Next Article in Journal
A CRISPR/Cas9-Based Study of CgloRPCYG, a Gene That Regulates Pathogenicity, Conidial Yield, and Germination in Colletotrichum gloeosporioides
Next Article in Special Issue
Pneumatic Defoliation Enhances Fruit Skin Color and Anthocyanin Pigments in ‘Picnic’ Apples
Previous Article in Journal
Effect of Irrigation Water Salinity on Soil Characteristics and Microbial Communities in Cotton Fields in Southern Xinjiang, China
Previous Article in Special Issue
Photosynthetic Assimilation of the Guava (Psidium guajava) cv. Paluma under Different Pruning and Fruit Thinning Intensities
 
 
Font Type:
Arial Georgia Verdana
Font Size:
Aa Aa Aa
Line Spacing:
Column Width:
Background:
Article

Humic Acid Improves the Resilience to Salinity Stress of Drip-Irrigated Mexican Lime Trees in Saline Clay Soils

1
Citrus Research Department, Horticulture Research Institute, Agricultural Research Center (ARC), Giza 12619, Egypt
2
Agricultural Chemistry Department, Faculty of Agriculture, Mansoura University, Mansoura 35516, Egypt
3
Horticulture Department, Faculty of Desert and Environmental Agriculture, Matrouh University, Matrouh 51511, Egypt
4
Biochemistry Department, Faculty of Agriculture, Zagazig University, Zagazig 44519, Egypt
5
Citrus Research and Education Center, Institute of Food and Agricultural Sciences, University of Florida, Lake Alfred, FL 33850, USA
6
Water Relations and Field Irrigation Department, Agricultural and Biology Research Institute, National Research Center, Giza 12622, Egypt
7
Department of Horticulture, Faculty of Agriculture, Tanta University, Tanta 31527, Egypt
*
Authors to whom correspondence should be addressed.
Agronomy 2023, 13(7), 1680; https://doi.org/10.3390/agronomy13071680
Submission received: 19 May 2023 / Revised: 16 June 2023 / Accepted: 18 June 2023 / Published: 22 June 2023

Abstract

Organic fertilization improves soil fertility and ameliorates the deleterious effects of accumulated salts in soil for sustainable agricultural production. This research was carried out on thirteen-year-old Mexican lime trees to study the effect of humic acid (HA), applied as soil (10, 20 or 30 mL·tree−1) and foliar (0.1 or 0.2%) applications, on soil fertility, tree growth, productivity and fruit quality. The experiment was conducted during the 2020 and 2021 seasons in a randomized complete block design of twelve treatments with three replicates with two trees each. Soil and foliar applications of HA were performed once and twice a month in Marsh, May and July, respectively. HA enhanced the soil’s N, P, K, Ca, Mg, Fe, Mn, Zn, Cu and B availability and microbial activity, in addition to improved tree growth, canopy size, leaf chlorophyll and nutrient contents with reduced proline levels. The total yield and number of fruit per tree were increased with increased HA levels. Fruit weight, juice and soluble solids were also increased. The best results were achieved with the combined soil (30 mL·tree−1) and foliar (0.2%) applications of HA, which indicated a great potential to alleviate the effects of salinity stress on Mexican lime growth and productivity.

1. Introduction

The Mexican lime, Citrus aurantifolia (Christm.) Swingle, family Rutaceae, is also known as acid lime, Key lime, Bartender’s lime, or West Indian lime. Despite its name, it is not native to Mexico but is the most popular lime species there. It is a direct hybrid between citron, Citrus medica, and a wild citrus called Micrantha, Citrus hystrix. The tree is moderately sized and bushy, and the fruits drop when they reach maturity, usually in fall to early winter. Seeds are highly polyembryonic; therefore, seed propagation is still employed in most important producing countries like Mexico, Egypt and India [1,2]. The total world production of lemons and limes was about 8,647,284.9 tonnes in 2021, with the highest production in Mexico (33.7%), Argentina (17.3%), European Union (16.4%), Turkey (14.7%), United States (9.3%), and South Africa (6.8%) [3].
The Mediterranean climate of Egypt is well suited for citrus production. Citrus is the major fruit crop produced in Egypt, followed by mangoes, olives, grapes, and bananas. The total cultivated area of citrus is about 29% of the total fruit-tree cultivated area. The total cultivated area of lemons and limes is about 13,592 ha, with a total annual production of 319,054 tonnes and; an average yield of 23.47 t·ha−1 during 2021. Mexican lime is the primary lime cultivar mainly cultivated in newly reclaimed lands [4,5,6]. Egypt ranked 14th among the world’s top producers (3.7%) and 13th among the world’s top exporters (1.2%), with a total annual income of $45.7 million in 2021. The three main destinations of the Egyptian Mexican lime are Saudi Arabia, Jordan, and Russia [7].
The global citrus industry, in general, faces various abiotic challenges, mainly high temperature [8], water deficiency and high salinity, which affect plant growth, development and productivity, and hence limit the distribution and the economic yield of various citrus species, including Mexican lime, which characterized by high water demand and acute sensitivity to salinity [9]. The current incident of global warming, along with drought, is a potential reason for elevated levels of soil salinity in the future [10], particularly in arid and semi-arid regions [11] like Egypt. Soil salinity is dramatically increasing worldwide due to high evaporation level, low rainfall, inadequate irrigation, irrigation with saline water, excessive application of mineral fertilizers, and poor drainage system [12,13]. Salt-affected soils are one of the most important environmental factors that limit citrus growth and productivity [14]. High levels of salts mainly chloride (Cl), calcium sulfate (CaSO4), magnesium (Mg+) and sodium (Na+), cannot be tolerated by most plants [15]. In addition, microbial growth and activity were negatively affected by soil salinity due to salt toxicity and decreased water availability that limit energy substrate availability for microorganisms [16]. Salinity induces cell damage and inhibits plant growth [17] due to the nutritional imbalance caused by osmotic stress or ionic stress [18]. Salinity leads to the production of reactive oxygen species (ROS), which negatively affect plant metabolism through the oxidative damage of lipids, proteins, and nucleic acids [19]. Salinity lowers leaf’s chlorophyll content, net carbon dioxide (CO2) assimilation, stomatal conductance, transpiration and water potential, as well as the root’s hydraulic conductivity, evapotranspiration, nitrogen (N) use efficiency, resulting in reduced root dry weight and density, and hence reduced water use efficiency, shoot elongation, relative growth rate, shoot: root ratio, leaf area, and total yield (mainly due to the reduced number of fruit rather than reduced fruit weight) [20,21,22,23]. However, the severity of salinity impacts on citrus trees’ growth and productivity depends on citrus species [24] and salinity level [24].
In Egypt, water scarcity is becoming a recent problem and may become a limiting factor of the overall fruit industry in the future due to limited water resources (i.e., the Nile River is the only source of irrigation) and scanty rainfall. Under such conditions, there is a need to reduce agricultural water demand and increase the economic productivity of water, but one of the major problems is elevated soil salinity [25], particularly in the North Delta area (i.e., clay soils close to the Mediterranean sea) where soil salinity is naturally high. Moreover, the rivers in arid and semi-arid regions tend to become progressively saline from their headwaters to their mouths, and excess salinity within the root zone reduces plant growth [26]. Improving on-farm management of agricultural water through the utilization of advanced irrigation technology (e.g., drip irrigation) and improved irrigation scheduling offers the prospect of a significant increase in water productivity [27]. However, in salt-affected clay soils, the shift from traditional flood irrigation systems to drip irrigation resulted in increased soil salinity [28], particularly with the small rainfall percentage and inadequate drainage system, which are insufficient to leach away the accumulated salts [26].
Under such conditions, to ameliorate the deleterious effects of salt stress on citrus trees in order to improve plant growth and productivity, the use of biostimulants has become a common practice that provides a number of benefits against drought and salinity stresses [29,30]. A biostimulant is an organic material or microorganism that is applied to enhance nutrient uptakes, stimulate growth, induce stress tolerance and improve fruit quality [27]. They include diverse substances such as humic substances, compost tea, seaweed extracts, free amino acids and plant extracts [31]. Humic substances are the end products of microbial decomposition and chemical degradation of dead biota in soils [32]. They considered the most abundant naturally occurring organic molecules on earth [33] and the major components of soil organic matter [34] that play a key role in various soil and plant functions [35], such as controlling nutrient availability, carbon (C) and oxygen (O) exchange between soil and the atmosphere, and the transformation and transport of toxic chemicals [36], in addition to their impact on plant physiology and the composition and function of the rhizosphere microorganisms [37]. Humic substances include humic acid (HA), fulvic acid, and humins [35].
Humic acid is the active constituent of organic humus. It is not considered a fertilizer; instead, it is used as a soil conditioner or as a plant biostimulant that effectively improves plant growth and productivity through enormous beneficial effects on soil and plant attributes [38]. It improves the physical, chemical and biological properties of the soil [39,40]. The application of HA in saline soils resulted in reduced electrical conductivity (EC) [41], improved soil structure and physical properties, promoted nutrient availability [42], and enhanced tolerance of salt-stressed date palm [43], Valencia orange [44] and Balady mandarin [45]. Humic acid directly and indirectly affects plant growth and development [46]. It stimulates enzymes in many biological processes; enhances plant resistance to biotic stress; improves stomatal conductance, transpiration rate, chlorophyll synthesis and photosynthesis rate; promotes sugars and amino acids metabolism; and increases cell wall thickness prolonging fruit storage period [47,48,49,50]. The humic acid application also induced nutrient uptakes and enhanced the vegetative growth, flowering and fruiting characteristics of papaya [51]. However, the action of HA is dose-dependent; for instance, high concentrations are inhibitory for nutrient accumulation [52]. The application of HA also increased leaf phosphorus (P) content in the ‘Florida Prince’ peach trees [48]. Humic acid improved shoot length and diameter; leaf area; fruit weight, dimensions, firmness, anthocyanin content, total soluble solids (TSS) and TSS: acid ratio; and decreased the percentage of fruit drop and acidity in the ‘Anna’ apple trees [53]. Positive correlations between fruit yield and leaf nutrient contents were noticed with the application of HA on the ‘Red Delicious’ apple trees [54]. Humic acid increased fruit TSS and total sugars but reduced the acidity of the ‘Ewais’ mango [55].
Most of the previous reports have focused on plant response to soil or foliar applications of HA against environmental stresses. To the best of the authors’ knowledge, there are a few reports that have shed light on the combined soil and foliar HA applications on sandy-soil-grown non-stressed apricot trees [56] and sandy-soil grown salt-stressed one-year-old peach and apricot seedlings [57]. Therefore, this is considered the first report to evaluate the synergetic effects of soil and foliar HA applications on soil characteristics, tree growth, productivity, and fruit quality of salt-stressed Mexican lime trees subjected to drip irrigation in saline clay soils under the Egyptian semi-arid conditions.

2. Materials and Methods

2.1. Experimental Site

This study was carried out on 13-year-old Mexican lime (Citrus aurantifolia Swingle) trees budded on sour orange (Citrus aurantium L.) rootstocks, planted at 5 × 5 m spacing in a private orchard located at Baltim, Kafr El-Sheikh, Egypt (31°35′47″ N, 31°6′37″ E, zero m elevation above sea level, 9.5 km away from the Mediterranean sea) during the 2020 and 2021 seasons. The weather data of the experimental site [58] are displayed in Table 1.

2.2. Soil and Water Analysis

Soil samples were randomly collected from the top 60 cm zone of the soil for physical and chemical analyses. Soil particles were classified into sand, silt and clay [59], and hence soil type was determined. The percentage of soil organic matter was also determined [60]. A 2 mm stainless-steel test sieve (Fisher Scientific, Waltham, MA, USA) was used to filter soil samples, which were subsequently saturated with distilled water, and a saturated extract was then obtained using a vacuum pump (12 cfm) (VEVOR Equipment and Tools, Rancho Cucamonga, CA, USA) [61]. The EC and potential of hydrogen ions (pH) of the saturated extract were measured using a portable EC meter Model DDB-11A (Anhui Haochuang Instrument Co., Ltd., Wuhu, China) and a benchtop pH meter Model STAR A111 (Thermo Fisher Scientific, Waltham, MA, USA), respectively, and then sodium absorption ratio (SAR) was calculated. Both calcium (Ca) and Mg were evaluated in the saturated extract using a complexometric titration analysis in the presence of Ethylene diamine tetra acetic acid (EDTA), but the flame photometer Model FP8400 (Kruss Optronic, Hamburg, Germany) was used to assess Na concentration [62]. The same extract was used to determine soil-soluble anions like carbonate (CO3), bicarbonate (HCO3), sulfate (SO4) and Cl [63]; cations like P, potassium (K), iron (Fe), manganese (Mn) and zinc (Zn); and N [64]. The Nile River was the source of irrigation, and water samples were also collected for analysis [65]. Soil and water analysis data are displayed in Table 2.

2.3. Experimental Design

Seventy-two trees planted at 5 × 5 m spacing in clay soil, similar in size and vigor with no symptoms of nutrient deficiency, were selected for this experiment and distributed in a randomized complete block design (RCBD) of twelve treatments with three replicates each. Two trees represented each replicate. Two lateral lines of drip irrigation pipes were provided on both sides of each tree row at a distance of 50 cm away from the tree trunk, with 4 drippers on each side of the tree (8 drippers·tree−1). Drippers were set to operate manually at a slow rate (4 L·h−1) to minimize water loss. The total amount of water is differed based on weather conditions (i.e., temperature, humidity, etc.) and the growth stage of the trees (i.e., shoot growth, flowering, and fruiting) throughout the season, as presented in Table 3. Trees reached the full bloom and full fruit set stages during the period of 12–13 and 29–30 of April in both seasons, respectively.
The selected trees were also subjected to the same cultural practices as the entire orchard. For instance, the annual fertilization program included superphosphate (CaH6O8P22+) [37% P, 0.5 kg·tree1) applied in the December–January period; ammonium sulphate ((NH4)2SO4) [20.5% N, 4.5 kg·tree1] applied three times in February, May and June; and potassium sulfate (K2SO4) [43% K, 1.25 kg·tree1] applied twice in March and June. The selected trees were treated with soil-added humic acid (SHA) [mL·tree1]; foliarly sprayed humic acid (FHA) [%], or their combination (SHA + FHA), as follows: T1 (no SHA + foliarly sprayed distilled water) [control]; T2 (10 mL·tree−1 SHA); T3 (20 mL·tree−1 SHA); T4 (30 mL·tree−1 SHA); T5 (0.1% FHA); T6 (0.2% FHA); T7 (10 mL·tree−1 SHA + 0.1% FHA); T8 (10 mL·tree−1 SHA + 0.2% FHA); T9 (20 mL·tree−1 SHA + 0.1% FHA); T10 (20 mL·tree−1 SHA + 0.2% FHA); T11 (30 mL·tree−1 SHA + 0.1% FHA); and T12 (30 mL·tree−1 SHA + 0.2% FHA). SHA and FHA were respectively applied once and twice a month in Marsh, May and July of each season. Actosol was the source of HA (20% HA and 10% NPK [1:5:6]) (The Egyptian-American Company, Cairo, Egypt). Tween 20 was used as a surfactant with FHA. All other used chemicals in this experiment were imported from Sigma Aldrich, St. Louis, MO, USA.

2.4. Studied Parameters

2.4.1. Vegetative Growth

Four branches of spring growth were randomly selected on each tree per replicate. Branches were selected in four different directions (i.e., North [N], East [E], South [S], West [W]) and tagged to evaluate growth parameters, i.e., shoot length (cm) and number of leaves per branch. Twenty mature mid-branch leaves were sampled from all four branches (5 leaves each) to determine leaf area (cm2) using a leaf area meter Model Li 3100 (LI-COR Inc., Lincoln, NE, USA). By the end of the growing season in September, tree height (m) and canopy diameter (m) were measured using a wind-up measuring tape (10 m) (Fisher Scientific, Waltham, MA, USA), and hence canopy volume (m3) of each tree was calculated according to the following equation; 0.5238 × tree height × canopy diameter2 [66].

2.4.2. Leaf Analysis

Fully mature leaf samples were randomly collected from the middle section of non-fruiting shoots at the four sides (N, E, S, W) of the tree, by mid-September of each season to evaluate chlorophyll (C55H72O5N4Mg) content (i.e., a, b, total) in different sections at the middle of the leaf blade [67]. N,N-dimethylformamide (DMF) was used to extract chlorophyll, and the absorbance of the extract was measured at 663 nm for chlorophyll ‘a’ and 646 nm for chlorophyll ‘b’ using a UV/Vis spectrophotometer, Model UV-9100-B (LabTech Inc., Hopkinton, MA, USA), and then total chlorophyll content was calculated [68], and values were expressed in μg·cm–2 of leaf fresh weight (fw).
The leaf proline (C5H9NO2) concentration was determined by homogenizing a fresh leaf sample (0.5 g) with 3 mL sulfosalicylic acid (C7H6O6S) [3% w/v] using a porcelain mortar and pestle set (Fisher Scientific, Waltham, MA, USA), and then the mixture was centrifuged at 18,000× g for 15 min using a benchtop general purpose centrifuge Model Allegra V-15R (Beckman Coulter Life Sciences, Indianapolis, IN, USA). Afterwards, the supernatant (1 mL) was mixed with 2 mL glacial acetic acid (CH3COOH) and 2 mL freshly made acid ninhydrin reagent (1.25 g ninhydrin (C9H6O4) dissolved in 30 mL glacial acetic acid and 20 mL orthophosphate (PO43−) [6 M] in a test tube (Thermo Fisher Scientific, Waltham, MA, USA). The tubes were incubated in a ‘PrecisionTM General Purpose’ water bath (Thermo Fisher Scientific, Waltham, MA, USA) at 100 °C for 1 h and then left to cool at room temperature (≈22–23 °C) for 24 h. Subsequently, the solution was mixed with toluene (C6H5CH3) [4 mL] using a Vortex-Genie 1 mixer (Scientific Industries, Inc., Bohemia, NY, USA) for 20 s. To allow the toluene and the aqueous phase to separate, the tubes were left in upright position for at least 10 min, and then the toluene phase was carefully pipetted out into a cuvette, and the absorbance was measured at 520 nm using a spectrophotometer Model UV-120-20 (Shimadzu Corp., Kyoto, Japan). Eventually, a proline standard curve was used to calculate the proline concentration as µmole·g−1 fw [69].
To determine the content of macro and micronutrients, leaf samples were collected and dried at 65 °C for 72 h until reaching a constant weight using a bench-top Heratherm GP oven (Thermo Fisher Scientific, Waltham, MA, USA). Dried leaves were then pulverized using the mortar and pestle set, and the powder was digested with concentrated sulfuric acid (H2SO4) and hydrogen peroxide (H2O2) [70]. The produced solution was used to determine total N and P colorimetrically using the spectrophotometer Model UV-120-20 (Shimadzu Corp., Kyoto, Japan) [71,72]. Potassium concentration was determined using the flame photometer [73]. The contents of Ca, Mg [74], Fe, Zn, Mn [75], copper (Cu), and boron (B) [65] were also determined using atomic absorption spectrophotometer Model AA990 (PG Scientific, Inc., Auburn, CA, USA). All values of macro and micronutrients were expressed as a percentage (%) and mg·g1 per dry weight (dw) of leaves, respectively.

2.4.3. Yield and Fruit Characteristics

Harvest season started by September 17 and 23 in the 2020 and 2021 seasons (≈154 and 161 days from full bloom), respectively, when fruit reached the horticultural maturity (light green color stage and total acidity [TA] = 8 ± 0.16%) per the consumer preference [76,77]. Fruit yield was recorded as total weight (kg) and number of fruit per tree. Total weight was recorded using a regular digital scale (200 kg capacity) (VEVOR Equipment and Tools, Rancho Cucamonga, CA, USA).
A sample of 15 ripe fruits was randomly selected from the four directions (N, E, S, and W) and three levels (top, medium, and bottom; ≈ 50 cm apart) of each tree to calculate average fruit weight and volume. Fruit weight (g) was measured using a bench-top digital scale Model PC-500 (Doran Scales, Inc., Batavia, IL, USA). Average fruit volume (cm3) was determined using the water displacement method in a one-liter gradual cylinder (Fisher Scientific, Waltham, MA, USA) [78]. Average fruit firmness (Newton) was measured on two sides of the fruit using a hand-held Shimpo digital force gauge, Model FGV-50XY fitted with 10 mm diameter plunger tip (Shimpo Company, Wilmington, NC, USA) [79]. The fruits were then squeezed, and juice content, as the average juice weight, was calculated as a percentage of juice per fruit.
Soluble solid contents (SSC) of the juice were estimated as a percentage at room temperature (≈22–23 °C) using a Model RA-130 hand-held refractometer (KEM Kyoto Electronics Manufacturing Co., Ltd., Tokyo, Japan). The percentage of total acidity (TA) [g citric acid·100 mL−1 juice] was determined by the titration method of sodium hydroxide (NaOH) [0.1 N] with phenolphthalein (C20H14O4), as an indicator, and then SSC: TA ratio was calculated. Fruit ascorbic acid (C6H8O) [vitamin C] content (mg·100 mL−1 juice) was determined by titrating 5 mL of juice with 2,6-Dichlorophenol indophenol (C12H7Cl2NO2) [80].

2.4.4. Soil Nutrient Contents and Microorganisms

By the end of the two-season experiment in late September 2021, soil samples were randomly collected at a depth of 0–60 cm under the drippers to determine soil N, P, K, Fe, Mn and Zn contents [64] and values were expressed in mg·kg−1 of soil dw. The soil particles in the rhizosphere zone were collected, air-dried and grounded. A sample of 10 g was mixed with 90 mL sterilized distilled water (H2O) in a 250 mL Erlenmeyer flask (Thermo Fisher Scientific, Waltham, MA, USA) and thoroughly shaken using a benchtop orbital shaker Model Solaris 2000 (Thermo Fisher Scientific, Waltham, MA, USA) at 100 rpm for 10 min at room temperature (≈22–23 °C). Subsequently, the soil solution was serially diluted up to 106 colony-forming units per ml (CFU·ml−1) dilutions with distilled water [81,82], and then 1 mL of 104, 105 and 106 CFU·ml−1 dilutions were plated on Potato Dextrose Agar (PDA) in Sterilin Standard 90 mm Petri dishes (Thermo Fisher Scientific, Waltham, MA, USA) using a sterilized Driglasky glass triangle. Plates were then incubated at 28 ± 2 °C for 2–3 days using Heratherm microbiological incubator (Thermo Fisher Scientific, Waltham, MA, USA), and plates were examined daily for the growth of microorganisms [83,84]. The most prominent enumerated colonies were noticed on plates inoculated by 105 CFU·mL−1 dilution for 2 days in terms of fungi and bacteria, but 3 days for yeast. The number of colonies of each group (i.e., fungi, bacteria, yeast) were counted and multiplied by the dilution factor and expressed as the CFU per gram of dry soil weight (CFU·g−1 dw) [85].

2.5. Statistical Analysis

Data were preliminary tested for numerical normality and homogeneity of variance using the Shapiro–Wilk and Levene tests, respectively. Data calculated as percentages were first transformed to the Arcsine square root values before performing the analysis of variance (ANOVA), and results were presented as back-transformed means. The ANOVA was performed using the CoStat software package, version 6.311 (CoHort software, Monterey, CA, USA). Mean comparisons were conducted using Tukey’s honestly significant difference (HSD) test at probability (p) ≤ 0.05 [86]. The score and loading plot for soil, plant and fruit characteristics were generated using a principal component analysis (PCA) [87]. The two-way hierarchical cluster analysis (HCA) and heat map were generated using the means of the data matrices [88]. Both PCA and HCA were performed using JMP Pro 16 (SAS Institute, Cary, NC, USA).

3. Results

3.1. Soil Nutrient Contents and Microorganisms

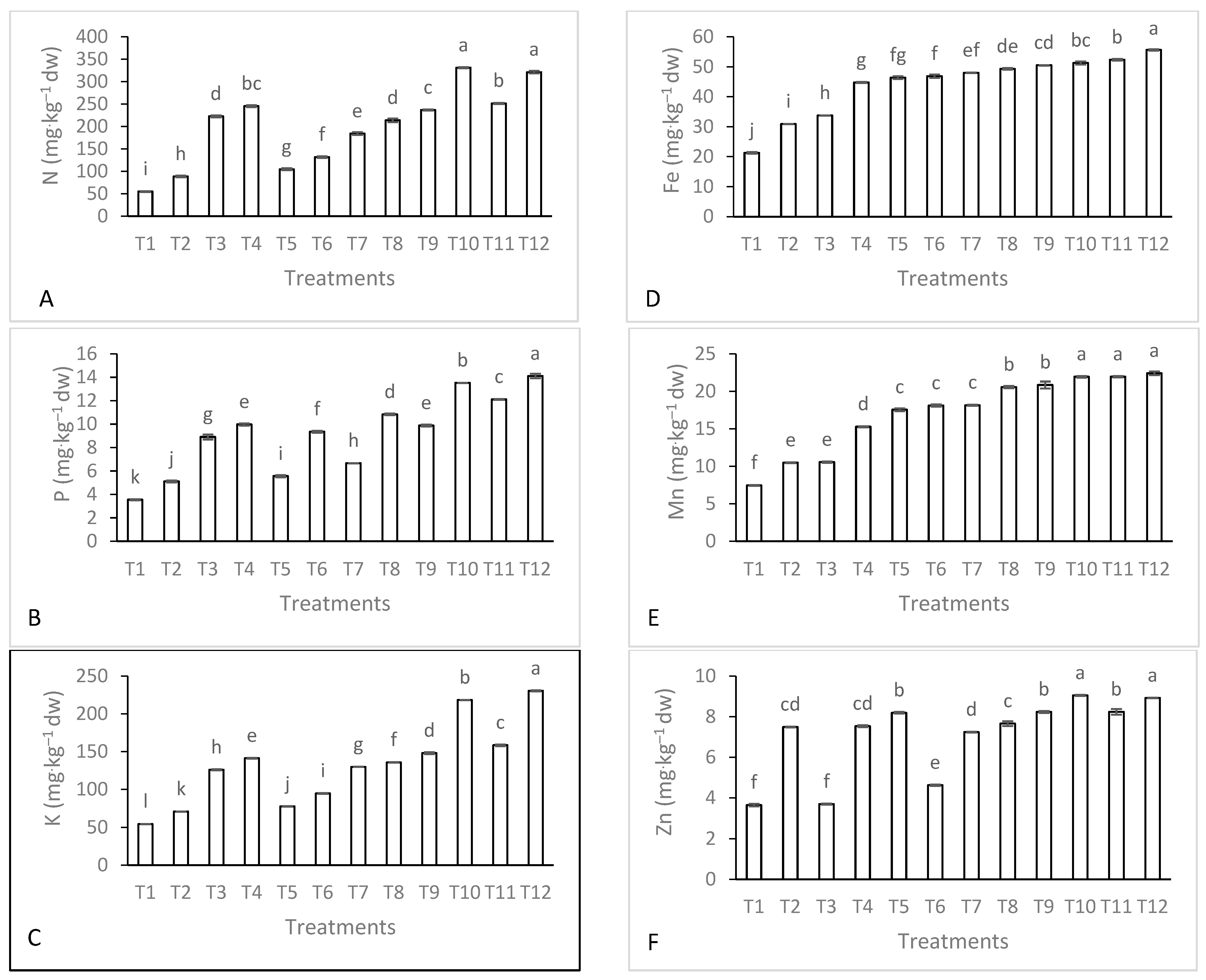
Soil analysis after the two-year experiment revealed the beneficial effect of HA application on nutrients availability in comparison to the control (Figure 1). All treatments significantly improved the levels of macronutrients (e.g., N, P, K) (Figure 1A–C) and micronutrients (e.g., Fe, Mn, Zn) (Figure 1D–F), with the only exception noticed for T3 (20 mL·tree−1 SHA) effect on Zn content compared to the control. The most pronounced effect on P, K and Fe was noticed with the highest concentrations of both SHA and FHA (T12: 30 mL·tree−1 + 0.2%). The application of T10 (20 mL·tree−1 + 0.2%) was ranked the second in its effect on both P and K, but T11 (30 mL·tree−1 + 0.1%) was the second most effective treatment on Fe, although the difference was insignificant compared to T10. A similar effect for both T10 and T12 was noticed on N and Zn. With regard to Mn, T10, T11, and T12 were insignificantly different. In general, SHA was more effective than FHA on N, P and K, whereas less of an effect was noticed on Fe and Mn contents.
Soil analysis has also revealed that the highest number of microorganism colonies was recorded with the combined application of T10 (20 mL·tree−1 SHA + 0.2% FHA) (Figure 2). Compared to T10, an insignificant difference was noticed in both bacteria and yeast with the application of T12 (30 mL·tree−1 SHA + 0.2% FHA), whereas the difference was significant with regard to fungi. In addition, SHA (i.e., T3 [20 mL·tree−1], T4 [30 mL·tree−1]) was more effective than FHA (i.e., T5 [0.1%], T6 [0.2%]) on all three microorganisms, except the difference between T4 and T6 in terms of yeast. Soil samples from the control blocks (T1) recorded the lowest soil microorganism contents compared to all other treatments, except for fungi and yeast counts in T5.

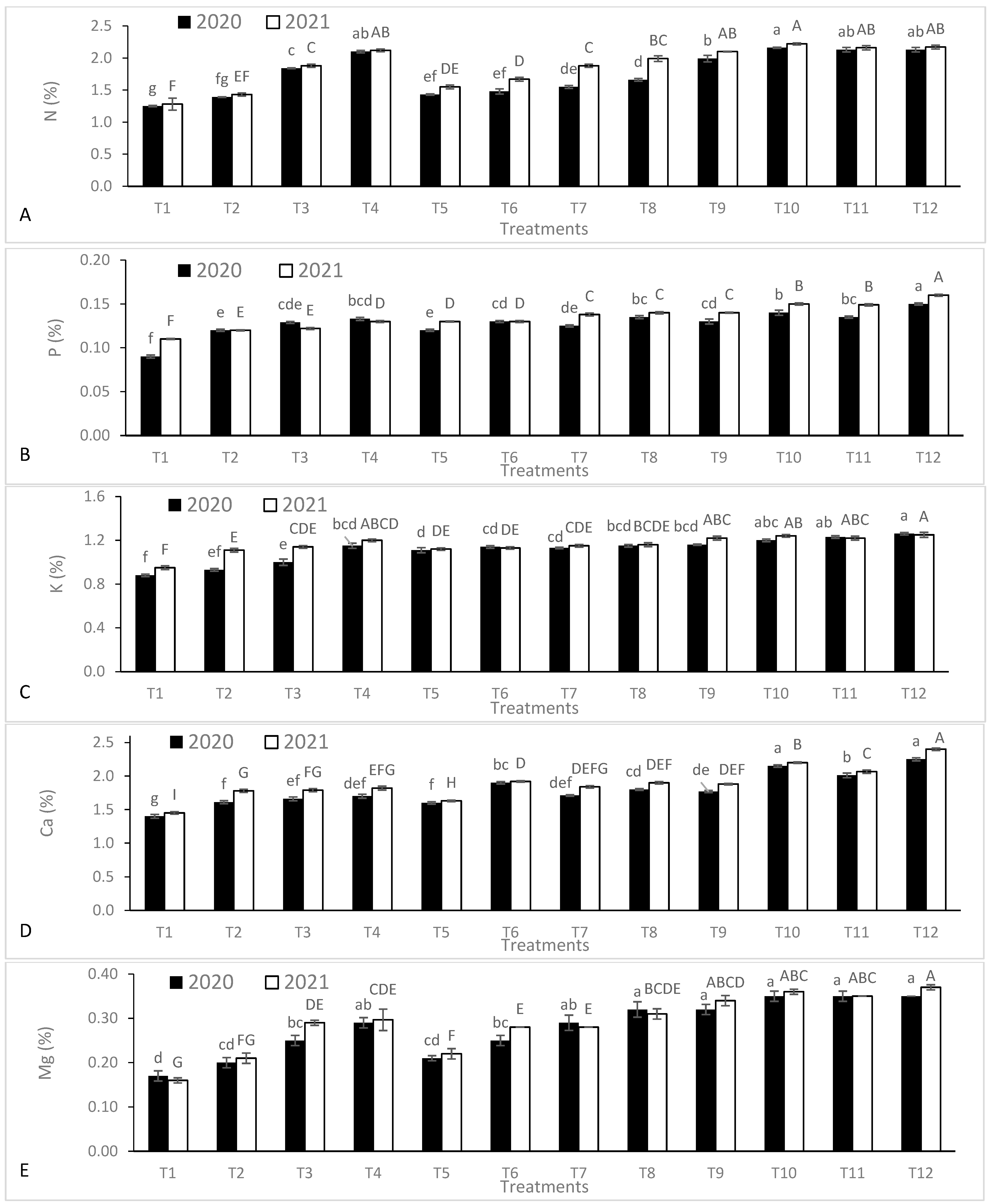
3.2. Leaf Nutrient Contents

Leaf analysis indicated that all treatments have improved macronutrient contents compared to the control of the Mexican lime trees under salinity conditions during both seasons (Figure 3). There are actually variations in the response of each component to the treatments. For instance, N content positively increased with the medium and high concentrations of SHA (i.e., T3 [20 mL·tree−1] and T4 [30 mL·tree−1], respectively) when compared to both FHA treatments (i.e., T5 [0.1%] and T6 [0.2%]) in both seasons (Figure 3A). The combined application of SHA and FHA (particularly T9 [20 mL·tree−1 + 0.1%], T10 [20 mL·tree−1 + 0.2%], T11 [30 mL·tree−1 + 0.1%] and T12 [30 mL·tree−1 + 0.2%]) positively increased N concentration compared to the control and all other treatments. However, the difference was insignificant compared to T4 in both seasons, but only T9, T11 and T12 were insignificantly different compared to T8 [10 mL·tree−1 + 0.2%] in the 2021 season only.
A significant increase in P was recorded for FHA (i.e., T6 [0.2%]) compared to SHA (i.e., T2 [10 mL·tree−1]) in both seasons (Figure 3B). Overall, P levels positively improved with the combined application of SHA and FHA, but the most pronounced effect during both seasons was recorded for T12 (30 mL·tree−1 SHA + 0.2% FHA) compared to all other treatments and the control (T1). No specific differences were noticed in the K levels between SHA and FHA in both seasons (Figure 3C). The most pronounced effect of the combined treatments was recorded for T12, although the difference was insignificant compared to T10 (20 mL·tree−1 SHA + 0.2% FHA) and T11 (30 mL·tree−1 SHA + 0.1% FHA) during both seasons.
Calcium levels in FHA (i.e., T6 [0.2%])-treated Mexican lime trees were significantly higher than that of T5 (0.1%), all SHA-treated trees (T2 [10 mL·tree−1], T3 [20 mL·tree−1], T4 [30 mL·tree−1]), and the control (T1) during both seasons (Figure 3D). The combined application of SHA and FHA has shown a conspicuous effect on Ca levels in T10 (20 mL·tree−1 SHA + 0.2% FHA), T11 (30 mL·tree−1 SHA + 0.1% FHA) and T12 (30 mL·tree−1 SHA + 0.2% FHA)-treated trees during both seasons compared to the control and all other treatments, except for the difference between T6 (0.2% FHA) and T11 during the first season only. Magnesium concentration did not show a specific trend in response to SHA or FHA, but the combined applications generally improved Mg levels with the highest values recorded for T12, although the difference was insignificant compared to T9 (20 mL·tree−1 SHA + 0.1% FHA), T10 and T11 in both seasons (Figure 3E).
All treatments improved leaf micronutrient contents (Figure 4) compared to the control (T1); however, the difference was insignificant between T1 and T2 (10 mL·tree−1 SHA) during the 2021 season in terms of Fe (Figure 4A) and Zn (Figure 4C), and between T1 and all SHA treatments (i.e., T2 [10 mL·tree−1], T3 [20 mL·tree−1] and T4 [30 mL·tree−1]) during both seasons in terms of Mn (Figure 4B), as well as between T1 and T5 (0.1% FHA) during 2020 season in terms of Cu (Figure 4D). Leaf analysis revealed that FHA (i.e., T6 [0.2%]) was more effective than all SHA treatments (i.e., T2, T3, T4) on Fe (Figure 4A) and Zn concentrations (Figure 4C) in both seasons. With regard to Cu concentration, T6 (0.2% FHA) was less effective compared to SHA treatments (i.e., T3 [20 mL·tree−1] and T4 [30 mL·tree−1]). Similarly, FHA (i.e., T5 [0.1%]) was less effective on Cu when compared to all SHA treatments (i.e., T2, T3, T4) in both seasons (Figure 4D). Both T5 and T6 significantly improved B concentration compared to T2 only during both seasons (Figure 4E).
The combined applications of SHA and FHA have shown the best effect on Fe content with the application of T12 (30 mL·tree−1 + 0.2%) compared to all other treatments and the control (T1), although the difference was insignificant compared to T10 (20 mL·tree−1 + 0.2%) and T11 (30 mL·tree−1 + 0.1%) in both seasons (Figure 4A). There were no significant effects among all treatments of SHA (i.e., T2–T4), FHA (i.e., T5, T6) or the combinations (i.e., T7–T12) on Mn content during both seasons (Figure 4B). The most remarkable effect on Zn content during both seasons was recorded for T12, although the difference was insignificant compared to T10 during the 2021 season (Figure 4C). However, T10 was the most effective treatment on Cu content, particularly during the second season (Figure 4D). Both T10 and T12 recorded the top B values over other treatments and the control (T1) in both seasons (Figure 4E).

3.3. Leaf Chlorophyll and Proline Contents

As an indication of plant growth status, chlorophyll has been significantly improved in response to SHA (T2 [10 mL·tree−1], T3 [20 mL·tree−1] and T4 [30 mL·tree−1]), compared to FHA (T5 [0.1%] and T6 [0.2%]) and T1 (the control) in both seasons (Figure 5A–C). The combined application of SHA and FHA (i.e., T10 [20 mL·tree−1 + 0.2%], T11 [30 mL·tree−1 + 0.1%], T12 [30 mL·tree−1 + 0.2%]) tremendously improved chlorophyll a (Figure 5A) and total chlorophyll (Figure 5C) content over the sole application of SHA (i.e., T2, T3, T4) or FHA (i.e., T5, T6) in both seasons. A similar effect was recorded on chlorophyll b (Figure 5B), but the difference between T10 and T4 was insignificant during the first season.
As a result, the higher the chlorophyll content was, the lower the proline content was (Figure 5D), which indicates less stressed trees in T10, T11 and T12 in comparison to the sole use of SHA (T2, T3 and T4) or FHA (T5 and T6). No significant difference in proline content between SHA and FHA treatments. Control (T1) recorded the highest proline content in both seasons.

3.4. Vegetative Growth

The vegetative growth of Mexican lime trees was positively improved with all SHA (i.e., T2–T4), FHA (i.e., T5, T6) and their combination (i.e., T7–T12) treatments in comparison to the control (T1) during the 2020 and 2021 seasons (Figure 6). Trees subjected to T4 (30 mL·tree−1 SHA) showed a significant improvement in shoot length (Figure 6A), and hence canopy volume (Figure 6D) over other SHA (i.e. T2 [10 mL·tree−1], T3 [20 mL·tree−1]) and FHA (i.e., T5 [0.1%], T6 [0.2%])-treated trees during both seasons. This effect for T4 was only noticeable compared to T2 and T5 in terms of the number of leaves per shoot during both seasons (Figure 6B). However, T4 showed a similar leaf area as T5 in both seasons, but a smaller leaf area than T6, and bigger leaf area than T2 and T3, respectively, during the first season only (Figure 6C).
The combined application of SHA and FHA showed a positive effect on the vegetative growth parameters of Mexican lime trees, particularly with the application of T10 (20 mL·tree−1 + 0.2%), T11 (30 mL·tree−1 + 0.1%) and T12 (30 mL·tree−1 + 0.2%), compared to the sole use of SHA or FHA (Figure 6). The most pronounced effect in this regard was recorded for T12, except for leaf area, where the differences among T10, T11 and T12 were insignificant in both seasons (Figure 6C).

3.5. Yield and Fruit Quality

Salt-stressed Mexican lime control trees (T1) recorded the lowest yield in terms of weight and number of fruit per tree during the 2020 and 2021 seasons (Figure 7A,B). The application of T6 (0.2% FHA) significantly improved total yield (kg·tree-1) over T5 (0.1% FHA) and other SHA (i.e., T3 [20 mL·tree−1 SHA], T4 [30 mL·tree−1 SHA]) during the 2020 season only, whereas the effect on T2 (10 mL·tree−1 SHA) was significant during both seasons (Figure 7A). However, T6 significantly improved the number of fruit per tree over T5 and all SHA treatments (i.e., T2–T4) in both seasons (Figure 7B). The combined SHA and FHA applications indicated that both T10 (20 mL·tree−1 + 0.2%) and T12 (30 mL·tree−1 + 0.2%) recorded the highest total yield (kg·tree-1) in both seasons, except when compared with T11 (30 mL·tree−1 + 0.1%) during the 2021 season only (Figure 7A). The most pronounced effect on the number of fruit per tree was referred to T12, followed by T10, although the difference was insignificant between both treatments and T11 during the 2020 season only (Figure 7B).
Likewise, control trees (T1) recorded the lowest fruit quality compared to all treatments in both seasons (Figure 8). FHA-treated trees (i.e., T6 [0.2%]) recorded the highest fruit volume (Figure 8B), and hence juice percentage (Figure 8D) over T5 (0.1%) and all SHA treatments (i.e., T2 [10 mL·tree−1], T3 [20 mL·tree−1], T4 [30 mL·tree−1]) during both seasons. The most pronounced effect for the combined applications of SHA and FHA on fruit weight (Figure 8A) was referred to T12 (30 mL·tree−1 + 0.2%), followed by T10 (20 mL·tree−1 + 0.2%), but the difference between both treatments was insignificant in both seasons. The difference between both treatments was only significant in fruit volume during the 2020 season only (Figure 8B); however, they were significantly different, in terms of juice percentage during both seasons (Figure 8D). No specific differences were recorded among the combined treatments on fruit firmness, although T12 significantly improved firmness compared to the sole application of SHA (i.e., T2, T3, T4) during the second season only, and FHA (i.e., T5, T6) in both seasons (Figure 8C).
Fruit chemical characteristics indicated a significant effect for all treatments over the control (T1) during both seasons (Figure 9). Trees subjected to T6 (0.2% FHA) showed a significant improvement in SSC over T5 (0.1% FHA) and all SHA treatments (i.e., T2 [10 mL·tree−1], T3 [20 mL·tree−1], T4 [30 mL·tree−1]) during both seasons (Figure 9A). A similar effect was recorded on SSC: TA ratio, although the difference was insignificant compared to T4 (30 mL·tree−1 SHA) (Figure 9C). However, both FHA treatments recorded lower values of vitamin C, compared to all SHA treatments, although the difference was insignificant compared to T2 (10 mL·tree−1) and T3 (20 mL·tree−1) during the 2021 season only (Figure 9D). The combined applications of SHA and FHA indicated a pronounced effect for T12 (30 mL·tree−1 + 0.2%), followed by T10 (20 mL·tree−1 + 0.2%) on SSC (Figure 9A) and SSC: TA ratio (Figure 9C) in both seasons. Total acidity levels were the lowest in T12; however, the difference was insignificant compared to T11 (30 mL·tree−1 + 0.1%) in the 2020 season and T10 in both seasons (Figure 9B). The most remarkable effect on vitamin C was recorded for T12, followed by a similar effect for both T11 and T10 (Figure 9D).

3.6. PCA and HCA

The goal of using PCA and HCA was to obtain a broader picture of the effect of SHA, FHA and their combinations on the Mexican lime tree growth and productivity under such environmental conditions. With regard to the PCA (Figure 10), the score plot showed that all treatments were different from the control affecting plant and fruit characteristics during both seasons (Figure 10A,B), as well as soil characteristics by the end of the two-season experiment (Figure 10C); however, the most pronounced effect on all studied tree characteristics, except leaf proline and fruit acidity, was recorded for T12 (30 mL·tree−1 SHA + 0.2% FHA) and T10 (20 mL·tree−1 SHA+ 0.2% FHA) followed by T11 (30 mL·tree−1 SHA + 0.1% FHA), whereas soil characteristics were mostly related to a slight effect of T12 and T10 by the end of the two seasons (Figure 10C). Principal components 1 and 2 accounted for 92.48, 92.40 and 90.40% of the total variance in the 2020 and 2021 seasons and by the end of the two-season experiment (Figure 10A–C), respectively.
Likewise, the cluster analysis (HCA) (Figure 11) indicated three different groups of the treatments, with T10 (20 mL·tree−1 SHA + 0.2% FHA), T11 (30 mL·tree−1 SHA + 0.1% FHA)) and T12 (30 mL·tree−1 SHA + 0.2% FHA)) (group 3) as the most effective treatments on all studied parameters, except leaf proline and fruit acidity during both seasons (Figure 11A,B). The control (T1) was represented by a separate group, (group 1), in the 2021 season only (Figure 11B). Soil characteristics by the end of the two-season experiment were mostly affected by T10 and T12 (group 3), which confirmed the PCA results (Figure 10C). The heat map of the HCA showed that the control [T1] (group 1) recorded the minimum values in all studied tree characteristics, except leaf proline and fruit acidity, during the 2020 and 2021 seasons (Figure 11A,B), as well as soil characteristics by the end of the two-season experiment in 2021, which confirm the previous results in Figure 1, Figure 2, Figure 3, Figure 4, Figure 5, Figure 6, Figure 7, Figure 8 and Figure 9. Group 2 of the heat map also revealed a better effect than the control but was still less effective compared to other treatments in group 3, indicating that the sole application of SHA or FHA was not that effective compared to their combinations on tree and fruit characteristics in both seasons (Figure 11A,B), as well as soil characteristics by the end of the two-season experiment (Figure 11C).

4. Discussion

Water scarcity is a major global problem that requires reducing the agricultural water demand and increasing the economic productivity of water to save water for human use [89]. One of the resulting major problems is elevated soil salinity [25], particularly when soil salinity is naturally high, and rainfall percentage is low [26]. Therefore, the use of some modern techniques, such as plant biostimulants (i.e., HA), can play an important role in inducing the plant’s ability to withstand adverse stress conditions, thereby improving plant growth and productivity [29,30,31]. The results of the present study have shown the pronounced effect of HA on soil fertility (Figure 1) and microflora (Figure 2), which in turn have been reflected in overall plant growth, productivity, and fruit quality (Figure 6, Figure 7, Figure 8 and Figure 9). The most pronounced effect on most studied parameters was recorded for T12 (30 mL·tree−1 SHA + 0.2% FHA), followed by T10 (20 mL·tree−1 SHA + 0.2% FHA).
The positive effect of HA on soil nutrient contents and microorganisms is mainly related to SHA, with some slight effects for FHA that could be due to dripping after foliar application. In general, HA improved nutrient availability in saline soils, particularly when combined with compost and sulfur (S) [90], as well as in sandy soils when combined with organic and biofertilizers [91]. It was reported that HA (20 kg·ha−1) improved nutrient availability in clay loamy soil and their uptake by tomato plants [92]. Under saline soil conditions, SHA effectively improved the soil microbial activities expressed by increased levels of carbon dioxide (CO2) evolution [93] in lime orchards [12]. The application of HA with biofertilization improved the EC, pH, cation exchange capacity (CEC), SAR, nutrient contents and microbial populations in saline soils [45]. The application of SHA (15 or 20 g·vine−1) in saline soils resulted in reduced EC and pH and increased biological activity in the root rhizosphere of ‘Ropy seedless’ grapevines [94]. Humic acid plays important roles through its extractable acid fractions that can form a stable complex with cations in the soil [95] and improve soil physical and biochemical activities by improving structure, texture, water holding capacity (WHC), and microbial populations [96], as well as increasing soil nutrients availability, especially micronutrients by chelating and co-transporting them to plants [97], meanwhile reducing the transportation of toxic heavy metals by precipitating them, and reduce their intake by plants [98].
Humic acid also has an important role in improving soil aggregation and water movement leaching the excessive soluble salts [99]. In this respect, it was reported that the physical properties (e.g., hydraulic conductivity, bulk density and total porosity) of saline soils greatly improved when compost is combined with HA [100]. In addition, HA-treated soils showed lower EC compared to the non-HA-treated ones [101]. Moreover, the percentage of Na is generally high in saline soils; thereby, the humus complex is considered the effective amelioration method to remove exchange and soluble Na and change the ionic composition of the soil, meanwhile leaching Na salts out of the soil profile [102] and make water more available for plant absorption. The higher the soil moisture levels, the higher the chlorophyll content and the lower the proline accumulation in the plant [103]. On the other hand, previous reports indicated that soil aggregation is a dynamic process in which plants and soil microorganisms play a major role in improving soil fertility [104] and nutrient uptakes [12]. It has been reported that vascular arbuscular mycorrhizal fungi and N-fixing bacteria (Azotobacter sp. and Rhizobium sp.) could play several important roles, including the binding of the soil particles into stable aggregates [105,106,107].
As a result of improved soil structure and nutrient contents with HA application, the nutrient contents of Mexican lime leaves were improved (Figure 3) with T12 (30 mL·tree−1 SHA + 0.2% FHA) showed the most effect on all studied nutrients, except Cu that was more related to T10 (20 mL·tree−1 SHA + 0.2% FHA). Previous reports indicated a positive effect of SHA on leaf nutrient contents of tomato plants (e.g., 20 kg·ha−1) [92], and ‘Balady’ mandarin trees (15% v/v) [108]. A similar effect was recorded with FHA (0.5%) application on olive trees [109]. Previous reports confirmed the role of HA in increasing N–P–K content in faba bean plants grown in clayey soil [110] and drought-stressed pearl millet plants [111] due to the increase in root growth and development, thereby improving water and nutrient uptakes, and hence plant tolerance to environmental stresses [112]. On the other hand, it was also reported that HA induces a eustress state, “positive stress” via photosynthesis and nitrogen metabolism leading to a root growth improvement and improved plant growth in rice plants [113].
Under salinity stress conditions, HA increased N–P–K uptake in pepper plants [114]. The positive role of HA could be due to the hormone-like activity of some HA components or may be related to an IAA-independent mechanism, which might be activated by HA [115]. In addition, HA contains phenolic, acidic, amino and quinine groups, which improve nutrients availability in calcareous alkaline soil that is poor in terms of organic matter [116] and N contents [117]. Application of HA improved the permeability of root cells [118], hormonal and ROS balance [119], the activity of antioxidant enzymes and the content of soluble sugars [120], macro- and micronutrient uptakes [121], and primary and secondary metabolism [122], which eventually reflected on overall plant growth and development [123].
Salinity poses two major threats to plant growth: osmotic stress and ionic stress [18]. The uptake of high amounts of salts increases the osmotic pressure in the cytosol. Under such conditions, cell homeostasis is maintained by an osmotic adjustment mechanism, which leads to the synthesis of organic osmolytes [124], such as proline and soluble sugars, to protect cells against the adverse effects of salinity [125]. An increase in the proline level is an osmotic stress response because it contributes to osmotic adjustment in plant cells [126]. Accumulation of sugars and proline as osmoprotectants, and ascorbic acid (ABA) and glutathione (GSH) as antioxidants protect plant cells under salt stress conditions by balancing the osmotic pressure of the cytosol and the vacuole with that of the external environment [127]. Humic acid also affects enzymes activity and secondary plant metabolism [123], as well as plant respiration and photosynthesis, which in turn affect carbohydrate levels [128] and amino acid metabolism [129]. A decrease in proline content and an increase in nutrient uptakes have been reported with the exogenous application of HA on salt-stressed tomato plants [130].
The role of HA in terms of leaf area and chlorophyll synthesis has been reported in tomato [131], corn [116] and mango [132]. Humic acid significantly increased chlorophyll (a) and (b), total chlorophyll, and carotenoids in faba bean [110] and pearl millet plants [111]. The availability of HA might be responsible for increasing the photosynthesis rate and hence the leaf area of salt-stressed bean plants [133]. Humic acid increased N and nitrates (NO3) uptakes, which enhanced N metabolism and protein production, thereby increasing chlorophyll content [134]. Humic acid also increased cell membrane permeability, O uptake, respiration and photosynthesis rate, P uptake, and root elongation [135]. It was also reported that HA induces H+-ATPase activity in the plasma membrane and promotes plant growth [136] throughout the increase in lateral root emergence and overall root absorbance [137]. Humic acid also increased chlorophyll and nutrient contents, and thus the photosynthesis rate in the ‘Kesar’ mango. This effect could be attributed to the improvement in N and K uptakes, which are involved in chloroplast formation and chlorophyll biosynthesis [35]. Previous findings also indicated a positive role of SHA in reducing soil EC from 4.2 to 1.8 dS·m−1 and ameliorating the adverse effects of salinity on the growth and fruiting of grapevines [41], date palms [43] and citrus [138]. Both SHA and FHA effectively alleviated the adverse effects of saline soils, improved nutrient uptakes, and enhanced the growth and productivity of apricot and plum trees [57]. In this context, HA-treated Washington navel orange trees showed a positive response in terms of the number and length of shoots, as well as the number and area of leaves [139]. Similar results were reported with FHA application on mango [60] and olive trees [109]. Plant height, stem diameter, and shoot dry weight of papaya seedlings were also enhanced with the application of humic substances [47]. In this regard, the combined application of SHA and FHA was also effective on Canino apricot trees [56].
With improved plant nutritional status (Figure 3 and Figure 4), and hence photosynthesis pigments (Figure 5) and vegetative growth (Figure 6), Mexican lime trees showed improved yield and fruit quality (Figure 7, Figure 8 and Figure 9) with HA application, with the most conspicuous effect recorded for T12 (30 mL·tree−1 SHA + 0.2% FHA). The role of HA on plant productivity and fruit quality was previously confirmed on mandarin trees [50,107]. Likewise, to the previous reports on mango [60] and mandarin trees [140], the results of the present study have also shown a better effect of T6 (0.2% FHA) compared to T5 (0.1% FHA) on fruit yield and quality. In this regard, the effect was more notable with the combined application of SHA and FHA, as also reported on Canino apricot trees [56]. Fruit taste parameters (i.e., improved SSC: TA ratio) were significantly improved with SHA and FHA applications, as previously reported [50,56,141], due to increased levels of accumulated soluble sugars in cells under stressful conditions [120].
The positive role of HA on improved vegetative growth and fruit dimensions could be due to the hormone-like activity of some HA components or may be related to an IAA-independent mechanism, which might be activated by HA [115] that eventually affects cell division and elongation. This effect has been associated with the activation of the plasma membrane (PM) enzyme H+-ATPase by small molecules present in HA endowed with auxin activity [142]. These small bioactive molecules in humic substances, such as IAA, access cell receptors to initiate cell signaling [143]. P-type ATPase enzymes promote H+ extrusion through the plasma membrane, which acidifies the apoplast membrane and activates pH-sensitive enzymes, which in turn loosen the cell wall and strengthen cell expansion associated with increased turgor pressure in coordination with vacuolar-type H+-ATPase anchored at the tonoplast membrane, depending on contact time between humic substances and plants [144,145]. The hormone-like activity of humic materials, which is indicated as concentration-specific, increases cell permeability and improves the absorption of mineral nutrients [144], and could also be responsible for humic materials having a stimulatory effect on plant yield and quality. It is well known that HA increases cell wall thickness prolonging the fruit storage period [48,49]. Humic materials can form a complex compound when get attached to mineral ions. The catalysis of humic materials by the enzymes in the plant, the influence of humic materials on respiration and photosynthesis, the stimulation of nucleic acid metabolism, and the hormone-like activity could be related to another possible factor that might be Ca, which along with cell division and cell elongation is also involved in cell membrane stability and permeability, thus strengthening the plants [146]. Calcium deficiency leads to reduced leaf size, necrosis of young leaves, and reduction in fruit quality and yield [147]. In general, plant length, dry matter yield, leaf area, fruit fresh weight, number of fruits, fruit diameter, total yield, and marketable fruit yield were increased with increased Ca concentration in the nutrient solution [148].

5. Conclusions

Humic acid exerts direct and indirect effects on salt-stressed Mexican lime tree morphological, physiological and biochemical aspects, which ultimately affect plant growth, yield and fruit quality under saline clay soil conditions of semi-arid Egypt. The prominent effect of T12 (30 mL·tree−1 SHA + 0.2% FHA) on soil fertility and microflora, and hence plant nutrient uptakes, photosynthesis pigments, vegetative growth, yield and fruit quality may indicate a possibility of tree tolerance to adverse saline conditions. The future prospects of this research may extend to the biotechnology field, which aims to explore the molecular bases of plant defense mechanisms and productivity, is required, particularly under drought and salinity conditions, which became major problems in most of the cultivated lands of the semi-arid and arid-climate countries.

Author Contributions

Conceptualization, H.A.E. and S.M.A.-E.; methodology, H.A.E., H.M.E.-H., I.F.H. and A.M.M.; software, H.A.E., A.H.M., A.A.O., S.E.K. and S.M.A.-E.; validation, H.A.E., A.A.O., M.S.G. and A.F.A.E.-K.; formal analysis, H.A.E., A.F.A.E.-K. and S.M.A.-E.; investigation, H.A.E., A.H.M., H.M.E.-H., A.A.O., I.F.H. and S.M.A.-E.; resources, H.A.E., H.M.E.-H., M.S.G., S.E.K. and A.M.M.; data curation, H.A.E., H.M.E.-H., A.A.O., A.F.A.E.-K. and S.M.A.-E.; writing—original draft preparation, H.A.E. and A.H.M.; writing—review and editing, S.M.A.-E.; visualization, A.A.O., I.F.H., A.M.M. and S.M.A.-E.; supervision, H.A.E. and M.S.G.; project administration, H.A.E.; funding acquisition, A.A.O., A.H.M. and S.M.A.-E. All authors have read and agreed to the published version of the manuscript.

Funding

This research received no external funding.

Acknowledgments

The authors gratefully thank the owner of the lime orchard and his staff for providing all the required field materials to conduct this research. Authors’ appreciation also extends to the staff of the Horticulture Laboratory, Horticulture Research Institute, Agricultural Research Center, Sakha, Kafr El-Sheikh, Egypt, for their excellent technical assistance.

Conflicts of Interest

The authors declare no conflict of interest.

References

  1. Mexican Lime. Citrus Variety Collection, College of Natural and Agricultural Sciences, University of California, Riverside, CA, USA. Available online: https://citrusvariety.ucr.edu/citrus/mexican.html (accessed on 5 January 2023).
  2. Morton, J.F. Mexican lime. In Fruits of Warm Climates, 1st ed.; Morton, J.F., Ed.; Scientific Research: Miami, FL, USA, 1987; pp. 168–172. [Google Scholar]
  3. Citrus: World Markets and Trade. United States Department of Agriculture (USDA), Foreign Agricultural Services/USDA, Global Market Analysis, July 2022 Report, Washington, DC, USA. Available online: https://apps.fas.usda.gov/psdonline/circulars/citrus.pdf (accessed on 18 January 2023).
  4. Lemons and Limes Exporters by Country. World’s Top Exports. Available online: https://www.worldstopexports.com/lemons-exporters-by-country/ (accessed on 18 January 2023).
  5. Abobatta, W.F. Citrus varieties in Egypt: An impression. Int. Res. J. Appl. Sci. 2019, 1, 63–66. [Google Scholar]
  6. El-Shereif, A.; Abou Elyazid, D. Tropical and subtropical fruits in Egypt. Chron. Hortic. 2016, 56, 28–31. [Google Scholar]
  7. Food and Agriculture Organization of the United Nations (FAO). FAO Statistics; Food and Agriculture Organization of the United Nations (FAO): Rome, Italy, 2021; Available online: http://www.fao.org/faostat/en/#data/QC/visualize (accessed on 25 April 2023).
  8. Mitter, R.; Finka, A.; Goloubinoff, P. How do plants feel the heat? Trends Biochem. Sci. 2012, 37, 118–125. [Google Scholar] [CrossRef]
  9. Romero-Romero, J.L.; Inostroza-Blancheteau, C.; Reyes-Diaz, M.; Matte, J.P.; Aquea, F.; Espinoza, C.; Gil, P.M.; Arce-Johnson, P. Increased Drought and salinity tolerance in Citrus aurantifolia (Mexican lemon) plants overexpressing Arabidopsis CBF3 gene. J. Soil Sci. Plant Nutr. 2020, 20, 244–252. [Google Scholar] [CrossRef]
  10. Raza, A.; Razzaq, A.; Mehmood, S.S.; Zou, X.; Zhang, X.; Lv, Y.; Xu, J. Impact of climate change on crops adaptation and strategies to tackle its outcome: A review. Plants 2019, 8, 34. [Google Scholar] [CrossRef]
  11. Shao, H.; Chu, L.; Lu, H.; Qi, W.; Chen, X.; Liu, J.; Kuang, S.; Tang, B.; Wong, V. Towards sustainable agriculture for the salt-affected soil. Land Degrad. Dev. 2019, 30, 574–579. [Google Scholar] [CrossRef]
  12. Ennab, H.A. Effect of humic acid on growth and productivity of Egyptian lime trees (Citrus aurantifolia Swingle) under salt stress conditions. J. Agric. Res. Kafr El-Sheikh Univ. 2016, 42, 494–505. [Google Scholar]
  13. Mohanavelu, A.; Naganna, S.R.; Al-Ansari, N. Irrigation induced salinity and sodicity hazards on soil and groundwater: An overview of its causes, impacts and mitigation strategies. Agriculture 2021, 11, 983. [Google Scholar] [CrossRef]
  14. Syvertsen, J.P.; Garcia-Sanchez, F. Multiple abiotic stresses occurring with salinity stress in citrus. Environ. Exp. Bot. 2014, 103, 128–137. [Google Scholar] [CrossRef]
  15. Dubey, A.K.; Singh, A.K.; Srivastav, M. Salt stress studies in mango—A review. Agric. Rev. 2007, 28, 75–78. [Google Scholar]
  16. Hou, Y.; Zeng, W.; Hou, M.; Wang, Z.; Luo, Y.; Lei, G.; Zhou, B.; Huang, J. Responses of the Soil Microbial Community to Salinity Stress in Maize Fields. Biology 2021, 10, 1114. [Google Scholar] [CrossRef]
  17. Zhu, J.K. Plant salt stress. In Encyclopedia of Life Science, 2nd ed.; O’Daly, A., Ed.; Wiley, J. & Sons, Ltd.: Chichester, UK, 2007; pp. 1–3. [Google Scholar]
  18. Flowers, T.J.; Colmer, T.D. Salinity tolerance in halophytes. New Phytol. 2008, 179, 945–963. [Google Scholar] [CrossRef] [PubMed]
  19. Dayal, V.; Dubey, A.K.; Awasthi, O.P.; Pandey, R.; Dahuja, A. Growth, lipid peroxidation, antioxidant enzymes and nutrient accumulation in Amrapali mango (Mangifera indica L) grafted on different rootstocks under NaCl stress. Plant Knowl. J. 2014, 3, 15–22. [Google Scholar]
  20. Moya, J.L.; Tadeo, F.R.; Gomez-Cadenas, A.; Primo-Millo, E.; Talon, M. Transmissible salt tolerance traits identified through reciprocal grafts between sensitive Carrizo and tolerant Cleopatra citrus genotypes. J. Plant Physiol. 2002, 159, 991–998. [Google Scholar] [CrossRef]
  21. Al-Yassin, A. Adverse effects of salinity on citrus: Review. Int. J. Agric. Biol. 2005, 7, 668–680. [Google Scholar]
  22. Acosta-Motos, J.R.; Ortuno, M.F.; Bernal-Vicente, A.; Diaz-Vivancos, P.; Sanchez-Blanco, M.J.; Hernandez, J.A. Plant responses to salt stress: Adaptive mechanisms. Agronomy 2017, 7, 18. [Google Scholar] [CrossRef]
  23. Chatzissavvidis, C.; Papadakis, I.; Therios, I. Effect of calcium on the ion status and growth performance of citrus rootstocks grown under NaCl stress. Soil Sci. Plant Nutr. 2008, 54, 910–915. [Google Scholar] [CrossRef]
  24. Murkute, A.A.; Sharma, S.; Singh, S.K. Studies on salt stress tolerance of citrus rootstock genotypes with Arbuscular mycorrhizal fungi. Hort. Sci. 2006, 33, 70–76. [Google Scholar] [CrossRef]
  25. Agricultural Statistics of Egypt. Water Scarcity in Egypt: The Urgent Need for Regional Cooperation Among the Nile Basin Countries; Report of the Ministry of Water Resources and Irrigation, Government of Egypt: Cairo, Egypt, 2014; p. 5. [Google Scholar]
  26. Food and Agriculture Organization of the United Nations (FAO). Environmental Considerations in Irrigation Development, Irrigation Potential in Africa: A Basin Approach; FAO Land and Water Bulletin # 4 (ISBN 92-5-103966-6); FAO Land and Water Development Division: Rome, Italy, 1997; Available online: https://www.fao.org/3/w4347e/w4347e10.htm#waterlogging%20and%20salinization (accessed on 20 March 2023)ISBN 92-5-103966-6.
  27. Cosgrove, W.J.; Loucks, D.P. Water management: Current and future challenges and research directions. Water Resour. Res. 2015, 51, 4823–4839. [Google Scholar] [CrossRef]
  28. Shafqat, W.; Mazrou, Y.S.A.; Nehela, Y.; Ikram, S.; Bibi, S.; Naqvi, S.A.; Hameed, M.; Jaskani, M.J. Effect of Three Water Regimes on the Physiological and Anatomical Structure of Stem and Leaves of Different Citrus Rootstocks with Distinct Degrees of Tolerance to Drought Stress. Horticulture 2021, 7, 554. [Google Scholar] [CrossRef]
  29. Van Oosten, M.J.; Pepe, O.; Pascale, S.D.; Silletti, S.; Maggio, A. The role of biostimulants and bioeffectors as alleviators of abiotic stress in crop plants. Chem. Biol. Technol. Agric. 2017, 4, 5. [Google Scholar] [CrossRef]
  30. Ennab, H.; Alam-Eldein, S.M. Biostimulants Foliar Application to Improve Growth, Yield, and Fruit Quality of ‘Valencia’ Orange Trees under Deficit Irrigation Conditions. J. Amer. Pomol. Soc. 2020, 74, 118–134. [Google Scholar]
  31. Calvo, P.; Nelson, L.; Kloepper, J.W. Agricultural uses of plant biostimulants. Plant Soil. 2014, 383, 3–41. [Google Scholar] [CrossRef]
  32. Asli, S.; Neumann, P.M. Rhizosphere humic acid interacts with root cell walls to reduce hydraulic conductivity and plant development. Plant Soil. 2010, 336, 313–322. [Google Scholar] [CrossRef]
  33. Simpson, A.J.; Kingery, W.L.; Hayes, M.H.B.; Spraul, M.; Humpfer, E.; Dvortsak, P.; Kerssebaum, R.; Godejohann, M.; Hofmann, M. Molecular structures and associations of humic substances in the terrestrial environment. Naturwissenschaften 2002, 89, 84–88. [Google Scholar] [CrossRef] [PubMed]
  34. Nardi, S.; Pizzeghello, D.; Muscolo, A.; Vianello, A. Physiological effects of humic substances on higher plants. Soil. Biol. Biochem. 2002, 34, 1527–1536. [Google Scholar] [CrossRef]
  35. Berbara, R.L.L.; García, A.C. Humic substances and plant defense metabolism. In Physiological Mechanisms and Adaptation Strategies in Plants under Changing Environment, 2nd ed.; Ahmad, P., Wani, M.R., Eds.; Springer Science + Business Media: New York, NY, USA, 2014; Volume 1, pp. 297–319. [Google Scholar]
  36. Piccolo, A.; Spiteller, M. Electrospray ionization mass spectrometry of terrestrial humic substances and their size fractions. Anal. Bioanal. Chem. 2003, 377, 1047–1059. [Google Scholar] [CrossRef]
  37. Varanini, Z.; Pinton, R. Direct versus indirect effects of soil humic substances on plant growth and nutrition. In The rhizosphere, 1st ed.; Pinton, R., Varanini, Z., Nannipieri, P., Eds.; Marcel Dekker: Basel, Belgium, 2001; pp. 141–158. [Google Scholar]
  38. Ngullie, C.R.; Tank, R.V.; Bhander, D.R. Effect of salicylic acid and humic acid on flowering, fruiting, yield and quality of mango (Mangifera indica L.) cv. Kesar. Adv. Res. J. Crop Improv. 2014, 5, 136–139. [Google Scholar] [CrossRef]
  39. Gumus, I.; Seker, C. Influence of humic acid applications on soil physicochemical properties. Solid Earth Discuss. 2015, 7, 2481–2500. [Google Scholar]
  40. Ferrara, G.; Brunetti, G. Effects of the times of application of a soil humic acid on berry quality of table grape (Vitis vinifera L.) cv. Italia. Spanish J. Agric. Res. 2010, 8, 817–822. [Google Scholar] [CrossRef]
  41. Ali, M.A.; El-Gendy, S.S.; Ahmed, O.A. Minimizing adverse effects of salinity in vineyards. J. Hort. Sci. Ornament. Plants 2013, 5, 12–21. [Google Scholar]
  42. Canali, S.; Bartolomeo, E.D.; Trinchera, A.; Nisini, L.; Tittarell, F.; Intrigliolo, F.; Roccuzzo, G.; Calabretta, M.L. Effect of different management strategies on soil quality of citrus orchards in southern Italy. Soil Manag. 2009, 25, 34–42. [Google Scholar] [CrossRef]
  43. El-Khawaga, A.S. Effect of anti-salinity agents on growth and fruiting of different date palm cultivars. Asian J. Crop Sci. 2013, 5, 65–80. [Google Scholar] [CrossRef]
  44. Abd El-Hamied, S.A. Response of Valencia orange to some natural and synthetic soil conditioners under north Sinai (Egypt) conditions. Int. J. Adv. Res. 2014, 2, 802–810. [Google Scholar]
  45. Ennab, H.A.; El-Sayed, S.A. Treatments to alleviate adverse effect of saline soil on growth and productivity of Balady mandarin trees (Citrus reticulata Blanco). Alex. J. Agric. Sci. 2016, 61, 491–503. [Google Scholar]
  46. Chen, Y.; De Nobili, M.; Aviad, T. Stimulatory effects of humic substances on plant growth. In Soil Organic Matter in Sustainable Agriculture, 1st ed.; Magdoff, F.R., Weil, R.R., Eds.; CRC Press: Boca Raton, FL, USA, 2004; pp. 103–129. Available online: http://www.crcpress.com/Magdoff-Weil/p/book/9780367394233 (accessed on 22 February 2023).
  47. Cavalcante, I.H.; Silva, R.R.; Albano, F.G.; Lima, F.N.; Marques, A.D. Foliar spray of humic substances on seedling production of papaya (Pawpaw). J. Agron. 2011, 10, 118–122. [Google Scholar] [CrossRef]
  48. Abd El-Razek, E.; Abd-allah, A.; Saleh, M. Yield and fruit quality of Florida prince peach trees as affected by foliar and soil applications of humic acid. J. App. Sci. Res. 2012, 8, 5724–5729. [Google Scholar]
  49. Hagagg, L.F.; Shahin, M.F.M.; Mustafa, N.S.; Merwad, M.A.; Khalil, F.H. Influence of using humic acid during full bloom and fruit set stages on productivity and fruit quality of ‘Kalamata’ olive trees. J. Appl. Sci. Res. 2013, 9, 2287–2292. [Google Scholar]
  50. Abbas, T.; Ahmad, S.; Ashraf, M.; Shahid, M.A.; Yasin, M.; Balal, R.M.; Pervez, M.A.; Abbas, S. Effect of humic and application at different growth stages of Kinnow mandarin (Citrus reticulate Blanco) on the basis of physio-biochemical and reproductive responses. Academia J. Biotech. 2013, 1, 14–20. [Google Scholar]
  51. Pablo Morales, J.P.; William, M.S. Effect of substrates, boron and humic acid on the growth of papaya transplant. In Proceedings of the Florida State Horticultural Society, Lake Alfred, FL, USA, 8–10 June 2003; Volume 116, pp. 28–30. [Google Scholar]
  52. Chen, Y.; Avaid, T. Effect of Humic Substances on Plant Growth; MacCarthy, P., Clapp, C.E., Malcolm, R.L.P., Bloom, R., Eds.; American Society of Agronomy: Madison, WI, USA, 1990; Volume 18, pp. 161–186. [Google Scholar]
  53. Mosa, W.F.A.; Abd EL-Megeed, N.A.; Paszt, L.S. The effect of the foliar application of potassium, calcium, boron and humic acid on vegetative growth, fruit set, leaf mineral, yield and fruit quality of ‘Anna’ apple trees. Amer J. Exp. Agric. 2015, 8, 224–234. [Google Scholar] [CrossRef]
  54. Hidayatullah, K.A.; Mouladad, M.N.; Shah, S.A. Effect of humic acid on fruit yield attributes, yield and leaf nutrient accumulation of apple trees under calcareous soil. Ind. J. Sci. Techn. 2018, 11, 15. [Google Scholar] [CrossRef]
  55. El-Kosary, S.; El-Shenawy, I.E.; Radwan, S.I. Effect of microelements, amino and humic acids on growth, flowering and fruiting of some mango cultivars. J. Hort. Sci. Ornament. Plants 2011, 3, 152–161. [Google Scholar]
  56. Fathy, M.A.; Gabr, M.A.; El-Shall, S.A. Effect of humic acid treatments on Canino apricot growth, yield and fruit quality. New York Sci. J. 2010, 3, 109–115. [Google Scholar]
  57. Eissa, F.M.; Fathi, M.A.; El-Shall, S.A. Response of peach and apricot seedlings to humic acid treatments under salinity condition. J. Agric. Sci. Mansoura Univ. 2007, 32, 3605–3620. [Google Scholar] [CrossRef]
  58. Worldweatheronline. Baltim, Kafr El-Sheikh, Egypt Historical Weather. 2022. Available online: https://www.worldweatheronline.com/baltim-weather-averages/kafr-ash-shaykh/eg.aspx (accessed on 25 February 2023).
  59. Kebede, A.A.; Olani, D.D.; Getahun, T.; Damtew, Y.T. Heavy metal Content and physico chemical Properties of soil around solid waste disposal sites. Amer. J. Sci. Indust. Res. 2016, 7, 129–136. [Google Scholar]
  60. Thomas, G.W.; Hargrove, W.L. The chemistry of soil Acidity. In Soil Acidity and Liming, 2nd ed.; Adams, F., Ed.; American Society of Agronomy: Madison, WI, USA, 1984; Volume 12, pp. 3–49. [Google Scholar]
  61. Jackson, N.L. Soil Chemical Analysis; Prentice-Hall Inc.: Englewood Cliffs, NJ, USA, 1967; Chapter 16; 210p. [Google Scholar]
  62. Mostafazadeh-Fard, B.; Khoshravesh, M.; Mousavi, S.F.; Kiani, A.R. Effects of magnetized water on soil chemical components underneathtrickle irrigation. J. Irrig. Drain. Eng. 2012, 138, 1075–1081. [Google Scholar] [CrossRef]
  63. Page, A.L.; Miller, R.H.; Keeney, D.R. Methods of Soil Analysis Part 2: CHEMICAL and Microbiological Properties, 2nd ed.; American Society of Agronomy & Soil Sciences Society of America: Madison, WI, USA, 1982; Volume 9, p. 1159. [Google Scholar]
  64. Wilde, S.A.; Corey, R.B.; Layer, J.G.; Voigt, G.K. Soil and Plant Analysis for Tree Culture; Mohan Primlani, Oxford, IBH, Publishing Co.: New Delhi, India, 1985; pp. 1–142. [Google Scholar]
  65. Chapman, H.D.; Pratt, F.P. Methods of Analysis for Soils, Plants and Waters, 1st ed.; University of California, Division of Agricultural Sciences: Davis, CA, USA, 1961; p. 309. [Google Scholar]
  66. Turrell, F.M. Tables of Surfaces and Volumes of Spheres and of Prolate and Oblate Spheroids and Spheroidal Coefficients; University of California Press: Berkeley, CA, USA, 1946. [Google Scholar]
  67. Moran, R.; Porath, D. Chlorophyll determination in intact tissues using N, N dimethyl formamide. Plant Physiol. 1980, 65, 478–479. [Google Scholar] [CrossRef] [PubMed]
  68. Wellburn, A.R. The spectral determination of chlorophylls a and b, as well as total carotenoids, using various solvents with spectrophotometers of different resolution. J. Plant Physiol. 1994, 144, 307–313. [Google Scholar] [CrossRef]
  69. Bates, L.S.; Waldren, R.P.; Teare, I.D. Rapid determination of free proline for water-stress studies. Plant Soil 1973, 39, 205–207. [Google Scholar] [CrossRef]
  70. Wolf, B. A comprehensive system of leaf analyses and its use for diagnosing crop nutrient status. Commun. Soil Sci. Plant Anal. 1982, 13, 1035–1059. [Google Scholar] [CrossRef]
  71. Evenhuis, B.; Dewaard, P.W. Nitrogen Determination; Department of Agriculture Research, Royal Tropical Institute: Amsterdam, The Netherlands, 1976. [Google Scholar]
  72. Jones, J.B.; Wolf, B.; Mills, H.A. Plant Analysis Handbook. A Practical Sampling, Preparation, Analysis, and Interpretation Guide; Micro-Macro Publishing, Inc.: Athens, GA, USA, 1991; p. 212. [Google Scholar]
  73. Tendon, H.L.S. Analysis of Soils, Plants, Waters and Fertilizers; Fertilizer Development and Consultation Organization: New Delhi, India, 2005. [Google Scholar]
  74. Chang, K.L.; Bray, R.H. Determination of calcium and magnesium in soil and plant material. Soil Sci. 1951, 72, 449–458. [Google Scholar] [CrossRef]
  75. Rashid, A. Mapping Zinc Fertility of Soil Using Indicator Plant and Soil Analysis. Ph.D. Thesis, University of Hawaii, Manoa, HI, USA, 1986. [Google Scholar]
  76. Prabhu, M.; Partiban, S.; Kumar, A.R.; Usharani, B.; Vijayasamundeeswari, A. Regulation of flowering in acid lime (Citrus aurantifolia Swingle). Indian J. Agric. Res. 2017, 51, 384–387. [Google Scholar] [CrossRef]
  77. Gomaa, A.M. Productivity and fruit quality of lime (Citrus aurantifolia L.) as affected by GA3 and NAA foliar spray. HortScience J. Suez Canal Univ. 2020, 9, 63–71. [Google Scholar] [CrossRef]
  78. Al-Yahyai, R.; Al-Said, F.; Opara, L. Fruit growth characteristics of four pomegranate cultivars from northern Oman. Fruits 2009, 64, 335–341. [Google Scholar] [CrossRef]
  79. Watkins, C.; Harman, J. Use of penetrometer to measure flesh firmness of fruit. Orchard. N. Z. 1981, 54, 14–16. [Google Scholar]
  80. AOAC. Official Methods of Analysis, 17th ed.; The Association of Official Analytical Chemist: Washington, DC, USA, 2000; pp. 16–20. [Google Scholar]
  81. Iqbal, M.N.; Ashraf, A. Antagonism in rhizobacteria: Application for biocontrol of soil borne plant pathogens. PSM Microbiol. 2017, 2, 78–79. [Google Scholar]
  82. Sherpa, M.T.; Sharma, L.; Bag, N.; Das, S. Isolation, characterization, and evaluation of native Rhizobacterial consortia developed from the rhizosphere of rice grown in organic state Sikkim, India, and their effect on plant growth. Front. Microbiol. 2021, 12, 713660. [Google Scholar] [CrossRef] [PubMed]
  83. Panneerselvam, P.; Senapati, A.; Kumar, U.; Sharma, L. Antagonistic and plant-growth promoting novel Bacillus species from long-term organic farming soils from Sikkim, India. 3 Biotech. 2019, 9, 416–428. [Google Scholar] [CrossRef] [PubMed]
  84. Shalaby, T.A.; Taha, N.; El-Beltagi, H.S.; El-Ramady, H. Combined Application of Trichoderma harzianum and Paclobutrazol to Control Root Rot Disease Caused by Rhizoctonia solani of Tomato Seedlings. Agronomy 2022, 12, 3186. [Google Scholar] [CrossRef]
  85. Parkinson, D.; Gray, J.R.G.; Williams, S.T. Methods for Studying the Ecology of Soil Microorganisms; Oxford Blackwell Scientific Publications: Hoboken, NJ, USA, 1971; 116p. [Google Scholar]
  86. Snedecor, G.W.; Cochran, W.G. Statistical Methods, 7th ed.; Iowa State University Press: Ames, IA, USA, 1990. [Google Scholar]
  87. Jolliffe, I. Principal Component Analysis; Lovric, M., Ed.; Springer: Berlin/Heidelberg, Germany, 2011. [Google Scholar] [CrossRef]
  88. Michie, M.G. Use of the Bray-Curtis similarity measure in cluster analysis of foraminiferal data. J. Int. Assoc. Math. Geol. 1982, 14, 661–667. [Google Scholar] [CrossRef]
  89. Costa, J.M.; Ortuno, M.F.; Chaves, M.M. Deficit irrigation as a strategy to save water: Physiology and potential application to horticulture. J. Integr. Plant Biol. 2007, 49, 1421–1434. [Google Scholar] [CrossRef]
  90. El-Galad, M.A.; Sayed, D.A.; El-Shal, R.M. Effect of humic acid and compost applied alone or in combination with sulphur on soil fertility and faba bean productivity under saline soil conditions. J. Soil Sci. and Agric. Eng. Mansoura Univ. 2013, 4, 1139–1157. [Google Scholar]
  91. Abd EL-Rahman, M.M.A.; Khodair, O.A.; Hamed, M.H. Impact of organic, bio fertilization and humic acid on growth and fruiting of Flame seedless grapevines under sandy soil conditions. J. Plant Prod. Mansoura Univ. 2021, 12, 171–177. [Google Scholar] [CrossRef]
  92. Tenshia, J.S.V.; Singaram, P. Influence of humic acid application on availability and uptake in tomato. Madrass Agric. J. 2005, 92, 670–676. [Google Scholar]
  93. Khattak, R.A.; Haroon, K.; Muhammad, D. Mechanism(s) of humic acid induced beneficial effects in salt-affected soils. Sci. Res. Essays 2013, 8, 932–939. [Google Scholar]
  94. Ibrahim, M.G.; Bassiony, S.S. Alleviating the adverse effects of soil salinity on growth and productivity of "Roby seedless" grapevines (Vitis vinifera L.) using some soil amendments. Menoufia J. Plant Prod. 2019, 4, 375–393. [Google Scholar] [CrossRef]
  95. De Melo, B.A.G.; Motta, F.L.; Santana, M.H.A. Humic acids: Structural properties and multiple functionalities for novel technological developments. Mater. Sci. Eng. 2016, 62, 967–974. [Google Scholar] [CrossRef]
  96. Nardi, S.; Schiavon, M.; Francioso, O. Chemical structure and biological activity of humic substances define their role as plant growth promoters. Molecules 2021, 26, 2256. [Google Scholar] [CrossRef]
  97. Yang, F.; Tang, C.; Antonietti, M. Natural and artificial humic substances to manage minerals, ions, water, and soil microorganisms. Chem. Soc. Rev. 2021, 50, 6221–6239. [Google Scholar] [CrossRef]
  98. Wu, S.; Li, R.; Peng, S.; Liu, Q.; Zhu, X. Effect of humic acid on transformation of soil heavy metals. IOP Conf. Ser. Mater. Sci. Eng. 2017, 207, 012089. [Google Scholar] [CrossRef]
  99. Fahramand, M.; Moradi, H.; Noori, M.; Sobhkhizi, A.; Adibian, M.; Abdollahi, S.; Rigi, K. Influence of humic acid on increase yield of plants and soil properties. Int. J. Farm. All. Sci. 2014, 3, 339–341. [Google Scholar]
  100. Khaled, A.; Shaban, M.; Abd El-Kader, G.; Khalil, Z.M. Effect of soil amendments on soil fertility and sesame crop productivity under newly reclaimed soil conditions. J. Appl. Sci. Res. 2012, 8, 1568–1575. [Google Scholar]
  101. Mohamed, W.H. Effects of humic acid and calcium forms on dry weight and nutrient uptake of maize plant under saline condition. Aust. J. Basic Appl. Sci. 2012, 6, 597–604. [Google Scholar]
  102. Ouni, Y.; Ghnaya, T.; Montemurro, F.; Abdelly, C.; Lakhdar, A. The role of humic substances in mitigating the harmful effects of soil salinity and improve plant productivity. Int. J. Plant Prod. 2014, 8, 353–374. [Google Scholar]
  103. Okba, S.K.; Mazrou, Y.; Mikhael, G.B.; Farag, M.E.H.; Alam-Eldein, S.M. Magnetized Water and Proline to Boost the Growth, Productivity and Fruit Quality of ‘Taifi’ Pomegranate Subjected to Deficit Irrigation in Saline Clay Soils of Semi-Arid Egypt. Horticulturae 2022, 8, 564. [Google Scholar] [CrossRef]
  104. Andrade, G.; Mihara, K.L.; Linderman, R.G.; Bethlenfalvay, G.J. Soil aggregation status and rhizobacteria in the mycorrhizosphere. Plant Soil 1998, 202, 89–96. [Google Scholar] [CrossRef]
  105. Dobereiner, J. Influence of environmental factors on the occurrence of S. lipoferum in soil roots. Environmental role of N2-fixing blue-green-algae and a symbiotic bacteria. Ecol. Bull. 1978, 26, 343–352. [Google Scholar]
  106. Khan, A.G. Mycorrhizoremediation--an enhanced form of phytoremediation. J. Zhejiang Univ. Sci. B. 2006, 7, 503–514. [Google Scholar] [CrossRef]
  107. Kumar, S.; Diksha; Sindhu, S.S.; Kumar, R. Biofertilizers: An ecofriendly technology for nutrient recycling and environmental sustainability. Curr. Res. Microb. Sci. 2021, 3, 100094. [Google Scholar] [CrossRef]
  108. El-Mohamedy, R.S.R.; Ahmed, M.A. Effect of biofertilizers and humic acid on control of dry root rots disease and improvement yield quality of mandarin (Citrus reticulate Blanco). Res. J. Agric. Biol. Sci. 2009, 5, 127–137. [Google Scholar]
  109. Youssef, A.R.M.; Emam, H.S.; Saleh, M.M.S. Olive seedlings growth as affected by humic acid and amino acids, macro and trace elements applications. Agric. Biol. J. N. Am. 2011, 2, 1101–1107. [Google Scholar]
  110. El-Ghamry, A.M.; Abd El-Hai, K.M.; Ghoneem, K.M. Amino and humic acids promote growth, yield and disease resistance of faba bean cultivated in clayey soil. Aust. J. Basic Appl. Sci. 2009, 3, 731–739. [Google Scholar]
  111. Hassanein, R.A.; El Khawas, S.A.; Khafaga, H.S.; Abd El-Nabe, A.S.; Abd Elrady, A.S. Amelioration of drought stress on physiological performance of pearl millet (Pennisetum americanum) plant grown under saline condition using potassium humate and silicon source. Egypt J. Exp. Biol. 2017, 13, 57–68. [Google Scholar] [CrossRef]
  112. Canellas, L.P.; Olivares, F.L.; Aguiar, N.O.; Jones, D.L.; Nebbioso, A.; Mazzei, P.; Piccolo, A. Humic and fulvic acids as biostimulants in horticulture. Scient. Hort. 2015, 196, 15–27. [Google Scholar] [CrossRef]
  113. Van Tol de Castro, T.A.; Berbara, R.L.L.; Tavares, O.C.H.; da Graça Mello, D.F.; Pereira, E.G.; de Souza, C.d.C.B.; Espinosa, L.M.; García, A.C. Humic acids induce a eustress state via photosynthesis and nitrogen metabolism leading to a root growth improvement in rice plants. Plant Physiol. Biochem. 2021, 162, 171–184. [Google Scholar] [CrossRef]
  114. Cimrin, K.M.; Turkmen, O.; Turan, M.; Tuncer, B. Phosphorus and humic acid application alleviate salinity stress of pepper seedlings. Afr. J. Biotechnol. 2010, 9, 5845–5851. [Google Scholar]
  115. Trevisan, S.; Botton, A.; Vaccaro, S.; Vezzaro, A.; Quaggiotti, S.; Nardi, S. Humic substances affect Arabidopsis physiology by altering the expression of genes involved in primary metabolism, growth and development. Environ. Exp. Bot. 2011, 74, 45–55. [Google Scholar] [CrossRef]
  116. Gaines, I.; Yilmaz, A. Comparison of five humic acids. Fuel 1983, 62, 373–379. [Google Scholar]
  117. Khan, S.A.; Kha, S.U.; Qayyum, A.; Gurmani, A.R.; Khan, A.; Khan, S.M.; Ahmed, W.; Mehmood, A.; Amin, A.Z. Integration of humic acid with nitrogen wields an auxiliary impact on physiological traits, growth and yield of maize (Zea mays L.) verities. Appl. Ecol. Environ. Res. 2019, 17, 6783–6799. [Google Scholar] [CrossRef]
  118. Vaughan, D.; Ord, B.G. Uptake and incorporation of 14C-labelled soil organic matter by roots of Pisum sativum L. J. Expt. Bot. 1981, 32, 679–687. [Google Scholar] [CrossRef]
  119. Can, W.; Kafi, M.; Babalar, M.; Xia, Y. Effect of humic acid on plant growth, nutrient uptake, and postharvest life of gerbera. J. Plant Nutr. 2008, 31, 2155–2167. [Google Scholar]
  120. Li, H.; Kong, F.; Tang, T.; Luo, Y.; Gao, H.; Xu, J.; Xing, G.; Li, L. Physiological and Transcriptomic Analyses Revealed That Humic Acids Improve Low-Temperature Stress Tolerance in Zucchini (Cucurbita pepo L.) Seedlings. Plants 2023, 12, 548. [Google Scholar] [CrossRef]
  121. Arslan, G.; Pehlivan, E. Uptake of Cr3+ from aqueous solution by lignite-based humic acids. Bioresour. Technol. 2008, 99, 597–605. [Google Scholar] [CrossRef] [PubMed]
  122. Zanin, L.; Tomasi, N.; Cesco, S.; Varanini, Z.; Pinton, R. Humic substances contribute to plant iron nutrition acting as chelators and biostimulants. Front. Plant Sci. 2019, 10, 675. [Google Scholar] [CrossRef] [PubMed]
  123. Canellas, L.P.; Olivares, F.L. Physiological responses to humic substances as plant growth promoter. Chem. Biol Techn. Agric. 2014, 1, 3. [Google Scholar] [CrossRef]
  124. Munns, R. Comparative physiology of salt and water stress. Plant Cell Environ. 2002, 25, 239–250. [Google Scholar] [CrossRef]
  125. Hokmabadi, H.; Arzani, K.; Grierson, P.F. Growth, chemical composition, and carbon isotope discrimination of pistachio (Pistacia vera L.) rootstock seedlings in response to salinity. Aust. J. Agric. Res. 2005, 56, 135–144. [Google Scholar] [CrossRef]
  126. Zhang, W.; Xie, Z.; Wang, L.; Li, M.; Lang, D.; Zhang, X. Silicon alleviates salt and drought stress of Glycyrrhiza uralensis seedling by altering antioxidant metabolism and osmotic adjustment. J. Plant Res. 2017, 130, 611–624. [Google Scholar] [CrossRef]
  127. Gadallah, M.A.A. Effect of proline and glycinebetaine on Vicia faba responses to salt stress. Biol. Plant. 1999, 42, 249–257. [Google Scholar] [CrossRef]
  128. Nardi, S.; Muscolo, A.; Vaccaro, S.; Baiano, S.; Spaccini, R.; Piccolo, A. Relationship between molecular characteristics of soil humic fractions and glycolytic pathway and krebs cycle in maize seedlings. Soil Biol. Biochem. 2007, 39, 3138–3146. [Google Scholar] [CrossRef]
  129. Boehme, M.; Schevtschenko, J.; Pinker, I. Iron supply of cucumbers in substrate culture with humate. Acta Hort. 2005, 41, 329–335. [Google Scholar] [CrossRef]
  130. Farahat, A.A.; Alsayed, A.A.; El-Beltagi, H.S.; Mahfoud, N.M. Impact of organic and inorganic fertilizers on nematode reproduction and biochemical alterations on tomato. Not. Sci. Biol. 2012, 4, 48–55. [Google Scholar] [CrossRef]
  131. Turkmen, O.; Dursun, A.; Turan, M.; Erdinc, C. Calcium and humic acid affect seed germination, growth, and nutrient content of tomato (Lycopersicon esculentum L.) seedlings under saline soil conditions. Acta Agr. Scand. 2004, 54, 168–174. [Google Scholar] [CrossRef]
  132. El-Hoseiny, H.M.; Helaly, M.N.; Elsheery, N.I.; Alam-Eldein, S.M. Humic acid and boron to minimize the incidence of alternate bearing and improve the productivity and fruit quality of mango trees. HortScience 2020, 55, 1026–1037. [Google Scholar] [CrossRef]
  133. Aydin, A.; Kant, C.; Turan, M. Humic acid application alleviate salinity stress of bean (Phaseolus vulgaris L.) plants decreasing membrane leakage. Afr. J. Agr. Res. 2012, 7, 1073–1086. [Google Scholar] [CrossRef]
  134. Haghighi, M.; Kafi, M.; Fang, P. Photosynthetic activity and N metabolism of lettuce as affected by humic acid. Intl. J. Veg. Sci. 2012, 18, 182–189. [Google Scholar] [CrossRef]
  135. Rajpar, I.; Bhatti, M.B.; Zia-ul-Hassan, A.N.; Tunio, S.D. Humic acid improves growth, yield and oil content of Brassica compestris L. Pak. J. Agric. Agric. Eng. Vet. Sci. 2011, 27, 125–133. [Google Scholar]
  136. Dobbss, L.B.; Canellas, L.P.; Olivares, F.L.; Aguiar, N.O.; Peres, L.E.P.; Azevedo, M.; Spaccini, R.; Piccolo, A.; Facxanha, A.R. Bioactivity of chemically transformed humic matter from vermicompost on plant root growth. J. Agr. Food Chem. 2010, 58, 3681–3688. [Google Scholar] [CrossRef]
  137. Schmidt, W.; Santi, S.; Pinton, R.; Varanini, Z. Water-extractable humic substances alter root development and epidermal cell pattern in Arabidopsis. Plant Soil J. 2007, 300, 259–267. [Google Scholar] [CrossRef]
  138. Abobatta, W.F. Influence of magnetic iron and k-humate on productivity of Valencia orange trees (Citrus Sinensis L.) under salinity conditions. Int. J. Sci. Res. Agric. Sci. 2015, 2, 108–119. [Google Scholar]
  139. Sharaf, M.M.; Bakry, K.A.; EL- Gioushy, S.F. The influence of some bio and organic nutritive addenda on growth, productivity, fruit quality and nutritional status of Washington navel orange trees. Egypt. J. Appl. Sci. 2011, 26, 253–269. [Google Scholar]
  140. Ahmed, S.; Abbas, T.; Anwar, R.; Khan, M.M.; Bilal, M.R.; Pervez, M.A. Effect of humic acid on some morpho-physiological and bio-chemical attributes of Kinnow mandarin (Citrus reticulata Blanco). HortScience 2009, 44, 945. [Google Scholar]
  141. El-Shazly, S.M.; Mostafa, N.S. Enhancement yield, fruit quality and nutritional status of Washington navel orange trees by application of biostimulants. J. Appl. Sci. Res. 2013, 9, 5030–5034. [Google Scholar]
  142. Canellas, L.P.; Olivares, F.L.; Okorokova-Façanha, A.L.; Façanha, A.R. Humic acids isolated from earthworm compost enhance root elongation, lateral root emergence, and plasma membrane H+-ATPase activity in maize roots. Plant. Physiol. 2002, 130, 1951–1957. [Google Scholar] [CrossRef]
  143. Mora, V.; Baigorri, R.; Bacaicoa, E.; Zamarreno, A.M.; García-Mina, J.M. The humic acid-induced changes in the root concentration of nitric oxide, IAA and ethylene do not explain the changes in root architecture caused by humic acid in cucumber. Environ. Exp. Bot. 2012, 76, 24–32. [Google Scholar] [CrossRef]
  144. Zandonadi, D.B.; Santos, M.P.; Dobbss, L.B.; Olivares, F.L.; Canellas, L.P.; Binzel, M.L.; Okorokova-Façanha, A.L.; Façanha, A.R. Nitric oxide mediates humic acids-induced root development and plasma membrane H+-ATPase activation. Planta 2010, 231, 1025–1036. [Google Scholar] [CrossRef]
  145. Jindo, K.; Canellas, L.P.; Albacete, A.; Figueiredo dos Santos, L.; Frinhani Rocha, R.L.; Carvalho Baia, D.; Oliveira Aguiar Canellas, N.; Goron, T.L.; Olivares, F.L. Interaction between Humic Substances and Plant Hormones for Phosphorous Acquisition. Agronomy 2020, 10, 640. [Google Scholar] [CrossRef]
  146. Hirschi, K.D. The calcium conundrum. Both versatile nutrient and specific signal. Plant Physiol. 2004, 136, 2438–2442. [Google Scholar] [CrossRef]
  147. Hao, X.; Papadopoulos, A.P. Effects of calcium and magnesium on growth, fruit yield and quality in a fall greenhouse tomato crop grown on rockwool. Can. J. Plant Sci. 2003, 83, 903–912. [Google Scholar]
  148. Rubio, J.S.; Garcia-Sanchez, F.; Rubio, F.; Martinez, V. Yield, blossom-end rot incidence, and fruit quality in pepper plants under moderate salinity are affected by K+ and Ca2+ fertilization. Sci. Hortic. 2009, 119, 79–87. [Google Scholar] [CrossRef]
Figure 1. Effect of soil-added humic acid (SHA), foliarly sprayed humic acid (FHA), and their combination (SHA + FHA) on soil nutrient contents (N (A), P (B), K (C), Fe (D), Mn (E), Zn (F)) of the Mexican lime orchard by the end of the two-season experiment in late September 2021. Control: T1; SHA: T2 (10 mL·tree−1), T3 (20 mL·tree−1), T4 (30 mL·tree−1); FHA: T5 (0.1%), T6 (0.2%); SHA + FHA: T7 (10 mL·tree−1 + 0.1%), T8 (10 mL·tree−1 + 0.2%), T9 (20 mL·tree−1 + 0.1%), T10 (20 mL·tree−1 + 0.2%), T11 (30 mL·tree−1 + 0.1%), T12 (30 mL·tree−1 + 0.2%). Values are the means of three replicates (n = 3) ± standard error (SE). The means with the same letters are insignificantly different at probability (p) ≤ 0.05 using Tukey’s honestly significant difference (HSD) test.
Figure 1. Effect of soil-added humic acid (SHA), foliarly sprayed humic acid (FHA), and their combination (SHA + FHA) on soil nutrient contents (N (A), P (B), K (C), Fe (D), Mn (E), Zn (F)) of the Mexican lime orchard by the end of the two-season experiment in late September 2021. Control: T1; SHA: T2 (10 mL·tree−1), T3 (20 mL·tree−1), T4 (30 mL·tree−1); FHA: T5 (0.1%), T6 (0.2%); SHA + FHA: T7 (10 mL·tree−1 + 0.1%), T8 (10 mL·tree−1 + 0.2%), T9 (20 mL·tree−1 + 0.1%), T10 (20 mL·tree−1 + 0.2%), T11 (30 mL·tree−1 + 0.1%), T12 (30 mL·tree−1 + 0.2%). Values are the means of three replicates (n = 3) ± standard error (SE). The means with the same letters are insignificantly different at probability (p) ≤ 0.05 using Tukey’s honestly significant difference (HSD) test.
Agronomy 13 01680 g001
Figure 2. Effect of SHA, FHA and SHA + FHA on soil microorganisms expressed as colony-forming units per gram of dry soil weight (CFU·g−1 dw) of the Mexican lime orchard by the end of the two-season experiment in late September 2021. Control: T1; SHA: T2 (10 mL·tree−1), T3 (20 mL·tree−1), T4 (30 mL·tree−1); FHA: T5 (0.1%), T6 (0.2%); SHA + FHA: T7 (10 mL·tree−1 + 0.1%), T8 (10 mL·tree−1 + 0.2%), T9 (20 mL·tree−1 + 0.1%), T10 (20 mL·tree−1 + 0.2%), T11 (30 mL·tree−1 + 0.1%), T12 (30 mL·tree−1 + 0.2%). Values are the means of three replicates (n = 3) ± SE. The means with the same letters under each category are insignificantly different at p ≤ 0.05 using Tukey’s HSD test.
Figure 2. Effect of SHA, FHA and SHA + FHA on soil microorganisms expressed as colony-forming units per gram of dry soil weight (CFU·g−1 dw) of the Mexican lime orchard by the end of the two-season experiment in late September 2021. Control: T1; SHA: T2 (10 mL·tree−1), T3 (20 mL·tree−1), T4 (30 mL·tree−1); FHA: T5 (0.1%), T6 (0.2%); SHA + FHA: T7 (10 mL·tree−1 + 0.1%), T8 (10 mL·tree−1 + 0.2%), T9 (20 mL·tree−1 + 0.1%), T10 (20 mL·tree−1 + 0.2%), T11 (30 mL·tree−1 + 0.1%), T12 (30 mL·tree−1 + 0.2%). Values are the means of three replicates (n = 3) ± SE. The means with the same letters under each category are insignificantly different at p ≤ 0.05 using Tukey’s HSD test.
Agronomy 13 01680 g002
Figure 3. Effect of SHA, FHA and SHA + FHA on leaf macronutrient contents (N (A), P (B), K (C), Ca (D), Mg (E)), as a percentage of leaf dry weight of the Mexican lime trees during the 2020 and 2021 seasons. Control: T1; SHA: T2 (10 mL·tree−1), T3 (20 mL·tree−1), T4 (30 mL·tree−1); FHA: T5 (0.1%), T6 (0.2%); SHA + FHA: T7 (10 mL·tree−1 + 0.1%), T8 (10 mL·tree−1 + 0.2%), T9 (20 mL·tree−1 + 0.1%), T10 (20 mL·tree−1 + 0.2%), T11 (30 mL·tree−1 + 0.1%), T12 (30 mL·tree−1 + 0.2%). Values are the means of three replicates (n = 3) ± SE. The means with the same lowercase or uppercase letters in the 2020 or 2021 seasons, respectively, are insignificantly different at p ≤ 0.05 using Tukey’s HSD test.
Figure 3. Effect of SHA, FHA and SHA + FHA on leaf macronutrient contents (N (A), P (B), K (C), Ca (D), Mg (E)), as a percentage of leaf dry weight of the Mexican lime trees during the 2020 and 2021 seasons. Control: T1; SHA: T2 (10 mL·tree−1), T3 (20 mL·tree−1), T4 (30 mL·tree−1); FHA: T5 (0.1%), T6 (0.2%); SHA + FHA: T7 (10 mL·tree−1 + 0.1%), T8 (10 mL·tree−1 + 0.2%), T9 (20 mL·tree−1 + 0.1%), T10 (20 mL·tree−1 + 0.2%), T11 (30 mL·tree−1 + 0.1%), T12 (30 mL·tree−1 + 0.2%). Values are the means of three replicates (n = 3) ± SE. The means with the same lowercase or uppercase letters in the 2020 or 2021 seasons, respectively, are insignificantly different at p ≤ 0.05 using Tukey’s HSD test.
Agronomy 13 01680 g003
Figure 4. Effect of SHA, FHA and SHA + FHA on leaf micronutrient contents (Fe (A), Mn (B), Zn (C), Cu (D), B (E)) of the Mexican lime trees during the 2020 and 2021 seasons. Control: T1; SHA: T2 (10 mL·tree−1), T3 (20 mL·tree−1), T4 (30 mL·tree−1); FHA: T5 (0.1%), T6 (0.2%); SHA + FHA: T7 (10 mL·tree−1 + 0.1%), T8 (10 mL·tree−1 + 0.2%), T9 (20 mL·tree−1 + 0.1%), T10 (20 mL·tree−1 + 0.2%), T11 (30 mL·tree−1 + 0.1%), T12 (30 mL·tree−1 + 0.2%). Values are the means of three replicates (n = 3) ± SE. The means with the same lowercase or uppercase letters in the 2020 or 2021 seasons, respectively, are insignificantly different at p ≤ 0.05 using Tukey’s HSD test.
Figure 4. Effect of SHA, FHA and SHA + FHA on leaf micronutrient contents (Fe (A), Mn (B), Zn (C), Cu (D), B (E)) of the Mexican lime trees during the 2020 and 2021 seasons. Control: T1; SHA: T2 (10 mL·tree−1), T3 (20 mL·tree−1), T4 (30 mL·tree−1); FHA: T5 (0.1%), T6 (0.2%); SHA + FHA: T7 (10 mL·tree−1 + 0.1%), T8 (10 mL·tree−1 + 0.2%), T9 (20 mL·tree−1 + 0.1%), T10 (20 mL·tree−1 + 0.2%), T11 (30 mL·tree−1 + 0.1%), T12 (30 mL·tree−1 + 0.2%). Values are the means of three replicates (n = 3) ± SE. The means with the same lowercase or uppercase letters in the 2020 or 2021 seasons, respectively, are insignificantly different at p ≤ 0.05 using Tukey’s HSD test.
Agronomy 13 01680 g004aAgronomy 13 01680 g004b
Figure 5. Effect of SHA, FHA and SHA + FHA on leaf chlorophyll (a (A), b (B), total (C)) and proline (D) contents of the Mexican lime trees during the 2020 and 2021 seasons. Control: T1; SHA: T2 (10 mL·tree−1), T3 (20 mL·tree−1), T4 (30 mL·tree−1); FHA: T5 (0.1%), T6 (0.2%); SHA + FHA: T7 (10 mL·tree−1 + 0.1%), T8 (10 mL·tree−1 + 0.2%), T9 (20 mL·tree−1 + 0.1%), T10 (20 mL·tree−1 + 0.2%), T11 (30 mL·tree−1 + 0.1%), T12 (30 mL·tree−1 + 0.2%). Values are the means of three replicates (n = 3) ± SE. The means with the same lowercase or uppercase letters in the 2020 or 2021 seasons, respectively, are insignificantly different at p ≤ 0.05 using Tukey’s HSD test.
Figure 5. Effect of SHA, FHA and SHA + FHA on leaf chlorophyll (a (A), b (B), total (C)) and proline (D) contents of the Mexican lime trees during the 2020 and 2021 seasons. Control: T1; SHA: T2 (10 mL·tree−1), T3 (20 mL·tree−1), T4 (30 mL·tree−1); FHA: T5 (0.1%), T6 (0.2%); SHA + FHA: T7 (10 mL·tree−1 + 0.1%), T8 (10 mL·tree−1 + 0.2%), T9 (20 mL·tree−1 + 0.1%), T10 (20 mL·tree−1 + 0.2%), T11 (30 mL·tree−1 + 0.1%), T12 (30 mL·tree−1 + 0.2%). Values are the means of three replicates (n = 3) ± SE. The means with the same lowercase or uppercase letters in the 2020 or 2021 seasons, respectively, are insignificantly different at p ≤ 0.05 using Tukey’s HSD test.
Agronomy 13 01680 g005
Figure 6. Effect of SHA, FHA and SHA + FHA on the vegetative growth parameters (shoot length (A), number of leaves per shoot (B), leaf area (C), canopy volume (D)) of Mexican lime trees during the 2020 and 2021 seasons. Control: T1; SHA: T2 (10 mL·tree−1), T3 (20 mL·tree−1), T4 (30 mL·tree−1); FHA: T5 (0.1%), T6 (0.2%); SHA + FHA: T7 (10 mL·tree−1 + 0.1%), T8 (10 mL·tree−1 + 0.2%), T9 (20 mL·tree−1 + 0.1%), T10 (20 mL·tree−1 + 0.2%), T11 (30 mL·tree−1 + 0.1%), T12 (30 mL·tree−1 + 0.2%). Values are the means of three replicates (n = 3) ± SE. The means with the same lowercase or uppercase letters in the 2020 or 2021 seasons, respectively, are insignificantly different at p ≤ 0.05 using Tukey’s HSD test.
Figure 6. Effect of SHA, FHA and SHA + FHA on the vegetative growth parameters (shoot length (A), number of leaves per shoot (B), leaf area (C), canopy volume (D)) of Mexican lime trees during the 2020 and 2021 seasons. Control: T1; SHA: T2 (10 mL·tree−1), T3 (20 mL·tree−1), T4 (30 mL·tree−1); FHA: T5 (0.1%), T6 (0.2%); SHA + FHA: T7 (10 mL·tree−1 + 0.1%), T8 (10 mL·tree−1 + 0.2%), T9 (20 mL·tree−1 + 0.1%), T10 (20 mL·tree−1 + 0.2%), T11 (30 mL·tree−1 + 0.1%), T12 (30 mL·tree−1 + 0.2%). Values are the means of three replicates (n = 3) ± SE. The means with the same lowercase or uppercase letters in the 2020 or 2021 seasons, respectively, are insignificantly different at p ≤ 0.05 using Tukey’s HSD test.
Agronomy 13 01680 g006
Figure 7. Effect of SHA, FHA and SHA + FHA on total yield (A) and number of fruit per tree (B) of Mexican lime during the 2020 and 2021 seasons. Control: T1; SHA: T2 (10 mL·tree−1), T3 (20 mL·tree−1), T4 (30 mL·tree−1); FHA: T5 (0.1%), T6 (0.2%); SHA + FHA: T7 (10 mL·tree−1 + 0.1%), T8 (10 mL·tree−1 + 0.2%), T9 (20 mL·tree−1 + 0.1%), T10 (20 mL·tree−1 + 0.2%), T11 (30 mL·tree−1 + 0.1%), T12 (30 mL·tree−1 + 0.2%). Values are the means of three replicates (n = 3) ± SE. The means with the same lowercase or uppercase letters in the 2020 or 2021 seasons, respectively, are insignificantly different at p ≤ 0.05 using Tukey’s HSD test.
Figure 7. Effect of SHA, FHA and SHA + FHA on total yield (A) and number of fruit per tree (B) of Mexican lime during the 2020 and 2021 seasons. Control: T1; SHA: T2 (10 mL·tree−1), T3 (20 mL·tree−1), T4 (30 mL·tree−1); FHA: T5 (0.1%), T6 (0.2%); SHA + FHA: T7 (10 mL·tree−1 + 0.1%), T8 (10 mL·tree−1 + 0.2%), T9 (20 mL·tree−1 + 0.1%), T10 (20 mL·tree−1 + 0.2%), T11 (30 mL·tree−1 + 0.1%), T12 (30 mL·tree−1 + 0.2%). Values are the means of three replicates (n = 3) ± SE. The means with the same lowercase or uppercase letters in the 2020 or 2021 seasons, respectively, are insignificantly different at p ≤ 0.05 using Tukey’s HSD test.
Agronomy 13 01680 g007
Figure 8. Effect of SHA, FHA and SHA + FHA on Mexican lime fruit physical characteristics (weight (A), volume (B), firmness (C), juice content (D) during the 2020 and 2021 seasons. Control: T1; SHA: T2 (10 mL·tree−1), T3 (20 mL·tree−1), T4 (30 mL·tree−1); FHA: T5 (0.1%), T6 (0.2%); SHA + FHA: T7 (10 mL·tree−1 + 0.1%), T8 (10 mL·tree−1 + 0.2%), T9 (20 mL·tree−1 + 0.1%), T10 (20 mL·tree−1 + 0.2%), T11 (30 mL·tree−1 + 0.1%), T12 (30 mL·tree−1 + 0.2%). Values are the means of three replicates (n = 3) ± SE. The means with the same lowercase or uppercase letters in the 2020 or 2021 seasons, respectively, are insignificantly different at p ≤ 0.05 using Tukey’s HSD test.
Figure 8. Effect of SHA, FHA and SHA + FHA on Mexican lime fruit physical characteristics (weight (A), volume (B), firmness (C), juice content (D) during the 2020 and 2021 seasons. Control: T1; SHA: T2 (10 mL·tree−1), T3 (20 mL·tree−1), T4 (30 mL·tree−1); FHA: T5 (0.1%), T6 (0.2%); SHA + FHA: T7 (10 mL·tree−1 + 0.1%), T8 (10 mL·tree−1 + 0.2%), T9 (20 mL·tree−1 + 0.1%), T10 (20 mL·tree−1 + 0.2%), T11 (30 mL·tree−1 + 0.1%), T12 (30 mL·tree−1 + 0.2%). Values are the means of three replicates (n = 3) ± SE. The means with the same lowercase or uppercase letters in the 2020 or 2021 seasons, respectively, are insignificantly different at p ≤ 0.05 using Tukey’s HSD test.
Agronomy 13 01680 g008
Figure 9. Effect of SHA, FHA and SHA + FHA on Mexican lime fruit chemical characteristics (soluble solid contents [SSC; (A)], total acidity [TA; (B)], SSC:TA ratio (C), vitamin C (D)) during the 2020 and 2021 seasons. Control: T1; SHA: T2 (10 mL·tree−1), T3 (20 mL·tree−1), T4 (30 mL·tree−1); FHA: T5 (0.1%), T6 (0.2%); SHA + FHA: T7 (10 mL·tree−1 + 0.1%), T8 (10 mL·tree−1 + 0.2%), T9 (20 mL·tree−1 + 0.1%), T10 (20 mL·tree−1 + 0.2%), T11 (30 mL·tree−1 + 0.1%), T12 (30 mL·tree−1 + 0.2%). Values are the means of three replicates (n = 3) ± SE. The means with the same lowercase or uppercase letters in the 2020 or 2021 seasons, respectively, are insignificantly different at p ≤ 0.05 using Tukey’s HSD test.
Figure 9. Effect of SHA, FHA and SHA + FHA on Mexican lime fruit chemical characteristics (soluble solid contents [SSC; (A)], total acidity [TA; (B)], SSC:TA ratio (C), vitamin C (D)) during the 2020 and 2021 seasons. Control: T1; SHA: T2 (10 mL·tree−1), T3 (20 mL·tree−1), T4 (30 mL·tree−1); FHA: T5 (0.1%), T6 (0.2%); SHA + FHA: T7 (10 mL·tree−1 + 0.1%), T8 (10 mL·tree−1 + 0.2%), T9 (20 mL·tree−1 + 0.1%), T10 (20 mL·tree−1 + 0.2%), T11 (30 mL·tree−1 + 0.1%), T12 (30 mL·tree−1 + 0.2%). Values are the means of three replicates (n = 3) ± SE. The means with the same lowercase or uppercase letters in the 2020 or 2021 seasons, respectively, are insignificantly different at p ≤ 0.05 using Tukey’s HSD test.
Agronomy 13 01680 g009
Figure 10. Principal component analysis (PCA) showing the score and loading plots of SHA, FHA and SHA + FHA effects on the Mexican lime tree and fruit characteristics during the 2020 (A) and 2021 (B) seasons, and soil characteristics by the end of the two-season experiment in 2021 (C). Control: T1; SHA: T2 (10 mL·tree−1), T3 (20 mL·tree−1), T4 (30 mL·tree−1); FHA: T5 (0.1%), T6 (0.2%); SHA + FHA: T7 (10 mL·tree−1 + 0.1%), T8 (10 mL·tree−1 + 0.2%), T9 (20 mL·tree−1 + 0.1%), T10 (20 mL·tree−1 + 0.2%), T11 (30 mL·tree−1 + 0.1%), T12 (30 mL·tree−1 + 0.2%). Values are the means of three replicates (n = 3).
Figure 10. Principal component analysis (PCA) showing the score and loading plots of SHA, FHA and SHA + FHA effects on the Mexican lime tree and fruit characteristics during the 2020 (A) and 2021 (B) seasons, and soil characteristics by the end of the two-season experiment in 2021 (C). Control: T1; SHA: T2 (10 mL·tree−1), T3 (20 mL·tree−1), T4 (30 mL·tree−1); FHA: T5 (0.1%), T6 (0.2%); SHA + FHA: T7 (10 mL·tree−1 + 0.1%), T8 (10 mL·tree−1 + 0.2%), T9 (20 mL·tree−1 + 0.1%), T10 (20 mL·tree−1 + 0.2%), T11 (30 mL·tree−1 + 0.1%), T12 (30 mL·tree−1 + 0.2%). Values are the means of three replicates (n = 3).
Agronomy 13 01680 g010aAgronomy 13 01680 g010b
Figure 11. Two-way hierarchical cluster analysis (HCA) and a heat map showing the effect of SHA, FHA and SHA + FHA on the Mexican lime tree and fruit characteristics during the 2020 (A) and 2021 (B) seasons, and soil characteristics by the end of the two-season experiment in 2021 (C). Rows represent the treatments: Control: T1; SHA: T2 (10 mL·tree−1), T3 (20 mL·tree−1), T4 (30 mL·tree−1); FHA: T5 (0.1%), T6 (0.2%); SHA + FHA: T7 (10 mL·tree−1 + 0.1%), T8 (10 mL·tree−1 + 0.2%), T9 (20 mL·tree−1 + 0.1%), T10 (20 mL·tree−1 + 0.2%), T11 (30 mL·tree−1 + 0.1%), T12 (30 mL·tree−1 + 0.2%). Values are the means of three replicates (n = 3). Columns represent tree, fruit, and soil characteristics. Higher peak areas are colored red, and lower peak areas are colored green.
Figure 11. Two-way hierarchical cluster analysis (HCA) and a heat map showing the effect of SHA, FHA and SHA + FHA on the Mexican lime tree and fruit characteristics during the 2020 (A) and 2021 (B) seasons, and soil characteristics by the end of the two-season experiment in 2021 (C). Rows represent the treatments: Control: T1; SHA: T2 (10 mL·tree−1), T3 (20 mL·tree−1), T4 (30 mL·tree−1); FHA: T5 (0.1%), T6 (0.2%); SHA + FHA: T7 (10 mL·tree−1 + 0.1%), T8 (10 mL·tree−1 + 0.2%), T9 (20 mL·tree−1 + 0.1%), T10 (20 mL·tree−1 + 0.2%), T11 (30 mL·tree−1 + 0.1%), T12 (30 mL·tree−1 + 0.2%). Values are the means of three replicates (n = 3). Columns represent tree, fruit, and soil characteristics. Higher peak areas are colored red, and lower peak areas are colored green.
Agronomy 13 01680 g011aAgronomy 13 01680 g011b
Table 1. Weather data of Baltim, Kafr El-Sheikh, Egypt during the 2019/2020 and 2020/2021 seasons.
Table 1. Weather data of Baltim, Kafr El-Sheikh, Egypt during the 2019/2020 and 2020/2021 seasons.
SeasonTemperature
(°C)
Humidity
(%)
Rainfall
(mm·month−1)
Wind Speed
(km·h−1)
Cloud
(%)
Sun
(h·month−1)
UV
Index
October2019266737.712.1143416
2020276316.011.6123256
November201923611.612.193436
2020216352.111.1401475
December2019186241.814.3232785
2020186317.410.8262424
January2020147165.414.8451544
2021176625.313.9282495
February2020157131.813.4361524
2021176945.413.2321914
March2020186640.015.5292466
202118633.915.1212765
April202021641.714.6162946
202122550.416.2123067
May202026560.315.2103416
202128540.113.753648
June202028610.014.463537
202128590.013.523608
July202030680.114.253658
202131610.014.433708
August202030680.014.233678
202132600.012.913728
September202030680.013.153527
202129620.114.273527
Table 2. Soil and water analysis of the experimental site before the beginning of the experiment in 2020.
Table 2. Soil and water analysis of the experimental site before the beginning of the experiment in 2020.
ParameterSoil (Depth = 0–60 cm)Water
TextureClay
Sand (%)24.1
Silt (%)18.0
Clay (%)57.9
Organic matter (%)1.09
N (mg·kg−1)54.18
P (mg·kg−1)3.56
K (mg·kg−1)54.36
Fe (mg·kg−1)20.31
Mn (mg·kg−1)7.80
Zn (mg·kg−1)3.55
Ca2+ (meq·L−1)14.105.57
Mg2+ (meq·L−1)4.581.77
Na+ (meq·L−1)18.2512.04
Sodium adsorption ratio (SAR)8.446.28
K+ (meq·L−1)4.610.63
CO32− (meq·L−1)0.030.00
HCO3 (meq·L−1)3.914.66
Cl (meq·L−1)17.8212.80
SO42− (meq·L−1)19.782.55
EC (ds·m−1) [1:5 extract]3.801.78
pH (1:2.5 extract)8.207.35
Table 3. Quantity of the irrigation water applied to Mexican lime trees during the 2019/2020 and 2020/2021 seasons.
Table 3. Quantity of the irrigation water applied to Mexican lime trees during the 2019/2020 and 2020/2021 seasons.
MonthDripper Discharge Amount
(L·h−1)
Number of Drippers Per TreeIrrigation Period (h·day−1)Daily Water Quantity
(L·tree−1)
Monthly Water Quantity
(L·tree−1)
October481 h, 48 m58.021798.62
November481 h, 43 m56.461693.80
December481 h, 4 m34.311063.61
January481 h, 2 m32.661012.46
February481 h, 4 m34.39962.92
March481 h, 29 m47.301466.30
April481 h, 48 m59.211776.30
May481 h, 48 m59.361840.16
June481 h, 52 m60.951828.50
July481 h, 52 m60.671880.77
August481 h, 52 m60.821885.42
September481 h, 52 m60.611818.30
Annual water quantity (m3·tree−1) = 19.027 m3
Annual water quantity (m3·hectare−1) = 7610.86 m3
Disclaimer/Publisher’s Note: The statements, opinions and data contained in all publications are solely those of the individual author(s) and contributor(s) and not of MDPI and/or the editor(s). MDPI and/or the editor(s) disclaim responsibility for any injury to people or property resulting from any ideas, methods, instructions or products referred to in the content.

Share and Cite

MDPI and ACS Style

Ennab, H.A.; Mohamed, A.H.; El-Hoseiny, H.M.; Omar, A.A.; Hassan, I.F.; Gaballah, M.S.; Khalil, S.E.; Mira, A.M.; Abd El-Khalek, A.F.; Alam-Eldein, S.M. Humic Acid Improves the Resilience to Salinity Stress of Drip-Irrigated Mexican Lime Trees in Saline Clay Soils. Agronomy 2023, 13, 1680. https://doi.org/10.3390/agronomy13071680

AMA Style

Ennab HA, Mohamed AH, El-Hoseiny HM, Omar AA, Hassan IF, Gaballah MS, Khalil SE, Mira AM, Abd El-Khalek AF, Alam-Eldein SM. Humic Acid Improves the Resilience to Salinity Stress of Drip-Irrigated Mexican Lime Trees in Saline Clay Soils. Agronomy. 2023; 13(7):1680. https://doi.org/10.3390/agronomy13071680

Chicago/Turabian Style

Ennab, Hassan A., Azza H. Mohamed, Hanan M. El-Hoseiny, Ahmad A. Omar, Islam F. Hassan, Maybelle S. Gaballah, Soha E. Khalil, Amany M. Mira, Ahmed F. Abd El-Khalek, and Shamel M. Alam-Eldein. 2023. "Humic Acid Improves the Resilience to Salinity Stress of Drip-Irrigated Mexican Lime Trees in Saline Clay Soils" Agronomy 13, no. 7: 1680. https://doi.org/10.3390/agronomy13071680

APA Style

Ennab, H. A., Mohamed, A. H., El-Hoseiny, H. M., Omar, A. A., Hassan, I. F., Gaballah, M. S., Khalil, S. E., Mira, A. M., Abd El-Khalek, A. F., & Alam-Eldein, S. M. (2023). Humic Acid Improves the Resilience to Salinity Stress of Drip-Irrigated Mexican Lime Trees in Saline Clay Soils. Agronomy, 13(7), 1680. https://doi.org/10.3390/agronomy13071680

Note that from the first issue of 2016, this journal uses article numbers instead of page numbers. See further details here.

Article Metrics

Back to TopTop