Abstract
In order to determine the optimal moulding process parameters of biomass seedling pots prepared from fermented cow dung mixed with corn stover, the moulding pressure, baking time, and baking temperature of biomass seedling pots were taken as the influencing factors, and the expansion rate, durability rate, wet swelling rate (48 h), and resistance to damage were taken as the evaluation indexes, and the Box–Behnken design of the response surface method was used to analyze the significance of interactions among the different influencing factors in the moulding process of biomass seedling pots and to optimize the moulding process. The experiment was conducted in the Biomass Laboratory of Heilongjiang Bayi Agricultural University. The response surface method Box–Behnken design was used to analyze the significance of the interaction between different influencing factors in the biomass seedling pots moulding process and optimize the moulding process. The results showed that the optimum moulding process conditions obtained using the Box–Behnken design were the following: a moulding pressure of 520.393 kN, baking temperature of 202.870 °C, and baking time of 8.573 min. The model was validated by testing and a response value of 10.522% was obtained for expansion, 99.598% for durability rate, 11.145% for wet swelling (48 h), and 4503.545 N for resistance to damage. The experimental verification showed that the deviation of the actual value obtained under this condition from the predicted value is less than 5%, indicating that the model reproduces well and meets the experimental requirements. Based on the optimal moulding process conditions determined in this experiment, the total porosity, EC, and pH of the Biomass seedling pots were determined to be 67.32%, 1.63 mS/cm, and 6.7, respectively, which met the seedling requirements.
1. Introduction
China is an agricultural powerhouse that produces huge amounts of agricultural waste every year. Among them, corn stover, a rich agricultural by-product, has an annual output of about three billion tones, accounting for one-third of China’s total agricultural waste [1]. If corn stover resources are not effectively developed and utilized, there will be significant environmental pressures on agricultural production [2]. Many developed countries and regions are actively researching effective ways to convert and utilize these straw resources [3,4], and their research is mainly focused on straw return to the field, straw fermentation into feed, and energy and chemical industries [5]. In recent years, high-value utilization of straw has gradually become a research hotspot, and a number of studies have been carried out on the production of biomass products from corn straw [6,7,8].
At the same time, with the continuous expansion of the breeding scale in China, the output of livestock manure in China is about 3.8 billion tones [9]. If livestock dung is directly discharged without treatment, it will cause serious pollution to the environment, such as water sources, air, and soil [10], and the problem of livestock dung treatment is becoming increasingly prominent [11]. Therefore, the reduction and harmless resource utilization of livestock dung, as well as the prevention and control of livestock dung pollution, are of great importance for the protection of the ecological environment and the development of a modern agricultural circular economy [12]. Studies have shown that livestock dung contain cellulose, hemicellulose, lignin, protein, amino acids, organic acids, enzymes, and various inorganic salts [13], but the composition of different livestock dung varies. The organic matter content of fermented cow dung is significantly higher than that of chicken dung, while the concentration of heavy metals such as copper and zinc in pig dung is significantly higher than the standard. The content of organic matter can significantly supplement soil organic matter and effectively improve soil quality [14].
Therefore, it is of practical importance how the “waste property” of straw and dung can be comprehensively considered as a “resource property” from a system perspective. Combined with the actual needs of potting and transplanting of economic crops such as vegetables, the research comprehensively analyzed from the aspects of production cost, degradation of returning to the field, environmental pollution, and seedling quality, etc., found that the widely used plastic pots and paper pots could not well meet the development needs of modern green agriculture [15,16]. Research and development of straw and livestock dung as raw materials, without the addition of chemical binding conditions, can demonstrate the following: the preparation of biomass seedling pots can be used for plant pots transplanting, the biomass seedling pots can realize the high-quality utilization of agricultural waste, solve the environmental pollution problem in the conventional treatment of agricultural waste, and avoid the waste of resources, and after meeting the requirements of seedling cultivation, it can be transplanted with a pot, reduce labor costs, and the biomass seedling pot can be degraded in the land, the carbonized part can directly improve the soil, and the rest can be used as nourishment, in line with the national comprehensive use of straw, soil improvement, food safety, environmental protection, fertilizer reduction, carbon sequestration, and emission reduction strategy development needs.
However, the dispersive texture, low energy density, and difficult storage and transportation of straw and livestock dung limit their large-scale and high-value utilization. Biomass-curing moulding technology is an effective means of overcoming the above problems [17,18]. Using biomass-hardening moulding technology, loose biomass materials can be converted into biomass products with a specific shape, high density, and high hardness using compression moulding equipment [19,20]. Sarker et al. [21] studied the ZIF-67-based composite material, as it has excellent adsorption performance and can adsorb heavy metals, drugs, and other industrial wastes, but this material is difficult to obtain and cannot be directly transplanted into the ground, and it is difficult to degrade; therefore, agricultural waste such as straw and cow dung, which are easily available, should be selected as raw materials. Bazargan et al. [22] pointed out that water, pressure, carbon particle size, and other factors have significant effects on the moulding process and the quality of the formed carbon, and the volatilisation of water is conducive to promoting the binding effect of starch on carbon particles. The study by Dinesha et al. [23] shows that the application of pressure leads to plastic and elastic deformation and void filling, resulting in the formation of higher density compact blocks. However, at present, the biomass seedling pots made of crop straw and livestock dung have some problems in use, such as their low durability rate, and easily melt in warm and humid environments. Teng et al. [24] pointed out that by changing the moulding pressure and secondary carbonization process after moulding, the quality of the biomass seedling pots can be improved, the durability rate can be improved, and the melting can be prevented. However, the energy consumption in the moulding process is large, and the process is complicated. Therefore, research on the optimal moulding process and parameter combination of biomass seedling pots using corn straw and livestock dung as raw materials can provide a seedling carrier in line with the green development of agriculture for potting and transplanting, and expand a new way to develop value-added products from straw and livestock dung.
In this study, fermented cow dung and corn straw were used as the main raw materials, the Box–Behnken design of the response surface method was used to study the influence rule of various factors on the evaluation index, and the forming process parameters of the biomass seedling pots were optimized. The physical and chemical characteristics of the biomass seedling pots with the optimal moulding parameters were analyzed, and the results met the requirements of seedling cultivation, thus providing the optimal combination of process parameters for biomass seedling pots.
2. Materials and Methods
2.1. Materials and Instruments
In this experiment, the corn stalk was taken from the experimental field of Heilongjiang Bayi Agricultural University and the fermented cow dung was selected from Shandong Province Fertile agricultural materials Co., Ltd. (Shandong, China), Zibo, China. The main testing equipment includes a YJ-1000 hydraulic piston forming machine with a maximum pressure of 1000 kN and working stroke of 390 mm, biomass seedling pots forming device independently developed by the team, CZ-300 electronic balance, DLF-20 crusher, moisture meter, and so on. The schematic figure and picture of the moulding system are shown in Figure 1.
Figure 1.
The schematic figure and picture of the moulding system: (a) schematic figure of the moulding system; (b) picture of the moulding system.
2.2. Test Procedure
2.2.1. Preprocessing of Materials
The maize straw was first naturally air-dried to control the moisture to 8%, and then the DLF-20 crusher was used for grinding and screening. After drying the fermented cow dung, the moisture measured by the moisture-measuring instrument was reduced to 8%, and the standard screen with 8-mesh specifications was used for screening treatment to remove impurities such as stones. According to the test requirements, the raw materials of corn straw and fermented cow dung were mixed and prepared. The physical and chemical properties of raw materials are shown in Table 1.
Table 1.
The physical and chemical properties of raw materials.
In the preliminary tests, it was concluded, if the straw content is too much, it will lead to an increase in the wet expansion rate and absorb a lot of water in the process of seedling rearing, resulting in the phenomenon of reactor fusion, which cannot meet the needs of subsequent seedling rearing, and the moulding quality will be greatly reduced. If the moisture content of corn straw and fermented cow manure is too high or too low, the fluidity of raw materials will change, and it is difficult to form. The corn stalk is screened after crushing, leaving a stalk of 3–5 mm length, in order to avoid the phenomenon of expansion cracking caused by the excessively long particle size of the corn stalk after the moulding of the biomass seedling pots. Therefore, the straw mass fraction was determined to be 12% and the water content of the material was 8%. The prepared test material was stored in a sealed bag for 2 days under these conditions. Corn stover, fermented cow dung, and mixed raw materials are shown in Figure 2.
Figure 2.
The sample physical picture: (a) corn stover; (b) fermented cow dung; (c) mixed raw materials.
2.2.2. Moulding Test
A single hydraulic cylinder is used to open the mould and press the material [25]. Before pressing the biomass seedling pots, 85 g of raw material was added to the basket and the compression program was called to compress the raw material. At the same time, a heating rod, coolant, and temperature controller were used for heating, cooling, and temperature control. After pressing, the upper mould is opened for secondary pressing, and the mould is taken out after pressing. The biomass seedling pots after pressing, and overall size, are shown in Figure 3.
Figure 3.
The biomass seedling pots after pressing, and overall size: (a) the biomass seedling pots after pressing; (b) the overall size of biomass seedling pots.
2.2.3. Test Evaluation Index
In order to explore the influence of various factors on the forming effect of the biomass seedling pots, the moulding pressure, baking temperature, and baking time were selected as influencing factors, and the expansion rate, durability rate, wet swelling rate, and resistance to damage were selected as evaluation indexes.
The expansion rate is one of the most important indices that evaluates the quality of the biomass seedling pots. If the expansion rate during storage is too great, it will reduce the performance of the biomass seedling pots. Throughout the process from moulding to drying, some expansion rate will occur. However, the effect on the overall size of the biomass seedling pots is not significant and the range of size change is less than 4%. The expansion rate of the side wall after drying can be clearly observed. It is concluded that the rate of expansion rate is directly related to the dimensional change of the sidewall thickness. The thickness of the sidewall of the known seedling pots’ disc is 5 mm, and the calculation formula is shown in Equation (1) [26]:
where is the expansion rate after moulding (%); L1 refers to the side wall of the biomass seedling pots (mm); and L2 refers to the side wall of the biomass seedling pots after drying (mm).
The durability rate is an important index that evaluates the performance of the biomass seedling pots during transport and storage. A rotating drum with a diameter and depth of 598 mm and a blocking plate to the drum wall of 598 × 200 mm was used to evaluate the durability rate of the biomass seedling pots [27]. The rotating drum is shown in Figure 4. The drum was rotated at a speed of 30 rpm for 5 min, and then the initial mass and the mass after wear of the biomass seedling pots were measured. The calculation formula is shown in Equation (2) [28]:
where is the durability rate after moulding (%); m1 refers to the mass of the biomass seedling pots after wear (g); and L2 refers to the initial mass of the biomass seedling pots (g).
Figure 4.
The rotating drum.
The wet swelling rate is an important parameter that reflects the dimensional stability of the biomass seedling pots in the process of seedling rearing. After baking, the biomass seedling pots were numbered and dried in a drying box at 50 °C for 24 h. Then, the soil with 80% moisture was put into the biomass seedling pots, and the soil moisture tester was used to measure the soil moisture during the test to ensure that the soil moisture remained constant within 24 h, 48 h, and 72 h. The volume change of the biomass seedling pots at these time points was measured using the calculation formula shown in Equation (3) [29,30]:
where is the wet swelling rate (%); V1 refers to the biomass seedling pots before water absorption (cm3); and V2 refers to biomass seedling pots after water absorption (cm3).
The resistance to damage is an important parameter that evaluates the quality of the biomass seedling pots in the case of stacking during transportation. In the test, we chose to use a WDW-200 microcomputer-controlled electronic universal testing machine, with its measuring range of 0~50 mm. Firstly, the loading process is started to ensure that the biomass seedling pots are in full contact with the upper pressure plate on the beam until it is damaged. The system then automatically performs the unloading process, marking the end of the test. During the test, the relationship between the deformation of the biomass seedling pots and the force is recorded and stored by the computer system (Figure 5). When the biomass seedling pots are broken, the force curve will show a significant peak value, the peak value being the resistance to damage of the biomass seedling pots.
Figure 5.
Resistance to damage test device, and force and displacement curves: (a) resistance to damage test device; (b) force and displacement curves.
2.2.4. Experimental Design
Based on the single factor test, three independent variables of the biomass seedling pots were selected and designated as A, B, and C. The expansion rate, durability rate, wet swelling rate (48 h), and resistance to damage were coded as Y1, Y2, Y3, and Y4, respectively. Each variable in the Box–Behnken design was prescribed into three different levels assigned as −1, 0, and +1 in the coded factors, corresponding to the lower level, center level, and upper level, respectively. These three levels of each factor were obtained from the results of the preliminary experiment. The levels and ranges of these factors are presented in Table 2.
Table 2.
The variables and their levels for the Box–Behnken design experiment.
2.2.5. Methods for Measuring Physical and Chemical Properties
The mercury injection method was used to measure the total porosity of the biomass seedling pots. Samples with regular shapes of 20 mm, 20 mm, and 5 mm were selected and tested with the BELPORE porosity tester from Microtrac MRB. The maximum pressure of the instrument is 414 MPa. The calculation formula is given in Equation (4) [31]:
where is the mercury injection method (%); is the apparent volume of the sample in the biomass seedling pots (cm3); and where is the volume of mercury under maximum pressure (cm3).
The saturation leaching method was used to determine the EC and pH of the biomass seedling pots [32]. The biomass seedling pots are first saturation leached, and the EC of the resulting clarified filtrate is accurately determined using a portable water conductivity and soil salinity meter (model HI993310, Hana Instruments, Villafranca, Italy). The pH is determined under standard conditions using a temperature meter (model IQ150, Dedu Precision Instrument Co., Ltd., Changzhou, Jiangsu, China).
Then we took two test samples (1 × 1 cm) from the optimized biomass seedling pot, placed the outer and inner sides of the samples up, respectively, and glued the samples to the sample stage with double-sided tape. The test samples were placed in the ion sputtering instrument for gold sputtering for 3 × 30 s and vacuum extraction. The gold-coated sample was put in the SEM (model SU5000, Hitachi., Ltd., Tokyo, Japan) with the sample stage for observation. The acceleration voltage of the SEM was set as 5 kV.
3. Results and Discussion
3.1. Statistical Analysis and Model Fitting
The expansibility, durability rate, wet swelling rate, and resistance to damage were analyzed after the test. The test results are given in Table 3. The expansion rate of the test parameters ranged from 2% to 11%, the durability rate ranged from 95.073% to 99.886%, the wet swelling rate ranged from 3.814% to 11.826%, and the resistance to damage from 1530.0 N to 4915.8 N.
Table 3.
The test results.
3.2. Analysis of Variance
Regression equations for expansion rate Y1, durability rate Y2, wet swelling rate Y3, and resistance to damage Y4 were established using the Design-Expert13.0 as shown in Equation (5).
Analysis of variance was performed on the regression model and the results are shown in Table 4 and Table 5.
Table 4.
ANOVA of the Expansion Rate and Durability Rate.
Table 5.
ANOVA of the Wet Swelling Rate and Resistance to Damage.
As shown in Table 3, the regression equation model of the expansion rate p < 0.0001, and the regression results are extremely significant. The coefficient of determination R2 = 0.9834 and the lack of fit p = 0.1639 > 0.05 proved that the lack of fit was not significant, and the influence of each factor on the expansion rate was in the order of baking time > moulding pressure > baking temperature when the expansion rate was taken as the response index. The regression equation model of the durability rate is p < 0.0001 and the regression results are very significant. The coefficient of determination R2 = 0.9824 and the lack of fit p = 0.1230 > 0.05 proved that the lack of fit was not significant, and that the main order of influence of each factor on the durability rate was as follows: baking temperature > baking time > moulding pressure.
As shown in Table 4, the regression equation model of the wet swelling rate p < 0.0001, and the regression results are extremely significant. The coefficient of determination R2 = 0.9801 and the lack of fit p = 0.8834 > 0.05 proved that the lack of fit was not significant, and the main order of influence of each factor on the wet swelling rate was as follows: baking temperature > baking time > moulding pressure. The regression equation model of the resistance to damage p < 0.0001 shows that the regression results are very significant. The coefficient of determination R2 = 0.9733 and the loss of fit p = 0.7895 > 0.05 showed that the loss of fit was not significant. Through regression analysis, it was concluded that the main order of influence of each factor on the resistance to damage was as follows: moulding pressure > baking temperature > baking time. In conclusion, the regression model can be used to predict the evaluation index of the biomass seedling pots.
3.3. Effects of Operating Parameters on the Moulding Process
After validating the suitability of the model, three-dimensional (3D) surface plots were used to present the predicted regression equations and intuitively investigate the influences of the independent variables on the responses. The 3D plots could show the interaction influence of four factors on the response, while the other factor was kept at the medium level. Three-dimensional plots in Figure 6, Figure 7, Figure 8 and Figure 9 illustrate the impact of varying levels of moulding pressure (A), backing time (B), backing temperature (C) on the expansion rate (Y1), durability rate (Y2), wet swelling rate (Y3), and resistance to damage (Y4).
Figure 6.
The 3D response surface plots of expansion rate: (a) moulding pressure and baking temperature; (b) moulding pressure and baking time; (c) baking temperature and baking time.
Figure 7.
The 3D response surface plots of durability rate: (a) moulding pressure and baking temperature; (b) moulding pressure and baking time; (c) baking temperature and baking time.
Figure 8.
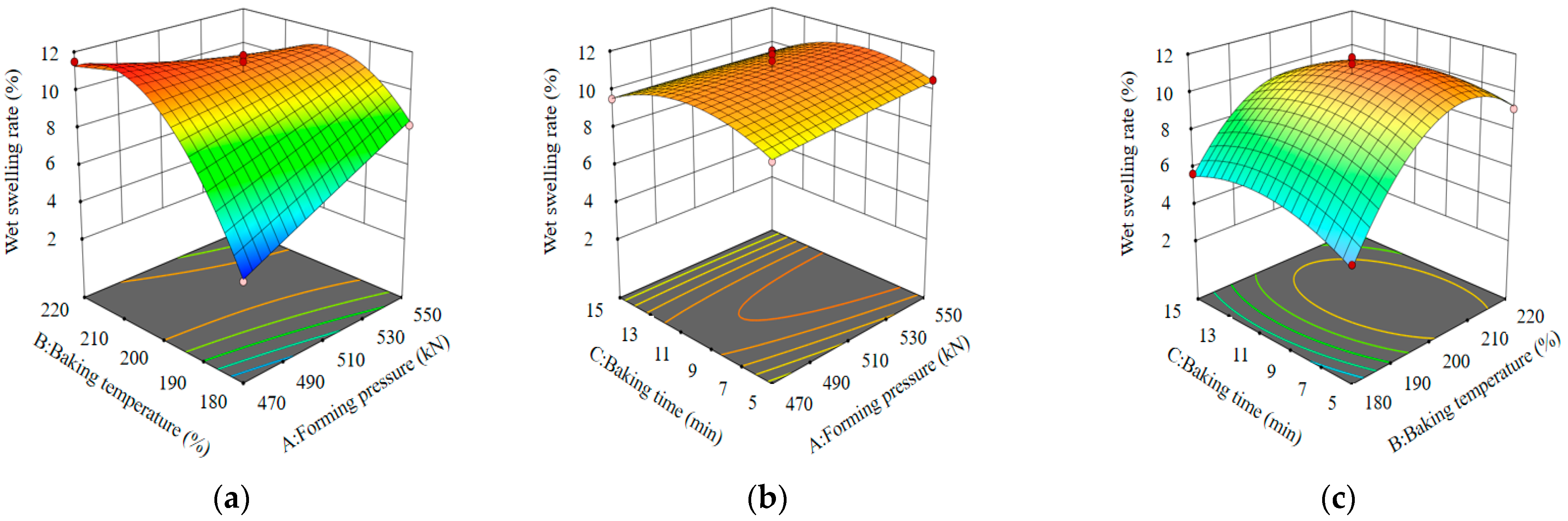
The 3D response surface plots of wet swelling rate: (a) moulding pressure and baking temperature; (b) moulding pressure and baking time; (c) baking temperature and baking time.
Figure 9.
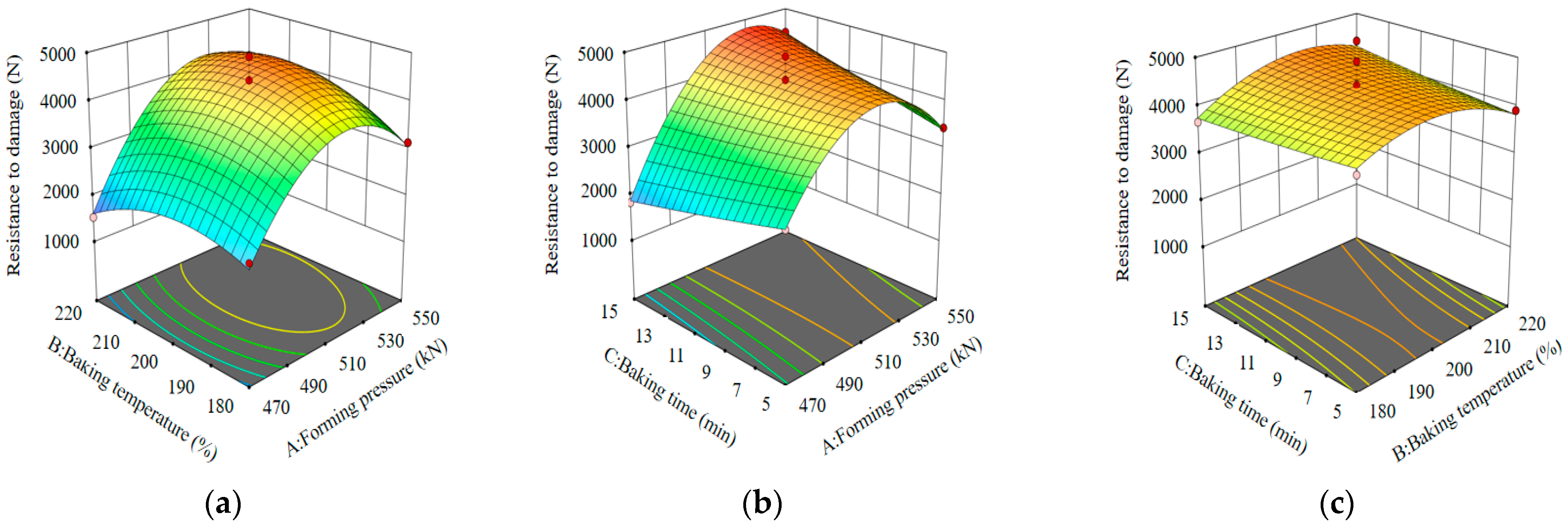
The 3D response surface plots of resistance to damage: (a) moulding pressure and baking temperature; (b) moulding pressure and baking time; (c) baking temperature and baking time.
3.3.1. Effect on Expansion Rate
As can be seen from Figure 6, when the baking time is fixed, as the moulding pressure and baking temperature increase, the total area of the interaction surface shows a tendency to first increase and then decrease, forming an elliptical surface. When the baking temperature is 190–210 °C and the forming pressure is 510–530 kN, the expansion rate reaches the lowest value, the centre point is within the contour, and the fluctuation range is relatively small. In the contour, the distribution is sparse and the contour near the moulding pressure is dense, indicating that the moulding pressure has a significant effect on the expansion rate. When the baking temperature remained constant, the interaction surface showed a state of first increasing and then decreasing with the increase in moulding pressure, and the density near the contour of baking time was greater, indicating that the influence of moulding pressure on the expansion rate was less than that of the baking time. At constant moulding pressure, the interactive area first increased and then decreased with the increase in baking temperature. The interactive contour of baking temperature and baking time within the level range of the selected factors is semi-elliptical, and the contour near the baking temperature of the factors is sparse and the slope is gentle, which proves that the baking temperature has no obvious effect on the expansion rate value. Response surface and contour analysis confirmed the effect of the baking time on the biomass seedling pots, which made the internal temperature of the biomass seedling pots more uniform and increased the lignin hardening rate, making the expansion rate of the biomass seedling pots after moulding less obvious [33]. Taking the expansion rate as the response value, the interaction between baking temperature and moulding pressure addition is the strongest. Guo et al. [34] also concluded that when the baking temperature reaches the temperature at which the lignin is transformed into a glassy state, the lignin becomes a binder, which binds the raw material particles together better under the moulding pressure, thus reducing the expansion rate.
3.3.2. Effect on Durability Rate
As can be seen from Figure 7, when the baking time is fixed, with the increase of moulding pressure and baking temperature, the surface of the interaction surface as a whole shows a trend of first increasing and then decreasing, and the surface shows a semi-elliptical shape. When the baking temperature is 200–220 °C and the moulding pressure is 530–550 kN, the durability rate is the highest, and the centre point is within the contour, the fluctuation range is relatively small, and the contour is sparse. It is relatively stable, and the contour near the moulding pressure is dense, while the contour near the baking temperature is dense, indicating that the moulding pressure has less influence on the durability rate than the baking temperature. When the baking temperature is constant, the interaction area of moulding pressure and baking time increases with the increase in moulding pressure, and the area is close to the contour of baking time, and the influence of moulding pressure on durability rate is less than that of the baking time. When the addition of moulding pressure is constant, the interaction surface of the baking temperature and baking time first increases and then decreases with the increase in baking temperature. The interaction contours of baking temperature and baking time are semi-elliptical within the selected factor level, and the contours near the baking temperature are dense, and baking temperature has a significant effect on durability rate. The research and analysis results show that the durability rate continues to increase when the baking temperature is 200 °C, and decreases when the baking temperature is 220 °C, because the lignin in the raw material changes chemically, resulting in an increased bonding strength. If the baking temperature continues to rise, the lignin chemistry will continue to change, resulting in a loss of bonding strength. Liu et al. [35] and Iftikhar Maira et al. [36] also concluded that when the baking temperature is too high, it will lead to the plasticization of lignin and cellulose, lower the elasticity of the particles, and ultimately reduce the durability.
3.3.3. Effect on Wet Swelling Rate
As can be seen from Figure 8, when the baking time is fixed, with the increase of the moulding pressure and baking temperature, the interaction surface shows a trend of first increasing and then decreasing, and the surface shows a semi-elliptical shape. When the baking temperature is 200–220 °C and the moulding pressure is 470–510 kN, the wet swelling rate is the lowest, and the centre point is within the contour, and the fluctuation pattern is relatively small. The contour is sparse in this range, indicating that the surface is smooth and relatively stable, and the contour near the moulding pressure side is dense, while the contour near the baking temperature side is relatively dense, indicating that the influence of the moulding pressure on the wet swelling rate is less than that of the baking temperature. When the baking temperature is constant, the interaction area of moulding pressure and baking time increases with the increase in moulding pressure. The interaction contours of moulding pressure and baking time are not connected within the level range of the selected factors and are close to the contour of baking time. The influence of moulding pressure on the wet swelling rate is less than that of the baking time. When the addition of moulding pressure is constant, the interaction area of the baking temperature and baking time first decreases and then increases with the increase in baking temperature. The interaction contours of baking temperature and baking time are semi-elliptical within the level range of the selected factors. The contour near the baking temperature is dense and the slope of the surface is steep. This is because the hemicellulose in the biomass seedling pots is pyrolysed at high temperatures, which changes the polymer state of the cell wall material, thereby reducing the number of hydrophilic hydroxyl groups. Reinprecht Ladislav et al. [37] proposed that as the baking temperature increases, the protective membrane of the cell wall is damaged or even disintegrated, resulting in a decrease in the wet swelling rate of the biomass seedling pots. Qi et al. [38] proposed that the baking temperature reached the softening temperature of lignin in the material, due to the hydrophobicity of lignin, and the mechanical mosaic structure wrapped with lignin cannot be damaged by water.
3.3.4. Effect on Resistance to Damage
As can be seen from Figure 9, when the baking time is fixed, as the moulding pressure and baking temperature increase, the interaction surface first increases and then decreases, and the surface shows a semi-elliptical shape. When the baking temperature is 200–220 °C and the moulding pressure is 510–530 kN, the resistance to damage is the highest, and the centre point is within the contour, and the fluctuation pattern is relatively small. The contour is sparse in this area, indicating that the surface is soft and the value is relatively stable. The contour near the moulding pressure is dense, while the contour near the baking temperature is relatively dense, indicating that the influence of the moulding pressure on the resistance to damage is less than that of the baking temperature. When the baking temperature is constant, the area of interaction between moulding pressure and the baking time increases with the increase in moulding pressure and then decreases to a stable state, and the contour near the baking time is sparse. The effect of moulding pressure on the resistance to damage is greater than that of the baking time. When the addition of moulding pressure is constant, the interaction area of the baking temperature and baking time first decreases and then increases with the increase in baking temperature. The interaction contour of baking temperature and baking time do not intersect within the level range of the selected factors. The short contour line near the baking temperature is dense and the slope of the surface is steep. This is due to the synergistic effect of the baking temperature and moulding pressure, which causes the change of physical and chemical properties such as protein denaturation and lignin softening, which promotes the formation of van der Waals forces between particles, thus improving the resistance to damage of the biomass seedling pots. Wang et al. [39,40] suggested in their study that a certain temperature and pressure can promote better moulding. When the baking temperature is high, the resistance to damage of the biomass seedling pots increases rapidly with the gradual increase of the moulding pressure and then decreases slowly. This is because under the condition of a low baking temperature, the increase in moulding pressure reduces the gap between the raw material particles and improves the moulding capacity of the biomass seedling pots. Yılmaz H. et al. [41] also concluded that moulding pressure can change the contact area between materials, thereby improving the binding force between raw material particles. However, under the condition of a high baking temperature, the increase in moulding pressure will destroy the structure of the raw materials, make them loose, and reduce the resistance to damage of the biomass seedling pots.
3.4. Process Optimization and Validation
According to the Box–Behnken design combined with response surface analysis, the optimal process conditions of the test are finally obtained as follows: The moulding pressure is 520.393 kN, the baking temperature is 202.870 °C, and the baking time is 8.573 min. The expansion rate reaches 10.522%, the durability rate reaches 99.598%, the wet swelling rate reaches 11.145%, and the resistance to damage reaches 4503.545 N. Considering the operability of the test, the optimizing conditions were adjusted as follows: the optimizing conditions were a forming pressure of 520 kN, baking temperature of 203 °C, and baking time of 8.5 min. The experiment was repeated three times. The average expansion rate of the biomass seedling pots was 10%, the average durability rate was 99.567%, the average wet swelling rate of the biomass seedling pots was 10.891%, and the average resistance to damage of the biomass seedling pots was 4503.281 N, which were close to the predicted value. The errors were 0.522%, 0.031%, 0.25%, and 0.264 kN, as shown in Table 6, respectively, indicating that the response surface model and experimental design were reliable and reproducible. The biomass seedling pots before and after optimization of moulding process parameters are shown in Figure 10.
Table 6.
The predicted value and the actual mean value of the best process condition.
Figure 10.
The biomass seedling pot before and after optimization of moulding process parameters.
3.5. Physical and Chemical Characteristic Analysis
It was found that the physico-chemical properties of the biomass seedling pots were closely related to the growth and quality of the seedlings, including key indicators such as total porosity, pH, and EC. According to the optimal moulding process conditions determined by the test, the specific physical and chemical characteristics of the biomass seedling pots are shown in Table 7, which can be further analyzed and studied.
Table 7.
Physical and chemical properties of biomass seedling pot.
The composition of solid, liquid and gas plays a crucial role in evaluating the physical properties of the biomass seedling pots. Among them, porosity is often used as a key index to evaluate its physical structure. In particular, the total porosity is not only directly related to the soil permeability, but also can significantly promote the healthy growth of plant roots when the total porosity is high, providing a more suitable growth environment for plants. Bai et al. [42,43,44] concluded that the total porosity of the seedling matrix should be more than 60%. The total porosity of the optimized pots was 67.32%, which met the requirements of seedling cultivation and was beneficial to seed germination and seedling growth.
The pH of the biomass seedling pots has a significant effect on the uptake of water and mineral elements by seedlings, and electrical conductivity is one of the key factors in assessing the suitability of organic waste as a seedling or growing substrate [45]. Amanda R et al. [46,47,48] indicated that the ideal pH range of seedling substrate is 6.0 to 6.8 to ensure healthy seedling growth. The study by Fang et al. [49] showed that the electrical conductivity should be controlled below 2.6 mS/cm to avoid adverse effects on seedling growth. Zhang et al. [50] further pointed out that the electrical conductivity measured by the saturation extraction method was in the range of 0.76 to 2 mS/cm, which was the most suitable for seedling cultivation. The results showed that the pH value of the optimized biomass seedling pots was 6.3 and the electrical conductivity was 1.76 mS/cm, which met the requirements of seedling cultivation and showed good applicability, suitable for seed germination and seedling growth.
As shown in Figure 11a, when the lignin softening temperature was reached on the surface of the optimized biomass seedling pots, lignin was separated out and filled in the space between raw materials. As the temperature continued to rise, the fluidity of lignin was enhanced, covering the surface of raw materials and forming a lignin layer outside the fiber. Qi et al. [38] also concluded that the stronger the fluidity of lignin, the better the film forming performance of lignin. Figure 11b is the SEM image of the inside of the biomass seedling pot after optimization of moulding process parameters. It can be seen from the picture that baking is gradually heated from the outside to the inside, so less lignin precipitation is generated. It cannot produce deformation in the process of seedling cultivation, affecting the transplanting effect.
Figure 11.
SEM images of biomass seedling pots with optimized process parameters: (a) the surface of the optimized biomass seedling pots; (b) the inside of the biomass seedling pots after optimization of moulding process parameters.
In summary, the physical and chemical properties of the optimized biomass seedling pots meet the agronomic requirements of seedling production.
4. Conclusions
In this study, fermented cow dung and corn straw were used as raw materials to produce material seedling pots under different moulding processes. In order to improve the moulding quality of biomass seedling pots through process optimization, the Box–Behnken design of response surface methodology was used to conduct predictive tests. In the test, we considered three key influencing factors as variables, including moulding pressure, baking temperature, and baking time. In addition, four evaluation indexes of expansion rate, durability rate, wet swelling rate, and resistance to damage were analysed to evaluate the effectiveness of the optimization process. During the study, the R2 values of the regression model were 0.9834, 0.9824, 0.9801, and 0.9733, respectively, which proved that the model had high accuracy. Considering the feasibility and effectiveness in actual operation and further adjustment and optimization, the best process parameters of biomass seedling pots moulding were obtained as follows: a moulding pressure of 520.393 kN, baking temperature of 202.870 °C, and baking time of 8.573 min. The model is verified by the experiment, and the expansion rate is 10.522%, the durability rate is 99.598%, the wet swelling rate (48 h) is 11.145%, and the resistance to damage is 4503.545 N. Under these conditions, the deviation between the actual value and the predicted value is less than 5%, indicating that the model has good reproducibility and meets the test requirements. Through physical and chemical analysis, the total porosity, pH value, and electrical conductivity of the optimized biomass seedling pots were 67.32%, 6.3, and 1.76 mS/cm, respectively, which met the agronomic requirements of seedling cultivation.
Finally, the biomass seedling pots made from fermented cow dung and corn straw shows the potential of comprehensive utilization of agricultural waste resources. At present, the production efficiency of biomass seedling pots is low, and the supporting equipment for production and quality improvement is less, which is the main obstacle to the commercialization and widespread use of biomass seedling pots in the international market. Therefore, the development and production of biomass seedling pots is an important link to promote the development of potting culture technology. By studying this method, it is possible to gain a more comprehensive understanding of biomass materials and thus develop more effective and efficient utilization methods.
Author Contributions
Writing—original draft, methodology, software, date curation, J.C.; writing—review and editing, Y.M.; conceptualization, resources, H.W.; investigation, D.T.; investigation, Y.Q.; investigation, D.L. All authors have read and agreed to the published version of the manuscript.
Funding
This study was financially supported by the Natural Science Foundation of Heilongjiang Province (LH2019E073), Heilongjiang Bayi Agricultural University “Open bidding for selecting the best candidates” science and technology research project (JB20220001), Doctoral Research Start-up Program, grant number XYB2015-04 and XYB2015-05. Financial support from the above research topic and organization are gratefully acknowledged.
Data Availability Statement
The data are available from the corresponding authors on reasonable request.
Conflicts of Interest
The authors declare no conflicts of interest.
References
- Cheng, S.; Zhang, L.B.; Ma, A.Y.; Xia, H.Y.; Peng, J.H.; Li, C.Y.; Shu, J.H. Comparison of activated carbon and iron/cerium modified activated carbon to remove methylene blue from wastewater. Environ. Sci. 2018, 65, 92–102. [Google Scholar] [CrossRef]
- Ren, J.R.; Yu, P.X.; Xu, X.H. Straw utilization in China-status and recommendations. Sustainability 2019, 11, 1762. [Google Scholar] [CrossRef]
- Duan, Y.; Zhang, L.L.; Yang, D.F.; Xiu, J.H. Eco-Innovation: Corn Stover as the Biomaterial in Packaging Designs. Sustainability 2024, 16, 1381. [Google Scholar] [CrossRef]
- Jin, C.R.; Hu, J.; Liang, H.J.; Li, J.L. Innovative and economically beneficial use of corn and corn products in electrochemical energy storage applications. ACS Sustain. Chem. Eng. 2021, 9, 10678–10703. [Google Scholar] [CrossRef]
- Fu, Y.L.; Zhang, J.; Guan, T.Z. High-Value Utilization of Corn Straw: From Waste to Wealt. Sustainability 2023, 15, 14618. [Google Scholar] [CrossRef]
- Gironès, V.C.; Moret, S.; Peduzzi, E.; Peduzzi, E.; Nasato, M.; François, M.N. Optimal use of biomass in large-scale energy systems: Insights for energy policy. Energy 2017, 137, 789–797. [Google Scholar] [CrossRef]
- Güler, B. Investigation of efficiency of pellet burning methods in a full scale rotary dryer. Biomass Convers. Bior. 2022, 1–13. [Google Scholar] [CrossRef]
- Wang, Y.X.; Liu, X.Y.; Wang, F.Z.; Ren, D.Y.; Li, Y.; Mu, Z.M.; Li, S.D.; Jiang, Y.C. Self-Attention-Mechanism-Improved YoloX-S for Briquette Biofuels Object Detectio. Sustainability 2023, 15, 14437. [Google Scholar] [CrossRef]
- Wang, Q.; Awasthi, M.K.; Zhang, Z.Q.; Wang, J.W.C. Sustainable Resource Recovery and Zero Waste Approaches; Elsevier: Amsterdam, The Netherlands, 2019; pp. 115–132. [Google Scholar]
- Mahal, Z.; Yabar, H.; Mizunoya, T. Spatial Assessment of Greenhouse Gas Emissions and Eutrophication Potential from Livestock in Bangladesh. Sustainability 2024, 16, 5479. [Google Scholar] [CrossRef]
- Muhammad, A.; Naveed, R.; Ullah, R.K.; Khan, D.A. Analysis of mixed cattle manure: Kinetics and thermodynamic comparison of pyrolysis and combustion processes. Case Stud. Therm. Eng. 2021, 26, 101078. [Google Scholar]
- Kong, X.L. Current Situation of Livestock and Poultry Manure Treatment in Chengwu County; Cleaning World: Hackensack, NJ, USA, 2024; pp. 159–161. [Google Scholar]
- Liu, Y. Carbon and Nitrogen Changes in Anaerobic Fermentation of Agricultural Wastes and Biogas Manure Utilization. Master’s Thesis, Wuhan University of Light Industry, Wuhan, China, 2018; pp. 1–2. [Google Scholar]
- Li, L.H. The main nutrients and heavy metal content in livestock manure. South China Agric. 2018, 126–128. [Google Scholar] [CrossRef]
- Ma, Y.C. Forming Mechanism and Experimental Study of Maize Transplanting Plant Mass Bowl Seedling Tray. Ph.D. Thesis, Heilongjiang Bayi Agricultural University, Daqing, China, 2017. [Google Scholar]
- Li, H.; Wang, H.X.; Sun, W.S.; Wang, C.; Sun, H.T.; Yu, H.M. Proportion and Performance Optimization of Biomass Seedling Trays Based on Response Surface Analysis. Sustainability 2024, 16, 1103. [Google Scholar] [CrossRef]
- Liu, J.F.; Zhu, Y.H.; Gong, Z.C.; Chang, Z.W.; Meng, Y.; Qu, W.D.; Zhao, C.Z.; Li, M.; Zhu, C.J. Preparation and characterization of lignin copolymerized phenolic resins with superior stiffening effect for natural rubber composites. Polymer 2024, 308, 127366. [Google Scholar] [CrossRef]
- Kpalo, S.Y.; Zainuddin, M.F.; Manaf, L.A.; Roslan, A.M. A Review of Technical and Economic Aspects of Biomass Briquetting. Sustainability 2020, 12, 4609. [Google Scholar] [CrossRef]
- Malladi, K.T.; Sowlati, T. Biomass logistics: A review of important features, optimization modeling and the new trends. Renew. Sustain. Energy Rev. 2018, 94, 587–599. [Google Scholar] [CrossRef]
- Hu, Q.; Yang, H.P.; Yao, D.D.; Zhu, D.C.; Wang, X.H.; Shao, J.A.; Chen, H.P. The densification of bio-char: Effect of pyrolysis temperature on the qualities of pellets. Bioresour. Technol. 2016, 200, 521–527. [Google Scholar] [CrossRef]
- Sarker, T.; Tahmid, I.; Sarker, K.R.; Dey, S.C.; Islam, M.T.; Sarker, M. ZIF-67-based materials as adsorbent for liquid phase adsorption-a review. Polyhedron 2024, 260, 117069. [Google Scholar] [CrossRef]
- Bazargan, A.; Rough, S.L.; McKay, G. Compaction of palm kernel shell biochars for application as solid fuel. Biomass Bioenergy 2014, 70, 70489–70497. [Google Scholar] [CrossRef]
- Dinesha, P.; Kumar, S.; Rosen, M.A. Biomass Briquettes as an Alternative Fuel: A Comprehensive Review. Energy Technol. 2018, 7, 1801011. [Google Scholar] [CrossRef]
- Teng, D. Experimental Study on Seedling Bowl Forming and Surface Carbonization of Rice Straw Mixed with Cow Manure. Master’s Thesis, Heilongjiang Bayi Agricultural University, Daqing, China, 2023. [Google Scholar]
- Li, R.F.; Zhang, W.; Qi, L.Q.; Ma, Y.C.; Zhang, B. Design of heating and cooling device for maize biomass seedling forming machine. Agric. Mech. Res. 2023, 256–263. [Google Scholar] [CrossRef]
- Li, R.F. Design of Heating and Cooling Device for Maize Biomass Seedling Forming Machine. Master’s Thesis, Heilongjiang Bayi Agricultural University, Daqing, China, 2021. [Google Scholar]
- Gilvari, H.; Wiebren, D.J.; Schott, D.-L. Quality parameters relevant for densification of bio-materials: Measuring methods and affecting factors—A review. Biomass Bioenergy 2019, 120, 117–134. [Google Scholar] [CrossRef]
- Liu, Z.G.; Zhang, J.; Wu, K.; Zhang, X.Q. Effect of Forming Parameters on Forming Effect of Solid Fuel on Corn Straw. J. Shanxi Agric. Univ. 2017, 444–451. [Google Scholar] [CrossRef]
- Lv, Q. Study on Preparation of Whole Fiber Environmentally Friendly Seedling Container from Cassava Distiller’s Grains. Master’s Thesis, Guangxi University, Nanning, China, 2014. [Google Scholar]
- Tu, D.Y.; Wang, M.J.; Gu, L.B.; Zhang, X.; Pan, C.F. Effect of ultra-high temperature heat treatment on the dimensional stability of ashwagandha panels. J. Nanjing For. Univ. 2010, 34, 113–116. [Google Scholar]
- Zhou, Y.X.; Li, S.G.; Bai, Y.; Long, H.; Cai, Y.C. Joint Characterization and Fractal Laws of Pore Structure in Low-Rank Coal. Sustainability 2023, 15, 9599. [Google Scholar] [CrossRef]
- Gowthamchand; Singh, D.S.; Vivek, S.; Gayatri, V.; Jagdish, S.; Manpreet, K. Variation of Physico-Chemical Properties among Different Soil Orders under Different Land Use Systems of the Majha Region in North-Western India. Sustainability 2023, 15, 4779. [Google Scholar] [CrossRef]
- Jia, H.X.; Wang, J.F.; Ma, Y.S. Experimental study on preparation of fuel by low-temperature pyrolysis of plastic waste combined with desiccated sludge after preforming. Web Conf. 2022, 355, 01028. [Google Scholar] [CrossRef]
- Guo, T.; Yu, Y.; Wan, Z.; Zargar, S.; Wu, J.; Bi, R.; Sokhansanj, S.; Tu, Q.; Rojas, O.J. Energy pellets from whole-wheat strawprocessed with a deep eutectic solvent: A comprehensive thermal, molecular and environmental evaluation. Renew. Energy 2022, 194, 902–911. [Google Scholar] [CrossRef]
- Liu, D.; Teng, D.; Zhu, Y. Optimization of Process Parameters for Pellet Production from Corn Stalk Rinds Using Box–Behnken Design. Energies 2023, 16, 4796. [Google Scholar] [CrossRef]
- Iftikhar, M.; Asghar, A.; Ramzan, N.; Sajjadi, B.; Chen, W. Biomass densification: Effect of cow dung on the physicochemical properties of wheat straw and rice husk based biomass pellets. Biomass Bioenergy 2019, 122, 1–16. [Google Scholar] [CrossRef]
- Reinprecht, L.; Repák, M. The Impact of Paraffin-Thermal Modification of Beech Wood on Its Biological, Physical and Mechanical Properties. Forests 2019, 10, 1102. [Google Scholar] [CrossRef]
- Qi, L.; Zhang, B.; Ma, Y. Forming and Degradation Mechanism of Bowl Seedling Tray Based on Straw Lignin Conversion. Agronomy 2023, 13, 453. [Google Scholar] [CrossRef]
- Wang, B.; Li, M.; Wen, X.Y.; Yang, Y.K.; Zhu, J.P.; Balzile, N.; Chen, Y.W.; Liu, M.Q.; Chen, S. Distribution characteristics, potential contribution, and management strategy of crop straw and livestock-poultry manure in multi-ethnic regions of China: A critical evaluation. J. Clean. Prod. 2020, 274, 123174. [Google Scholar] [CrossRef]
- Cui, X.Y.; Yang, J.H.; Shi, X.Y.; Lei, W.N.; Huang, T.; Bai, C. Pelletization of Sunflower Seed Husks: Evaluating and Optimizing Energy Consumption and Physical Properties by Response Surface Methodology (RSM). Processes 2019, 7, 591. [Google Scholar] [CrossRef]
- Yılmaz, H.; Çanakcı, M.; Topakcı, M.; Karayeı, D. The effect of raw material moisture and particle size on agri-pellet production parameters and physical properties: A case study for greenhouse melon residues. Biomass Bioenergy 2021, 150, 106125. [Google Scholar] [CrossRef]
- Bai, X.F.; Lu, W.; Zhang, Y.C. Wormcast type of peat substrate and the influence of cucumber seedlings. Influ. Chin. Veg. 2024, 1–15. [Google Scholar] [CrossRef]
- Xu, D.; Zhang, Y.; Wang, Y. Substrate ratio of towel gourd seedlings. Influ. Chin. Veg. 2024, 1–28. [Google Scholar] [CrossRef]
- Chen, F.; Zhang, W.J.; Sun, L.Q. Analysis of physicochemical properties of cottonseed husk mushroom residue compound substrate and its effect on cucumber seedlings. China Cucurbits Veg. 2016, 41–44. [Google Scholar] [CrossRef]
- Roberto, C.; Luca, R.; Daniela, P.; Mirko, C.; Giovanni, G.; Primo, P. Evaluating Compost from Digestate as a Peat Substitute in Seedling for Olive and Hazelnut Trees. Sustainability 2022, 15, 282. [Google Scholar]
- Amanda, R.; Humberto, A.; Carlos, M.; Rodrigo, C.; Jorge, M.; Claudia, R. Evaluation of Compost and Biochar as Partial Substitutes of Peat in Growing Media and Their Influence in Microbial Counts, Enzyme Activity and Lactuca sativa L. Seedling Growth. Horticulturae 2023, 9, 168. [Google Scholar] [CrossRef]
- Kaudal, B.B.; Chen, D.L.; Madhavan, D.B. An examination of physical and chemical properties of urban biochar for use as growing media substrate. Biomass Bioenergy 2016, 84, 49–58. [Google Scholar] [CrossRef]
- Chrysargyris, A.; Prasad, M.; Kavanagh, A.; Tzortzakis, N. Biochar type, ratio, and nutrient levels in growing media affects seedling production and plant performance. Agronomy 2020, 10, 1421. [Google Scholar] [CrossRef]
- Fang, J.; Wang, B.; Guo, S.R. Study on the formulation of seaweed residue substrate for cucumber seedlings. J. Shenyang Agric. Univ. 2013, 44, 622–627. [Google Scholar]
- Zhang, X.; Yang, Y.Y.; Wang, H. Microbial agents for cucumber seedling growth and the influence of physical and chemical environment. J. Northwest Agric. For. Univ. Sci. Technol. 2024, 1–13. [Google Scholar] [CrossRef]
Disclaimer/Publisher’s Note: The statements, opinions and data contained in all publications are solely those of the individual author(s) and contributor(s) and not of MDPI and/or the editor(s). MDPI and/or the editor(s) disclaim responsibility for any injury to people or property resulting from any ideas, methods, instructions or products referred to in the content. |
© 2024 by the authors. Licensee MDPI, Basel, Switzerland. This article is an open access article distributed under the terms and conditions of the Creative Commons Attribution (CC BY) license (https://creativecommons.org/licenses/by/4.0/).










