Abstract
In sustainable cultivation technologies, the method of managing crop residues and the microbiological activity of the soil, supported by the application of effective microorganisms, is of particular importance. Unfortunately, wheat monocultures are still common. Therefore, there is also a need to introduce elements of sustainable agrotechnics to such crops. The aim of the research was to compare the effect of 18 spring wheat (Triticum aestivum L.) cultivation technologies in a monoculture. Therefore, a four-year two-factor experiment was carried out with a spring wheat monoculture. Six ways managing the organic matter before sowing and tillage (first factor) and the application of microbiological preparations (second factor) were tested, leasing to a total of 18 experimental objects. The parameterized weed infestation, chlorophyll index, and leaf area index, elements of the yield structure, and spring wheat yield were determined through tillage technology. In most cases, the application of biopreparations was not found to have a significant impact on the tested features. The highest yields of spring wheat were obtained through the following technologies: application of EM or UGmax microbiological preparations on the shredded straw of the forecrop; mixing the forecrop with the soil using a grubber immediately after harvest; sowing the white mustard catch crop; winter plowing.
1. Introduction
Agricultural production should expand faster than population growth, without further harm to the environment [1]. Hence, the search for technologies for the production of food that combine high efficiency with the lowest possible negative impact on the environment is ongoing. This is particularly important in the case of strategic plant species for feeding humanity, due to the area they occupy. Wheat (Triticum aestivum L.) is one such species [2,3]. Crop rotation and soil tillage are among the key factors that impact cropping system productivity, pest management, and soil health [4]. It is widely believed that crop rotation increases yield [5] and ensures sustainable plant production [6,7,8,9,10]. Such approaches combine minimal environmental impact with high productivity [11]. Unfortunately, wheat monocultures are still used [12], despite this approach being contrary to the sustainable development guidelines and the biodiversity strategy [13].
Sustainable development practices in agriculture include, among others, elements such as: leaving as much plant biomass from crop residues or catch crops in the environment as possible; supporting soil microbiological activity; minimizing interference with the soil by reducing tillage [14]. One of the methods for mitigating the negative effects of cereal monoculture is the cultivation of catch crops [15]. Catch crops improve the physical, chemical, and biological properties of soil [16,17]. Likewise, crop residues are an important resource, not only as a source of significant quantities of nutrients for crop production, but also because they affect the soil’s physical, chemical, and biological functions and properties and water and soil quality. When crop residues are returned to the soil, their decomposition can have both positive and negative effects on crop production and the environment [18]. In terms of phytosanitary concerns, leaving crop residues of plants grown in monoculture on the field surface or mixing them with the soil raises doubts. High microbiological activity helps in limiting the development of pests and plant pathogens and accelerates the decomposition of organic matter. Increasing this activity can be achieved by applying effective microorganisms to the soil [19]. Tillage is an agrotechnical practice that strongly affects the soil environment. Its effect on soil properties depends on the system and, more specifically, on the degree of soil inversion and loosening. Traditional plow cultivation is associated with many unfavorable environmental consequences, which is the reason for using alternative tillage methods [20].
In this paper, we assume the hypothesis assumed that, in spring wheat monoculture, various methods of managing post-harvest residues—the use of catch crops and various tillage methods combined with the application of microbiological preparations—will be a beneficial alternative to traditional cultivation; in traditional cultivation, all above-ground biomass is removed from the field and tillage is based on a plow system. In the context of this hypothesis, the aim of the research was to compare the effects of 18 spring wheat cultivation technologies on a 4-year monoculture.
2. Materials and Methods
2.1. Experiment Site
The research was carried out in the years 2010–2014 in Tarnowo Górne (52°55′58″ N 18°05′54″ E), Kuyavia-Pomerania Voivodeship, Poland. The field experiments were carried out on soil classified by the World Reference Base (WRB) [21] as Luvisol. The soil grain–size composition was 0–20 cm—41.4% sand (2–0.05 mm), 52.3% silt (0.05–0.002 mm), 6.3% clay (<0.002 mm).
2.2. Experiment Design
The experiment, lasting four years, was carried out in exactly the same place—spring wheat monoculture. The field experiments were carried out in a randomized split-plot design, with four replications. A single plot area was 200 m2 (8 m × 25 m).
Experimental factors:
Factor A—management of organic matter before sowing and tillage (the text also uses the abbreviation “tillage method” interchangeably):
- −
- Straw + post-harvest grubber + winter plowing—A1.
- −
- Mulch + winter plowing—A2.
- −
- Mulch + spring plowing—A3.
- −
- Straw + catch crop + winter grubber + spring grubber—A4.
- −
- Straw + catch crop + winter plowing—A5.
- −
- Stubble + post-harvest grubber + winter plowing—A6.
Factor B—applying microbiological preparations:
- −
- EM-1 (B1).
- −
- UGmax (B2).
- −
- Control—without the use of microbiological preparations (B3).
There were a total of 18 experimental objects. The experiment was carried out in 4 replications, providing 72 experimental plots. In each of the four years of the experiment, each object was located in exactly the same place—this was a static experiment.
Explanations:
- −
- Straw—in 2010, winter rapeseed straw; in subsequent years, spring wheat straw that was crushed during harvesting.
- −
- Straw + post-harvest grubber—crushed straw of forecrop mixed with the soil using a grubber to a depth of 25 cm; performed immediately after harvesting the forecrop.
- −
- Grubber—Grubber Lemken Terra Cult vibro.
- −
- Winter grubber—grubber used in the second week of November.
- −
- Spring grubber—grubber applied a week before sowing.
- −
- Winter plowing—plowing to a depth of 25 cm in the second decade of November; Kverneland EM 100 reversible plow/4 furrow/with Packomat.
- −
- Spring plowing—plowing to a depth of 20 cm two weeks before sowing spring wheat.
- −
- Mulch—shredded forecrop straw left on the soil surface.
- −
- Catch crop—white mustard sown in the amount of 15 kg·hm−2 of seeds in the 2nd–3rd weeks of August.
- −
- Stubble—straw collected and transported outside the field.
- −
- EM-1—application 20.0 dm3∙hm−2 on crushed straw or stubble; https://greenland.pl/produkt/preparat-em-1/. Access date 10 November 2023
- −
- UGmax—application of 1.0 dm3∙hm−2 on crushed straw or stubble; http://bogdan.agro.pl/. Access date 10 November 2023
2.3. Precipitation and Air Temperature
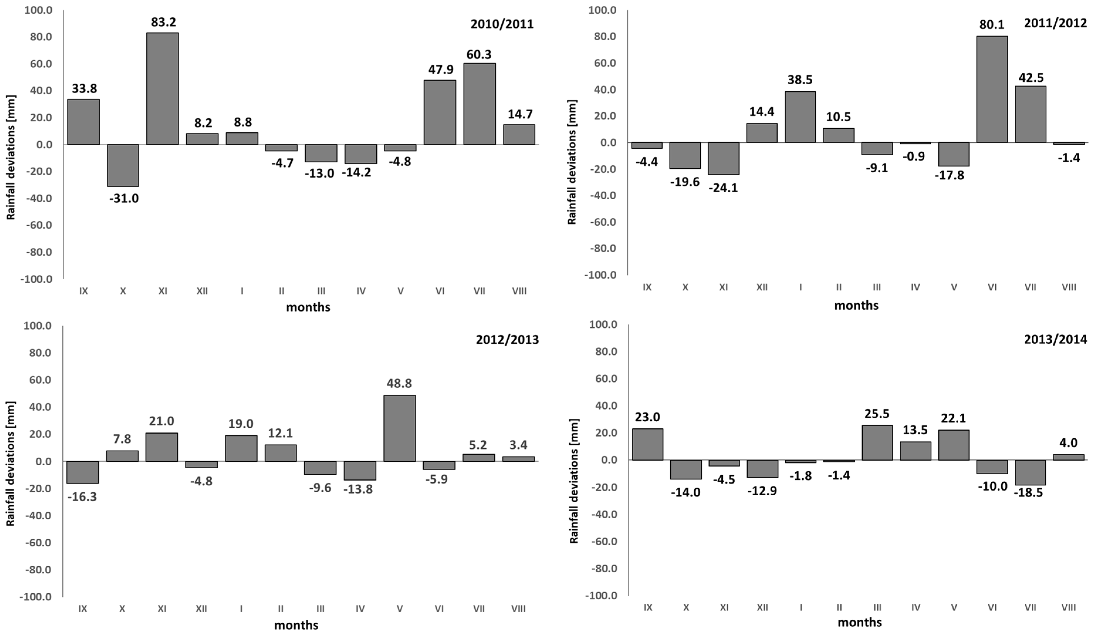
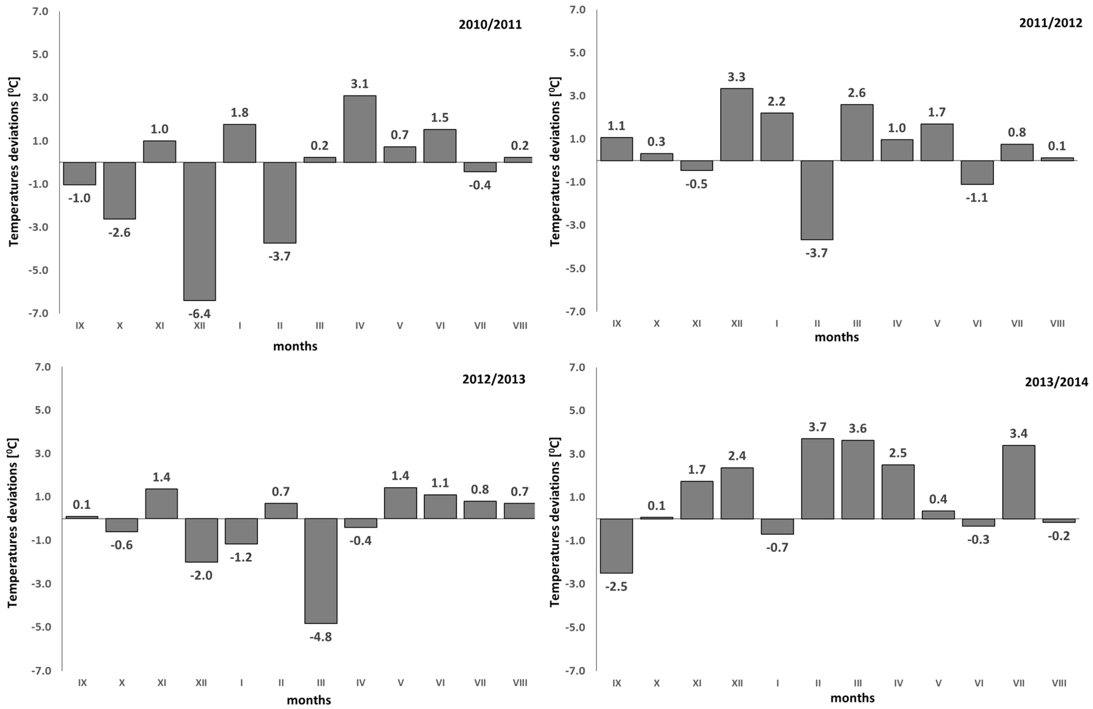
Precipitation and thermal conditions during the field tests were described based on the results of standard meteorological measurements. The sums of monthly precipitation and average monthly air temperatures in the years 1949–2009 are summarized in Table 1. Deviations of monthly rainfall sums and average monthly temperatures in the years of study implementation from the average monthly rainfall sums and average monthly temperatures for the years 1949–2009 are presented in Figure 1 and Figure 2.
Table 1.
Sums of monthly precipitation and average monthly air temperatures in the years 1949–2009.
Figure 1.
Deviations [mm] of monthly rainfall sums in the years of study implementation from the average monthly rainfall sums for the years 1949–2009.
Figure 2.
Deviations [°C] of average monthly temperatures in the years of study from average monthly temperatures in the years 1949–2009.
The amount of rainfall in the period from September to November in all four years of the study generally did not hinder the correct performance of the pre-sowing tillage. The rainfall was also beneficial for the rapid growth and biomass production of white mustard grown as a catch crop.
Too little rainfall in February–April was not conducive to the quick or uniform emergence of spring wheat. Only 2014 turned out to be relatively favorable in this respect. In 2013, unfavorable rainfall conditions in early spring were combined with the return of heavy frost in the second and third weeks of March. This resulted in the need to re-sow the spring wheat. The rainfall deficits in April and May in 2011 and 2012 were compensated for by the rainfall of the next two months. June and July rainfall totals in 2011 and 2012 exceeded the rainfall needs of the wheat. The plants experienced worse conditions in 2013 and 2014; there were severe rainfall deficits in the months of June and July, which worsened the unfavorable early spring situation. The least favorable (deficit) rainfall distribution for the proper vegetation of spring wheat occurred in the last year of its cultivation, i.e., in 2014.
In all the years of the study, after harvest, there were favorable conditions for proper post-harvest tillage, good mixing of shredded straw with the soil, and effective application of preparations containing microorganisms.
2.4. Elements of Agrotechnical Practices
Certified seed material of spring wheat variety ‘Tybalt’ was sown at a density of 450 grains·m2 in March at a spacing of 10.5 cm, to a depth of 4 cm. The seed material was treated with the Maxim Star dressing (cyproconazole + difluorobenzole) at a dose of 200 g of the preparation per 100 kg−1 grain. For sowing, a 4 m cultivation and sowing unit with an active cyclotiler section and a Horsch seeder equipped with disc coulters and kneading rollers was used. During direct sowing, the active sections of the cyclotiler were disconnected.
In spring, before pre-sowing cultivation, mineral fertilization was applied: N—60 kg∙hm−2 (ammonium sulphate), P2O5 30 kg∙hm−2 (granulated superphosphate), and K2O—90 kg∙hm−2 (potassium salt). After sowing, nitrogen was applied twice: in the BBCH 32 phase—60 kgN∙hm−2; in the BBCH 51 phase—60 kg N∙hm−2.
Herbicyd Mustang Forte 195 SE (0.8 dm3∙hm−2 florasulam + aminopyralid + 2,4 D), together with the growth regulator Moddus 250 EC (0.8 dm3∙hm−2 trineksapak etylu), was applied in the BBCH 32 phase. Fungicide protection: Swing Top 183 SC (1.5 dm3∙hm−2 dimoksystrobina + epoksykonazol) was applied in the BBCH 39 phase. Pesticides were applied using a sprayer AMAZONE UX5200 24 m.
2.5. Samples and Measurements
During the wheat growing season and after harvest, the biometric characteristics of the plants from all plots were assessed:
- −
- Plant density BBCH 11–12 (the results are not presented in the manuscript).
- −
- Chlorophyll index SPAD (Yara N-tester TM, Oslo, Norway, https://www.yara.my/contentassets/6d5ba39b1a364a33be1e4e6b6b2a2be1/n-tester-instruction-manual.pdf/, access date 10 November 2023).
- −
- Leaf area index (LAI) (plant canopy analyzer Li 2000 (Li Cor, Lincoln, NE, USA). https://licor.app.boxenterprise.net/s/q6hrj6s79psn7o8z2b2s, access date 10 November 2023).
- −
- Stem length—measured from the soil surface to the end of the ear.
- −
- Ear density BBCH 89.
- −
- Weight of a thousand grains.
- −
- Grains per ear.
- −
- Grain yield.
2.6. Data Analysis
The dataset of measurements was subjected to statistical analysis. Plant biometrics were subjected to two-way analysis of variance (ANOVA). This analysis was carried out separately for each growing season, and a synthesis was performed for the four years of research in a mixed model (vegetation seasons—random; experimental factors—fixed). A model that was suitable for a split-plot approach was used. The first-order factor was the management of organic matter before sowing and tillage; the second-order factor was the use of microbiological preparations. Tukey’s post hoc test (LSD0.05) was used to assess the significance of differences between the mean values of each feature. The Tukey test used a classic model, i.e., LSD was calculated for two directions of interaction separately. A/B interaction means comparing tillage methods with each other for each microbiological preparation (and control) separately—three comparisons. The B/A interaction means a comparison between the EM UGmax and the control for each cultivation method separately—leading to a total of six comparisons. The ANAWAR 5.3 FR calculation package based on an Excel spreadsheet (Microsoft Office 2021) was used for the calculations in accordance with the mathematical formulas, with reference to Gomez and Gomez [22].
3. Results and Discussion
3.1. Weed Infestation
The research showed a significant impact of the variable conditions over the years on the influence of the tillage methods on the weed infestation of spring wheat; this was assessed through the analyzed weed species and the total number of weeds (Table 2). Therefore, the results of the statistical analysis for these species and the total weed infestation are presented for each year and on average over the years of the study.
Table 2.
The influence of the method of tillage for spring wheat on the number of weeds [pcs.m−2] in individual years of research and averages from 2011 to 2014.
Leaving shredded straw as mulch on the field surface from harvest to spring plowing (A3) resulted in the highest overall weed infestation (Table 2). The total number of weeds in this method of tillage was significant on average over the years, at 49.6 pcs.m−2 higher than the number of weeds in the other variants of tillage, except for the no-plow tillage (A4). The level of weed infestation in the spring wheat tillage without plowing (A4)—in which the straw and catch crop biomass was mixed with the surface layer of soil—turned out to be only slightly lower than that after mulch and spring plowing (A3), to a statistically insignificant degree. The obtained results do not confirm the conclusions of other authors [23,24] that catch crops (especially white mustard) can be an effective way of reducing the number and weight of weeds in a monoculture. However, this discrepancy may be due to the fact that the catch crops used in this study occurred in different tillage variants; on this basis, their protective effect or lack thereof in the context of weed infestation cannot be clearly stated. However, our own results are consistent with those of other studies [25] in terms of the negative impact (increase in weed infestation) of mulch lying on the field surface. This may be due to the limited effectiveness of herbicides. In our own research, the use of winter plowing in spring wheat agrotechnology contributed to the reduction in weed infestation. Weed infestation was reduced to the greatest—statistically significant—extent. This was achieved through classic plowing without straw (A6); under the influence of this, the total number of weeds per unit area was reduced by more than half, i.e., by 52.9% in relation to the tillage method that most strongly infests spring wheat (A3). The use of winter plowing in the other tillage methods in which biomass was plowed (A1, A2, A5) did not result in a significant increase in weed infestation compared to traditional tillage (A6). These results are confirmed by those presented in the studies of other authors [26,27,28], who noticed that limiting the use of plowing and leaving crop residues causes changes in the botanical composition of weeds and an increase in the number of weeds, forcing increased herbicide protection. However, there is no consensus in the literature in this respect, e.g., Fonteyne et al. [29] claims that weed density and biomass were lower in long-term conservation agriculture than in conventional cultivation. The cited authors also claim that the three components of conservation agriculture (no-till, residue retention, and crop rotation) reduced weed biomass, which was lower when all three components were used together. This does not therefore refer to compensation for weed infestation occurring in wheat monoculture.
The tillage method caused significant changes in the weed community (Table 2). In individual years and on average during the research period, Apera spica-venti turned out to be the most numerous weed. Indeed, the highest number of individuals of this species was determined in the site where the mulch made of shredded straw was plowed only with spring plowing (A3) and in the conditions of no-plow tillage (A4). Moreover, it was observed that the annual use of spring plowing (A4) promoted an increase in the number of A. spica-venti individuals in subsequent years. The use of other tillage methods significantly reduced the occurrence of A. spica-venti. The number of this species was most effectively reduced by classic tillage—plowing without straw (A6)—which reduced its occurrence by an average of 70.4% in the most weedy areas (A3, A4). Relatively numerous weeds in the spring wheat canopy were also Viola arvensis, Chenopodium album, and Stellaria media, which, like A. spica-venti, were most numerous under tillage with spring plowing (A3). The use of winter plowing (A6, A1, A2, A5) limited the number of Chenopodium album in the subsequent years of the study. However, the number of S. media increased in subsequent years under each of the six methods of tillage. A similar trend was observed for Echinochloa crus-gali and Avena fatua. These weeds were relatively few in the spring wheat canopy, but their numbers generally increased in the subsequent years, where specific methods of farming were implemented.
The application of biopreparations also had an impact on the number of weeds in the conducted research (Figure 3). On average, for the tillage method, the use of the UGmax soil conditioner turned out to be unfavorable in this aspect, which increased the number of weeds to a significant extent compared to the control object. The presented results are not confirmed by those of other studies performed in similar conditions [30]. The authors of the cited studies claim that the increased weed density—due to straw application to the soil—was minimized to different extents through the use of effective microorganisms, especially the density of A. spica-venti, C. bursa pastoris, Ch. album, and all other weeds. Degradation of this straw through the effective microorganisms applied during post-harvest cultivation led to a reduced total weed infestation and a reduced density of A. spica venti, C. bursa pastoris, Ch. album, and all other weeds. It should be added, however, that these results were obtained for the EM preparation, not the UGmax. Moreover, a different type of tillage was used in the studies cited above. The significantly higher weed infestation obtained after using UGmax in our own research cannot be directly compared with the research of other authors due to the fact that it is an average of various tillage methods. This does not change the fact that it is difficult to explain why both microbiological preparations had different effects on weed infestation without in-depth analyses of the causes of the phenomenon.
Figure 3.
Average total weed density [pcs.m−2] in spring wheat depending on the applied biopreparations (average from 2011 to 2014). a, b—different letters indicate significant difference (p = 0.05).
3.2. Chlorophyll Index SPAD
The SPAD index in the BBCH 32–37 phase was lower for all objects than in the BCH 51–55 phase (Table 3). However, in both determination dates, the relationships between the objects in terms of variation in the value of the examined feature were similar. The lowest value of the SPAD index for both dates was recorded in spring wheat in the A3, A2, and A4 tillage variants. In the BBCH 51–55 phase, the SPAD index readings for the remaining tillage variants (A5, A1, A6) turned out to be significantly higher. In the BBCH 32–37 phase, the SPAD index readings on objects A5, A1, and A6 were statistically higher in relation to objects A3 and A4.
Table 3.
Values of the SPAD index of spring wheat in the BBCH 32–55 phase depending on the variants of agrotechnics and the application of microbiological preparations (average from 2011 to 2014).
In the BBCH 51–55 phase, a significant relationship was noted between farming methods and the application of biopreparations in shaping the SPAD index (Table 4). SPAD readings in the A5 and A1 tillage variants to which biopreparations were applied were higher than in A5 and A1 without the application of microbiological preparations. No such relationship with the application of biopreparations was found in objects with other tillage methods. It is known that the factor that has the strongest effect on the chlorophyll SPAD index is nitrogen fertilization; meanwhile, factors such as tillage and the management of crop residues have a smaller impact [31]. In their research, the cited authors obtained a similar relationship as that shown by the results presented in this article—leaving harvest residues significantly reduced the SPAD of spring wheat. However, with regard to tillage, the research is not clear. Our own results are confirmed by other studies conducted in Poland [32], which show that plow tillage gives higher SPAD values in spring wheat than reduced tillage. However, other authors [33,34] prove that, when plowing was used, they obtained lower SPAD values for spring wheat than with other, reduced tillage systems; this does not correspond to the results presented in this manuscript.
Table 4.
Average values of the LAI index for spring wheat for development phases depending on tillage variants and application of microbiological preparations (average from 2011 to 2014).
3.3. Leaf Area Index LAI
LAI measured in the spring canopy of wheat had the highest values in the BBCH 49–51 phase and the lowest values in the BBCH 37–39 phase. There was no significant effect from the microbiological preparations on LAI in any of the phenological phases of spring wheat. In each phenophase (and on average for phenophases), a significant impact of the tillage method on LAI was found (Table 4). The lowest LAI in the spring wheat canopy occurred in the A4 and A3 variants of tillage. In the BBCH 49–51 phase, the difference in the average value of the LAI A3 and A4 indices in relation to other tillage methods was 0.21. In the further growing season, the difference between the foliage of the spring wheat canopy in objects A4 and A3 and the remaining tillage methods increased and amounted to 0.52 (BBCH 49–51) and 0.38 (BBCH 75–87).
The average value of the LAI index from three measurement dates for most of the analyzed agricultural methods was independent of the use or lack of application of biopreparations. Only in variant A1 did the lack of use of biopreparations result in a significant reduction in the foliage of the canopy (Table 4).
3.4. Elements of Yield Structure
In the conditions of the multi-year experiment, there were no statistically proven impacts of the applied biopreparations or their interactions with the tillage methods on the number of ears, the number of grains per ear, or the weight of one thousand grains. The values of the indicated features were independently influenced by the tillage variants (Table 5 and Table 6).
Table 5.
Values (average from 2011 to 2014) of the yield structure elements depending on the tillage variants and the application of microbiological preparations.
Table 6.
Significance of the influence of factors and their interactions on the features of spring wheat plants.
The highest density of ears was recorded in the tillage variants in which winter plowing was used (A1, A2, A5, A6) (Table 5). However, a significantly lower number of ears was found on objects covered with mulch made of shredded forecrop straw until spring plowing (A3). This method of tillage (A3) for wheat contributed to improved filling of the ear with grain, a higher weight of a thousand grains, and a higher weight of grain per ear, compared to the other tillage variants. Statistically, such a relationship was confirmed in relation to the differences in the number of grains in the ear between wheat in variant A3 in relation to A4, A1, and A2. Generally speaking, in objects where the wheat had a larger density in the ears, there was an observed tendency to have a smaller number of grains per ear and a smaller thousand-grain weight.
The weight of grain per ear was determined through the variants of agrotechnics but also by their interaction with the biopreparations used. The interaction between these factors mainly comes down to the fact that, in all agrotechnical variants except variant A1, the application of biopreparations had a small, generally unconfirmed effect on the weight of grain per ear. In the case of the A1 variant, the application of EM and UGmax resulted in a significant increase of 11.7–13.0% compared to the control, without the application of biopreparations.
3.5. Grain Yield
Spring wheat grain yield was determined through the tillage variants (Figure 4) and their interactions with the application of microbiological preparations (Figure 6). However, no independent, statistically confirmable effect of microbiological preparations was found (Figure 5).
Figure 4.
Spring wheat grain yield [Mg·hm−2], depending on management of organic matter before sowing and tillage (average from 2011 to 2014). a, b, c—different letters indicate significant difference (p = 0.05).
Figure 6.
Grain yield [Mg·hm−2] of spring wheat depending on the method of tillage and the application of microbiological preparations, Data marked with different capital letters indicate significant differences (p = 0.05) between crop variants A1–A6. Data marked with different lowercase letters indicate significant differences (p = 0.05) between microbiological preparations—EM, UGmax, and Control.
Figure 5.
Spring wheat grain yield [Mg·hm−2], depending on the application of microbiological preparations in spring wheat monoculture (average from 2011 to 2014).
On average, for the years of this study, the spring wheat yielded the highest (5.65–5.89 Mg·hm−2) in tillage variants A1, A2, A5—here, winter plowing was used (Figure 4). A similar result (5.50 Mg·hm−2) was obtained for the control object, i.e., with traditional tillage (A6). The highest yield (5.89 Mg·hm−2) was found in variant A5 (straw + catch crop + winter plowing); the wheat yield was significantly lower in the A3 and A4 variants—the yield was lower by 0.95 Mg·hm−2 (16.1%) and 0.67 Mg·hm−2 (11.3%), respectively.
Other studies conducted in Poland [35] confirm that plow tillage resulted in a higher density of ears and the number of grains per ear, which consequently resulted in an increase in spring wheat grain yield compared to conservation tillage. The ears density and grain yield obtained from the plots where the stubble catch crops were sown were significantly higher than those on the plots after the control plots. The higher yield of the spring wheat on the plot after the stubble catch crops was largely due to the increased number of ears per unit area. Although the above-mentioned studies derived results similar to our own, it should be noted that the spectrum of management of organic matter before sowing and tillage was different. With different climatic conditions for winter wheat in a fallow system, the meta-analysis performed by Adil et al. [36] proves that, in dry areas, zero tillage and mulching with straw is the most recommended practice, leading to increased water retention and ultimately an increase in yield. In the cited studies, one can see analogies to our own results—as the data indicate (Figure 7), the objects with mulch (A2 and A3) were characterized by the smallest yield fluctuations in the four years of the study. The ambiguity of the impact of crop residue returns on wheat yield—depending on climatic conditions—is confirmed by the meta-analysis presented by Qi et al. [37]; this is generally a beneficial practice. According to Pawłowski et al. [38], the white mustard intercrop significantly increased the yield of spring wheat in the monoculture; the authors also demonstrated the advantages of traditional approaches, i.e., plowed tillage over non-plowed tillage. This confirms the results presented in this article. This reaction can be attributed to a beneficial effect on the chemical properties of the soil [39].
Figure 7.
Grain yield [Mg·hm−2] of spring wheat depending on the management of organic matter before sowing and tillage in the years of research.
For tillage variants A3, A4, and A6, there was no statistically confirmable impact of the application of biopreparations on the yield of the spring wheat (Figure 6). The significant role of biopreparations in shaping the wheat yield was revealed in the variants in which soil cultivation included winter plowing (A1, A2, and A5). For those variants in which straw, crushed after harvesting, was mixed with soil with a grubber (A1 and A5), treating stubble with biopreparations turned out to be beneficial; this resulted in a significant increase in yield, and both biopreparations showed a similar effect. In variant A2, the biopreparations did not bring the expected beneficial results; on the contrary, a decreasing tendency in the spring wheat yield was noted for the UGmax preparation this was statistically confirmed in the case of the EM preparation.
Spring wheat was grown in the same place for four consecutive years. The analysis of variance showed a significant effect of the interaction of the years with the management of organic matter before sowing and tillage on grain yield (Figure 7). However, there was no relationship indicating a clear reduction in yield with each year of monoculture. In the second and third year, the monoculture yields generally decreased; however, in the last year (the fourth year of monoculture), the yields increased significantly—for some of the samples, the yields were the highest they reached during the entire experiment. This indicates that the weather pattern determines the yield to a greater extent than agrotechnical factors.
3.6. Significance of the Influence of Factors
Summarizing the overall impact of the factors tested in the experiment, it can be stated that weather conditions in the different years of this study varied greatly in terms of the amount and distribution of rainfall and temperature (Figure 1 and Figure 2). Rainfall, temperature, and solar radiation are important climatic factors that determine growth and development differently at different growth stages; ultimately, they have a significant impact on yields as a result [40]. Variable weather throughout the different years of the study significantly modified the influence of the tillage method on most features of the spring wheat (Years × A); no such relationship was found between variable weather in the years and the application of microbiological preparations (Years × B) (Table 6). The ANOVA showed that the tillage method determined all the observed features of the spring wheat. The application of microbiological preparations only determined the total number of weeds. The interaction of factors A and B was not dependent on the variable weather conditions in the different years of the study. The interactive effect of factors A and B was found in the case for five wheat traits, including grain yield.
The research presented in this paper relates to the conditions of temperate climate and the specificity of farming practices in Europe. It would certainly be worth carrying out tests in other natural environments that would simultaneously compare many variants of agricultural cultivation and the application of other means of production that are consistent with sustainable development; this is especially the case in monocultures of the most important plant species [41]. New technologies that are part of sustainable development are emerging and are worth testing against those described in this manuscript.
4. Conclusions
Six methods of managing organic matter before sowing and tillage, in combination with the application of microbiological preparations tested in spring wheat monoculture, produced results for the average yield differentiation across the four years of this experiment: 4.87–6.02 Mg·hm−2. The variability in the yields over the four years of the experiment did not reveal the impact of the increasing monoculture period on the reduction in the production effects. The management of organic matter before sowing and tillage determined all the biometric features of the spring wheat and weed infestation—this ultimately translated into yield. The application of microbiological preparations had relatively little importance in shaping individual plant characteristics, but ultimately shaped the yield of spring wheat; this shaping was interdependent with the treatment of organic matter before sowing and tillage. In the spring wheat monoculture, it was found that it is not always reasonable to implement elements of sustainable cultivation; for example, the introduction of organic matter into the soil in the form of straw or catch crops or applying microbiological preparations might not always be reasonable—many variants did not lead to better results than traditional technologies in which no organic matter was introduced into the soil. However, the best technological variants in terms of yield turned out to be the following: the application of EM or UGmax microbiological preparations on the shredded straw of the forecrop; forecrop mixed with the soil using a grubber immediately after harvest; sowing the white mustard catch crop; winter plowing. Completely eliminating plowing or replacing winter plowing with spring plowing had negative effects.
Author Contributions
Conceptualization: K.K.; Methodology: K.K. and L.G.; Investigation: W.K.; Writing—original draft: L.G.; Writing—review and editing: L.G. and K.K.; All authors have read and agreed to the published version of the manuscript.
Funding
This research received no external funding.
Data Availability Statement
The datasets generated and analyzed during the current study are available from the corresponding author on reasonable request.
Conflicts of Interest
The authors declare no competing interest.
References
- Fróna, D.; Szenderák, J.; Harangi-Rákos, M. The Challenge of Feeding the World. Sustainability 2019, 11, 5816. [Google Scholar] [CrossRef]
- Tadesse, W.; Halila, H.; Jamal, M.; El-Hanafi, S.; Assefa, S.; Owsis, T.; Baum, M. Role of sustainable wheat production to ensure food security in the cwana region. J. Exp. Biol. Agric. Sci. 2017, 11, 5816. [Google Scholar] [CrossRef]
- Johansson, E.; Muneer, F.; Prade, T. Plant Breeding to Mitigate Climate Change—Present Status and Opportunities with an Assessment of Winter Wheat Cultivation in Northern Europe as an Example. Sustainability 2023, 15, 12349. [Google Scholar] [CrossRef]
- Jalli, M.; Huusela, E.; Jalli, H.; Kauppi, K.; Niemi, M.; Himanen, S.; Jauhiainen, L. Effects of Crop Rotation on Spring Wheat Yield and Pest Occurrence in Different Tillage Systems: A Multi-Year Experiment in Finnish Growing Conditions. Front. Sustain. Food Syst. 2021, 5, 647335. [Google Scholar] [CrossRef]
- Sieling, K.; Stahl, C.; Winkelmann, C.; Christen, O. Growth and yield of winter wheat in the first 3 years of a monoculture under varying N fertilization in NW Germany. Eur. J. Agron. 2005, 22, 71–84. [Google Scholar] [CrossRef]
- Mamolos, A.P.; Kalburtji, K.L. Significance of allelopathy in crop rotation. J. Crop Prod. 2001, 4, 197–218. [Google Scholar] [CrossRef]
- Barbieri, P.; Pellerin, S.; Nesme, T. Comparing crop rotations between organic and conventional farming. Sci. Rep. 2017, 7, 13761. [Google Scholar] [CrossRef] [PubMed]
- Prus, P. The Role of Higher Education in Promoting Sustainable Agriculture. J. East Eur. Manag. Studies Corp. Soc. Responsib. Bus. Ethics Cent. East. Eur. 2019, 99–119. Available online: https://www.nomos-elibrary.de/10.5771/9783845298696/corporate-social-responsibility-and-business-ethics-in-the-central-and-eastern-europe?page=1 (accessed on 10 November 2023).
- Prus, P. Sustainable farming production and its impact on the natural environment-case study based on a selected group of farmers. In Proceedings of the 8th International Scientific Conference Rural Development 2017: Bioeconomy Challenges, Aleksandras Stulginskis University, Kaunas, Lithuania, 23–24 November 2017; Raupeliene, A., Ed.; VDU Research Management System: Kaunas, Lithuania, 2017; pp. 1280–1285. Available online: http://conf.rd.asu.lt/index.php/rd/article/view/554 (accessed on 10 November 2023).
- Deng, J.; Ni, H.; Zhang, Z.; Usman, S.; Yang, X.; Shen, Y.; Li, Y. Designing productive, energy-efficient, and environmentally friendly production systems by replacing fallow period with annual forage cultivation on the Loess Plateau of China. J. Clean. Prod. 2021, 320, 128660. [Google Scholar] [CrossRef]
- Bommarco, R.; Kleijn, D.; Potts, S.G. Ecological intensification: Harnessing ecosystem services for food security. Trends Ecol. Evol. 2013, 28, 230–238. [Google Scholar] [CrossRef]
- Bouatrous, A.; Harbaoui, K.; Karmous, C.; Gargouri, S.; Souissi, A.; Belguesmi, K.; Cheikh Mhamed, H.; Gharbi, M.S.; Annabi, M. Effect of Wheat Monoculture on Durum Wheat Yield under Rainfed Sub-Humid Mediterranean Climate of Tunisia. Agronomy 2022, 12, 1453. [Google Scholar] [CrossRef]
- EU 2020. Biodiversity Strategy for 2030. Available online: https://eur-lex.europa.eu/legal-content/EN/TXT/?qid=1590574123338&uri=CELEX:52020DC0380 (accessed on 7 December 2023).
- Wezel, A.; Casagrande, M.; Celette, F.; Vian, J.F.; Ferrer, A.; Peigne, J. Agroecological practices for sustainable agriculture. A review. Agron. Sust. Dev. 2014, 34, 1–20. [Google Scholar] [CrossRef]
- Wanic, M.; Żuk-Gołaszewska, K.; Orzech, K. Catch crops and the soil environment—A review of the literature. J. Elem. 2019, 24, 31–45. [Google Scholar] [CrossRef]
- Leys, A.; Govers, G.; Gillijns, K.; Berckmoes, E.; Takken, I. Scale effects of runoff and erosion loess from arable land under conservation and conventional tillage: The role of residue cover. J. Hydrol. 2010, 390, 143–154. [Google Scholar] [CrossRef]
- Gruber, S.; Mohring, J.; Claupein, W. On the way towards conservation tillage-soil moisture and mineral nitrogen in a long-term field experiment in Germany. Soil Till Res. 2011, 115–116, 80–87. [Google Scholar] [CrossRef]
- Kumar, K.; Goh, K.M. Crop Residues and Management Practices: Effects on Soil Quality, Soil Nitrogen Dynamics, Crop Yield, and Nitrogen Recovery. Adv. Agron. 1999, 68, 197–319. [Google Scholar] [CrossRef]
- Pranagla, J.; Ligęza, S.; Smal, H. Impact of Effective Microorganisms (EM) Application on the Physical Condition of Haplic Luvisol. Agronomy 2020, 10, 1049. [Google Scholar] [CrossRef]
- Jaskulska, I.; Romaneckas, K.; Jaskulski, D.; Gałęzewski, L.; Breza-Boruta, B.; Dębska, B.; Lemanowicz, J. Soil Properties after Eight Years of the Use of Strip-Till One-Pass Technology. Agronomy 2020, 10, 1596. [Google Scholar] [CrossRef]
- WRB. World Reference Base for Soil Resources 2014. In International Soil Classification System for Naming Soils and Creating Legends for Soil Maps; IUSSWorking Group WRB, World Soil Resources Reports No. 106; FAO: Rome, Italy, 2014. [Google Scholar]
- Gomez, K.A.; Gomez, A.A. Statistical Procedures for Agricultural Research; John Wiley & Sons: Hoboken, NJ, USA, 1984. [Google Scholar]
- Kwiatkowski, C.; Harasim, E.; Wesołowski, M. Effects of Catch Crops and Tillage System on Weed Infestation and Health of Spring Wheat. J. Agric. Sci. Technol. 2016, 18, 999–1012. [Google Scholar]
- Gaweda, D.; Kwiatkowski, C.A. Weed infestation of spring common wheat (Triticum aestivum L.) grown in monoculture depending on the cover crop and weed control method. Acta Agrobot. 2012, 65, 119–126. [Google Scholar] [CrossRef][Green Version]
- Maclaren, C.; Labuschagne, J.; Swanepoel, P.A. Tillage practices affect weeds differently in monoculture vs. crop rotation. Soil Tillage Res. 2021, 205, 104795. [Google Scholar] [CrossRef]
- Mitchell, J.P.; Carter, L.M.; Reicosky, D.C.; Shrestha, A.; Pettygove, G.S.; Klonsky, K.M.; Marcum, D.B.; Chessman, D.; Roy, R.; Hogan, P.; et al. A history of tillage in California’s Central Valley. Soil Tillage Res. 2016, 157, 52–64. [Google Scholar] [CrossRef]
- Giller, K.E.; Andersson, J.A.; Corbeels, M.; Kiregaard, J.; Mortensen, D.; Erenstein, O.; Vanlauwe, B. Beyond conservation agriculture. Front. Plant Sci. 2015, 6, 870. [Google Scholar] [CrossRef] [PubMed]
- Kirkegaard, J.A.; Convers, M.K.; Hunt, J.R.; Kirkby, C.A.; Watt, M.; Rebetzke, G.J. Sense and nonsense in conservation agriculture: Principles, pragmatism and productivity in Australian mixed farming systems. Agric. Ecosyst. Environ. 2014, 187, 133–145. [Google Scholar] [CrossRef]
- Fonteyne, S.; Singh, R.G.; Govaerts, B.; Verhulst, N. Rotation, Mulch and Zero Tillage Reduce Weeds in a Long-Term Conservation Agriculture Trial. Agronomy 2020, 10, 962. [Google Scholar] [CrossRef]
- Lamparski, R.; Kotwica, K. Effect of the use of pro-ecological treatments and previous crop straw on the weed infestation of winter wheat and spring barley cultivated as short-term monoculture. Acta Sci. Pol. Agric. 2020, 19, 201–212. [Google Scholar]
- Janusauskaite, D.; Feiziene, D.; Feiza, V. The effect of tillage, fertilization and residue management on winter wheat and spring wheat physiological performance. Acta Physiol. Plant. 2022, 44, 75. [Google Scholar] [CrossRef]
- Majchrzak, L.; Skrzypczak, G. The influence of tillage system on physical soil properties and yielding of spring wheat. Ann. UMCS Agric. 2010, 65, 1–9. [Google Scholar] [CrossRef]
- He, J.; Shi, Y.; Zhao, J.; Yu, Z. Strip rotary tillage with subsoiling increases winter wheat yield by alleviating leaf senescence and increasing grain filling. Crop J. 2020, 8, 327–340. [Google Scholar] [CrossRef]
- Yadav, K.; Rohitashav, S.; Shukla, D.K.; Kumar, J.; Nayak, P.; Naresh, R.; Gaurav, K.; Mangaraj, A. Effect of different tillage and nutrient management practices on initial population and SPAD value in wheat (Triticum aestivum L.). Pharma Innov. J. 2022, 11, 408–412. [Google Scholar]
- Kraska, P.; Andruszczak, S.; Kwiecińska-Poppe, E.; Pałys, E. The effect of tillage systems and catch crops on the yield, grain quality and health of spring wheat. Acta Sci. Pol. Agric. 2014, 13, 21–38. [Google Scholar]
- Adil, M.; Zhang, S.; Wang, J.; Shah, A.N.; Tanveer, M.; Fiaz, S. Effects of Fallow Management Practices on Soil Water, Crop Yield and Water Use Efficiency in Winter Wheat Monoculture System: A Meta-Analysis. Front. Plant Sci. 2022, 13, 825309. [Google Scholar] [CrossRef] [PubMed]
- Qi, G.; Kang, Y.; Yin, M.; Ma, Y.; Bai, Y.; Wang, J. Yield Responses of Wheat to Crop Residue Returning in China: A Meta-Analysis. Crop Sci. 2019, 59, 2185–2200. [Google Scholar] [CrossRef]
- Pawłowski, L.; Kwiatkowski, C.A.; Harasim, E.; Klikocka-Wiśniewska, O.; Cel, W.; Kujawska, J. Environmental Benefits of Catch Crops Cultivation. Chem.-Didact.-Ecol.-Metrol. 2021, 26, 109–121. [Google Scholar] [CrossRef]
- Kwiatkowski, C.A.; Harasim, E.; Staniak, M. Effect of catch crops and tillage systems on some chemical properties of loess soil in a short-term monoculture of spring wheat. J. Elem. 2020, 25, 35–43. [Google Scholar] [CrossRef]
- Yu, Q.; Li, L.; Luo, Q.; Eamusa, D.; Chen, C.; Xu, S.; Wang, E.; Liu, J.; Nielsena, D.C. Year Patterns of Climate Impact on Wheat Yields. Int. J. Clim. 2014, 34, 518–528. [Google Scholar] [CrossRef]
- Jaskulska, I.; Jaskulski, D.; Różniak, M.; Radziemska, M.; Gałęzewski, L. Zonal Tillage as Innovative Element of the Technology of Growing Winter Wheat: A Field Experiment under Low Rainfall Conditions. Agriculture 2020, 10, 105. [Google Scholar] [CrossRef]
Disclaimer/Publisher’s Note: The statements, opinions and data contained in all publications are solely those of the individual author(s) and contributor(s) and not of MDPI and/or the editor(s). MDPI and/or the editor(s) disclaim responsibility for any injury to people or property resulting from any ideas, methods, instructions or products referred to in the content. |
© 2024 by the authors. Licensee MDPI, Basel, Switzerland. This article is an open access article distributed under the terms and conditions of the Creative Commons Attribution (CC BY) license (https://creativecommons.org/licenses/by/4.0/).






