Copper and Cadmium Accumulation and Phytorextraction Potential of Native and Cultivated Plants Growing around a Copper Smelter
Abstract
:1. Introduction
2. Materials and Methods
2.1. Site Description
2.2. Samples Collection and Chemical Analysis
2.3. Data Analysis
2.3.1. Contaminant Factors (CF)
2.3.2. Geoaccumulation Index (Igeo)
2.3.3. Translocation Factor (TF)
2.3.4. Bioconcentration Factor (BCF)
2.4. Statistical Analyses
3. Results and Discussion
3.1. Total and Available Copper and Cadmium in Soils
3.2. Accumulation of Copper and Cadmium in Plants
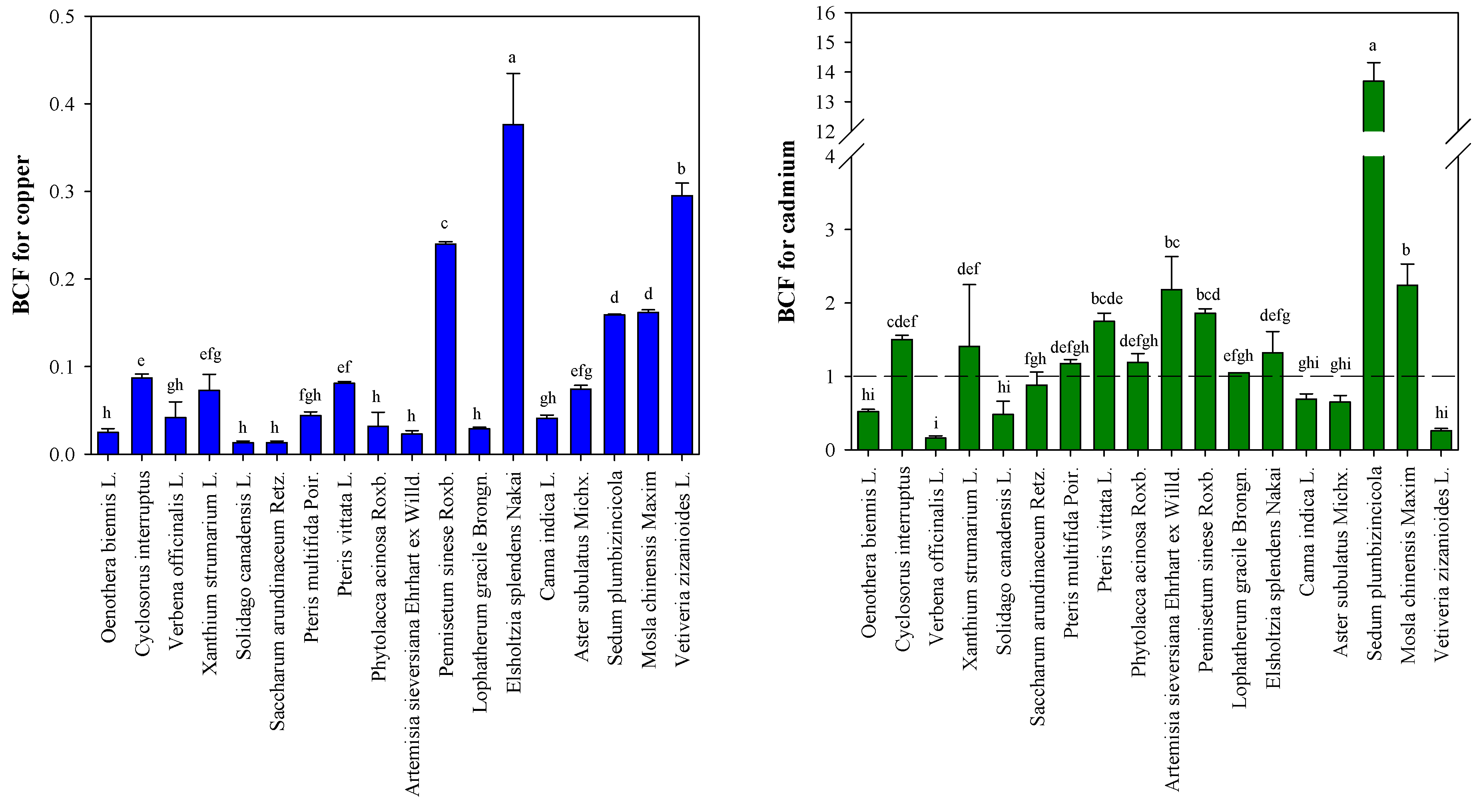
3.3. TF and BCF of Plants
3.4. Phytoextraction Potential Evaluation and Environmental Implication
4. Conclusions
Supplementary Materials
Author Contributions
Funding
Institutional Review Board Statement
Informed Consent Statement
Data Availability Statement
Acknowledgments
Conflicts of Interest
References
- Etesami, H. Bacterial mediated alleviation of heavy metal stress and decreased accumulation of metals in plant tissues: Mechanisms and future prospects. Ecotoxicol. Environ. Saf. 2018, 147, 175–191. [Google Scholar] [CrossRef] [PubMed]
- Jiang, B.; Adebayo, A.; Jia, J.; Xing, Y.; Deng, S.; Guo, L.; Liang, Y.; Zhang, D. Impacts of heavy metals and soil properties at a Nigerian e-waste site on soil microbial community. J. Hazard Mater. 2019, 362, 187–195. [Google Scholar] [CrossRef] [PubMed]
- MEP; MLR. Announce the Report on National General Survey on Soil Contamination; The State Council, The People’s Republic of China: Beijing, China, 2014.
- Shen, X.; Dai, M.; Yang, J.; Sun, L.; Tan, X.; Peng, C.; Ali, I.; Naz, I. A critical review on the phytoremediation of heavy metals from environment: Performance and challenges. Chemosphere 2022, 291, 132979. [Google Scholar] [CrossRef] [PubMed]
- Wang, L.; Ji, B.; Hu, Y.; Liu, R.; Sun, W. A review on in situ phytoremediation of mine tailings. Chemosphere 2017, 184, 594–600. [Google Scholar] [CrossRef]
- Sarwar, N.; Imran, M.; Shaheen, M.R.; Ishaque, W.; Kamran, M.A.; Matloob, A.; Rehim, A.; Hussain, S. Phytoremediation strategies for soils contaminated with heavy metals: Modifications and future perspectives. Chemosphere 2017, 171, 710–721. [Google Scholar] [CrossRef]
- Liu, Z.Q.; Li, H.L.; Zeng, X.J.; Lu, C.; Fu, J.Y.; Guo, L.J.; Kimani, W.M.; Yan, H.L.; He, Z.Y.; Hao, H.Q.; et al. Coupling phytoremediation of cadmium-contaminated soil with safe crop production based on a sorghum farming system. J. Clean. Prod. 2020, 275, 123002. [Google Scholar] [CrossRef]
- Zhu, H.; Chen, L.; Xing, W.; Ran, S.; Wei, Z.; Amee, M.; Wassie, M.; Niu, H.; Tang, D.; Sun, J.; et al. Phytohormones-induced senescence efficiently promotes the transport of cadmium from roots into shoots of plants: A novel strategy for strengthening of phytoremediation. J. Hazard. Mater. 2020, 388, 122080. [Google Scholar] [CrossRef]
- Wei, S.; Teixeira da Silva, J.A.; Zhou, Q. Agro-improving method of phytoextracting heavy metal contaminated soil. J. Hazard. Mater. 2008, 150, 662–668. [Google Scholar] [CrossRef]
- Al-Baldawi, I.A.; Abdullah, S.R.S.; Anuar, N.; Hasan, H.A. Phytotransformation of methylene blue from water using aquatic plant (Azolla pinnata). Environ. Technol. Inno. 2018, 11, 15–22. [Google Scholar] [CrossRef]
- Fu, S.; Wei, C.; Xiao, Y.; Li, L.; Wu, D. Heavy metals uptake and transport by native wild plants: Implications for phytoremediation and restoration. Environ. Earth Sci. 2019, 78, 103. [Google Scholar] [CrossRef]
- Maric, M.; Antonijevic, M.; Alagic, S. The investigation of the possibility for using some wild and cultivated plants as hyperaccumulators of heavy metals from contaminated soil. Environ. Sci. Pollut. Res. 2013, 20, 1181–1188. [Google Scholar] [CrossRef] [PubMed]
- Xiao, R.; Shen, F.; Du, J.; Li, R.; Lahori, A.H.; Zhang, Z. Screening of native plants from wasteland surrounding a Zn smelter in Feng County China, for phytoremediation. Ecotoxicol. Environ. Saf. 2018, 162, 178–183. [Google Scholar] [CrossRef] [PubMed]
- Yang, X.E.; Peng, H.Y.; Jiang, L.Y.; He, Z.L. Phytoextraction of copper from contaminated soil by Elsholtzia splendens as affected by EDTA, citric acid, and compost. Int. J. Phytoremediat. 2005, 7, 69–83. [Google Scholar] [CrossRef] [PubMed]
- Xue, Z.; Wu, M.; Hu, H.; Kianpoor Kalkhajeh, Y. Cadmium uptake and transfer by Sedum plumbizincicola using EDTA, tea saponin, and citric acid as activators. Int. J. Phytoremediat. 2021, 23, 1052–1060. [Google Scholar] [CrossRef]
- Zou, J.; Song, F.; Lu, Y.; Zhuge, Y.; Niu, Y.; Lou, Y.; Pan, H.; Zhang, P.; Pang, L. Phytoremediation potential of wheat intercropped with different densities of Sedum plumbizincicola in soil contaminated with cadmium and zinc. Chemosphere 2021, 276, 130223. [Google Scholar] [CrossRef] [PubMed]
- Cheng, S. Heavy metals in plants and phytoremediation: A State-of-the-Art Report with Special Reference to Literature Published in Chinese Journals. Environ. Sci. Pollut. Res. 2003, 10, 335–340. [Google Scholar] [CrossRef] [PubMed]
- Wang, Y.; Zhou, T.; Wang, W.; Zhao, J.; Li, Z.; Ge, Y.; Wang, Z.; Wu, L.; Christie, P. Phytoextraction of highly cadmium-polluted agricultural soil by Sedum plumbizincicola: An eight-hectare field study. Sci. Total Environ. 2023, 905, 167216. [Google Scholar] [CrossRef]
- Lu, H.; Xu, D.; Kong, T.; Wang, D. Characteristics of Enzyme Activities during Phytoremediation of Cd-Contaminated Soil. Sustainability 2022, 14, 9350. [Google Scholar] [CrossRef]
- Yu, G.; Liu, J.; Long, Y.; Chen, Z.; Sunahara, G.I.; Jiang, P.; You, S.; Lin, H.; Xiao, H. Phytoextraction of cadmium-contaminated soils: Comparison of plant species and low molecular weight organic acids. Int. J. Phytoremediat. 2020, 22, 383–391. [Google Scholar] [CrossRef]
- Qin, H.; Zhang, B.F.; Chen, J.Q.; Fang, M.X.; Lin, Q. An enhanced phytoextraction of Sedum plumbizincicola in Cd contaminated soil-the foliar application of chelating agent and phytohormones. J. Soil Water Conserv. 2023, 37, 363–369. (In Chinese) [Google Scholar]
- Jiang, L.Y.; Yang, X.E.; He, Z.L. Growth response and phytoextraction of copper at different levels in soils by Elsholtzia splendens. Chemosphere 2004, 55, 1179–1187. [Google Scholar] [CrossRef] [PubMed]
- Zhou, J.; Cui, H.; Zhu, Z.; Liu, M.; Xia, R.; Liu, X.; Ding, C.; Zhou, J. Long-term and multipoint observations of atmospheric heavy metal (Cu and Cd) deposition and accumulation in soil–crop system and human health risk evaluation around a large smelter. Expo. Health 2023. [Google Scholar] [CrossRef]
- Cui, H.; Fan, Y.; Yang, J.; Xu, L.; Zhou, J.; Zhu, Z. In situ phytoextraction of copper and cadmium and its biological impacts in acidic soil. Chemosphere 2016, 161, 233–241. [Google Scholar] [CrossRef]
- Cui, H.; Hu, K.; Zhao, Y.; Zhang, W.; Zhu, Z.; Liang, J.; Li, D.; Zhou, J.; Zhou, J. Impacts of atmospheric copper and cadmium deposition on the metal accumulation of camphor leaves and rings around a large smelter. Environ. Sci. Pollut. Res. 2023, 30, 73548–73559. [Google Scholar] [CrossRef] [PubMed]
- Cui, H.; Wang, Q.; Zhang, X.; Zhang, S.; Zhou, J.; Zhou, D.; Zhou, J. Aging reduces the bioavailability of copper and cadmium in soil immobilized by biochars with various concentrations of endogenous metals. Sci. Total Environ. 2021, 797, 149136. [Google Scholar] [CrossRef]
- Enuneku, A.; Biose, E.; Ezemonye, L. Levels, distribution, characterization and ecological risk assessment of heavy metals in road side soils and earthworms from urban high traffic areas in Benin metropolis, Southern Nigeria. J. Environ. Chem. Eng. 2017, 5, 2773–2781. [Google Scholar] [CrossRef]
- Hakanson, L. An ecological risk index for aquatic pollution control a sedimentological approach. Water Res. 1980, 14, 975–1001. [Google Scholar] [CrossRef]
- Bhuiyan, M.A.H.; Parvez, L.; Islam, M.A.; Dampare, S.B.; Suzuki, S. Heavy metal pollution of coal mine-affected agricultural soils in the northern part of Bangladesh. J. Hazard. Mater. 2010, 173, 384–392. [Google Scholar] [CrossRef]
- Sakakibara, M.; Ohmori, Y.; Ha, N.T.H.; Sano, S.; Sera, K. Phytoremediation of heavy metal-contaminated water and sediment by Eleocharis acicularis. Clean-Soil Air Water 2011, 39, 735–741. [Google Scholar] [CrossRef]
- Hasnaoui, S.E.; Fahr, M.; Keller, C.; Levard, C.; Angeletti, B.; Chaurand, P.; Triqui, Z.E.A.; Guedira, A.; Rhazi, L.; Colin, F.; et al. Screening of native plants growing on a Pb/Zn mining area in eastern morocco: Perspectives for phytoremediation. Plants 2020, 9, 1458. [Google Scholar] [CrossRef]
- Liu, H.L.; Zhou, J.; Li, M.; Obrist, D.; Wang, X.; Zhou, J. Chemical speciation of trace metals in atmospheric deposition and impacts on soil geochemistry and vegetable bioaccumulation near a large copper smelter in China. J. Hazard. Mater. 2021, 413, 125346. [Google Scholar] [CrossRef] [PubMed]
- Muller, G. Index of geoaccumulation in sediments of the rhine river. Geojournal 1969, 2, 108–118. [Google Scholar]
- Cui, H.; Shi, Y.; Zhou, J.; Chu, H.; Cang, L.; Zhou, D. Effect of different grain sizes of hydroxyapatite on soil heavy metal bioavailability and microbial community composition. Agric. Ecosyst. Environ. 2018, 267, 165–173. [Google Scholar] [CrossRef]
- Pérez-de-Mora, A.; Burgos, P.; Madejón, E.; Cabrera, F.; Jaeckel, P.; Schloter, M. Microbial community structure and function in a soil contaminated by heavy metals: Effects of plant growth and different amendments. Soil Biol. Biochem. 2006, 38, 327–341. [Google Scholar] [CrossRef]
- Zhu, G.; Xiao, H.; Guo, Q.; Song, B.; Zheng, G.; Zhang, Z.; Zhao, J.; Okoli, C.P. Heavy metal contents and enrichment characteristics of dominant plants in wasteland of the downstream of a lead-zinc mining area in Guangxi, Southwest China. Ecotoxicol. Environ. Saf. 2018, 151, 266–271. [Google Scholar] [CrossRef] [PubMed]
- Xu, C.; Chen, X.; Duan, D.; Peng, C.; Le, T.; Shi, J. Effect of heavy-metal-resistant bacteria on enhanced metal uptake and translocation of the Cu-tolerant plant, Elsholtzia splendens. Environ. Sci. Pollut. Res. 2015, 22, 5070–5081. [Google Scholar] [CrossRef]
- Shi, J.; Wu, B.; Yuan, X.; Cao, Y.; Chen, X.; Chen, Y.; Hu, T. An X-ray absorption spectroscopy investigation of speciation and biotransformation of copper in Elsholtzia splendens. Plant Soil 2008, 302, 163–174. [Google Scholar] [CrossRef]
- Niu, L.; Li, C.; Wang, W.; Zhang, J.; Scali, M.; Li, W.; Liu, H.; Tai, F.; Hu, X.; Wu, X. Cadmium tolerance and hyperaccumulation in plants—A proteomic perspective of phytoremediation. Ecotoxicol. Environ. Saf. 2023, 256, 114882. [Google Scholar] [CrossRef]
- Zhu, Y.; Qiu, W.; He, X.; Wu, L.; Bi, D.; Deng, Z.; He, Z.; Wu, C.; Zhuo, R. Integrative analysis of transcriptome and proteome provides insights into adaptation to cadmium stress in Sedum plumbizincicola. Ecotoxicol. Environ. Saf. 2022, 230, 113149. [Google Scholar] [CrossRef]
- Liu, H.; Zhao, H.; Wu, L.; Liu, A.; Zhao, F.-J.; Xu, W. Heavy metal ATPase 3 (HMA3) confers cadmium hypertolerance on the cadmium/zinc hyperaccumulator Sedum plumbizincicola. New Phytol. 2017, 215, 687–698. [Google Scholar] [CrossRef]
- Midhat, L.; Ouazzani, N.; Aziz, F.; Esshaimi, M.; Hejjaj, A.; Mandi, L. Screening of new native metallophytes from copper abandoned mining site: Promising tool for phytoremediation. Land Degrad. Dev. 2023, 34, 3700–3711. [Google Scholar] [CrossRef]
- Shikha, D.; Singh, P.K. In situ phytoremediation of heavy metal–contaminated soil and groundwater: A green inventive approach. Environ. Sci. Pollut. Res. 2021, 28, 4104–4124. [Google Scholar] [CrossRef] [PubMed]
- Cui, H.; Cheng, J.; Shen, L.; Zheng, X.; Zhou, J.; Zhou, J. Activation of endogenous cadmium from biochar under simulated acid rain enhances the accumulation risk of lettuce (Lactuca sativa L.). Ecotoxicol. Environ. Saf. 2023, 255, 114820. [Google Scholar] [CrossRef] [PubMed]
- Cui, M.; He, X.; Davi, N.; Chen, Z.; Zhang, X.; Peng, J.; Chen, W. Evidence of century-scale environmental changes: Trace element in tree-ring from Fuling Mausoleum Shenyang, China. Dendrochronologia 2013, 31, 1–8. [Google Scholar] [CrossRef]
- Liu, H.-L.; Zhou, J.; Li, M.; Hu, Y.; Liu, X.; Zhou, J. Study of the bioavailability of heavy metals from atmospheric deposition on the soil-pakchoi (Brassica chinensis L.) System. J. Hazard. Mater. 2019, 362, 9–16. [Google Scholar] [CrossRef]
- Wu, B.; Peng, H.; Sheng, M.; Luo, H.; Wang, X.; Zhang, R.; Xu, F.; Xu, H. Evaluation of phytoremediation potential of native dominant plants and spatial distribution of heavy metals in abandoned mining area in Southwest China. Ecotoxicol. Environ. Saf. 2021, 220, 112368. [Google Scholar] [CrossRef]
- Kim, R.Y.; Yoon, J.K.; Kim, T.S.; Yang, J.E.; Owens, G.; Kim, K.R. Bioavailability of heavy metals in soils: Definitions and practical implementation—A critical review. Environ. Geochem. Health 2015, 37, 1041–1061. [Google Scholar] [CrossRef]
- Xiao, R.; Wang, S.; Li, R.; Wang, J.J.; Zhang, Z. Soil heavy metal contamination and health risks associated with artisanal gold mining in Tongguan, Shaanxi, China. Ecotoxicol. Environ. Saf. 2017, 141, 17–24. [Google Scholar] [CrossRef]
- Wong, M.H. Ecological restoration of mine degraded soils, with emphasis on metal contaminated soils. Chemosphere 2003, 50, 775–780. [Google Scholar] [CrossRef]
- Yang, S.; Liang, S.; Yi, L.; Xu, B.; Cao, J.; Guo, Y.; Zhou, Y. Heavy metal accumulation and phytostabilization potential of dominant plant species growing on manganese mine tailings. Front. Environ. Sci. Eng. 2014, 8, 394–404. [Google Scholar] [CrossRef]
- Barani, K.; Koleini, S.M.J.; Rezaei, B. Magnetic properties of an iron ore sample after microwave heating. Sep. Purif. Technol. 2011, 76, 331–336. [Google Scholar] [CrossRef]
- Tang, L.; Li, L.; Song, B.; Dong, X.; Wei, M. Low accumulation characterization of sweet-waxy maize in lead and cadmium complex contaminated soil based on fields trials. Environ. Sci. 2023, 44, 5186–5195. (In Chinese) [Google Scholar]
- Fiorentino, N.; Fagnano, M.; Adamo, P.; Impagliazzo, A.; Mori, M.; Pepe, O.; Ventorino, V.; Zoina, A. Assisted phytoextraction of heavy metals: Compost and Trichoderma effects on giant reed (Arundo donax L.) uptake and soil N-cycle microflora. Ital. J. Agron. 2013, 8, 29. [Google Scholar] [CrossRef]
- Lu, S.; Du, Y.; Zhong, D.; Zhao, B.; Li, X.; Xu, M.; Li, Z.; Luo, Y.; Yan, J.; Wu, L. Comparison of trace element emissions from thermal treatments of heavy metal hyperaccumulators. Environ. Sci. Technol. 2012, 46, 5025–5031. [Google Scholar] [CrossRef]
- Wu, L.; Zhong, D.; Du, Y.; Lu, S.; Fu, D.; Li, Z.; Li, X.; Chi, Y.; Luo, Y.; Yan, J. Emission and control characteristics for incineration of Sedum plumbizincicola biomass in a laboratory-scale entrained flow tube furnace. Int. J. Phytorem. 2013, 15, 219–231. [Google Scholar] [CrossRef]
- Hauptvogl, M.; Kotrla, M.; Prčík, M.; Pauková, Ž.; Kováčik, M.; Lošák, T. Phytoremediation potential of fast-growingenergy plants:challenges and perspectives—A review. Pol. J. Environ. Stud. 2019, 29, 505–516. [Google Scholar] [CrossRef]
- Abdelsalam, I.M.; Elshobary, M.; Eladawy, M.M.; Nagah, M. Utilization of multi-tasking non-edible plants for phytoremediation and bioenergy dource-a review. Phyton-Int. J. Exp. Bot. 2019, 88, 69–90. [Google Scholar]
- Pandey, V.C.; Bajpai, O.; Singh, N. Energy crops in sustainable phytoremediation. Renew. Sustain. Energ. Rev. 2016, 54, 58–73. [Google Scholar] [CrossRef]
- Burner, D.M.; Hale, A.L.; Viator, R.P.; Belesky, D.P.; Houx, J.H.; Ashworth, A.J.; Fritschi, F.B. Ratoon cold tolerance of Pennisetum, Erianthus, and Saccharum bioenergy feedstocks. Ind. Crops. Prod. 2017, 109, 327–334. [Google Scholar] [CrossRef]






| Grade Level | Values of Igeo |
|---|---|
| Grade 0: unpolluted | Igeo ≤ 0 |
| Grade 1: unpolluted to moderately polluted | 0 < Igeo < 1 |
| Grade 2: moderately polluted | 1 ≤ Igeo < 2 |
| Grade 3: moderately to heavily polluted | 2 ≤ Igeo < 3 |
| Grade 4: heavily polluted | 3 ≤ Igeo < 4 |
| Grade 5: heavily to extremely polluted | 4 ≤ Igeo < 5 |
| Grade 6: extremely polluted | 5 ≤ Igeo |
| Species of Plants | Soil pH | Total Cu | Available Cu | Total Cd | Available Cd |
|---|---|---|---|---|---|
| Oenothera biennis L. | 5.02 ± 0.08 bcd | 290 ± 5 hi | 41.3 ± 3.5 bc | 1.63 ± 0.05 ghi | 0.52 ± 0.27 h |
| Cyclosorus interruptus | 4.92 ± 0.05 bcd | 430 ± 42 cd | 64.7 ± 2.9 abc | 2.73 ± 0.08 c | 1.31 ± 0.03 c |
| Verbena officinalis L. | 5.03 ± 0.03 bcd | 250 ± 26 i | 35.6 ± 4.1 c | 2.03 ± 0.16 ef | 1.02 ± 0.08 d |
| Xanthium strumarium L. | 4.93 ± 0.04 bcd | 333 ± 34 efgh | 64.5 ± 4.3 abc | 2.26 ± 0.16 de | 1.03 ± 0.06 d |
| Solidago canadensis L. | 5.14 ± 0.02 abcd | 331 ± 43 efgh | 57.1 ± 4.3 abc | 1.64 ± 0.06 ghi | 0.75 ± 0.06 fg |
| Saccharum arundinaceum Retz. | 5.09 ± 0.03 abcd | 319 ± 28 fghi | 51.7 ± 6.8 abc | 1.92 ± 0.16 fg | 0.96 ± 0.08 de |
| Pteris multifida Poir. | 4.58 ± 0.03 d | 559 ± 44 b | 99.7 ± 11.8 a | 3.18 ± 0.24 b | 1.59 ± 0.12 b |
| Pteris vittata L. | 5.44 ± 0.04 abc | 412 ± 14 cd | 45.2 ± 7.2 abc | 1.44 ± 0.12 hij | 0.48 ± 0.03 h |
| Phytolacca acinosa Roxb. | 4.8 ± 0.03 bcd | 176 ± 20 j | 29.8 ± 2.6 c | 4.87 ± 0.33 a | 2.43 ± 0.17 a |
| Artemisia sieversiana Ehrhart ex Willd. | 4.68 ± 0.02 cd | 394 ± 14 cdef | 68.7 ± 2 abc | 1.7 ± 0.11 gh | 0.87 ± 0.04 def |
| Pennisetum sinese Roxb. | 4.65 ± 0.04 cd | 441 ± 39 cd | 76.5 ± 3.4 abc | 1.95 ± 0.06 efg | 0.97 ± 0.04 de |
| Lophatherum gracile Brongn. | 4.81 ± 0.04 bcd | 399 ± 23 cde | 65 ± 6 abc | 1.36 ± 0.06 ij | 0.68 ± 0.04 fgh |
| Elsholtzia splendens Nakai | 4.74 ± 0.03 bcd | 586 ± 51 ab | 95.7 ± 11.3 ab | 1.17 ± 0.18 j | 0.57 ± 0.07 gh |
| Canna indica L. | 5.85 ± 1.41 a | 655 ± 33 a | 76.6 ± 5.1 abc | 1.61 ± 0.06 ghi | 0.77 ± 0.05 efg |
| Aster subulatus Michx. | 5.29 ± 0.03 abcd | 370 ± 25 defg | 57.6 ± 9.8 abc | 1.47 ± 0.06 hij | 0.69 ± 0.04 fgh |
| Sedum plumbizincicola | 4.55 ± 0.02 d | 462 ± 56 c | 86.4 ± 5.4 abc | 2.51 ± 0.12 cd | 1.3 ± 0.01 c |
| Mosla chinensis Maxim | 5.54 ± 0.04 ab | 311 ± 17 ghi | 37.3 ± 3.5 c | 0.6 ± 0.08 k | 0.25 ± 0.03 i |
| Vetiveria zizanioides L. | 5.15 ± 0.04 abcd | 600 ± 14 ab | 79.9 ± 11.9 abc | 3.18 ± 0.08 b | 1.49 ± 0.1 |
| Mean value | 5.01 | 406 | 2.07 | ||
| Clean soil * | 33.3 | n.d. | 0.368 | 0.015 | |
| Background value | 20.3 | 0.11 | |||
| Soil screening value (GB 15618-2018, pH ≤ 5.5) | 50 | 0.3 |
| TFCu | BCFCu | TFCd | BCFCd |
|---|---|---|---|
| Elsholtzia splendens Nakai (0.62) | Elsholtzia splendens Nakai (0.38) | Mosla chinensis Maxim (3.39) | Sedum plumbizincicola (13.7) |
| Vetiveria zizanioides L. (0.60) | Vetiveria zizanioides L. (0.30) | Sedum plumbizincicola (2.12) | Mosla chinensis Maxim (2.24) |
| Mosla chinensis Maxim (0.59) | Pennisetum sinese Roxb. (0.24) | Lophatherum gracile Brongn. (1.54) | Artemisia sieversiana Ehrhart ex Willd. (2.18) |
| Sedum plumbizincicola (0.56) | Mosla chinensis Maxim (0.16) | Pteris vittata L. (1.39) | Pennisetum sinese Roxb. (1.86) |
| Pennisetum sinese Roxb. (0.43) | Sedum plumbizincicola (0.16) | Cyclosorus interruptus (1.20) | Pteris vittata L. (1.75) |
| Lophatherum gracile Brongn. (0.41) | Cyclosorus interruptus (0.09) | Saccharum arundinaceum Retz. (1.18) | Cyclosrus interruptus (1.50) |
Disclaimer/Publisher’s Note: The statements, opinions and data contained in all publications are solely those of the individual author(s) and contributor(s) and not of MDPI and/or the editor(s). MDPI and/or the editor(s) disclaim responsibility for any injury to people or property resulting from any ideas, methods, instructions or products referred to in the content. |
© 2023 by the authors. Licensee MDPI, Basel, Switzerland. This article is an open access article distributed under the terms and conditions of the Creative Commons Attribution (CC BY) license (https://creativecommons.org/licenses/by/4.0/).
Share and Cite
Dou, C.; Cui, H.; Zhang, W.; Yu, W.; Sheng, X.; Zheng, X. Copper and Cadmium Accumulation and Phytorextraction Potential of Native and Cultivated Plants Growing around a Copper Smelter. Agronomy 2023, 13, 2874. https://doi.org/10.3390/agronomy13122874
Dou C, Cui H, Zhang W, Yu W, Sheng X, Zheng X. Copper and Cadmium Accumulation and Phytorextraction Potential of Native and Cultivated Plants Growing around a Copper Smelter. Agronomy. 2023; 13(12):2874. https://doi.org/10.3390/agronomy13122874
Chicago/Turabian StyleDou, Changming, Hongbiao Cui, Wei Zhang, Wenli Yu, Xue Sheng, and Xuebo Zheng. 2023. "Copper and Cadmium Accumulation and Phytorextraction Potential of Native and Cultivated Plants Growing around a Copper Smelter" Agronomy 13, no. 12: 2874. https://doi.org/10.3390/agronomy13122874
APA StyleDou, C., Cui, H., Zhang, W., Yu, W., Sheng, X., & Zheng, X. (2023). Copper and Cadmium Accumulation and Phytorextraction Potential of Native and Cultivated Plants Growing around a Copper Smelter. Agronomy, 13(12), 2874. https://doi.org/10.3390/agronomy13122874
