Preliminary Evaluation of Four Legume and Grass Species to Compose Roadside Revegetation in Piauí, Brazil
Abstract
:1. Introduction
2. Materials and Methods
2.1. Experimental Design
2.2. Sowing and Data Collection
2.3. Data Analysis
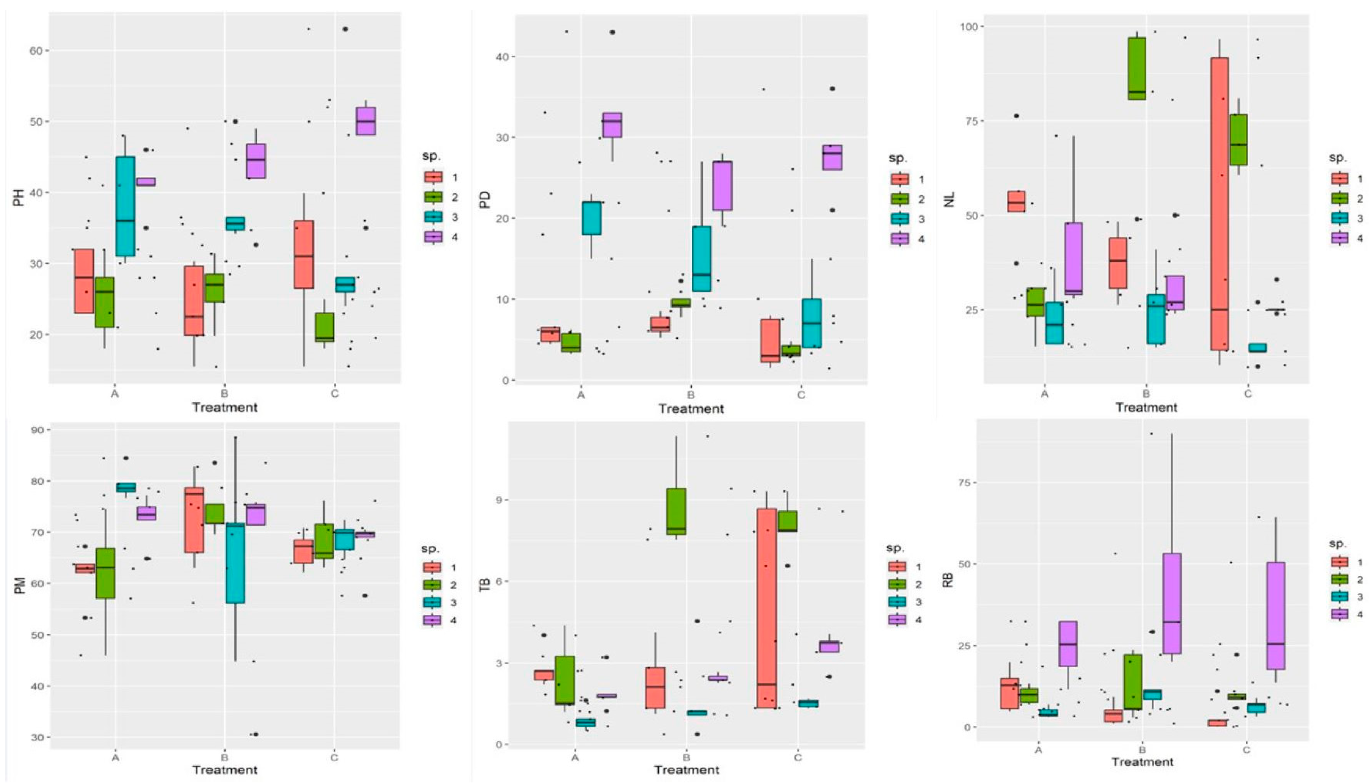
3. Results
4. Discussion
5. Conclusions
Author Contributions
Funding
Data Availability Statement
Acknowledgments
Conflicts of Interest
References
- Ament, R.; Pokorny, M.; Mangold, J.; Orloff, N. Native plants for roadside revegetation in Idaho. NPJ 2017, 18, 4–19. [Google Scholar] [CrossRef]
- Oliveira, S.L.; Bastos, R.P.; Lacerda, K.A.P.; Lacerda, S.E.A. Ecology of roads: State of art in Brazil and in the world (Ecologia de estradas: Estado da arte no Brasil e no mundo). Braz. J. Dev. 2020, 6, 98546–98573. [Google Scholar] [CrossRef]
- Forman, R.T.T.; Alexander, L.E. Roads and their major ecological effects. Annu. Rev. Ecol. Syst. 1998, 29, 207–231. [Google Scholar] [CrossRef]
- Pinto, F.A.S.; Clevenger, A.P.; Grilo, C. Effects of roads on terrestrial vertebrate species in Latin America. Environ. Impact Assess. Rev. 2020, 81, 106337. [Google Scholar] [CrossRef]
- Moura-Neto, A.; Fernandes, G.S.T.; Lopes, J.R.A.; Lima, E.A.; Lopes, P.M.O.; Rodrigues, L.S.; Gonçalves Junior, A.S. Changes in land use and cover and their consequences on the spatial distribution of evapotranspiration and climatic elements in southwest Piauí, MATOPIBA. J. South Am. Earth Sci. 2022, 120, 104084. [Google Scholar] [CrossRef]
- Hershaw, E.; Sauer, S. Land and investment dynamics along Brazil’s ‘final’ frontier: The financialization of the Matopiba at a political crossroads. Land Use Policy 2023, 131, 106675. [Google Scholar] [CrossRef]
- Brasil Departamento Nacional de Infraestrutura de Transportes; Diretoria Executiva; Instituto de Pesquisas Rodoviárias (IPR). Road Vegetation Guideline (Manual de Vegetação Rodoviária); IPR: Rio de Janeiro, Brazil, 2009; 129p. Available online: https://www.gov.br/dnit/pt-br/assuntos/planejamento-e-pesquisa/ipr/coletanea-de-manuais/vigentes/734_manual_de_vegetacao_rodoviaria-volume_1.pdf (accessed on 18 March 2023).
- Tinsley, M.J.; Simmons, M.T.; Windhager, S. The establishment success of native versus non-native herbaceous seed mixes on a revegetated roadside in Central Texas. Ecol. Eng. 2006, 26, 231–240. [Google Scholar] [CrossRef]
- Baldauf, R. Roadside vegetation design characteristics that can improve local, near-road air quality. Transp. Res. D Transp. Environ. 2017, 52, 354–361. [Google Scholar] [CrossRef]
- Carvalho, R.A.; Castro, S.M.; Almeida, J.R.; Rodrigues, M.G. Vegetal protection of landfill slope: The case of the platform railway transnordestina, Ceará, Brazil (Proteção vegetal de taludes de aterro: O caso da plataforma da Ferrovia Transnordestina, Ceará, Brasil). Nat. Resour. 2012, 2, 6–17. [Google Scholar] [CrossRef]
- Armstrong, A.; Christians, R.; Erickson, V.; Hopwood, J.; Horning, M.; Kramer, A.; Moore, L.; Remley, D.; Roberts, S.; Skinner, M.; et al. Roadside Revegetation: An Integrated Approach to Establishing Native Plants and Pollinator Habitat; US Department of Transportation and Federal Highway Administration (FHWA): Washington, DC, USA, 2017; pp. 248–250. Available online: https://www.environment.fhwa.dot.gov/env_topics/ecosystems/roadside_revegetation/roadside_revegetation.pdf (accessed on 10 July 2023).
- Wilkinson, K.M.; Scott, A.R.; Steinfeld, D.E.; Landis, T.D. Native Plants on Disturbed Roadsides: Introduction to a New Integrated Approach. NPJ 2008, 9, 267–277. [Google Scholar] [CrossRef]
- Lázaro-Lobo, A.; Ervin, G.N. A global examination on the differential impacts of roadsides on native vs. exotic and weedy plant species. Glob. Ecol. Conserv. 2019, 17, e00555. [Google Scholar] [CrossRef]
- Askew, S.D.; Goatley, J.M.; Gonçalves, C. Promoting Native Roadside Plant Communities and Ensuring Successful Vegetation Establishment Practices; Virginia Transportation Research Council (VTRC): Charlottesville, VA, USA, 2023; 31p. Available online: https://rosap.ntl.bts.gov/view/dot/66852 (accessed on 7 July 2023).
- Hilvers, G.; Hopkinson, L.; Davis, E. Evaluation of revegetation techniques for roadside construction sites. J. Environ. Eng. Landsc. Manag. 2017, 25, 305–315. [Google Scholar] [CrossRef]
- Casaroli, D.; Van Lier, Q.J. Criteria for pot capacity determination (Critérios para determinação da capacidade de vaso). Rev. Bras. Cienc. Solo 2008, 32, 59–66. [Google Scholar] [CrossRef]
- Teixeira, P.C.; Donagemma, G.K.; Fontana, A.; Teixeira, W.G. Manual of Soil Analysis Methods (Manual de Métodos de Análise de solo), 3rd ed; Embrapa: Brasília, DF, Brazil, 2017; 574p, ISBN 9788570357717. [Google Scholar]
- Detmann, E.; Souza, M.A.; Valadares Filho, S.C.; Queiroz, A.C.; Berchielli, T.T.; Saliba, E.O.S.; Cabral, L.S.; Pina, D.S.; Ladeira, M.M.; Azevedo, J.A.G. Methods for Food Analysis (Métodos para Análise de Alimentos)—INCT—Ciência Animal, 2nd ed; Suprema: Visconde do Rio Branco, MG, Brazil, 2021; 214p, ISBN 9786599512223. [Google Scholar]
- Ferreira, D.F. Sisvar: A computer statistical analysis system. Ciênc. Agrotec. 2011, 35, 1039–1042. [Google Scholar] [CrossRef]
- Brasil Departamento Nacional de Infraestrutura de Transportes; Diretoria de Planejamento e Pesquisa; Coordenação Geral de Estudos e Pesquisa; Instituto de Pesquisas Rodoviárias. Environmental Protection Instructions for Right-of-Way and Borders of Federal Highways (Instruções de Proteção Ambiental das Faixas de Domínio e Lindeiras das Rodovias Federais), 2nd ed.; IPR: Rio de Janeiro, Brazil, 2005; 161p. Available online: https://www.gov.br/dnit/pt-br/assuntos/planejamento-e-pesquisa/ipr/coletanea-de-manuais/vigentes/713_instrucoes_protecao_ambiental.pdf (accessed on 15 March 2023).
- Molina, J.R.; Lora, A.; Prades, C.; Rodríguez y Silva, F. Roadside vegetation planning and conservation: New approach to prevent and mitigate wildfires based on fire ignition potential. For. Ecol. Manag. 2019, 444, 163–173. [Google Scholar] [CrossRef]
- Di, B.; Firn, J.; Buckley, Y.M.; Lomas, K.; Pausas, J.G.; Smith, A.L. Impact of roadside burning on genetic diversity in a high-biomass invasive grass. Evol. Appl. 2022, 15, 790–803. [Google Scholar] [CrossRef] [PubMed]
- Aslan, C.E.; Dickson, B.G. Non-native plants exert strong but under-studied influence on fire dynamics. NeoBiota 2020, 61, 47–64. [Google Scholar] [CrossRef]
- Goyal, R.K.; Habtewold, J.Z. Evaluation of legume–rhizobial symbiotic interactions beyond nitrogen fixation that help the host survival and diversification in hostile environments. Microorganisms 2023, 11, 1454. [Google Scholar] [CrossRef]
- Carvalho, A.M.D.; Santos, L.D.V.; Holanda, F.S.R.; Pedrotti, A.; Antonio, G.M. Digital image processing for evaluation of Paspalum millegrana schrad root system1. Rev. Caatinga 2020, 33, 100–107. [Google Scholar] [CrossRef]
- Hodges, T.M.; Lingwall, B.N. Effects of microbial biomineralization surface erosion control treatments on vegetation and revegetation along highways. Transp. Res. Rec. 2020, 2674, 1030–1040. [Google Scholar] [CrossRef]
- Asima, H.; Niedzinski, V.; O’Donnell, F.C.; Montgomery, J. Comparison of vegetation types for prevention of erosion and shallow slope failure on steep slopes in the southeastern USA. Land 2022, 11, 1739. [Google Scholar] [CrossRef]
- Nemec, K.; Stephenson, A.; Losch, M. How engineers and roadside vegetation managers maintain roadside vegetation in Iowa, USA. Environ. Manage. 2022, 70, 593–604. [Google Scholar] [CrossRef] [PubMed]
- Muir, J.P.; Dubeux, J.C., Jr.; Santos, M.V.; Maposse, I.C.; Pitman, W.D.; Butler, T.J. Challenges to domesticating native forage legumes. Trop. Grassl. 2014, 2, 94–96. [Google Scholar] [CrossRef]
- Valkó, O.; Fekete, R.; Molnár, A.; Halassy, M.; Deák, B. Roadside grassland restoration: Challenges and opportunities in the UN decade on ecosystem restoration. J. Environ. Sci. Health 2023, 34, 2–8. [Google Scholar] [CrossRef]
- Fonseca, D.M.; Martuscello, J.A. Forage Plants (Plantas Forrageiras); Editora da UFV: Viçosa, MG, Brazil, 2010; 537p, ISBN 9786559250332. [Google Scholar]
- Thang, P.T.; Vien, N.V.; Anh, L.H.; Xuan, T.D.; Duong, V.X.; Nhung, N.T.; Trung, K.H.; Quan, N.T.; Nguyen, C.C.; Loan, L.T.K.; et al. Assessment of allelopathic activity of Arachis pintoi Krapov. & W.C. Greg as a potential source of natural herbicide for paddy rice. Appl. Sci. 2023, 13, 8268. [Google Scholar] [CrossRef]
- Hoang, V.; Loan, N.; Tam, B.; Thiem, T. Effects of fertilization ratios on the growth of pinto peanut (Arachis pintoi) under drought stress conditions. Vietnam. J. Agric. Sci. 2019, 1, 249–260. [Google Scholar] [CrossRef]
- Carvalho, M.A.; Quesenberry, K.H. Morphological characterization of the USA Arachis pintoi Krap. and Greg. collection. Plant Syst. Evol. 2009, 277, 1–11. [Google Scholar] [CrossRef]
- Ramirez, M.A.; Jayme, D.G.; Gonçalves, L.C.; Menezes, R.A.; Borges, A.L.C.C.; Oliveira, A.F.; Camargos, G.H.S.; Ananias, J.V.A.; Teixeira, A.M.; Magalhães, F.A.; et al. Urochloa humidicola (Syn. Brachiaria humidicola). In Forage Tropical Grasses (Gramíneas Forrageiras Tropicais), 1st ed.; Jayme, D.G., Gonçalves, L.C., Ramirez, M.A., Menezes, R.A., Eds.; Fepe: Belo Horizonte, MG, Brazil, 2022; pp. 266–295. ISBN 9786599463020. [Google Scholar]
- Lopes, A.; Demarchi, L.O.; Piedade, M.T.F.; Schöngart, J.; Wittmann, F.; Munhoz, C.B.R.; Ferreira, C.S.; Franco, A.C. Predicting the range expansion of invasive alien grasses under climate change in the Neotropics. Perspect. Ecol. Conserv. 2023, 21, 128–135. [Google Scholar] [CrossRef]
- Einloft, R.; Ruiz, H.A.; Costa, L.M.; Schaefer, C.E.G.R.; Griffith, J.J.; Silva, W.M., Jr.; Passos, R.R. Monitoramento em longo prazo da contenção vegetativa em talude rodoviário de saprolito de gnaisse em Minas Gerais. Rev. Bras. Ciênc. Solo 2013, 37, 260–270. [Google Scholar] [CrossRef]
- Bennett, V.J. Effects of road density and pattern on the conservation of species and biodiversity. Curr. Landsc. Ecol. Rep. 2017, 2, 1–11. [Google Scholar] [CrossRef]


| Variables * | Plant Species ** | |||
| Arachis pintoi | Stylosanthes macrocephala | Brachiaria humidicula | Paspalum notatum | |
| PH (cm) | 24.1 c | 27.0 c | 43.9 a | 36.6 b |
| PD | 5.9 c | 5.6 c | 28.5 a | 14.7 b |
| NL | 59.0 a | 46.6 a | 33.2 b | 21.6 b |
| PM (%) | 68.1 | 67.3 | 68.0 | 71.6 |
| TB (g plant−1) | 6.4 a | 3.2 b | 2.6 b | 1.4 c |
| RB (g plant−1) | 11.0 b | 6.3 b | 7.9 b | 34.0 a |
| Variables * | Fertilization ** | |||
| Control | Limestone filler | Limestone filler + NPK | ||
| PH (cm) | 32.9 | 32.8 | 33.0 | |
| PD | 15.8 a | 14.3 a | 11.0 b | |
| NL | 26.1 | 44.1 | 40.1 | |
| PM (%) | 68.8 | 70.0 | 67.7 | |
| TB (g plant−1) | 2.1 b | 3.8 a | 4.4 a | |
| RB (g plant−1) | 12.5 | 18.2 | 13.7 | |
| Variables * | p-Value | SME *** | ||
| Plant species | Fertilization | Species × Fertilization | ||
| PH (cm) | <0.01 | 0.99 | 0.45 | 2.03 |
| PD | <0.01 | 0.04 | 0.052 | 0.95 |
| NL | <0.01 | 0.33 | 0.12 | 4.34 |
| PM (%) | 0.60 | 0.74 | 0.08 | 2.39 |
| TB (g plant−1) | <0.01 | <0.01 | 0.06 | 0.39 |
| RB (g plant−1) | <0.01 | 0.28 | 0.30 | 3.03 |
| Variables * | Plant Species ** | |||
| Arachis pintoi | Stylosanthes macrocephala | Brachiaria humidicula | Paspalum notatum | |
| PH (cm) | 19.2 d | 30.3 c | 54.2 a | 45.1 b |
| PD | 11.6 b | 2.8 d | 22.0 a | 6.8 c |
| NL | 15.4 b | 32.8 a | 29.5 a | 11.3 b |
| PM (%) | 60.8 b | 71.5 a | 75.3 a | 70.0 a |
| TB (g plant−1) | 2.3 b | 3.8 a | 4.0 a | 2.2 b |
| RB (g plant−1) | 4.1 b | 4.4 b | 6.7 b | 18.5 a |
| Variables * | Irrigation ** | |||
| 80% of field capacity | 40% of field capacity | |||
| PH (cm) | 37.8 | 36.6 | ||
| PD | 10.9 | 10.6 | ||
| NL | 21.3 | 23.1 | ||
| PM (%) | 68.7 | 70.1 | ||
| TB (g plant−1) | 2.9 | 3.2 | ||
| RB (g plant−1) | 8.0 | 8.9 | ||
| Variables * | p-Value | SME *** | ||
| Plant species | Irrigation | Species × Irrigation | ||
| PH (cm) | <0.01 | 0.69 | 0.87 | 2.9 |
| PD | <0.01 | 0.66 | 0.12 | 0.7 |
| NL | <0.01 | 0.27 | 0.26 | 1.5 |
| PM (%) | 0.01 | 0.62 | 0.25 | 2.9 |
| TB (g plant−1) | 0.01 | 0.37 | 0.06 | 0.4 |
| RB (g plant−1) | <0.01 | 0.33 | 0.61 | 0.9 |
| Experiment | Species | PH | PD | NL | PM | TB | RB | Sum |
|---|---|---|---|---|---|---|---|---|
| 1 | Arachis pintoi | 1 | 3 | 1 | 2 | 1 | 2 | 10 |
| Stylosanthes macrocephala | 2 | 4 | 2 | 4 | 2 | 4 | 18 | |
| Brachiaria humidicula | 4 | 1 | 3 | 3 | 3 | 3 | 17 | |
| Paspalum notatum | 3 | 2 | 4 | 1 | 4 | 1 | 15 | |
| 2 | Arachis pintoi | 1 | 2 | 3 | 4 | 3 | 4 | 17 |
| Stylosanthes macrocephala | 2 | 4 | 1 | 2 | 2 | 3 | 14 | |
| Brachiaria humidicula | 4 | 1 | 2 | 1 | 1 | 2 | 11 | |
| Paspalum notatum | 3 | 3 | 4 | 3 | 4 | 1 | 18 |
Disclaimer/Publisher’s Note: The statements, opinions and data contained in all publications are solely those of the individual author(s) and contributor(s) and not of MDPI and/or the editor(s). MDPI and/or the editor(s) disclaim responsibility for any injury to people or property resulting from any ideas, methods, instructions or products referred to in the content. |
© 2023 by the authors. Licensee MDPI, Basel, Switzerland. This article is an open access article distributed under the terms and conditions of the Creative Commons Attribution (CC BY) license (https://creativecommons.org/licenses/by/4.0/).
Share and Cite
Ribeiro, A.; Edvan, R.L.; Vieira, L.d.S.; Roder, K.T.B.; Barros, D.M.A.; Batista, A.P.; Souza, R.M.d.; Paraguai, V.; Moraes, E.N.d.; Ferraz Filho, A.C. Preliminary Evaluation of Four Legume and Grass Species to Compose Roadside Revegetation in Piauí, Brazil. Agronomy 2023, 13, 2283. https://doi.org/10.3390/agronomy13092283
Ribeiro A, Edvan RL, Vieira LdS, Roder KTB, Barros DMA, Batista AP, Souza RMd, Paraguai V, Moraes ENd, Ferraz Filho AC. Preliminary Evaluation of Four Legume and Grass Species to Compose Roadside Revegetation in Piauí, Brazil. Agronomy. 2023; 13(9):2283. https://doi.org/10.3390/agronomy13092283
Chicago/Turabian StyleRibeiro, Andressa, Ricardo Loiola Edvan, Layne da Silva Vieira, Keurin Terezinha Bezerra Roder, Dhiéssica Morgana Alves Barros, André Pereira Batista, Rodolfo Molinário de Souza, Vanessa Paraguai, Emídio Neves de Moraes, and Antonio Carlos Ferraz Filho. 2023. "Preliminary Evaluation of Four Legume and Grass Species to Compose Roadside Revegetation in Piauí, Brazil" Agronomy 13, no. 9: 2283. https://doi.org/10.3390/agronomy13092283
APA StyleRibeiro, A., Edvan, R. L., Vieira, L. d. S., Roder, K. T. B., Barros, D. M. A., Batista, A. P., Souza, R. M. d., Paraguai, V., Moraes, E. N. d., & Ferraz Filho, A. C. (2023). Preliminary Evaluation of Four Legume and Grass Species to Compose Roadside Revegetation in Piauí, Brazil. Agronomy, 13(9), 2283. https://doi.org/10.3390/agronomy13092283

