Uni- and Multivariate Analyses for the Characterization of Popcorn Inbred Lines for Drought Tolerance at Seedling and Vegetative Stages
Abstract
1. Introduction
2. Materials and Methods
2.1. Plant Material
2.2. Experimental Design at the Seedling Stage
2.3. Seedling Traits
2.4. Experimental Design at the Vegetative Stage
2.5. Vegetative Traits
2.6. Data Analysis
2.7. Univariate Analyses
2.8. Multivariate Analyses
3. Results
3.1. Univariate Analyses
3.2. Multivariate Analyses
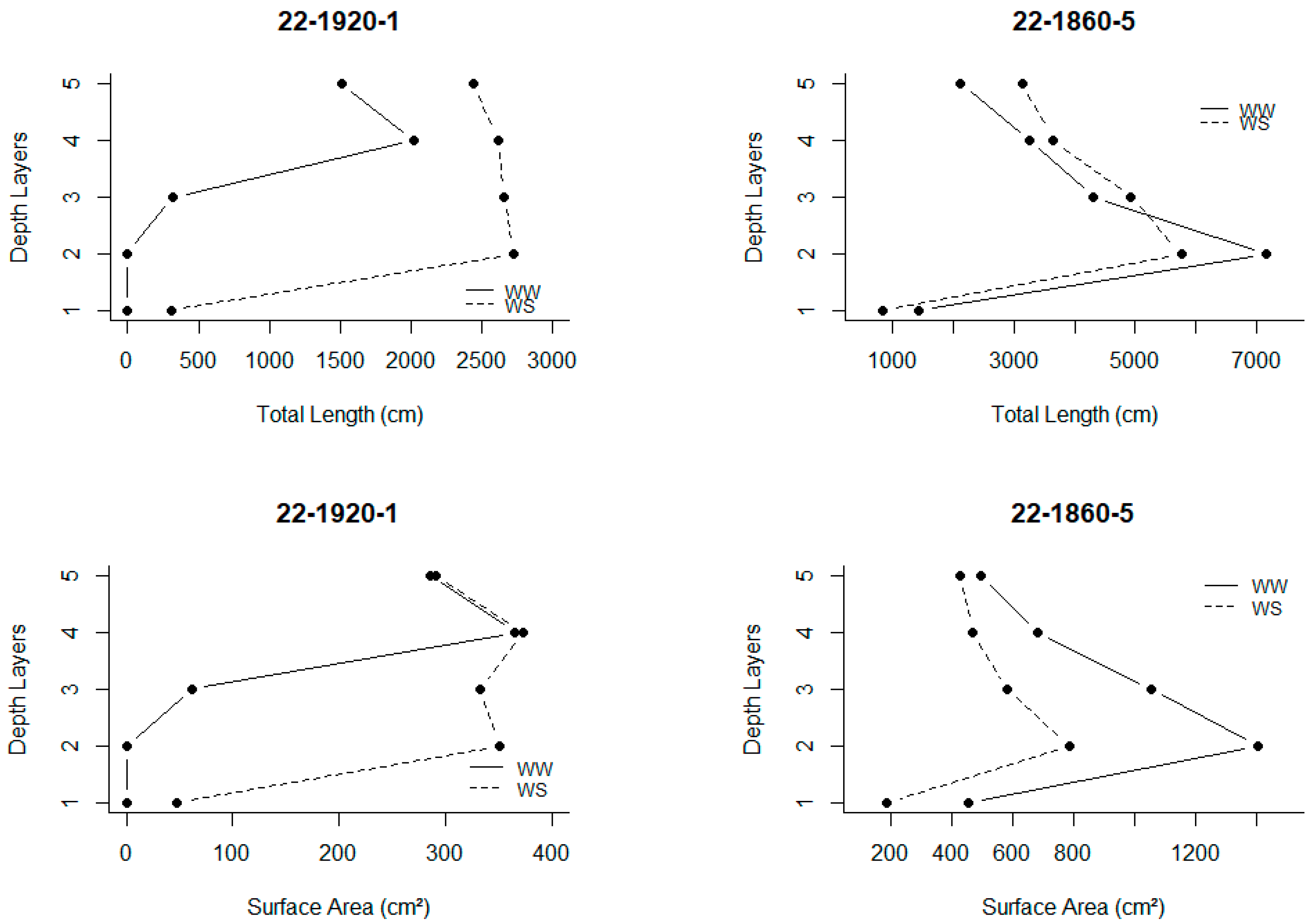
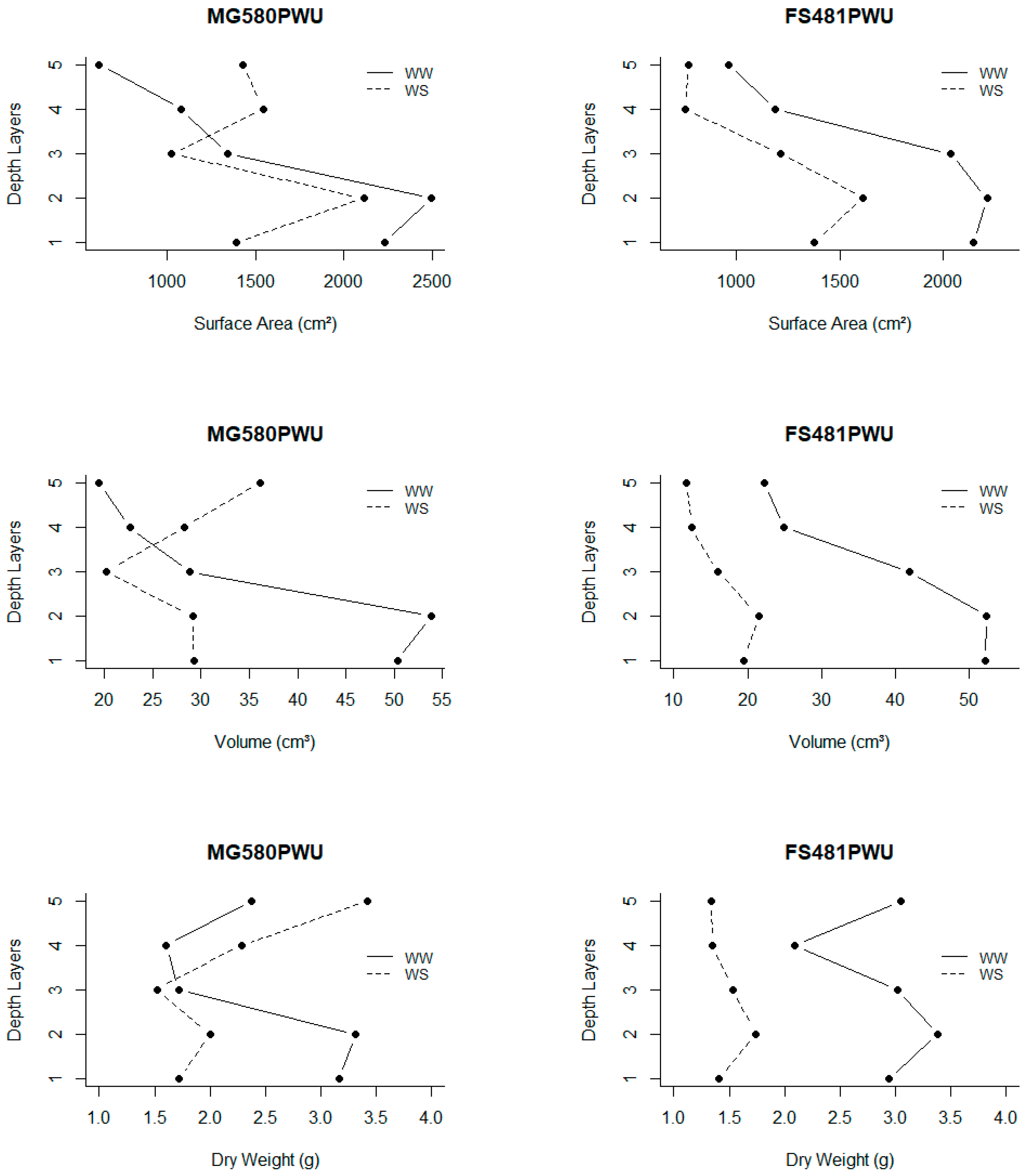
3.3. Root System at Vegetative Stage
4. Discussion
5. Conclusions
Supplementary Materials
Author Contributions
Funding
Data Availability Statement
Acknowledgments
Conflicts of Interest
References
- Liu, S.; Qin, F. Genetic Dissection of Maize Drought Tolerance for Trait Improvement. Mol. Breed. 2021, 41, 8. [Google Scholar] [CrossRef] [PubMed]
- Gupta, A.; Rico-Medina, A.; Caño-Delgado, A.I. The Physiology of Plant Responses to Drought. Science 2020, 368, 266–269. [Google Scholar] [CrossRef] [PubMed]
- Sheoran, S.; Kaur, Y.; Kumar, S.; Shukla, S.; Rakshit, S.; Kumar, R. Recent Advances for Drought Stress Tolerance in Maize (Zea mays L.): Present Status and Future Prospects. Front. Plant Sci. 2022, 13, 872566. [Google Scholar] [CrossRef] [PubMed]
- Sah, R.P.; Chakraborty, M.; Prasad, K.; Pandit, M.; Tudu, V.K.; Chakravarty, M.K.; Narayan, S.C.; Rana, M.; Moharana, D. Impact of Water Deficit Stress in Maize: Phenology and Yield Components. Sci. Rep. 2020, 10, 2944. [Google Scholar] [CrossRef]
- Kamphorst, S.H.; Gonçalves, G.M.B.; Do Amaral Júnior, A.T.; de Lima, V.J.; Schmitt, K.F.M.; Leite, J.T.; Azeredo, V.C.; Gomes, L.P.; Silva, J.G.d.S.; Carvalho, C.M.; et al. Supporting Physiological Trait for Indirect Selection for Grain Yield in Drought-Stressed Popcorn. Plants 2021, 10, 1510. [Google Scholar] [CrossRef]
- Zhu, M.; Zang, Y.; Zhang, X.; Shang, S.; Xue, S.; Chen, J.; Tang, X. Insights into the Regulation of Energy Metabolism during the Seed-to-Seedling Transition in Marine Angiosperm Zostera marina L.: Integrated Metabolomic and Transcriptomic Analysis. Front. Plant Sci. 2023, 14, 1130292. [Google Scholar] [CrossRef] [PubMed]
- Badr, A.; El-Shazly, H.H.; Tarawneh, R.A.; Börner, A. Screening for Drought Tolerance in Maize (Zea mays L.) Germplasm Using Germination and Seedling Traits under Simulated Drought Conditions. Plants 2020, 9, 565. [Google Scholar] [CrossRef]
- Nemali, K.S.; Bonin, C.; Dohleman, F.G.; Stephens, M.; Reeves, W.R.; Nelson, D.E.; Castiglioni, P.; Whitsel, J.E.; Sammons, B.; Silady, R.A.; et al. Physiological Responses Related to Increased Grain Yield under Drought in the First Biotechnology-Derived Drought-Tolerant Maize. Plant Cell Environ. 2015, 38, 1866–1880. [Google Scholar] [CrossRef]
- Wajhat-Un-Nisa; Sandhu, S.; Ranjan, R.; Sharda, R. Root Plasticity: An Effective Selection Technique for Identification of Drought Tolerant Maize (Zea mays L.) Inbred Lines. Sci. Rep. 2023, 13, 5501. [Google Scholar] [CrossRef]
- Lynch, J.P. Steep, Cheap and Deep: An Ideotype to Optimize Water and N Acquisition by Maize Root Systems. Ann. Bot. 2013, 112, 347–357. [Google Scholar] [CrossRef]
- Fenta, B.A.; Beebe, S.E.; Kunert, K.J.; Burridge, J.D.; Barlow, K.M.; Lynch, J.P.; Foyer, C.H. Field Phenotyping of Soybean Roots for Drought Stress Tolerance. Agronomy 2014, 4, 418–435. [Google Scholar] [CrossRef]
- Burton, A.L.; Johnson, J.; Foerster, J.; Hanlon, M.T.; Kaeppler, S.M.; Lynch, J.P.; Brown, K.M. QTL Mapping and Phenotypic Variation of Root Anatomical Traits in Maize (Zea mays L.). Theor. Appl. Genet. 2015, 128, 93–106. [Google Scholar] [CrossRef] [PubMed]
- Li, Z.; Su, X.; Chen, Y.; Fan, X.; He, L.; Guo, J.; Wang, Y.; Yang, Q. Melatonin Improves Drought Resistance in Maize Seedlings by Enhancing the Antioxidant System and Regulating Abscisic Acid Metabolism to Maintain Stomatal Opening Under PEG-Induced Drought. J. Plant Biol. 2021, 64, 299–312. [Google Scholar] [CrossRef]
- Kamphorst, S.H.; do Amaral Júnior, A.T.; Vergara-Diaz, O.; Gracia-Romero, A.; Fernandez-Gallego, J.A.; Chang-Espino, M.C.; Buchaillot, M.L.; Rezzouk, F.Z.; de Lima, V.J.; Serret, M.D.; et al. Heterosis and Reciprocal Effects for Physiological and Morphological Traits of Popcorn Plants under Different Water Conditions. Agric. Water Manag. 2022, 261, 107371. [Google Scholar] [CrossRef]
- Dias, K.O.D.G.; Gezan, S.A.; Guimarães, C.T.; Parentoni, S.N.; Guimarães, P.E.d.O.; Carneiro, N.P.; Portugal, A.F.; Bastos, E.A.; Cardoso, M.J.; Anoni, C. de O.; et al. Estimating Genotype × Environment Interaction for and Genetic Correlations among Drought Tolerance Traits in Maize via Factor Analytic Multiplicative Mixed Models. Crop Sci. 2018, 58, 72–83. [Google Scholar] [CrossRef]
- Awange, J.L.; Mpelasoka, F.; Goncalves, R.M. When Every Drop Counts: Analysis of Droughts in Brazil for the 1901-2013 Period. Sci. Total Environ. 2016, 566–567, 1472–1488. [Google Scholar] [CrossRef]
- Balbaa, M.G.; Osman, H.T.; Kandil, E.E.; Javed, T.; Lamlom, S.F.; Ali, H.M.; Kalaji, H.M.; Wróbel, J.; Telesiñski, A.; Brysiewicz, A.; et al. Determination of Morpho-Physiological and Yield Traits of Maize Inbred Lines (Zea mays L.) under Optimal and Drought Stress Conditions. Front. Plant Sci. 2022, 13, 959203. [Google Scholar] [CrossRef]
- Carvalho, C.M.; Khan, S.; Teixeira do Amaral Junior, A.; de Lima, V.J.; de Souza Silva, J.G.; Catarino Fuly, L.M.; Leite, J.T.; dos Santos Junior, D.R.; Viana, F.N.; de Souza, R.; et al. Early Selection for Drought Tolerance in Popcorn Based on Gene Effects Estimated in Seedlings. Front. Plant Sci. 2023, 14, 1203972. [Google Scholar] [CrossRef]
- Michel, B.E.; Kaufmann, M.R. The Osmotic Potential of Polyethylene Glycol 6000. Plant Physiol. 1973, 51, 914–916. [Google Scholar] [CrossRef]
- Villela, F.A.; Doni Filho, L.; Sequeira, E.L. Tabela de Potencial Osmótico Em Função Da Concentração de Polietileno Glicol 6.000 e Da Temperatura. Pesqui. Agropecu. Bras. 1991, 26, 1957–1968. [Google Scholar]
- Brasil, Ministério da Agricultura e Reforma Agrária. Regras Para Análises de Sementes; Mapa/ACS: Brasília, Brazil, 2009. [Google Scholar]
- O’Neal, M.E.; Landis, D.A.; Isaacs, R. An Inexpensive, Accurate Method for Measuring Leaf Area and Defoliation through Digital Image Analysis. J. Econ. Entomol. 2002, 95, 1190–1194. [Google Scholar] [CrossRef] [PubMed]
- Bouma, T.J.; Nielsen, K.L.; Koutstaal, B. Sample Preparation and Scanning Protocol for Computerised Analysis of Root Length and Diameter. Plant Soil 2000, 218, 185–196. [Google Scholar] [CrossRef]
- Elazab, A.; Serret, M.D.; Araus, J.L. Interactive Effect of Water and Nitrogen Regimes on Plant Growth, Root Traits and Water Status of Old and Modern Durum Wheat Genotypes. Planta 2016, 244, 125–144. [Google Scholar] [CrossRef] [PubMed]
- Ribeiro, A.C.; Guimarães, P.T.G.; Alvarez, V.V.H. Recomendações Para o Uso de Corretivos e Fertilizantes Em Minas Gerais. 5a Aproximação; Ribeiro, A.C., Guimarães, P.T.G., Alvarez, V.V.H., Eds.; Comissão de Fertilidade do Solo do Estado de Minas Gerais: Viçosa, MG, Brazil, 1999. [Google Scholar]
- Song, Q.; Liu, C.; Bachir, D.G.; Chen, L.; Hu, Y.-G. Drought Resistance of New Synthetic Hexaploid Wheat Accessions Evaluated by Multiple Traits and Antioxidant Enzyme Activity. Field Crops Res. 2017, 210, 91–103. [Google Scholar] [CrossRef]
- Popat, R.; Patel, R.; Parmar, D. Package “Variability”: Genetic Variability Analysis for Plant Breeding Research, Version 0.1.0; 2020. Available online: https://cran.r-project.org/web/packages/variability/index.html (accessed on 22 October 2024).
- de Mendiburu, F. Package ‘Agricolae’, Statistical Procedures for Agricultural Research. R Package, Version 1.3-7; 2023. Available online: https://cran.r-project.org/web/packages/agricolae/index.html (accessed on 22 October 2024).
- Kassambara, A.; Mundt, F. Package “Factoextra”: Extract and Visualize the Results of Multivariate Data Analyses, Version1.0.7; 2020. Available online: https://cran.r-project.org/web/packages/factoextra/index.html (accessed on 22 October 2024).
- Paradis, E.; Blomberg, S.; Bolker, B.; Brown, J.; Claramunt, S.; Claude, J.; Cuong, H.S. Package “Ape”: Analyses of Phylogenetics and Evolution, Version 5.8; 2024. Available online: https://cran.r-project.org/web/packages/ape/index.html (accessed on 22 October 2024).
- Caliñski, T.; Harabasz, J. A Dendrite Method Foe Cluster Analysis. Commun. Stat. 1974, 3, 1–27. [Google Scholar] [CrossRef]
- Bayuelo-Jiménez, J.S.; Gallardo-Valdéz, M.; Pérez-Decelis, V.A.; Magdaleno-Armas, L.; Ochoa, I.; Lynch, J.P. Genotypic Variation for Root Traits of Maize (Zea mays L.) from the Purhepecha Plateau under Contrasting Phosphorus Availability. Field Crops Res. 2011, 121, 350–362. [Google Scholar] [CrossRef]
- Zhang, H.; Xu, R.; Xie, C.; Huang, C.; Liao, H.; Xu, Y.; Wang, J.; Li, W.-X. Large-Scale Evaluation of Maize Germplasm for Low-Phosphorus Tolerance. PLoS ONE 2015, 10, e0124212. [Google Scholar] [CrossRef]
- Guo, J.; Li, C.; Zhang, X.; Li, Y.; Zhang, D.; Shi, Y.; Song, Y.; Li, Y.; Yang, D.; Wang, T. Transcriptome and GWAS Analyses Reveal Candidate Gene for Seminal Root Length of Maize Seedlings under Drought Stress. Plant Sci. 2020, 292, 110380. [Google Scholar] [CrossRef]
- Comas, L.H.; Becker, S.R.; Cruz, V.M.V.; Byrne, P.F.; Dierig, D.A. Root Traits Contributing to Plant Productivity under Drought. Front. Plant Sci. 2013, 4, 442. [Google Scholar] [CrossRef]
- Li, P.; Zhang, Y.; Yin, S.; Zhu, P.; Pan, T.; Xu, Y.; Wang, J.; Hao, D.; Fang, H.; Xu, C.; et al. QTL-by-Environment Interaction in the Response of Maize Root and Shoot Traits to Different Water Regimes. Front. Plant Sci. 2018, 9, 229. [Google Scholar] [CrossRef]
- Zenda, T.; Liu, S.; Wang, X.; Jin, H.; Liu, G.; Duan, H. Comparative Proteomic and Physiological Analyses of Two Divergent Maize Inbred Lines Provide More Insights into Drought-Stress Tolerance Mechanisms. Int. J. Mol. Sci. 2018, 19, 3225. [Google Scholar] [CrossRef] [PubMed]
- Abreu, V.M.; Von Pinho, É.V.d.R.; Mendes-Resende, M.P.; Balestre, M.; Lima, A.C.; Santos, H.O.; Von Pinho, R.G. Combining Ability and Heterosis of Maize Genotypes under Water Stress during Seed Germination and Seedling Emergence. Crop Sci. 2019, 59, 33–43. [Google Scholar] [CrossRef]
- Ziyomo, C.; Bernardo, R. Drought Tolerance in Maize: Indirect Selection through Secondary Traits versus Genome Wide Selection. Crop Sci. 2013, 53, 1269–1275. [Google Scholar] [CrossRef]
- Ramya, P.; Singh, G.P.; Jain, N.; Singh, P.K.; Pandey, M.K.; Sharma, K.; Kumar, A.; Harikrishna; Prabhu, K.V. Effect of Recurrent Selection on Drought Tolerance and Related Morpho-Physiological Traits in Bread Wheat. PLoS ONE 2016, 11, e0156869. [Google Scholar] [CrossRef]
- Vescio, R.; Abenavoli, M.R.; Sorgonà, A. Single and Combined Abiotic Stress in Maize Root Morphology. Plants 2020, 10, 5. [Google Scholar] [CrossRef] [PubMed]
- Ding, J.; Yang, W.; Hu, X.; Yan, W.; Hu, W.; Li, H.; Liu, C.; He, W.; Lu, Y.; Gao, S.; et al. Large-Scale Evaluation of Aluminum Tolerance in Maize (Zea mays L.) Acessions. Theor. Exp. Plant Physiol. 2022, 34, 155–169. [Google Scholar] [CrossRef]
- Uddin, M.S.; Akter, F.; Azam, M.G.; Bagum, S.A.; Hossain, N.; Billah, M.; Biswas, P.L.; Hasibuzzaman, A.S.M.; Khaldun, A.B.M.; Alsuhaibani, A.M.; et al. Evaluation of Inbred Maize (Zea mays L.) for Tolerance to Low Phosphorus at the Seedling Stage. Plants 2023, 12, 2520. [Google Scholar] [CrossRef]
- Avramova, V.; Nagel, K.A.; AbdElgawad, H.; Bustos, D.; DuPlessis, M.; Fiorani, F.; Beemster, G.T.S. Screening for Drought Tolerance of Maize Hybrids by Multi-Scale Analysis of Root and Shoot Traits at the Seedling Stage. J. Exp. Bot. 2016, 67, 2453–2466. [Google Scholar] [CrossRef]









| Genotypes | rSL | rSDW | rRL | rRSA | rRDW | rRV | rMRL |
|---|---|---|---|---|---|---|---|
| MG580PWU | 0.21 t/b/-/ns | 0.39 t/a/-/* | 0.93 t/a/-/* | 1.21 t/d/-/* | 0.98 t/a/-/* | 0.94 t/a/-/* | 0.91 t/a/-/ns |
| 22-1824-2 | 0.37 t/a/*/* | 0.45 t/a/ns/* | 0.88 t/a/ns/* | 1.68 t/b/*/* | 0.85 t/a/ns/ns | 0.76 i/b/ns/* | 1.01 t/a/ns/ns |
| 22-1740-1 | 0.31 t/a/ns/* | 0.41 t/a/ns/* | 1.05 t/a/ns/* | 1.04 t/e/ns/ns | 0.97 t/a/ns/* | 0.82 i/b/ns/* | 0.91 t/a/ns/ns |
| 22-1920-1 | 0.30 t/a/ns/* | 0.40 t/a/ns/* | 0.93 t/a/ns/* | 0.59 s/f/*/ns | 0.94 t/a/ns/* | 0.76 i/b/ns/* | 0.90 t/a/ns/ns |
| 22-1702-4 | 0.30 t/a/ns/* | 0.43 t/a/ns/* | 0.96 t/a/ns/* | 0.68 s/f/*/ns | 0.92 t/a/ns/* | 0.81 i/b/ns/* | 0.93 t/a/ns/ns |
| 22-1860-5 | 0.31 t/a/ns/* | 0.36 t/b/ns/* | 0.76 i/b/ns/* | 1.90 t/a/*/* | 0.72 i/b/ns/ns | 0.70 i/b/*/* | 0.99 t/a/ns/ns |
| 22-1780-1 | 0.28 t/a/ns/* | 0.36 t/b/ns/* | 0.76 i/b/ns/* | 1.38 t/d/ns/* | 0.81 i/a/ns/ns | 0.69 i/b/*/* | 0.88 i/a/ns/ns |
| 22-1903-1 | 0.25 t/b/ns/* | 0.34 t/b/ns/* | 0.64 i/c/ns/ns | 1.09 t/e/ns/ns | 0.68 s/b/ns/ns | 0.57 i/c/*/ns | 0.99 t/a/ns/ns |
| 22-1874-3 | 0.32 t/a/ns/* | 0.41 t/a/ns/* | 0.74 i/b/ns/* | 0.86 s/e/*/ns | 0.83 t/a/ns/ns | 0.67 i/c/*/ns | 0.79 s/b/ns/ns |
| 22-1841-3 | 0.20 t/c/ns/ns | 0.26 s/c/ns/ns | 0.73 i/b/ns/ns | 1.60 t/c/*/* | 1.01 t/a/ns/* | 0.79 i/b/ns/* | 0.64 s/b/ns/ns |
| 22-1867-4 | 0.27 t/a/ns/* | 0.36 t/b/ns/* | 0.75 i/b/ns/* | 0.81 s/f/*/ns | 0.78 i/b/ns/ns | 0.65 i/c/*/ns | 0.79 s/b/ns/ns |
| 22-1916-2 | 0.21 t/b/ns/ns | 0.33 t/b/ns/ns | 0.77 i/b/ns/* | 0.75 s/f/*/ns | 0.77 i/b/ns/ns | 0.63 i/c/*/ns | 0.78 s/b/ns/ns |
| 22-1915-2 | 0.25 t/b/ns/* | 0.33 t/b/ns/ns | 0.67 i/c/ns/ns | 0.78 s/f/*/ns | 0.75 i/b/ns/ns | 0.61 i/c/*/ns | 0.75 s/b/ns/ns |
| 22-1902-1 | 0.21 t/b/ns/ns | 0.29 i/c/ns/ns | 0.67 i/c/ns/ns | 0.83 s/f/*/ns | 0.84 t/a/ns/ns | 0.66 i/c/*/ns | 0.84 s/a/ns/ns |
| 22-1832-2 | 0.22 t/b/ns/ns | 0.28 i/c/ns/ns | 0.79 i/b/ns/* | 0.88 s/e/ns/ns | 0.84 t/a/ns/ns | 0.68 i/c/*/* | 0.88 i/a/ns/ns |
| 22-1923-1 | 0.21 t/b/ns/ns | 0.25 s/c/ns/ns | 0.66 i/c/ns/ns | 1.52 t/c/ns/* | 0.74 i/b/ns/ns | 0.60 i/c/*/ns | 0.67 s/b/ns/ns |
| 22-1922-4 | 0.24 t/b/ns/* | 0.28 i/c/ns/ns | 0.65 i/c/ns/ns | 0.98 i/e/ns/ns | 0.70 i/b/ns/ns | 0.60 i/c/*/ns | 0.76 s/b/ns/ns |
| 22-1754-3 | 0.24 t/b/ns/* | 0.38 t/b/ns/* | 0.54 s/c/*/ns | 0.72 s/f/*/ns | 0.85 t/a/ns/ns | 0.50 s/c/*/ns | 0.72 s/b/ns/ns |
| 22-1823-2 | 0.17 i/c/ns/ns | 0.26 s/c/ns/ns | 0.70 i/c/ns/ns | 1.99 t/a/*/* | 0.76 i/b/ns/ns | 0.63 i/c/*/ns | 0.79 s/b/ns/ns |
| 22-1847-1 | 0.19 i/c/ns/ns | 0.28 i/c/ns/ns | 0.57 i/c/*/ns | 0.92 s/e/ns/ns | 0.72 i/b/ns/ns | 0.61 i/c/*/ns | 0.74 s/b/ns/ns |
| 22-1831-2 | 0.18 i/c/ns/ns | 0.21 s/c/*/ns | 0.61 i/c/*/ns | 0.94 s/e/ns/ns | 0.70 i/b/ns/ns | 0.56 s/c/*/ns | 0.63 s/b/ns/ns |
| 22-1856-1 | 0.18 i/c/ns/ns | 0.25 s/c/ns/ns | 0.75 i/b/ns/* | 1.52 t/c/ns/* | 0.62 s/b/*/ns | 0.58 i/c/*/ns | 0.76 s/b/ns/ns |
| 22-1849-1 | 0.22 t/b/ns/ns | 0.22 s/c/*/ns | 0.60 i/c/*/ns | 1.35 t/d/ns/* | 0.63 s/b/*/ns | 0.54 s/c/*/ns | 0.69 s/b/ns/ns |
| 22-1854-6 | 0.22 t/b/ns/ns | 0.22 s/c/*/ns | 0.46 s/c/*/ns | 0.93 s/e/ns/ns | 0.54 s/b/*/ns | 0.47 s/c/*/ns | 1.10 t/a/ns/* |
| 22-1811-1 | 0.19 t/c/ns/ns | 0.29 i/c/ns/ns | 0.61 i/c/*/ns | 0.76 s/f/*/ns | 0.69 s/b/ns/ns | 0.55 s/c/*/ns | 0.75 s/b/ns/ns |
| 22-1892-1 | 0.19 t/c/ns/ns | 0.22 s/c/*/ns | 0.61 i/c/*/ns | 0.68 s/f/*/ns | 0.67 s/b/ns/ns | 0.61 i/c/*/ns | 0.72 s/b/ns/ns |
| 22-1866-2 | 0.17 s/c/ns/ns | 0.26 s/c/ns/ns | 0.56 s/c/*/ns | 1.37 t/d/ns/* | 0.73 i/b/ns/ns | 0.60 i/c/*/ns | 0.74 s/b/ns/ns |
| 22-1859-4 | 0.15 s/c/ns/ns | 0.24 s/c/*/ns | 0.61 i/c/*/ns | 0.57 s/f/*/ns | 0.74 i/b/ns/ns | 0.60 i/c/*/ns | 0.66 s/b/ns/ns |
| 22-1877-3 | 0.14 s/c/ns/ns | 0.18 s/c/*/ns | 0.55 s/c/*/ns | 1.04 t/e/ns/ns | 0.55 s/b/*/ns | 0.51 s/c/*/ns | 0.75 s/b/ns/ns |
| FS481PWU | 0.12 s/c/ns/- | 0.20 s/c/*/- | 0.43 s/c/*/- | 0.79 s/f/*/- | 0.52 s/b/*/- | 0.46 s/c/*/- | 0.69 s/b/ns/- |
| Genotypes | rSL | rSDW | rRL | rRSA | rRDW | rRV | rPDL | rSD | rRWC | rLA | rARD |
|---|---|---|---|---|---|---|---|---|---|---|---|
| MG580PWU | 0.61 t/b/-/ns | 0.83 t/b/-/* | 1.20 t/h/-/* | 0.96 t/e/-/* | 0.90 t/d/-/* | 0.84 t/f/-/* | 2.10 t/b/-/* | 0.97 t/f/-/* | 0.85 t/c/-/* | 0.87 t/c/-/ns | 1.10 t/d/-/* |
| 22-1867-4 | 0.60t/b/ns/ns | 1.09 t/a/ns/* | 1.30 t/f/*/* | 1.10 t/c/*/* | 1.27 t/b/*/* | 1.03 t/c/*/* | 1.32 t/a/ns/* | 1.26 t/a/*/* | 0.99 t/b/ns/* | 1.35 t/a/*/* | 1.07 i/d/ns/* |
| 22-1841-3 | 0.60 t/b/ns/ns | 0.87 t/b/ns/* | 1.55 t/b/*/* | 1.41 t/b/*/* | 0.94 t/d/ns/* | 1.13 t/b/*/* | 1.14 t/a/*/* | 0.83 s/h/*/ns | 0.86 t/c/ns/* | 0.71 i/c/ns/ns | 1.30 t/b/*/* |
| 22-1920-1 | 0.55 i/b/ns/ns | 0.66 i/c/ns/* | 2.79 t/a/*/* | 1.93 t/a/*/* | 2.03 t/a/*/* | 1.62 t/a/*/* | 1.94 i/b/ns/* | 0.98 t/f/ns/* | 0.85 t/c/ns/* | 1.04 t/b/ns/* | 1.07 i/d/ns/* |
| 22-1780-1 | 0.45 i/c/ns/ns | 0.58 i/c/ns/ns | 1.26 t/g/*/* | 1.10 t/c/*/* | 1.10 t/c/*/* | 0.95 t/d/*/* | 2.99 i/c/*/* | 1.01 t/e/ns/* | 1.10 t/a/*/* | 1.13 t/b/ns/* | 1.08 i/d/ns/* |
| 22-1903-1 | 0.57 t/b/ns/ns | 0.78 t/b/ns/* | 1.25 t/g/ns/* | 1.05 t/d/*/* | 0.83 i/e/ns/* | 1.02 t/c/*/* | 1.41 t/a/ns/* | 0.85 s/g/*/ns | 0.64 s/e/*/ns | 1.00 t/b/ns/* | 0.88 s/f/*/ns |
| 22-1902-1 | 0.58 t/b/ns/ns | 0.64 i/c/ns/* | 1.26 t/g/*/* | 1.02 t/d/*/* | 0.72 i/e/*/* | 0.89 t/e/*/* | 2.04 i/b/ns/* | 0.90 i/g/*/ns | 0.84 t/c/ns/* | 1.36 t/a/*/* | 0.74 s/i/*/* |
| 22-1702-4 | 0.64 t/b/ns/* | 0.48 i/c/*/ns | 1.23 t/g/ns/* | 1.07 t/c/*/* | 0.98 t/d/ns/* | 0.86 t/f/ns/* | 3.44 i/d/*/* | 0.86 s/g/*/ns | 0.58 s/e/*/ns | 0.76 i/c/ns/ns | 1.87 t/a/*/* |
| 22-1811-1 | 0.49 i/c/ns/ns | 0.42 s/d/*/ns | 1.41 t/d/*/* | 1.03 t/d/*/* | 0.80 i/e/ns/* | 0.79 i/g/*/* | 1.95 i/b/ns/* | 1.12 t/c/*/* | 0.77 i/c/ns/* | 1.25 t/a/ns/* | 1.23 t/c/*/* |
| P3845VYHR | 0.47 i/c/ns/ns | 0.69 t/b/ns/* | 1.02 s/j/*/* | 0.79 i/g/*/* | 0.80 i/e/ns/* | 0.70 i/i/*/* | 2.84 i/c/ns/* | 0.96 t/f/ns/* | 0.85 t/c/ns/* | 1.13 t/b/ns/* | 0.98 i/e/*/ns |
| 22-1877-3 | 0.68 t/a/ns/* | 0.61 i/c/ns/ns | 0.88 s/l/*/* | 0.68 i/i/*/ns | 0.55 i/g/*/ns | 0.54 i/l/*/* | 2.02 i/b/ns/* | 0.78 s/h/*/* | 0.96 t/b/ns/* | 0.95 t/b/ns/ns | 1.04 i/d/ns/* |
| 22-1824-2 | 0.59 t/b/ns/ns | 0.60 i/c/ns/ns | 0.73 s/o/*/* | 0.61 s/j/*/* | 0.49 s/g/*/ns | 0.58 i/k/*/* | 1.92 i/b/ns/* | 0.95 t/f/ns/* | 0.86 t/c/ns/* | 0.87 t/c/ns/ns | 0.59 s/k/*/* |
| 22-1849-1 | 0.78 t/a/ns/* | 0.41 s/d/*/ns | 0.83 s/m/*/* | 0.69 i/i/*/ns | 0.65 i/f/*/ns | 0.57 i/l/*/* | 2.13 i/b/ns/* | 0.67 s/i/*/* | 0.87 t/c/ns/* | 1.04 t/b/ns/* | 0.75 s/i/*/* |
| 22-1823-2 | 0.55 i/b/ns/ns | 0.62 i/c/ns/ns | 1.36 t/e/*/* | 0.86 i/f/*/* | 0.69 i/f/*/* | 0.70 i/i/*/* | 1.73 i/b/ns/* | 0.85 s/g/*/ns | 0.79 i/c/ns/* | 0.88 t/c/ns/ns | 0.81 s/h/*/* |
| 22-1856-1 | 0.40 i/c/ns/ns | 0.49 i/c/ns/ns | 1.17 i/h/ns/* | 0.86 i/f/*/* | 0.86 i/e/ns/* | 0.69 i/i/*/* | 2.78 i/c/ns/* | 0.71 s/i/*/* | 0.81 t/c/ns/* | 0.80 t/c/ns/ns | 0.90 s/f/*/ns |
| 22-1854-6 | 0.41 i/c/ns/ns | 0.55 i/c/ns/ns | 0.77 s/n/*/* | 0.73 i/h/*/* | 0.94 t/d/ns/* | 0.69 i/i/*/* | 2.74 i/c/ns/* | 0.72 s/i/*/* | 0.84 t/c/ns/* | 0.71 i/c/ns/ns | 0.64 s/j/*/* |
| 22-1922-4 | 0.35 s/c/ns/ns | 0.48 i/c/*/ns | 0.99 s/j/*/* | 0.72 i/h/*/* | 0.65 i/f/*/ns | 0.54 i/l/*/* | 2.85 i/c/ns/* | 0.83 s/h/*/ns | 0.75 i/d/ns/ns | 0.78 t/c/ns/ns | 1.10 t/d/ns/* |
| 22-1831-2 | 0.39 i/c/ns/ns | 0.53 i/c/ns/ns | 1.03 s/j/*/ns | 0.79 i/g/*/* | 0.81 i/e/ns/* | 0.70 i/i/*/* | 2.78 i/c/ns/* | 1.15 t/b/*/* | 0.56 s/e/*/ns | 0.79 t/c/ns/ns | 0.87 s/g/*/ns |
| 22-1754-3 | 0.44 i/c/ns/ns | 0.43 i/d/*/ns | 0.63 s/q/*/* | 0.45 s/l/*/* | 0.43 s/h/*/ns | 0.35 s/o/*/* | 1.80 i/b/ns/* | 0.68 s/i/*/* | 0.95 t/b/ns/* | 1.05 t/b/ns/* | 0.95 i/e/*/ns |
| 22-1874-3 | 0.22 s/c/*/ns | 0.28 s/d/*/ns | 0.82 s/m/*/* | 0.69 i/i/*/ns | 0.76 i/e/ns/* | 0.54 i/l/*/* | 2.97 i/c/*/* | 0.81 s/h/*/ns | 0.71 i/d/ns/ns | 0.64 s/d/ns/ns | 1.25 t/c/*/* |
| 22-1847-1 | 0.36 s/c/ns/ns | 0.46 i/c/*/ns | 0.94 s/k/*/* | 0.78 i/g/*/* | 0.84 i/e/ns/* | 0.74 i/h/*/* | 1.91 i/b/ns/* | 1.09 t/c/*/* | 0.67 s/d/*/ns | 0.67 s/d/ns/ns | 0.91 s/f/*/ns |
| 22-1915-2 | 0.36 s/c/ns/ns | 0.40 s/d/*/ns | 1.47 t/c/*/* | 1.01 t/d/*/* | 0.51 s/g/*/ns | 0.76 i/h/*/* | 2.70 i/c/ns/* | 0.71 s/i/*/* | 0.83 t/c/ns/* | 0.50 s/d/ns/ns | 0.90 s/f/*/ns |
| 22-1740-1 | 0.45 i/c/ns/ns | 0.38 s/d/*/ns | 0.53 s/r/*/* | 0.48 s/l/*/* | 0.61 i/f/*/ns | 0.31 s/p/*/* | 2.66 i/c/ns/* | 0.83 s/h/*/ns | 1.00 t/b/*/* | 0.76 i/c/ns/ns | 0.85 s/g/*/* |
| 22-1923-1 | 0.39 i/c/ns/ns | 0.48 i/c/*/ns | 0.74 s/o/*/* | 0.60 s/j/*/* | 0.61 i/f/*/ns | 0.53 i/l/*/* | 3.68 i/d/*/* | 0.82 s/h/*/ns | 0.65 s/e/*/ns | 0.43 s/d/*/ns | 0.65 s/j/*/* |
| 22-1832-2 | 0.41 i/c/ns/ns | 0.40 s/d/*/ns | 0.64 s/q/*/* | 0.59 s/k/*/* | 0.70 i/f/*/* | 0.59 i/k/*/* | 2.73 i/c/ns/* | 0.82 s/h/*/ns | 0.71 i/d/ns/ns | 0.57 s/d/ns/ns | 0.85 s/g/*/* |
| 22-1892-1 | 0.61 t/b/ns/ns | 1.13 t/a/ns/* | 0.70 s/p/*/* | 0.57 s/k/*/* | 0.51 s/g/*/ns | 0.44 s/m/*/ns | 1.48 t/a/ns/* | 0.50 s/j/*/* | 0.87 t/c/ns/* | 0.59 s/d/ns/ns | 0.94 s/e/*/ns |
| 22-1916-2 | 0.22 s/c/*/ns | 0.28 s/d/*/ns | 0.78 s/n/*/* | 0.60 s/j/*/* | 0.54 i/g/*/ns | 0.44 s/m/*/ns | 2.91 i/c/ns/* | 0.67 s/i/*/* | 0.80 t/c/ns/* | 0.84 t/c/ns/ns | 0.77 s/i/*/* |
| 22-1866-2 | 0.40 i/c/ns/ns | 0.40 s/d/*/ns | 0.42 s/s/*/* | 0.39 s/m/*/* | 0.44 s/h/*/ns | 0.40 s/n/*/ns | 2.25 i/b/ns/* | 1.05 t/d/*/* | 0.79 i/c/ns/* | 0.66 s/d/ns/ns | 0.58 s/k/*/* |
| 22-1859-4 | 0.38 i/c/ns/ns | 0.34 s/d/*/ns | 0.77 s/n/*/* | 0.67 s/i/*/ns | 0.63 i/f/*/ns | 0.62 i/j/*/* | 2.11 i/b/ns/* | 0.68 s/i/*/* | 0.63 s/e/*/ns | 0.57 s/d/ns/ns | 0.84 s/g/*/* |
| 22-1860-5 | 0.34 s/c/ns/ns | 0.34 s/d/*/ns | 1.02 s/j/*/* | 0.58 s/k/*/* | 0.37 s/h/*/ns | 0.34 s/o/*/* | 3.35 i/d/*/* | 0.69 s/i/*/* | 0.86 t/c/ns/* | 0.62 s/d/ns/ns | 0.79 s/h/*/* |
| FS481PWU | 0.32 s/c/ns/- | 0.28 s/d/*/- | 1.09 s/i/*/- | 0.66 s/i/*/- | 0.51 s/g/*/- | 0.44 s/m/*/- | 6.00 s/e/*/- | 0.86 s/g/*/- | 0.61 s/e/*/- | 0.60 s/d/ns/- | 0.94 s/e/*/- |
Disclaimer/Publisher’s Note: The statements, opinions and data contained in all publications are solely those of the individual author(s) and contributor(s) and not of MDPI and/or the editor(s). MDPI and/or the editor(s) disclaim responsibility for any injury to people or property resulting from any ideas, methods, instructions or products referred to in the content. |
© 2024 by the authors. Licensee MDPI, Basel, Switzerland. This article is an open access article distributed under the terms and conditions of the Creative Commons Attribution (CC BY) license (https://creativecommons.org/licenses/by/4.0/).
Share and Cite
Ribeiro, M.P.; Viana, J.M.S.; Gama, G.F.V.; da Silva, L.J.; de Oliveira, J.A.; Ribeiro, C. Uni- and Multivariate Analyses for the Characterization of Popcorn Inbred Lines for Drought Tolerance at Seedling and Vegetative Stages. Agronomy 2024, 14, 2513. https://doi.org/10.3390/agronomy14112513
Ribeiro MP, Viana JMS, Gama GFV, da Silva LJ, de Oliveira JA, Ribeiro C. Uni- and Multivariate Analyses for the Characterization of Popcorn Inbred Lines for Drought Tolerance at Seedling and Vegetative Stages. Agronomy. 2024; 14(11):2513. https://doi.org/10.3390/agronomy14112513
Chicago/Turabian StyleRibeiro, Matheus Pereira, José Marcelo Soriano Viana, Guilherme Fontes Vallory Gama, Laércio Junio da Silva, Juraci Alves de Oliveira, and Cleberson Ribeiro. 2024. "Uni- and Multivariate Analyses for the Characterization of Popcorn Inbred Lines for Drought Tolerance at Seedling and Vegetative Stages" Agronomy 14, no. 11: 2513. https://doi.org/10.3390/agronomy14112513
APA StyleRibeiro, M. P., Viana, J. M. S., Gama, G. F. V., da Silva, L. J., de Oliveira, J. A., & Ribeiro, C. (2024). Uni- and Multivariate Analyses for the Characterization of Popcorn Inbred Lines for Drought Tolerance at Seedling and Vegetative Stages. Agronomy, 14(11), 2513. https://doi.org/10.3390/agronomy14112513

