Agronomic Performances and Seed Yield Components of Lentil (Lens culinaris Medikus) Germplasm in a Semi-Arid Environment
Abstract
1. Introduction
2. Materials and Methods
2.1. Plant Materials
2.2. Study Location
2.3. Experimental Design and Crop Management
2.4. Bio-Agronomic Data Collection
2.5. Statistical Analysis
3. Results and Discussion
3.1. Climatic Data
3.2. Bio-Agronomic Behavior
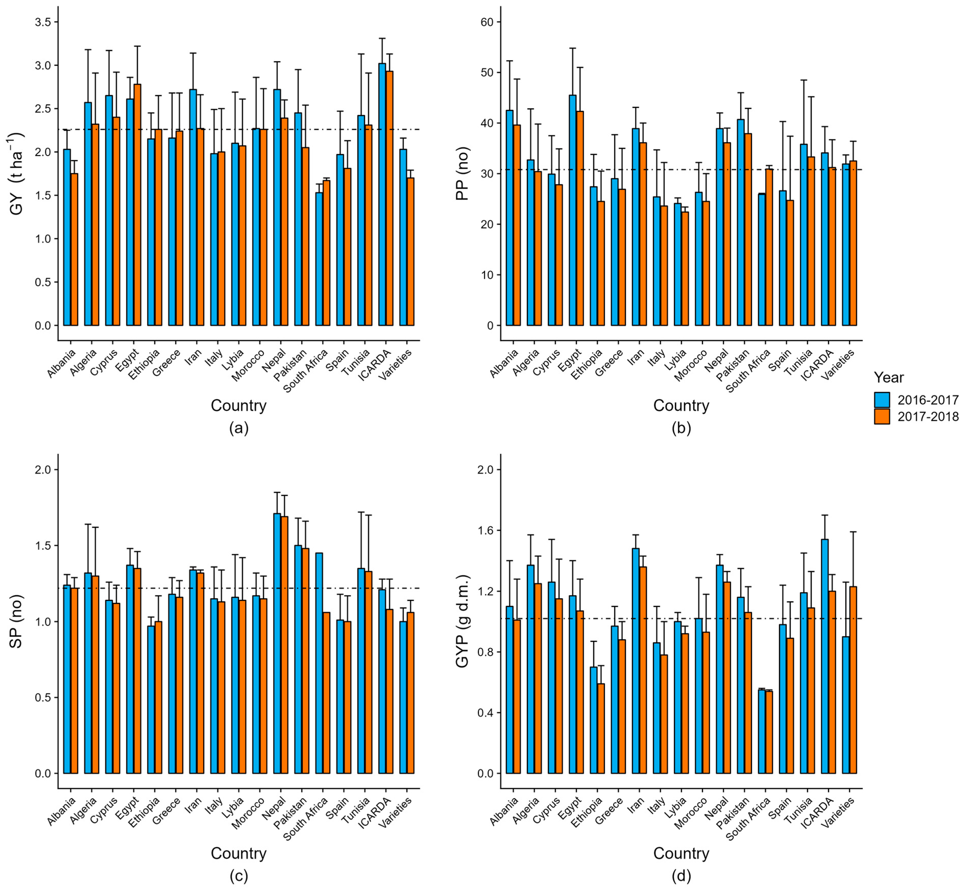
3.3. The Bio-Agronomic Behaviour of Accessions from Different Countries
3.4. Bio-Agronomic Behaviour of Micro and Macro Types
3.5. Multivariate Analysis for Whole Collection and for the Two Subspecies Micro and Macro
4. Conclusions
Supplementary Materials
Author Contributions
Funding
Data Availability Statement
Acknowledgments
Conflicts of Interest
References
- Sonnante, G.; Hammer, K.; Pignone, D. From the Cradle of Agriculture a Handful of Lentils: History of Domestication. Rend. Fis. Acc. Lincei 2009, 20, 21–37. [Google Scholar] [CrossRef]
- Zohary, D. Monophyletic vs. Polyphyletic Origin of the Crops on Which Agriculture Was Founded in the Near East. Genet. Resour. Crop Evol. 1999, 46, 133–142. [Google Scholar] [CrossRef]
- FAOSTAT, 2021. Available online: https://www.Fao.Org/Faostat/En/#data/QCL (accessed on 25 November 2023).
- ISTAT, 2023. Available online: https://www.Istat.It/ (accessed on 5 September 2023).
- Barulina, O. Lentil of USSR and of Other Countries. Bull. Appl. Bot. Genet. Pl. Breed. 1930, 40, 1–319. [Google Scholar]
- Nleya, T.; Vandenberg, A.; Walley, F.L. LENTIL|Agronomy. In Encyclopedia of Grain Science; Wrigley, C., Ed.; Elsevier: Oxford, UK, 2004; pp. 150–157. ISBN 978-0-12-765490-4. [Google Scholar]
- Kaale, L.D.; Siddiq, M.; Hooper, S. Lentil (Lens culinaris Medik) as Nutrient-Rich and Versatile Food Legume: A Review. Legume Sci. 2023, 5, e169. [Google Scholar] [CrossRef]
- Ominski, K.; McAllister, T.; Stanford, K.; Mengistu, G.; Kebebe, E.G.; Omonijo, F.; Cordeiro, M.; Legesse, G.; Wittenberg, K. Utilization of By-Products and Food Waste in Livestock Production Systems: A Canadian Perspective. Anim. Front. 2021, 11, 55–63. [Google Scholar] [CrossRef] [PubMed]
- Dhull, S.B.; Kinabo, J.; Uebersax, M.A. Nutrient Profile and Effect of Processing Methods on the Composition and Functional Properties of Lentils (Lens culinaris Medik): A Review. Legume Sci. 2023, 5, e156. [Google Scholar] [CrossRef]
- Ganesan, K.; Xu, B. Polyphenol-Rich Lentils and Their Health Promoting Effects. Int. J. Mol. Sci. 2017, 18, 2390. [Google Scholar] [CrossRef] [PubMed]
- Khazaei, H.; Subedi, M.; Nickerson, M.; Martínez-Villaluenga, C.; Frias, J.; Vandenberg, A. Seed Protein of Lentils: Current Status, Progress, and Food Applications. Foods 2019, 8, 391. [Google Scholar] [CrossRef]
- Chen, C.; Etemadi, F.; Franck, W.; Franck, S.; Abdelhamid, M.T.; Ahmadi, J.; Mohammed, Y.A.; Lamb, P.; Miller, J.; Carr, P.M.; et al. Evaluation of Environment and Cultivar Impact on Lentil Protein, Starch, Mineral Nutrients, and Yield. Crop Sci. 2022, 62, 893–905. [Google Scholar] [CrossRef]
- Karaköy, T.; Erdem, H.; Baloch, F.S.; Toklu, F.; Eker, S.; Kilian, B.; Özkan, H. Diversity of Macro- and Micronutrients in the Seeds of Lentil Landraces. Sci. World J. 2012, 2012, 710412. [Google Scholar] [CrossRef]
- Siva, N.; Thavarajah, D.; Johnson, C.R.; Duckett, S.; Jesch, E.D.; Thavarajah, P. Can Lentil (Lens culinaris Medikus) Reduce the Risk of Obesity? J. Funct. Foods 2017, 38, 706–715. [Google Scholar] [CrossRef]
- Grdeń, P.; Jakubczyk, A. Health Benefits of Legume Seeds. J. Sci. Food Agric. 2023, 103, 5213–5220. [Google Scholar] [CrossRef]
- Padhi, E.M.T.; Ramdath, D.D. A Review of the Relationship between Pulse Consumption and Reduction of Cardiovascular Disease Risk Factors. J. Funct. Foods 2017, 38, 635–643. [Google Scholar] [CrossRef]
- Patterson, C.A.; Curran, J.; Der, T. Effect of Processing on Antinutrient Compounds in Pulses. Cereal Chem. 2017, 94, 2–10. [Google Scholar] [CrossRef]
- Wang, W.; Li, Q.; Wu, J.; Hu, Y.; Wu, G.; Yu, C.; Xu, K.; Liu, X.; Wang, Q.; Huang, W.; et al. Lentil Lectin Derived from Lens culinaris Exhibit Broad Antiviral Activities against SARS-CoV-2 Variants. Emerg. Microbes Infect. 2021, 10, 1519–1529. [Google Scholar] [CrossRef]
- Monti, M.; Preiti, G.; Di Prima, G.; Perrino, P. Valutazione Di Germoplasma Di Lenticchia: Analisi Della Variabilità Dei Caratteri Morfobiologici Ed Agronomici. In Proceedings of the 5° Convegno Biodiversità, Caserta, Italy, 10 September 1999; pp. 550–555. [Google Scholar]
- Gan, Y.; Hamel, C.; Kutcher, H.R.; Poppy, L. Lentil Enhances Agroecosystem Productivity with Increased Residual Soil Water and Nitrogen. Renew. Agric. Food Syst. 2017, 32, 319–330. [Google Scholar] [CrossRef]
- Blanco-Canqui, H.; Holman, J.D.; Schlegel, A.J.; Tatarko, J.; Shaver, T.M. Replacing Fallow with Cover Crops in a Semiarid Soil: Effects on Soil Properties. Soil Sci. Soc. Am. J. 2013, 77, 1026–1034. [Google Scholar] [CrossRef]
- Mukherjee, B.; Kumar Naskar, M.; Nath, R.; Atta, K.; Visha Kumari, V.; Banerjee, P.; Alamri, S.; Patra, K.; Laing, A.M.; Skalicky, M.; et al. Growth, Nodulation, Yield, Nitrogen Uptake, and Economics of Lentil as Influenced by Sowing Time, Tillage, and Management Practices. Front. Sustain. Food Syst. 2023, 7, 1151111. [Google Scholar] [CrossRef]
- Mesfin, S.; Gebresamuel, G.; Haile, M.; Zenebe, A. Potentials of Legumes Rotation on Yield and Nitrogen Uptake of Subsequent Wheat Crop in Northern Ethiopia. Heliyon 2023, 9, e16126. [Google Scholar] [CrossRef] [PubMed]
- Liu, K.; Bandara, M.; Hamel, C.; Knight, J.D.; Gan, Y. Intensifying Crop Rotations with Pulse Crops Enhances System Productivity and Soil Organic Carbon in Semi-Arid Environments. Field Crops Res. 2020, 248, 107657. [Google Scholar] [CrossRef]
- Roy, A.; Sarkar, A.; Roy, S.K.; Debnath, M.K. Genetic Variability and Character Association Study for Yield and Attributing Traits in Lentil (Lens culinaris Medikus.) under Terai Agro-Climatic Conditions of West Bengal. Int. J. Plant Soil Sci. 2022, 34, 714–721. [Google Scholar] [CrossRef]
- Baird, J.M.; Shirtliffe, S.J.; Walley, F.L. Optimal Seeding Rate for Organic Production of Lentil in the Northern Great Plains. Can. J. Plant Sci. 2009, 89, 1089–1097. [Google Scholar] [CrossRef]
- Silim, S.N.; Saxena, M.C.; Erskine, W. Seeding Density and Row Spacing for Lentil in Rainfed Mediterranean Environments. Agron. J. 1990, 82, 927–930. [Google Scholar] [CrossRef]
- Takele, E.; Mekbib, F.; Mekonnen, F. Genetic Variability and Characters Association for Yield, Yield Attributing Traits and Protein Content of Lentil (Lens culinaris Medikus) Genotype in Ethiopia. CABI Agric. Biosci. 2022, 3, 9. [Google Scholar] [CrossRef]
- Tan, J.; Wu, L.; Peacock, J.; Dennis, E.S. Capturing Hybrid Vigor for Lentil Breeding. Crop Sci. 2022, 62, 1787–1796. [Google Scholar] [CrossRef]
- Roy, A.; Sahu, P.K.; Das, C.; Bhattacharyya, S.; Raina, A.; Mondal, S. Conventional and New-Breeding Technologies for Improving Disease Resistance in Lentil (Lens culinaris Medik). Front. Plant Sci. 2023, 13, 1001682. [Google Scholar] [CrossRef]
- Aktar-Uz-Zaman, M.; Haque, M.A.; Sarker, A.; Alam, M.A.; Rohman, M.M.; Ali, M.O.; Alkhateeb, M.A.; Gaber, A.; Hossain, A. Selection of Lentil (Lens culinaris (Medik.)) Genotypes Suitable for High-Temperature Conditions Based on Stress Tolerance Indices and Principal Component Analysis. Life 2022, 12, 1719. [Google Scholar] [CrossRef]
- Ayaz, S.; McKENZIE, B.A.; Hill, G.D.; McNEIL, D.L. Variability in Yield of Four Grain Legume Species in a Subhumid Temperate Environment. II. Yield Components. J. Agric. Sci. 2004, 142, 21–28. [Google Scholar] [CrossRef]
- Güler, M.; Sait Adak, M.; Ulukan, H. Determining Relationships among Yield and Some Yield Components Using Path Coefficient Analysis in Chickpea (Cicer arietinum L.). Eur. J. Agron. 2001, 14, 161–166. [Google Scholar] [CrossRef]
- Cardoso, F.R.; de Brasileiro, L.O.; Ragassi, C.F.; de Carvalho, A.D.; da Silva, P.P.; Vieira, J.V.; Nascimento, W.M. Morpho-Agronomic Characterization and Genetic Divergence in Lentil Genotypes. Hortic. Bras. 2021, 39, 169–177. [Google Scholar] [CrossRef]
- Panuccio, M.R.; Romeo, F.; Marra, F.; Mallamaci, C.; Hussain, M.I.; Muscolo, A. Salinity Tolerance of Lentil Is Achieved by Enhanced Proline Accumulation, Lower Level of Sodium Uptake and Modulation of Photosynthetic Traits. J. Agron. Crop Sci. 2022, 208, 40–52. [Google Scholar] [CrossRef]
- Bacchi, M.; Leone, M.; Mercati, F.; Preiti, G.; Sunseri, F.; Monti, M. Agronomic Evaluation and Genetic Characterization of Different Accessions in Lentil (Lens culinaris Medik.). Ital. J. Agron. 2010, 5, 303. [Google Scholar] [CrossRef]
- Di Prima, G.; Monti, M.; Preiti, G.; Laghetti, G.; Piergiovanni, A.R. Caratterizzazione Agronomica e Qualitativa Di Germoplasma Di Lenticchia (Lens culinaris Medik). Risultati Preliminari. In Atti del 3° Convegno Nazionale sulla Biodiversità; Laruffa Editore: Reggio Calabria, Italy, 1997; Volume 3, pp. 271–277. [Google Scholar]
- Anastasi, U.; Bacchi, M.; Monti, M.; Preiti, G. Valutazione Di Una Collezione Di Germoplasma Di Lenticchia (Lens culinaris Medik.) per La Valorizzazione Dei Sistemi Colturali Delle Aree Mediterranee. In Proceedings of the XXXVII Convegno Annuale SIA “Il Contributo Della Ricerca Agronomica All’innovazione Dei Sistemi Colturali Mediterranei”, Catania, Italy, 14 September 2007. [Google Scholar]
- Bremner, J.M.; Mulvaney, C.S. Nitrogen-Total. In Methods of Soil Analysis. Part 2. Chemical and Microbiological Properties; Page, A.L., Miller, R.H., Keeney, D.R., Eds.; American Society of Agronomy, Soil Science Society of America: Madison, WI, USA, 1982; pp. 595–624. [Google Scholar]
- Olsen, S.R.; Cole, C.V.; Watanabe, F.S.; Dean, L.A. Estimation of Available Phosphorus in Soils by Extraction with Sodium Bicarbonate; No. 939; United States Department of Agriculture: Circular, Australia, 1945.
- Preiti, G. Caratteristiche Qualitative e Risposta Bio-Agronomica in Lenticchia (Lens culinaris Medik.) Caratterizzazione e Valutazione Di Germoplasma Italiano e Di Genotipi Di Provenienza Estera. Ph.D. Thesis, Biblioteche nazionali di Roma e Firenze, Rome, Italy, 1996. [Google Scholar]
- AOAC. Official Methods of Analysis, 11th ed.; Association of Official Agricultural Chemists: Washington, DC, USA, 1970. [Google Scholar]
- Posit Team. RStudio: Integrated Development Environment for R. Posit Software; PBC: Boston, MA, USA, 2023; Available online: Http://www.Posit.Co/ (accessed on 24 January 2024).
- de Mendiburu, F.; Yaseen, M. Agricolae: Statistical Procedures for Agricultural Research; R Package Version 1.3-5; 2020. Available online: https://myaseen208.github.io/agricolae/https://cran.r-project.org/package=agricolae (accessed on 15 December 2023).
- R Core Team. R: A Language and Environment for Statistical Computing; R Foundation for Statistical Computing: Vienna, Austria, 2021; Available online: https://www.R-Project.Org/ (accessed on 24 January 2024).
- Kassambara, A. Ggcorrplot: Visualization of a Correlation Matrix Using “Ggplot2”. R Package Version 0.1.3. 2019. Available online: https://CRAN.R-Project.Org/Package=ggcorrplot (accessed on 20 January 2024).
- Wickham, H. Ggplot2: Elegant Graphics for Data Analysis; Springer-Verlag: New York, NY, USA, 2016; ISBN 978-3-319-24277-4. [Google Scholar]
- Le, S.; Josse, J.; Husson, F. {FactoMineR}: A Package for Multivariate Analysis. J. Stat. Softw. 2008, 25, 1–18. [Google Scholar] [CrossRef]
- Kassambara, A.; Mundt, F. Factoextra: Extract and Visualize the Results of Multivariate Data Analyses. R Package Version 1.0.7. 2020. Available online: https://CRAN.R-Project.Org/Package=factoextra (accessed on 20 January 2024).
- Wickham, H.; François, R.; Henry, L.; Müller, K.; Vaughan, D. Dplyr: A Grammar of Data Manipulation. R Package Version 1.1.2. 2023. Available online: https://CRAN.R-Project.Org/Package=dplyr (accessed on 21 January 2024).
- Wilke, C.O. Cowplot: Streamlined Plot Theme and Plot Annotations for “Ggplot2”. R Package Version 1.1.1. 2020. Available online: https://CRAN.R-Project.Org/Package=cowplot (accessed on 21 January 2024).
- Pedersen, T.L. Ggforce: Accelerating “Ggplot2”. R Package Version 0.3.3. 2021. Available online: https://CRAN.R-Project.Org/Package=ggforce (accessed on 20 January 2024).
- Pedersen, T.L. Patchwork: The Composer of Plots. R Package Version 1.1.1. 2020. Available online: https://CRAN.R-Project.Org/Package=patchwork (accessed on 20 January 2024).
- Tullu, A.; Kusmenoglu, I.; Muehlbauer, M.; Muehlbauer, F.J. Characterization of Core Collection of Lentil Germplasm for Phenology, Morphology, Seed and Straw Yields. Genet. Resour. Crop Evol. 2001, 48, 143–152. [Google Scholar] [CrossRef]
- Shavrukov, Y.; Kurishbayev, A.; Jatayev, S.; Shvidchenko, V.; Zotova, L.; Koekemoer, F.; De Groot, S.; Soole, K.; Langridge, P. Early Flowering as a Drought Escape Mechanism in Plants: How Can It Aid Wheat Production? Front. Plant Sci. 2017, 8, 1950. [Google Scholar] [CrossRef]
- Serraj, R.; Bidinger, F.R.; Chauhan, Y.S.; Seetharama, N.; Nigam, S.N.; Saxena, N.P. Management of Drought in ICRISAT Cereal and Legume Mandate Crops. In Water Productivity in Agriculture: Limits and Opportunities for Improvement; Kijne, J.W., Barker, R., Molden, D., Eds.; CABI Publishing: Wallingford, UK, 2003; pp. 127–144. ISBN 978-0-85199-669-1. [Google Scholar]
- Allahmoradi, P.; Mansourifar, C.; Saiedi, M. Effect of Different Water Deficiency Levels on Some Antioxidants at Different Growth Stages of Lentil (Lens culinaris L.). Adv. Environ. Biol. 2013, 7, 535–543. [Google Scholar]
- Shrestha, R.; Turner, N.C.; Siddique, K.H.M.; Turner, D.W.; Speijers, J. A Water Deficit during Pod Development in Lentils Reduces Flower and Pod Numbers but Not Seed Size. Aust. J. Agric. Res. 2006, 57, 427. [Google Scholar] [CrossRef]
- Choukri, H.; Hejjaoui, K.; El-Baouchi, A.; El haddad, N.; Smouni, A.; Maalouf, F.; Thavarajah, D.; Kumar, S. Heat and Drought Stress Impact on Phenology, Grain Yield, and Nutritional Quality of Lentil (Lens culinaris Medikus). Front. Nutr. 2020, 7, 596307. [Google Scholar] [CrossRef] [PubMed]
- Choukri, H.; El Haddad, N.; Aloui, K.; Hejjaoui, K.; El-Baouchi, A.; Smouni, A.; Thavarajah, D.; Maalouf, F.; Kumar, S. Effect of High Temperature Stress During the Reproductive Stage on Grain Yield and Nutritional Quality of Lentil (Lens culinaris Medikus). Front. Nutr. 2022, 9, 857469. [Google Scholar] [CrossRef] [PubMed]
- Sehgal, A.; Sita, K.; Kumar, J.; Kumar, S.; Singh, S.; Siddique, K.; Nayyar, H. Effects of Drought, Heat and Their Interaction on the Growth, Yield and Photosynthetic Function of Lentil (Lens culinaris Medikus) Genotypes Varying in Heat and Drought Sensitivity. Front. Plant Sci. 2017, 8, 1776. [Google Scholar] [CrossRef] [PubMed]
- Siddiqui, M.H.; Al-Khaishany, M.Y.; Al-Qutami, M.A.; Al-Whaibi, M.H.; Grover, A.; Ali, H.M.; Al-Wahibi, M.S. Morphological and Physiological Characterization of Different Genotypes of Faba Bean under Heat Stress. Saudi J. Biol. Sci. 2015, 22, 656–663. [Google Scholar] [CrossRef] [PubMed]
- Awasthi, R.; Kaushal, N.; Vadez, V.; Turner, N.C.; Berger, J.; Siddique, K.H.M.; Nayyar, H. Individual and Combined Effects of Transient Drought and Heat Stress on Carbon Assimilation and Seed Filling in Chickpea. Funct. Plant Biol. 2014, 41, 1148. [Google Scholar] [CrossRef] [PubMed]
- Seidel, S.J.; Rachmilevitch, S.; Schütze, N.; Lazarovitch, N. Modelling the Impact of Drought and Heat Stress on Common Bean with Two Different Photosynthesis Model Approaches. Environ. Model. Softw. 2016, 81, 111–121. [Google Scholar] [CrossRef]
- Suárez, J.C.; Urban, M.O.; Contreras, A.T.; Noriega, J.E.; Deva, C.; Beebe, S.E.; Polanía, J.A.; Casanoves, F.; Rao, I.M. Water Use, Leaf Cooling and Carbon Assimilation Efficiency of Heat Resistant Common Beans Evaluated in Western Amazonia. Front. Plant Sci. 2021, 12, 644010. [Google Scholar] [CrossRef] [PubMed]
- Pavan, S.; Bardaro, N.; Fanelli, V.; Marcotrigiano, A.R.; Mangini, G.; Taranto, F.; Catalano, D.; Montemurro, C.; De Giovanni, C.; Lotti, C.; et al. Genotyping by Sequencing of Cultivated Lentil (Lens Culinaris Medik.) Highlights Population Structure in the Mediterranean Gene Pool Associated With Geographic Patterns and Phenotypic Variables. Front. Genet. 2019, 10, 872. [Google Scholar] [CrossRef] [PubMed]
- Cristóbal, M.D.; Pando, V.; Herrero, B. Morphological Characterization of Lentil (Lens culinaris Medik.) Landraces from Castilla Y León, Spain. Pak. J. Bot. 2014, 46, 1373–1380. [Google Scholar]
- Yoseph, T.; Gashaw, G.; Shiferaw, W.; Simon, T.; Mekonnen, E. Evaluation of Common Bean [Phaseolus vulgaris (L.)] Varieties, for Yield and Yield Components. J. Biol. 2014, 4, 23–24. [Google Scholar]
- Salehi, M.; Haghnazari, A.; Shekari, F.; Faramarzi, A. The Study of Seed Yield and Seed Yield Components of Lentil (Lens culinaris Medik) under Normal and Drought Stress Conditions. Pak. J. Biol. Sci. 2008, 11, 758–762. [Google Scholar] [CrossRef]
- Karadavut, U. Path Analysis for Yield and Yield Components in Lentil (Lens culinaris Medik.). Turk. J. Field Crops 2009, 14, 97–104. [Google Scholar]
- Dehghani, H.; Sabaghpour, S.H.; Sabaghnia, N. Genotype × Environment Interaction for Grain Yield of Some Lentil Genotypes and Relationship among Univariate Stability Statistics. Span J. Agric. Res. 2008, 6, 385. [Google Scholar] [CrossRef]
- Idrissi, O.; Piergiovanni, A.R.; Toklu, F.; Houasli, C.; Udupa, S.M.; De Keyser, E.; Van Damme, P.; De Riek, J. Molecular Variance and Population Structure of Lentil (Lens culinaris Medik.) Landraces from Mediterranean Countries as Revealed by Simple Sequence Repeat DNA Markers: Implications for Conservation and Use. Plant Genet. Resour. 2018, 16, 249–259. [Google Scholar] [CrossRef]
- Ruisi, P.; Longo, M.; Martinelli, F.; Di Miceli, G.; Frenda, A.S.; Saia, S.; Carimi, F.; Giambalvo, D.; Amato, G. Morpho-Agronomic and Genetic Diversity among Twelve Sicilian Agro-Ecotypes of Lentil (Lens culinaris). J. Anim. Plant Sci. 2015, 25, 716–728. [Google Scholar]
- Egli, D.B. Seed Biology and Yield of Grain Crops, 2nd ed.; CABI: Wallingford, OX, USA; CAB International: Wallingford, UK, 2017; ISBN 9781780647708. [Google Scholar]
- Preiti, G.; Pellicanò, A.; Anastasi, U.; Monti, M. Sowing Time and Genotipe Effects on Bio-Agronomic Behaviour of lentil in Mediterranean Environment. Ital. J. Agron. 2009, 4, 729–735. [Google Scholar]
- Sonnante, G.; Pignone, D. Assessment of Genetic Variation in a Collection of Lentil Using Molecular Tools. Euphytica 2001, 120, 301–307. [Google Scholar] [CrossRef]
- Sellami, M.H.; Pulvento, C.; Lavini, A. Selection of Suitable Genotypes of Lentil (Lens culinaris Medik.) under Rainfed Conditions in South Italy Using Multi-Trait Stability Index (MTSI). Agronomy 2021, 11, 1807. [Google Scholar] [CrossRef]





| Origin 1 | Subspecies | Total | |
|---|---|---|---|
| Small | Large | ||
| Italy (It) | 16 | 8 | 24 |
| Tunisia (Tu) | 7 | 6 | 13 |
| Algeria (Al) | 4 | 6 | 10 |
| Cyprus (Cy) | 4 | 6 | 10 |
| Egypt ((Eg) | 10 | 0 | 10 |
| Morocco (Mo) | 4 | 6 | 10 |
| Pakistan (Pa) | 10 | 0 | 10 |
| Ethiopia (Et) | 9 | 0 | 9 |
| Spain (Sp) | 2 | 4 | 6 |
| Greece (Gr) | 3 | 1 | 4 |
| Albania (Ab) | 3 | 0 | 3 |
| Libya (Li) | 2 | 1 | 3 |
| Iran (Ir) | 2 | 0 | 2 |
| Nepal (Ne) | 2 | 0 | 2 |
| South Africa (SA) | 1 | 0 | 1 |
| ICARDA genotypes 2 | 2 | 0 | 2 |
| Varieties 3 | 1 | 1 | 2 |
| Total | 82 | 39 | 121 |
| Source of Variation | Degree of Freedom | Sum of Squares | Mean Squares | “F” | |
|---|---|---|---|---|---|
| Replication | R − 1 | 1 | SSr | MSr | |
| Block within replication | r(k − 1) | 20 | SSb | MSb | MSb/MSe |
| Treatment | k2 − 1 | 120 | SSt | MSt | MSt/MSe |
| Residual | (rk − k − 1) (k − 1) | 100 | SSe | MSe | |
| Total | rk2 − 1 | 241 | |||
| Month | Total Monthly Rainfall (mm) | Temperature Maximum (°C) | Temperature Minimum (°C) | ||||||
|---|---|---|---|---|---|---|---|---|---|
| 2016/2017 | 2017/2018 | 1997/2016 | 2016/2017 | 2017/2018 | 1997/2016 | 2016/2017 | 2017/2018 | 1997/2016 | |
| October | 35.2 | 23.6 | 91.8 | 24.7 | 23.4 | 22.9 | 18.8 | 17.5 | 16.2 |
| November | 80.4 | 129.2 | 86.3 | 20.6 | 18.7 | 18.1 | 15.1 | 13.3 | 12.3 |
| December | 27.0 | 56.4 | 88.5 | 16.1 | 15.1 | 14.3 | 11.3 | 10.0 | 9.4 |
| January | 105.0 | 40.6 | 84.6 | 12.8 | 16.3 | 13.1 | 7.7 | 11.4 | 7.1 |
| February | 44.0 | 138.0 | 56.4 | 16.3 | 14.2 | 13.3 | 10.7 | 8.9 | 6.7 |
| March | 28.4 | 77.8 | 59.8 | 17.4 | 18.3 | 16.6 | 11.8 | 11.8 | 8.2 |
| April | 10.0 | 3.4 | 40.0 | 19.9 | 21.5 | 18.3 | 13.2 | 14.5 | 10.0 |
| May | 92.6 | 11.0 | 21.7 | 23.8 | 23.9 | 23.3 | 16.9 | 17.2 | 14.5 |
| June | 6.2 | 129.2 | 6.3 | 28.9 | 27.1 | 28.1 | 21.7 | 20.6 | 18.9 |
| 2016/2017 | |||||||||||||
| Source | DF | NP | GY | BY | DASF | DASM | PH | ||||||
| MS | F | MS | F | MS | F | MS | F | MS | F | MS | F | ||
| Replication | 1 | 158.74 | ns | 0.035 | ns | 1.901 | * | 1.491 | ns | 155.5 | * | 12.5 | * |
| Block | 20 | 73.27 | * | 0.016 | ns | 0.205 | ns | 3.042 | ns | 20.02 | * | 4.94 | * |
| Accession | 120 | 88.00 | ** | 0.634 | *** | 1.106 | *** | 80.05 | *** | 110.01 | *** | 52.90 | *** |
| Residual | 100 | 42.32 | 0.019 | 0.142 | 2.18 | 11.30 | 2.44 | ||||||
| Mean—CV | 187.9—3.46 | 2.31—5.94 | 6.91—5.44 | 118.9—1.241 | 174.4—1.93 | 43.9—3.56 | |||||||
| Source | GL | FPH | PP | SP | GYP | TSW | GP | ||||||
| MS | F | MS | F | MS | F | MS | F | MS | F | MS | F | ||
| Replication | 1 | 5.355 | * | 16.06 | ** | 0.002 | ns | 0.021 | ** | 0.102 | ns | 1.083 | * |
| Block | 20 | 2.156 | * | 1.991 | ns | 0.001 | ns | 0.003 | ns | 0.059 | * | 0.152 | ns |
| Accession | 120 | 22.894 | *** | 236.8 | *** | 0.132 | *** | 0.188 | *** | 4.001 | *** | 3.697 | *** |
| Residual | 100 | 1.063 | 1.431 | 0.001 | 0.002 | 0.0295 | 0.154 | ||||||
| Mean—CV | 28.9—3.57 | 31.9—3.75 | 1.23—1.66 | 1.06—3.72 | 37.5—4.58 | 27.7—1.38 | |||||||
| 2017/2018 | |||||||||||||
| Source | DF | NP | GY | BY | DASF | DASM | PH | ||||||
| MS | F | MS | F | MS | F | MS | F | MS | F | MS | F | ||
| Replication | 1 | 54.65 | ns | 0.235 | ns | 0.353 | ns | 23.87 | * | 3.719 | ns | 1.981 | ns |
| Block | 20 | 35.92 | * | 0.085 | ns | 0.184 | ns | 2.54 | ns | 12.21 | * | 2.497 | ns |
| Accession | 120 | 128.42 | *** | 0.522 | *** | 1.575 | *** | 90.98 | *** | 36.22 | *** | 70.84 | *** |
| Residual | 100 | 15.25 | 0.053 | 0.124 | 2.44 | 4.960 | 1.586 | ||||||
| Mean—CV | 186.7—2.09 | 2.22—7.64 | 6.57—4.98 | 116.2—1.35 | 176.8—1.26 | 42.6—2.96 | |||||||
| Source | GL | FPH | PP | SP | GYP | TSW | GP | ||||||
| MS | F | MS | F | MS | F | MS | F | MS | F | MS | F | ||
| Replication | 1 | 1.309 | ns | 18.583 | * | 0.001 | ns | 0.018 | * | 0.179 | ns | 1.118 | * |
| Block | 20 | 1.157 | * | 1.838 | *** | 0.001 | ns | 0.002 | ns | 0.043 | ns | 0.153 | ns |
| Accession | 120 | 72.84 | *** | 206.20 | ns | 0.134 | *** | 0.159 | *** | 4.336 | *** | 3.730 | *** |
| Residual | 100 | 0.809 | 1.717 | 0.001 | 0.001 | 0.021 | 0.156 | ||||||
| Mean—CV | 28.8—3.15 | 29.7—4.41 | 1.21—1.69 | 0.98—3.72 | 36.3—4.01 | 27.9—1.41 | |||||||
| Origin | AC | ssp | NP (no m−2) | GY 1 (t ha−1) | BY (t ha−1) | DASF (dd) | DASM (dd) | PH (cm) | FPH (cm) | PP (no) | SP (no) | GYP (g d.m.) | TSW (g) | GP (g d.m.) |
|---|---|---|---|---|---|---|---|---|---|---|---|---|---|---|
| Algeria | 106365 | S | 197 | 3.50 | 8.07 | 112 | 169 | 39.3 | 24.3 | 36.0 | 1.79 | 1.54 | 26.1 | 27.9 |
| Tunisia | 106692 | S | 196 | 3.48 | 7.26 | 111 | 170 | 36.0 | 22.4 | 61.1 | 1.75 | 1.72 | 21.2 | 27.4 |
| Italy | 116218 | S | 196 | 3.23 | 8.26 | 113 | 174 | 47.4 | 28.1 | 25.8 | 1.66 | 1.22 | 28.7 | 28.3 |
| Tunisia | 106748 | S | 197 | 3.19 | 6.93 | 112 | 170 | 37.1 | 23.0 | 47.1 | 1.78 | 1.39 | 20.8 | 28.3 |
| Tunisia | 106682 | S | 192 | 3.18 | 7.00 | 112 | 171 | 35.5 | 22.3 | 48.2 | 1.78 | 1.42 | 20.4 | 28.5 |
| Pakistan | 107386 | S | 198 | 3.16 | 7.23 | 112 | 171 | 38.5 | 24.5 | 44.8 | 1.83 | 1.30 | 20.6 | 29.0 |
| Algeria | 107516 | S | 194 | 3.15 | 6.70 | 111 | 170 | 39.1 | 26.2 | 49.6 | 1.66 | 1.44 | 22.5 | 30.1 |
| Cyprus | 112375 | S | 192 | 3.11 | 8.00 | 113 | 173 | 44.5 | 28.7 | 37.1 | 1.10 | 1.60 | 42.4 | 28.4 |
| Tunisia | 106746 | S | 197 | 3.07 | 6.94 | 112 | 170 | 36.9 | 22.0 | 32.6 | 1.79 | 1.13 | 20.8 | 28.3 |
| Egypt | 111820 | S | 197 | 2.99 | 7.53 | 112 | 171 | 47.1 | 28.5 | 48.3 | 1.56 | 1.44 | 25.4 | 29.0 |
| Italy | 116221 | S | 193 | 2.97 | 7.65 | 112 | 170 | 47.5 | 28.8 | 33.2 | 1.30 | 0.97 | 25.7 | 28.6 |
| Egypt | 111819 | S | 198 | 2.97 | 7.46 | 112 | 171 | 44.8 | 28.1 | 51.7 | 1.41 | 1.45 | 24.6 | 29.7 |
| Greece | 107585 | S | 189 | 2.92 | 7.45 | 113 | 176 | 44.5 | 29.3 | 26.4 | 1.06 | 0.96 | 39.2 | 26.5 |
| Morocco | 112163 | S | 198 | 2.87 | 7.79 | 112 | 176 | 45.7 | 31.7 | 27.2 | 0.98 | 1.06 | 39.9 | 26.1 |
| Egypt | 110830 | S | 194 | 2.81 | 7.15 | 112 | 170 | 40.7 | 26.8 | 39.4 | 1.27 | 1.02 | 25.6 | 26.9 |
| Italy | 116222 | S | 195 | 2.73 | 7.19 | 112 | 173 | 37.7 | 22.8 | 24.4 | 1.40 | 1.01 | 24.3 | 30.3 |
| ICARDA | ILL 7202 | S | 198 | 3.09 | 7.12 | 112 | 174 | 40.2 | 25.4 | 36.3 | 1.20 | 1.48 | 39.8 | 30.0 |
| ICARDA | ILL 7535 | S | 192 | 2.86 | 6.45 | 112 | 177 | 41.0 | 25.6 | 29.0 | 1.09 | 1.26 | 38.4 | 30.2 |
| USA | Eston | S | 188 | 1.79 | 6.24 | 125 | 185 | 44.1 | 24.3 | 34.5 | 1.10 | 1.06 | 30.3 | 29.2 |
| Cyprus | 112366 | L | 192 | 2.96 | 7.63 | 113 | 175 | 44.6 | 28.9 | 27.2 | 1.11 | 1.43 | 50.9 | 27.9 |
| Morocco | 112114 | L | 192 | 2.96 | 7.52 | 112 | 175 | 44.9 | 29.0 | 28.1 | 1.30 | 1.23 | 40.3 | 28.1 |
| Morocco | 112112 | L | 190 | 2.82 | 7.13 | 113 | 174 | 44.4 | 28.0 | 28.9 | 1.09 | 1.17 | 40.5 | 28.1 |
| Cyprus | 112374 | L | 190 | 2.77 | 7.29 | 113 | 173 | 46.6 | 30.5 | 24.5 | 1.13 | 1.02 | 43.7 | 27.8 |
| Cyprus | 112377 | L | 188 | 2.74 | 6.79 | 112 | 171 | 44.9 | 27.9 | 40.5 | 1.20 | 1.50 | 43.6 | 28.7 |
| Algeria | 106402 | L | 189 | 2.72 | 8.06 | 112 | 173 | 48.2 | 36.5 | 23.6 | 1.11 | 1.54 | 70.6 | 28.0 |
| Canada | Laird | L | 188 | 1.94 | 8.32 | 128 | 184 | 57.9 | 33.0 | 29.8 | 0.96 | 1.07 | 66.3 | 28.6 |
| Variable | PC-1 | PC-2 | PC-3 | PC-4 | PC-5 |
|---|---|---|---|---|---|
| GY | −0.778 | −0.007 | 0.488 | −0.053 | 0.084 |
| DASF | 0.637 | 0.559 | −0.335 | 0.305 | −0.062 |
| DASM | 0.773 | 0.378 | −0.163 | 0.223 | −0.199 |
| PH | 0.757 | 0.319 | 0.429 | −0.104 | 0.283 |
| FPH | 0.822 | 0.239 | 0.337 | −0.015 | 0.329 |
| PP | −0.697 | 0.528 | 0.059 | 0.165 | −0.139 |
| SP | −0.731 | 0.380 | −0.159 | 0.183 | 0.358 |
| GYP | −0.533 | 0.394 | 0.638 | 0.278 | −0.192 |
| TSW | 0.676 | −0.280 | 0.560 | 0.044 | −0.260 |
| GP | −0.070 | 0.669 | −0.044 | −0.705 | −0.176 |
| Variable | PC-1 | PC-2 | PC-3 | PC-4 | PC-5 |
|---|---|---|---|---|---|
| GY | −0.737 | 0.034 | 0.571 | −0.018 | 0.158 |
| DASF | 0.643 | 0.574 | −0.352 | 0.260 | −0.060 |
| DASM | 0.759 | 0.394 | −0.087 | 0.305 | −0.159 |
| PH | 0.750 | 0.320 | 0.410 | −0.120 | 0.314 |
| FPH | 0.835 | 0.258 | 0.274 | −0.037 | 0.323 |
| PP | −0.571 | 0.626 | 0.110 | 0.155 | −0.237 |
| SP | −0.642 | 0.508 | −0.227 | 0.013 | 0.422 |
| GYP | −0.589 | 0.548 | 0.457 | 0.282 | −0.108 |
| TSW | 0.513 | −0.367 | 0.675 | 0.173 | −0.209 |
| GP | 0.164 | 0.582 | 0.101 | −0.714 | −0.301 |
| Variable | PC-1 | PC-2 | PC-3 | PC-4 | PC-5 |
|---|---|---|---|---|---|
| GY | 0.847 | 0.138 | −0.231 | 0.031 | 0.082 |
| DASF | −0.886 | 0.078 | 0.140 | 0.089 | 0.031 |
| DASM | −0.791 | −0.197 | 0.355 | 0.093 | −0.036 |
| PH | −0.278 | 0.802 | 0.425 | 0.079 | 0.072 |
| FPH | −0.365 | 0.812 | 0.073 | −0.264 | 0.181 |
| PP | 0.639 | 0.271 | 0.472 | 0.204 | −0.436 |
| SP | 0.606 | −0.046 | 0.257 | −0.511 | 0.407 |
| GYP | 0.790 | 0.499 | −0.103 | 0.125 | −0.106 |
| TSW | −0.314 | 0.422 | −0.673 | 0.383 | 0.160 |
| GP | 0.399 | −0.227 | 0.398 | 0.635 | 0.456 |
Disclaimer/Publisher’s Note: The statements, opinions and data contained in all publications are solely those of the individual author(s) and contributor(s) and not of MDPI and/or the editor(s). MDPI and/or the editor(s) disclaim responsibility for any injury to people or property resulting from any ideas, methods, instructions or products referred to in the content. |
© 2024 by the authors. Licensee MDPI, Basel, Switzerland. This article is an open access article distributed under the terms and conditions of the Creative Commons Attribution (CC BY) license (https://creativecommons.org/licenses/by/4.0/).
Share and Cite
Preiti, G.; Calvi, A.; Badagliacca, G.; Lo Presti, E.; Monti, M.; Bacchi, M. Agronomic Performances and Seed Yield Components of Lentil (Lens culinaris Medikus) Germplasm in a Semi-Arid Environment. Agronomy 2024, 14, 303. https://doi.org/10.3390/agronomy14020303
Preiti G, Calvi A, Badagliacca G, Lo Presti E, Monti M, Bacchi M. Agronomic Performances and Seed Yield Components of Lentil (Lens culinaris Medikus) Germplasm in a Semi-Arid Environment. Agronomy. 2024; 14(2):303. https://doi.org/10.3390/agronomy14020303
Chicago/Turabian StylePreiti, Giovanni, Antonio Calvi, Giuseppe Badagliacca, Emilio Lo Presti, Michele Monti, and Monica Bacchi. 2024. "Agronomic Performances and Seed Yield Components of Lentil (Lens culinaris Medikus) Germplasm in a Semi-Arid Environment" Agronomy 14, no. 2: 303. https://doi.org/10.3390/agronomy14020303
APA StylePreiti, G., Calvi, A., Badagliacca, G., Lo Presti, E., Monti, M., & Bacchi, M. (2024). Agronomic Performances and Seed Yield Components of Lentil (Lens culinaris Medikus) Germplasm in a Semi-Arid Environment. Agronomy, 14(2), 303. https://doi.org/10.3390/agronomy14020303

