stages (Figure 3). Sudden droughts were recorded at 10 and 12 WAP in 2017, and 5 and 7 WAP in 2018. During these times, CTD and wilting significantly increased for all varieties, in comparison with times of no drought stress within each year (Figure 4). Even though peruviana showed significantly lower CTD values in the absence of drought, indicating cooler canopies, there were no significant differences among botanical varieties for CTD during sudden droughts (Table 6). In 2017, wilting was low with no differences among varieties at 5 and 7 WAP, and visual scores ranged from 0 to 1. Towards the end of the season (after 10 WAP), wilting scores were higher, and varieties peruviana and vulgaris showed significantly more wilting than hypogaea and fastigiata (Table 6). In 2018, more wilting was observed at 5 and 7 WAP than at 10 and 12 WAP. As in 2017, in 2018, peruviana and vulgaris were significantly more wilted than hypogaea and fastigiata (Figure 4). Based on data from 2017, taller genotypes were more wilted and had more TSW pressure than smaller genotypes (Figure 5).
Figure 2.
The x-axis shows progression of measured growth traits (plant height, lateral growth, and NDVI) for 104 mini-core peanut genotypes in 2017, and 88 in 2018, with weeks after planting on the y-axis. Each box and whisker plot represents the measured trait, including all genotypes on that day. Plots with the same letters are not significantly different across weeks after planting using LS means at α = 0.05.
Figure 3.
The y-axis shows progression of measured growth traits (plant height, lateral growth, and NDVI) for four peanut varieties (fastigiata, hypogaea, peruviana, and vulgaris) of the U.S. mini-core peanut collection in 2017 and 2018, with weeks after planting on the x-axis. The bars with no or similar letters are not significantly different within individual weeks after planting using LS means at α = 0.05.
Figure 4.
Progression of canopy temperature depression (CTD, canopy minus air temperature), and leaf wilting of peanut varieties over the growing seasons during 2017 and 2018.
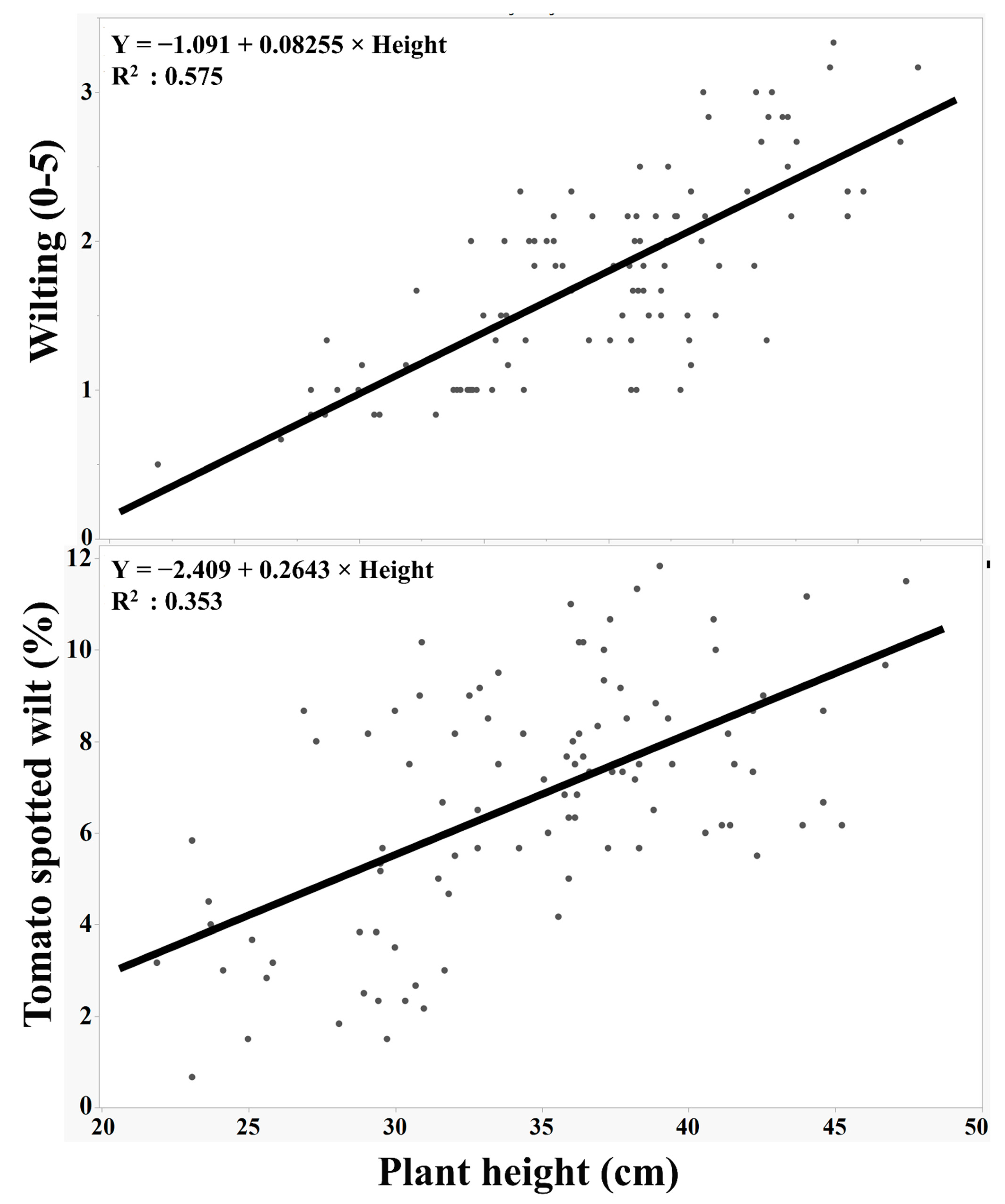
Figure 5.
Correlation of wilting and tomato spotted wilt (TSW) with plant height for the U.S. peanut mini-core collection genotypes. Each data point for the upper graph is average plant height vs. maximum wilting at 10 weeks after planting (WAP), averaged across replications; each data point for the lower graph is average plant height vs. TSW at 12 WAP, averaged across replications in 2017.
3.5. Correlation of Ground Data with Aerially Derived Leaf Reflectance and Indices
There were significant correlations (p < 0.0001) among ground data with aerially derived VIs. In 2017, plant height and lateral growth of hypogaea, fastigiata, vulgaris, and peruviana were negatively correlated to red, green, and blue reflectance (r = −0.32 to −0.80); and positively correlated with aerial NDVI (r = 0.24 to 0.51) and RGB color indices, including but not limited to lightness, a*, and u* (r = −0.53 to −0.80), green area (GA) (r ≥ 0.69), and greener area (GGA) (r ≥ 0.59) (Table 8). Leaf wilting, TSW, SSR, SB, CBR, and thrips damage, were significantly correlated (p < 0.0001) with red, green, and blue leaf reflectance, and RGB color space indices b*, v*, and CSI, among others. In 2017, peanut pod yield was correlated to several VIs, with regards to the variety (Table 8). The correlations were weaker in 2018 than 2017 for most traits, but with a similar trend of correlations (Table 9).
Table 8.
Heatmap correlation matrix of aerial reflectance, color space indices, and their derived vegetation indices, with physiological, morphological, and agronomic traits of peanuts in 2017.
Table 9.
Heatmap correlation matrix of aerial reflectance, color space indices, and their derived vegetation indices, with physiological, morphological, and agronomic traits of peanuts in 2018.
3.6. Heritability
Stand count was highly heritable (H2 = 0.87), based on data in both years (Table 10). Plant height recorded greatest heritability (H2 from 0.45 to 0.94) in mid-season; while ground NDVI and CTD were at the beginning of the season (H2 > 0.9), after which H2 gradually declined. Leaf wilting was mostly heritable (H2 = 0.65) at 7 WAP, coinciding with high heritability of CTD (H2 = 0.79) at that growth stage. All diseases had highest heritability (H2 > 0.5) at 10–11 WAP, when most severe disease incidence was recorded. Pod yield had poor heritability. Averaging the measured traits over the growing season did not yield any significant improvement in heritability. Overall, VIs had higher heritability than red, green, and blue reflectance (Table 11). Though none of the VIs had high heritability values (H2 > 0.5) consistently throughout the growing season, NIR, RGR, NDRGI, GNDVI, BNDVI, CIG, GLI, and mSR, performed better than the others at certain times during the growing season. When averaged over the growing season, red, green, blue, BGI, RGR, NGRDI, PPR, NCPI, and CVI, had heritability above 50%. Among color space indices, most had high heritability when estimated early in the season (up to 8 WAP). Only auI had consistently high heritability values over the growing season. When averaged over the different growth stages, a*, ab, uv, auI, NDabI, and NDuvI, had over 50% heritability.
Table 10.
Heritability of physiological, morphological, disease, sprouting, and yield measurements, of peanuts over different growth stages. Heritability values range from 0 to 1; the closer the values to 1 the higher the heritability.
Table 11.
Heritability of aerially derived vegetation indices over different growth stages. Heritability values range from 0 to 1; the closer the values to 1 the higher the heritability.
4. Discussion
The information compiled in Table 1 could be a useful tool for further studies; updates by other authors can be made when more data become available. In Table 1, the market types described by [41,43] mostly coincided, but there were a few exceptions. For example, accession PI 292950 was described as a Runner by one author and mixed type by the other. Similarly, PI 403813 was classified as Spanish in one paper and Valencia in another. It was most confusing when sorting the accessions by market and botanical types. It is expected that Virginia and Runner market types have morphological types and belong to subspecies hypogaea, Valencia market type to variety fastigiata, and Spanish market type to variety vulgaris. However, the mini-core collection has unique phenotypes with market types that do not match botanical varieties, or subspecies (Stalker 2017). For example, PI 268868 is a Virginia market type belonging to the hypogaea variety, but its pod shape resembles fastigiata. Even more interesting, PI 290566 is described as a Runner belonging to variety fastigiata and having a fastigiata pod shape. In this table, we added kernel color information, i.e., hue, lightness, a*, and b* color properties, derived from pictures available on the GRIN database.
In this study, trait differences among years may be explained, in part, by differences in weather patterns during the growing seasons (Figure 1). For example, more GDD13 were accumulated before 6 WAP (26 June) in 2018, as compared to 2017, followed by an increased mid- to end-season precipitation (Figure 1). Under these conditions, plants grew faster in the early 2018 season, compared to 2017. In 2018, warm temperature to mid-season was accompanied by heavy rainfall in subsequent weeks (8–10 WAP), causing a humid environment (average RH was 88% during 8–10 WAP), and increased disease pressure (p < 0.0001), compared to 2017. The average disease incidence in 2018 for TSW, SSR, SB, and CBR, were 13.7, 3.2, 2.4, and 2.2, respectively, higher than 6.9, 0.19, 0.68, and 0.13, respectively, in 2017.
Repeatedly measured ANOVA showed significant interactions of WAP with genotype and variety for plant height, during the rapid growth phase from 4 to 6 WAP in both years (Figure 2). Unlike in 2017, lateral growth seemed to plateau after 6 WAP in 2018, when weather conditions favored excessive vegetative growth early in the season. In both years, NDVI increased rapidly and reached close to the maximum values by 7 WAP. This coincided with the beginning of the pegging growth stage, when lateral branches from two adjacent rows are close to touching. At this point, agronomists recommend application of growth regulators to restrain abundant biomass growth and maintain row direction visibility at digging; otherwise, pods could be cut into the ground and yield substantially reduced [93]. Therefore, NDVI plateauing from several flight missions can be used as a marker for the best time to control biomass accumulation with growth regulator applications. Our results confirmed that variety vulgaris is morphologically taller than other varieties, and had the highest NDVI early in the season [48,49,94] (Figure 3).
Leaf wilting varied by year. Compared to 2018, leaves in 2017 started to wilt later in the season (10 WAP) after 12–14 days (17–29 July 2017) of insignificant precipitation (Figure 4). Varieties vulgaris and fastigiata were more wilted than hypogaea; peruviana had the highest wilting values. In 2018, wilting was highest at 5 to 7 WAP because of increased temperatures at this time, reflected by more GDD13 accumulation than in 2017; peruviana and vulgaris were more wilted than hypogaea and fastigiata. In both years, peruviana had the coolest canopies among all varieties during sudden droughts (5 and 7 WAP in 2017; 10 and 12 WAP in 2018), which could be the result of increased transpiration, i.e. lower CTD values, and increased water use efficiency [95]. Warmer temperatures and less rainfall in 2018 also resulted in higher thrips pressure [96], causing significantly more damage in 2018 (average value 3.12) as compared to almost zero in 2017. Among the genotypes, CC760 was the tallest and had one of the highest wilting scores (>3) in both years (Table 5); CC760 also had one of the highest incidences of TSW in 2017. In 2017, taller genotypes were more prone to wilting (R2 = 0.58) and high TSWV incidence (R2 = 0.35) than shorter genotypes (Figure 5). The positive relationship between plant height and leaf wilting may be related to longer internodes, more open canopies, and increased exposure to radiation and wind, for tall genotypes favoring moisture loss through latent heat flux associated with boundary layer thickness [97,98]. Longer internodes leading to open canopies could also be more favorable to thrips infestation, and thrips-vectored TSWV incidence and severity [99,100,101].
Cultivars Wynne, Walton, and C76-16, were top yielders in both years, which is expected as they were the high yielding checks selected for our study. However, a few accessions were comparable with these cultivars for yield production. For example, in 2017, CC650, CC246, and CC223, produced comparable yield with the check genotypes, above 7000 kg ha−1. In 2018, CC789, CC068, and CC477, produced over 3800 kg ha−1. The average yield in Virginia was 5100 kg ha−1 in 2017 and 4700 kg ha−1 in 2018 (USDA-NASS, 2017 and 2018), which suggests that new sources for yield improvement exist within the mini-core collection. Previous studies have also shown CC068 to be comparatively resistant to SB and SSR [40,47]. Post-harvest sprouting was lower in 2017 than in 2018, with CC038 sprouting the most. Post-harvest sprouting is caused by weakened pegs allowing pods to detach from the vines during digging [102]. Though the peanuts were harvested around 16 WAP in both years, disease pressure in 2018 may have reduced leaf photosynthesis and assimilate partitioning to pegs during pod development, possibly resulting in weakened pegs and more pod loss [103]. In 2018, post-harvest sprouting was significantly correlated (p < 0.0001) to all three fungal diseases, SSR, SB, and CBR (data not shown).
Among varieties, vulgaris was the tallest and had the most lateral growth in 2017, but in 2018 there were no differences. In 2018, increased GDD13 accumulation before 6 WAP may have reduced the differences among varieties. Variety hypogaea had the highest pod yield in 2017, whereas in 2018, yield differences were minimized by heavy disease pressure. In both years, post-harvest sprouting was more severe for vulgaris and fastigiata, in comparison with hypogaea and peruviana, with the earlier maturing having higher sprouting than the later.
Aerially collected VIs were significantly correlated with all morphological and agronomic characteristics measured in this study, and was similar for each variety. In 2018, correlations were weaker than in 2017, but this could have been caused by faster growth early in the 2018 season. Fewer differences between entries and more disease were observed in 2018, compared with 2017. Regardless, some VIs continued to show significant correlations across years with the plant characteristics, in particular within variety hypogaea, which seemed to be less affected by sudden droughts and had less disease than the other varieties (Table 8 and 9). Of these, several VIs also showed improved H2 over yield and other peanut traits, suggesting possible use for breeding selection for improved peanut cultivars.
Aerial imagery has shown potential to be a faster and relatively cheap option for crop phenotyping [19,104,105]. It can be tool for varietal selection of crops by remote trait estimation, and use of spectral reflectance and its derivatives, as a trait itself. However, in light of recent technological advancements, we have observed UAVs and associated sensors becoming outdated within the first couple of years. This is a challenge for low budget research programs [106]. Further, little progress has been made in UAV autonomy and in-season decision making using aerial sensors [107]. In-season decision making has been hindered by a lack of high-end processing computers and autonomy in image processing; the former being a budget issue, and the latter being an issue with the lack of technology. Use of aerial imagery data for machine learning, deep learning, computer vision, internet-of-things, and crop modelling approaches, requires significant technical expertise in the field of computer science and calls for interdisciplinary research [107,108,109]. Although our study offers a methodology for faster phenotyping, further research is required to make this faster and more autonomous.
5. Conclusions
In 2017 and 2018, in Suffolk, VA, this study evaluated up to 93 U.S. peanut mini-core germplasm collection accessions for morphological, physiological and agronomic attributes, viral and fungal diseases, pod yield, and post-harvest sprouting. This study also evaluated 24 VIs extracted from blue, green, red, and NIR reflectance; 11 VIs from color space indices (CIE-Lab and CIE-Luv), and 13 VIs from combinations of reflectance and color space indices extracted from aerially collected plot images. Genotypes CC548, CC535, CC249, and CC233, were among the least wilted under intermittent drought conditions and produced high yields each year. CC650 had a high yield in 2017, and CC068 produced the highest yield under severe disease pressure in 2018. Aerial VIs were associated with the physiological and agronomical characteristics for all botanical varieties, but the strength of the association depended on year (less in 2018 than in 2017) and the trait (crop stand, height, and branching > yield > disease and post-harvest sprouting). Broad sense heritability (H2) varied depending on the trait and the growth stage when data were collected. Certain VIs, such as the normalized difference CIE-Lab (NDLab) and CIE-Luv (NDLuv), were significantly correlated with physiologic and agronomic characteristics in both years; NDLab and NDLuv were significantly correlated with pod yield. While H2 for pod yield was low, H2 for NDLab and NDLuv was higher than 0.5 when these VIs were assessed during the pod development stage. These results indicate that UAV-based sensors have potential for measuring physiologic and agronomic characteristics for peanut breeding and precision agriculture applications.
Author Contributions
M.B., M.D.B., R.S.B., K.D.C., N.W., P.P., J.M. and J.C. conceptualized the project. M.D.B., R.S.B., K.D.C., M.W., J.C. and C.-J.S. multiplied and provided peanut seeds for the study. J.O. and S.S. prepared the flight plan and flew the UAV for aerial images. J.O. and A.-B.C. helped develop protocols and routines for image processing and analysis. S.S. mainly accomplished the hypothesis and objective development, with advice and comments from M.B., D.S.M. and W.E.T., S.S. collected and analyzed the data and images, derived the spectral and color indices, and wrote the manuscript. M.D.B., R.S.B. and M.B. provided thorough review of the data analysis and the manuscript. All authors have read and agreed to the published version of the manuscript.
Funding
This study was funded by USDA NIFA-CARE and NIFA-AFRI grant (grant no.-2017-67013-26193) and the Virginia Crop Improvement Association (VCIA).
Institutional Review Board Statement
Not applicable.
Informed Consent Statement
Not applicable.
Data Availability Statement
The datasets analyzed during the current study are not publicly available as they are being used to write other manuscripts. The datasets will be made available from the corresponding author on request by reviewers or editors. Information regarding U.S. minicore peanut germplasm is publicly available within the Germplasm Resource Information Network (GRIN) plant germplasm database (https://npgsweb.ars-grin.gov/gringlobal/search, accessed on 20 July 2022).
Acknowledgments
The authors would like to thank the sponsors, USDA-NIFA and VCIA, and lab technicians Doug Redd, Frank Bryant, and Collin Hoy, for their help in tillage operations, establishment, management, and field data collection of the peanut plots. Funding for publication was provided by the Virginia Tech’ Open Access Subvention Fund. Mention of trade names or commercial products in this publication is solely for the purpose of providing specific information, and does not imply recommendation or endorsement by the U.S. Department of Agriculture. USDA is an equal opportunity provider and employer.
Conflicts of Interest
The authors hereby declare that they have NO affiliations with or involvement in any organization or entity with any financial interest (such as honoraria; educational grants; participation in speakers’ bureaus; membership; employment; consultancies; stock ownership; or other equity interest; expert testimony; or patent-licensing arrangements), or non-financial interest (such as personal or professional relationships; affiliations; knowledge; or beliefs) in the subject matter or materials discussed in this manuscript.
Abbreviations
Weeks after planting, WAP; normalized difference vegetation index, NDVI; canopy temperature depression, CTD; tomato spotted wilt virus, TSWV; southern stem rot, SSR; sclerotinia blight, SB; cylindrocladium black rot, CBR; Germplasm Resource Information Network, GRIN; vegetation indices, VIs; red-green-blue, RGB; near-infrared, NIR.
References
- Anstalt, S.V. Food and Agriculture Organization of the United Nations. 2020. Available online: https://www.fao.org/publications/sofa/sofa-2021/en/ (accessed on 18 September 2020).
- “United States Department of Agriculture—National Agricultural Statistics Service.”. Available online: https://www.nass.usda.gov/Data_and_Statistics/ (accessed on 14 September 2020).
- Bennett, R.S.; Chamberlin, K.D.; Morningweg, D.W.; Wang, N.; Sarkar, S.; Balota, M.; Burow, M.; Chagoya, J.; Pham, H. Response to Drought Stress in a Subset of the U.S. Peanut Mini-Core Evaluated in Three States. In Proceedings of the American Peanut Research and Education Society Annual Meeting, Virtual, 13–15 July 2021. [Google Scholar]
- Burow, M.; Balota, M.; Sarkar, S.; Bennett, R.; Chamberlin, K.; Wang, N.; White, M.; Payton, P.; Mahan, J.; Dobreva, I. Field Measurements, Yield, and Grade of the U.S. Minicore under Water Deficit Stress. In Proceedings of the American Peanut Research and Education Society Annual Meeting, Virtual, 13–15 July 2021. [Google Scholar]
- Shew, B. Peanut Disease Management. In 2019 Peanut Information; David, J., Ed.; NC State Extension: Raleigh, NC, USA, 2019; pp. 99–137. [Google Scholar]
- Balota, M.; Sarkar, S. Transpiration of Peanut in the Field under Rainfed Production. In Proceedings of the American Peanut Research and Education Society Annual Meeting, Virtual, 14–15 July 2020. [Google Scholar]
- Pahalwan, D.; Tripathi, R. Irrigation Scheduling Based on Evaporation and Crop Water Requirement for Summer Peanuts. Peanut Sci. 1984, 11, 4–6. [Google Scholar] [CrossRef]
- Prasad, P.; Craufurd, P.; Summerfield, R. Sensitivity of Peanut to Timing of Heat Stress During Reproductive Development. Crop Sci. 1999, 39, 1352–1357. [Google Scholar] [CrossRef]
- Smartt, J. The Groundnut in Farming Systems and the Rural Economy—A Global View. In The Groundnut Crop; Springer: Berlin/Heidelberg, Germany, 1994; pp. 664–699. [Google Scholar]
- Stansell, J.; Shepherd, J.; Pallas, J.; Bruce, R.; Minton, N.; Bell, D.; Morgan, L. Peanut Responses to Soil Water Variables in the Southeast. Peanut Sci. 1976, 3, 44–48. [Google Scholar] [CrossRef]
- Devries, J.; Bennett, J.; Albrecht, S.; Boote, K. Water Relations, Nitrogenase Activity and Root Development of Three Grain Legumes in Response to Soil Water Deficits. Field Crops Res. 1989, 21, 215–226. [Google Scholar] [CrossRef]
- Venkateswarlu, B.; Maheswari, M.; Saharan, N. Effects of Water Deficit on N2(C2H2) Fixation in Cowpea and Groundnut. Plant Soil 1989, 114, 69–74. [Google Scholar] [CrossRef]
- Williams, J.H.; Phillips, T.D.; Jolly, P.E.; Stiles, J.K.; Jolly, C.M.; Aggarwal, D. Human Aflatoxicosis in Developing Countries: A Review of Toxicology, Exposure, Potential Health Consequences, and Interventions. Am. J. Clin. Nutr. 2004, 80, 1106–1122. [Google Scholar] [CrossRef]
- Araya, A.; Prasad, P.; Ciampitti, I.; Jha, P. Using Crop Simulation Model to Evaluate Influence of Water Management Practices and Multiple Cropping Systems on Crop Yields: A Case Study for Ethiopian Highlands. Field Crops Res. 2021, 260, 108004. [Google Scholar] [CrossRef]
- Araya, A.; Jha, P.; Zambreski, Z.; Faye, A.; Ciampitti, I.; Min, D.; Gowda, P.; Singh, U.; Prasad, P. Evaluating Crop Management Options for Sorghum, Pearl Millet and Peanut to Minimize Risk under the Projected Midcentury Climate Scenario for Different Locations in Senegal. Clim. Risk Manag. 2022, 36, 100436. [Google Scholar] [CrossRef]
- Balota, M.; Sarkar, S.; Cazenave, A.; Kumar, N. Plant Characteristics with Significant Contribution to Peanut Yield under Extreme Weather Conditions in Virginia, USA. In Proceedings of the ASA, CSSA, SSSA International Annual Meeting 2021, Salt Lake City, UT, USA, 7–10 November 2021. [Google Scholar]
- Yadav, M.R.; Choudhary, M.; Singh, J.; Lal, M.K.; Jha, P.K.; Udawat, P.; Gupta, N.K.; Rajput, V.D.; Garg, N.K.; Maheshwari, C. Impacts, Tolerance, Adaptation, and Mitigation of Heat Stress on Wheat under Changing Climates. Int. J. Mol. Sci. 2022, 23, 2838. [Google Scholar] [CrossRef]
- Balota, M.; Sarkar, S.; Cazenave, A.; Burow, M.; Bennett, R.; Chamberlin, K.; Wang, N.; White, M.; Payton, P.; Mahan, J. Vegetation Indices Enable Indirect Phenotyping of Peanut Physiologic and Agronomic Characteristics. In Proceedings of the American Peanut Research and Education Society Annual Meeting, Virtual, 13–15 July 2021. [Google Scholar]
- Sarkar, S.; Cazenave, A.B.; Oakes, J.; McCall, D.; Thomason, W.; Abbot, L.; Balota, M. High-Throughput Measurement of Peanut Canopy Height Using Digital Surface models. Plant Phenome J. 2020, 3, e20003. [Google Scholar] [CrossRef]
- Sarkar, S.; Ramsey, A.F.; Cazenave, A.-B.; Balota, M. Peanut Leaf Wilting Estimation from Rgb Color Indices and Logistic Models. Front. Plant Sci. 2021, 12, 713. [Google Scholar] [CrossRef] [PubMed]
- Chapu, I.; Okello, D.K.; Okello, R.C.O.; Odong, T.L.; Sarkar, S.; Balota, M. Exploration of Alternative Approaches to Phenotyping of Late Leaf Spot and Groundnut Rosette Virus Disease for Groundnut Breeding. Front. Plant Sci. 2022, 13, 912332. [Google Scholar] [CrossRef] [PubMed]
- Holman, F.H.; Riche, A.B.; Michalski, A.; Castle, M.; Wooster, M.J.; Hawkesford, M.J. High Throughput Field Phenotyping of Wheat Plant Height and Growth Rate in Field Plot Trials Using Uav Based Remote Sensing. Remote Sens. 2016, 8, 1031. [Google Scholar] [CrossRef]
- Oakes, J.; Balota, M.; Thomason, W.; Cazenave, A.; Sarkar, S. Using Uavs to Improve Nitrogen Management of Winter Wheat. In Annual Wheat Newsletter, 103: Wheat Genetic and Genomic Resources Center at Kansas State University; Kansas State University: Manhattan, KS, USA, 2020. [Google Scholar]
- Sadeghpour, A.; Oakes, J.; Sarkar, S.; Balota, M. Precise Nitrogen Management of Biomass Sorghum Using Vegetation Indices. In Proceedings of the ASA, CSSA and SSSA International Annual Meetings, Tampa, FL, USA, 22–25 October 2017. [Google Scholar]
- Wang, X.; Singh, D.; Marla, S.; Morris, G.; Poland, J. Field-Based High-Throughput Phenotyping of Plant Height in Sorghum Using Different Sensing Technologies. Plant Methods 2018, 14, 53. [Google Scholar] [CrossRef]
- Watanabe, K.; Guo, W.; Arai, K.; Takanashi, H.; Kajiya-Kanegae, H.; Kobayashi, M.; Yano, K.; Tokunaga, T.; Fujiwara, T.; Tsutsumi, N. High-Throughput Phenotyping of Sorghum Plant Height Using an Unmanned Aerial Vehicle and Its Application to Genomic Prediction Modeling. Front. Plant Sci. 2017, 8, 421. [Google Scholar] [CrossRef] [PubMed]
- Sarkar, S.; Wedegaertner, K.; Shekoofa, A. Using Aerial Imagery to Optimize the Efficiency of Pgr Application in Cotton. In Proceedings of the Beltwide Cotton Conference, San Antonio, TX, USA, 10–12 January 2022. [Google Scholar]
- Swaef, T.D.; Maes, W.H.; Aper, J.; Baert, J.; Cougnon, M.; Reheul, D.; Steppe, K.; Roldán-Ruiz, I.; Lootens, P. Applying Rgb-and Thermal-Based Vegetation Indices from Uavs for High-Throughput Field Phenotyping of Drought Tolerance in Forage Grasses. Remote Sens. 2021, 13, 147. [Google Scholar] [CrossRef]
- Freeman, K.W.; Girma, K.; Arnall, D.B.; Mullen, R.W.; Martin, K.L.; Teal, R.K.; Raun, W.R. By-Plant Prediction of Corn Forage Biomass and Nitrogen Uptake at Various Growth Stages Using Remote Sensing and Plant Height. Agron. J. 2007, 99, 530–536. [Google Scholar] [CrossRef]
- Yuan, H.; Yang, G.; Li, C.; Wang, Y.; Liu, J.; Yu, H.; Feng, H.; Xu, B.; Zhao, X.; Yang, X. Retrieving Soybean Leaf Area Index from Unmanned Aerial Vehicle Hyperspectral Remote Sensing: Analysis of Rf, Ann, and Svm Regression Models. Remote Sens. 2017, 9, 309. [Google Scholar] [CrossRef]
- Sarkar, S.; Shekoofa, A.; McClure, A.; Gillman, J.D. Phenotyping and Quantitative Trait Locus Analysis for the Limited Transpiration Trait in an Upper-Mid South Soybean Recombinant Inbred Line Population (‘Jackson’בKs4895′): High Throughput Aquaporin Inhibitor Screening. Front. Plant Sci. 2021, 12, 779834. [Google Scholar] [CrossRef]
- Jha, P.K.; Kumar, S.N.; Ines, A.V. Responses of Soybean to Water Stress and Supplemental Irrigation in Upper Indo-Gangetic Plain: Field Experiment and Modeling Approach. Field Crops Res. 2018, 219, 76–86. [Google Scholar] [CrossRef]
- Sarkar, S.; Jha, P.K. Is Precision Agriculture Worth It? Yes, May Be. J. Biotechnol. Crop Sci. 2020, 9, 4–9. [Google Scholar]
- Visscher, P.M.; Hill, W.G.; Wray, N.R. Heritability in the Genomics Era—Concepts and Misconceptions. Nat. Rev. Genet. 2008, 9, 255–266. [Google Scholar] [CrossRef] [PubMed]
- Cruickshank, A. Heritability of Drought–Resistance Traits in Peanut. In Proceedings of the 4th International Crop Science Congress, Brisbane, Australia, 26 September–1 October 2004. [Google Scholar]
- Phudenpa, A.; Jogloy, S.; Toomsan, B.; Wongkaew, S.; Kesmala, T.; Patanothai, A. Heritability and Phenotypic Correlation of Traits Related to N2-Fixation and Agronomic Traits in Peanut (Arachis hypogaea L.). Warasan Songkhlanakharin 2004, 26, 317–325. [Google Scholar]
- Tao, X.; Li, Y.; Yan, W.; Wang, M.; Tan, Z.; Jiang, J.; Luan, Q. Heritable Variation in Tree Growth and Needle Vegetation Indices of Slash Pine (Pinus Elliottii) Using Unmanned Aerial Vehicles (Uavs). Ind. Crops Prod. 2021, 173, 114073. [Google Scholar] [CrossRef]
- Holbrook, C.C.; Anderson, W.F.; Pittman, R.N. Selection of a Core Collection from the Us Germplasm Collection of Peanut. Crop Sci. 1993, 33, 859–861. [Google Scholar] [CrossRef]
- Holbrook, C.C.; Dong, W. Development and Evaluation of a Mini Core Collection for the U.S. Peanut Germplasm Collection. Crop Sci. 2005, 45, 1540–1544. [Google Scholar] [CrossRef]
- Bennett, R.S.; Chamberlin, K.D.; Damicone, J.P. Sclerotinia Blight Resistance in the Us Peanut Mini-Core Collection. Crop Sci. 2018, 58, 1306–1317. [Google Scholar] [CrossRef]
- Chamberlin, K.D.; Melouk, H.A.; Payton, M.E. Evaluation of the U.S. Peanut Mini Core Collection Using a Molecular Marker for Resistance to Sclerotinia Minor Jagger. Euphytica 2009, 172, 109–115. [Google Scholar] [CrossRef]
- Chu, Y.; Ramos, L.; Holbrook, C.; Ozias-Akins, P. Frequency of a Loss-of-Function Mutation in Oleoyl-Pc Desaturase (Ahfad2a) in the Mini-Core of the Us Peanut Germplasm Collection. Crop Sci. 2007, 47, 2372–2378. [Google Scholar] [CrossRef]
- Kottapalli, K.R.; Burow, M.D.; Burow, G.; Burke, J.; Puppala, N. Molecular Characterization of the U.S. Peanut Mini Core Collection Using Microsatellite Markers. Crop Sci. 2007, 47, 1718–1727. [Google Scholar] [CrossRef]
- Wang, M.; Chen, C.; Pinnow, D.; Barkley, N.; Pittman, R.; Lamb, M.; Pederson, G. Seed Dormancy Variability in the Us Peanut Mini-Core Collection. Res. J. Seed Sci. 2012, 5, 84–95. [Google Scholar] [CrossRef]
- Wang, M.L.; Chen, C.Y.; Tonnis, B.; Barkley, N.A.; Pinnow, D.L.; Pittman, R.N.; Davis, J.; Holbrook, C.C.; Stalker, H.T.; Pederson, G.A. Oil, Fatty Acid, Flavonoid, and Resveratrol Content Variability and Fad2a Functional Snp Genotypes in the U.S. Peanut Mini-Core Collection. J. Agric. Food Chem. 2013, 61, 2875–2882. [Google Scholar] [CrossRef] [PubMed]
- Wang, M.L.; Sukumaran, S.; Barkley, N.A.; Chen, Z.; Chen, C.Y.; Guo, B.; Pittman, R.N.; Stalker, H.T.; Holbrook, C.C.; Pederson, G.A.; et al. Population Structure and Marker-Trait Association Analysis of the Us Peanut (Arachis hypogaea L.) Mini-Core Collection. Theor. Appl. Genet. 2011, 123, 1307–1317. [Google Scholar] [CrossRef]
- Bennett, R. Growth Chamber Assay for Evaluating Resistance to Athelia Rolfsii. Peanut Sci. 2020, 47, 25–32. [Google Scholar] [CrossRef]
- Chen, C.Y.; Barkley, N.A.; Wang, M.L.; Holbrook, C.C.; Dang, P.M. Registration of Purified Accessions for the U.S. Peanut Mini-Core Germplasm Collection. J. Plant Regist. 2014, 8, 77–85. [Google Scholar] [CrossRef]
- Pittman, R.N. United States Peanut Descriptors; ARS (USA): Beltsville, MD, USA, 1995.
- Stalker, H.T. Utilizing Wild Species for Peanut Improvement. Crop Sci. 2017, 57, 1102–1120. [Google Scholar] [CrossRef]
- Rueden, C.T.; Schindelin, J.; Hiner, M.C.; DeZonia, B.E.; Walter, A.E.; Arena, E.T.; Eliceiri, K.W. Imagej2: Imagej for the Next Generation of Scientific Image Data. BMC Bioinform. 2017, 18, 529. [Google Scholar] [CrossRef]
- Schindelin, J.; Arganda-Carreras, I.; Frise, E.; Kaynig, V.; Longair, M.; Pietzsch, T.; Preibisch, S.; Rueden, C.; Saalfeld, S.; Schmid, B. Fiji: An Open-Source Platform for Biological-Image Analysis. Nat. Methods 2012, 9, 676–682. [Google Scholar] [CrossRef]
- Isleib, T.G.; Pattee, H.E.; Tubbs, R.S.; Sanders, T.H.; Dean, L.O.; Hendrix, K.W. Intensities of Sensory Attributes in High-and Normal-Oleic Cultivars in the Uniform Peanut Performance Test. Peanut Sci. 2015, 42, 83–91. [Google Scholar] [CrossRef]
- Balota, M.; Tillman, B.L.; Paula-Moraes, S.V.; Anco, D. ‘Walton’, a New Virginia-Type Peanut Suitable for Virginia and Northern Us Growing Regions. J. Plant Regist. 2021, 15, 422–434. [Google Scholar] [CrossRef]
- Burow, M.; Baring, M.; Chagoya, J.; Trostle, C.; Puppala, N.; Simpson, C.; Ayers, J.; Cason, J.; Schubert, A.; Muitia, A. Registration of ‘Tamval Ol14’ peanut. J. Plant Regist. 2019, 13, 134–138. [Google Scholar] [CrossRef]
- Smith, O.; Simpson, C.; Grichar, W.; and Melouk, H. Registration of ‘Tamspan 90’ peanut. Crop Sci. 1991, 31, 1711. [Google Scholar] [CrossRef]
- Baring, M.R.; Simpson, C.E.; Burow, M.D.; Cason, J.M.; Ayers, J.L. Registration of ‘Tamrun Ol11’ peanut. J. Plant Regist. 2013, 7, 154–158. [Google Scholar] [CrossRef]
- Hsi, D. Registration of New Mexico Valencia C Peanut (Reg. No. 24). Crop Sci. 1980, 20, 113–114. [Google Scholar] [CrossRef]
- Kirby, J.; Melouk, H.; Stevens Jr, T.; Banks, D.; Sholar, J.; Damicone, J.; Jackson, K. Registration of ‘Southwest Runner’ peanut. Crop Sci. 1998, 38, 545–546. [Google Scholar] [CrossRef]
- Chamberlin, K.; Bennett, R.; Damicone, J.; Godsey, C.; Melouk, H.; Keim, K. Registration of ‘Ole’ peanut. J. Plant Regist. 2015, 9, 154–158. [Google Scholar] [CrossRef]
- Branch, W. Registration of ‘Georgia-09b’ peanut. J. Plant Regist. 2010, 4, 175–178. [Google Scholar] [CrossRef]
- Balota, M. Agronomic Recommendations and Procedures. In Virginia Peanut Production Guide; Maria, B., Ed.; Virginia Cooperative Extension: Blacksburg, VA, USA, 2020; pp. 7–37. [Google Scholar]
- Boote, K. Growth Stages of Peanut (Arachis hypogaea L.). Peanut Sci. 1982, 9, 35–40. [Google Scholar] [CrossRef]
- Luis, J.M.; Ozias-Akins, P.; Holbrook, C.C.; Kemerait Jr, R.C.; Snider, J.L.; Liakos, V. Phenotyping Peanut Genotypes for Drought Tolerance. Peanut Sci. 2016, 43, 36–48. [Google Scholar] [CrossRef]
- Voorrips, R.E.; Steenhuis-Broers, G.; Tiemens-Hulscher, M.; van Bueren, E.T.L. Plant Traits Associated with Resistance to Thrips Tabaci in Cabbage (Brassica Oleracea Var Capitata). Euphytica 2008, 163, 409. [Google Scholar] [CrossRef][Green Version]
- Zarco-Tejada, P.J.; Berjón, A.; Lopez-Lozano, R.; Miller, J.R.; Martín, P.; Cachorro, V.; González, M.; De Frutos, A. Assessing Vineyard Condition with Hyperspectral Indices: Leaf and Canopy Reflectance Simulation in a Row-Structured Discontinuous Canopy. Remote Sens. Environ. 2005, 99, 271–287. [Google Scholar] [CrossRef]
- Gamon, J.; Surfus, J. Assessing Leaf Pigment Content and Activity with a Reflectometer. New Phytol. 1999, 143, 105–117. [Google Scholar] [CrossRef]
- Sarkar, S.; Cazenave, A.B.; Oakes, J.; McCall, D.; Thomason, W.; Abbot, L.; Balota, M. Aerial High-Throughput Phenotyping of Peanut Leaf Area Index and Lateral Growth. Sci. Rep. 2021, 1, 21661. [Google Scholar] [CrossRef]
- Tucker, C.J. Red and Photographic Infrared Linear Combinations for Monitoring Vegetation. Remote Sens. Environ. 1979, 8, 127–150. [Google Scholar] [CrossRef]
- Metternicht, G. Vegetation Indices Derived from High-Resolution Airborne Videography for Precision Crop Management. Int. J. Remote Sens. 2003, 24, 2855–2877. [Google Scholar] [CrossRef]
- Peñuelas, J.; Gamon, J.; Fredeen, A.; Merino, J.; Field, C. Reflectance Indices Associated with Physiological Changes in Nitrogen-and Water-Limited Sunflower Leaves. Remote Sens. Environ. 1994, 48, 135–146. [Google Scholar] [CrossRef]
- Rouse Jr, J.; Haas, R.H.; Deering, D.; Schell, J.; Harlan, J.C. Monitoring the Vernal Advancement and Retrogradation (Green Wave Effect) of Natural Vegetation; Texas A&M University: Station, TX, USA, 1974. [Google Scholar]
- Gitelson, A.A.; Merzlyak, M.N. Remote Estimation of Chlorophyll Content in Higher Plant Leaves. Int. J. Remote Sens. 1997, 18, 2691–2697. [Google Scholar] [CrossRef]
- Gitelson, A.A.; Kaufman, Y.J.; Stark, R.; Rundquist, D. Novel Algorithms for Remote Estimation of Vegetation Fraction. Remote Sens. Environ. 2002, 80, 76–87. [Google Scholar] [CrossRef]
- Hewson, I.; O’Neil, J.M.; Fuhrman, J.A.; Dennison, W.C. Virus-Like Particle Distribution and Abundance in Sediments and Overlying Waters Along Eutrophication Gradients in Two Subtropical Estuaries. Limnol. Oceanogr. 2001, 46, 1734–1746. [Google Scholar] [CrossRef]
- Gitelson, A.A.; Kaufman, Y.J.; Merzlyak, M.N. Use of a Green Channel in Remote Sensing of Global Vegetation from Eos-Modis. Remote Sens. Environ. 1996, 58, 289–298. [Google Scholar] [CrossRef]
- Yang, C.; Everitt, J.H.; Bradford, J.M.; Murden, D. Airborne Hyperspectral Imagery and Yield Monitor Data for Mapping Cotton Yield Variability. Precis. Agric. 2004, 5, 445–461. [Google Scholar] [CrossRef]
- Gitelson, A.A.; Gritz, Y.; Merzlyak, M.N. Relationships between Leaf Chlorophyll Content and Spectral Reflectance and Algorithms for Non-Destructive Chlorophyll Assessment in Higher Plant Leaves. J. Plant Physiol. 2003, 160, 271–282. [Google Scholar] [CrossRef] [PubMed]
- Escadafal, R. Soil Spectral Properties and Their Relationships with Environmental Parameters-Examples from Arid Regions. In Imaging Spectrometry—A Tool for Environmental Observations; Springer: Berlin/Heidelberg, Germany, 1994; pp. 71–87. [Google Scholar]
- Gobron, N.; Pinty, B.; Verstraete, M.M.; Widlowski, J.-L. Advanced Vegetation Indices Optimized for up-Coming Sensors: Design, Performance, and Applications. IEEE Trans. Geosci. Remote Sens. 2000, 38, 2489–2505. [Google Scholar]
- Wang, F.-M.; Huang, J.-F.; Tang, Y.-L.; Wang, X.-Z. New Vegetation Index and Its Application in Estimating Leaf Area Index of Rice. Rice Sci. 2007, 14, 195–203. [Google Scholar] [CrossRef]
- Sims, D.A.; Gamon, J.A. Relationships between Leaf Pigment Content and Spectral Reflectance across a Wide Range of Species, Leaf Structures and Developmental Stages. Remote Sens. Environ. 2002, 81, 337–354. [Google Scholar] [CrossRef]
- Welch, E.; Moorhead, R.; Owens, J. Image Processing Using the Hsi Color Space. In Proceedings of the IEEE Southeastcon’91, Williamsburg, VA, USA, 7–10 April 1991. [Google Scholar]
- Schanda, J. Colorimetry: Understanding the Cie System; John Wiley & Sons: Hoboken, NJ, USA, 2007. [Google Scholar]
- Casadesús, J.; Kaya, Y.; Bort, J.; Nachit, M.; Araus, J.; Amor, S.; Ferrazzano, G.; Maalouf, F.; Maccaferri, M.; Martos, V. Using Vegetation Indices Derived from Conventional Digital Cameras as Selection Criteria for Wheat Breeding in Water-Limited Environments. Ann. Appl. Biol. 2007, 150, 227–236. [Google Scholar] [CrossRef]
- Kefauver, S.C.; Vicente, R.; Vergara-Díaz, O.; Fernandez-Gallego, J.A.; Kerfal, S.; Lopez, A.; Melichar, J.P.; Serret Molins, M.D.; Araus, J.L. Comparative Uav and Field Phenotyping to Assess Yield and Nitrogen Use Efficiency in Hybrid and Conventional Barley. Front. Plant Sci. 2017, 8, 1733. [Google Scholar] [CrossRef]
- Buchaillot, M.; Gracia-Romero, A.; Vergara-Diaz, O.; Zaman-Allah, M.A.; Tarekegne, A.; Cairns, J.E.; Prasanna, B.M.; Araus, J.L.; Kefauver, S.C. Evaluating Maize Genotype Performance under Low Nitrogen Conditions Using Rgb Uav Phenotyping Techniques. Sensors 2019, 19, 1815. [Google Scholar] [CrossRef]
- Kipp, S.; Mistele, B.; Schmidhalter, U. Identification of Stay-Green and Early Senescence Phenotypes in High-Yielding Winter Wheat, and Their Relationship to Grain Yield and Grain Protein Concentration Using High-Throughput Phenotyping Techniques. Funct. Plant Biol. 2014, 41, 227–235. [Google Scholar] [CrossRef]
- Liu, Y.; Mu, X.; Wang, H.; Yan, G.; Henebry, G. A Novel Method for Extracting Green Fractional Vegetation Cover from Digital Images. J. Veg. Sci. 2012, 23, 406–418. [Google Scholar] [CrossRef]
- Trussell, H.J.; Saber, E.; Vrhel, M. Color Image Processing [Basics and Special Issue Overview. IEEE Signal Processing Mag. 2005, 22, 14–22. [Google Scholar] [CrossRef]
- Yam, K.L.; Papadakis, S.E. A Simple Digital Imaging Method for Measuring and Analyzing Color of Food Surfaces. J. Food Eng. 2004, 61, 137–142. [Google Scholar] [CrossRef]
- Zhou, B.; Elazab, A.; Bort, J.; Vergara, O.; Serret, M.; Araus, J.L. Low-Cost Assessment of Wheat Resistance to Yellow Rust through Conventional Rgb Images. Comput. Electron. Agric. 2015, 116, 20–29. [Google Scholar] [CrossRef]
- Jordan, D.L.; Nuti, R.C.; Beam, J.B.; Lancaster, S.H.; Lanier, J.E.; Lassiter, B.R.; Johnson, P.D. Peanut (Arachis hypogaea L.) Cultivar Response to Prohexadione Calcium. Peanut Sci. 2008, 35, 101–107. [Google Scholar] [CrossRef]
- Cabrera-Bosquet, L.; Molero, G.; Stellacci, A.; Bort, J.; Nogues, S.; Araus, J. Ndvi as a Potential Tool for Predicting Biomass, Plant Nitrogen Content and Growth in Wheat Genotypes Subjected to Different Water and Nitrogen Conditions. Cereal Res. Commun. 2011, 39, 147–159. [Google Scholar] [CrossRef]
- Sinclair, T.R.; Shekoofa, A.; Isleib, T.G.; Balota, M.; Zhang, H. Identification of Virginia-Type Peanut Genotypes for Water-Deficit Conditions Based on Early Decrease in Transpiration Rate with Soil Drying. Crop Sci. 2018, 58, 2607–2612. [Google Scholar] [CrossRef]
- Pett, W. Thrips Favor Hot and Dry Weather. Available online: https://www.canr.msu.edu/news/thrips_favor_hot_and_dry_weather (accessed on 31 October 2020).
- Campbell, G.S.; Norman, J.M. An Introduction to Environmental Biophysics; Springer Science & Business Media: Berlin, Germany, 2000. [Google Scholar]
- Schymanski, S.J.; Breitenstein, D.; Or, D. An Experimental Set-up to Measure Latent and Sensible Heat Fluxes from (Artificial) Plant Leaves. Hydrol. Earth Syst. Sci. 2017, 21, 3377–3400. [Google Scholar] [CrossRef]
- Brown, S.; Todd, J.; Culbreath, A. Effect of Selected Cultural Practices on Incidence of Tomato Spotted Wilt Virus and Populations of Thrips Vectors in Peanuts. Tospoviruses Thrips Flor. Veg. Crops 431 1995, 491–498. [Google Scholar] [CrossRef]
- Cabrera, E. Thrips and Tomato Spotted Wilt Virus Control in Peanuts. In CAES Newswire; College of Agricultural & Environmental Sciences, UGA Cooperative Extension: Athens, GA, USA, 2020. [Google Scholar]
- Hagen, A.; Weeks, R. Tomato Spotted Wilt Virus on Peanuts; Alabama A&M and Auburn Universities: Huntsville, AL, USA, 1998. [Google Scholar]
- Ntare, B.; Diallo, A.; Ndjeunga, J.; Waliyar, F. Groundnut Seed Production Manual; International Crops Research Institute for the Semi-Arid Tropics: Patancheruvu, India, 2008. [Google Scholar]
- Bourgeois, G.; Boote, K.; Berger, R. Growth, Development, Yield, and Seed Quality of Florunner Peanut Affected by Late Leaf Spot. Peanut Sci. 1991, 18, 137–143. [Google Scholar] [CrossRef]
- Barbedo, J.G.A. A Review on the Use of Unmanned Aerial Vehicles and Imaging Sensors for Monitoring and Assessing Plant Stresses. Drones 2019, 3, 40. [Google Scholar] [CrossRef]
- Hassler, S.C.; Baysal-Gurel, F. Unmanned Aircraft System (Uas) Technology and Applications in Agriculture. Agronomy 2019, 9, 618. [Google Scholar] [CrossRef]
- Neupane, K.; Baysal-Gurel, F. Automatic Identification and Monitoring of Plant Diseases Using Unmanned Aerial Vehicles: A Review. Remote Sens. 2021, 13, 3841. [Google Scholar] [CrossRef]
- Carrio, A.; Sampedro, C.; Rodriguez-Ramos, A.; Campoy, P. A Review of Deep Learning Methods and Applications for Unmanned Aerial Vehicles. J. Sens. 2017, 2017, 3296874. [Google Scholar] [CrossRef]
- Mochida, K.; Koda, S.; Inoue, K.; Hirayama, T.; Tanaka, S.; Nishii, R.; Melgani, F. Computer Vision-Based Phenotyping for Improvement of Plant Productivity: A Machine Learning Perspective. GigaScience 2019, 8, giy153. [Google Scholar] [CrossRef] [PubMed]
- Virnodkar, S.S.; Pachghare, V.K.; Patil, V.; Jha, S.K. Remote Sensing and Machine Learning for Crop Water Stress Determination in Various Crops: A Critical Review. Precis. Agric. 2020, 21, 1121–1155. [Google Scholar] [CrossRef]
Publisher’s Note: MDPI stays neutral with regard to jurisdictional claims in published maps and institutional affiliations. |
© 2022 by the authors. Licensee MDPI, Basel, Switzerland. This article is an open access article distributed under the terms and conditions of the Creative Commons Attribution (CC BY) license (https://creativecommons.org/licenses/by/4.0/).





