Abstract
In soil-based protected cultivation, the prevalence of certain diseases like bacterial wilt and nematodes in the bell pepper plant due to its successive cropping pose a threat for maximizing productivity. Considering the potential of grafting to alleviate various biotic and abiotic stresses, often relying on rootstock’s capability, we explored the potential of diverse local genotypes of Capsicum spp. to utilize as rootstocks. In this research, we assessed the performance of a commercial bell pepper cv. Massilia F1, grafted onto twenty-five rootstocks along with non-grafted and self-grafted Massilia plants under artificial inoculation conditions of bacterial wilt (Ralstonia solanacearum) and nematodes (Meloidogyne incognita) in a plastic greenhouse. The response of rootstock grafting was determined by assessing disease incidences and their effect on plants growth, yield, and physiology, as well as their efficiency in nutrient accumulation. The grafted plants exhibited varied responses to diseases depending on rootstock genotypes. Notably, Massilia grafted onto the CRS-8 and CRS-1 rootstocks exhibited high bacterial wilt resistance by showing lower percent disease incidence (PDI) (22.22 and 27.78 percent, respectively). Others, like CRS-11, CRS-12, CRS-13, CRS-21, and CRS-24, showed moderate resistance (PDI ranging from 33.33 to 38.89 percent, respectively). The self-grafted and non-grafted plants were highly susceptible and recorded complete mortality by the end of the experiment. All of the grafted plants exhibited promising resistance against nematode infestation compared to non-grafted and self-grafted plants with 26.17 and 8.67 percent root galls, respectively. The susceptible plants had lower shoot and root dry weights, while the resistant graft combinations had comparatively higher biomass. Importantly, grafting induced earliness in flowering and provided higher yields, especially in graft combinations involving the CRS-15, CRS-11, and CRS-8 rootstocks. These graft combinations exhibited significantly higher yields over the non-grafted and self-grafted plants. The plant yield was positively associated with plant height, number of leaves, fresh and dry weight of roots, number of fruits per plant, and average fruit weight, but negatively related to bacterial wilt and root-knot nematode incidences. The increased level of antioxidant enzymes such as polyphenol oxidase (PPO), phenylalanine ammonia lyase (PAL), and peroxidase (POD) and the higher total chlorophyll content in the resistant grafted plants indicates their better ability to cope with diseases at the cellular level. This study highlights the robust performance of certain rootstocks from Capsicum annuum (CRS-1, CRS-2, CRS-11, CRS-15) and Capsicum frutescens (CRS-8, CRS-13, CRS-22) species across multiple measured parameters. Grafting emerges as a sustainable solution for bell pepper production in bacterial wilt- and nematode-infested soil under plastic greenhouses.
1. Introduction
The adoption of protected cultivation technology to cultivate high-value crops is becoming more popular as productivity increases [1]. Bell peppers are high-value crops primarily cultivated under modified environments in protected conditions to achieve higher yields and superior quality produce. Additionally, protected cultivation reduces various kinds of crop damage from external factors [2]. However, in soil-based protected cultivation, successive pepper cropping leads to the build-up of plant pathogens. Protected cultivation, while offering benefits such as climate control and reduced pest pressure, may inadvertently create conditions conducive to interactions between two pathogens (for example, bacterial wilt and root-knot nematodes) and lead to complex disease. Root-knot nematodes (Meloidogyne spp.) are one of the major [3] parasitic associations that can exacerbate the severity of bacterial wilt caused by Ralstonia solanacearum in bell pepper plants [4,5]. Root-knot nematodes damage the plant roots, creating entry points for the bacterium [6], thus facilitating the infection and severity of bacterial wilt, which lowers yield by 60–70 percent [7]. The confined space in protected cultivation structures can further intensify this negative impact as the pathogens may persist in the soil, especially during hot and humid conditions, and can become a limiting factor in its commercial cultivation. The excessive use of many chemical nematicides has led to the development of resistance to the chemicals [7]. This reliance on chemicals leads to the resurgence of resistant pathotypes, making the problem worse. Additionally, the use of these harmful chemicals has caused environmental damage through biomagnification, making many areas uncultivable [7]. This highlights the urgent need for reliable and sustainable technologies in managing nematode and bacterial wilt in bell pepper plants.
The primary focus of recent pepper breeding programs has been the development of cultivars or hybrids resistant to a broad spectrum of pathogens and pests [8]. Despite substantial efforts, the utilization of capsicum germplasm, encompassing pre-breeding materials, landraces, wild relatives, and closely related species, remains a challenging in breeding programs targeting resistance against biotic stress [9]. These challenges are further compounded by climate change and the looming risk of resistance breakdown, which compromises the long-term durability of disease resistance [10]. Consequently, there is a pressing need to develop new resistant cultivars that exhibit adaptability to diverse pedoclimatic conditions. The development of varieties or hybrids can be a time-consuming process, and sometimes resistance traits may have yield drag [11], hindering the acceptance of a particular variety or hybrid. Grafting is increasingly gaining significance in modern farming as an alternative tool, surpassing slower breeding methodologies [12]. This eco-friendly, sustainable, and effective method enables the exploitation of resistant genotypes (as rootstocks) to enhance the performance of susceptible commercial cultivars (as scions) vulnerable to biotic and abiotic stresses [13,14,15,16]. Additionally, it aids in maximizing growth, yield, and nutrient uptake [17]. Grafting may serve as a valuable tool in disease management strategies and organic vegetable production.
With the continuously growing demand for capsicum, the necessity to develop high-yielding, resistant, and well-adapted hybrids for cultivation in diverse agro-climatic conditions has become important. This is crucial for enhancing capsicum productivity within specified timeframes, aligning with the preferences of both consumers and growers. Despite capsicum being a widely studied crop, there is a noticeable gap in the existing systematic research, particularly in the development of resistant rootstocks targeting bacterial wilt disease and root-knot nematodes. This gap is especially apparent for newly developed and promising varieties and hybrids. Addressing this knowledge gap is essential to ensure sustainable and resilient capsicum cultivation under widespread disease incidence and changing environmental conditions. Grafting pepper plants onto resistant rootstocks may help in addressing such issues sustainably. Despite the additional costs involved in grafted seedling preparation, the use of grafted seedlings can significantly increase the net profit for the farmers [12]. Rootstocks act as a key factors in raising resistance to soil-borne diseases in grafted plants [13]. In India, so far, only one commercial rootstock for pepper plants, i.e., Garcia—a pepper hybrid rootstock (VNR Seed Company, Raipur, India), is available with notable resistance to bacterial wilt, root-knot nematodes, and phytophthora root rot [18]. Unlike hybrid rootstocks, whose grafted seedlings incur high costs, the use of locally available open-pollinated resistant rootstocks can be promising. Several studies have reported that local genotypes of pepper belonging to different Capsicum spp. exhibit appreciable resistance to various diseases [19,20,21]. In fact, the World Vegetable Center (WVC), Taiwan has successfully demonstrated the use of some local genotypes of chilli pepper as rootstocks to increase resistance to different soil-borne diseases in bell pepper plants, including bacterial wilt and root-knot nematodes [22]. So far, the only study conducted on this in India, by Rana et al. [23], included some of these resistant rootstock genotypes identified by the WVC along with only a few Indian chilli pepper genotypes as rootstocks to minimize bacterial wilt incidence by grafting in bell pepper plants, though later, these showed relatively poor responses. On the other hand, India has a rich diversity of chilli peppers with several land races evolved through cross pollination and adapted to diverse growing conditions [24]. This highlights the need for research in this direction since the Indian germplasm pool of Capsicum spp. is wide and diverse with resistance to certain diseases [25]. For instance, the local genotype ‘White Khandari’ (C. frutescens) has been found to be resistant to three isolates of bacteria and root-knot nematodes and moderately resistant to phytophthora root rot [26], and it has been explored in the breeding of bacterial wilt-resistant cultivar ‘Anugraha’ by Kerala Agricultural University (KAU), India. However, there is very little information on exploring such genotypes as rootstocks in India. Additionally, studies have demonstrated the compatibility of local genotypes with bell peppers [27].
In the current investigation, the performance of various local genotypes as rootstocks and their response to a commercial scion was assessed by analyzing critical growth, yield, and physical fruit quality traits under artificially inoculated conditions of pathogens in a plastic greenhouse. Also, the possible mechanisms of resistance conferred by defense enzymes and nutrient uptake/acquisition in grafted plants and the economics of grafted seedling production were analyzed.
2. Materials and Methods
2.1. Experimental Plot and Plant Materials
The experiments were conducted in a polythene-covered, naturally ventilated greenhouse (area of 500 m2) at the experimental block of the Department of Vegetable Science, College of Horticulture, Sirsi, from June to November 2022. The experimental site is located at 14.26° north latitude and 74.5° east longitude, at an altitude of 619 m above the mean sea level. During the cropping period, the mean air temperature of the greenhouse ranged between 26 °C and 36 °C and the relative humidity ranged from 64 to 78 percent. The bell pepper hybrid Massilia RZ F1 (Rijk Zwaan India Seeds Pvt. Ltd., Bengaluru, India), a cultivar of red-colored blocky segments, was grafted onto 25 rootstocks belonging to Capsicum spp., as well as its own root (self-grafted plants). The details of the rootstocks used in the experiments and the sources they were collected from are mentioned in Table 1. The self-grafted and non-grafted Massilia plants were used as controls. There were in total 27 treatment combinations, with 2 replications. There were 10 plants per replication and 20 plants in each treatment. To prevent possible pathogen contamination, the inoculation experiments were conducted in the grow bags. The grow bags (30 × 20 × 20 cm) were filled with 500 g of well-decomposed farmyard manure, organic manure (100 g), and 8 kilograms of fine red soil. Three days prior to transplanting the seedlings, the grow bags were sterilized with hydrogen peroxide (2 mL/L) and arranged on raised beds in a zigzag pattern, with plants spaced 60 cm apart and rows spaced 45 cm apart.
Table 1.
Details of the Capsicum spp. rootstocks used in this experiment.
2.2. Production of Grafted Seedlings
The rootstocks of 46- to 54-day-old plants were used for grafting with 44-day-old scions. The cleft method of grafting was followed. Immediately after grafting, the grafted seedlings were placed in a growth chamber at a temperature of 18 °C to 25 °C with 70 to 80 percent relative humidity (RH), which was maintained for 7–8 days. Then, the RH was gradually reduced to 60 percent with a gradual increase in light. Finally, the seedlings were shifted to greenhouse conditions (26–32 °C temperature, 64 to 78 percent RH, with about 11 hours of daylight) for hardening. Grafted seedlings took 15 days after grafting to complete the process of graft healing and hardening and be ready for transplanting. Considering the incubation time required for the grafting process, non-grafted seedlings were prepared by delaying in seed sowing in order to obtain the seedlings of similar size to that of grafted ones.
2.3. Nutrients and Pest Management
The edaphic characteristics of the planting medium were lateritic clay with pH 6.3, electrical conductivity 0.9 dsm−1, and organic carbon 0.50 percent. The available N-P-K content of the soil was 242:15:435 kg ha−1; the Ca-Mg content was 4.50:2.80 meq/100 g; the S-Zn-Cu-Fe-Mn content was 14.50:0.50:0.56:9.81:5.16 ppm. During the crop cycle, water-soluble fertilizers were applied through fertigation twice a week. The application rates for a 500 m2 area were as follows: calcium nitrate 0.190 kg, potassium nitrate 0.200 kg, 19:19:19 (N:P:K) 0.25 kg, potassium sulphate 0.150 kg, magnesium sulphate 0.350 kg. Micronutrient requirements were met by spraying vegetable special (a formulation of micronutrients) at a rate of 2.5 g L−1 once every 15 days. An integrated pest-control strategy was implemented, involving yellow sticky traps and sucking insects, especially whiteflies, controlled by spraying Thiamethoxam 25 percent WG at 0.3 g L−1 twice at 30 and 50 DAT. Additionally, a foliar spray of Abamectin 1.90 percent Emulsifiable Concentrate at the rate of 1 mL L−1 was applied to control mites. However, no chemical was applied against soil-borne pathogens that had natural disease incidence.
2.4. Inoculation of Pathogens
To maintain uniformity, all grafted and non-grafted seedlings were transplanted in grow bags and treatments were also imposed uniformly across all graft combinations. The seedlings were artificially inoculated with root-knot nematodes and bacterial wilt pathogens at 15 and 30 days after transplanting, respectively. The pure culture of the root-knot nematode (Meloidogyne incognita) was maintained in pots containing locally cultivated tomato plants. The roots of the infected plants were washed and chopped into tiny pieces, which were then soaked in water overnight to facilitate the release of nematodes. The nematode population per milliliter of water was assessed. Subsequently, three holes were made with a small shovel in a triangular pattern around the root zone, causing root damage. A 50 mL suspension of nematodes in water, containing 300 second-stage juveniles (J2), was measured using a measuring cylinder. The suspension was then partitioned and poured into the holes around the root zone at a depth of 10 cm. Additionally, 50 g of infected soil, comprising 600 J2 nematodes, was similarly divided and soil was added into the same holes made at a dept of 10 cm [28]. The response to root-knot nematode incidence was grouped into 5 categories [29], wherein 0 root galls indicates a root-knot index value (RKI) of 1, with high resistance; 1 to 25 percent root galls indicates an RKI of 2, with resistance; 26 to 50 percent root galls indicates an RKI of 3, with moderate resistance; 51 to 75 percent root galls indicates an RKI of 4, indicating the plant is susceptible; and 76–100 percent root galls indicates an RKI of 5, indicating the plant is highly susceptible to root-knot nematode incidence (Figure 1). A bacterial dilution of 3 × 105 colony forming units (CFU) per ml (OD=0.3 at A600) was used as the stock. From this, 10 ml of the bacterial suspension was inoculated at the root zone of the plants one month after planting by making an injury to the roots [30]. Based on wilting percent31], the percent disease index (PDI) was calculated by using the formula PDI = (N0 × 0 + N1 × 1 + N2 × 2 + N3 × 3 + N4 × 4 + N5 × 5)/(Nt/5)) × 100, where N0 to N5 indicate the number of plants with disease wilting percent values from 0 to 5 [31], and Nt indicates the total number of plants (ten plants per replication), categorized into four groups as per Aslam et al. [32] as follows: 1. Resistant (0 to 30). 2. Moderately resistant (31 to 40). 3. Moderately susceptible (41 to 50). 4. Susceptible (>50).
Figure 1.
Reaction to root-knot nematode incidence observed in the present study.
2.5. Measurements of Vegetative and Reproductive Growth
The observations were recorded from five plants per replication. The plant height was measured from the growing tip to the collar region using a measuring tape at different growth stages (90 and 120 DAT). The scion diameter, rootstock diameter, and graft union diameter were measured at 2 cm above the graft union region, 2 cm below the graft union region, and at the grafted region, respectively, using digital vernier calipers, and the number of leaves per plant was recorded at different growth stages (90 and 120 DAT). The number of days taken to reach the 1st and 50 percent flowering was recorded when the first flower anthesis and 50 percent of the plant population had flowered, respectively. The dry weight (3 plants per treatment) was estimated by drying the samples at 60 °C for 5 days under a hot-air oven. The dry weight of shoots and roots (separated at the graft union region) was recorded with a digital weighing machine.
2.6. Fruit Yield and Physical Fruit Quality Parameters
The number of days taken for the first fruit harvest was counted from the date of the transplanting to the harvest of the first fruit in tagged plants. Uniform red-colored firm fruits were harvested for determining the fruit yield and physical fruit quality traits. The fruit yield and number of fruits per plant were obtained by adding the fruit weight and fruit number from each harvest. The results were expressed as yield per plant and yield per square meter. A total of five fruit pickings were performed, starting from 74 days after transplanting (DAT) to the last harvest (120 DAT). The length and diameter of the fruits and the thickness of the pericarp were measured using digital vernier calipers. The fruit volume was measured using the water displacement method, i.e., the measured amount of water displaced from a beaker after placing a fruit in it (1 mL of water displaced is equal to 1 cc of fruit volume).
2.7. Estimation of Enzyme Activity and Chlorophyll Content
The activity of defense enzymes such as catalase (CAT) was measured by using the Aebi et al. [33] technique and peroxidase (POD) activity was measured as per the guaiacol oxidation technique [34]. A modified version of Siriphanich and Kader’s [35] procedure was used to determine the polyphenol oxidase (PPO) activity. The Godwin et al. [36] approach was used to measure phenylalanine ammonia-lyase (PAL). The total chlorophyll content in leaves was estimated by following the method of Yoshida et al. [37] and expressed as mg per g of fresh weight (mg g−1 FW). This analysis was carried out during the onset of disease incidence (70 DAT).
2.8. Estimation of Nutrient Composition in Shoots and Roots
To determine the nutrients content of above-ground (shoots) and below-ground (roots) biomass, measurements were made 80 days after transplanting. The samples were sent to the University of Agricultural Science, Dharwad, where their macronutrients, including nitrogen (N), phosphorus (P), potassium (K), calcium (Ca), and magnesium (Mg), were analyzed. The reported nutrient content in each biomass was adjusted to account for the dry weight basis of the samples and reported in mg per g of dry weight.
2.9. Cost of Grafted Seedlings
The costs of the normal seedlings (non-grafted) and those grafted onto their own roots (self-grafted) or onto the commercial hybrid rootstock or onto local genotypes available at the commercial nursery were calculated by considering all fixed and variable costs involved in these processes. This includes the costs involved in obtaining the rootstock and scion seeds, seed sowing and seedling raising, grafting operations, and the healing and hardening processes carried out by the local commercial nurseries. The cost per seedling is presented in Indian rupees and the current conversion rate from rupees to US dollars is provided.
2.10. Experimental Design and Statistical Analyses
The experiment was conducted in a completely randomized block design with two replications per treatment. All of the data were statistically analyzed using the SPSS 22.0 software package (SPSS, Inc., Chicago, IL, USA). Duncan’s multiple range test was performed (p = 0.05) to separate the treatment means within each variable measured.
3. Results
3.1. Incidence of Bacterial Wilt and Root-Knot Nematodes
The study revealed significant variations in bacterial wilt incidence (22.22–100 PDI) among graft combinations at 120 DAT. Massilia grafted onto CRS-8 and CRS-1 showed low disease index values (22.22 and 27.78 PDI, respectively), indicating resistance (Table 2). Grafts with CRS-2, 11, 12, 13, 21, and 24 displayed moderate resistance (33.33 to 38.89 PDI). The non-grafted Massilia plants showed early susceptibility to disease compared to the self-grafted plants, followed by the graft combinations with CRS-4, CRS-7, CRS-16, and CRS-18 (55.56–100 PDI) leading to severe wilt and plant mortality at 120 DAT. Regarding root-knot nematodes, the Massilia with CRS-1, CRS-8, CRS-11, CRS-12, CRS-13, CRS-14, CRS-15, CRS-21, CRS-22, and CRS-24 exhibited high resistance, showing no root galls. In contrast, the self- and non-grafted plants displayed resistance and moderate resistance (8.67–26.17 percent root galls, respectively). A consistent trend emerged, indicating the Massilia on CRS-1, CRS-8, CRS-11, CRS-12, CRS-13, CRS-21, and CRS-24 as a common rootstock with high resistance to both bacterial wilt and root-knot nematodes, displaying low disease indices and no galls on the roots at the end of the experiment.
Table 2.
Incidence of bacterial wilt disease and root-knot nematodes under challenge inoculation conditions in graft combinations of Massilia (MS) with different Capsicum spp. rootstocks (CRSs).
3.2. Vegetative and Reproductive Growth
A significant difference in plant height was recorded, which ranged from 73.25 to 100.67 cm. The tallest plants (100.67 cm) were recorded in the Massilia grafted onto CRS-13, and on-par observations were noted in graft combinations with CRS-15, CRS-3, CRS-23, CRS-2, and CRS-8. The Massilia grafted onto CRS-8 and CRS-22 exhibited superior scion diameter, rootstock diameter, and graft union diameter values. Moreover, leaf counts varied from 33.25 to 46.50, with the highest count of 46.50 observed in the plants grafted onto CRS-23; similar observations were noted in CRS-13, CRS-11, CRS-24, CRS-5, CRS-8, CRS-25, and CRS-9. Due to the severe incidence of disease, plants did not survive until the last observation recorded (120 DAT) in the graft combinations with CRS-7 and CRS-16, and the self-grafted and non-grafted Massilia (Table 3). The shoot and root dry weights showed a positive correlation. The graft combination with CRS-13 displayed the highest shoot (24.75 g) and root (15.01 g) dry weights. The number of days taken to reach the first and fifty percent flowering ranged from 39.83 to 46.50 days and from 45.67 to 53.33 days, respectively (Table 4).
Table 3.
Vegetative growth parameters of different graft combinations of bell pepper plants under challenge inoculation conditions.
Table 4.
Reproductive and yield parameters of different graft combinations of bell pepper plants under challenge inoculation conditions.
3.3. Yield and Yield Contributing Parameters
Earliness in first (39.83 days) and fifty percent flowering (45.67 days) was found in the graft combination of Massilia with CRS-22, while the longest duration was recorded in the graft combination with CRS-14 (53.33 days). Significant differences were observed in yield parameters. The days taken for the first fruit harvesting ranged from 73.50 to 83 days after transplanting, with the Massilia grafted onto CRS-1 identified as the earliest in producing the first harvestable fruits. This was consistent with most graft combinations, including the self-grafted and non-grafted plants. The number of fruits per plant varied from 3.10 to 17.56 in non-grafted Massilia and the graft combination of Massilia with CRS-2. The average fruit weight was highest in the graft combinations of Massilia with CRS-1, CRS-8, CRS-11, CRS-15, and CRS-17 (161.39, 167.94, 168.55, 164.20, and 160.17 g, respectively). Significant differences in the yield per plant were recorded in all graft combinations under disease conditions, ranging from 0.26 to 2.83 kg. The highest plant yield was observed in CRS-15 (2.83 kg), CRS-11 (2.82 kg), and CRS-8 (2.78 kg). These graft combinations exhibited yields 9.6 to 9.8 times and 2.9 to 3.8 times higher than those of the non-grafted and self-grafted plants, respectively (Table 4). The lowest yields were observed in the non-grafted plants, as most of these plants died earlier due to disease incidence, thereby producing few fruits.
3.4. Physical Fruit Quality Parameters
Significant differences in fruit dimensions were observed among various graft combinations. The polar diameter of fruits ranged from 41.3 to 72.7 mm, while the fruits from the plants grafted onto CRS-15 and CRS-13 displayed the highest values. Non-grafted and self-grafted plants showed intermediate polar diameters, while graft combinations with CRS-19 and CRS-18 demonstrated the smallest diameters. Equatorial diameters ranged from 42.95 to 68.97 mm, with the largest observed in the Massilia and CRS-9 graft combination. The fruit shape index varied from 0.77 to 1.91, with the Massilia grafted onto CRS-15 having the highest index and the Massilia grafted onto CRS-19 having the lowest (Table 5).
Table 5.
Physical fruit quality parameters of different graft combinations of bell pepper plants under challenge inoculation conditions.
3.5. Antioxidant Enzyme Activity and Chlorophyll Content
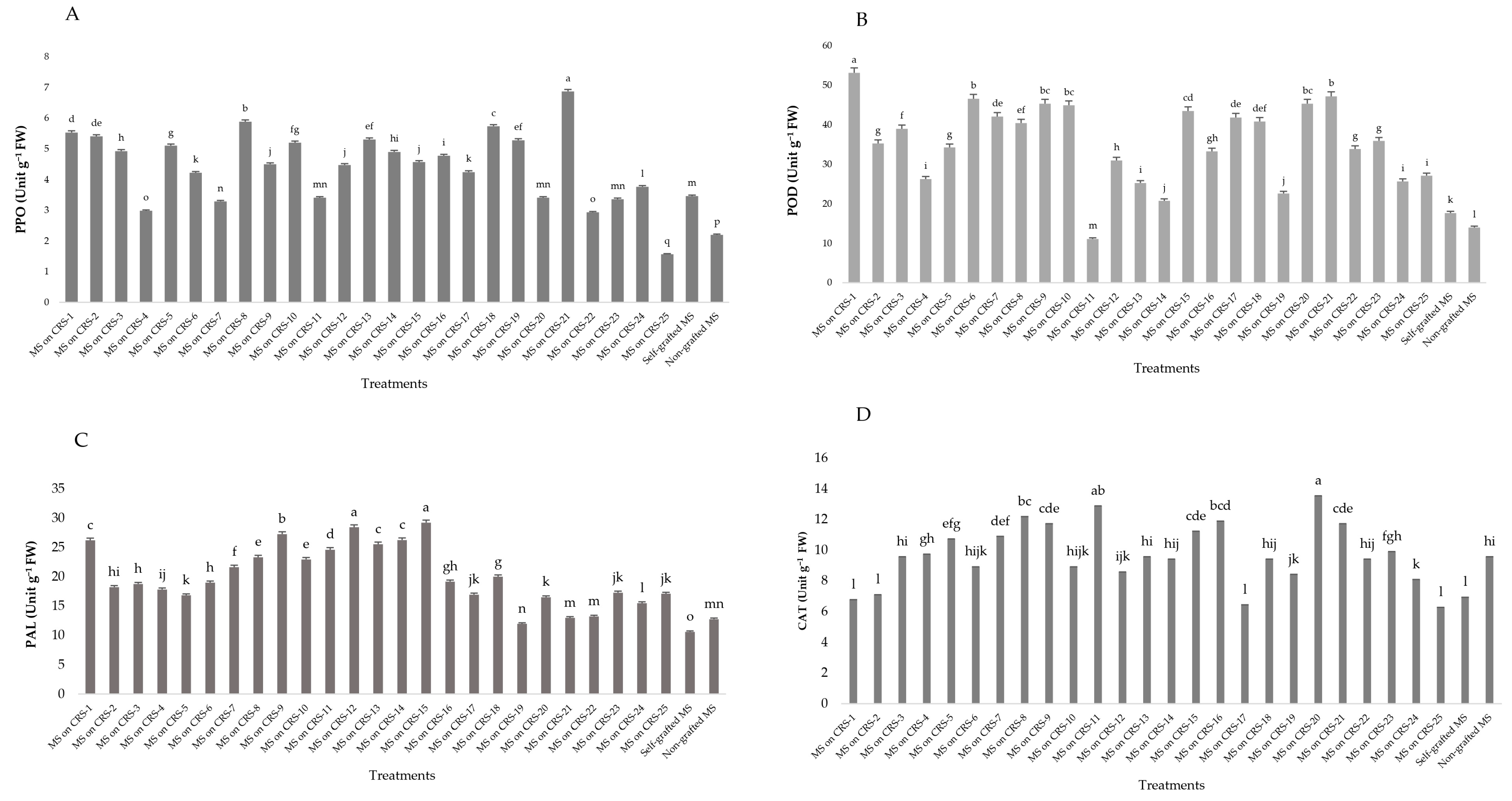
The antioxidant enzyme activity analyzed in leaves varied significantly among the grafting treatments (Figure 2). PPO activity ranged from 1.57 to 6.87 unit/g FW, being the highest in the plants grafted onto CRS-21 and the lowest in CRS-25 (Figure 2A). POD activity ranged from 11.07 to 53.10 unit/g FW, with CRS-1 exhibiting the highest and CRS-11 showing the lowest (Figure 2B). PAL activity ranged from 10.61 to 29.23 unit/g FW, being the highest in the plants grafted onto CRS-15 and CRS-12 and the lowest in the non-grafted Massilia (Figure 2C). CAT activity varied from 6.28 to 13.55 unit/g FW, with the highest activity in the plants grafted onto CRS-20 and lower levels in the self-grafted plants and certain other graft combinations (Figure 2D). The total chlorophyll content ranged from 21.56 to 80.42 mg/g FW, with the Massilia grafted onto CRS-24 displaying the highest content and lower levels being displayed in the plants grafted onto CRS-7 and the non-grafted plants (Figure 3).
Figure 2.
Activity of antioxidant enzymes such as PPO (A), POD (B), PAL (C), and CAT (D) at the onset of disease incidence in different graft combinations of bell pepper plants under challenge inoculation conditions. (p < 0.01). Different letters reveal significant differences according to Duncan’s test, p = 0.05. PAL: phenyl ammonia lyase, POD: peroxidase, PPO: polyphenol oxidase, CAT: catalase. Y-axis indicates antioxidant enzyme activity. X-axis indicates the different graft combinations.
Figure 3.
Chlorophyll contents in different graft combinations of bell pepper plants under challenge inoculation conditions (Y-axis). (p < 0.01). Different letters reveal significant differences according to Duncan’s test, p = 0.05. X-axis indicates the different graft combinations.
3.6. Nutrients Acquisition
The shoot nutrient content showed significant variation among the treatments (Table 6). The Massilia grafted onto CRS-10 displayed the highest nitrogen content of the shoots (10.87 mg g−1 DW), followed by the most significant phosphorus content being observed in the shoots of the Massilia grafted onto CRS-23 (6.66 mg g−1 DW). Additionally, CRS-14 had elevated potassium levels in the shoots (100.04 mg g−1 DW). Furthermore, the plants grafted onto CRS-3 and CRS-4 recorded the peak calcium content (24.60 mg g−1 DW) and maximum magnesium content (12.30 mg g−1 DW). With respect to the nutrient composition of the roots (Table 6), the Massilia grafted onto CRS-16 showed the highest root nitrogen content (45.20 mg g−1 DW). For phosphorus content, the Massilia grafted onto CRS-2 recorded the highest value (1.64 mg g−1 DW). In terms of potassium content, CRS-15 exhibited the highest levels (19.27 mg g−1 DW). CRS-15 displayed the maximum calcium content (24.66 mg g−1 DW), and CRS-3 showed the highest magnesium content (7.38 mg g−1 DW).
Table 6.
Major nutrient contents in shoots and roots of different graft combinations of bell pepper plants under challenge inoculation conditions.
3.7. Cost of Grafted Seedling Production
The estimated cost of seedlings of Massilia and its grafted plants ranged from INR 7.50 to INR 15.07. Compared to the seedlings grafted with the commercial hybrid rootstock (Garcia), the cost of those grafted with local genotypes of Capsicum annuum or Capsicum frutescence rootstocks was approximately 11.41 percent lower (Table 7).
Table 7.
Costs of grafted seedlings at the commercial nursery sale point.
4. Discussion
Bacterial wilt and root-knot nematodes are the most economically destructive diseases in pepper production under protected cultivation. The evolving resistance exhibited by this group of parasitic associations in bell pepper plants highlights a mismatch in the speed of varietal development, posing a major limitation to maintaining the required production and productivity [38,39]. Diverse genotypes in the pool of indigenous local collections were identified to develop graft combinations aimed at addressing this challenge. The grafted seedlings showed variation in resistance according to rootstock genotypes. The Massilia grafted onto CRS-8 and CRS-1 showed the lowest disease index, indicating a resistant reaction. Similar results were observed with chilli peppers by Wu et al. [40], wherein chilli pepper rootstocks reduced the incidence of bacterial wilt by 48 to 68 percent in grafted sweet pepper plants [40,41]. This resistance reaction is attributed to a robust root system with improved physiological activities and higher defense reactions [4]. While a few combinations recorded moderate resistance and susceptibility, their compatibility was not as good as CRS-8 and CRS-1, making them more vulnerable to infection. The study conducted by Abebe et al. [42] inferred that self-grafted, non-grafted, and ‘Gilsang’-grafted ‘Tantan’ rootstocks were killed by bacterial wilt disease. Similarly, Nischay et al. [43] and Naik et al. [13] recorded higher disease incidence in non-grafted plants compared to plants grafted onto different rootstocks grown under Ralstonia solanacearum-infected greenhouse soil.
When Massilia was grafted onto CRS-1, CRS-8, CRS-11, CRS-12, CRS-13, CRS-14, CRS-15, CRS-21, CRS-22, and CRS-24, it exhibited an RKI of 1, indicating a highly resistant reaction. Similar results were seen by Morra and Bilotto [44], Galvez et al. [45], Fernandez et al. [46], and Lopez et al. [47]. The self-grafted plants displayed an RKI of 2, signifying a resistant reaction. The non-grafted plants recorded an RKI of 3, indicating a moderately resistant reaction. This moderate resistance suggests that while the scion alone possessed some resistance, it may be less effective in preventing nematode infestation compared to the highly resistant rootstocks when used in grafting. Though similar comments have been noted by Lopez et al. [47], contrary findings were observed in the study conducted by Kokalis et al. [48], wherein the self-grafted plants had more root galls compared to non-grafted plants.
Grafting affects the growth [49,50,51] of sweet pepper plants. In this study, growth parameters such as the plant height, scion diameter, rootstock diameter, graft union diameter, number of leaves, and dry weights of shoots and roots were different according to the rootstock combination. This is possibly due to higher compatibility, disease resistance, nutrient and water use efficiency, hormonal balance, adaptation to stressful environmental conditions, and robust root systems, as described in earlier studies [52]. Similar outcomes were reported by Colla et al. [53], Saporta and Gisbert [54], Rana et al. [23], Soltan et al. [55], Soare et al. [56], and Camposeco et al. [57].
The Massilia plants grafted onto CRS-13 and CRS-24 displayed the highest shoot and root dry weights, respectively. CRS-24 is a hybrid chili and CRS-13 is a bird’s eye chili pepper rootstock (Capsicum frutescens). These are known for having vigorous root systems. This vigorous root system is adapted to absorbing a greater quantity of nutrients and minerals from the soil, which results in the accumulation of a higher root dry weight. Additionally, CRS-24 and CRS-13 demonstrated resistance to disease. In contrast, the Massilia grafted onto CRS-25 exhibited significantly lower shoot and root dry weights. The CRS-25 sample showed a higher susceptibility to disease. Under such conditions, the plant’s energy and resources may have been redirected towards defense mechanisms to combat the disease, which could have resulted in a reduction in the shoot and root dry weights. This observation is similar to the findings of the experiments conducted by Jang et al. [58] and Orosco et al. [59].
This result indicates that the impact of rootstocks accelerates the flowering process in bell pepper plants, potentially leading to improved productivity and harvest efficiency. The recovery of grafted plants was not significantly influenced temporally, and no undesirable phenotypes were observed during the establishment of compatibility. The earliness in first and fifty percent flowering observed in the case of CRS-22 could potentially be attributed to disease pressure. It is possible that the presence of disease accelerated the flowering process in these plants, whereas a lower disease index would have led to earliness in flowering in other graft combinations. Comparatively, a greater number of days were taken by the self- and non-grafted plants to flower, as has been reported in earlier studies [23].
The higher yield in the graft combinations of Massilia with CRS-15, CRS-11, and CRS-8 was attributed to their effective disease resistance; a higher number of fruits were produced in these plants, with higher average fruit weight values. These combinations also recorded a longer cropping period, providing more time for fruit development until harvest, and similar findings were reported by Davis et al. [60], Rana et al. [23], Bogoescu et al. [61], Mullor et al. [62], Nischay et al. [43], Alfaro et al. [63], Galvez et al. [45], Ropokis et al. [64], and Kumar et al. [65] in grafted plants. Contrastingly, the CRS-4, self-grafted, and non-grafted Massilia exhibited the lowest yields, likely due to the less vigorous nature of the rootstock and its susceptibility to stress conditions. Similar results were noted by Rodriguez and Bosland [66] and Bogoescu et al. [61]. The grafting onto some rootstocks significantly increased the yield with less disease incidence. The Massilia grafted onto the rootstocks of C. frutescence and C. annuum led to 9.6- and 9.8-times higher yields than the non-grafted plants, respectively, with 3.8- and 4.4-times higher yields than the self-grafted plants, respectively.
The defense of plants in these graft combinations is highly due to different enzymatic activities [67,68]. Conversely, the self-grafted and non-grafted plants showed lower enzyme activity, potentially rendering them less prepared to cope with biotic stress, as suggested by Duan et al. [4,69]. In contrast, the graft combination of Massilia with CRS-25 displayed lower PPO activity, potentially making this plant more susceptible to disease and damage. The Massilia grafted onto CRS-11, despite being disease-resistant, displayed the lowest peroxidase enzyme activity, suggesting that resistance in this case may not be solely controlled by enzyme activity. The Massilia grafted onto CRS-20 showed high CAT enzyme activity, indicating an active stress response despite this rootstock’s susceptibility to disease. Conversely, the Massilia grafted onto CRS-11 showed the highest CAT activity, reflecting a positive trait contributing to the plant’s ability to resist disease pressure. In contrast, the graft combinations with CRS-17 and CRS-25 exhibited the lowest CAT activity, suggesting a weakened ability to cope with oxidative stress imposed by the disease. Significant differences in chlorophyll content among the graft combinations were observed, with CRS-24 resulting in a higher chlorophyll content. Conversely, the CRS-7 and non-grafted Massilia plants may have been more susceptible to disease or stress conditions, diverting resources away from chlorophyll production and towards defense, as reported by Soltan et al. [55].
The differences in nutrient uptake among the graft combinations suggest that the individual rootstocks play a crucial role in determining the nutrient profile of the plants. This variability may arise from differences in the inherent capacities of rootstocks to absorb and transport specific nutrients. Overall, these findings emphasize the need for careful consideration of rootstock selection to optimize nutrient supply and enhance the overall performance of grafted plants [50].
These rootstocks can serve as a potential option for grafting with agronomically superior varieties that are susceptible to multiple soil-borne diseases and stress conditions. The cost of grafted seedlings is primarily influenced by seed expenses [13,70], which vary depending on the type of seeds used for both rootstocks (cultivated varieties, local genotypes, wild species, and hybrids) and scions (hybrids or varieties). However, when compared to the higher seed costs associated with commercial hybrid rootstocks, the local genotype rootstocks were more economical and additionally gave significantly higher yield by showing resistance to disease. As these local genotypes are openly pollinated, their multiplication or seed production is very easy compared to the production of hybrid rootstock seeds. Utilization of these local genotypes as rootstocks shall definitely help farmers to a greater extent. The identified resistant rootstock genotypes are available at the experimental center, and since these are open-pollinated genotypes, their seeds can be easily multiplied. Additionally, large-scale production of seeds as well as seedlings shall reduce the price of grafted seedlings, making them commercially viable.
5. Conclusions
In conclusion, this study emphasizes the pivotal role of rootstock selection in managing bacterial wilt and root-knot nematodes in protected pepper cultivation. Grafted seedlings, especially those utilizing the CRS-8 and CRS-1 rootstocks, exhibited a significant reduction in disease index (22 and 28 percent), respectively, over the non-grafted plants, and increased disease resistance. Combinations with CRS-15, CRS-11, and CRS-8 showed superior vegetative growth, early flowering, and higher yields, contributing to extended cropping periods. However, careful selection is crucial, as some graft combinations displayed superior characteristics of flowering and better nutrition absorption, but were susceptible to disease. The yields of the plants grafted onto rootstocks CRS-15, CRS-11, and CRS-8 were 9.6 to 9.8 times and 2.9 to 3.8 times higher than the non-grafted and self-grafted plants, as the non-grafted and self-grafted plants succumbed to the incidence of bacterial wilt, thus producing a much lower number of fruits. The cost of the seedlings grafted onto local genotypes was 11 percent lower than that of the commercial hybrid rootstock. Overall, this study emphasizes the potential of pepper grafting onto local rootstocks as a sustainable strategy for bacterial wilt and root-knot nematode management, thereby enhancing pepper production. It is also economical, as the cost of the seedlings grafted onto the local-genotype rootstocks is comparatively low. This emphasizes the significance of carefully choosing rootstocks based on their resistance traits and overall plant performance.
Author Contributions
S.A.T.S.N., C.N.H., S.V.H. and P.K. developed the plan; S.A.T.S.N., S.V.H. and C.N.H., conducted the greenhouse and laboratory experiments, and wrote the initial draft of the research paper; M.K.S., S.M. and G.M., helped in the laboratory analyses and data interpretation; P.K. and P.S.K. improved data presentation in tables, graphs and texts significantly; N.P. and P.K., helped in technical advice and manuscript improvement; P.K., P.S.K. and G.M. critically revised and improved the manuscript. All authors have read and agreed to the published version of the manuscript.
Funding
This research received external funding from Government of India under RKVY (Rastriya Krishi Vikas Yojana) project on the demonstration of precision farming technologies under open and protected structures for flowers and vegetable crops (KA/RKVY-AGRE/2018/784).
Data Availability Statement
The original contributions presented in the study are included in the article, further inquiries can be directed to the corresponding authors.
Conflicts of Interest
The authors declare no conflicts of interest.
References
- Phani, V.; Khan, M.R.; Dutta, T.K. Plant-parasitic nematodes as a potential threat to protected agriculture: Current status and management options. Crop Prot. 2021, 144, 105573. [Google Scholar] [CrossRef]
- Nikki, B.; Sanjeev, K.; Chaudhari, V.L. Economic analysis of protected cultivation of bell Pepper (Capsicum annuum L.) in response to different PGRs under south Gujarat conditions. Indian J. Agric. Res. 2017, 51, 488–492. [Google Scholar]
- Diaz, M.D.M.G.; Martinez, C.M.L.; Pinera, A.H.; Alarcon, V.M.; Plasencia, A.L. Evaluation of repeated bio disinfestation using Brassica carinata pellets to control Meloidogyne incognita in protected pepper crops. Spanish J. Agric. Res. 2013, 2, 485–493. [Google Scholar] [CrossRef]
- Duan, X.; Liu, F.; Bi, H.; Ai, X. Grafting enhances bacterial wilt resistance in peppers. Agriculture 2022, 12, 583. [Google Scholar] [CrossRef]
- Gisbert, C.; Sanchez-Torres, P.; Raigon, M.D.; Nuez, F. Phytophthora capsici resistance evaluation in pepper hybrids: Agronomic performance and fruit quality of pepper grafted plants. J. Food. Agric. Environ. 2010, 8, 116–121. [Google Scholar]
- Mota, F.C.; Alves, G.C.S.; Giband, M.; Gomes, A.C.M.M.; Sousa, F.R.; Mattos, V.S.; Barbosa, V.H.S.; Barroso, P.A.V.; Nicole, M.; Peixoto, J.R.; et al. New sources of resistance to Meloidogyne incognita race 3 in wild cotton accessions and histological characterization of the defence mechanisms. Plant Pathol. 2013, 62, 1173–1183. [Google Scholar] [CrossRef]
- Rao, M.S.; Umamaheswari, R.; Chakravarthy, A.K.; Manojkumar, R.; Rajinikanth, R.; Chaya, M.K.; Priti, K.; Narayanaswamy, B. Nematode management in protected cultivation. IIHR Tech. Bull. 2015, 48, 1–10. [Google Scholar]
- Sharma, V.K.; Srivastava, A.; Mangal, M. Recent trends in sweet pepper breeding. In Accelerated Plant Breeding, Volume 2: Vegetable Crops; Springer: Cham, Switzerland, 2020; pp. 417–444. [Google Scholar]
- Babu, B.S.; Pandravada, S.R.; Rao, R.P.; Anitha, K.; Chakrabarty, S.K.; Varaprasad, K.S. Global sources of pepper genetic resources against arthropods, nematodes and pathogens. Crop Prot. 2011, 30, 389–400. [Google Scholar] [CrossRef]
- Parisi, M.; Alioto, D.; Tripodi, P. Overview of biotic stresses in pepper (Capsicum spp.): Sources of genetic resistance, molecular breeding and genomics. Int. J. Mol. Sci. 2020, 21, 2587. [Google Scholar] [CrossRef]
- Scott, J.W.; Wang, J.F.; Hanson, P.M. Breeding tomatoes for resistance to bacterial wilt, a global view. Acta Hortic. 2005, 695, 161–172. [Google Scholar] [CrossRef]
- Singh, H.; Kumar, P.; Kumar, A.; Kyriacou, M.C.; Colla, G.; Rouphael, Y. Grafting tomato as a tool to improve salt tolerance. Agronomy 2020, 10, 263. [Google Scholar] [CrossRef]
- Naik, S.A.T.S.; Hongal, S.; Harshavardhan, M.; Chandan, K.; Kumar, A.J.S.; Ashok; Kyriacou, M.C.; Rouphael, Y.; Kumar, P. Productive characteristics and fruit quality traits of cherry tomato hybrids as modulated by grafting on different Solanum spp. rootstocks under Ralstonia solanacearum infested greenhouse soil. Agronomy 2021, 11, 1311. [Google Scholar] [CrossRef]
- Sanwal, S.K.; Mann, A.; Kumar, A.; Kesh, H.; Kaur, G.; Rai, A.K.; Kumar, R.; Sharma, P.C.; Kumar, A.; Bahadur, A.; et al. Salt tolerant eggplant rootstocks modulate sodium partitioning in tomato scion and improve performance under saline conditions. Agriculture 2022, 12, 183. [Google Scholar] [CrossRef]
- Kumar, P.; Rouphael, Y.; Cardarelli, M.; Colla, G. Vegetable grafting as a tool to improve drought resistance and water use efficiency. Front. Plant Sci. 2017, 8, 1130. [Google Scholar] [CrossRef] [PubMed]
- Kumar, P.; Rouphael, Y.; Cardarelli, M.; Colla, G. Effect of nickel and grafting combination on yield, fruit quality, antioxidative enzyme activities, lipid peroxidation, and mineral composition of tomato. J. Plant Nutri. Soil Sci. 2015, 178, 848–860. [Google Scholar] [CrossRef]
- Kumar, P.; Khapte, P.S.; Saxena, A.; Singh, A.; Panwar, N.R.; Kumar, P. Intergeneric grafting for enhanced growth, yield and nutrient acquisition in greenhouse cucumber during winter. J. Environ. Biol. 2019, 40, 295–301. [Google Scholar] [CrossRef]
- VNR: Seeds. Available online: https://www.vnrseeds.com/wp-content/uploads/2021/08/VNR-Product-Catalogue-2020.pdf (accessed on 24 January 2024).
- Grube, R.C.; Zhang, Y.; Murphy, J.F.; Loaiza-Figueroa, F.; Lackney, V.K.; Provvidenti, R.; Jahn, M.K. New source of resistance to Cucumber mosaic virus in Capsicum frutescens. Plant Dis. 2000, 84, 885–891. [Google Scholar] [CrossRef] [PubMed]
- Di, D.F.; Parisi, M.; Cardi, T.; Tripodi, P. Genetic diversity and assessment of markers linked to resistance and pungency genes in Capsicum germplasm. Euphytica 2015, 204, 103–119. [Google Scholar]
- Mo, H.; Kim, S.; Wai, K.P.P.; Siddique, M.I.; Yoo, H.; Kim, B.S. New sources of resistance to Phytophthora capsici in Capsicum spp. Hortic. Environ. Biotechnol. 2014, 55, 50–55. [Google Scholar] [CrossRef]
- AVRDC. Available online: https://avrdc.org/seed/improved-lines/rootstock/ (accessed on 24 January 2024).
- Rana, S.; Kumar, P.; Sharma, P.; Singh, A.; Upadhyay, S.K. Evaluation of different rootstocks for bacterial wilt tolerance in bell pepper (Capsicum annuum (L.) var. grossum (Sendt.) under protected conditions. Himachal J. Agri. Res. 2015, 41, 100–103. [Google Scholar]
- Islam, M.A.; Sharma, S.S.; Sinha, P.; Negi, M.S.; Neog, B.; Tripathi, S.B. Variability in capsaicinoid content in different landraces of Capsicum cultivated in north-eastern India. Sci. Hortic. 2015, 183, 66–71. [Google Scholar] [CrossRef]
- Pawaskar, J.R.; Kadam, J.J.; Navathe, S.; Kadam, J.S. Response of chilli varieties and genotypes to bacterial wilt caused by Ralstonia solanacearum and its management. Indian J. Sci. 2014, 11, 66–69. [Google Scholar]
- Peter, K.V.; Goth, R.W.; Webb, R.E. Indian hot peppers as new sources of resistance to bacterial wilt, Phytophthora root rot, and root-knot nematode. Hortc. Sci. 1984, 19, 277–278. [Google Scholar] [CrossRef]
- Naik, S.A.T.S.; Hanchinamani, C.N.; Hongal, S.; Ponnam, N.; Manjunath, G.; Kumar, M.S.; Meti, S.; Kumar, P. Compatibility of Bell Pepper Hybrid with Different Chilli Rootstocks. Biol. Forum—Int. J. 2023, 15, 1217–1223. [Google Scholar]
- Changkwian, A.; Venkatesh, J.; Lee, J.H.; Han, J.W.; Kwon, J.K.; Siddique, M.I.; Solomon, A.M.; Choi, G.J.; Kim, E.; Seo, Y.; et al. Physical localization of the root-knot nematode (Meloidogyne incognita) resistance locus Me7 in pepper (Capsicum annuum). Front. Plant Sci. 2019, 10, 886. [Google Scholar] [CrossRef]
- Heald, C.M.; Bruton, B.D.; Davis, R.M. Influence of Glomus intradices and soil phosphorus on M. incognita infecting Cucumis melo. J. Nematol. 1989, 21, 69–73. [Google Scholar]
- Mimura, Y.; Yoshikawa, M.; Hirai, M. Pepper Accession LS2341 Is Highly Resistant to Ralstonia solanacearum Strains from Japan. HortScience 2009, 44, 2038–2040. [Google Scholar] [CrossRef]
- Winstead, N.N.; Kelman, A. Inoculation techniques for evaluating resistance to Pseudomonas solanacearum. Phytopathology 1952, 42, 623–634. [Google Scholar]
- Aslam, M.N.; Hussain, M.A.; Raheel, M. Assessment of resistance to bacterial wilt incited by Ralstonia solanacearum in tomato germplasm. J. Plant Dis. Prot. 2017, 124, 585–590. [Google Scholar] [CrossRef]
- Aebi, H. Catalase in vitro. Methods Enzymol. 1984, 105, 121–126. [Google Scholar]
- Lin, C.C.; Kao, C.H. Cell wall peroxidase activity hydrogen peroxide level and NaCl-inhibited root growth of rice seedlings. Plant Soil 2001, 230, 135–143. [Google Scholar] [CrossRef]
- Siriphanich, J.; Kader, A.A. Effects of CO2 on cinnamic acid 4- hydroxylase in relation to phenolic metabolism in lettuce tissue. J. Am. Soc. Hortic. Sci. 1985, 110, 333–335. [Google Scholar] [CrossRef]
- Godwin, B.D.; Vaduvatha, S.; Nair, P.M. Stabilization of phenylalanine ammonia-lyase containing Rhodotorula glutinis cells for the continuous synthesis of phenylalanine methyl ester. Enzyme Microb. Technol. 1996, 19, 421–427. [Google Scholar]
- Yoshida, S.D.; Foron, A.; Cock, J.H. Laboratory Manual for Physiological Studies of Rice; IRRI: Los Baños, Philippines, 1971; pp. 36–37. [Google Scholar]
- Kim, J.I.; Choi, D.R.; Cho, E.K.; Han, S.C. Influence of plant parasitic nematodes in occurrence of Phytophthora blight on hot pepper and sesame. Res. Rep. Rural. Dev. Adm. 1989, 31, 3127–3130. [Google Scholar]
- Tran, N.H.; Kim, B.S. Inheritance of resistance to bacterial wilt (Ralstonia solanacearum) in pepper (Capsicum annuum L.). Hort. Environ. Biotechnol. 2010, 51, 431–439. [Google Scholar]
- Wu, D.; Palada, M.C.; Luther, G.C. On-farm evaluation of pepper grafting technology for managing soil-borne diseases of sweet peppers during hot-wet season in highland tropics. Acta Hortic. 2012, 936, 119–124. [Google Scholar] [CrossRef]
- Kunwar, S.; Paret, M.L.; Olson, S.M.; Ritchie, L.; Rich, J.R.; Freeman, J.; Mcavoy, T. Grafting using rootstocks with resistance to Ralstonia solanacearum against Meloidogyne incognita in tomato production. Plant Dis. 2015, 99, 119–124. [Google Scholar] [CrossRef] [PubMed]
- Abebe, A.M.; Wai, K.P.P.; Siddique, M.I.; Mo, H.S.; Yoo, H.J.; Jegal, Y.; Byeon, S.E.; Jang, K.S.; Jeon, S.G.; Hwang, J.E.; et al. Evaluation of phytophthora root rot-and bacterial wilt-resistant inbred lines and their crosses for use as rootstocks in pepper (Capsicum annuum L.). Hortic. Environ. Biotechnol. 2016, 57, 598–605. [Google Scholar] [CrossRef]
- Nischay, P.K.; Ponnam, N.; Acharya, G.C.; Barik, S.; Sandeep, V.; Kumari, M.; Sahoo, G.S. Identification of potential chilli (Capsicum annuum L.) accession as a rootstock for managing bacterial wilt disease in bell pepper. Veg Sci. 2021, 48, 246–249. [Google Scholar]
- Morra, L.; Bilotto, M. Evaluation of new rootstocks for resistance to soil-borne pathogens and productive behaviour of pepper (Capsicum annuum L.). J. Hortic. Sci. Biotechnol. 2006, 81, 518–524. [Google Scholar] [CrossRef]
- Galvez, A.; Del, A.F.M.; Ros, C.; Lopez, M.J. New traits to identify physiological responses induced by different rootstocks after root-knot nematode inoculation (Meloidogyne incognita) in sweet pepper. J. Crop Prot. 2019, 119, 126–133. [Google Scholar] [CrossRef]
- Fernandez, C.; Hernandez, G.H.; Nunez-Colin, C.A.; Anaya-Lopez, J.L.; Villalobos-Reyes, S.; Castellanos, J.Z. Morphological response and fruit yield of sweet pepper (Capsicum annuum L.) grafted onto different commercial rootstocks. Biol. Agric. Hortic. 2013, 29, 1–11. [Google Scholar] [CrossRef]
- Lopez, P.J.A.; Le Strange, M.; Kaloshian, I.; Ploeg, A.T. Differential response of Mi gene-resistant tomato rootstocks to root-knot nematodes (Meloidogyne incognita). Crop Prot. 2008, 25, 382–388. [Google Scholar] [CrossRef]
- Kokalis, B.N.; Bausher, M.G.; Rosskopf, E.N. Greenhouse evaluation of Capsicum rootstocks for management of Meloidogyne incognita on grafted bell pepper. Nematropica 2009, 39, 121–132. [Google Scholar]
- Edelstein, M.; Plaut, Z.; Ben-Hur, M. Sodium and chloride exclusion and retention by non-grafted and grafted melon and Cucurbita plants. J. Exp. Bot. 2010, 62, 177–184. [Google Scholar] [CrossRef]
- Ruiz, J.M.; Belakbir, A.; Lopez-Cantarero, I.; Romero, L. Leaf-macronutrient content and yield in grafted melon plants. A model to evaluate the influence of rootstock genotype. Sci. Hortic. 1997, 71, 227–234. [Google Scholar] [CrossRef]
- Savvas, D.; Colla, G.; Rouphael, Y.; Schwarz, D. Amelioration of heavy metal and nutrient stress in fruit vegetables by grafting. Sci. Hortic. 2010, 127, 156–161. [Google Scholar] [CrossRef]
- Kato, T.; Lou, H. Effect of rootstocks on yield, mineral nutrition and hormonal level in xylem sap in eggplant. J. Jpn. Soc. Hortic. Sci. 1989, 58, 345–352. [Google Scholar] [CrossRef][Green Version]
- Colla, G.; Rouphael, Y.; Cardarelli, M.; Temperini, O.; Rea, E.; Salerno, A.; Pierandrei, F. Influence of grafting on yield and fruit quality of pepper (Capsicum annuum L.) grown under greenhouse conditions. Acta Hortic. 2008, 782, 359–364. [Google Scholar] [CrossRef]
- Saporta, R.; Gisbert, C. Growth and fruit production in pepper grafted on C. annuum, C. baccatum and C. pubescens genotypes. In Breakthroughs in the Genetics and Breeding of Capsicum and Eggplant, Proceedings of the XV EUCARPIA Meeting on Genetics and Breeding of Capsicum and Eggplant, Torino, Italy, 2–4 September 2013; Università degli Studi di Torino: Torino, Italy, 2013; pp. 641–644. [Google Scholar]
- Soltan, M.M.; Farouk, A.; Elaidy, D.; Joseph, C.; Scheerens, N.; Matthew, D.; Kleinhenz, N. Grafting, scion and rootstock effects on survival rate, vegetative growth and fruit yield of high tunnel-grown grafted pepper (Capsicum annuum L) plants. Adv. Crop Sci. Technol. 2017, 5, 312–319. [Google Scholar] [CrossRef]
- Soare, R.; Dinu, M.; Babeanu, C. The effect of using grafted seedlings on the yield and quality of tomatoes grown in greenhouses. J. Hortic. Sci. 2018, 45, 76–82. [Google Scholar] [CrossRef]
- Camposeco-Montejo, N.; Robledo-Torres, V.; Ramírez-Godina, F.; Mendoza-Villarreal, R.; Pérez-Rodríguez, M.Á.; Cabrera-de la Fuente, M. Response of bell pepper to rootstock and greenhouse cultivation in coconut fiber or soil. Agronomy 2018, 8, 111. [Google Scholar] [CrossRef]
- Jang, Y.; Yang, E.; Cho, M.; Um, Y.; Ko, K.; Chun, C. Effect of grafting on growth and incidence of Phytophthora blight and bacterial wilt of pepper (Capsicum annuum L.). Hortic. Environ. Biotechnol. 2011, 53, 9–19. [Google Scholar] [CrossRef]
- Orosco, A.B.E.; Nuez-Palenius, H.G.; Diaz-Serrano, F.; Perez-Moreno, L.; Valencia-Posadas, M.; Trejo-Tellez, L.I.; Cruz-Huerta, N.; Valiente-Banuet, J.I. Grafting improves salinity tolerance of bell pepper plants during greenhouse production. Hortic. Environ. Biotechnol. 2021, 62, 831–844. [Google Scholar] [CrossRef]
- Davis, A.R.; Perkins, V.P.; Sakata, Y.; Lopez-Galarza, S.; Maroto, J.V.; Lee, S.G.; Huh, Y.C.; Sun, Z.; Miguel, A.; King, S.R.; et al. Cucurbit grafting. CRC Crit. Rev. Plant Sci. 2008, 27, 50–74. [Google Scholar] [CrossRef]
- Bogoescu, M.; Doltu, M.; Sora, D.; Iordache, B. Grafting Bell Peppers an Alternative for Growers. Bull. Univ. Agric. Sci. Vet. Med. Cluj-Napoca. Hortic. 2019, 76, 19–24. [Google Scholar]
- Mullor, R.; Ceccanti, C.; Gara Padilla, Y.; Lopez-Galarza, S.; Calatayud, A.; Conte, G.; Guidi, L. Effect of grafting on the production, physico-chemical characteristics and nutritional quality of fruit from pepper landraces. Antioxidants 2020, 9, 501. [Google Scholar] [CrossRef] [PubMed]
- Alfaro, A.A.; Bethke, P.C.; Nienhuis, J. Effects of Interspecific Grafting Between Capsicum Species on Scion Fruit Quality Characteristics. HortScience 2021, 56, 1347–1353. [Google Scholar] [CrossRef]
- Ropokis, V.A.; Ntatsi, G.; Kittas, C.; Katsoulas, N.; Savvas, D. Effects of temperature and grafting on yield, nutrient uptake, and water use efficiency of a hydroponic sweet pepper crop. Agronomy 2019, 9, 110. [Google Scholar] [CrossRef]
- Kumar, P.; Shivani, R.; Parveen, S.; Amar, S.; Updhyay, S.K. Evaluation of chilli and brinjal rootstocks for growth, yield and quality of bell pepper (Capsicum annuum L. var. grossum Sendt.) under protected conditions. Agric. Res. J. 2016, 53, 180–183. [Google Scholar] [CrossRef]
- Rodriquez, M.M.; Bosland, P.W. Grafting Capsicum to tomato rootstocks. J. Young Investig. 2010, 20, 1–6. [Google Scholar]
- Zhang, Z.K.; Liu, S.Q.; Hao, S.Q.; Liu, H.S. Grafting increases the copper tolerance of cucumber seedlings by improvement of polyamine contents and enhancement of antioxidant enzymes activity. Agric. Sci. China 2010, 9, 985–994. [Google Scholar] [CrossRef]
- Xie, Y.; Tan, H.; Sun, G.; Li, H.; Liang, D.; Xia, H.; Wang, X.; Liao, M.A.; Deng, H.; Wang, J.; et al. Grafting alleviates cadmium toxicity and reduces its absorption by tomato. J. Soil Sci. Plant Nutr. 2020, 20, 2222–2229. [Google Scholar] [CrossRef]
- Duan, X.; Bi, H.G.; Li, T.; Wu, G.X.; Li, Q.M.; Ai, X.Z. Root characteristics of grafted peppers and their resistance to Fusarium solani. Biol. Plant. 2017, 61, 579–586. [Google Scholar] [CrossRef]
- Khapte, P.S.; Kumar, P.; Panwar, N.R.; Burman, U.; Rouphael, Y.; Kumar, P. Combined influence of grafting and type of protected environment structure on agronomic and physiological traits of single-and cluster-fruit-bearing cucumber hybrids. Agronomy 2021, 11, 1604. [Google Scholar] [CrossRef]
Disclaimer/Publisher’s Note: The statements, opinions and data contained in all publications are solely those of the individual author(s) and contributor(s) and not of MDPI and/or the editor(s). MDPI and/or the editor(s) disclaim responsibility for any injury to people or property resulting from any ideas, methods, instructions or products referred to in the content. |
© 2024 by the authors. Licensee MDPI, Basel, Switzerland. This article is an open access article distributed under the terms and conditions of the Creative Commons Attribution (CC BY) license (https://creativecommons.org/licenses/by/4.0/).


