Effect of Grass Buffer Strips on Nitrogen and Phosphorus Removal from Paddy Runoff and Its Optimum Widths
Abstract
:1. Background
2. Materials and Methods
2.1. Study Area
2.2. Simulation Experiment Design and Sample Collection
2.3. Inflow Condition Setting
2.4. Sample Analysis
2.5. Statistical Analysis
3. Results and Discussions
3.1. Characteristic Analysis of the Removal Effect of the GBS on Nitrogen and Phosphorus
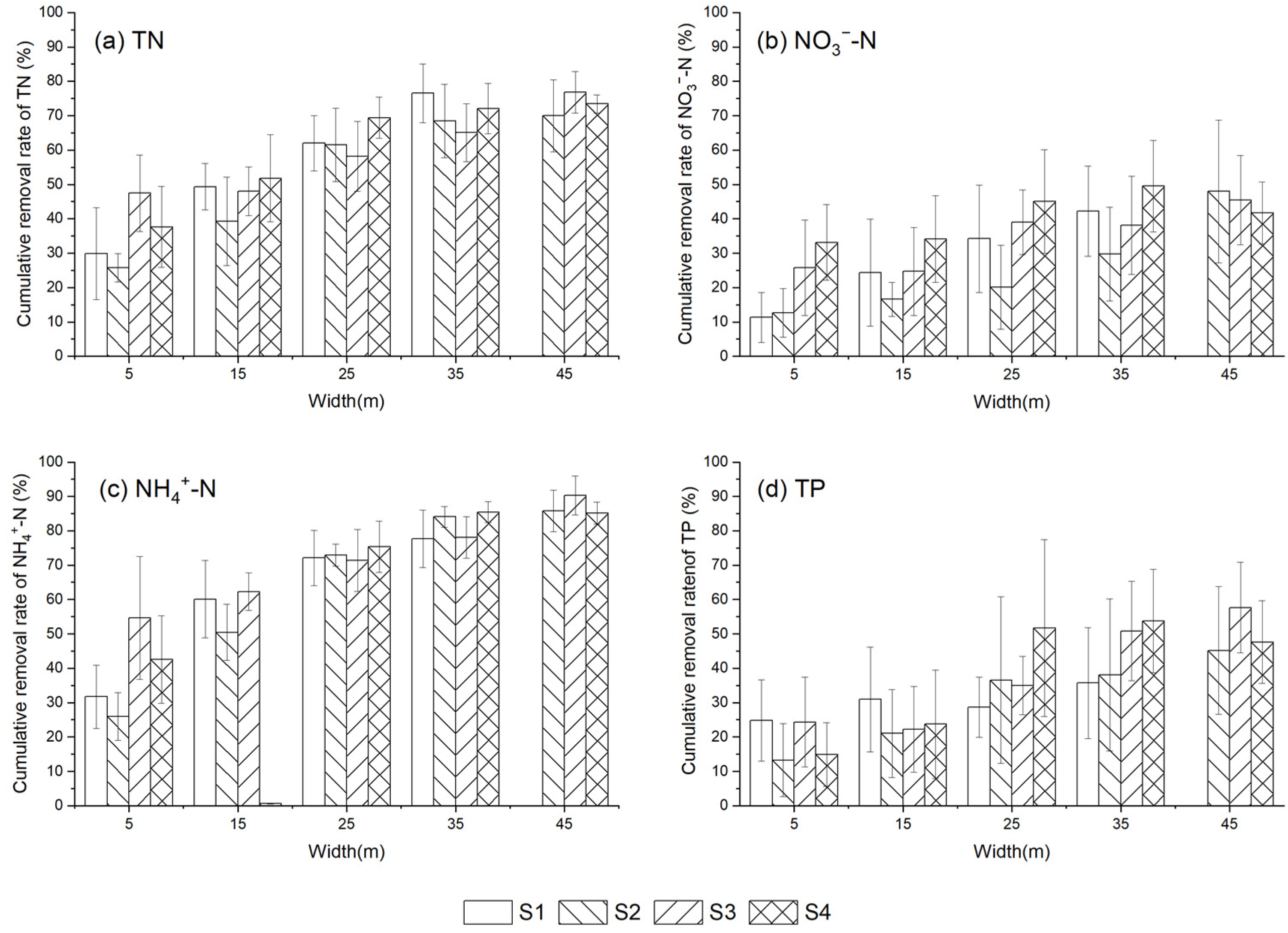
3.1.1. TN
3.1.2. NO3−-N
3.1.3. NH4+-N
3.1.4. TP
3.2. Analysis of the Effect of the GBS Width with Different Inflow Conditions on the Interception of Nitrogen and Phosphorus in Runoff
3.2.1. Inflow Volume
3.2.2. Inflow Velocity
3.2.3. Inflow Concentration
3.3. Analysis of the Maximum Cumulative Removal Rates for Nitrogen and Phosphorus by GBS in High-Frequency Rainfall Simulations
3.4. Analysis of the Optimal Width for Nitrogen and Phosphorus Removal in Paddy Runoff by GBS
4. Conclusions
Author Contributions
Funding
Informed Consent Statement
Data Availability Statement
Conflicts of Interest
References
- Randall, N.P.; Donnison, L.M.; Lewis, P.J.; James, K.L. How effective are on-farm mitigation measures for delivering an improved water environment? A systematic map. Environ. Evid. 2015, 4, 18. [Google Scholar] [CrossRef]
- Xie, Z.; Ye, C.; Li, C.; Shi, X. The global progress on the non-point source pollution research from 2012 to 2021: A bibliometric analysis. Environ. Sci. Eur. 2022, 34, 121. [Google Scholar] [CrossRef]
- Withers, P.; Neal, C.; Jarvie, H.; Doody, D. Agriculture and eutrophication: Where do we go from here? Sustainability 2015, 6, 5853–5875. [Google Scholar] [CrossRef]
- Le-Moal, M.; Gascuel-Odoux, C.; Ménesguen, A.; Souchon, Y.; Étrillard, C.; Levain, A.; Moatar, F.; Pannard, A.; Souchu, P.; Lefebvre, A.; et al. Eutrophication: A new wine in an old bottle? Sci. Total Environ. 2019, 651, 1–11. [Google Scholar] [CrossRef]
- Zhang, F. To strength the prevention and control of agricultural non-point source pollution, to promote the agricultural green development. China Environment News, 31 March 2021; p. 3. [Google Scholar]
- Tao, Y.; Xu, J.; Ren, H.; Guan, X.; You, L.; Wang, S. Spatiotemporal evolution of agricultural non-point source pollution and its influencing factors in the Yellow River Basin. Trans. CSAE 2021, 37, 257–264. [Google Scholar]
- Wu, Z.; Wang, X.; Chen, Y.; Cai, Y.; Deng, J. Assessing river water quality using water quality index in Lake Taihu Basin, China. Sci. Total Environ. 2018, 612, 914–922. [Google Scholar] [CrossRef]
- Li, Q.F.; Zhu, Y.T.; Chen, Q.H.; Li, Y.; Chen, J.; Gao, Y. Spatio-temporal dynamics of water quality and eutrophication in Lake Taihu, China. Ecohydrology 2021, 14, e2291. [Google Scholar] [CrossRef]
- Liang, L.; Feng, S.; Qu, F. Forming Mechanism of Agricultural Non-Point Source Pollution: A Theoretical and Empirical Study. China Popul. Resour. Environ. 2010, 20, 74–80. [Google Scholar] [CrossRef]
- Zhang, Y.; Yao, X.; Qin, B. A critical review of the development, current hotspots, and future directions of Lake Taihu research from the bibliometrics perspective. Environ. Sci. Pollut. Res. 2016, 23, 12811–12821. [Google Scholar] [CrossRef] [PubMed]
- Ye, Y.; Liang, X.; Li, L.; Yuan, J.; Zhu, S. Effects of different water and nitrogen managements on phosphorus loss via runoff and leaching from paddy fields in Taihu Lake basin. Acta Sci. Circumstantiae 2015, 35, 1125–1135. [Google Scholar] [CrossRef]
- Carluer, N.; Lauvernet, C.; Noll, D.; Munoz-Carpena, R. Defining context-specific scenarios to design vegetated buffer zones that limit pesticide transfer via surface runoff. Sci. Total Environ. 2017, 575, 701–712. [Google Scholar] [CrossRef] [PubMed]
- Jin, B.; Liu, X.; Tan, J.; Shao, X.; Cheng, J. Effect of plant buffer zone–antifouling curtain wall on reducing non-point source pollution in paddy fields, China. Sustainability 2022, 14, 6044. [Google Scholar] [CrossRef]
- Wu, S.; Bashir, M.A.; Raza, Q.U.A.; Rehim, A.; Geng, Y.; Cao, L. Application of riparian buffer zone in agricultural non-point source pollution control—A review. Front. Sustain. Food Syst. 2023, 7, 914–922. [Google Scholar] [CrossRef]
- Blanco-Canqui, H.; Gantzer, C.J.; Anderson, S.H.; Alberts, E.E.; Thompson, A.L. Grass barrier and vegetative filter strip effectiveness in reducing runoff, sediment, nitrogen, and phosphorus loss. Soil. Sci. Soc. Am. J. 2004, 68, 1670–1678. [Google Scholar] [CrossRef]
- Klemas, V. Remote Sensing of Riparian and Wetland Buffers: An Overview. J. Coast. Res. 2014, 297, 869–880. [Google Scholar] [CrossRef]
- Lind, L.; Hasselquist, E.; Laudon, H. Towards ecologically functional riparian zones: A meta-analysis to develop guidelines for protecting ecosystem functions and biodiversity in agricultural landscapes. J. Environ. Manag. 2019, 249, 109391. [Google Scholar] [CrossRef]
- Bu, X.; Wang, L.; Xue, J. Study on Sediment and Nutrient Retention Efficiency of Integrated Tree-Grass Riparian Buffer Strips. J. Soil Water Conserv. 2015, 29, 32–36. [Google Scholar] [CrossRef]
- Lee, K.H.; Isenhart, T.M.; Schultz, R.C. Sediment and nutrient removal in an established multi-species riparian buffer. J. Soil Water Conserv. 2003, 58, 1–8. [Google Scholar]
- She, D.; Bulaiti, A.L.A.; Chen, Q.; Han, X. Effects of vegetative filter strip on overland flow nitrogen and phosphorus intercepting under different inflow conditions. Chin. J. Appl. Ecol. 2018, 29, 3425–3432. [Google Scholar] [CrossRef]
- Li, H.; Li, Y.; Li, B.; Zhou, Y.; Jiang, Y. Control Effect of Riparian Buffer Strips on Runoff Pollutant from the Lime Soil Slope Farmland. J. Wuhan Univ. Technol. 2018, 40, 77–83. [Google Scholar]
- Zhao, S.; Zhou, N.Q.; Liu, X.Q. Occurrence and controls on transport and transformation of nitrogen in riparian zones of Dongting Lake, China. Environ. Sci. Pollut. Res. 2016, 23, 6483–6496. [Google Scholar] [CrossRef]
- Chung, S.J.; Ahn, H.K.; Oh, J.M.; Choi, I.S.; Chun, S.H.; Choung, Y.K. Comparative analysis on reduction of agricultural non-point pollution by riparian buffer strips in the Paldang Watershed, Korea. Desalin. Water Treat. 2010, 16, 411–426. [Google Scholar] [CrossRef]
- HJ 636-2012; Water Quality-Determination of Total Nitrogen-Alkaline Potassium Persulfate Digestion UV Spectrophotometric Method. Ministry of Environmental Protection of the China: Beijing, China, 2012.
- GB 11893-89; Water Quality-Determination of Total Phosphorous-Ammonium Molybdate Spectrophotometric method. Ministry of Environmental Protection of the China: Beijing, China, 1990.
- HJ 535-2009; Water Quality-Determination of Ammonia Nitrogen-Nessler’s Reagent Spectrophotometry. Ministry of Environmental Protection of the China: Beijing, China, 2009.
- HJ/T 346-2007; Water Quality-Determination of Nitrate-Nitrogen-Ultraviolet Spectrophotometry. Ministry of Environmental Protection of the China: Beijing, China, 2007.
- Li, X.; Di, Q. The influence mechanism of stormwater reduction and water purification of urban riparian buffer strip on different stormwater and buffer strip conditions. Acta Ecol. Sin. 2019, 39, 5932–5942. [Google Scholar] [CrossRef]
- Fu, J.; Wang, Y.; Wang, Y.; Wang, C.; Wang, S.; Wang, Z. effect of herbal buffer on pollutant reduction under different inflow conditions. J. Soil Water Conserv. 2020, 34, 129–134. [Google Scholar] [CrossRef]
- Bhattarar, R.; Kalita, P.; Patel, M. Nutrient transport through a vegetative filter strip with subsurface drainage. J. Environ. Manag. 2009, 90, 1868–1876. [Google Scholar] [CrossRef] [PubMed]
- Sun, G.; Austin, D. Completely autotrophic nitrogen-removal over nitrite in lab-scale constructed wetlands: Evidence from a mass balance study. Chemosphere 2007, 68, 1120–1128. [Google Scholar] [CrossRef] [PubMed]
- Balestrini, R.; Arese, C.; Delconte, C.A.; Lotti, A.; Salerno, F. Nitrogen removal in subsurface water by narrow buffer strips in the intensive farming landscape of the Po River watershed, Italy. Ecol. Eng. 2011, 37, 148–157. [Google Scholar] [CrossRef]
- Yi, X.; Lin, D.; Li, J.; Zeng, J.; Wang, D.; Yang, F. Ecological treatment technology for agricultural non-point source pollution in remote rural areas of China. Environ. Sci. Pollut. Res. 2021, 28, 40075–40087. [Google Scholar] [CrossRef]
- Tang, J.; He, M.; Wang, D.; Zeng, X.; Li, R.; Ying, B. Suspended sediments and runoff reduction by established riparian vegetated filter strips. Chin. J. Environ. Eng. 2016, 10, 2747–2755. [Google Scholar] [CrossRef]
- Shirley, S.; Smith, J. Bird community structure across riparian buffer strips of varying width in a coastal temperate forest. Biol. Conserv. 2005, 125, 475–489. [Google Scholar] [CrossRef]
- Gharabaghi, B.; Rudra, P.; Whitely, H.; Dickinson, W. Sediment Removal Efficiency of Vegetative Filter Strips; ASAE Meeting Paper no. 012071; American Society of Agricultural and Biological Engineers: St. Joseph, MI, USA, 2001. [Google Scholar]




| Depth | pH | Bulk Density | Organic Matter | Total N | NH4+-N | NO3−-N | Total P | CaCl2-P | 
|---|---|---|---|---|---|---|---|---|
| (cm) | (-) | (g/cm3) | (g/kg) | (mg/kg) | ||||
| 0–5 | 6.77 | 0.98 | 35.07 | 1.10 | 25.86 | 2.57 | 487.08 | 2.54 | 
| Number | Inflow Volume (t) | Time (min) | Inflow Velocity (L/s) | Inflow Concentration | 
|---|---|---|---|---|
| S1 | 2 | 45 | 0.74 | Low concentration | 
| S2 | 4 | 45 | 1.48 | Low concentration | 
| S3 | 4 | 90 | 0.74 | Low concentration | 
| S4 | 4 | 90 | 0.74 | High concentration | 
| Treatment | Width | TN | NO3−-N | NH4+-N | TP | 
|---|---|---|---|---|---|
| m | mg/L | ||||
| S1 | 5 | 4.91 ± 0.88 | 1.92 ± 0.21 | 3.42 ± 0.44 | 0.31 ± 0.06 | 
| 15 | 3.55 ± 0.45 | 1.59 ± 0.34 | 2.00 ± 0.53 | 0.28 ± 0.06 | |
| 25 | 2.66 ± 0.53 | 1.35 ± 0.28 | 1.40 ± 0.38 | 0.29 ± 0.03 | |
| 35 | 1.64 ± 0.56 | 1.16 ± 0.25 | 1.12 ± 0.39 | 0.26 ± 0.06 | |
| 45 | - | - | - | - | |
| S2 | 5 | 5.20 ± 0.27 | 1.75 ± 0.13 | 3.70 ± 0.33 | 0.36 ± 0.05 | 
| 15 | 4.25 ± 0.85 | 1.71 ± 0.14 | 2.48 ± 0.39 | 0.32 ± 0.05 | |
| 25 | 2.69 ± 0.70 | 1.67 ± 0.29 | 1.35 ± 0.15 | 0.25 ± 0.09 | |
| 35 | 2.21 ± 0.70 | 1.41 ± 0.26 | 0.80 ± 0.14 | 0.25 ± 0.08 | |
| 45 | 2.10 ± 0.69 | 1.06 ± 0.43 | 0.71 ± 0.28 | 0.22 ± 0.07 | |
| S3 | 5 | 3.68 ± 0.74 | 1.49 ± 0.26 | 2.27 ± 0.84 | 0.30 ± 0.05 | 
| 15 | 3.64 ± 0.46 | 1.51 ± 0.24 | 1.89 ± 0.26 | 0.31 ± 0.05 | |
| 25 | 2.93 ± 0.67 | 1.31 ± 0.3 | 1.43 ± 0.42 | 0.26 ± 0.03 | |
| 35 | 2.44 ± 0.56 | 1.24 ± 0.27 | 1.10 ± 0.29 | 0.20 ± 0.05 | |
| 45 | 1.62 ± 0.40 | 1.09 ± 0.25 | 0.49 ± 0.27 | 0.17 ± 0.05 | |
| S4 | 5 | 7.48 ± 1.33 | 2.12 ± 0.43 | 5.17 ± 1.08 | 0.63 ± 0.26 | 
| 15 | 5.79 ± 1.43 | 2.23 ± 0.80 | 3.90 ± 0.80 | 0.61 ± 0.21 | |
| 25 | 3.67 ± 0.68 | 1.65 ± 0.43 | 2.22 ± 0.63 | 0.39 ± 0.19 | |
| 35 | 3.35 ± 0.83 | 1.51 ± 0.38 | 1.31 ± 0.25 | 0.37 ± 0.11 | |
| 45 | 3.19 ± 0.30 | 1.47 ± 0.20 | 1.34 ± 0.28 | 0.35 ± 0.07 | |
| Disclaimer/Publisher’s Note: The statements, opinions and data contained in all publications are solely those of the individual author(s) and contributor(s) and not of MDPI and/or the editor(s). MDPI and/or the editor(s) disclaim responsibility for any injury to people or property resulting from any ideas, methods, instructions or products referred to in the content. | 
© 2023 by the authors. Licensee MDPI, Basel, Switzerland. This article is an open access article distributed under the terms and conditions of the Creative Commons Attribution (CC BY) license (https://creativecommons.org/licenses/by/4.0/).
Share and Cite
Miao, K.; Dai, W.; Xie, Z.; Li, C.; Ye, C. Effect of Grass Buffer Strips on Nitrogen and Phosphorus Removal from Paddy Runoff and Its Optimum Widths. Agronomy 2023, 13, 2980. https://doi.org/10.3390/agronomy13122980
Miao K, Dai W, Xie Z, Li C, Ye C. Effect of Grass Buffer Strips on Nitrogen and Phosphorus Removal from Paddy Runoff and Its Optimum Widths. Agronomy. 2023; 13(12):2980. https://doi.org/10.3390/agronomy13122980
Chicago/Turabian StyleMiao, Kexin, Wanqing Dai, Zijian Xie, Chunhua Li, and Chun Ye. 2023. "Effect of Grass Buffer Strips on Nitrogen and Phosphorus Removal from Paddy Runoff and Its Optimum Widths" Agronomy 13, no. 12: 2980. https://doi.org/10.3390/agronomy13122980
APA StyleMiao, K., Dai, W., Xie, Z., Li, C., & Ye, C. (2023). Effect of Grass Buffer Strips on Nitrogen and Phosphorus Removal from Paddy Runoff and Its Optimum Widths. Agronomy, 13(12), 2980. https://doi.org/10.3390/agronomy13122980
 
        

 
       