Next Article in Journal
Exploring the Diverse Response of Cropland Vegetation to Climatic Factors and Irrigation across China
Next Article in Special Issue
Early Detection of Rice Leaf Blast Disease Using Unmanned Aerial Vehicle Remote Sensing: A Novel Approach Integrating a New Spectral Vegetation Index and Machine Learning
Previous Article in Journal
Residues from Medicinal and Aromatic Plants after Distillation Can Be Used in Replace Some Peat in the Growing Media for Viola × wittrockiana Production
Previous Article in Special Issue
Monitoring Indicators for Comprehensive Growth of Summer Maize Based on UAV Remote Sensing
 
 
Font Type:
Arial Georgia Verdana
Font Size:
Aa Aa Aa
Line Spacing:
Column Width:
Background:
Article

Estimation of Soil Moisture Content Based on Fractional Differential and Optimal Spectral Index

The Key Laboratory of Agricultural Soil and Water Engineering in Arid Areas, Ministry of China, Northwest A&F University, Xianyang 712100, China
*
Author to whom correspondence should be addressed.
Agronomy 2024, 14(1), 184; https://doi.org/10.3390/agronomy14010184
Submission received: 14 December 2023 / Revised: 31 December 2023 / Accepted: 11 January 2024 / Published: 15 January 2024

Abstract

Applying hyperspectral remote sensing technology to the prediction of soil moisture content (SMC) during the growth stage of soybean emerges as an effective approach, imperative for advancing the development of modern precision agriculture. This investigation focuses on SMC during the flowering stage under varying nitrogen application levels and film mulching treatments. The soybean canopy’s original hyperspectral data, acquired at the flowering stage, underwent 0–2-order differential transformation (with a step size of 0.5). Five spectral indices exhibiting the highest correlation with SMC were identified as optimal inputs. Three machine learning methods, namely support vector machine (SVM), random forest (RF), and back propagation neural network (BPNN), were employed to formulate the SMC prediction model. The results indicate the following: (1) The correlation between the optimal spectral index of each order, obtained after fractional differential transformation, and SMC significantly improved compared to the original hyperspectral reflectance data. The average correlation coefficient between each spectral index and SMC under the 1.5-order treatment was 0.380% higher than that of the original spectral index, with mNDI showing the highest correlation coefficient at 0.766. (2) In instances of utilizing the same modeling method with different input variables, the SMC prediction model’s accuracy follows the order: 1.5 order > 2.0 order > 1.0 order > 0.5 order > original order. Conversely, with consistent input variables and a change in the modeling method, the accuracy order becomes RF > SVM > BPNN. When comprehensively assessing model evaluation indicators, the 1.5-order differential method and RF method emerge as the preferred order differential method and model construction method, respectively. The R2 for the optimal SMC estimation model in the modeling set and validation set were 0.912 and 0.792, RMSEs were 0.005 and 0.004, and MREs were 2.390% and 2.380%, respectively. This study lays the groundwork for future applications of hyperspectral remote sensing technology in developing soil moisture content estimation models for various crop growth stages and sparks discussions on enhancing the accuracy of these different soil moisture content estimation models.

1. Introduction

Soybean is one of the most essential oil products in the world agricultural trade [1]. China, a significant soybean producer, has consistently ranked fourth globally in total output in recent years [2]. In the past, China was one of the major consumers of soybean; China used to purchase around 62% of the soybean that was traded internationally, and only 14.3% of its soybean consumption was self-sufficient. The self-sufficiency rate of soybean is less than 15%, which strains the global food supply [3]. The production and quality of soybeans hold a crucial strategic role in constructing a modern product with distinct Chinese characteristics. Soybean output and quality directly impact China’s food security level [4]. The developmental condition of soybeans during the flowering stage significantly affects their subsequent reproductive growth and ultimate yield formation. A soil moisture content (SMC) that is too high or too low will directly affect the flowering quality of soybean, thus affecting the yield and quality of soybean [5,6]. A scientific and efficient acquisition of SMC is significant for growth status evaluation and yield prediction of soybean at the flowering stage [7].
SMC plays a crucial role in the creation, alteration, and utilization of surface water resources [8]. SMC stands as a crucial indicator for assessing crop soil drought conditions, while also serving as a pivotal determinant of crop yield and overall crop quality [9]. Monitoring soil moisture holds substantial significance in advancing water-efficient irrigation practices and optimizing water resource utilization [5]. Many conventional drying methods of determining SMC persist, as the drying method is characterized by its high precision and accuracy [10]. Notably, it has been formally adopted as both a national and international standard. Nevertheless, in situ methodologies for measuring SMC face difficulties in consistently attaining continuous observations and require considerable time and labor [11]. Zai Songmei’s research has revealed the feasibility of using a spectrophotometer to determine soil moisture content, providing evidence for the rapid assessment of soil moisture content through soil spectral characteristics [12]. Cao Qi’s study found that the radar ground wave method can accurately invert soil volumetric water content, but inversion accuracy is influenced by land use types [13]. Gamma-ray transmission methods have been precisely employed in the study of agricultural soil properties [14]. A study by Medhat discovered that the gamma-ray transmission method, utilizing a portable cadmium telluride detector, offers practical, cost-effective, nondestructive, and rapid analytical advantages in measuring soil density and volumetric water content. However, it places high demands on instrument accuracy [15,16].
Researchers have utilized remote sensing data to explore the intricate relationship between soil spectral properties and moisture levels [17]. However, the direct evaluation of soil moisture through remote sensing technology necessitates extensive field sampling periods. Hence, the trend towards indirect SMC detection, established by relating crop reflectance to soil moisture, is on the rise. The direct link between reflectance and vegetation water content forms the cornerstone of SMC monitoring techniques [18]. Numerous studies have underscored the reflectance–water content relationship across various crops, wheat included [19,20,21,22]. Additionally, Gouvea et al. [23] probed the impact of soil water stress on physiological traits like photosynthesis, stomatal conductance, transpiration, and CO2 levels in soybean plants. Thus, the utilization of remote sensing technology and its correlation with crop canopy reflectance provides a viable avenue for SMC monitoring.
While numerous studies have investigated the derivation of crop water status via spectral measurements, the direct assessment of SMC through crop reflectance remains relatively rare. Sobrino et al. [24] estimated soil moisture content across diverse crops and growth stages using both airborne hyperspectral scanners (AHSs) and satellite imagery. Panigrahi and Das employed ground-based hyperspectral measurements to simulate soil water potential in paddy fields during multiple growth stages [25]. However, the effectiveness of soil moisture prediction models utilizing canopy spectral data can be impeded by factors such as canopy structure, leaf area, angles, positions, shadows, and soil backgrounds [26,27]. These complexities hinder the establishment of a robust quantitative relationship between soil moisture and canopy reflectance, consequently limiting the generalizability of developed models when applied to novel agricultural regions [28].
Certain researchers have leveraged the integer differential transformation method to preprocess raw hyperspectral reflectance data, thus attenuating background noise to some degree and bolstering modeling precision [29]. Nevertheless, it is worth noting that the application of first-order, second-order, and even higher-order integer-order differential transformation techniques, while dampening background noise, has been observed to disregard the continuity and gradient of spectral information, ultimately leading to a loss of spectral characteristics [30,31]. This scenario prompts the emergence of fractional differential transform, a mathematical extension of the integer-order differential approach. This novel approach holds the capability to accentuate subtle shifts within spectral information, enhancing weaker spectral features and amplifying the signal-to-noise ratio inherent in spectral reflectance [32]. Tang et al. [33] demonstrated the estimation of soil salinity through a machine learning framework grounded in remote sensing fractional derivative. Despite these advancements, limited research has been dedicated to investigating the nuanced connection between crop canopy reflectance and soil moisture subsequent to fractional differential transformation.
This study investigates the flowering stage SMC across various nitrogen application rates and film mulching treatments. The original hyperspectral reflectance data underwent fractional differential transformation of 0–2 orders with a step size of 0.5. Employing the correlation matrix method, spectral bands exhibiting the highest correlation with SMC within the 350 to 1830 nm range were identified, leading to the construction of five sets of 25 optimal spectral indices. Building upon this foundation, a predictive model for flowering SMC was established using support vector machine (SVM), random forest (RF), and back propagation neural network (BPNN) algorithms. This study further scrutinized the influence of diverse differential orders and machine learning methods on the predictive accuracy of the SMC model. By doing so, this investigation aims to furnish a theoretical framework that contributes to a more precise and rapid determination of flowering SMC. It also provides a theoretical basis for artificial intelligence applications to quickly and accurately analyze large-scale hyperspectral satellite remote sensing information [34].

2. Materials and Methods

2.1. Research Area and Test Design

In this study, a two-year (2021–2022) soybean field experiment was conducted at the Institute of Water-Saving Agriculture (34°18′ N, 108°24′ E, 524.7 m a.s.l.) within the Key Laboratory of Agricultural Water and Soil Engineering of the Ministry of Education at Northwest A & F University (Figure 1). The mean maximum temperature for June to October 2021 was 30.3 °C, with a minimum of 20.0 °C, while in 2022, it was 31.3 °C and 21.2 °C, respectively. Precipitation during the sowing period in 2021 and 2022 was 432.6 mm and 279.5 mm, respectively. In comparison to the 30-year average rainfall of 345 mm during the soybean season (1991–2020), 2021 was categorized as a wet year, whereas 2022 was considered a dry year.
In this experiment, three nitrogen application levels were set: N1: 60 kg/hm2, N2: 120 kg/hm2, N3: 180 kg/hm2. Four mulching treatments were also set: NM: no mulching treatment, SM: straw mulching, FM: agricultural film mulching, SFM: straw + agricultural film mulching. The straw mulching amount was 6000 kg/hm2. The FM and SFM treatments were carried out by ridging and covering the film side. Two ridges with a width of 40 cm and a height of 25 cm were raised in the experimental plot, and the ridge surface was covered with a 60 cm wide plastic film. Soybeans were sown at 5 cm on the film side with a row spacing of 50 cm. This study designed 12 treatments, 2 replicates, and a total of 24 plots. The experimental plot area was 2.5 m × 6 m = 15 m2. Slow-release nitrogen fertilizer (SNF), potassium fertilizer (K2O, 30 kg/hm2), and phosphorus fertilizer (P2O5, 30 kg/hm2) were applied as base fertilizer before sowing. The soybean variety used in the experiment was Shanning 17. It was sown on 17 June 2021 and 9 June 2022 and harvested on 30 September 2021 and 28 September 2022, respectively. The soybean flowering periods were 28 July 2021–24 August 2021 and 23 July 2022–20 August 2022, respectively. There were no obvious diseases and insect pests during the soybean growth period. The experimental scheme design of this study is shown in Table 1.

2.2. Measurements and Methods

2.2.1. Data Acquisition

This study used the most basic drying method to measure SMC during the soybean flowering period (6 August 2021 and 10 August 2022) in the two-year experiment. At the same time, the spectral data were collected. The weather was sunny, and the light was stable. During the flowering period of soybean, soil samples were taken from the middle of two plants, at a position of 15 cm from each plant and at a horizontal position in the middle of bare land. Soil samples were taken at intervals of 20 cm in each soil layer from 0 cm to 60 cm of soil depth. The soil samples were mixed thoroughly and dried in an oven at 105 °C for 8 h to determine SMC. In this study, six sites were randomly selected in each plot during the flowering period of soybean to determine soil moisture content. The mean value of the six sampling points was the soil moisture content of the plot for a total of 24 plots, and the corresponding hyperspectral remote sensing information was obtained at the same time. A total of 48 groups of SMC and hyperspectral reflectance samples were obtained and tested in the two-year experiment (Table 2).
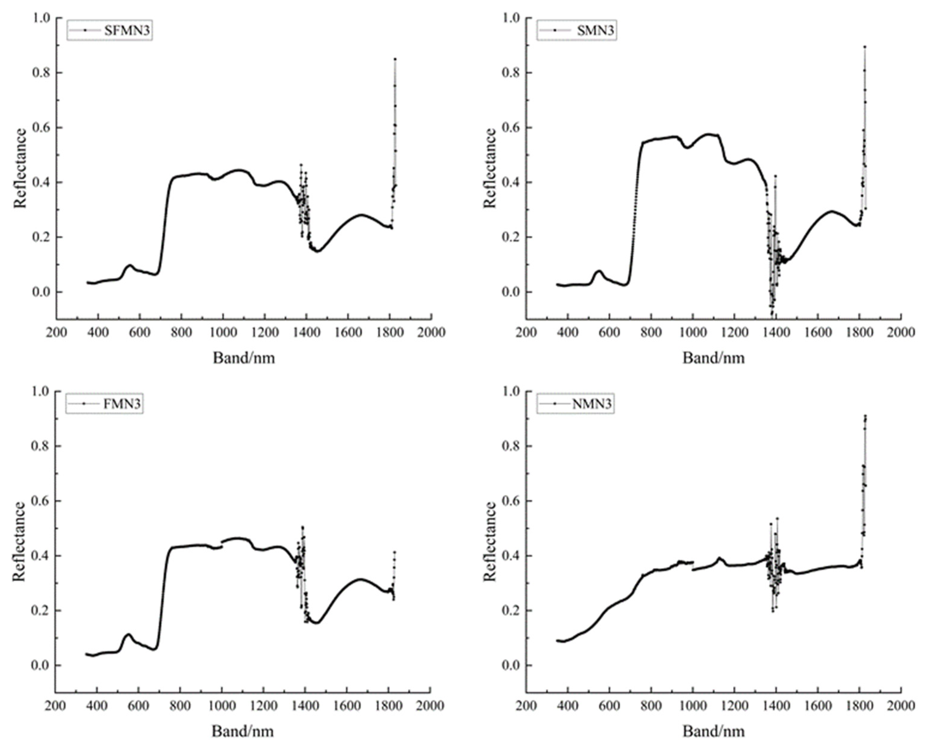
This study selected the original hyperspectral information under the SFMN3, SMN3, FMN3, and NMN3 treatments and plotted its spectral characteristic curves, as shown in Figure 2.

2.2.2. Spectral Data Acquisition of Soybean Crown Height

This study collected the hyperspectral reflectance data of soybean canopy in the experimental area from 10:40 a.m. to 1:00 p.m. on 6 August 2021 and 10 August 2022, respectively. During this period, the light was sufficient, the spectral information was measured, and the error was small. The hyperspectral measurement instrument for the experiment was the Field Spec4 visibl/near-infrared portable ground object hyperspectral spectrometer produced by the American company ASD (Analytical Spectral Devices, Inc., Boulder, CO, USA). The instrument’s band range is 350~1830 nm. The spectral resolution of 350~1000 nm is 3 nm, and the sampling interval is 1.4 nm. The 1000~1830 nm resolution is 10 nm, and the sampling interval is 2 nm. The instrument automatically interpolates the sampling data to 1 nm interval output, and the field of view is 25°.
Prior to obtaining hyperspectral data, the spectrometer underwent preheating and optimization, with the reference plate test and comparison completed within 1 min. Following the acquisition of hyperspectral reflectance data for the initial test area, reference plate correction was conducted before acquiring hyperspectral reflectance data for the subsequent test area. In each experimental plot, a crop canopy with balanced growth was selected. The testers held a spectral sensor probe and collected data vertically downwards 75 cm from the top of the crop canopy. A total of 10 hyperspectral reflectance data were collected and recorded each time. According to the ‘3σ’ principle [33], each plot’s final hyperspectral reflectance data were used as the average value of the remaining spectral bands.

2.2.3. Soil Moisture Content Data Collection

In this study, the most basic drying method was used to determine the SMC in the field. Three sites were randomly selected in 48 experimental plots to collect soil samples. After drying, the mean value was calculated as the measured value of each experimental field, and the data were collected on the day of hyperspectral reflectance data image acquisition.

2.3. Spectral Data Processing

In this study, the Savitzky–Golay (SG) smoothing method was used to denoise the spectral data. The G-L fractional differential algorithm executed a 0–2-order (step size 0.5) fractional differential transformation on the hyperspectral reflectance data. This algorithm has the capability to extend the conventional integer order differential to any order differential, enabling a more comprehensive representation of nuanced changes and overall data information. The formula for the α-order differential of hyperspectral reflectance data in this experiment is as follows [29]:
d α f x d x α f x + α f x 1 + α α + 1 2 f x 2 + . . . + Γ α + 1 n ! Γ α + n 1 f x n
In the formula, x is the value of the corresponding point; α is the fractional differential order; Г is the Gamma function; and n is the difference between the upper and lower limits of differentiation. The order is 0, indicating no preprocessing.
Spectral data preprocessing and spectral index calculation were completed in MATLAB2021 (MathWorks, Inc., Natick, MA, USA), and Origin2021 (Origin Lab Corp., Northampton, MA, USA) was used for graphic drawing.

2.4. Selection and Construction of Spectral Index

In this study, 10 spectral indices were selected. The ratio vegetation index (RI) and triangular vegetation index (TVI) have a strong correlation with chlorophyll content and LAI of plants, but when vegetation is dense, their sensitivity will be reduced [33]. The modified simple ratio (mSR) and modified normalized difference index (mNDI) can optimize the specular emission effect of leaves and are sensitive to changes in leaves [35]. The difference vegetation index (DI), normalized difference vegetation index (NDVI), and soil-adjusted vegetation index (SAVI) can reflect the background influence of the plant canopy and eliminate some radiation errors [36,37]. The correlation between the three-band index (TBI-1, TBI-2, TBI-3) and SMC is more stable [38]. The specific spectral index formula is shown in Table 3.

2.5. Model Construction

In this research study, the most effective combination of spectral indices of various orders served as the input variable, and three machine learning techniques, namely BPNN, SVM, and RF, were employed for modeling and predicting SMC during the flowering stage. The training-set-to-validation-set ratio was set at 2:1, and the final model fitting result in this experiment was determined by averaging multiple prediction fitting outcomes from the machine learning models.
BPNN is a multi-layer network that propagates forward according to error and is mostly used to solve difficult nonlinear problems [39]. The optimal BPNN combination forecasting model uses m prediction methods to obtain the predicted results as the input of the network and the actual historical data value as the network’s output. The weights of various prediction methods in the prediction are obtained according to the self-learning of the network [40].
SVM is a binary classification machine learning algorithm utilizing a Gaussian kernel and polynomial kernel as the foundational kernel function. The weight coefficient is optimized using a gradient descent algorithm. SVM demonstrates an excellent generalization ability and robustness, without the issue of overfitting. Its widespread applications include pattern recognition, classification, and small-sample regression analysis, guided by the principle of minimizing cross-validation error [41,42].
RF is a composite model founded on the ‘Bagging’ model. Due to its simplicity and convenience, it finds extensive application in diverse regression and prediction challenges. As the RF model employs weighted averages of each tree’s results to attain the final output, its implementation involves constructing numerous decision trees. The model builds a set of decision trees through the exchange and alteration of covariates to enhance prediction performance [43,44]. This study determined the number of decision trees in the RF model to be 100 after multiple training and error analyses.

2.6. Data Processing

(1)
Model evaluation index
The model fitting results were evaluated by a determination coefficient (R2), root mean square error (RMSE), and mean relative error (MRE) [45,46]. The closer R2 is to 1, the higher the model’s prediction accuracy is. The smaller the MRE, the more stable the performance of the model and the more concentrated the prediction results. The calculation formula is as follows:
R 2 = i = 1 n y i ^ y ¯ 2 i = 1 n y i y ¯ 2
R M S E = i = 1 n y i y ¯ 2 n
M R E = 1 n i = 1 n y i ^ y i y i × 100 %
In the formula, y i ^ is model prediction; y i is actual sample value; y ¯ is average; and n is number of samples.
(2)
Significance test
Concerning the autocorrelation coefficient test table, when the degree of freedom (i.e., sample size) is 48 and the correlation coefficient is greater than 0.361, it reaches an extremely significant correlation level (p < 0.01). When the degree of freedom is 32 and the correlation coefficient value is greater than 0.436, it reaches an extremely significant correlation level (p < 0.01). When the degree of freedom is 16 and the correlation coefficient is greater than 0.590, it reaches an extremely significant correlation level (p < 0.01).

3. Results and Analysis

3.1. Spectral Index Construction and Optimal Spectral Index Band Combination Extraction

To maximize the utilization of information within hyperspectral reflectance data, this study selected 10 representative spectral indices. Firstly, the spectral indices of all bands of hyperspectral reflectance after 0–2-order fractional differential treatment were calculated by band-by-band spectral indices. Then, the correlation matrix method was used to analyze the correlation between spectral indices and SMC. The i and j wavelengths with the largest correlation coefficient were used to construct different-order spectral indices. From the set of ten spectral indices, five with the strongest correlation to SMC were chosen to form the optimal spectral index combination. The correlation matrix diagram, depicted below, illustrates the correlation between the spectral indexes and SMC, ranging from a high negative correlation in blue to a high positive correlation in red.
Figure 3, Figure 4, Figure 5, Figure 6 and Figure 7 show the correlation matrix diagrams of 0–2-order fractional differential hyperspectral spectral indexes and SMC after fractional differential treatment. The correlation of SMC with each order spectral index is greater than 0.361 (p < 0.01), reaching a very significant correlation level, indicating that the 10 spectral indexes selected in this study can be used to predict SMC at the flowering stage. The average values of the correlation coefficients between the 0–2-order spectral index and SMC were 0.523, 0.688, 0.728, 0.721, and 0.718, respectively. The correlation between the optimal spectral index and SMC calculated by the fractional differential treatment was significantly improved compared with the original spectral index. Under the 1.5-order differential treatment, the highest correlation coefficient with SMC was mNDI, the correlation coefficient value was 0.763, and the wavelength combination coordinate was (740, 696). The correlation coefficient values of each spectral index and SMC ranked from high to low are mNDI > TBI-1 > NDVI > TVI > TBI-3 > DI = SAVI = mSR > RI > TBI-2. From the aforementioned ten spectral indices, five, namely mNDI, TBI-1, NDVI, TVI, and TBI-3, exhibiting the highest correlation coefficients, were chosen to compose the optimal spectral index combinations. The associated bands, (740, 696), (726, 700), (688, 729), (754, 708), and (726, 700), were identified as the optimal spectral index band combinations. Table 4 displays the corresponding bands for both the remaining fractional differential optimal spectral index combination and the optimal spectral index combination.

3.2. Construction and Comparison of Soil Moisture Content Prediction Model

The optimal spectral index combination of each order was used as the independent variable, and SMC was used as the response variable. SVM, RF, and BPNN were used to construct the SMC estimation model of the soybean flowering stage. The accuracy of the model was comprehensively evaluated in terms of three aspects, namely R2, RMSE, and MRE. The prediction results of different modeling methods for SMC are shown in Table 5. The results show that the R2 of each SMC estimation model under different order differential transformation treatments is 1.5 order > 2 order > 1 order > 0.5 order > 0 order. The MRE performance of each model is 1.5 order < 2 order < 1 order < 0.5 order < 0 order. The RMSEs of the validation set of each model of 1.5 order are 0.01977, 0.00507, and 0.00579, which are smaller than the corresponding models of other orders. The validation set R2 of the SVM, RF, and BPNN prediction models of SMC constructed by a 1.5-order differential spectral index are 0.90576, 0.91233, and 0.87778, respectively, which are higher than 0.539, reaching a very significant correlation level and having an excellent linear fitting effect. Under the same order differential transformation processing, the accuracy of the modeling set and verification set of the SMC estimation model constructed by the three modeling methods is as follows: RF > SVM > BPNN. Under each order differential treatment, the validation set R2 of the SMC prediction model based on RF was 0.025–0.287 higher than that of SVM and GA-BP. The MRE decreased by 11.17–45.81%. In summary, the 1.5-order differential treatment and the RF model are the optimal differential order and the optimal model in this study, respectively. The R2 of the modeling set and the verification set of the optimal SMC estimation model are 0.912 and 0.792, and the RMSEs are 0.912 and 0.792, respectively.

4. Discussion

In this study, the differential transform method is introduced for processing vegetation canopy spectra, providing an advantageous technique for analyzing reflectance spectra. This approach effectively addresses the challenge of multicollinearity inherent in high-dimensional spectral data [47,48]. The employment of differential transform technology significantly impacts peak extraction in finely detailed spectra, thereby enhancing sensitivity to spectral features and curves. This method facilitates baseline correction [49,50], thereby intensifying the correlation between hyperspectral reflectance and SMC, subsequently enhancing inversion model accuracy [32,51]. As depicted in Figure 8, the highest accuracy is observed with 1.5-order processing. Consequently, the fractional order differential algorithm demonstrates superior capability in extracting SMC-relevant spectral data from hyperspectral spectrometers when compared to integer-order derivatives. Nevertheless, with increasing differential orders, background noise gradually diminishes while high-frequency noise progressively amplifies. This phenomenon concurrently leads to a reduction in potential sensitive information within reflectivity data, consequently lowering the signal-to-noise ratio of spectral information, thereby affecting model accuracy [52]. Table 4 displays the model results, indicating that the accuracy of certain fractional differential models surpasses that of raw spectral data, as well as first and second derivatives. Notably, accurate prediction models often cannot be established solely with raw spectral reflectance data. This underscores the foundational rationale behind employing spectral preprocessing for robust spectral data analysis.
The optimal band combination algorithm effectively addresses wavelength interactions within band combinations and handles the overlapping absorption of soil components [53]. This method has found application in numerous studies [54,55]. In the context of this study, five optimal spectral indices were selected from a pool of ten spectral indices. The varying maximum R2 values derived from these optimal spectral indices under different fractional order differential transformations (Table 4) reveal dissimilar correlations between SMC and the spectral indexes. This disparity indicates variations in the ten spectral indices’ propensity to correlate with SMC. Within the 1.5-order reflectivity context, the mNDI index excels, exhibiting a peak R2 value of 0.766. Selecting the ideal spectral index and processing all spectral data are typically formidable tasks [23]. This underscores the advantage of spectral index combinations. Additionally, the methodology enhances modeling accuracy by extracting information-rich bands while eliminating irrelevant predictors, a contrast to full-spectrum data. The optimal spectral indices, constructed through band screening across the entire spectrum, encapsulate more meaningful information linked to SMC. Among the 50 spectral indices spanning 0–2 orders, 25 corresponding bands are positioned within the red or near-infrared domains. As SMC considerably influences chlorophyll content, canopy chlorophyll indirectly reflects SMC [11]. The red edge band exhibits robust chlorophyll absorption and leaf reflection into the near-infrared, thus rendering it the fastest-growing region in green plant reflectance and a pivotal indicator of plant physiological traits [52]. The red edge band accommodates over 80% of plant physiochemical parameters’ spectral information [56]. Hierarchical differential processing not only filters background noise but also preserves the red edge band’s capacity to describe plant physiochemical parameters. As such, the band combinations sieved under each differential order in this study demonstrate a substantial correlation with SMC, primarily inhabiting the 670–760 nm range, corroborating prior research outcomes [57].
In this study, the optimal spectral index combinations for each order were chosen as input data, and three machine learning methods—SVM, RF and BPNN—were employed to construct SMC prediction models. Among these methods, the RF-based SMC prediction model exhibited the highest accuracy. This outcome underscores RF’s robust capability to extract canopy chlorophyll-associated information from spectral reflectance data, consequently enhancing SMC inversion accuracy. The robustness of the RF algorithm, marked by its strong anti-interference and anti-overfitting attributes, alongside its high tolerance to background noise and outliers, renders it particularly adept at addressing nonlinear problems [58]. This conclusion aligns with the findings of Eyo et al. in their SMC inversion study [59]. BPNN stands as one of the most extensively employed neural network architectures. Through iterative adjustments of the network’s interneuron weights, the algorithm minimizes the discrepancy between final output and anticipated results [60]. Yet, the inherent limitations of the BPNN algorithm, such as convergence into local extremes, weight converging to local minima, and sluggish convergence speed, tend to impede the accuracy and generalization capacity of neural network models [42]. In this study, the accuracy of the BPNN model was inferior to that of RF. This discrepancy might have arisen from the relatively limited sample size and the extensive model training iterations, contributing to a reduction in model precision and generalization capability [44]. When compared to RF and BPNN, the predictive efficacy of the SVM model on SMC was less impressive. This could potentially be attributed to SVM’s limited anti-interference capacity and constraints stemming from parameter selection, including kernel functions and penalty factors [61].
Currently, substantial progress has been achieved in developing models for crop attributes such as leaf area index (LAI), biomass, nitrogen content, and chlorophyll content employing hyperspectral data [62,63,64,65]. However, the commonly employed ground-based hyperspectral data can solely be collected at specific locations, limiting their widespread application. The findings of this investigation reveal that optimal accuracy can be attained by utilizing a 1.5-order optimal spectral index combination as input variables and employing RF to construct a soil moisture content (SMC) prediction model. These findings necessitate validation and refinement through experimentation across varied regions, scales, and crop varieties. Such extensive validation ensures the model’s adaptability and estimation precision, serving as a foundation for SMC prediction through diverse remote sensing techniques, including multispectral and UAV hyperspectral data. Furthermore, there exists an avenue for exploring fractional differential transformation of hyperspectral reflectance.
This study employed a step size of 0.5 for fractional order differentiation, which may result in relatively lower accuracy in processing high-spectral information and weaker details in data handling compared to a smaller step size, with a relatively modest compensatory effect. Additionally, the selection of a fixed band in the construction of the three-dimensional spectral index had a certain impact on modeling accuracy. This step lays the groundwork for subsequent fractional order differentiation with a smaller step size. Moreover, this study provides a scientific basis for the rapid and accurate determination of soil moisture content during the crop growing season.

5. Conclusions

In this study, the SMC at the flowering stage was taken as the research object, and the SMC and canopy hyperspectral reflectance data were measured. The original hyperspectral reflectance data were processed by 0–2-order fractional differential, and the band-by-band spectral index was calculated. The correlation matrix method was used to extract the optimal wavelength combination for different order spectral index construction. Finally, based on the optimal spectral index of each order and three machine learning models, namely SVM, RF and BPNN, the SMC prediction model was constructed. The conclusions are as follows:
(1)
Compared with the original hyperspectral reflectance data, the correlation between the optimal spectral index of each order extracted after fractional differential transformation and SMC was significantly improved. The average value of the correlation coefficient between each spectral index and SMC under the 1.5-order treatment was 0.380% higher than that of the original spectral index. Among them, mNDI showed the highest correlation, with a correlation coefficient of 0.766.
(2)
When the modeling method is the same, and the input variables are different, the accuracy of the SMC prediction model is as follows: 1.5 order > 2.0 order > 1.0 order > 0.5 order > original order. When the input variables are the same and the modeling method changes, the accuracy of the SMC prediction model is as follows: RF > SVM > BPNN. A comprehensive comparison of the model’s evaluation indicators shows that the 1.5-order differential and RF methods are the optimal differential order and optimal model construction methods in this study, respectively. The R2 of the optimal SMC estimation model modeling set and validation set are 0.912 and 0.792, the RMSE is 0.00507 and 0.00393, and the MRE is 2.3901% and 2.3802%.

Author Contributions

W.L.: Methodology, Formal analysis, Writing—original draft, Visualization. X.L. and Z.T.: Methodology, Software. X.W. and X.H.: Data curation, Writing—review and editing, Formal analysis. Y.X.: Supervision, Writing—review and editing, Funding acquisition. M.C., Y.D., L.M., S.W., H.S., Y.Z. and Z.L.: Data curation. F.Z.: Supervision, Project administration. All authors have read and agreed to the published version of the manuscript.

Funding

This work was supported by the National Natural Science Foundation of China: No. 52179045.

Data Availability Statement

Data are contained within the article.

Conflicts of Interest

The authors declare that they have no known competing financial interests or personal relationships that could have appeared to influence the work reported in this paper.

References

  1. Wu, F.; Geng, Y.; Zhang, Y.Q.; Ji, C.X.; Chen, Y.F.; Sun, L.; Xie, W.; Ali, T.; Fujita, T. Assessing sustainability of soybean supply in China: Evidence from provincial production and trade data. J. Clean. Prod. 2020, 244, 119006. [Google Scholar] [CrossRef]
  2. Sfechis, S.; Vidican, R.; Rotar, I.; Stoian, V. Influence of mineral fertilization and zeolite on soybean productivity elements in climatic conditions from ARDS Turda. Bull. Univ. Agric. Sci. Vet. Med. Cluj-Napoca Agric. 2014, 71, 108771. [Google Scholar] [CrossRef] [PubMed]
  3. Wu, Y.S.; Wang, E.L.; Gong, W.Z.; Xu, L.; Zhao, Z.G.; He, D.; Yang, F.; Wang, X.C.; Yong, T.W.; Liu, J.; et al. Soybean yield variations and the potential of intercropping to increase production in China. Field Crops Res. 2023, 291, 108771. [Google Scholar] [CrossRef]
  4. Jirayucharoensak, R.; Khuenpet, K.; Jittanit, W.; Sirisansaneeyakul, S. Physical and chemical properties of powder produced from spray drying of inulin component extracted from Jerusalem artichoke tuber powder. Dry. Technol. 2019, 37, 1215–1227. [Google Scholar] [CrossRef]
  5. Guo, S.; Xu, J. Development Status and Existing Problems of Soybean Food Industry in China. J. Food Sci. Technol. 2023, 41, 1–8. [Google Scholar] [CrossRef]
  6. Liu, J.; Zhu, L.J.; Zhang, K.; Wang, X.M.; Wang, L.W.; Gao, X.N. Effects of Drought Stress/Rewatering on Photosynthetic Characteristics and Yieldof Soybean at Different Growth Stages. Ecol. Environ. Sci. 2022, 31, 286–296. [Google Scholar] [CrossRef]
  7. Poudel, S.; Vennam, R.R.; Shrestha, A.; Reddy, K.R.; Wijewardane, N.K.; Reddy, K.N.; Bheemanahalli, R. Resilience of soybean cultivars to drought stress during flowering and early-seed setting stages. Sci. Rep. 2023, 13, 1277. [Google Scholar] [CrossRef]
  8. Li, S.N.; Zhang, L.; Ma, R.; Yan, M.; Tian, X.J. Improved ET assimilation through incorporating SMAP soil moisture observations using a coupled process model: A study of U.S. arid and semiarid regions. J. Hydrol. 2020, 590, 125402. [Google Scholar] [CrossRef]
  9. Zhou, Q.W.; Zhu, A.X.; Yan, W.H.; Sun, Z.Y. Impacts of forestland vegetation restoration on soil moisture content in humid karst region: A case study on a limestone slope. Ecol. Eng. 2022, 180, 106648. [Google Scholar] [CrossRef]
  10. Kelly, B.C.O.; Sivakumar, V. Water Content Determinations for Peat and Other Organic Soils Using the Oven-Drying Method. Dry. Technol. 2014, 32, 631–643. [Google Scholar] [CrossRef]
  11. Crusiol, L.G.T.; Nanni, M.R.; Furlanetto, R.H.; Sibaldelli, R.N.R.; Sun, L.; Gonçalves, S.L.; Foloni, J.S.S.; Mertz-Henning, L.M.; Nepomuceno, A.L.; Neumaier, N.; et al. Assessing the sensitive spectral bands for soybean water status monitoring and soil moisture prediction using leaf-based hyperspectral reflectance. Agric. Water Manag. 2023, 277, 108089. [Google Scholar] [CrossRef]
  12. Zai, S.M.; Gao, Y.N.; Wu, F.; Chu, Y.C.; Liu, S.D. Rapid determination of soil moisture based on the principle of spectrophotometry. Water Sav. Irrig. 2021, 1, 1–6. [Google Scholar]
  13. Cao, Q.; Song, X.D.; Wu, H.Y.; Zhang, G.L.; Yang, S.H. Determination of Basic Parameters of Soil Moisture by Using Ground-Penetrating Radar Ground Wave Method in Red Soil Region of South China. Chin. J. Soil Sci. 2020, 51, 332–342. [Google Scholar]
  14. Zreda, M.; Shuttleworth, W.J.; Zeng, X.; Zweck, C.; Desilets, D.; Franz, T.; Rosolem, R. COSMOS: The cosmic-ray soil moisture observing system. Hydrol. Earth Syst. Sci. 2012, 16, 4079–4099. [Google Scholar] [CrossRef]
  15. Medhat, M.E. Application of gamma-ray transmission method for study the properties of cultivated soil. Ann. Nucl. Energy 2012, 40, 53–59. [Google Scholar] [CrossRef]
  16. Dai, J.J.; Zhang, X.P.; Lv, D.Q.; Luo, Z.D.; He, X.G. Dynamics of Soil Water in Cinnamomum camphora Forest in the Red Soil Hilly Region of South China. Res. Soil Water Conserv. 2019, 26, 123–131. [Google Scholar]
  17. Yang, C.C.H.; Yang, L.; Zhang, L.; Zhou, C.H. Soil organic matter mapping using INLA-SPDE with remote sensing based soil moisture indices and Fourier transforms decomposed variables. Geoderma 2023, 437, 116571. [Google Scholar] [CrossRef]
  18. Feng, S.J.; Qiu, J.X.; Crow, W.T.; Mo, X.G.; Liu, S.X.; Wang, S.; Gao, L.; Wang, X.H.; Chen, S. Improved estimation of vegetation water content and its impact on L-band soil moisture retrieval over cropland. J. Hydrol. 2023, 617, 129015. [Google Scholar] [CrossRef]
  19. Solgi, S.; Ahmadi, S.H.; Seidel, S.J. Remote sensing of canopy water status of the irrigated winter wheat fields and the paired anomaly analyses on the spectral vegetation indices and grain yields. Agric. Water Manag. 2023, 280, 108226. [Google Scholar] [CrossRef]
  20. Li, W.; Li, D.; Liu, S.Y.; Baret, F.; Ma, Z.Y.; He, C.; Warner, T.A.; Guo, C.L.; Cheng, T.; Zhu, Y.; et al. RSARE: A physically-based vegetation index for estimating wheat green LAI to mitigate the impact of leaf chlorophyll content and residue-soil background. ISPRS J. Photogramm. Remote Sens. 2023, 200, 138–152. [Google Scholar] [CrossRef]
  21. Wen, P.F.; Meng, Y.; Gao, C.K.; Guan, X.K.; Wang, T.C.; Feng, W. Field Identification of Drought Tolerant Wheat Genotypes Using Canopy Vegetation Indices Instead of Plant Physiological and Biochemical Traits. SSRN Electron. J. 2022, 154, 110781. [Google Scholar] [CrossRef]
  22. Jahromi, M.N.; Zand-Parsa, S.; Razzaghi, F.; Jamshidi, S.; Didari, S.; Doosthosseini, A.; Pourghasemi, H.R. Developing machine learning models for wheat yield prediction using ground-based data; satellite-based actual evapotranspiration and vegetation indices. Eur. J. Agron. 2023, 146, 126820. [Google Scholar] [CrossRef]
  23. Gouvêa, D.S.; Marenco, R.A. Is a reduction in stomatal conductance the main strategy of Garcinia brasiliensis (Clusiaceae) to deal with water stress? Theor. Exp. Plant Physiol. 2018, 30, 321–333. [Google Scholar] [CrossRef]
  24. Sobrino, J.A.; Franch, B.; Mattar, C.; Jiménez-Muñoz, J.C.; Corbari, C. A method to estimate soil moisture from Airborne Hyperspectral Scanner (AHS) and ASTER data: Application to SEN2FLEX and SEN3EXP campaigns. Remote Sens. Environ. 2012, 117, 415–428. [Google Scholar] [CrossRef]
  25. Panigrahi, N.; Das, B.S. Canopy Spectral Reflectance as a Predictor of Soil Water Potential in Rice. Water Resour. Res. 2018, 54, 2544–2560. [Google Scholar] [CrossRef]
  26. He, L.; Liu, M.R.; Zhang, S.H.; Guan, H.W.; Wang, C.Y.; Feng, W.; Guo, T.C. Remote estimation of leaf water concentration in winter wheat under different nitrogen treatments and plant growth stages. Precis. Agric. 2023, 24, 986–1013. [Google Scholar] [CrossRef]
  27. Gutierrez, M.; Reynolds, M.P.; Klatt, A.R. Association of water spectral indices with plant and soil water relations in contrasting wheat genotypes. J. Exp. Bot. 2010, 61, 3291–3303. [Google Scholar] [CrossRef] [PubMed]
  28. Wei, Y.L.; Li, X.L.; He, Y. Generalisation of tea moisture content models based on VNIR spectra subjected to fractional differential treatment. Biosyst. Eng. 2021, 205, 174–186. [Google Scholar] [CrossRef]
  29. Leyden, K.; Goodwine, B. Fractional-order system identification for health monitoring. Nonlinear Dyn. 2018, 92, 1317–1334. [Google Scholar] [CrossRef]
  30. Shiri, B.; Baleanu, D. System of fractional differential algebraic equations with applications. Chaos Soliton Fractals 2019, 120, 203–212. [Google Scholar] [CrossRef]
  31. Hong, Y.S.; Liu, Y.L.; Chen, Y.Y.; Liu, Y.F.; Yu, L.; Liu, Y.; Cheng, H. Application of fractional-order derivative in the quantitative estimation of soil organic matter content through visible and near-infrared spectroscopy. Geoderma 2019, 337, 758–769. [Google Scholar] [CrossRef]
  32. Wang, Z.; Zhang, X.; Zhang, F.; Chan, N.W.; Kung, H.; Liu, S.H.; Deng, L.F. Estimation of soil salt content using machine learning techniques based on remote-sensing fractional derivatives; a case study in the Ebinur Lake Wetland National Nature Reserve, Northwest China. Ecol. Indic. 2020, 119, 106869. [Google Scholar] [CrossRef]
  33. Tang, Z.J.; Guo, J.J.; Xiang, Y.Z.; Lu, X.H.; Wang, Q.; Wang, H.D.; Cheng, M.H.; Wang, H.; Wang, X.; An, J.Q.; et al. Estimation of Leaf Area Index and Above-Ground Biomass of Winter Wheat Based on Optimal Spectral Index. Agronomy 2022, 12, 1729. [Google Scholar] [CrossRef]
  34. Wijata, A.M.; Foulon, M.-F.; Bobichon, Y.; Vitulli, R.; Celesti, M.; Camarero, R.; Di Cosimo, G.; Gascon, F.; Longépé, N.; Nieke, J.; et al. Taking Artificial Intelligence Into Space Through Objective Selection of Hyperspectral Earth Observation Applications: To bring the “brain” close to the “eyes” of satellite missions. IEEE Geosci. Remote Sens. Mag. 2023, 11, 10–39. [Google Scholar] [CrossRef]
  35. Sinhal, A.; Verma, B.A. Distribution Based Approach of Outlier Removal for Software Effort Data. Int. J. Comput. Appl. 2013, 74, 24–28. [Google Scholar] [CrossRef]
  36. Kumar, V.; Sharma, A.; Bhardwaj, R.; Thukral, A.K. Comparison of different reflectance indices for vegetation analysis using Landsat-TM data. Remote Sens. Appl. Soc. Environ. 2018, 12, 70–77. [Google Scholar] [CrossRef]
  37. Liang, T.G.; Yang, S.X.; Feng, Q.S.; Liu, B.K.; Zhang, R.P.; Huang, X.D.; Xie, H.J. Multi-factor modeling of above-ground biomass in alpine grassland: A case study in the Three-River Headwaters Region. China. Remote Sens. Environ. 2016, 186, 164–172. [Google Scholar] [CrossRef]
  38. Lao, C.C.; Chen, J.Y.; Zhang, Z.T.; Chen, Y.W.; Ma, Y.; Chen, H.R.; Gu, X.B.; Ning, J.F.; Jin, J.M.; Li, X.W. Predicting the contents of soil salt and major water-soluble ions with fractional-order derivative spectral indices and variable selection. Comput. Electron. Agric. 2021, 182, 106031. [Google Scholar] [CrossRef]
  39. Bala, M.; Singh, M. Non destructive estimation of total phenol and crude fiber content in intact seeds of rapeseed-mustard using FTNIR. Ind. Crops Prod. 2013, 42, 357–362. [Google Scholar] [CrossRef]
  40. Wei, Y.; Bao, Y. Nondestructive Detection Method in Soybean Moisture Content Based on BP Neural Network. J. Agr. Mech. Res. 2007, 2, 126–129. [Google Scholar]
  41. Lin, H.; Liang, L.; Zhang, L.P.; Du, P. Wheat leaf area index inversion with hyperspectral remote sensing based on support vector regression algorithm. Nongye Gongcheng Xuebao/Trans. Chin. Soc. Agric. Eng. 2013, 29, 139–146. [Google Scholar]
  42. Atteh, E. The Nature of Mathematics Education; The Issue of Learning Theories and Classroom Practice. Asian J. Educ. Soc. Stud. 2020, 10, 42–49. [Google Scholar] [CrossRef]
  43. Velis, C.A.; Wilson, D.C.; Gavish, Y.; Grimes, S.M.; Whiteman, A. Socio-economic development drives solid waste management performance in cities: A global analysis using machine learning. Sci. Total Environ. 2023, 872, 161913. [Google Scholar] [CrossRef] [PubMed]
  44. Fang, K.N.; Wu, J.B.; Zhu, J.P.; Bang, C.N. A review of technologies on random forests. J. Stat. Inf. 2011, 26, 32–38. [Google Scholar] [CrossRef]
  45. Chen, D.S.; Zhang, F.; Tan, M.L.; Chan, N.W.; Shi, J.C.; Liu, C.J.; Wang, W.W. Improved Na+ estimation from hyperspectral data of saline vegetation by machine learning. Comput. Electron. Agric. 2022, 196, 106862. [Google Scholar] [CrossRef]
  46. Liu, N.; Xing, Z.Z.; Zhao, R.M.; Qiao, L.; Li, M.N.; Liu, G.; Sun, H. Analysis of chlorophyll concentration in potato crop by coupling continuous wavelet transform and spectral variable optimization. Remote Sens. 2020, 12, 2826. [Google Scholar] [CrossRef]
  47. Song, S.; Song, X.N.; Tejado, B.I. Adaptive projective synchronization for time-delayed fractional-order neural networks with uncertain parameters and its application in secure communications. Trans. Inst. Meas. Control. 2018, 40, 3078–3087. [Google Scholar] [CrossRef]
  48. Guo, L.; Chen, Y.Y.; Shi, T.Z.; Zhao, C.; Liu, Y.L.; Wang, S.Q.; Zhang, H.T. Exploring the role of the spatial characteristics of visible and near-infrared reflectance in predicting soil organic carbon density. ISPRS Int. J. Geo-Inf. 2017, 6, 308. [Google Scholar] [CrossRef]
  49. Zhang, Z.P.; Ding, J.L.; Wang, J.Z.; Ge, X.Y. Prediction of soil organic matter in northwestern China using fractional-order derivative spectroscopy and modified normalized difference indices. Catena 2020, 185, 104257. [Google Scholar] [CrossRef]
  50. Zhang, Z.P.; Ding, J.L.; Zhu, C.M.; Wang, J.Z.; Ma, G.L.; Ge, X.Y.; Li, Z.S.; Han, L.J. Strategies for the efficient estimation of soil organic matter in salt-affected soils through Vis-NIR spectroscopy: Optimal band combination algorithm and spectral degradation. Geoderma 2021, 382, 114729. [Google Scholar] [CrossRef]
  51. Hong, Y.S.; Guo, L.; Chen, S.C.; Linderman, M.; Mouazen, A.M.; Yu, L.; Chen, Y.Y.; Liu, Y.L.; Liu, Y.F.; Cheng, H.; et al. Exploring the potential of airborne hyperspectral image for estimating topsoil organic carbon: Effects of fractional-order derivative and optimal band combination algorithm. Geoderma 2020, 365, 114228. [Google Scholar] [CrossRef]
  52. Berger, K.; Verrelst, J.; Féret, J.B.; Wang, Z.H.; Wocher, M.; Strathmann, M.; Danner, M.; Mauser, W.; Hank, T. Crop nitrogen monitoring: Recent progress and principal developments in the context of imaging spectroscopy missions. Remote Sens. Environ. 2020, 242, 111758. [Google Scholar] [CrossRef]
  53. Norris, C.E.; Quideau, S.A.; Landhäusser, S.M.; Drozdowski, B.; Hogg, K.E.; Oh, S.W. Assessing structural and functional indicators of soil nitrogen availability in reclaimed forest ecosystems using15N-labelled aspen litter. Can. J. Soil Sci. 2018, 98, 357–368. [Google Scholar] [CrossRef]
  54. Taghizadeh-mehrjardi, R.; Toomanian, N.; Khavaninzadeh, A.R.; Jafari, A.; Triantafilis, J. Predicting and mapping of soil particle-size fractions with adaptive neuro-fuzzy inference and ant colony optimization in central Iran. Eur. J. Soil Sci. 2016, 67, 707–725. [Google Scholar] [CrossRef]
  55. Li, X.H.; Li, J.G. Comparative Analysis for Grey Relation Estimation Models of Soil Organic Matter based on Hyperspectral Data. IOP Conf. Ser. Earth Environ. Sci. 2021, 820, 012002. [Google Scholar] [CrossRef]
  56. Lu, J.S.; Eitel, J.U.H.; Engels, M.; Zhu, J.; Ma, Y.; Liao, F.; Zheng, H.B.; Wang, X.; Yao, X.; Cheng, T.; et al. Improving Unmanned Aerial Vehicle (UAV) remote sensing of rice plant potassium accumulation by fusing spectral and textural information. Int. J. Appl. Earth Obs. Geoinf. 2021, 104, 102592. [Google Scholar] [CrossRef]
  57. Luo, Y.; Lyu, M.-Z.; Chen, J.-B.; Spanos, P.D. Equation governing the probability density evolution of multi-dimensional linear fractional differential systems subject to Gaussian white noise. Theor. Appl. Mech. Lett. 2023, 13, 100436. [Google Scholar] [CrossRef]
  58. Fu, Z.P.; Jiang, J.; Gao, Y.; Krienke, B.; Wang, M.; Zhong, K.T.; Cao, Q.; Tian, Y.C.; Zhu, Y.; Cao, W.X.; et al. Wheat growth monitoring and yield estimation based on multi-rotor unmanned aerial vehicle. Remote Sens. 2020, 12, 508. [Google Scholar] [CrossRef]
  59. Eyo, E.U.; Abbey, S.J.; Lawrence, T.T.; Tetteh, F.K. Improved prediction of clay soil expansion using machine learning algorithms and meta-heuristic dichotomous ensemble classifiers. Geosci. Front. 2022, 13, 101296. [Google Scholar] [CrossRef]
  60. Chen, Y.F.; Hou, F.H.; Dong, S.H.; Guo, L.Y.; Xia, T.Y.; He, G.Y. Reliability evaluation of corroded pipeline under combined loadings based on back propagation neural network method. Ocean Eng. 2022, 262, 111910. [Google Scholar] [CrossRef]
  61. Dai, Y.M.; Zhao, P. A hybrid load forecasting model based on support vector machine with intelligent methods for feature selection and parameter optimization. Appl. Energy 2020, 279, 115332. [Google Scholar] [CrossRef]
  62. Croft, H.; Arabian, J.; Chen, J.M.; Shang, J.L.; Liu, J.G. Mapping within-field leaf chlorophyll content in agricultural crops for nitrogen management using Landsat-8 imagery. Precis. Agric. 2020, 21, 856–880. [Google Scholar] [CrossRef]
  63. Raya-Sereno, M.D.; Ortiz-Monasterio, J.I.; Alonso-Ayuso, M.; Rodrigues, F.A.; Rodríguez, A.A.; González-Perez, L.; Quemada, M. High-resolution airborne hyperspectral imagery for assessing yield; biomass; grain N concentration; and N output in spring wheat. Remote Sens. 2021, 13, 1373. [Google Scholar] [CrossRef]
  64. Moharana, S.; Dutta, S. Spatial variability of chlorophyll and nitrogen content of rice from hyperspectral imagery. ISPRS J. Photogramm. Remote Sens. 2016, 122, 17–29. [Google Scholar] [CrossRef]
  65. Wang, C.Y.; Fu, J.X.; Yao, K.; Xue, K.; Xu, K.X.; Pang, X. Acridine-based fluorescence chemosensors for selective sensing of Fe3+ and Ni2+ ions. Spectrochim. Acta-Part A Mol. Biomol. Spectrosc. 2018, 199, 403–411. [Google Scholar] [CrossRef]
Figure 1. Study area.
Figure 1. Study area.
Agronomy 14 00184 g001
Figure 2. Hyperspectral reflectance characteristic curve graph.
Figure 2. Hyperspectral reflectance characteristic curve graph.
Agronomy 14 00184 g002
Figure 3. (a1a10): The correlation matrix of RI, DI, SAVI, TVI, mSR, mNDI, NDVI, TBI-1, TBI-2, TBI-3, and soil moisture content under 0—order differential.
Figure 3. (a1a10): The correlation matrix of RI, DI, SAVI, TVI, mSR, mNDI, NDVI, TBI-1, TBI-2, TBI-3, and soil moisture content under 0—order differential.
Agronomy 14 00184 g003
Figure 4. (b1b10): The correlation matrix of RI, DI, SAVI, TVI, mSR, mNDI, NDVI, TBI-1, TBI-2, TBI-3, and soil moisture content under 0.5—order differential.
Figure 4. (b1b10): The correlation matrix of RI, DI, SAVI, TVI, mSR, mNDI, NDVI, TBI-1, TBI-2, TBI-3, and soil moisture content under 0.5—order differential.
Agronomy 14 00184 g004
Figure 5. (c1c10): The correlation matrix of RI, DI, SAVI, TVI, mSR, mNDI, NDVI, TBI-1, TBI-2, TBI-3, and soil moisture content under 1—order differential.
Figure 5. (c1c10): The correlation matrix of RI, DI, SAVI, TVI, mSR, mNDI, NDVI, TBI-1, TBI-2, TBI-3, and soil moisture content under 1—order differential.
Agronomy 14 00184 g005
Figure 6. (d1d10): The correlation matrix of RI, DI, SAVI, TVI, mSR, mNDI, NDVI, TBI-1, TBI-2, TBI-3, and soil moisture content under 1.5—order differential.
Figure 6. (d1d10): The correlation matrix of RI, DI, SAVI, TVI, mSR, mNDI, NDVI, TBI-1, TBI-2, TBI-3, and soil moisture content under 1.5—order differential.
Agronomy 14 00184 g006
Figure 7. (e1e10): The correlation matrix of RI, DI, SAVI, TVI, mSR, mNDI, NDVI, TBI-1, TBI-2, TBI-3, and soil moisture content under 2—order differential.
Figure 7. (e1e10): The correlation matrix of RI, DI, SAVI, TVI, mSR, mNDI, NDVI, TBI-1, TBI-2, TBI-3, and soil moisture content under 2—order differential.
Agronomy 14 00184 g007
Figure 8. Model evaluation results. (a1a5) is the 0–2−order soil moisture content prediction model constructed by the BPNN method; (b1b5) are the results of the 0–2−order soil moisture content prediction model constructed by the SVM method. (c1c5) are the results of the 0–2−order soil moisture content prediction model constructed by the RF method.
Figure 8. Model evaluation results. (a1a5) is the 0–2−order soil moisture content prediction model constructed by the BPNN method; (b1b5) are the results of the 0–2−order soil moisture content prediction model constructed by the SVM method. (c1c5) are the results of the 0–2−order soil moisture content prediction model constructed by the RF method.
Agronomy 14 00184 g008
Table 1. Test scheme design.
Table 1. Test scheme design.
SFMNMSFMSMSMFM
N1N3N2N3N2N1
NMSFMSMFMFMNM
N1N3N1N3N2N1
SFMSFMSFMNMNMFM
N2N1N3N3N2N3
SMSMSMNMFMFM
N2N1N3N2N2N1
Table 2. Statistics of soil moisture content of soybean at flowering stage.
Table 2. Statistics of soil moisture content of soybean at flowering stage.
Statistical IndicatorsSoil Moisture Content
Sample Size48.00
Maximum Value0.16
Minimum Value0.11
Mean Value0.08
Standard Deviation0.01
Coefficient of Variation/%12.5
Table 3. Spectral index and construction formula.
Table 3. Spectral index and construction formula.
Select IndexComputing FormulaReference
RI R i / R j [33]
TVI 0.5 [ 120 ( R i R 550 ) 200 ( R j R 550 ) ] [33]
DI R i R j [36]
NDVI R i R j / R i + R j [36]
SAVI ( 1 + 0.16 ) R i R j R i + R j + 0.16 [37]
mSR R i R 455 / R j R 455 [35]
mNDI R i R i / R j + R j 2 R 455 [35]
TBI-1 R 1400 / ( R i + R j ) [38]
TBI-2 ( R 1400 R i ) / ( R 1400 + R j ) [38]
TBI-3 ( R 1400 R i ) ( R λ 1 R j ) [38]
Ri (i = 1, 2, 3) is reflectance at any band; Rj (j = 1, 2, 3) is reflectance at any band; R455 and R1400 are hyperspectral reflectance at 455 nm and 1400 nm wavelengths.
Table 4. Preferred spectral index wavelength combinations under various differential orders.
Table 4. Preferred spectral index wavelength combinations under various differential orders.
Differential OrderSpectral IndexCorrelation CoefficientPosition of Wavelength (i, j)/(nm)Optimal Spectral Index Combination
0DI0.647 **747, 745DI, SAVI, TVI, mSR, TBI-3
RI0.411 **717, 720
NDVI0.412 **717, 720
SAVI0.589 **717, 720
TVI0.659 **759, 670
mSR0.619 **719, 718
mNDI0.447 **719, 718
TBI-10.376 **758, 759
TBI-20.368 **757, 717
TBI-30.711 **747, 745
0.5DI0.726 **690, 720RI, SAVI, TBI-3, mNDI, NDVI
RI0.651 **737, 748
NDVI0.698 **745, 737
SAVI0.731 **748, 737
TVI0.682 **757, 692
mSR0.653 **719, 717
mNDI0.690 **717, 720
TBI-10.648 **720, 753
TBI-20.668 **753, 696
TBI-30.737 **737, 748
1DI0.719 **731, 721DI, NDVI, TBI-3, mNDI, TVI
RI0.688 **673, 726
NDVI0.722 **711, 734
SAVI0.716 **726, 673
TVI0.722 **737, 696
mSR0.713 **721, 720
mNDI0.763 **757, 681
TBI-10.700 **729, 690
TBI-20.628 **700, 724
TBI-30.719 **673, 726
1.5DI0.721 **726, 700mNDI, TVI, TBI-1, NDVI, TBI-3
RI0.689 **676, 738
NDVI0.736 **688, 729
SAVI0.721 **726, 700
TVI0.726 **754, 708
mSR0.721 **692, 726
mNDI0.766 **740, 696
TBI-10.737 **726, 700
TBI-20.671 **726, 677
TBI-30.722 **726, 700
2DI0.685 **700, 726TVI, NDVI, TBI-1, mSR, mNDI
RI0.669 **694, 746
NDVI0.729 **727, 682
SAVI0.685 **726, 700
TVI0.703 **723, 714
mSR0.718 **700, 726
mNDI0.762 **755, 720
TBI-10.736 **759, 694
TBI-20.698 **675, 676
TBI-30.687 **747, 737
‘**’ indicates that the correlation is significant at 0.01.
Table 5. Comparison of model prediction accuracy evaluation under different differential order.
Table 5. Comparison of model prediction accuracy evaluation under different differential order.
Differential OrderEvaluating IndicatorBPNNRFSVM
Training SetsValidation SetTraining SetsValidation SetsTraining SetValidation Set
0R20.6290.6520.7140.7220.6420.679
RMSE (g/kg)0.0070.0270.0050.0060.0060.006
MRE (%)4.314.4773.4674.6223.9034.565
0.5R20.6520.6930.8380.7250.6780.695
RMSE (g/kg)0.0070.0310.0050.0050.0080.007
MRE (%)3.4211.763.7653.1164.5524.887
1R20.7940.7070.8420.7370.7990.719
RMSE (g/kg)0.0070.0290.0060.0070.020.029
MRE (%)4.4285.4713.1644.8314.4446.4
1.5R20.8780.7590.9120.7920.9060.772
RMSE (g/kg)0.0060.0270.0050.0040.020.027
MRE (%)3.6743.1762.8912.7802.9883.974
2R20.8630.7450.8890.7620.8670.757
RMSE (g/kg)0.020.0070.0060.0040.020.026
MRE (%)3.9185.1892.4482.5422.8385.574
Disclaimer/Publisher’s Note: The statements, opinions and data contained in all publications are solely those of the individual author(s) and contributor(s) and not of MDPI and/or the editor(s). MDPI and/or the editor(s) disclaim responsibility for any injury to people or property resulting from any ideas, methods, instructions or products referred to in the content.

Share and Cite

MDPI and ACS Style

Li, W.; Xiang, Y.; Liu, X.; Tang, Z.; Wang, X.; Huang, X.; Shi, H.; Chen, M.; Duan, Y.; Ma, L.; et al. Estimation of Soil Moisture Content Based on Fractional Differential and Optimal Spectral Index. Agronomy 2024, 14, 184. https://doi.org/10.3390/agronomy14010184

AMA Style

Li W, Xiang Y, Liu X, Tang Z, Wang X, Huang X, Shi H, Chen M, Duan Y, Ma L, et al. Estimation of Soil Moisture Content Based on Fractional Differential and Optimal Spectral Index. Agronomy. 2024; 14(1):184. https://doi.org/10.3390/agronomy14010184

Chicago/Turabian Style

Li, Wangyang, Youzhen Xiang, Xiaochi Liu, Zijun Tang, Xin Wang, Xiangyang Huang, Hongzhao Shi, Mingjie Chen, Yujie Duan, Liaoyuan Ma, and et al. 2024. "Estimation of Soil Moisture Content Based on Fractional Differential and Optimal Spectral Index" Agronomy 14, no. 1: 184. https://doi.org/10.3390/agronomy14010184

APA Style

Li, W., Xiang, Y., Liu, X., Tang, Z., Wang, X., Huang, X., Shi, H., Chen, M., Duan, Y., Ma, L., Wang, S., Zhao, Y., Li, Z., & Zhang, F. (2024). Estimation of Soil Moisture Content Based on Fractional Differential and Optimal Spectral Index. Agronomy, 14(1), 184. https://doi.org/10.3390/agronomy14010184

Note that from the first issue of 2016, this journal uses article numbers instead of page numbers. See further details here.

Article Metrics

Back to TopTop