Abstract
The secondary, substitute habitats are becoming more important for the survival of many valuable plant species, including medicinal plants—for example, bearberry Arctostaphylos uva-ursi. The aim of the conducted research is to compare the ability of A. uva-ursi to accumulate heavy metals in leaves from railways (anthropogenic substitute habitat) and the natural habitats (pine forests). We measured the concentration of five heavy metals (Cd, Hg, Ni, Pb, and Zn) in plant material and in the soil. The bioaccumulation factor was also calculated. Moreover, we measured biotic factors including A. uva-ursi height and abundance, along with the plant diversity indices, in the investigated plots. The presented results reveal that (1) none of the parameters concerning the content of the selected heavy metals described in the currently applicable legal acts were exceeded, (2) A. uva-ursi does not show the potential for heavy metal accumulation, except for zinc and partially mercury, (3) its individuals in the natural habitats are lower, (4) the abundance (percentage cover) of A. uva-ursi is the lowest in the natural habitat, and (5) the value of the Shannon–Wiener diversity index is the highest in the vegetation patches with A. uva-ursi developed in natural habitats.
    1. Introduction
The natural ecosystems constitute a significant reservoir of numerous valuable medicinal plants. With the growing interest in natural medicine, the pressure of the pharmaceutical industry on the natural environment is growing. As a result of the excessive and uncontrolled extraction of plant raw materials from natural sites, many species of vascular plants have found themselves on the verge of extinction. Apart from the uncontrolled extraction, the disturbance and loss of the medicinal plant’s natural habitats are formidable threats to their survival. Empirical field observations revealed that a variety of species have exhibited successful adaptation to substitute habitats created as a result of human activity or anthropogenic changes. One such habitat type is railway lines. Despite the challenging living conditions for flora along railway tracks, spontaneous vegetation development occurs on a mineral substrate characterized by a thick layer of crushed rock such as limestone and sandstone, which is practically devoid of soil [,,]. Extensive research has been conducted on flora, vegetation, and ecosystems associated with railway areas for many years, both in Poland [,,,,,,] and worldwide [,,]. Additionally, scholarly articles have addressed the ecological dynamics of railway embankments [,,]. Some authors also studied the impact of environmental pollution and the presence of heavy metals on plants occurring in these areas [,,,,,,].
The methodologies employed in the maintenance of railway embankments and areas in the immediate vicinity of railway lines prevent the restoration of previously existing habitats. Uncontrolled vegetation growth is considered a threat to rail transport safety, contributes to the destruction of rail infrastructure, disrupts drainage by reducing drainage properties, and poses a fire hazard. The regular cutting and cleaning of the ground regarding vegetation helps maintain the open, pioneer character of this area, which can become a substitute habitat for many plant species, including protected plants. An example of such plant species is the valuable medicinal plant–bearberry Arctostaphylos uva-ursi (L.) Spreng [,,].
The human activity and related functioning of railway areas have provided a unique opportunity to perform a field experiment and compare individuals of populations of one species in natural and secondary habitats. However, this opportunity is limited by the availability of plots covered by the studied species individuals growing in natural and secondary habitats.
Arctostaphylos uva-ursi (Ericaceae family) is classified as an evergreen shrub (Figure 1) characterized by its spreading shoots, extending to 1 m length, with an alternate leaf arrangement. The young twigs are delicately hairy, while older twigs are covered with flaking brown bark. The leaves, measuring between 1.5 and 3 cm in length, are leathery, dark green above and light green below, obovate, and short-stalked. The flowers, aggregated in clusters of four to five, grow on short hanging pedicels at the ends of twigs. The corolla is light pink or white, 3–4 mm long, and barrel-shaped, with five short denticles. The fruits are red berries, each encapsulating five seeds.
 
      
    
    Figure 1.
      The growth form of Arctostaphylos uva-ursi in Bógdał (Photo: Barbara Bacler-Żbikowska).
  
A. uva-ursi is a photophilous plant occurring not only in natural habitats. Its individuals expand to anthropogenic sites, despite difficult conditions. The belt of boreal coniferous forests in Europe, Asia, and North America is its main area of occurrence. Its distribution in Poland is limited primarily to the northern and central parts of the country; in the southern part, A. uva-ursi is a very rare species, and the number of its sites is rapidly decreasing [,,,,,,]. It grows here in two types of habitats: in pine forests and heathlands and on sunny limestone rocks. A. uva-ursi also inhabits anthropogenic places such as the edges of roads or railway tracks, which can be secondary, substitute habitats for this plant [,,,]. Southern Poland comprises six voivodeships. In the last 10 years, A. uva-ursi has been observed here sporadically. In the Lower Silesian Voivodeship, there are no confirmations at this time (E. Szczęśniak, pers. comm.), in the Opole Voivodeship, there is only one confirmation (A. Nowak, pers. comm.), in the Silesian Voivodeship, there are several confirmations, mainly on rocks [], in Lesser Poland, several sites are known mainly from dolomite rocks in the Tatra Mountains [] (M. Nobis, pers. comm.), in Podkarpackie, it probably does not occur (D. Wróbel, pers. comm.), and in the Świętokrzyskie region, it is very rare in the southern part, and towards the north it becomes slightly more common (T. Paciorek and A. Przemyski, pers. comm.), but this area already belongs to central Poland. The studied plots from anthropogenic places refer to sites from forest and heathland habitats; hence, their currently available number is limited. Bearberry rock sites are characterized by completely different habitat conditions, and they cannot be compared here. In Poland, this species is under legal (strict) protection [].
Moreover, A. uva-ursi is a valuable medicinal plant. Its extensive harvesting for therapeutic applications has led to the degradation of its natural populations and even the extinction of some of the natural populations [,]. It is used mainly as urodesinficiens, primarily for bacterial infections of the urinary tract and in inflammation of the glomeruli (glomerulitis), renal pelvis (pyelitis), pyelonephritis, and cystitis (cystitis). The herbal raw material is the leaf of A. uva-ursi, in pharmacy called Uvae-ursi folium. Among the most important biologically active compounds are phenolic glycosides, which include arbutin (up to 12%), ester tannins (6–19%), polyphenolic acids such as quinic, ellagic and gallic acids (up to 6%), flavonoids, including hyperoside, quercetin and myricetin (up to 1.5%), as well as triterpenes—notably, ursolic acid up to 0.75% [,,].
In situations where maintenance operations are carried out on railway tracks, the potential for A. uva-ursi to be removed from such habitats arises, thereby facilitating its collection for medicinal purposes. However, a very important aspect is the degree of contamination of the harvested raw plant material. Rail transport, relative to road transport, contributes to significantly lower emissions of pollutants. However, it does not guarantee absolute environmental safety. As a result of the exploitation of rails and rolling stock, metal pollutants enter the soil, and chemical substances are also released. Therefore, studies were undertaken to assess the degree of accumulation of heavy metals in leaves from selected populations of A. uva-ursi growing spontaneously on railway embankments.
The aim of the conducted research was to compare the ability of A. uva-ursi to accumulate heavy metals in leaves from railways (anthropogenic substitute habitat) to that grown in the natural habitats. Moreover, we conducted a comparative analysis of the biotic and abiotic site conditions of the railway and the natural habitat of the A. uva-ursi population.
We hypothesized that the habitat of anthropogenic substitute, secondary habitats, and plant tissues will contain more heavy metals compared to natural sites.
2. Materials and Methods
2.1. Study Site Description
The field experiment performance was possible due to the existence of a natural distribution of A. uva-ursi populations in natural and secondary habitats. The soil (in natural habitats) and mineral material (in the secondary habitats) and plant tissue samples have been collected from all plots that have been available in locations that fulfill the methodological prerequisites.
In order to assess the direct impact of rail transport on the content of heavy metals in plant and soil samples, the sampling sites were located in proximity to railways—the area of the railway embankment and fire protection zone near the towns of Bógdał (B-ant), Myszków (MY-ant), and Włoszczowa (W-ant), which were substitute habitats for A. uva-ursi populations (southern Poland).
In the B-ant site (N 50°39′31″; E 19°49′21″), the individuals of A. uva-ursi were growing along the railway in a belt 15 m wide. The maintenance of the active railway caused disturbance, including pine tree clearings in the surrounding railway line. Under the remaining pine trees, the A. uva-ursi individuals were growing in the herb layers. The next railway habitat of A. uva-ursi (MY-ant) (N 50°33′27″; E 19°22′23″) was placed on steep (45° E) railway embankments. In the last studied anthropogenic habitat (W-ant) (N 50°52′41″; E 19°57′23″), the A. uva-ursi population was growing along the railway line and lying on the belt between the railway service road and grassland vegetation.
The material for the control sample was obtained from a natural (nat) site in a pine forest near Małogoszcz (MA-nat), (N 50°48′07″; E 20°14′14″), southern Poland. This was an area located several kilometers away from both road and rail communication routes.
In the natural site (MA-nat), three vegetation patches were established, while in human-made habitats (B-ant, MY-ant, W-ant), five patches were studied (Figure 2).
 
      
    
    Figure 2.
      The studied habitats: the railway substitute and natural habitats of the A. uva-ursi population (Photo: Agnieszka Hutniczak). Explanations: B-ant = Bógdał (anthropogenic substitute habitat), MY-ant = Myszków (anthropogenic substitute habitat), W-ant = Włoszczowa (anthropogenic substitute habitat), and MA-nat = Małogoszcz (natural habitat).
  
2.2. The Vegetation Fieldwork
The official permission for collecting the plants for scientific purposes has been obtained from the Regional Directorates for Environmental Protection in Kielce [WPN.I.6400.3.11.2020.AK, WPN.I.6400.1.8.2023.AD] and Katowice [WPN.6400.17.2020.MS, WPN.6400.15.2023.KB]. The main research was carried out in August 2023. Previously, non-invasive population monitoring had been carried out for many years (by the authors).
The vegetation structure and composition have been recorded in the study plots where the A. uva-ursi population was present. For phytosociological research, the areas of the examined patches were selected depending on the type of plant community, in accordance with the BRAUN-BLANQUET [] methodology, i.e., in pine forests (MA-nat) of 100 m2 and in anthropogenic sites (B-ant, MY-ant, W-ant), depending on the size of patches with A. uva-ursi. The main limit of the study plot size area was the occurrence of the individual A. uva-ursi in the vegetation patches.
In each plot, floristic lists were prepared with the abundance (=percentage cover in the recorded vegetation patch) of vascular plant species, considering individual forest layers (A—trees, B—shrubs, and C—herbaceous plants). The Londo [] (modified Braun-Blanquet) scale was used to determine the abundance (=percentage cover) (Table S1). Particular attention has been paid to recording the A. uva-ursi cover in each studied vegetation patch of the anthropogenic and natural habitats. The nomenclature of noted vascular plants was based on the checklist []. In turn, syntaxonomic affiliation followed after MATUSZKIEWICZ [].
2.3. The Species Diversity Indices
The Shannon–Wiener diversity index (H), Evenness (E), and Dominance index (1-D) were calculated for studied vegetation patches where A. uva-ursi populations were present (taking into account only the herb layer). The indices were calculated using the formulas included in the table (Table S2), using package R software (ver. 2.6-6.1, R Core Team) []. To compare the species diversity in the investigated site, alpha diversity indices (H’—Shannon–Wiener diversity index, S—species richness, and E—evenness) were calculated following Oksanen et al. [], while the (D—dominance index) was extracted by the dominance() function in the {abdiv} package.
2.4. The Measurement of the A. uva-ursi Individuals’ Height
The height of A. uva-ursi individuals in the studied vegetation patch has been measured. Ten individuals were randomly selected in each studied plot. Plant height was understood as “the shortest distance between the upper boundary of the main photosynthetic tissue on a plant and the ground level” []. The plants were collected from one year during the flowering phenological period using only healthy, adult plants.
2.5. The Measurement of the A. uva-ursi Leaves’ Heavy Metals Content
The leaf samples for testing the heavy metal content were collected randomly from individuals in each studied plot. Contents of Cd, Ni, Pb, and Zn were tested using the inductively coupled plasma atomic emission spectrometry (ICP-OES) method and prior microwave mineralization. Plant material was ground and dried at 105 °C to a constant weight and then subjected to the mineralization process using ultra-pure nitric acid (V) (65%). Mercury was determined using vapor-generated atomic absorption spectrometry (CVAAS) and amalgamation techniques.
2.6. Soil Sampling and the Soil Analysis Methods
Soil samples from a depth of 10–15 cm (root zone) were collected in August 2023 from five plots in each studied site (except Małogoszcz, where only three plots were established). The samples from each plot were collected in five points and then mixed. In the collected samples, pH (both in KCl and H2O) was studied in accordance with accepted standards []. Moreover, the total nitrogen (N tot) and bioavailable phosphorus (P) content have been assessed using the Kjeldahl method [] and the Egner–Riehm method [] accordingly. The water holding capacity (WHC%) was determined by the gravimetric method []. The soil organic matter (SOM) content was assessed using the Turin method [].
The contents of heavy metals (Cd, Ni, Pb, and Zn) in the soil samples were determined using the method of atomic emission spectrometry with excitation in inductively coupled plasma (ICP-OES) and prior microwave mineralization using ultra-pure nitric acid (V) (65%). Mercury was determined using vapor-generated atomic absorption spectrometry (CVAAS) and amalgamation techniques.
The soil test results were compared to the permissible contents of individual substances in soil specified in Annex No. 1 to the Regulation of the Minister of Environment of Poland of 1 September 2016 on the method of assessing the contamination of the Earth’s surface [].
2.7. The Bioaccumulation Factor of Selected Heavy Metals by A. uva-ursi
Due to the fact that the metal content in plant tissue may limit the applicability of a given species for consumption purposes, it is important to assess the risk of increased metal accumulation, which was undertaken in this work.
The bioaccumulation factor (BAF) was assumed to be the basic indicator of the plant’s potential to accumulate a given metal; it is understood as the ratio of the content of element “i” in plant tissue C(p,i) to its content in the soil C(s,i). This relationship is presented by Formula (1) []:
      
        
      
      
      
      
    
It is considered that the BAF value > 1 is a premise for inferring the potential of a species to bioaccumulate element “i”.
2.8. Statistical Analysis
The Shapiro–Wilk test was used to check whether the variables were distributed according to the normal distribution. To check the significant differences between investigated parameters in the studied sites, a one-way ANOVA (in the case where samples for all localizations had a distribution according to the normal distribution) or the Kruskal-Wallis test (otherwise) was used. To test the assumptions of the homogeneity of variance ANOVA test, the Brown–Forsythe test was used. If there were significant differences between the analyzed localizations, post hoc tests were used to indicate which sites differed from each other (the Bonferroni post hoc test was used for the parametric ANOVA, and the Dunn–Bonferroni post hoc test was used for the Kruskal–Wallis test).
In the absence of data from some sites (the values of some characteristics were off the scale), the Mann–Whitney U test was used to verify the hypothesis of no difference between localizations.
For statistical analysis, a program from Statistica Dell Inc., version 13 (2300 East 14th St., Tulsa, OK, USA) [] was used. Only the biodiversity analyses were performed by the R program.
3. Results
3.1. Comparison of the Habitat Conditions in the Soil Samples of the Studied Vegetation Patches
The habitat conditions are frequently characterized by a set of parameters, including soil organic matter (SOM), total nitrogen (N tot), phosphorus, and water holding capacity (WHC%).
The highest content of SOM was found in the (MA-nat) site. The content of total nitrogen and phosphorus was presented by the same pattern. The water holding capacity was significantly higher in the (MA-nat) and (B-ant) sites compared to the (W-ant) and (MY-ant) sites. Both soil pH values in KCl and H2O present significant differences between the natural vegetation patches and anthropogenic habitats (Table 1).
 
       
    
    Table 1.
    The comparison of the physicochemical parameters in the soil samples of the studied vegetation patches followed by the post hoc. The same letters indicate no statistical differences, p < 0.05. Superscript letters should be considered line by line. The symbol “±” indicates standard deviation values.
  
3.2. Relation Between the Heavy Metal Content in the Soil Samples and in the A. uva-ursi Leaves of the Studied Vegetation Patches
The highest content of heavy metals (Cd, Hg, Ni, Pb, and Zn) was detected in the samples collected from individuals growing in the (MA-nat) sites. Except for Cd, the differences were significant (Table 2).
 
       
    
    Table 2.
    The comparison of the heavy metals content in the soil samples of the studied vegetation patches followed by a post hoc Dunn–Bonferroni test. The same letters indicate no statistical differences, p < 0.05. Superscript letters should be considered line by line. The symbol “±” indicates standard deviation values.
  
3.3. Analysis of the Potential for the Bioaccumulation of Selected Heavy Metals by A. uva-ursi
The highest bioaccumulation factor (BAF) ratios for all the studied metals were recorded on the MY-ant site, while the lowest was on the MA-nat site. The obtained results show that A. uva-ursi does not show the potential for heavy metal accumulation, except for zinc and partially mercury (Table 3).
 
       
    
    Table 3.
    The BAF ratios for investigated sites were determined by ANOVA followed by a post hoc Tukey test. The same letters indicate no statistical differences, p < 0.05. Superscript letters should be considered line by line. The symbol “±” indicates standard error values.
  
3.4. Heavy Metal Content in A. uva-ursi Leaves
Anthropogenic substitute habitats do not show significantly higher concentrations of heavy metals in A. uva-ursi leaves compared to the natural site. Only in the case of zinc was a higher concentration of this element observed in leaves on the MY-ant site compared to the MA-nat site (Figure 3).
 
      
    
    Figure 3.
      The comparison of investigated heavy metals in A.uva-ursi leaves: (A)—mercury, (B)—cadmium, (C)—nickel, (D)—lead, (E)—zinc by ANOVA followed by a post hoc Tukey test. The same letters indicate no statistical differences, p < 0.05. Range bars present the standard error.
  
3.5. The Comparison of A. uva-ursi Individuals’ Height
The comparison of the plant heights of the studied A. uva-ursi population across various habitats revealed that individuals in the natural habitats (MA-nat) have lower heights. The stated differences are significant (Figure 4).
 
      
    
    Figure 4.
      The comparison of the height of the A. uva-ursi population in the studied vegetation patches followed by the post hoc Dunn–Bonferroni test. The same letters indicate no statistical differences, p < 0.05.
  
3.6. The Abundance (Percentage Cover) of the A. uva-ursi in Investigated Sites
The comparative analysis of A. uva-ursi abundance, quantified as a percentage of cover, indicated that it was most diminished within the natural habitat (MA-nat). Conversely, the abundance of A. uva-ursi populations is significantly increased in vegetation patches that have been developed within anthropogenic habitats. The stated differences are significant (Figure 5).
 
      
    
    Figure 5.
      The comparison of the abundance (percentage cover) of the A. uva-ursi population in the studied vegetation patches followed by the post hoc Dunn–Bonferroni test. The same letters indicate no statistical differences, p < 0.05.
  
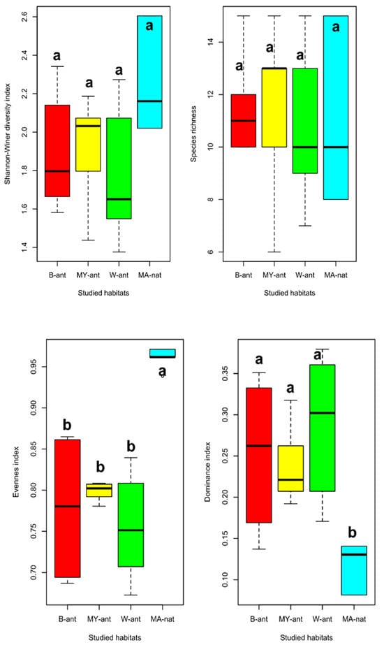
3.7. The Comparison of Plant Diversity Indices
The value of the Shannon–Wiener diversity index of the vegetation patches inhibited by the A. uva-ursi population developed in natural habitats (MA-nat) is observed to be the highest. Conversely, the lowest value of the Shannon–Wiener diversity index is recorded in the vegetation patches associated with anthropogenic habitats (W-ant and B-ant). The species richness followed a similar trend as the Shannon–Wiener diversity index. The evenness index was the highest in the natural habitat (MA-nat). In contrast, the dominance index is found to be the lowest in (MA-nat) patches. The dominance index values are comparable across the (B-ant), (MY-ant), and (W-ant) sites. In these anthropogenic habitats, (MY-ant) had the lowest index (Figure 6). The development of the vegetation patches hosting the A. uva-ursi is delineated in the table (Table S3).
 
      
    
    Figure 6.
      The comparison of the diversity indices in vegetation patches in which the studied A. uva-ursi population occurs. The same letters indicate no statistical differences.
  
4. Discussion
The organisms that have colonized secondary habitats spontaneously, particularly those associated with mineral habitats, have been the subject of extensive research [,,,,,,,]. Among the wide range of mineral secondary habitats, railway tracks are common. The ecological diversity present within railway habitats has garnered considerable scholarly attention, as these sites are conducive for the proliferation of plant species [,,,,,]. The heterogeneity observed in railway microhabitats—comprising tracks, platforms, intertracks, embankments, and stations—creates conditions for the growth of flora with a wide range of ecological preferences. Scientific research indicates that anthropogenic habitats are increasingly becoming a refuge for rare and endangered species, constituting a natural base for diasporas [,,]. Habitats that developed along railway corridors exhibit significant variability, resulting in the formation of diverse ecological zones, which range from extremely dry, practically soil-free embankments to drainage ditches abundant in water.
Kryszak et al. [] and Fornal-Pieniak and Wysocki [] focus on the intricate dynamics of flora colonization and the complex vegetation assemblages that have developed on railway embankments. Additionally, the presence of rare and endangered species on railway habitats has been documented [,,,,,]. A notable example of a rare plant exhibiting the capability to colonize railway embankments and their surroundings is A. uva-ursi. This species is recognized for its medicinal properties and is frequently utilized in the field of phytotherapy [,,,].
The analysis of physicochemical parameters of the studied habitats showed statistically significant variations between the substrates of anthropogenic substitutes and those of natural habitats. The soil pH measurements obtained from selected railway sites indicated that pH (in H2O) values ranged from 5.11 to 5.55 in anthropogenic habitats, whereas the corresponding value in natural sites was much lower, reaching 4.02. Prior research has established that the spectrum of pH values in soil collected from railway sites was considerably broader—for instance, 4.0 to 7.9 [] and 4.8 to 7.0 []. Higher pH levels have been documented by Galera et al. [], Wrzesień and Święs [], and Hutniczak [] and Hutniczak et al. []. These discrepancies may be attributable to the type of substrate employed in the construction and shaping of the railway sites. Hutniczak [] also paid attention to the content of organic matter in the subsoil of railway areas, which ranged from 1.5 to 39%. The results of our research indicate a slightly lower content of organic matter in anthropogenic habitats (0.82–1.82). In turn, in natural habitats, it was recorded at 2.63. A previous investigation confirmed that A. uva-ursi is a species that can tolerate oligotrophic conditions, characterized by low carbon nitrogen content in the soil [].
Hutniczak [] and Hutniczak et al. [] have similarly highlighted the issue of the heavy metal contamination of railway habitats. The most serious sources of pollution associated with rail transport include the abrasion of tracks and traction wire surfaces, the wear of brake linings, the leakage of operating fluids and lubricants, the emission of exhaust gases, the impregnation of wooden sleepers, the uncontrolled release of transported substances, and the application of herbicides for the management of undesired vegetation on railway embankments [,,,,,,,].
The analysis of heavy metal concentrations within the investigated regions (Table 2) demonstrated that the maximum concentrations of all assessed heavy metals (Cd, Hg, Ni, Pb, and Zn) were recorded within the natural habitat. It is likely that the increased content of heavy metals in this habitat may be due to the proximity of agricultural fields and meadows where fertilizers (including phosphate fertilizers) are used, which may be a potential source of heavy metals. This phenomenon was earlier described by different authors, e.g., [,,]. In turn, the studied anthropogenic habitats are located only in the immediate vicinity of pine forests. The soil samples analyzed for metal concentrations across all four research habitats did not reveal any exceedances of the allowable thresholds for soils classified as group II, specified in the Regulation of the Minister of the Environment dated 1 September 2016 regarding the methodology for evaluating soil contamination. The classification of group II soils encompasses, among other types, agricultural land, areas of allotment gardens, managed meadows, and pastures where the cultivation of food products and agricultural crops is feasible. It has been established that heavy metals are intensively taken up by plants growing in soils with a pH level below 6.5 []. In the course of our investigations, notwithstanding the low pH levels, the concentration of heavy metals within the tissues of A. uva-ursi was observed to be minimal, potentially attributable to the limited presence of heavy metals within the substrate. It is imperative to highlight, however, that both cadmium and lead possess the capacity for tissue accumulation, exhibit prolonged biological half-lives, and demonstrate considerable environmental persistence, thereby posing significant toxicity risks.
The phenomenon of element accumulation by A. uva-ursi remains inadequately characterized within the existing scientific literature. The determination of the potential for the accumulation of trace elements in specific parts of A. uva-ursi was carried out on plants collected from sites located in the Republic of Buryat in Russia []. The conducted studies drew attention to the potential for the accumulation of elements such as Ni, Cr, Cu, and Zn in the fruits, stems, leaves, and roots of A. uva-ursi. Particularly high bioaccumulation was demonstrated for zinc (mg/kg d.m.)—on average, 16.85 (fruits), 28.65 (leaves), 63.0 (stems), and 82.6 (root)—in relation to the zinc content in soils at the two studied sites. Our findings further corroborate that A. uva-ursi is capable of zinc accumulation. A review of the existing literature permits us to assert that in the case of zinc, the accumulation phenomenon manifests at concentrations ranging from 3000 to 10,000 mg/kg d.m. []. Zinc contamination in soils associated with railway routes may be caused directly by transported loads [,,,] as well as the application of this element in anti-corrosion coatings utilized on steel sleepers []. The presence of nickel content in soil adjacent to railway tracks is related to the abrasion process of steel in the manufacture of railway wheels []. The lead concentration in soils in the vicinity of the railway line may be linked to fuel combustion []. Although the rolling stock on the communication lines from which soil and plant samples were collected predominantly employs electric traction, the sporadic operation of diesel locomotives cannot be discounted. Mercury comes mainly from the degradation of wooden sleepers impregnated with antifungal mercury compounds []. Electric locomotives considered environmentally friendly may introduce metals in aerosols into the environment through the abrasion of wheels, tracks, and pantographs, in addition to electric traction, thereby contaminating the surroundings of the railway line [].
EU legislation does not delineate specific concentration thresholds for individual heavy metals in herbal medicinal raw materials. Nonetheless, Commission Regulation (EC) No. 1881/2006 sets a permissible limit for cadmium in fresh herbs at 0.20 mg/kg. It is imperative to consider the alterations in concentration that may arise due to the processes of the drying or dilution of the raw material []. The legal framework in both Poland and Europe is lacking regarding the analytical assessment of the composition of herbal raw materials. The permissible concentration limits for lead and cadmium in herbal substances, including whole, broken, or crushed plant material, should not exceed 1.0 mg/kg for cadmium and 5 mg/kg for lead. Commission Regulation (EC) No. 629/2008, which amends 1881/2006, refers to dietary supplements, permitting the cadmium content to be at a level of 3.0 mg/kg d.m. in products consisting of dried seaweed. In instances where plant material is classified as a dietary supplement, the permissible concentration of lead is 3 mg/kg, while for cadmium, it is 1.0 mg/kg, and for mercury, it is 0.10 mg/kg. It is noteworthy that Regulation (EU) No. 1169/2011 of the European Parliament and of the Council, Annex V, point 8 states that herbal infusions are exempt from the requirement to present mandatory information on nutritional value. It is therefore difficult to compare the results obtained from analyses with the values declared by the manufacturer [].
The obtained results indicate a lower content of the analyzed heavy metals, both in the substrate and in the tissues of A. uva-ursi growing in anthropogenic substitute habitats, compared to the natural habitat. Hence, it is feasible to derive medicinal raw materials from such habitats for pharmaceutical purposes, especially in light of the consistently increasing demand for plant-derived medicinal products. This trend is observed in many regions of the world []. At present in Poland, approximately 25,000 tons of dried plant material are utilized annually for medicinal purposes. Most of the raw material comes from cultivated lands; however, roughly 20% (5000 tons of dry matter) is obtained from natural sites [].
To ensure the safety of railway line operations, the regular mechanical or chemical control of vegetation growth in the immediate vicinity of railway lines is carried out, often resulting in its total eradication. However, it is crucial to recognize that the chemicals used are a serious source of environmental pollution with herbicides. Therefore, environmentally safe methods of mechanical removal of vegetation are increasingly used []. In such contexts, areas where the cutting and cleaning of vegetation must be carried out for safety purposes may serve as viable alternative sources of medicinal plant materials. Our research has demonstrated that such scenario is indeed applicable to A. uva-ursi growing on railway embankments in southern Poland.
5. Conclusions
Contrary to our expectations, the anthropogenic substitute habitats, secondary habitats, and plant tissues have not contained more heavy metals compared to the natural site. Such result leads us to reconsider our conformist understanding of heavy metals’ presence and impact in natural and disturbed habitats. A separate issue is the bioavailability of heavy metals.
Railway areas where the occurrence of A. uva ursi was confirmed, especially near Włoszczowa, may be a potential area for collecting specimens for medicinal purposes or as material for scientific research on species due to the lower content of heavy metals in the soil, which corresponds with the content of these elements in the leaves of bearberry. In addition, higher values of soil pH in anthropogenic habitats may affect the lower bioavailability of elements and their accumulation in the plant tissues. An additional advantage of obtaining A. uva-ursi is its height in anthropogenic habitats. It should be remembered that the contamination of soil with toxic substances may be different in various sites and the suitability of specimens for the use of the raw material for pharmaceutical purposes should be assessed each time.
Supplementary Materials
The following supporting information can be downloaded at: https://www.mdpi.com/article/10.3390/agronomy14112739/s1, Table S1: Decimal scale in relation to the Braun–Blanquet scale; Table S2: The ways of calculating the species diversity indices; Table S3: The most common species occurring in studied patches of vegetation.
Author Contributions
Conceptualization, B.B.-Ż. and G.W.; methodology, A.H., W.B. and G.W.; validation, A.P.-S., P.O., A.P. and P.K.; formal analysis, W.B., J.B. and A.P.-S.; investigation, B.B.-Ż., A.H., W.B., A.B., P.O., A.P. and P.K.; resources, P.O., A.P., P.K., A.S. and G.W.; data curation, B.B.-Ż., A.H. and A.S.; writing—original draft preparation, B.B.-Ż., A.H., W.B., A.B, P.O., A.P. and P.K.; writing—review and editing, B.B.-Ż., A.H., A.S. and G.W.; visualization, W.B., J.B. and A.P.-S.; supervision, A.S. and G.W.; project administration, A.H. and G.W.; founding acquisition, B.B.-Ż. and A.S. All authors have read and agreed to the published version of the manuscript.
Funding
This research was co-funded according to Medical University of Silesia in Katowice (grant No. BNW-1-101/K/4/F and by the Geobotany and Functioning of Ecosystems Team’s statutory research.
Data Availability Statement
The data presented in this study are available on request from the corresponding author.
Acknowledgments
The authors would like to thank the Regional Directorates for Environmental Protection in Kielce and Katowice for agreeing to issue permits to collect leaves of Arctostaphylos uva-ursi to analyze. We would also like to thank Kamila Adamik for her help during the fieldwork. Thanks are also due to Marcin Nobis, Arkadiusz Nowak, Tomasz Paciorek, Alojzy Przemyski, Ewa Szczęśniak, and Dominik Wróbel for the information on the occurrence of Arctostaphylos uva-ursi in southern Poland.
Conflicts of Interest
The authors declare no conflicts of interest.
References
- Hutniczak, A.; Urbisz, A.; Wilczek, Z. Flora i Roślinność nieużytkowanych terenów kolejowych województwa śląskiego [Flora and Vegetation of Abandoned Railway Areas of the Silesian Province]. In Monographs of the Upper Silesian Museum 15; Muzeum Górnośląskie: Bytom, Poland, 2020; pp. 1–130. [Google Scholar]
- Hutniczak, A.; Urbisz, A.; Urbisz, A.; Strzeleczek, Ł. Factors Affecting Plant Composition in Abandoned Railway Areas with Particular Emphasis on Forest Proximity. Diversity 2022, 14, 1141. [Google Scholar] [CrossRef]
- Hutniczak, A.; Urbisz, A.; Watoła, A. The socio-economic importance of abandoned railway areas in the landscape of the Silesian Province (southern Poland). Environ. Socio-Econ. Stud. 2023, 11, 1–12. [Google Scholar] [CrossRef]
- Zając, E.U.; Zając, A. Flora synantropijna linii kolejowej Czechowice—Zebrzydowice (The synanthropic flora of the Czechowice—Zebrzydowice railway line (Southern Poland)). Fragm. Flor. Geobot. 1969, 15, 271–282. [Google Scholar]
- Sendek, A. Flora synantropijna stacji górnośląskiego węzła kolejowego. OTPN Zesz. Przyr. 1973, 13, 321. [Google Scholar]
- Sendek, A. Flora synantropijna terenów kolejowych węzła kluczborsko-oleskiego. Rocz. Muz. Górnośląskiego W Bytomiu Przyr. 1973, 6, 1–173. [Google Scholar]
- Fornal-Pieniak, B.; Wysocki, C. Flora nasypu nieużytkowanej linii kolejowej w okolicach Sokołowa podlaskiego. Water-Evironment-Rural. Area 2010, 3, 85–94. [Google Scholar]
- Hutniczak, A. Kształtowanie Się Szaty Roślinnej na Nieużytkowanych Terenach Kolejowych Województwa Śląskiego. Ph.D. Thesis, Uniwersytet Śląski w Katowicach, Wydział Biologii i Ochrony Środowiska, Katedra Botaniki i Ochrony Przyrody, Katowice, Poland, 2019. [Google Scholar]
- Messenger, K.G. A railway flora of Rutland. Proc. Bot. Soc. Br. Isles 1968, 7, 325–344. [Google Scholar]
- Wittig, R. Ferns in a new role as a frequent constituent of railway flora in Central Europe. Flora 2002, 197, 341–350. [Google Scholar] [CrossRef]
- Borda-de-Água, L.; Barrientos, R.; Beja, P.; Pereira, H.M. (Eds.) Railway Ecology; Springer Open: Cham, Switzerland, 2017; pp. 1–320. [Google Scholar]
- Suominen, J. The plant cover of Finnish railway embankments and the ecology of their species. Ann. Bot. Fenn. 1969, 6, 183–235. [Google Scholar]
- Kryszak, A.; Kryszak, J.; Czemko, M.; Kalbarczyk, M. Roślinność nasypów wybranych szlaków kolejowych (Vegetation of embankment along selected railway lines). Zesz. Nauk. Uniw. Przyr. We Wrocławiu. Rol. 2006, 88, 157–164. [Google Scholar]
- Chakrabarty, T.; Gupta, D. Morpho-histologic studies on three herbaceous species of railway track. Proc. Indian Acad. Sci. 1981, 90, 305–312. [Google Scholar] [CrossRef]
- Malawska, M.; Wiłkomirski, B. Analiza skażeń gleby polichrolowanymi bifenylami (PCBs) i metalami ciężkimi (Cd, Pb) w otoczeniu szlaków kolejowych oraz węzła Iława Główna. Rocz. Państwowego Zakładu Hig. 1997, 48, 343–349. [Google Scholar]
- Malawska, M.; Wiłkomirski, B. Soil and plant contamination with heavy metals in the area of the old railway junction Tarnowskie Góry and near two main railway routes. Rocz. Państwowego Zakładu Hig. 2000, 51, 259–267. [Google Scholar]
- Malawska, M.; Wiłkomirski, B. An analysis of soil and plant (Taraxacum officinale) contamination with heavy metals and poly- cyclic aromatic hydrocarbons (PAHs) in the area of the railway junction Iława Główna, Poland. Water Air Soil Pollut. 2001, 127, 339–349. [Google Scholar] [CrossRef]
- Akoto, O.; Ephraim, J.H.; Darko, G. Heavy metals pollution in surface soils in the vicinity of abundant railway servicing workshop in Kumasi, Ghana. Int. J. Environ. Res. 2008, 2, 359–364. [Google Scholar]
- Mętrak, M.; Chmielewska, M.; Sudnik-Wójcikowska, B.; Wiłkomirski, B.; Staszewski, T.; Suska-Malawska, M. Does the Function of Railway Infrastructure Determine Qualitative and Quantitative Composition of Contaminants (PAHs, Heavy Metals) in Soil and Plant Biomass? Water Air Soil Pollut. 2015, 226, 253. [Google Scholar] [CrossRef]
- Bacler, B. Zasoby gatunkowe cennych roślin leczniczych powiatu włoszczowskiego. Część 1—Mącznica lekarska Arctostaphylos uva-ursi (L.) Spreng. Ann. Acad. Med. Siles. 2009, 63, 33–37. [Google Scholar]
- Stebel, A.; Bacler-Żbikowska, B.; Drobnik, J. Interesting locality of medicinal plant Arctostaphylos uva-ursi (Ericaceae) in Silesia Province (Poland). Čas. Slez. Muz. Opava 2013, 62, 190–192. [Google Scholar]
- Kowalik, K.; Bacler-Żbikowska, B. Nowe stanowiska Arctostaphylos uva-ursi (Ericaceae) na siedliskach antropogenicznych w Obniżeniu Górnej Warty (Wyżyna Woźnicko-Wieluńska). Fragm. Florist. Geobot. Polon. 2016, 23, 362–364. [Google Scholar]
- Gawłowska, J. Mącznica lekarska—Arctostaphylos uva-ursi L. w Polsce, jej zasoby i ochrona. Ochrona Przyrody 1964, 30, 23–50. [Google Scholar]
- Hultén, E.; Fries, M. Atlas of North European Vascular Plants. North of the Tropic of Cancer; Koeltz Scientific Books: Königstein, Germany, 1986; pp. 1–1172. [Google Scholar]
- Zając, A.; Zając, M. (Eds.) Atlas Rozmieszczenia Roślin Naczyniowych w Polsce. s. xii + 714; Nakładem Pracowni Chorologii Komputerowej Instytutu Botaniki Uniwersytetu Jagiellońskiego: Kraków, Poland, 2001; pp. 1–69. [Google Scholar]
- Piękoś-Mirkowa, H.; Mirek, Z. Mącznica lekarska Arctostaphylos uva-ursi (L.) Spreng. In Czerwona Księga Karpat Polskich; Mirek, Z., Piękoś-Mirkowa, H., Eds.; Rośliny naczyniowe; Instytut Botaniki im. W. Szafera PAN: Kraków, Poland, 2008; pp. 164–165. [Google Scholar]
- Bacler-Żbikowska, B.; Zdybel, M.; Pilawa, B.; Chodurek, E.; Woźniak, G.; Gaj, R. Porównanie właściwości antyoksydacyjnych ekstraktów roślinnych z surowców leczniczych pozyskanych z siedlisk zaburzonych na przykładzie gatunków z rodziny Ericaceae. Fides Ratio Patria. Stud. Toruńskie 2023, 19, 12–29. [Google Scholar] [CrossRef]
- Zoń, A.; Bacler-Żbikowska, B. Mącznica lekarska Arctostaphylos uva-ursi (L.) Spreng.–potencjał terapeutyczny oraz zastosowanie w medycynie i kosmetologii. Herbalism 2024, 10, 78–92. [Google Scholar] [CrossRef]
- Hegi, G. Illustrierte Flora von Mittel-Europa; Band V Teil: München, Germany, 1926; Volume 31, pp. 1656–1661. [Google Scholar]
- Piękoś-Mirkowa, H.; Mirek, Z. Flora Polski: Atlas Roślin Chronionych; Multico Oficyna Wydawnicza: Warszawa, Poland, 2003; pp. 132–133. [Google Scholar]
- Piękoś-Mirkowa, H.; Mirek, Z. Flora Polski: Rośliny Chronione; Multico Oficyna Wydawnicza: Warszawa, Poland, 2006; pp. 1–49. [Google Scholar]
- Stebel, A.; Bacler-Żbikowska, B. Występowanie Arctostaphylos uva-ursi (Ericaceae) w województwie śląskim. Frag. Florist. Geobot. Polon. 2019, 26, 3–13. [Google Scholar] [CrossRef]
- Zięba, A. Nowe stanowisko mącznicy lekarskiej Arctostaphylos uva-ursi w Tatrach polskich. Chrońmy Przyr. Ojczystą 2014, 70, 362–366. [Google Scholar]
- Regulation of the Minister of the Environment on the Protection of Plant Species, Rozporządzenie Ministra Środowiska z dnia 9 Października 2014 r. w Sprawie Ochrony Gatunkowej Roślin. Dz.U. z 2014 r. poz. 1409 (in Polish). Available online: https://isap.sejm.gov.pl/isap.nsf/download.xsp/WDU20140001409/O/D20141409.pdf (accessed on 15 September 2024).
- Farmakopea polska XIII (Ph. Eur. 11.0-11.2) ; Uvae ursi folium. Urzędu Rejestracji Produktów Leczniczych Wyrobów Medycznych i Produktów Biobójczych: Warszawa, Poland, 2023; pp. 1979–1980.
- European Medicinal Agency (EMA)—Uvae Ursi Folium—Herbal Medicinal Product. Available online: https://www.ema.europa.eu/en/medicines/herbal/uvae-ursi-folium (accessed on 1 October 2024).
- European Scientific Cooperative on Phytotherapy (ESCOP). Available online: https://escop.com (accessed on 26 July 2022).
- Braun-Blanquet, J. Pflanzensoziologie, Grundzuge der Vegetationscunde. 3 Aufl. (Phytosociology, the Basis of Vegetation Science, Vol. 3); Springer Verl: Wien, Austria, 1964; pp. 1–865. [Google Scholar]
- Londo, G. The Decimal Scale for Releves of Permanent Quadrats. Vegetatio 1976, 33, 61–64. [Google Scholar] [CrossRef]
- Mirek, Z.; Piękoś-Mirkowa, H.; Zając, A.; Zając, M. Vascular Plants of Poland; An annotated checklist; W. Szafer Institute of Botany, Polish Academy of Sciences: Kraków, Poland, 2020; p. 526. [Google Scholar]
- Matuszkiewicz, W. Przewodnik do Oznaczania Zbiorowisk Roślinnych Polski; Wydanie nowe (III zm. i uzup.)—12 dodruk; Wydawnictwo Naukowe PWN SA: Warszawa, Poland, 2017; pp. 1–536. [Google Scholar]
- R Core Team. R: A Language and Environment for Statistical Computing; R Foundation for Statistical Computing: Vienna, Austria; Available online: https://www.Rproject.org/ (accessed on 26 July 2022).
- Oksanen, J.; Simpson, G.L.; Blanchet, F.G.; Kindt, R.; Legendre, P.; Minchin, P.R.; O’Hara, R.B.; Solymos, P.; Stevens, M.H.H.; Szoecs, E.; et al. Vegan Community Ecology Package. 2024. Available online: https://github.com/vegandevs/vegan (accessed on 22 May 2024).
- Cornelissen, J.H.C.; Lavorel, S.; Garnier, E.; Díaz, S.; Buchmann, N.; Gurvich, D.E.; Reich, P.B.; Ter Steege, H.; Morgan, H.D.; Van Der Heijden, M.G.A.; et al. A handbook of protocols for standarised and easy measurement of plant functional traits worldwide. Aust. J. Bot. 2003, 5, 335–380. [Google Scholar] [CrossRef]
- PN-ISO 10390:2022-09; Oznaczanie pH. Polski Komitet Normalizacyjny: Warszawa, Poland, 2022. Available online: https://sklep.pkn.pl/pn-en-iso-10390-2022-09e.html (accessed on 2 November 2023). (In Polish)
- Rutherford, P.M.; McGill, W.; Arocena, J.M.; Figueiredo, C.T. Total Nitrogen. In Soil Sampling and Methods of Analysis; Carter, M.R., Gregoric, E.G., Eds.; CRC Press: Boca Raton, FL, USA, 2006; pp. 267–278. [Google Scholar]
- PN-R-04023:1996; Analiza Chemiczno-Rolnicza Gleby—Oznaczanie Zawartości Przyswajalnego Fosforu w Glebach Mineralnych. Polski Komitet Normalizacyjny: Warszawa, Poland, 1996. Available online: https://sklep.pkn.pl/pn-r-04023-1996p.html (accessed on 2 November 2023). (In Polish)
- Mohamed, B.A.; Ellis, N.; Kim, C.S.; Bi, X.; Emam, A.E.R. Engineered biochar from microwave-assisted catalytic pyrolysis of switchgrass for increasing water-holding capacity and fertility of sandy soil. Sci. Total Environ. 2016, 566, 387–397. [Google Scholar] [CrossRef]
- Hristov, B.; Filcheva, E.; Ivanov, P. Organic Matter Content and Composition of Soils with Stagnic Properties from Bulgaria. Bulg. J. Soil Sci. 2016, 1, 25–32. [Google Scholar] [CrossRef]
- Regulation of the Minister of Environment of Poland of 1 September 2016 on the Method of Assessing the Contamination of the Earth’s Surface (Annex No. 1), Rozporządzenie Ministra Środowiska z Dnia 1 Września 2016 r. w Sprawie Sposobu Prowadzenia Oceny Zanieczyszczenia Powierzchni Ziemi. Dz.U. z 2016 r. poz. 1395 (in Polish). Available online: https://eli.gov.pl/eli/DU/2016/1395/ogl (accessed on 10 September 2024).
- Kobierski, M.; Tomaszewska-Sowa, M.; Figas, A.; Gatz, A.; Sawilska, A.K. Bioaccumulation of Heavy Metals in Herbal Plants from Areas Not Exposed to Heavy Anthropopressure. Pol. J. Soil Sci. 2017, 50, 41. [Google Scholar] [CrossRef]
- Statistica, Version 13. Available online: https://statistica.software.informer.com/13.0/ (accessed on 2 October 2023).
- Baldrian, P.; Trögl, J.; Frouz, J.; Šnajdr, J.; Valášková, V.; Merhautová, V.; Cajthaml, T.; Herinková, J. Enzyme Activities and Microbial Biomass in Topsoil Layer during Spontaneous Succession in Spoil Heaps after Brown Coal Mining. Soil Biol. Biochem. 2008, 40, 2107–2115. [Google Scholar] [CrossRef]
- Woźniak, G. Diversity of Vegetation on Coal-Mine Heaps of the Upper Silesia (Poland); W. Szafer Institute of Botany, Polish Academy of Science: Kraków, Poland, 2010; pp. 1–320. [Google Scholar]
- Frouz, J. Soil Biota and Ecosystem Development in Post Mining Sites; CRC Press, Taylor & Francis Group: Boca Raton, FL, USA, 2014; pp. 1–316. [Google Scholar]
- Kompała-Bąba, A.; Sierka, E.; Dyderski, M.K.; Bierza, W.; Magurno, F.; Besenyei, L.; Bońskam, A.; Ryśm, K.; Jagodziński, A.M.; Woźniak, G. Do the dominant plant species impact the substrate and vegetation composition of post-coal mining spoil heaps? Ecol. Eng. 2020, 143, 105685. [Google Scholar] [CrossRef]
- Bierza, W.; Czarnecka, J.; Błońska, A.; Kompała-Bąba, A.; Hutniczak, A.; Jendrzejek, B.; Bakr, J.; Jagodziński, A.M.; Prostański, D.; Woźniak, G. Plant diversity and species composition in relation to soil enzymatic activity in the novel ecosystems of urban–industrial landscapes. Sustainability 2023, 15, 7284. [Google Scholar] [CrossRef]
- Bakr, J.; Kompała-Bąba, A.; Bierza, W.; Hutniczak, A.; Błońska, A.; Chmura, D.; Magurno, F.; Jagodziński, A.M.; Besenyei, L.; Bacler-Żbikowska, B. Plant Species and Functional Diversity of Novel Forests Growing on Coal Mine Heaps Compared with Managed Coniferous and Deciduous Mixed Forests. Forests 2024, 15, 730. [Google Scholar] [CrossRef]
- Galera, H.; Sudnik-Wójcikowska, B.; Wierzbicka, M.; Wiłkomirski, B. Encroachment of forest species into operating and abandoned railway areas in north-eastern Poland. Plant Biosyst. 2011, 145, 23–36. [Google Scholar] [CrossRef]
- Nowak, A. Rośliny ustępujące i rzadkie w siedliskach antropologicznych Śląska. In Cz. I Studium Florystyczno-Ekologiczne. z. II Katalog Stanowisk oraz Charakterystyka Gatunków; Wydawnictwo Uniwersytetu Opolskiego: Opole, Poland, 2011; pp. 1–454. [Google Scholar]
- Bacler-Żbikowska, B.; Nowak, T. Role of Post-industrial Sites in Maintaining Species Diversity of Rare, Endangered and Protected Vascular Plant Species on the Example of the Urban-Industrial Landscapes. In Green Scenarios: Mining Industry Responses to Environmental Challenges of the Anthropocene Epoch—International Mining Forum 2021; Dyczko, A., Jagodziński, A.M., Woźniak, G., Eds.; Taylor & Francis Group: London, UK, 2021; pp. 245–263. [Google Scholar]
- Kornaś, J.; Leśniowska, I.; Skrzywanek, A. Obserwacje nad florą linii kolejowych i dworców kolejowych w Krakowie. Fragm. Flor. Geobot. 1959, 5, 199–216. [Google Scholar]
- Tikka, P.M.; Högmander, H.; Koski, P.S. Road and railway verges serve as dispersal corridors for grassland plants. Landsc. Ecol. 2001, 16, 659–666. [Google Scholar] [CrossRef]
- Nobis, M.; Nobis, A. Rzadkie i rozprzestrzeniające się gatunki roślin naczyniowych na terenach kolejowych wschodniej części polskich Karpat i ich przedpola. Rare and spreading vascular plant. Species on railway-tracks in the eastern part of Polish Carpathians and their foreground. Fragm. Flor. Geobot. Polon. 2010, 17, 275–284. [Google Scholar]
- Wrzesień, M. Rzadkie rośliny naczyniowe we florze spontanicznej terenów Polesia Zachodniego. Fragm. Flor. Geobot. Polon. 2012, 19, 19–27. [Google Scholar]
- Puchałka, R.; Załuski, T.; Paszek, I.; Olszewski, P. Rośliny naczyniowe na odcinku leśnym linii kolejowej Gutowo Pomorskie—Klonowo w Górznieńsko-Lidzbarskim Parku Krajobrazowym (Polska północna) [Vascular plants of a forested section of the Gutowo Pomorskie—Klonowo railway line in Górzno-Lidzbark Landscape Park (N Poland)]. Fragm. Flor. Geobot Polon. 2019, 26, 273–290. [Google Scholar] [CrossRef]
- Bacler-Żbikowska, B.; Stebel, A. Katalog Roślin Leczniczych Aktualnie Dopuszczonych do Stosowania w Medycynie Konwencjonalnej w Polsce: Różnorodność Gatunkowa, Pochodzenie, Zastosowanie, Problemy Zrównoważonego Pozyskiwania i Ochrona; Śląski Uniwersytet Medyczny w Katowicach: Katowice, Poland, 2023; pp. 1–129. [Google Scholar]
- Ćwikliński, E. Flora i Zbiorowiska Roślinne Terenów Kolejowych Województwa Szczecińskiego; Wydawnictwo Uczelniane Akademii Rolniczej w Szczecinie, Rozprawy: Szczecin, Poland, 1974; Volume 40, pp. 1–149. [Google Scholar]
- Kowarik, I.; Langer, A. Vegetation einer Berliner Eisenbahnfläche (Schöneberger Südgelände) im vierten Jahrzehnt der Sukzession. Verh. Bot. Ver. Berl. Brandenbg. 1994, 127, 5–43. [Google Scholar]
- Wrzesień, M.; Święs, F. Flora i Zbiorowiska Roślin Naczyniowych Terenów Kolejowych Zachodniej części Wyżyny Lubelskiej (Flora and Vascular Plants Communities of Railway Areas of the Western Part of the Lublin Upland); Wydawnictwo Uniwersytetu Marii Curie-Skłodowskiej: Lublin, Poland, 2006; pp. 1–255. [Google Scholar]
- Ellenberg, H.; Leuschner, C. Zeigerwerte der Pflanzen Mitteleuropas (Indicator values of vascular plants in Central Europe). In Vegetation Mitteleuropas mit den Alpen (Vegetation of Central Europe Including. the Alps), 6th ed.; Ellenberg, H., Leuschner, C., Eds.; Ulmer: Stuttgart, Germany, 2010; pp. 1–11. [Google Scholar]
- Winiarek, P.; Kruk, A. Analysis of selected chemical parameters of soils along railway lines. Sci. Rev. Eng. Env. Sci. 2017, 26, 498–513. [Google Scholar] [CrossRef]
- Bukowiecki, N.; Gehrig, R.; Hill, M.; Lienemann, P.; Zwicky, C.N.; Buchmann, B.; Wein-Gartner, E.; Baltensberger, U. Iron, manganese and copper emitted by cargo and passenger trains in Zurich (Switzerland): Size-segregated mass concentrations in ambient air. Atmos. Environ. 2007, 41, 878–889. [Google Scholar] [CrossRef]
- Liu, H.; Chen, L.P.; Ai, Y.W.; Yang, X.; Yu, Y.H.; Zuo, Y.B.; Fu, G.Y. Heavy metal contamination in soil alongside mountain railway in Sichuan, China. Environ. Monit. Assess. 2009, 152, 25–33. [Google Scholar] [CrossRef] [PubMed]
- Wiłkomirski, B. “Stoi na stacji lokomotywa”, czyli zanieczyszczenia środowiska związane z transportem kolejowym (“The locomotive stands on the station”, that is environmental pollution connected with railway transport). Rocz. świętokrzyski Ser. B—Nauk. Przyr. 2010, 31, 85–94. [Google Scholar]
- Wiłkomirski, B.; Galera, H.; Sudnik-Wójcikowska, B.; Staszewski, T.; Malawska, M. Railway Tracks—Habitat Conditions, Contamination, Floristic Settlement—A Review. Environ. Nat. Resour. Res. 2012, 2, 86–95. [Google Scholar] [CrossRef]
- Stančić, Z.; Fiket, Ž.; Vuger, A. Tin and Antimony as Soil Pollutants along Railway Lines—A Case Study from North-Western Croatia. Environments 2022, 9, 10. [Google Scholar] [CrossRef]
- Mortvedt, J.J. Heavy metal contaminants in inorganic and organic fertilizers. Fertil. Res. 1996, 43, 55–62. [Google Scholar] [CrossRef]
- Spisak, Z.; Wall, Ł. Współzależność zawartości cynku w glebach i roślinach w warunkach polowych. Zesz. Probl. Postęp. Nauk Rol. 2000, 471, 145–152. (In Polish) [Google Scholar]
- Ali, H.; Khan, E.; Ilahi, I. Environmental chemistry and ecotoxicology of hazardous heavy metals: Environmental persistence, toxicity and bioaccumulation. J. Chem. 2019, 14, 1–14. [Google Scholar] [CrossRef]
- Borowiec, M.; Huculak, M.; Hoffmann, K.; Hoffmann, J. Ocena zawartości wybranych metali ciężkich w produktach spożywczych zgodnie z obowiązującym w Polsce prawodawstwem. Proceeding ECOPole 2009, 3, 433–438. [Google Scholar]
- Afanasyeva, V.L.; Ayushina, A.T. Accumulation and distribution of microelements in Arctostaphylos uva-ursi. Chem. Plant Raw Mater. 2018, 3, 123–128. [Google Scholar] [CrossRef]
- Balafrej, H.; Bogusz, D.; Triqui, Z.-E.A.; Guedira, A.; Bendaou, N.; Smouni, A.; Fahr, M. Zinc Hyperaccumulation in Plants: A Review. Plants 2020, 9, 562. [Google Scholar] [CrossRef] [PubMed]
- Plakhotnik, V.N.; Onyshchenko, J.V.; Yaryshkina, L.A. The environmental impacts of railway transportation in the Ukraine. Transp. Res. Part D Transp. Environ. 2005, 10, 256–268. [Google Scholar] [CrossRef]
- Ferrodus, W.; Manalo, A. Failures of mainline railway sleepers and suggested remedies—Review of current practice. Eng. Fail. Anal. 2014, 44, 17–35. [Google Scholar] [CrossRef]
- Mukherjee, M.; Saha, S.; Pal, T.K.; Kanjilal, P. Influence of modes of metal transfer on grain structure and direction of grain growth in low nickel austenitic stainless steel weld metals. Mater. Charact. 2015, 102, 9–18. [Google Scholar] [CrossRef]
- Šeda, M.; Šíma, J.; Volavka, T.; Vondruška, J. Contamination of soils with Cu, Na and Hg due to the highway and railway transport. Eurasian J. Soil. Sci. 2017, 6, 59–64. [Google Scholar] [CrossRef]
- Markiewicz, M. Roślinne surowce lecznicze. Eliksir 2016, 2, 19–22. [Google Scholar]
- Blicharska, E.; Kocjan, R.; Błażewicz, A. Oznaczenie zawartości żelaza, manganu, cynku, miedzi, kadmu i ołowiu w herbatkach ziołowych. Bromat. Chem. Toksykol. 2007, 40, 145–151. [Google Scholar]
- Howes, M.J.R.; Quave, C.L.; Collemare, J.; Tatsis, E.C.; Twilley, D.; Lulekal, E.; Farlow, A.; Li, L.; Cazar, M.-E.; Leaman, D.J.; et al. Molecules from Nature: Reconciling biodiversity conservation and global healthcare imperatives for sustainable use of medicinal plants and fungi. Plants People Planet 2020, 2, 463–481. [Google Scholar] [CrossRef]
- Kozłowski, J.A.; Wielgosz, T.; Nawrot, J.; Nowak, G.; Dawid-Pać, R.; Kuczyński, S. Zielarnia. Jak Czerpać ze Skarbów Natury; Wydawnictwo Publicat: Poznań, Poland, 2019; pp. 1–336. [Google Scholar]
- Brandes, D. Eisenbahnanlagen als Untersuchungsgegenstand der Geobotanik. Tuexenia 1993, 13, 415–444. [Google Scholar]
| Disclaimer/Publisher’s Note: The statements, opinions and data contained in all publications are solely those of the individual author(s) and contributor(s) and not of MDPI and/or the editor(s). MDPI and/or the editor(s) disclaim responsibility for any injury to people or property resulting from any ideas, methods, instructions or products referred to in the content. | 
© 2024 by the authors. Licensee MDPI, Basel, Switzerland. This article is an open access article distributed under the terms and conditions of the Creative Commons Attribution (CC BY) license (https://creativecommons.org/licenses/by/4.0/).
