Abstract
Cultivated potato (Solanum tuberosum L.) is one of the most important crops worldwide. Phytophthora infestans (Mont.) de Bary is the oomycete pathogen responsible for the famous Irish famine (1840s). It is still the most important pathogen affecting potato crops, causing the late blight disease on potato and tomato. It is mainly controlled by fungicides. Breeding for disease resistance is the best alternative to chemical control of the disease. One of the strategies used is to stack many resistance genes in the same genotype. Here, we wanted to test the effect of the stacked resistance gene (R) from S. demissum on the infection process by the virulent race EU_13_A2. Four potato genotypes were tested, each one harboring, respectively, one, two, three or four R genes. All the tested genotypes were sensitive. However, the sensitivity degree was negatively correlated with the number of genes harbored by each genotype. There was a delay of two days of symptoms manifestation for the genotype with 4Rs, and the pathogen produced less spores on the detached leaf test. In addition, the amount of phenolic compounds produced is higher in the genotypes with multiple R genes.
1. Introduction
Cultivated potato (Solanum tuberosum L.) is one of the major crops worldwide. Phytophthora infestans (Mont.) de Bary is the most dangerous pathogen on potato. It causes the late blight disease. It also attacks tomato, eggplants, pepper, and other Solanaceae species. The control of late blight is mainly chemical. Important quantities of fungicides are used each year worldwide to control this disease. However, this control method is not the best solution for this issue due to health and environmental consequences linked to chemical control.
Resistance breeding is one of the most promising options. Conventionally, potato breeding was based on the introgression of resistance (R) genes from the wild relative S. demissum. Many genes were identified: R1, R2, R3, …, R11. These genes when deployed were easily overcome by the pathogen [,]. It has an important evolutive capacity. Other sources of R genes were discovered with time: S. phureja, S. berthaultii, S. cardiophyllum, S. venturii, … []. To date, 70 R genes have been identified with success from more than 30 wild relative potato species []. The most promising is S. bulbocastanum. The R genes from this species are broad spectrum and offer the most important resistance to the actual pathogen races. At least three genes were identified: Rpi-blb1 [,], Rpi-bt1 [], Rpi-blb2 [], and Rpi-blb3 []. The disadvantage of using S. bulbocastanum as an R gene source is its incompatibility for natural hybridization with the cultivated potato.
Resistance gene pyramiding is one of the most hopeful solutions for plant disease and pest control. It consists in the introduction and accumulation of multiple R, defense genes, and/or QTLs that offer resistance against several races of the pathogen. R genes are responsible for the recognition of the pathogen, while the defense genes are responsible for ensuring the downstream immune response, such as genes coding for pathogenesis-related proteins and genes implied in the biosynthesis of secondary metabolites that are toxic to pathogens and pests. In addition to the fact that gene pyramids offer highly efficient resistance against pathogens and pests [], they are also enhancing the resistance durability by making the probability of overcoming all of the genes, simultaneously, much smaller []. For instance, Fukuoka and his team [] pyramided QTL for resistance against rice blast caused by Magnaporte oryzae. The pyramids obtained offer strong, non-race-specific, and environmentally stable resistance. Zafar et al. [] pyramided two synthetically developed bt toxin genes from Bacillus thuringiensis Cry3Bb1 and Cry3 into cotton (Eagle-2 variety). The obtained plants were resistant to Pectinophora gossypiella and Helicoverpa armigera. The degree of resistance was correlated with the number of genes stacked. The Cry3Bb1 + Cry3 plants caused 60% and 70% of larvae mortality of the above cited pests, respectively. The mortality for the plant carrying Cry3Bb1 decreased to 40% and 45%, respectively. The lowest resistance was observed in Cry3 plants causing only 20% and 30% mortality, respectively. The pyramiding of cry1Fa and cry32Aa genes (both bt toxin genes from Bacillus thuringiensis) with AtPME (from Arabidopsis thaliana) and AnPME (from Aspergillus Niger) (both of the latter genes implied in the biosynthesis of methanol) was realized in an Eagle-2 cotton variety []. The obtained plants carrying all the genes were highly resistant to Helicoverpa armigera (100% larvae mortality), Earias fabia (95% larvae mortality), and Pectinophora gossypiella (70% larvae mortality). This resistance decreases when only the cry genes are stacked to 84%, 79%, and 49%, respectively.
Due to the high capabilities of P. infestans to evolve and overcome resistance genes, especially those from S. demissum, many researchers chose to utilize genes from other wild relative species for pyramiding, such as Rpi-ber from S. berthauli [], Rpi-mcd1 from S. microdontum, Rpi-blb1, Rpi-blb2 [] and Rpi-vnt1.1 from S. venturii and also genes Rpi-vnt1.1 and Rpi-sto1 from S. stoloniferum []. Meanwhile, other researchers preferred to combine the conventional source S. demissum with the new sources; for example, Rakosy-Tican and her team [] pyramided Rpi-blb1, Rpi-blb3, R3a and R3b, and of course, all the plants carrying the pyramids above mentioned are at least more resistant than their original material.
According to gene-for-gene theory [], for each gene of avirulence, there is a gene of resistance. Potato gene R1 is responsible for recognizing P. infestans individuals carrying the gene Avr1 (race Avr 1). The R2 detected Avr2 and so on. Now, we know that R proteins interact with effectors. Effectors are molecules made by the pathogen having the role of manipulating plant defenses and physiology to facilitate the infection, but when detected by the R proteins, they induce resistance responses []. According to the guarded theory [], the R protein is not monitoring the effector directly but rather its target. Any modification the guarded protein undergoes, under the action of the effector, is detected by the R protein. The effector AVR1 has as a target the protein Sec5 (Sec5 is a subunit of the exocyst, which is a protein implicated in mediating polarized exocytosis during plant development and defense against pathogens), and as a consequence, suppressing potato defenses []. After pathogen detection, a signal is transmitted via several possible ways (MAPK kinase) to the nucleus, so the defense responses can be induced, including an overexpression of genes implicated in plant defenses against the pathogen, such as pathogenesis-related proteins, an overexpression of genes implicated in phytoalexins biosynthesis, and finally activation of the hypersensitive response (HR). On the other hand, the pathogen uses a multitude of effectors to avoid detection, to interfere with the message transduction and defense gene expression, and to block the occurrence of HR []. P. infestans produces both apoplastic and cytoplasmic effectors []. There are two main types of cytoplasmic effectors: RXLR and Crinkler (CRN) produced by P. infestans. Haas et al. [] predicted that P. infestans has more than 560 RXLR genes and more than 190 genes of CRN effectors. The coevolution of the plant–pathogen interaction is quite like an arms race. The plant evolves a resistance gene to counteract the effectors of the pathogen. To survive, the pathogen finds itself under obligation to evolve its effectors to overcome plant resistance and so on. In the agrosystems, there is human intervention on the side of the plant. We intervene to help the plant by creating new varieties with new R genes. We look for new R genes continuously, and the pathogen is evolving with the same speed or even faster. It is a never-ending race. Here, a question might be asked: Is it possible to recycle R genes? Do the defeated R genes still have a role to play in the plant–pathogen interaction? By defeated R genes, we mean the genes that are overcome by the pathogen: in our case, mainly the resistance genes from S. demissum. Such genes may display a residual effect if they increase the host resistance level [].
In agricultural systems, it is expected that the pathogens (here P. infestans) will evolve naturally under the pression of fungicides and the deployed resistance and overcome the resistance used (single R genes or pyramids) even if it is built with the modern R genes, which now we belive they are broad spectrum and durable. The results is a new Vertifolia effect, and as a consequence, the apparition of new highly virulent and aggressive races of P. infestans []. Those genes will be defeated sooner or later. This paper studies the residual effect of defeated genes in the context of their possible recycling. We evaluated the effect of pyramided defeated R genes on four important parameters: incubation time, latency time, sporulation, and the synthesis of phenolic compounds in a detached leaf test from different potato accessions in-vitro. To inoculate the potato leaves, a hypervirulent and ubiquitous race was used (EU_13_A2) [,,,].
2. Materials and Methods
2.1. Plant Material
Four potato accessions (genotypes) were used in this study (Table 1). These potato genotypes were kindly sent to us by the USDA-ARS as vitro plants.

Table 1.
The genotypes of potato used in this study.
These genotypes were multiplied on the MS30 culture medium. After a four-week elongation period, they were introduced into the microtuberization medium in the growth chamber for a period of 8 weeks in total darkness. The medium used for microtuberization is the solid MS medium to which a cytokinin (notably 6-benzylaminopurine (BAP)) recommended by different authors [,,] which stimulates microtuberization and a high concentration of sucrose was added []. In our experiment, the quantities added to the MS medium were 80 g/L of sucrose and 2.5 mg/L of BAP. The microtubers were then cultivated repeatedly until we obtained normal potato tubers. The latter were then cultivated in a greenhouse to obtain potato plants (5–6 plants per genotype) for the detached leaf test.
2.2. The Pathogen
The genotype EU 13-A2 was used to inoculate the potato leaves, which was obtained from our laboratory collection []. The inoculum was prepared according to the Euroblight recommendations []. A sporangia suspension with 1.5 × 104 sporanges/mL was prepared and then incubated in a refrigerator at 4 °C overnight (for zoospores release (5 × 104 zoospores/mL).
2.3. The Detached Leaf Test
The detached leaf test was performed according to the Euroblight recommendations [] with minor modifications. The potato leaflets were harvested healthy and washed and dried prior to inoculation. In a Petri dish, 2 leaflets (in 3 repetitions), from the same genotype, were inoculated with 20 µL of zoospores preparation on their abaxial side and then incubated at 20 °C with a 16/8 h photoperiod. The control was inoculated with 20 µL of distilled sterile water.
In this research, we evaluated the effect of the number of genes pyramided on five parameters, which were implicated in disease tolerance:
- Incubation time: the time between inoculation and the apparition of the first symptoms. Each leaflet was examined looking for the first symptoms. The number of days between the inoculation and the symptom manifestation was calculated for each genotype.
- Latency: the time between the inoculation and the apparition of the first sporangia. The leaflets were inspected individually under a binocular looking at the sporangia formed. The time separating the inoculation from the production of the first sporangium was measured in days.
- Lesion size: the area of the lesion induced by the pathogen after inoculation, which was measured at the 7th day post inoculation (dpi). The longest and the smallest diameter were measured, and the size of the lesion was calculated according to the formula:
S = πRr
- Sporulation: the quantity of sporangia produced by the pathogen on the attacked area. On the 7th dpi, the inoculated leaflets were washed in 10 mL of distilled sterile water and then, the sporangia produced was counted using the Malassez cell.
- Total phenols: we quantified the phenols synthesized at 4 time points: 0 days post-inoculation (dpi), 24 dpi, 48 dpi, and 72 dpi. The leaf tissue (0.6 g) was ground using a mortar and pestle. Then, 4 mL of 80% methanol solution was added, which was followed by centrifugation at 3500 rpm for 15 min. The supernatant was used to extract total phenols according to the Folin–Ciocalteau technique [].
- Statistical analysis: the data obtained were analyzed by the R software for one-way ANOVA and the general linear model. The means were compared with the Least Significant Difference (LSD) at the 95% confidence interval. The experiments were performed following a completely randomized design. Each test was performed in 3 replicates.
3. Results
In this study, we used an aggressive P. infestans race (EU_13_A2) to infect potato plants harboring defeated R genes. We have taken into account the following parameters: incubation time, latency, the quantities of sporangia produced, lesion area, and the amount of polyphenolic compounds on each potato genotype as a response to infection by this pathogen. As expected, all the genotypes tested were sensitive to infection by the EU_13_A2 race of P. infestans.
3.1. Incubation Time
The first symptoms appeared after 4 days for the genotypes 1R and 2R. There was a little delay (less than one day) for the genotype 3R (4.33 days) (Figure 1). The most important delay was observed for the genotype 4R (6.33 days) harboring the genes R1, R2, R3, and R4. There were no significant differences between 1R, 2R and 3R. These three genotypes formed one group, and the 4R formed the second one. The incubation time is affected only after the number of genes is higher than 3. The accumulation of four genes induces a delay of more than 2 days of symptom manifestation on the 4R compared to 1R and 2R.

Figure 1.
Effect of gene number on the incubation time. Values (means ± SD) in columns sharing the same letter are not significantly different (one-way ANOVA (p < 0.0003) followed by Fisher’s LSD test at the 95.0% confidence level). Legend: a, b: significance groups.
3.2. Latency
The time needed from the initial inoculation until the sporangia formation is an important criterion for disease epidemiology. It affects the development of the disease in the field and its capacity of spreading (Figure 2). The production of sporangia started before the 5th day (exactly: 4.66 days) for the genotype 1R, at the 5th day for the genotype 2R, a little after the 5th day (5.33 days) for the genotype 3R and only after the 6th day (6.66 days) for the genotype 4R. There was a delay of 2 days between the 1R and 4R and one day between 3R and 4R. However, the difference is only statistically significant between 4R, 3R and 2R. The impact of gene pyramiding on the latency is significant by the 2nd gene added. While this effect grows with each gene accumulated, there is no significant impact from adding more genes.

Figure 2.
Effect of gene number on the latency period. Values (means ± SD) in columns sharing the same letter are not significantly different (one-way ANOVA (p < 0.0056) followed by Fisher’s LSD test at the 95.0% confidence level). Legend: a, b: significance groups.
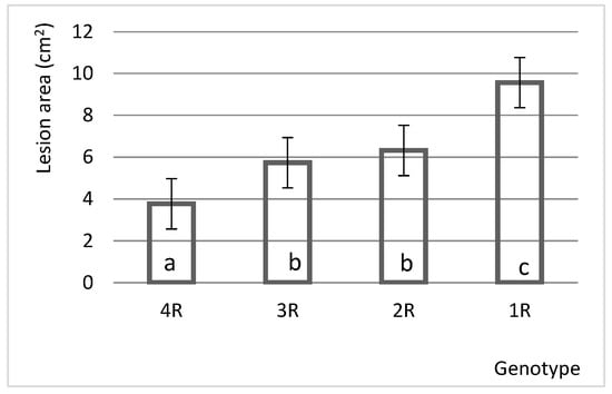
3.3. Lesion Size
P. infestans is a hemibiotrophic pathogen. It has a two-phase life cycle. The first one is biotrophic and in the second one is necrotrophic. Here, we measure the area of the tissue affected by necrosis (lesion area) (Figure 3). The biggest lesion was observed for the genotype 1R; the smallest one was found on the leaves of the genotype 4R. The genotypes 2R and 3R had approximatively the same lesion area.

Figure 3.
The size of lesion (cm2) caused by the inoculation of potato leaves by the race EU_13_A2. Values (means ± SD) in columns sharing the same letter are not significantly different (one-way ANOVA (p < 0.0007) followed by Fisher’s LSD test at the 95.0% confidence level). Legend: a, b, c: significance groups.
3.4. Sporulation
The oomycete P. infestans is disseminated at first by the sporangia. The number of sporangia produced by the pathogen ensures it fitness. Three homogenous groups are observed: the first is the 4R group with the lowest amount of sporangia produced (6.4 × 103 sporangia, approx. 2/3 of sporangia produced on the leaves of 1R), the second group is constituted by the genotypes 2R (8.6 × 103 sporangia) and 3R (>7.8 × 103 sporangia), and the last one is represented by the genotype 1R (>9.5 × 103 sporangia), with the highest amount of sporangia (Figure 4).

Figure 4.
Sporangia production by P. infestans race EU_13_A2 on potato leaves. Values (means ± SD) in columns sharing the same letter are not significantly different (one-way ANOVA (p < 0.0001) followed by Fisher’s LSD test at the 95.0% confidence level). Legend: a, b, c: significance groups.
3.5. Total Polyphenols Synthesized
The inoculation of potato leaves with P. infestans zoospores induced an increase in phenol concentration for each genotype. However, the moment of induction differed according to the function of the genotypes tested. In the beginning (0 hpi), 4R and 3R had the same amount of total phenols (no statistically significant difference) (Figure 5). However, it increased for the genotype 4R as a response to infection after 24 h, and it decreased for 3R. Only 48 h after inoculation did the amount of phenols synthesized by 3R equal 4R at 24 hpi.

Figure 5.
The evolution in time of the quantities of total phenolic compounds synthesized by potato genotypes tested at 4 time points (0 hpi, 24 hpi, 48 hpi, 72 hpi). Values (means ± SD) in columns sharing the same letters are not significantly different (one-way ANOVA p = 0.0000 (between controls and inoculated for each time) followed by Fisher’s LSD test at the 95.0% confidence level). Legend: LFM; leaf fresh matter; hpi: hours post-inoculation; blue bar: genotype 1R, orange bar: genotype 2R, gray bar: genotype 3R, yellow bar: genotype 4R; a, ab, abc, abcd, …: significance groups.
At this time point, the amount of phenols synthesized by 4R decreased back to approximately the same amount to the constitutive level (0 hpi). The genotypes 1R and 2R behaved the same way. The initial amounts of phenols increased until 48 hpi, where it reached the peak. The 1R synthesized the most important quantity of phenols, even more than the 4R, but it arrived too late (only after 48 h). After this time point, the amount of phenol synthesized decreased for all the genotypes. For 1R and 4R, it went back to the initial amount, and for 2R and 3R, it was even lower than the initial amount at 0 hpi.
Genotype 4R has the most important constitutive phenolic compounds (even if there is no statistically significant difference between 4R, 3R and 2R) and also the most important induction (even though there is no significant difference between 4R, 3R and 2R). There is no significant difference between the control and the inoculated 4R for all time points. The genotypes 1R, 2R, and 3R reach their maximum phenolic synthesis only after 48 hpi, and then, they quickly return to their constitutive quantities. On the other hand, 4R attains its maximum after only 24 hpi, but it is still more important than the initial amount (even if there is no significant difference)
The relationship between the number of genes and the amount of phenolic compounds synthesized by the potato leaves was observed at different time points: 0 hpi, 24 hpi, 48 hpi, and 72 hpi. As we can see, there is a tendency for the quantities of phenolic compounds to increase as the number of genes increases in potato genotypes. Genotype 1R has the lowest amount at 0 hpi, in 2R and 3R, the amount is stabilized at approximately the same level (Figure 6). The highest amount is recorded in the genotype 4R. This trend is seen in a constitutive and inductive manner.

Figure 6.
The amount of total phenolic compounds synthesized by different potato genotypes as a function of the number of R genes carried by each genotype and time.
3.6. The Results Obtained with General Linear Model (GLM) for Different Criteria
It is obvious that all criteria used are connected to each other, so we used the General Linear Model (GLM) to highlight these interactions, which are linked to gene pyramiding.
- Incubation time
Concerning the incubation time, the GLM showed that the number of genes, the amount of constitutive phenolic compounds (at 0 hpi) and the induced ones at 24 hpi are statistically significant factors (Table 2). The equation is: Incubation = 2.03749 + 1.72063 × Number of genes − 0.18671 × Phenols 0 hpi + 0.04362 × Phenols 24 hpi + 0.04355 × Phenols 48 hpi − 0.01342 × Phenols 72 hpi.

Table 2.
Estimated regression parameters, standard error, t value and p value for the GLM of the incubation time.
From this analysis, it is clear that the incubation is affected significantly by the number of genes and the amount of phenols in a constitutive and inductive manner.
- Lesion size
The GLM showed that the number of genes and the interaction between the gene number and incubation time are the two factors with significant contributions to the lesion size (Table 3). The equation is: Lesion area = 29.10244 − 13.98901 × Number of genes − 0.05844 × Phenols 72 hpi + 0.38829 × Number of genes: Incubation) + 0.66582 × (Number of genes: Phenol 0 hpi) − 0.12034 × (Number of genes: Phenol 24 hpi) − 0.23818 × (Number of genes: Phenol 48 hpi).

Table 3.
Estimated regression parameters, standard error, t value and p value for the GLM of the lesion area.
Both the incubation time and the amount of phenolic compounds, at any time point, did not affect the area of the lesion, but the gene number and the interaction between the gene number and incubation time do.
- The sporulation
The GLM showed that number of genes affects the amount of sporangia produced by the pathogen on each genotype. The contribution of other factors is not significant (Table 4). The equation is: Sporulation = 10,374 − 1373 × Number of genes + 47.672 × Phenol 0 hpi − 1.031 × Phenol 24 hpi − 7.416 × Phenol 48 hpi + 8.642 Phenol 72 hpi.

Table 4.
Estimated regression parameters, standard error, t value and p value for the GLM of the incubation time for the sporulation (quantity of sporangia produced).
3.7. Principal Component Analysis
Principal component analysis (PCA) shows that in our study, at least two factor groups are controlling the outcome of the interaction. The first group can also be divided into two subgroups. The gene number, latency and incubation time are the major constituents of the first subgroup (Figure 7). The second is composed by the amount of phenols at inoculation time (constitutive) and immediately after 24 h. The second group, with an opposite effect on the outcome, is made of the lesion area, the sporangia amount and also the phenols at 48 hpi. In Figure 7, the PCA shows the role played by the constitutive phenols, and the rapidity of the defense response (here as the amount of phenols synthesized by the plant) at the first 24 hpi impacts greatly the incubation and latency period and affects negatively the quantity of sporangia produced and the lesion area. However, the amount of phenols produced after 48 h could be considered as a sensitivity factor.

Figure 7.
The principal component analysis (PCA). Legend: Phenol 0: Quantity of phenolic compounds produced 0 hpi, Phenols 24: Quantity of phenolic compounds produced 24 hpi …etc.
The effect of gene pyramiding has two important points: the second and the fourth added genes (here R2 and R4) as we can see in figure below. However, the fourth R gene had the most important impact on the outcome of the interaction. The effect of gene pyramiding was weak until the third gene. After the introgression of the 4th gene, a leap is observed. This effect suggests that if we stack even more genes, the impact will be greater. This effect is translated by the delay of symptoms manifestation and by the reduction in the amount of sporangia produced.
The next diagram (Figure 8) shows the effect of stacking R genes, which is evident. The additive effect of gene pyramiding is clearly observed on the axe dim1, explaining 65.05% of the distribution. Each time we add an R gene, the new genotype is advanced according to dimension 1. Dimension 2 explains only 15.45%. The potato genotypes 1R, 2R, 3R, and 4R are almost perfectly aligned on this axe. As it is seen before, for different parameters, the adding of genes impacted positively the outcome of the interaction, rendering the potato genotypes less sensitive to this aggressive P. infestans race (EU_13_A2). Each time we add an R gene, the plant is less sensitive (more resistant).

Figure 8.
The position of different genotypes in PCA.
4. Discussion
Gene pyramiding is thought to enhance the durability of resistance []. This is expected especially when the broad-spectrum, undefeated resistance genes are used in pyramiding combinations. In potato, these genes are mainly obtained from S. bulbocastanum genes (Rpi-blb1, Rpi-bt1, Rpi-blb2, and Rpi-blb3). Here, we aimed to evaluate the contribution of defeated R genes in enhancing the resistance of susceptible potato genotype to P. infestans. Our results showed that gene pyramiding induces a delay in disease manifestation (incubation time) correlated with the number of genes the potato genotype harbors. It induces also a reduction in the pathogen aggressiveness by reducing the lesion area (the quantity of leaf tissue destroyed by the pathogen) and the amounts of sporangia produced in the same period. This effect could affect the disease dissemination in the field, and it offers the farmer more time to intervene.
According to Leesutthiphonchai and his coworkers [], P. infestans sporulation starts 3 to 4 days after inoculation, depending on the environment, host and pathogen genotypes, which was observed here with the genotype 1R (4.66 days). The latency duration increases with the number of genes carried by each genotype. In addition, the quantity of sporangia produced decreases significantly. The curiosity for P. infestans is that each sporangium can act as an infection propagule, or when the environmental conditions are suitable for the pathogen, it gives birth to many mobile biflagellate zoospores. Each zoospore can, at least theoretically, start a new infection point. Our results are in accord with those of Nass et al. [], who found that using wheat isolines carrying one of the defeated resistance genes Pm3c, Pm4 and MA (not pyramided) against powdery mildew decreases the quantity of conidia produced by the pathogen up to 65% compared to the isoline resistance without those genes. On the other hand, no significant differences were discerned for other isolines carrying defeated R genes Pm2, Pm2+, and Pm5. Here, the residual effects depend on the gene. In addition, we found that P. infestans produced the highest amount of oospores (sexual spores) on the highly susceptible cultivars (Home Guard) []. The quantity of oospores decreases inversely with resistance. A positive correlation between host susceptibility and sexual reproduction was observed in the pathosystem wheat–Mycosphaerella graminicola [].
This study could not affirm that the gene R4 or the number of the genes has the most important effect. In previous research, Taoutaou and his team [] showed that the gene pyramiding could extend the spectrum of resistance of the potato genotype to new races of P. infestans. However, in this study, the potato genotype is still sensitive, but the fourth gene (case of the genotype 4R) induced a delay in symptom manifestation of 2 full days, a reduction in the amount of sporangia produced by the pathogen and also a decrease in the area of the lesion.
The swiftness of phenol biosynthesis induction in the case of 4R, and the initial quantities (constitutive), suggests that the potato plant has been able to detect the presence of the pathogen, but it (the pathogen) was able to manipulate the outcome of the interaction to its own advantage. The role of phenolic compounds in plant defense against pathogens is well known []. Taoutaou and his collaborators [] showed that gene pyramided genotype harboring three R genes (R2, R3, and R4) synthesized more total phenolic compounds than the one with the single R gene R4, in both situations (pre- and post-inoculation), when both were infected with an incompatible pathogen race (resistance). This indicates that gene pyramiding might be responsible for phenols accumulation in a constitutive (phytoanticipins) and inductive (phytoalexins) manner.
R genes (major R genes) have the role of detecting and recognizing the pathogen infecting the plant. As a result of pathogen perception, a major resistance response is observed []. Here, in our study, the potato R genes are unable to induce a major defense response even when they are pyramided (2R, 3R, 4R). This was expected, as we chose a very aggressive isolate of the pathogen (race EU_13_A2). We observed that with each gene added, there is a decrease in the sporangia produced and lesion area and an increase in the incubation time and latency. In this case, even the four genes behaved as a minor gene, or as a quantitative disease resistance, as they induce only a minor disease reduction [,].
Many studies have demonstrated the effect of gene pyramiding on disease resistance. Vossen and his team [] found that R8 is largely deployed and still an efficient resistance gene even though S. demissum is its source. Its durability is linked to the fact that it is deployed with other genes in cultivars carrying multiple R genes, such as Sarpo Mira. Our study suggests that there is an additive effect of defeated R genes. In the pyramided genotypes, there is an added effect of the genes [,].
Even though the four genes tested here were defeated by the race EU_13_A2, their effect is still clearly perceived. There was a delay in the incubation and latency and a reduction in the quantities of sporangia produced on the genotypes harboring many R genes. These results suggest that the defeated R genes still have an effect, but it is not a major one. They behave as quantitative traits rather than major R genes. These observations are similar with those of Li et al. [], who found that a defeated resistance gene acts similarly to a QTL, with only 50% of the effect of an R major gene, in the case of the pathosystem rice-Xanthomonas oryzae pv. oryzae. Defeated major resistance genes had a major impact on the quantitative resistance of poplar against leaf rust (Melampsora larici-populina) []. Other results [] showed that from eight progenies of potato, only two manifested an effect of defeated R genes on the lesion expansion rate. On the other progenies, the defeated R genes had no effect. It is worth pointing out that potato varieties with durable and broad-spectrum resistance against P. infestans are in fact pyramids []. Kim and his team [] demonstrated that the resistance of Mastenbroek R8 and R9 potato plants is due to the fact that these supposed single genes are pyramids of R3a, R3b, R4, and R8; and R1, Rpi-abpt1, R3a, R3b, R4, R8, and R9, respectively. The cultivar Sárpo Mira is a pyramid of five R genes (R3a, R3b, R4, R8 and Rpi-Smira1) []. In addition, the variety Bzura harbors two R genes: R2-like and another unknown Rpi gene(s) [].
It is worth noting that this effect starts to be significant with the fourth R genes. Before the fourth one, the effect was barely noticeable. In addition, these results were obtained in the pathosystem S. tuberosum–P. infestans, the effect with other pathosystems may be different. For example, no effect of the defeated resistance gene in the pathosystem poplar-rust was found [], and no residual effect of defeated R genes in the pathosystem soybean– Phytophthora sojae, using genotypes with pyramided R genes, was observed [].
In our case, the effect of gene pyramiding manifested with a delay of symptom manifestation up to two days in the case of the genotype with four R genes (in comparison with the single R gene bearing the potato genotype). The R8 gene induces a delay of late blight symptoms manifestation when tested alone and in gene-pyramided genotypes []. Darsow [] found that the field resistance increases with the number of genes stacked []. Tan and his coworkers [] pyramided the genes Rpi-mcd1 (S. microdontum) and Rpi-ber (S. berthauli), and the results suggested that these genes when pyramided work in an additive manner. The gene pyramiding showed a residual effect that increases with the number of genes stacked. This effect is not significant until the fourth gene for many of the traits tested here in this study. It is important to stress that the race EU_13_A2 is a particularly aggressive P. infestans genotype [,,]; it was responsible for a reclassification of resistant cultivars in the UK. All potato cultivars tested saw their resistance rating down, even Sarpo Mira [].
The pathogen uses an arsenal of effectors to overcome plant immunity system. According to the zigzag model [], a plant can detect a pathogen by the recognition of pathogen-associated molecular patterns (PAMPs) using the pattern recognition receptors (PRR), and as a result, the plant launches defense responses called PAMPs-triggered immunity (PTI). On the other hand, the pathogen uses effectors to avoid detection, and when detected, it uses other effectors to block the signal transduction and/or the immune responses. These effectors could be detected by the plant if it has functional R genes; therefore, the plant disengages another immune response called effectors-triggered immunity (ETI). The theory affirms that the ETI is a more intense immune answer, and it can exceed the threshold of hypersensitive response, but the PTI never touches it. The race used in this work is a very virulent one and was able to overcome all the resistance genes easily, even when they are stacked in one genotype. There was no effect of the gene stacking on the general outcome of the interaction (S. tuberosum–P.infestans). The pathogen was able to infect all the genotypes tested here. However, there was a reduction in the number of sporangia produced, the lesion area, the amount of phenols produced, and even a delay in disease manifestation up to two days. These results let us suggest that those effects are due to the PTI rather than to the effect of defeated R genes. To confirm that there was an effect due only to gene pyramiding, and that defeated R genes have a residual effect that may contribute to disease reduction in pyramids [], further investigations are needed.
5. Future Perspective
Since the Irish famine in the 1840s, farmers, breeders, and scientists have been working to control the late blight agent (P. infestans). The actual tendencies are to use other sources of resistance and also to stack the genes to create a durable resistance. It is expected that P. infestans will overcome at least some of these genes and/or pyramids, resulting in a new Vertifolia effect situation. The present study was conducted on a detached leaf test, in-vitro, where we observed a delay of a symptom manifestation, but it would be interesting to test them in the field conditions. In addition, a study on resistance deployment, using these resistances only or combined with another resistance type, would clarify their effect in combination or alone. Furthermore, the impact of stacking R genes on the quality and quantity of the potato product needs to be clarified.
6. Conclusions
In this paper, we examined the impact of defeated R genes if they were recycled against the more aggressive modern races of P. infestans. The results suggest that even though all the potato genotypes tested in this study were sensitive to P. infestans, the number of resistance genes pyramided might be responsible for a delay of symptoms manifestation up to 2 days for the genotype harboring four R genes. The duration of the delay decreases with the number of the genes. The P. infestans produced less sporangia on the potato genotype with four R genes. The latter produced more phenolic compounds in a constitutive and inductive manner. The defeated R genes might still be useful, especially when considering R gene deployment as a mixture.
Author Contributions
Conceptualization, A.T.; methodology, A.T. and I.V.B.; validation, M.K.C., I.R. and L.M.; formal analysis, A.T., I.V.B. and L.M.; investigation, M.K.C., I.R. and A.O.; resources, Z.B., L.B., S.R. and L.K.; data curation, A.T., M.K.C., L.B., A.O., I.R. and L.M.; writing—original draft preparation, A.T., I.V.B. and A.O.; writing—review and editing, I.V.B., L.B., S.R., L.K., Z.B. and L.M.; visualization, A.T., I.V.B. and I.R.; supervision, A.T. and I.V.B.; project administration, A.T.; funding acquisition, A.T. All authors have read and agreed to the published version of the manuscript.
Funding
This research was funded by funds from the National Research Development Projects to finance excellence (PFE)-14/2022-2024 granted by the Romanian Ministry of Research and Innovation, and also by La Direction Générale de la Recherche Scientifique et Développement Technologique (DGRSDT) of the Algerian Ministry of Higher Education and Scientific Research.
Data Availability Statement
The data presented in this study are available at request from the corresponding authors.
Acknowledgments
The authors are so grateful to the USDA-ARS for kindly sending us all the potato accessions.
Conflicts of Interest
The authors declare no conflict of interest.
References
- Toxopeus, H.J. Reflections on the Origin of New Physiologic Races in Phytophthora Infestans and the Breeding for Resistance in Potatoes. Euphytica 1956, 5, 221–237. [Google Scholar] [CrossRef]
- Stewart, H.E.; Bradshaw, J.E.; Pande, B. The Effect of the Presence of R-Genes for Resistance to Late Blight (Phytophthora Infestans) of Potato (Solanum Tuberosum) on the Underlying Level of Field Resistance. Plant Pathol. 2003, 52, 193–198. [Google Scholar] [CrossRef]
- Rodewald, J.; Trognitz, B. Solanum Resistance Genes against Phytophthora Infestans and Their Corresponding Avirulence Genes. Mol. Plant Pathol. 2013, 14, 740–757. [Google Scholar] [CrossRef] [PubMed]
- Paluchowska, P.; Śliwka, J.; Yin, Z. Late Blight Resistance Genes in Potato Breeding. Planta 2022, 255, 127. [Google Scholar] [CrossRef] [PubMed]
- van der Vossen, E.; Sikkema, A.; Hekkert, B.T.L.; Gros, J.; Stevens, P.; Muskens, M.; Wouters, D.; Pereira, A.; Stiekema, W.; Allefs, S. An Ancient R Gene from the Wild Potato Species Solanum Bulbocastanum Confers Broad-Spectrum Resistance to Phytophthora Infestans in Cultivated Potato and Tomato. Plant J. 2003, 36, 867–882. [Google Scholar] [CrossRef]
- Song, J.; Bradeen, J.M.; Naess, S.K.; Raasch, J.A.; Wielgus, S.M.; Haberlach, G.T.; Liu, J.; Kuang, H.; Austin-Phillips, S.; Buell, C.R.; et al. Gene RB Cloned from Solanum Bulbocastanum Confers Broad Spectrum Resistance to Potato Late Blight. Proc. Natl. Acad. Sci. USA 2003, 100, 9128–9133. [Google Scholar] [CrossRef]
- Oosumi, T.; Rockhold, D.R.; Maccree, M.M.; Deahl, K.L.; McCue, K.F.; Belknap, W.R. Gene Rpi-Bt1 from Solanum Bulbocastanum Confers Resistance to Late Blight in Transgenic Potatoes. Am. J. Pot. Res. 2009, 86, 456. [Google Scholar] [CrossRef]
- van der Vossen, E.A.G.; Gros, J.; Sikkema, A.; Muskens, M.; Wouters, D.; Wolters, P.; Pereira, A.; Allefs, S. The Rpi-Blb2 Gene from Solanum Bulbocastanum Is an Mi-1 Gene Homolog Conferring Broad-Spectrum Late Blight Resistance in Potato. Plant J. 2005, 44, 208–222. [Google Scholar] [CrossRef]
- Lokossou, A.A.; Park, T.; van Arkel, G.; Arens, M.; Ruyter-Spira, C.; Morales, J.; Whisson, S.C.; Birch, P.R.J.; Visser, R.G.F.; Jacobsen, E.; et al. Exploiting Knowledge of R/Avr Genes to Rapidly Clone a New LZ-NBS-LRR Family of Late Blight Resistance Genes from Potato Linkage Group IV. Mol. Plant Microbe Interact 2009, 22, 630–641. [Google Scholar] [CrossRef]
- Zafar, M.M.; Razzaq, A.; Farooq, M.A.; Rehman, A.; Firdous, H.; Shakeel, A.; Mo, H.; Ren, M. Insect Resistance Management in Bacillus Thuringiensis Cotton by MGPS (Multiple Genes Pyramiding and Silencing). J. Cotton Res. 2020, 3, 33. [Google Scholar] [CrossRef]
- Stam, R.; McDonald, B.A. When Resistance Gene Pyramids Are Not Durable—the Role of Pathogen Diversity. Mol. Plant Pathol. 2018, 19, 521–524. [Google Scholar] [CrossRef]
- Fukuoka, S.; Saka, N.; Mizukami, Y.; Koga, H.; Yamanouchi, U.; Yoshioka, Y.; Hayashi, N.; Ebana, K.; Mizobuchi, R.; Yano, M. Gene Pyramiding Enhances Durable Blast Disease Resistance in Rice. Sci. Rep. 2015, 5, 7773. [Google Scholar] [CrossRef]
- Zafar, M.M.; Mustafa, G.; Shoukat, F.; Idrees, A.; Ali, A.; Sharif, F.; Shakeel, A.; Mo, H.; Youlu, Y.; Ali, Q.; et al. Heterologous Expression of Cry3Bb1 and Cry3 Genes for Enhanced Resistance against Insect Pests in Cotton. Sci. Rep. 2022, 12, 10878. [Google Scholar] [CrossRef]
- Razzaq, A.; Ali, A.; Zafar, M.M.; Nawaz, A.; Xiaoying, D.; Pengtao, L.; Qun, G.; Ashraf, M.; Ren, M.; Gong, W.; et al. Pyramiding of Cry Toxins and Methanol Producing Genes to Increase Insect Resistance in Cotton. GM Crops Food 2021, 12, 382–395. [Google Scholar] [CrossRef]
- Tan, M.Y.A.; Hutten, R.C.B.; Visser, R.G.F.; van Eck, H.J. The Effect of Pyramiding Phytophthora Infestans Resistance Genes RPi-Mcd1 and RPi-Ber in Potato. Theor. Appl. Genet. 2010, 121, 117–125. [Google Scholar] [CrossRef] [PubMed]
- Ghislain, M.; Andrade, D.; Rodríguez, F.; Hijmans, R.J.; Spooner, D.M. Genetic Analysis of the Cultivated Potato Solanum Tuberosum L. Phureja Group Using RAPDs and Nuclear SSRs. Theor. Appl. Genet. 2006, 113, 1515–1527. [Google Scholar] [CrossRef]
- Jo, K.-R.; Kim, C.-J.; Kim, S.-J.; Kim, T.-Y.; Bergervoet, M.; Jongsma, M.A.; Visser, R.G.; Jacobsen, E.; Vossen, J.H. Development of Late Blight Resistant Potatoes by Cisgene Stacking. BMC Biotechnol. 2014, 14, 50. [Google Scholar] [CrossRef]
- Rakosy-Tican, E.; Thieme, R.; König, J.; Nachtigall, M.; Hammann, T.; Denes, T.-E.; Kruppa, K.; Molnár-Láng, M. Introgression of Two Broad-Spectrum Late Blight Resistance Genes, Rpi-Blb1 and Rpi-Blb3, From Solanum Bulbocastanum Dun Plus Race-Specific R Genes Into Potato Pre-Breeding Lines. Front. Plant Sci. 2020, 11, 699. [Google Scholar] [CrossRef]
- Flor, H.H. Current Status of the Gene-For-Gene Concept. Annu. Rev. Phytopathol. 1971, 9, 275–296. [Google Scholar] [CrossRef]
- Toruño, T.Y.; Stergiopoulos, I.; Coaker, G. Plant-Pathogen Effectors: Cellular Probes Interfering with Plant Defenses in Spatial and Temporal Manners. Annu. Rev. Phytopathol. 2016, 54, 419–441. [Google Scholar] [CrossRef]
- van der Hoorn, R.A.L.; Kamoun, S. From Guard to Decoy: A New Model for Perception of Plant Pathogen Effectors. Plant Cell 2008, 20, 2009–2017. [Google Scholar] [CrossRef] [PubMed]
- Overdijk, E.J.R.; Putker, V.; Smits, J.; Tang, H.; Bouwmeester, K.; Govers, F.; Ketelaar, T. Phytophthora Infestans RXLR Effector AVR1 Disturbs the Growth of Physcomitrium Patens without Affecting Sec5 Localization. PLoS ONE 2021, 16, e0249637. [Google Scholar] [CrossRef]
- Wang, Y.; Tyler, B.M.; Wang, Y. Defense and Counterdefense During Plant-Pathogenic Oomycete Infection. Annu. Rev. Microbiol. 2019, 73, 667–696. [Google Scholar] [CrossRef] [PubMed]
- Kamoun, S. A Catalogue of the Effector Secretome of Plant Pathogenic Oomycetes. Annu. Rev. Phytopathol. 2006, 44, 41–60. [Google Scholar] [CrossRef] [PubMed]
- Haas, B.J.; Kamoun, S.; Zody, M.C.; Jiang, R.H.Y.; Handsaker, R.E.; Cano, L.M.; Grabherr, M.; Kodira, C.D.; Raffaele, S.; Torto-Alalibo, T.; et al. Genome Sequence and Analysis of the Irish Potato Famine Pathogen Phytophthora infestans. Nature 2009, 461, 393–398. [Google Scholar] [CrossRef]
- Young, B.A.; St. Martin, S.K.; Schmitthenner, A.F.; Buzzell, R.I.; McBlain, B.A. Absence of Residual Effects of Defeated Resistance Genes on Phytophthora Rot of Soybean. Crop Sci. 1994, 34, 409–414. [Google Scholar] [CrossRef]
- Brown, J.K.M.; Rant, J.C. Fitness Costs and Trade-Offs of Disease Resistance and Their Consequences for Breeding Arable Crops. Plant Pathol. 2013, 62, 83–95. [Google Scholar] [CrossRef]
- Beninal, L.; Bouznad, Z.; Corbière, R.; Belkhiter, S.; Mabon, R.; Taoutaou, A.; Keddad, A.; Runno-Paurson, E.; Andrivon, D. Distribution of Major Clonal Lineages EU_13_A2, EU_2_A1, and EU_23_A1 of Phytophthora Infestans Associated with Potato Late Blight across Crop Seasons and Regions in Algeria. Plant Pathol. 2022, 71, 458–469. [Google Scholar] [CrossRef]
- Dey, T.; Saville, A.; Myers, K.; Tewari, S.; Cooke, D.E.L.; Tripathy, S.; Fry, W.E.; Ristaino, J.B.; Guha Roy, S. Large Sub-Clonal Variation in Phytophthora Infestans from Recent Severe Late Blight Epidemics in India. Sci. Rep. 2018, 8, 4429. [Google Scholar] [CrossRef]
- Lees, A.K.; Stewart, J.A.; Lynott, J.S.; Carnegie, S.F.; Campbell, H.; Roberts, A.M.I. The Effect of a Dominant Phytophthora Infestans Genotype (13_A2) in Great Britain on Host Resistance to Foliar Late Blight in Commercial Potato Cultivars. Potato Res. 2012, 55, 125–134. [Google Scholar] [CrossRef]
- Raza, W.; Ghazanfar, M.U.; Sullivan, L.; Cooke, D.E.L.; Cooke, L.R. Mating Type and Aggressiveness of Phytophthora Infestans (Mont.) de Bary in Potato-Growing Areas of Punjab, Pakistan, 2017–2018 and Identification of Genotype 13_A2 in 2019–2020. Potato Res. 2021, 64, 115–129. [Google Scholar] [CrossRef]
- Charles, G.; Rossignol, L.; Rossignol, M. Mise au point d’un modèle de développement et de tubérisation contrôlés et synchrones chez la Pomme de terre cultivée in vitro. Acta Bot. Gall. 1995, 142, 289–300. [Google Scholar] [CrossRef]
- Coleman, W.K.; Donnelly, D.J.; Coleman, S.E. Potato Microtubers as Research Tools: A Review. Am. J. Pot Res. 2001, 78, 47–55. [Google Scholar] [CrossRef]
- Mohapatra, P.P.; Batra, V.K.; Subhash, K.; Poonia, A.K. In Vitro Multiplication and Microtuberization of Solanum Tuberosum Using Different Growth Regulators. Vegetos 2018, 31, 114–122. [Google Scholar] [CrossRef]
- Sladký, Z.; Bartošová, L. In Vitro Induction of Axillary Potato Microtubers and Improvement of Their Quality. Biol. Plant 1990, 32, 181–188. [Google Scholar] [CrossRef]
- Colon, L.; Nielsen, B.; Darsow, U.; Lees, R.A.; Lees, A. Detached Leaf Test for Foliage Blight Resistance. EUROBLIGHT Protoc. 2004, 3. [Google Scholar]
- Folin, O.; Ciocalteu, V. ON TYROSINE AND TRYPTOPHANE DETERMINATIONS IN PROTEINS. J. Biol. Chem. 1927, 73, 627–650. [Google Scholar] [CrossRef]
- Mundt, C.C. Pyramiding for Resistance Durability: Theory and Practice. Phytopathology 2018, 108, 792–802. [Google Scholar] [CrossRef]
- Leesutthiphonchai, W.; Vu, A.L.; Ah-Fong, A.M.V.; Judelson, H.S. How Does Phytophthora Infestans Evade Control Efforts? Modern Insight Into the Late Blight Disease. Phytopathology 2018, 108, 916–924. [Google Scholar] [CrossRef]
- Nass, H.A.; Pedersen, W.L.; MacKenzie, D.R.; Nelson, R.R. The Residual Effects of Some “Defeated” Powdery Mildew Resistance Genes in Isolines of Winter Wheat. Phytopathology 1981, 71, 1315–1318. [Google Scholar] [CrossRef]
- Hanson, K.; Shattock, R.C. Formation of Oospores of Phytophthora Infestans in Cultivars of Potato with Different Levels of Race-Nonspecific Resistance. Plant Pathol. 1998, 47, 123–129. [Google Scholar] [CrossRef]
- Cowger, C.; McDonald, B.A.; Mundt, C.C. Frequency of Sexual Reproduction by Mycosphaerella Graminicola on Partially Resistant Wheat Cultivars. Phytopathology 2002, 92, 1175–1181. [Google Scholar] [CrossRef] [PubMed]
- Taoutaou, A.; Socaciu, C.; Pamfil, D.; Balazs, E.; Botez, C. Response of An R Gene Pyramided Potato Genotype to Infection With Phytophthora Infestans. Bull. USAMV Agric. 2011, 68. [Google Scholar] [CrossRef] [PubMed]
- Nicholson, R.L.; Hammerschmidt, R. Phenolic Compounds and Their Role in Disease Resistance. Annu. Rev. Phytopathol. 1992, 30, 369–389. [Google Scholar] [CrossRef]
- Taoutaou, A.; Socaciu, C.; Pamfil, D.; Balazs, E.; Botez, C. Role of Some Phenolic Compounds in a Resistant Gene Pyramided Potato Genotype to Late Blight. Bulg. J. Agric. Sci. 2013, 19, 126–132. [Google Scholar]
- Dangl, J.L.; Horvath, D.M.; Staskawicz, B.J. Pivoting the Plant Immune System from Dissection to Deployment. Science 2013, 341, 746–751. [Google Scholar] [CrossRef]
- St Clair, D.A. Quantitative Disease Resistance and Quantitative Resistance Loci in Breeding. Annu. Rev. Phytopathol. 2010, 48, 247–268. [Google Scholar] [CrossRef]
- Vossen, J.H.; van Arkel, G.; Bergervoet, M.; Jo, K.-R.; Jacobsen, E.; Visser, R.G.F. The Solanum Demissum R8 Late Blight Resistance Gene Is an Sw-5 Homologue That Has Been Deployed Worldwide in Late Blight Resistant Varieties. Theor. Appl. Genet. 2016, 129, 1785–1796. [Google Scholar] [CrossRef]
- Zhu, S.; Li, Y.; Vossen, J.H.; Visser, R.G.F.; Jacobsen, E. Functional Stacking of Three Resistance Genes against Phytophthora Infestans in Potato. Transgenic Res. 2012, 21, 89–99. [Google Scholar] [CrossRef]
- Li, Z.K.; Luo, L.J.; Mei, H.W.; Paterson, A.H.; Zhao, X.H.; Zhong, D.B.; Wang, Y.P.; Yu, X.Q.; Zhu, L.; Tabien, R.; et al. A “Defeated” Rice Resistance Gene Acts as a QTL against a Virulent Strain of Xanthomonas Oryzae Pv. Oryzae. Mol. Gen. Genet. 1999, 261, 58–63. [Google Scholar] [CrossRef]
- Dowkiw, A.; Bastien, C. Presence of Defeated Qualitative Resistance Genes Frequently Has Major Impact on Quantitative Resistance to Melampsora Larici-Populina Leaf Rust in P. × Interamericana Hybrid Poplars. Tree Genet. Genomes 2007, 3, 261–274. [Google Scholar] [CrossRef]
- Ordoñez, M.E.; Forbes, G.A.; Trognitz, B. Relationship between Ineffective R-Genes and Expansion Rate of Lesions on Potato Leaves, Caused by Phytophthora infestans. Plant Pathol. 1998, 47, 130–136. [Google Scholar] [CrossRef]
- Stefańczyk, E.; Plich, J.; Janiszewska, M.; Smyda-Dajmund, P.; Sobkowiak, S.; Śliwka, J. Marker-Assisted Pyramiding of Potato Late Blight Resistance Genes Rpi-Rzc1 and Rpi-Phu1 on Di- and Tetraploid Levels. Mol. Breed. 2020, 40, 89. [Google Scholar] [CrossRef]
- Kim, H.-J.; Lee, H.-R.; Jo, K.-R.; Mortazavian, S.M.M.; Huigen, D.J.; Evenhuis, B.; Kessel, G.; Visser, R.G.F.; Jacobsen, E.; Vossen, J.H. Broad Spectrum Late Blight Resistance in Potato Differential Set Plants MaR8 and MaR9 Is Conferred by Multiple Stacked R Genes. Theor. Appl. Genet. 2012, 124, 923–935. [Google Scholar] [CrossRef]
- Rietman, H.; Bijsterbosch, G.; Cano, L.M.; Lee, H.-R.; Vossen, J.H.; Jacobsen, E.; Visser, R.G.F.; Kamoun, S.; Vleeshouwers, V.G.A.A. Qualitative and Quantitative Late Blight Resistance in the Potato Cultivar Sarpo Mira Is Determined by the Perception of Five Distinct RXLR Effectors. Mol. Plant-Microbe Interact. 2012, 25, 910–919. [Google Scholar] [CrossRef]
- Plich, J.; Tatarowska, B.; Lebecka, R.; Śliwka, J.; Zimnoch-Guzowska, E.; Flis, B. R2-like Gene Contributes to Resistance to Phytophthora Infestans in Polish Potato Cultivar Bzura. Am. J. Potato Res. 2015, 92, 350–358. [Google Scholar] [CrossRef]
- Woo, K.-S.; Newcombe, G. Absence of Residual Effects of a Defeated Resistance Gene in Poplar. Forest Pathol. 2003, 33, 81–89. [Google Scholar] [CrossRef]
- Darsow, U. Long-Term Results of a Tuber Slice Test for Relative Resistance to Late Blight. Potato Res. 1987, 30, 9–22. [Google Scholar] [CrossRef]
- Jones, J.D.G.; Dangl, J.L. The Plant Immune System. Nature 2006, 444, 323–329. [Google Scholar] [CrossRef] [PubMed]
Disclaimer/Publisher’s Note: The statements, opinions and data contained in all publications are solely those of the individual author(s) and contributor(s) and not of MDPI and/or the editor(s). MDPI and/or the editor(s) disclaim responsibility for any injury to people or property resulting from any ideas, methods, instructions or products referred to in the content. |
© 2023 by the authors. Licensee MDPI, Basel, Switzerland. This article is an open access article distributed under the terms and conditions of the Creative Commons Attribution (CC BY) license (https://creativecommons.org/licenses/by/4.0/).