A New Idea to Improve the Test Method of Soil Aggregate Stability for Soils with a Texture Gradient
Abstract
1. Introduction
2. Materials and Methods
2.1. Soil Sample Collection and Determination
2.2. Soil Aggregate Fractionation
2.3. Experimental Methods
2.4. Statistical Analysis
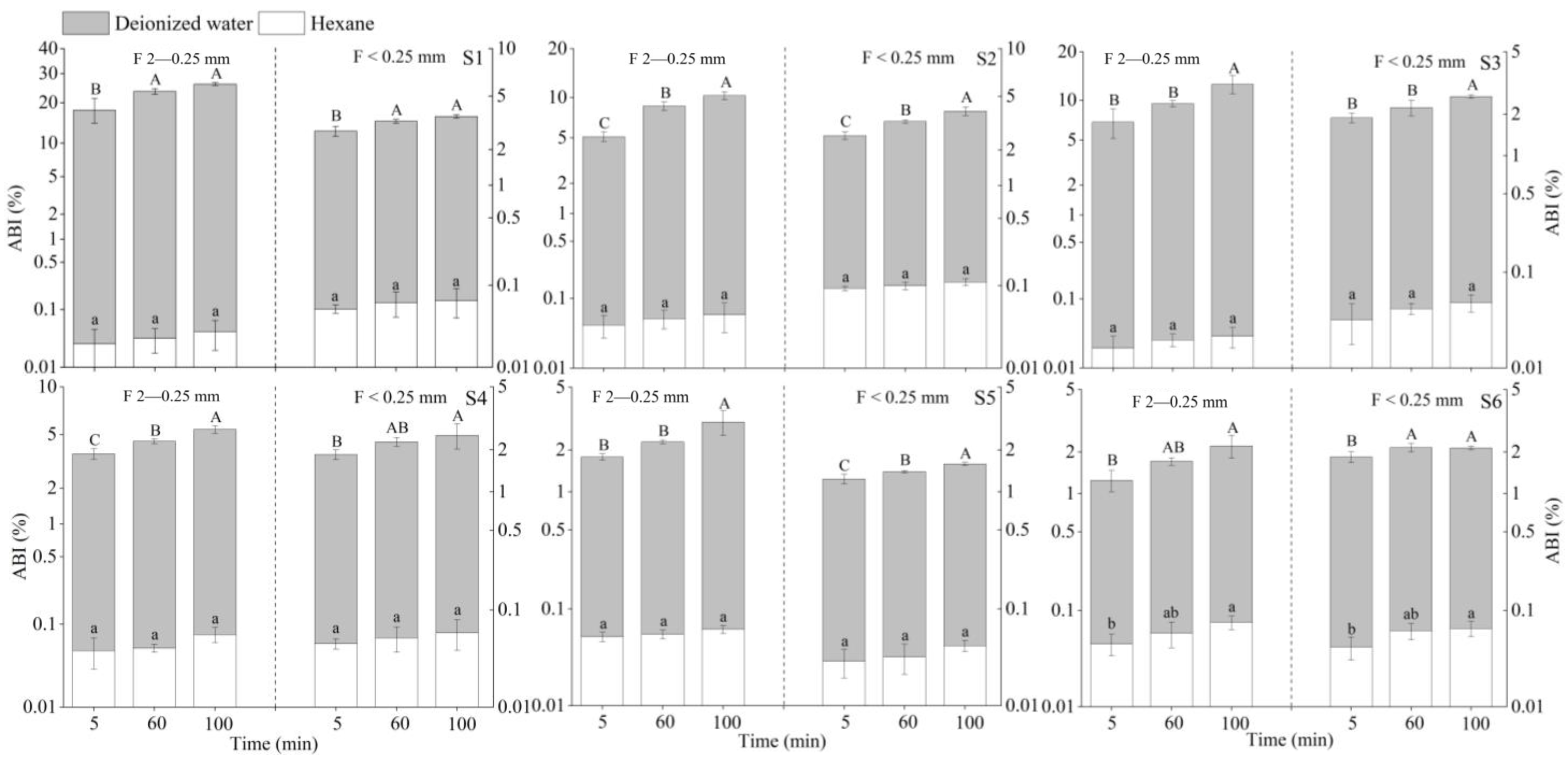
3. Results
3.1. Soil Hydrophilicity
3.2. Soil Aggregates Breakdown Undergoing Water Dispersion
3.3. Selectivity Characteristics of Aggregate Fractions
4. Discussion
4.1. Assessing the Limitation of Ethanol in Distinguishing Aggregate Breakdown Mechanisms
4.2. Assessing the Contribution of Clay and CEC to the ABI and Its Limitations
5. Conclusions
Author Contributions
Funding
Data Availability Statement
Conflicts of Interest
Appendix A
| Time | ASI (%) | |
|---|---|---|
| S4 | S6 | |
| 5 min | 93.63 ± 0.11 a | 96.28 ± 0.53 a |
| 10 min | 93.53 ± 0.50 ab | 96.09 ± 0.54 ab |
| 20 min | 93.55 ± 0.06 ab | 95.77 ± 0.48 b |
| 30 min | 93.52 ± 0.44 ab | 95.78 ± 0.27 b |
| 40 min | 93.13 ± 0.09 b | 95.67 ± 0.24 b |
| 50 min | 92.99 ± 0.25 b | 95.68 ± 0.06 b |
| 60 min | 92.40 ± 0.37 c | 95.67 ± 0.14 b |
| 70 min | 92.40 ± 0.44 c | 95.67 ± 0.14 b |
| 80 min | 92.69 ± 0.21 bc | 95.46 ± 0.29 bc |
| 90 min | 92.07 ± 0.28 cd | 95.44 ± 0.17 bc |
| 100 min | 91.64% ± 0.30 d | 94.80 ± 0.22 c |
| 1 d | 91.23 ± 0.05 d | 95.02 ± 0.09 c |
| 3 d | 91.26 ± 0.05 d | 94.93 ± 0.10 c |
| 5 d | 91.21 ± 0.11 d | 94.89 ± 0.04 c |
| 10 d | 91.28 ± 0.23 d | 94.85 ± 0.05 c |
| Time (min) | ASI (%) | |||
|---|---|---|---|---|
| Ethanol | Hexane | |||
| S4 | S6 | S4 | S6 | |
| 5 | 99.29 ± 0.13 a | 98.83 ± 0.05 a | 99.39 ± 0.04 a | 99.51 ± 0.11 a |
| 10 | 99.40 ± 0.21 a | 98.82 ± 0.10 a | 99.41 ± 0.07 a | 99.45 ± 0.09 a |
| 20 | 99.41 ± 0.21 a | 98.73 ± 0.09 a | 99.42 ± 0.09 a | 99.48 ± 0.06 a |
| 30 | 99.35 ± 0.12 a | 98.71 ± 0.17 a | 99.43 ± 0.10 a | 99.44 ± 0.04 a |
| 40 | 99.31 ± 0.14 a | 98.74 ± 0.03 a | 99.35 ± 0.13 a | 99.47 ± 0.07 a |
| 50 | 99.27 ± 0.12 a | 98.69 ± 0.06 a | 99.31 ± 0.14 a | 99.42 ± 0.04 a |
| 60 | 99.19 ± 0.11 a | 98.71 ± 0.15 a | 99.34 ± 0.08 a | 99.43 ± 0.05 a |
| 70 | 99.22 ± 0.05 a | 98.73 ± 0.11 a | 99.39 ± 0.08 a | 99.45 ± 0.06 a |
| 80 | 99.21 ± 0.11 a | 98.66 ± 0.05 a | 99.38 ± 0.04 a | 99.42 ± 0.03 a |
| 90 | 99.12 ± 0.15 a | 98.62 ± 0.08 a | 99.33 ± 0.07 a | 99.41 ± 0.04 a |
| 100 | 99.21 ± 0.06 a | 98.58 ± 0.25 a | 99.32 ± 0.02 a | 99.40 ± 0.03 a |
| Size | Time | S1 | S2 | S3 | S4 | S5 | S6 |
|---|---|---|---|---|---|---|---|
| (mm) | (min) | ||||||
| 2–0.25 | 5 | 17.85 ± 3.54 Ad | 5.06 ± 0.44 BCe | 6.90 ± 1.77 Bc | 3.61 ± 0.32 Cc | 1.73 ± 0.09 Cc | 1.21 ± 0.23 Ca |
| 10 | 21.07 ± 1.52 Ac | 6.07 ± 0.88 Bd | 7.69 ± 1.46 Bc | 3.70 ± 0.72 Cc | 1.83 ± 0.05 Dc | 1.67 ± 0.20 Ea | |
| 20 | 23.01 ± 0.94 Abc | 6.84 ± 0.36 Bd | 7.96 ± 0.46 Dc | 4.02 ± 0.06 Cbc | 1.89 ± 0.05 Fc | 1.68 ± 0.21 Ea | |
| 30 | 23.26 ± 0.43 Abc | 7.55 ± 0.51 Ccd | 8.76 ± 0.21 Bbc | 4.14 ± 0.19 Dbc | 2.02 ± 0.19 Ec | 1.63 ± 0.09 Ea | |
| 40 | 23.71 ± 0.08 Ab | 8.29 ± 0.67 Bc | 8.53 ± 0.51 Bc | 4.31 ± 0.49 Cbc | 2.12 ± 0.13 Dbc | 1.77 ± 0.17 Da | |
| 50 | 23.57 ± 1.01 Ab | 8.66 ± 0.61 Bbc | 9.44 ± 0.50 Bbc | 4.44 ± 0.18 Cb | 2.21 ± 0.07 DEbc | 1.66 ± 0.11 Ea | |
| 60 | 24.34 ± 0.19 Aab | 9.26 ± 0.59 Bb | 10.35 ± 1.27 Bbc | 5.15 ± 0.52 Cab | 2.24 ± 0.10 Dbc | 1.67 ± 0.29 Da | |
| 70 | 24.87 ± 0.65 Aab | 9.45 ± 0.42 Cab | 10.67 ± 1.11 Bb | 4.79 ± 0.21 Dab | 2.15 ± 0.10 Ebc | 1.68 ± 0.31 Ea | |
| 80 | 24.72 ± 0.92 Aab | 9.68 ± 0.46 Cab | 11.28 ± 0.71 Bab | 4.54 ± 0.65 Db | 2.19 ± 0.21 Ebc | 1.77 ± 0.30 Ea | |
| 90 | 25.22 ± 0.71 Ab | 9.90 ± 0.32 Cab | 12.44 ± 1.41 Bab | 4.51 ± 0.58 Db | 2.42 ± 0.22 Eb | 1.81 ± 0.29 Ea | |
| 100 | 26.12 ± 0.47 Aa | 10.24 ± 0.64 Ca | 12.75 ± 1.72 Ba | 5.34 ± 0.32 Da | 2.99 ± 0.56 Ea | 2.13 ± 0.39 Ea | |
| <0.25 | 5 | 2.73 ± 0.25 Ac | 2.50 ± 0.19 Ac | 1.85 ± 0.15 Bb | 1.81 ± 0.15 Ba | 1.21 ± 0.10 Cc | 1.80 ± 0.16 Ba |
| 10 | 2.84 ± 0.15 Ac | 2.60 ± 0.15 Ac | 1.97 ± 0.14 BCb | 2.12 ± 0.11 Ba | 1.25 ± 0.11 Dc | 1.72 ± 0.18 Ca | |
| 20 | 3.03 ± 0.28 Abc | 2.83 ± 0.18 Abc | 1.95 ± 0.26 Bb | 2.10 ± 0.18 Ba | 1.34 ± 0.03 Cbc | 1.85 ± 0.23 Ba | |
| 30 | 3.17 ± 0.19 Ab | 2.92 ± 0.11 Ab | 2.11 ± 0.14 Bb | 1.92 ± 0.15 Ba | 1.30 ± 0.07 Cbc | 1.87 ± 0.20 Ba | |
| 40 | 3.20 ± 0.14 Ab | 3.05 ± 0.16 Ab | 2.20 ± 0.38 Bb | 2.32 ± 0.41 Ba | 1.33 ± 0.06 Cbc | 1.84 ± 0.30 Ba | |
| 50 | 3.25 ± 0.11 Aab | 3.21 ± 0.08 Aab | 2.18 ± 0.28 Bb | 2.22 ± 0.15 Ba | 1.37 ± 0.03 Cb | 2.08 ± 0.14 Ba | |
| 60 | 3.26 ± 0.07 Aab | 3.32 ± 0.18 Aab | 2.23 ± 0.35 Bab | 2.07 ± 0.19 Ba | 1.39 ± 0.02 Cb | 2.06 ± 0.24 Ba | |
| 70 | 3.39 ± 0.15 Aab | 3.35 ± 0.15 Aab | 2.27 ± 0.11 Bab | 2.55 ± 0.55 Ba | 1.35 ± 0.05 Cbc | 2.17 ± 0.39 Ba | |
| 80 | 3.38 ± 0.12 Aab | 3.52 ± 0.23 Aab | 2.28 ± 0.21 Bab | 2.23 ± 0.49 Ba | 1.47 ± 0.03 Cab | 2.04 ± 0.24 Ba | |
| 90 | 3.45 ± 0.16 Aab | 3.60 ± 0.21 Aab | 2.50 ± 0.02 Bab | 2.50 ± 0.12 Ba | 1.49 ± 0.04 Dab | 2.07 ± 0.18 Ca | |
| 100 | 3.52 ± 0.11 Aa | 3.83 ± 0.28 Aa | 2.58 ± 0.07 Ba | 2.44 ± 0.48 BCa | 1.55 ± 0.04 Da | 2.07 ± 0.07 Ca |
References
- Amezketa, E. Soil aggregate stability: A review. J. Sustain. Agric. 1999, 14, 83–151. [Google Scholar] [CrossRef]
- Rabot, E.; Wiesmeier, M.; Schlueter, S.; Vogel, H.J. Soil structure as an indicator of soil functions: A review. Geoderma 2018, 314, 122–137. [Google Scholar] [CrossRef]
- Xiao, H.; Liu, G.; Abd-Elbasit, M.A.M.; Zhang, X.C.; Liu, P.L.; Zheng, F.L.; Zhang, J.Q.; Hu, F.N. Effects of slaking and mechanical breakdown on disaggregation and splash erosion. Eur. J. Soil Sci. 2017, 68, 797–805. [Google Scholar] [CrossRef]
- Le Bissonnais, Y. Aggregate stability and assessment of soil crustability and erodibility: I. Theory and methodology. Eur. J. Soil Sci. 1996, 67, 11–21. [Google Scholar] [CrossRef]
- Francis, R.; Wuddivira, M.N.; Darsan, J.; Wilson, M. Soil slaking sensitivity as influenced by soil properties in alluvial and residual humid tropical soils. J. Soil. Sediment 2019, 19, 1937–1947. [Google Scholar] [CrossRef]
- Emerson, W.W. A classification of soil aggregates based on their coherence in water. Aust. J. Soil Res. 1967, 5, 47–57. [Google Scholar] [CrossRef]
- Hu, F.; Liu, J.; Xu, C.; Du, W.; Yang, Z.; Liu, X.; Liu, G.; Zhao, S. Soil internal forces contribute more than raindrop impact force to rainfall splash erosion. Geoderma 2018, 330, 91–98. [Google Scholar] [CrossRef]
- Shao, Z.C.; Chen, J.F. A primary study on the soil hydrophilicity. Acta Pedol. Sin. 1980, 17, 267–274. (In Chinese) [Google Scholar]
- Xiong, Y.; Chen, J.F. Properties of Soil Colloid; China Science Press: Beijing, China, 1990. (In Chinese) [Google Scholar]
- Heikkinen, J.; Keskinen, R.; Soinne, H.; Hyvaluoma, J.; Nikama, J.; Wikberg, H.; Kalli, A.; Siipola, V.; Melkior, T.; Dupont, C.; et al. Possibilities to improve soil aggregate stability using biochars derived from various biomasses through slow pyrolysis, hydrothermal carbonization, or torrefaction. Geoderma 2019, 344, 40–49. [Google Scholar] [CrossRef]
- Baver, L.D.; Gardner, W.H.; Gardner, W.R. Soil Physics, 4th ed.; Wiley: New York, NY, USA, 1972. [Google Scholar]
- Cevc, G. Hydration force and the interfacial structure of the polar surface. J. Chem. Soc. Faraday Trans. 1991, 87, 2733–2739. [Google Scholar] [CrossRef]
- Hurrass, J.; Schaumann, G.E. Hydration kinetics of wettable and water-repellent soils. Soil Sci. Soc. Am. J. 2007, 71, 280–288. [Google Scholar] [CrossRef]
- Low, P.F. Physical chemistry of clay-water interaction. Adv. Agron. 1961, 13, 269–327. [Google Scholar]
- Hu, F.; Xu, C.; Li, H.; Li, S.; Yu, Z.; Li, Y.; He, X. Particles interaction forces and their effects on soil aggregates breakdown. Soil Tillage Res. 2015, 147, 1–9. [Google Scholar] [CrossRef]
- Sun, Q. The Effects of Dissolved Hydrophobic and Hydrophilic Groups on Water Structure. J. Solut. Chem. 2020, 49, 1473–1484. [Google Scholar] [CrossRef]
- Peng, X.; Yan, X.; Zhou, H.; Zhang, Y.Z.; Sun, H. Assessing the contributions of sesquioxides and soil organic matter to aggregation in an Ultisol under long-term fertilization. Soil Tillage Res. 2015, 146, 89–98. [Google Scholar] [CrossRef]
- Schweizer, S.A.; Bucka, F.B.; Graf-Rosenfellner, M.; Koegel-Knabner, I. Soil microaggregate size composition and organic matter distribution as affected by clay content. Geoderma 2019, 355, 113901. [Google Scholar] [CrossRef]
- Wuddivira, M.N.; Stone, R.J.; Ekwue, E.I. Clay, Organic Matter, and Wetting Effects on Splash Detachment and Aggregate Breakdown under Intense Rainfall. Soil Sci. Soc. Am. J. 2009, 73, 226–232. [Google Scholar] [CrossRef]
- Almajmaie, A.; Hardie, M.; Doyle, R.; Birch, C.; Acuna, T. Influence of soil properties on the aggregate stability of cultivated sandy clay loams. J. Soil. Sediment 2017, 17, 800–809. [Google Scholar] [CrossRef]
- Baldock, J.A.; Skjemstad, J.O. Role of the soil matrix and minerals in protecting natural organic materials against biological attack. Org. Geochem. 2000, 31, 697–710. [Google Scholar] [CrossRef]
- Wagner, S.; Cattle, S.R.; Scholten, T. Soil-aggregate formation as influenced by clay content and organic-matter amendment. J. Plant Nutr. Soil Sci. 2007, 170, 173–180. [Google Scholar] [CrossRef]
- Totsche, K.U.; Amelung, W.; Gerzabek, M.H.; Guggenberger, G.; Klumpp, E.; Knief, C.; Lehndorff, E.; Mikutta, R.; Peth, S.; Prechtel, A.; et al. Microaggregates in soils. J. Plant Nutr. Soil Sci. 2018, 181, 104–136. [Google Scholar] [CrossRef]
- Trivedi, P.; Delgado-Baquerizo, M.; Jeffries, T.C.; Trivedi, C.; Anderson, I.C.; Lai, K.; McNee, M.; Flower, K.; Singh, B.P.; Minkey, D.; et al. Soil aggregation and associated microbial communities modify the impact of agricultural management on carbon content. Environ. Microbiol. 2017, 19, 3070–3086. [Google Scholar] [CrossRef] [PubMed]
- Koesters, R.; Preger, A.C.; Du Preez, C.C.; Amelung, W. Re-aggregation dynamics of degraded cropland soils with prolonged secondary pasture management in the South African Highveld. Geoderma 2013, 192, 173–181. [Google Scholar] [CrossRef]
- Krause, L.; Rodionov, A.; Schweizer, S.A.; Siebers, N.; Lehndorff, E.; Klumpp, E.; Amelung, W. Microaggregate stability and storage of organic carbon is affected by clay content in arable Luvisols. Soil Tillage Res. 2018, 182, 123–129. [Google Scholar] [CrossRef]
- Schjonning, P.; de Jonge, L.W.; Munkholm, L.J.; Moldrup, P.; Christensen, B.T.; Olesen, J.E. Clay Dispersibility and Soil Friability-Testing the Soil Clay-to-Carbon Saturation Concept. Vadose Zone J. 2012, 11. [Google Scholar] [CrossRef]
- Wuddivira, M.N.; Ekwue, E.I.; Stone, R.J. Modelling slaking sensitivity to assess the degradation potential of humid tropic soils under intense rainfall. Land Degrad. Dev. 2010, 21, 48–57. [Google Scholar] [CrossRef]
- Xiao, H.; Liu, G.; Zhang, Q.; Zheng, F.; Zhang, X.; Liu, P.; Zhang, J.; Hu, F.; Abd Elbasit, M.A.M. Quantifying contributions of slaking and mechanical breakdown of soil aggregates to splash erosion for different soils from the Loess plateau of China. Soil Tillage Res. 2018, 178, 150–158. [Google Scholar] [CrossRef]
- Cheng, N.L. Solvents Handbook, 5th ed.; Chemical Industry Press: Beijing, China, 2015. (In Chinese) [Google Scholar]
- Li, J.; Zhong, S.; Han, Z.; Gao, P.; Wei, C. The relative contributions of soil hydrophilicity and raindrop impact to soil aggregate breakdown for a series of textured soils. Int. Soil Water Conserv. Res. 2022, 10, 433–444. [Google Scholar] [CrossRef]
- Sparks, D.L.; Page, A.L.; Helmke, P.A.; Loeppert, R.H.; Soltanpour, P.N.; Tabatabai, M.A.; Johnston, C.T.; Sumner, M.E. Methods of Soil Analysis Part 3: Chemical Methods; Soil Science Society of America Inc.: Madison, WI, USA, 1996. [Google Scholar]
- Ma, R.M.; Li, Z.X.; Cai, C.F.; Wang, J.G. The dynamic response of splash erosion to aggregate mechanical breakdown through rainfall simulation events in Ultisols (subtropical China). Catena 2014, 121, 279–287. [Google Scholar] [CrossRef]
- Hou, T.Y.; Berry, T.D.; Singh, S.; Hughes, M.N.; Tong, Y.N.; Papanicolaou, A.N.T.; Wacha, K.M.; Wilson, C.G.; Chaubey, I.; Filley, T.R. Control of tillage disturbance on the chemistry and proportion of raindrop-liberated particles from soil aggregates. Geoderma 2018, 330, 19–29. [Google Scholar] [CrossRef]
- Wei, C.; Xie, D.; Yang, J.H. Characteristics of organo-mineral complexing of microaggregates in paddy soils developed from purple soils. Pedosphere 1996, 6, 365–372. [Google Scholar]
- Yu, L.; Tian, R.; Zhang, R.; Liu, X.; Li, R.; Li, H. Coupling effects of humus and 2:1 type electrolyte on soil water movement. Geoderma 2020, 375, 114482. [Google Scholar] [CrossRef]
- Daniels, L.W. The Nature and Properties of Soils, 15th ed.; Pearson Education, Inc.: London, UK, 2016. [Google Scholar]
- Lal, R.; Shukla, M.K. Principle of Soil Physics; Marcel Dekker, Inc.: New York, NY, USA, 2004. [Google Scholar]
- Zhan, W.; Yi, H.; Song, S.; Zhao, Y.; Rao, F. Hydrophobic agglomeration behaviors of clay minerals as affected by siloxane structure. Colloids Surf. A 2019, 568, 36–42. [Google Scholar] [CrossRef]
- Zhao, D.S.; Li, H.; Fu, L.L.; Zhang, J.; Ren, P.B. Progress of dissolution of cellulose with imidazolium ionic liquid. Chem. Eng. Prog. 2011, 30, 1529–1536. (In Chinese) [Google Scholar]
- Bronick, C.J.; Lal, R.J.G. Soil structure and management: A review. Geoderma 2005, 124, 3–22. [Google Scholar] [CrossRef]
- Kasmerchak, C.S.; Mason, J.A.; Liang, M. Laser diffraction analysis of aggregate stability and disintegration in forest and grassland soils of northern Minnesota, USA. Geoderma 2019, 338, 430–444. [Google Scholar] [CrossRef]
- Xue, B.; Huang, L.; Huang, Y.; Zhou, F.; Li, F.; Kubar, K.A.; Li, X.; Lu, J.; Zhu, J. Roles of soil organic carbon and iron oxides on aggregate formation and stability in two paddy soils. Soil Tillage Res. 2019, 187, 161–171. [Google Scholar] [CrossRef]
- Yu, Z.; Zhang, J.; Zhang, C.; Xin, X.; Li, H. The coupling effects of soil organic matter and particle interaction forces on soil aggregate stability. Soil Tillage Res. 2017, 174, 251–260. [Google Scholar] [CrossRef]
- Nciizah, A.D.; Wakindiki, I.I.C. Aggregate breakdown mechanisms as affected by soil texture and organic matter in soils dominated by primary minerals. S. Afr. J. Plant Soil. 2014, 31, 213–218. [Google Scholar] [CrossRef]
- Lu, S.G.; Sun, F.F.; Zong, Y.T. Effect of rice husk biochar and coal fly ash on some physical properties of expansive clayey soil (Vertisol). Catena 2014, 114, 37–44. [Google Scholar] [CrossRef]
- Six, J.; Feller, C.; Denef, K.; Ogle, S.M.; Sa, J.C.D.; Albrecht, A. Soil organic matter, biota and aggregation in temperate and tropical soils-Effects of no-tillage. Agronomie 2002, 22, 755–775. [Google Scholar] [CrossRef]
- Xue, B.; Huang, L.; Huang, Y.; Yin, Z.; Li, X.; Lu, J. Effects of organic carbon and iron oxides on soil aggregate stability under different tillage systems in a rice-rape cropping system. Catena 2019, 177, 1–12. [Google Scholar] [CrossRef]
- Barral, M.T.; Arias, M.; Guerif, J. Effects of iron and organic matter on the porosity and structural stability of soil aggregates. Soil Till. Res. 1998, 46, 261–272. [Google Scholar] [CrossRef]
- Liang, A.; Zhang, Y.; Zhang, X.; Yang, X.; McLaughlin, N.; Chen, X.; Guo, Y.; Jia, S.; Zhang, S.; Wang, L.; et al. Investigations of relationships among aggregate pore structure, microbial biomass, and soil organic carbon in a Mollisol using combined non-destructive measurements and phospholipid fatty acid analysis. Soil Tillage Res. 2019, 185, 94–101. [Google Scholar] [CrossRef]
- Xue, S.; Ye, Y.; Zhu, F.; Wang, Q.; Jiang, J.; Hartley, W. Changes in distribution and microstructure of bauxite residue aggregates following amendments addition. J. Environ. Sci. 2019, 78, 276–286. [Google Scholar] [CrossRef]
- Kubiena, W.J.A. Micropedology; Collegiate Press, Inc.: Ames, IA, USA, 1938. [Google Scholar]







| Soaking Solution | Boiling Point 101.3 kPa (°C) | Density 4 °C (g cm−3) | Surface Tension 20 °C (N m−1) | Polarity | Viscosity 25 °C (mPa·s) | Dielectric Constant 20 °C (F m−1) |
|---|---|---|---|---|---|---|
| Water (H2O) | 100 | 1 | 0.073 | 10.2 | 0.8949 | 80.18 |
| Ethanol (C2H6O) | 78.32 | 0.79 | 0.0223 | 4.3 | 1.06 | 25.7 |
| Hexane (C6H14) | 68.7 | 0.66 | 0.0203 | 0.06 | 0.307 | 1.890 |
| Soil Types | Longitude/Latitude/ | pH | SOM (g kg−1) | BD (g cm−3) | CEC (cmol(+) kg−1) | Feo (g kg−1) | PSD | ||
|---|---|---|---|---|---|---|---|---|---|
| Sand (%) | Silt (%) | Clay (%) | |||||||
| Silty loam (S1) | 106°24′31″ E, 29°47′38″ N | 6.84 | 4.82 | 1.35 | 15.54 | 6.13 | 28.32 | 55.98 | 15.70 |
| Sandy clay loam (S2) | 106°24′34″ E, 29°48′51″ N | 7.96 | 4.42 | 1.38 | 17.05 | 7.00 | 60.30 | 21.25 | 18.45 |
| Clay loam (S3) | 106°24′46″ E, 29°47′45″ N | 6.62 | 4.71 | 1.44 | 19.81 | 10.64 | 47.30 | 28.32 | 24.38 |
| Loamy clay (S4) | 106°24′30″ E, 29°49′8″ N | 8.37 | 4.83 | 1.58 | 20.36 | 8.58 | 45.23 | 28.05 | 26.72 |
| Loamy clay (S5) | 106°24′45″ E, 29°47′44″ N | 7.10 | 5.71 | 1.55 | 24.04 | 10.93 | 40.63 | 28.25 | 31.12 |
| Loamy clay (S6) | 106°24′32″ E, 29°48′36″ N | 6.87 | 6.70 | 1.60 | 24.41 | 8.61 | 37.42 | 27.79 | 34.79 |
| Size (mm) | Time (min) | S1 | S2 | S3 | S4 | S5 | S6 |
|---|---|---|---|---|---|---|---|
| 2–0.25 | 5 | 36.04 | 77.18 | 75.37 | 74.63 | 77.49 | 93.47 |
| 10 | 32.88 | 69.73 | 76.84 | 69.98 | 77.95 | 92.61 | |
| 20 | 32.70 | 67.57 | 74.43 | 71.34 | 76.16 | 91.35 | |
| 30 | 29.48 | 63.37 | 72.61 | 69.44 | 77.19 | 91.54 | |
| 40 | 28.76 | 62.45 | 72.22 | 68.43 | 76.50 | 90.32 | |
| 50 | 27.13 | 63.41 | 69.34 | 68.91 | 76.09 | 89.67 | |
| 60 | 23.47 | 63.01 | 70.58 | 68.05 | 72.41 | 88.20 | |
| 70 | 17.30 | 59.56 | 70.34 | 68.97 | 71.90 | 89.03 | |
| 80 | 18.97 | 62.09 | 69.38 | 66.85 | 70.68 | 87.44 | |
| 90 | 17.84 | 59.28 | 67.69 | 61.55 | 66.43 | 83.81 | |
| 100 | 8.33 | 56.00 | 66.87 | 56.42 | 68.45 | 85.42 | |
| <0.25 | 5 | 44.98 | 44.24 | 67.21 | 61.21 | 58.73 | 72.42 |
| 10 | 51.01 | 45.93 | 64.76 | 59.10 | 52.06 | 68.87 | |
| 20 | 34.78 | 35.31 | 63.78 | 62.38 | 52.20 | 69.45 | |
| 30 | 39.09 | 32.41 | 62.71 | 54.19 | 52.19 | 66.70 | |
| 40 | 26.50 | 30.01 | 59.30 | 57.97 | 48.03 | 67.05 | |
| 50 | 24.91 | 37.45 | 57.20 | 57.10 | 49.42 | 62.34 | |
| 60 | 25.26 | 30.66 | 57.25 | 51.12 | 48.59 | 61.63 | |
| 70 | 24.97 | 28.59 | 57.80 | 48.05 | 48.33 | 59.51 | |
| 80 | 20.83 | 27.93 | 55.56 | 49.08 | 50.65 | 64.16 | |
| 90 | 21.24 | 21.72 | 51.17 | 48.55 | 49.32 | 61.89 | |
| 100 | 9.78 | 21.02 | 55.41 | 48.64 | 45.55 | 54.60 |
| SOM | CEC | Feo | Clay | Silt | Sand | ABIt | ABI2–0.25 | ABI<0.25 | |
|---|---|---|---|---|---|---|---|---|---|
| SOM | 1 | ||||||||
| CEC | 0.826 * | 1 | |||||||
| Feo | 0.294 | 0.723 | 1 | ||||||
| Clay | 0.840 * | 0.988 ** | 0.667 | 1 | |||||
| Silt | 0.109 | 0.497 | 0.497 | 0.494 | 1 | ||||
| Sand | −0.447 | −0.104 | −0.114 | −0.115 | −0.807 | 1 | |||
| ABIt | −0.585 | −0.886 * | −0.630 | −0.887 * | −0.797 | 0.307 | 1 | ||
| ABI2–0.25 | −0.558 | −0.859 * | −0.595 | −0.862 * | −0.824 * | 0.356 | 0.998 ** | 1 | |
| ABI<0.25 | −0.697 | −0.932 ** | −0.818 * | −0.907 ** | −0.301 | −0.273 | 0.751 | 0.708 | 1 |
Disclaimer/Publisher’s Note: The statements, opinions and data contained in all publications are solely those of the individual author(s) and contributor(s) and not of MDPI and/or the editor(s). MDPI and/or the editor(s) disclaim responsibility for any injury to people or property resulting from any ideas, methods, instructions or products referred to in the content. |
© 2023 by the authors. Licensee MDPI, Basel, Switzerland. This article is an open access article distributed under the terms and conditions of the Creative Commons Attribution (CC BY) license (https://creativecommons.org/licenses/by/4.0/).
Share and Cite
Li, J.; Wei, X.; Zhong, S.; Ci, E.; Wei, C. A New Idea to Improve the Test Method of Soil Aggregate Stability for Soils with a Texture Gradient. Agronomy 2023, 13, 1192. https://doi.org/10.3390/agronomy13051192
Li J, Wei X, Zhong S, Ci E, Wei C. A New Idea to Improve the Test Method of Soil Aggregate Stability for Soils with a Texture Gradient. Agronomy. 2023; 13(5):1192. https://doi.org/10.3390/agronomy13051192
Chicago/Turabian StyleLi, Jiangwen, Xihao Wei, Shouqin Zhong, En Ci, and Chaofu Wei. 2023. "A New Idea to Improve the Test Method of Soil Aggregate Stability for Soils with a Texture Gradient" Agronomy 13, no. 5: 1192. https://doi.org/10.3390/agronomy13051192
APA StyleLi, J., Wei, X., Zhong, S., Ci, E., & Wei, C. (2023). A New Idea to Improve the Test Method of Soil Aggregate Stability for Soils with a Texture Gradient. Agronomy, 13(5), 1192. https://doi.org/10.3390/agronomy13051192
