Next Article in Journal
Sustainability Potential of Marginal Areas for Food, Feed, and Non-Food Production in the Puglia Region, Southern Italy: Part II: A Review
Next Article in Special Issue
Effect of Drought and Seed Tuber Size on Agronomical Traits of Potato (Solanum tuberosum L.) under In Vivo Conditions
Previous Article in Journal
Grafting Bell Pepper onto Local Genotypes of Capsicum spp. as Rootstocks to Alleviate Bacterial Wilt and Root-Knot Nematodes under Protected Cultivation
Previous Article in Special Issue
Interpreting the Interaction of Genotype with Environmental Factors in Barley Using Partial Least Squares Regression Model
 
 
Font Type:
Arial Georgia Verdana
Font Size:
Aa Aa Aa
Line Spacing:
Column Width:
Background:
Article

Assessment of Drought Responses of Wild Soybean Accessions at Different Growth Stages

1
Department of Applied Biosciences, Kyungpook National University, Daegu 41566, Republic of Korea
2
Department of Biology, Kyungpook National University, Daegu 41566, Republic of Korea
3
Department of Plant Bioscience, Seoul National University, Seoul 08826, Republic of Korea
*
Author to whom correspondence should be addressed.
Agronomy 2024, 14(3), 471; https://doi.org/10.3390/agronomy14030471
Submission received: 9 February 2024 / Revised: 25 February 2024 / Accepted: 25 February 2024 / Published: 27 February 2024
(This article belongs to the Special Issue Crop Biology and Breeding under Environmental Stress)

Abstract

Drought is a significant abiotic stress that limits crop production. Soybeans [Glycine max (L.) Merr.] are regarded as drought-sensitive. In the present study, the drought responses of wild soybean accessions were evaluated at different growth stages. Based on the leaf wilting index of 411 accessions at the vegetative stage, seven highly tolerant (HT) and 24 tolerant (T) accessions were identified, although most wild soybeans were classified as moderate (M), sensitive (S), and highly sensitive (HS) genotypes. In addition, with selected wild soybeans, stomatal density decreased in HT accessions but increased in HS accessions under drought conditions at the vegetative stage. However, for cultivated soybeans, the stomatal density of the drought-tolerant and drought-sensitive were not significantly different between the two conditions. The expression levels of drought-related transcriptional factors indicated that the HT genotype showed a higher expression level of drought-related genes than that of the HS genotype at the vegetative stage. At the reproductive stages, 12 wild soybeans randomly selected from HT, T, S, and HS based on assessment at the vegetative stage showed consistent drought responses with seed yield, root development, and water status. However, the extent of the detrimental effect of drought on the germination rates and root length of 165 wild soybeans at the germination stage varied depending on the genotype, indicating that there may not be a robust correlation between phenotypic measurements at the germination stage and drought-related assessments at the two growth stages. The information from this study can provide useful breeding materials for the development of drought-tolerant cultivars from wild soybeans.

1. Introduction

Drought is a major environmental constraint and devastating abiotic stress that negatively affects crop production and yield stability. Drought is defined as a prolonged water shortage on and beneath the soil surface [1]. Global warming caused by increased greenhouse gas emissions has raised the Earth’s surface temperature [2]. The corresponding increase in soil temperature has increased the evaporation rate of water, resulting in its scarcity in the soil [3]. Additionally, uneven precipitation patterns have resulted in severe environmental conditions, and drought stress has become one of the most important concerns for crop production worldwide. It has been suggested that the frequency and severity of drought stress have already accelerated, highlighting drought stress as a potential threat to food security worldwide in the near future [4].
Soybeans [Glycine max (L.) Merr.] are an essential source of protein, oil, carbohydrates, and micronutrients both in the human diet and in animal feed. It is considered an important commercial crop globally owing to its excellent nutritional value and health benefits [5]. Cultivated soybean (Glycine max) was domesticated from its wild progenitor Glycine soja in East Asia thousands of years ago. The morphological and physiological properties of cultivated soybeans have been selected for the demands of agricultural cultivation [6]. Favorable genes from wild soybeans, such as adaptation, tolerance to abiotic stresses, and resistance to biotic stresses, have been successfully introgressed into the domesticated soybean cultivar through breeding programs [7].
The amount of water required for soybean growth varies depending on the developmental stages [8]. Because of the small canopy size, the rate of water use at the germination and seedling stages is relatively low [9]. It has been reported that some morphological changes occur during vegetative stages under drought conditions, although plants require a low amount of water for their growth. Water demand increases when soybean reaches the vegetative stages from the V3 (three trifoliate leaves stage) to the V5 stage (five trifoliate leaves stage) [10]. The amount of water required during the flowering to the pod-filling period of soybean increases three or four times compared to that of the early vegetative stages [8]. At the reproductive stage, drought stress in soybean can reduce the yield by up to 44% [11]. Furthermore, a reduction in photosynthesis due to drought stress during seed filling can influence the conversion of storage compounds, such as protein and oil, in soybean seeds [12].
Drought tolerance is defined as the ability of plants to survive and produce a relatively higher yield under drought conditions compared to drought-sensitive crops [13,14]. The seed yield of tolerant soybean genotypes under drought conditions was found to be comparable to that under normal conditions, whereas the seed yield of sensitive genotypes was significantly decreased by a water deficit [15].
In addition to yield-related attributes, other parameters, such as stomatal conductivity and growth patterns of the roots and shoots, also play critical roles in determining the drought tolerance of soybean at different growth stages [16]. When water loss is high, as in conditions of high transpiration rate or low water availability, it can lead to a decrease in leaf water potential and reduced turgor pressure in the guard cells surrounding the stomatal pores [17,18,19]. Decreased turgor pressure triggers a response in the guard cells, leading to stomatal closure. Stomatal closure is an adaptive mechanism that helps plants reduce water loss and maintain water balance. The limitation of the transpiration rate reduces the hydraulic conductance between the xylem and guard cells in leaves, resulting in slow canopy wilting, which is one of the primary visual traits for drought tolerance [20]. In seasonal drought, the developmental adjustment of the root and its branches can further influence the extent of water absorption by plants. For example, deep root systems allow plants to access deep soil water [21]. The drought tolerance of plants may be ascribed to root systems with thin roots and a high number of lateral roots [16]. The drought tolerance of soybean may be associated with the adjustment of the root-to-shoot ratio under drought conditions [22].
Soybean plants adapt to drought stress through a complex process comprising stress perception, signal transduction, and the expression of stress-related transcription factors (TFs) and their downstream targets [23]. Among the TFs, some families, such as RD (Response to Desiccation), ERD (Early Responsive to Dehydration), DREB (Dehydration-Responsive Element-Binding), NAC (NAM, ATAF, CUC), WRKY (composed of a conserved WRKYGQK motif), and MYB (myeloblastosis), are involved in drought tolerance as mediators of the classic abscisic acid (ABA)-dependent or -independent signaling pathways [24,25,26,27,28]. The interaction between GmWRKY27 and GmMYB174 suppresses GmNAC29 expression by binding to its promoter, resulting in enhanced drought tolerance in transgenic soybean [29]. In addition, GmERD1 was induced by drought stress in the Edamame cultivar KH11 [30]. Moreover, the overexpression of GmDREB2 in Arabidopsis enhances tolerance to drought stress without adverse growth retardation [31]. Similarly, the overexpression of GmFDL19 in transgenic soybeans also enhances drought tolerance at the seedling stage [32]. GmNAC11 acts as a transcriptional activator and affects the expression of DREB1A and other stress-related genes [33].
To date, few studies have focused on the morphological and physiological responses of wild soybean to drought stress at different growth stages, such as germination, vegetative, and reproductive stages. Additionally, the responses of wild soybean accessions to drought conditions have not been systematically evaluated, although they might be excellent genetic materials for breeding programs. The objective of this study was to assess various phenotypic responses of wild soybean accessions subjected to drought conditions at the vegetative, reproductive, and germination stages, as follows: (1) leaf morphological and stomatal density, as well as the expression profile of drought-related genes at the vegetative stage; (2) changes in root system architecture and physiological responses at the reproductive stage and their contribution to seed yield; and (3) changes in the seed germination rate and root length at the germination stage.

2. Materials and Methods

2.1. Plant Materials

In total, 411 wild soybean accessions were obtained from the National Agrobiodiversity Center of the Rural Development Administration in Jeonju, Republic of Korea (https://genebank.rda.go.kr/) (accessed on 1 February 2024) [34]. The plant materials used are listed in Table S1. The drought tolerance of the wild soybean accessions was evaluated at three different growth stages: the vegetative, reproductive, and germination stages. The drought-tolerant soybean cultivar, DT2008, and the drought-sensitive soybean cultivar, Williams 82, were used as references for the leaf wilting score (LWS) [35,36]. In addition, another drought-sensitive soybean cultivar, DT99, was evaluated [37]. First, all wild soybean accessions were evaluated for their response to drought stress at the vegetative stage (Experiment 1). Next, 12 soybean accessions with different tolerance levels, which were determined through Experiment 1, were assessed for their response to drought conditions at the reproductive stage (Experiment 2). Finally, 165 soybean genotypes selected in Experiment 1 were evaluated for their germination rate and root length under the drought conditions induced by 12% PEG 6000 (Sigma-Aldrich, St. Louis, MO, USA) at the germination stage (Experiment 3).

2.2. Experiment 1: Drought Response at the Vegetative Stage

Phenotypic measurements of 411 wild soybean accessions were conducted under greenhouse conditions at the Kyungpook National University, Daegu, Republic of Korea (36°06′45.8″ N 128°38′33.4″ E). Five seeds were planted into each hole of the plastic trays (46 × 23 × 11 cm) and thinned into two plants per hole. Two plants per hole was considered a single replication. The experiment was conducted in two replicates under controlled conditions of 14 h light/10 h dark cycle. Five repeated experiments were evaluated (20 August to 12 September 2018, 15 September to 10 October 2018, 20 October to 15 November 2018, 12 January to 9 February 2019, and 15 April to 10 May 2019).

2.2.1. Measurement of LWS

Soybean plants were exposed to drought conditions for seven days when they reached the V2 stage with two trifoliate leaves. Drought tolerance was determined based on the LWS values of each accession. Leaf wilting was scored from 1 (no wilting) to 5 (plant death): 1, no apparent symptoms of wilting; 2, 1–25% wilting; 3, 26–50% wilting; 4, 51–75% wilting; and 5, whole plant withered (dead; Figure S1). The LWS of each accession was determined using the mean value of five replicates. Depending on the LWS, we classified the accessions into five groups: accessions with LWS less than 1.5 were assigned as highly tolerant (HT); those between 1.5 and 2.5, tolerant (T); between 2.5 and 3.5, moderate (M); between 3.5 and 4.5, sensitive (S); and greater than 4.5, highly sensitive (HS).

2.2.2. Stomatal Density

Based on the result from experiment 1, three HT (WC2-011, WC2-083, WC2-102) and three HS (WC2-065, WC2-104, WC2-142) were selected to measure the stomatal density. Soybeans were planted in a 50-hole tray (46 × 23 × 11 cm) containing horticultural soil. Three seeds from each accession were planted in a hole at 1 cm depth, with five holes representing one replication. This experiment had three replications under control and drought conditions. After emergence, only one seedling was kept at each hole for their growth. When soybean plants reached the V2 stage, drought stress (stop watering) was imposed for 5 days (the leaves were wilted but not completely dried). In this experiment, leaves under drought conditions were collected 5 days after drought treatment (DAT). The control condition was well watered to each accession, and the leaves were collected at the same time, with the leaves collected under drought conditions. The leaves were collected, and their stomatal densities were measured using a modified method described by Sharma [38]. The first and second trifoliate leaves were collected from each accession and placed in a clearing solution (a 7:1 solution of 95% ethanol to acetic acid) overnight at room temperature. After removing the clearing solution, the leaf tissues were placed in 1 N KOH until they became transparent. The leaves were gently washed with distilled water. Images of the leaves mounted in glycerol were captured in a 3840 × 2880 format using a DFC 450C-744780815 camera under a Leica DM2500 microscope (Leica Microsystems Limited, Balgach, Switzerland). Grayscale images with high dynamic range quality at 40× magnification were obtained using the Leica application suite (LAS v.4.6) in 0.3118 × 0.233 mm format. Stomatal density was measured in pictures obtained using this protocol.

2.2.3. Isolation of RNA and qRT-PCR Analysis

One HT (WC2-102) and one HS (WC2-104) from Experiment 1 were selected for the expression analysis. Three replications were conducted for the RNA expression analysis. When the seedlings were at the V2 stage (about 2 weeks old), drought treatment was applied by withholding water. Leaf and root samples at 0 DAT, 1 DAT and 3 DAT were collected and frozen immediately in liquid nitrogen and then stored at −80 °C prior to RNA extraction. Total RNA was extracted from the leaves and roots using TRIzol reagent (Invitrogen, Carlsbad, CA, USA), according to the manufacturer’s instructions. First-strand complementary DNA (cDNA) was synthesized via reverse transcription of the total RNA using an oligo-dT(20) primer and Superscript III (Invitrogen, Carlsbad, CA, USA), according to the manufacturer’s instructions.
A LightCycler1 480 Real-Time PCR System (Roche, Germany) was used to determine the transcript abundance of drought-related genes. A mixture of 2 μL of first-strand cDNA, 10 pmol of forward and reverse primers, and 10 μL of SYBR Green I Master Mix (Roche, Germany) was subjected to qRT-PCR analysis. Soybean Cons7 was used as the reference gene [39]. The experiments were performed in triplicate. The following PCR cycle was used: 95 °C for 5 min, followed by 45 cycles of 95 °C for 10 s, 56 °C for 20 s, and 72 °C for 10 s. The primers used are listed in Table S2.

2.3. Experiment 2: Drought Response at the Reproductive Stage

Twelve wild soybean accessions from Experiment 1, namely WC2-011 (HT), WC2-083 (HT), WC2-102 (HT), WC2-016 (T), WC2-329 (T), WC2-336 (T), WC2-059 (S), WC2-272 (S), WC2-291 (S), WC2-065 (HS), WC2-104 (HS), and WC2-142 (HS), were selected to determine their response to drought at the reproductive stage. Five seeds were sown in each pot (30 × 30 × 20 cm) filled with a mixture of horticultural soil and sandy soil (2:1). The seedlings were thinned to two plants per pot at the V1 stage. Each accession had two groups with three replications under controlled conditions of 14 h light/10 h dark cycle in vegetative stages and 10 h light/14 h dark cycle in reproductive stages: one group was used for control (watered during plant growth and development), and the other was used for drought stress treatments. The pots were placed in a greenhouse, opened on sunny days to maintain natural living conditions, and closed on rainy days to avoid a rain-soaked plastic basin. Experiment 2 was conducted in three repeated tests (August 2019 to April 2020, June 2020 to December 2020, and May 2021 to November 2021). When wild soybean accessions were flowered, drought stress was applied for 10 days, after which the plants were irrigated until maturity. Mature plants were harvested for further phenotypic measurements, including seed yield, root system architecture, and physiological indicators.

2.3.1. Seed Yield

Total seed yield per plant (TSY) was measured for each plant per pot. The 100-seed weight (100 SW) and the ratio of healthy seeds’ weight (HSW) to total seed yield (TSY) were determined.

2.3.2. Root System Architecture

After the seed harvest, the aboveground part of each accession was discarded, and the root with soil adhered to it was carefully removed from the pot. The roots were gently washed with tap water to remove the attached soil. Primary root length was measured using a ruler (cm), and the number of lateral roots was counted. The roots were then completely dried for 24 h in a dry oven (at 65 °C), and their total dry weight was determined.

2.3.3. Physiological Indicators

With decreasing leaf water potential, the relative water content, water uptake capacity, and membrane permeability of plant leaves were measured. The relative water content was estimated by obtaining the fresh weight (FW) of the leaf and the turgid weight (TW) of the leaf after equilibration for a day. The leaf water status was estimated using the following equations [40] on the same leaf after drying (DW):
Relative water content (RWC) = [(FW − DW)/(TW − DW)] × 100
Water saturation deficiency (WSD) = 100 − RWC
Water uptake capacity (WUC) = TW/FW
The membrane stability index or electron leakage (EL) is a measurement of membrane damage in leaf samples and is often used as an indicator of plant stress or injury. It was calculated according to the modified method described by [41]. The EL value provides an estimate of the extent of membrane damage in the leaf samples. Lower EL values indicate greater membrane stability, while higher values suggest increased membrane damage or permeability. A trifoliate leaf sample was collected, placed in a conical tube with 40 mL of deionized water, and incubated overnight at room temperature (C1) before autoclaving (C2). The electrolytic conductivities of the C1 and C2 samples were determined using a handheld conductivity meter (TDS and EC meter) using the following formula:
Electron leakage (EL) = (C1/C2) × 100
All of the samples were collected for the physiological measurements at 10 DAT.

2.4. Experiment 3: Drought Response at the Germination Stage

In Experiment 3, 165 wild soybean accessions were used to determine their drought tolerance at the germination stage. The drought conditions were generated by treating germinating seeds with 12% PEG 6000 [42]. For each accession, ten healthy seeds were selected, the seed coat was broken, sterilized and placed on wet filter paper in 9 cm-diameter Petri dishes. The Petri dishes were then filled with 10 mL of PEG 6000 or the control solution (distilled water). Seeds with at least 1 cm in root length were regarded as germinated. Five germinated seeds with the longest root were selected from each accession, and the lengths of the roots were measured. The seed germination experiment was repeated in triplicate to measure the overall germination percentage.

2.5. Statistical Analysis

Data analysis was performed using SPSS (IBM SPSS Inc., Chicago, IL, USA). A two-way analysis of variance (ANOVA) was performed to assess the effect of accession, drought treatment and the interaction between them. Differences between the means were analyzed using an independent t-test (p < 0.05). Tukey’s test was used for the multiple comparison analysis of the genotypic groups, and the results were reported at a significance level of 5%. Pearson’s phenotypic correlations between genotypes under each treatment condition or between different growth stages were computed [43].

3. Results

3.1. Drought Tolerance at the Vegetative Stage (Experiment 1)

The most effective indicator of plant response to drought stress was leaf wilting. The slow wilting of soybean leaves under drought conditions is a beneficial agronomic feature for assessing drought tolerance. Through visual evaluation of 411 wild soybeans, seven genotypes were classified as HT accessions that did not show wilted leaves and had less than 1.5 LWS under drought conditions, and 24 accessions were T (Figure 1; Table S3). Most accessions were M (65 accessions), S (114 accessions), and HS (201 accessions) (Table S3).

3.1.1. Stomatal Density

Stomata are a major physiological factor for optimizing water use in plants under drought conditions. Although stomatal behavior in response to drought has been studied intensively, less attention has been paid to the changes in stomatal density under drought stress. To evaluate the effect of drought stress on the stomatal density of leaves at vegetative growth stages, we measured the stomatal density of HT and HS genotypes, that is, WC2-011 (HT), WC2-083 (HT), WC2-102 (HT), WC2-065 (HS), WC2-104 (HS), and WC2-142 (HS). Mean square values were observed using accessions × treatment analysis, presented in Table S4. The ANOVA revealed that the stomatal density variation was significant among genotypes in wild soybeans. Interactions between genotypes and treatment conditions were highly significant (p < 0.001) in all of the observed leaf parts (Table S4). We found that the stomatal densities in the proximal part of both the first and second trifoliate leaves of the VT accessions significantly declined under drought conditions (Figure 2 and Figure S2A). A non-significant difference was found in the middle part of the first trifoliate leaves, while stomatal density in the second trifoliate leaves of VT accessions tended to decrease. As for VS accessions, the stomatal densities of WC2-065 (VS), WC2-104 (VS), and WC2-142 (VS) under drought conditions were higher than those under control conditions (Figure 2 and Figure S2B). Interestingly, the stomatal density of G. max did not differ between the control and 5 DAT (Figures S2C and S3). In addition, the stomatal densities of DT99 (S) and Williams 82 (VS) were higher than those of DT2008 (T) (Figures S2C and S3).

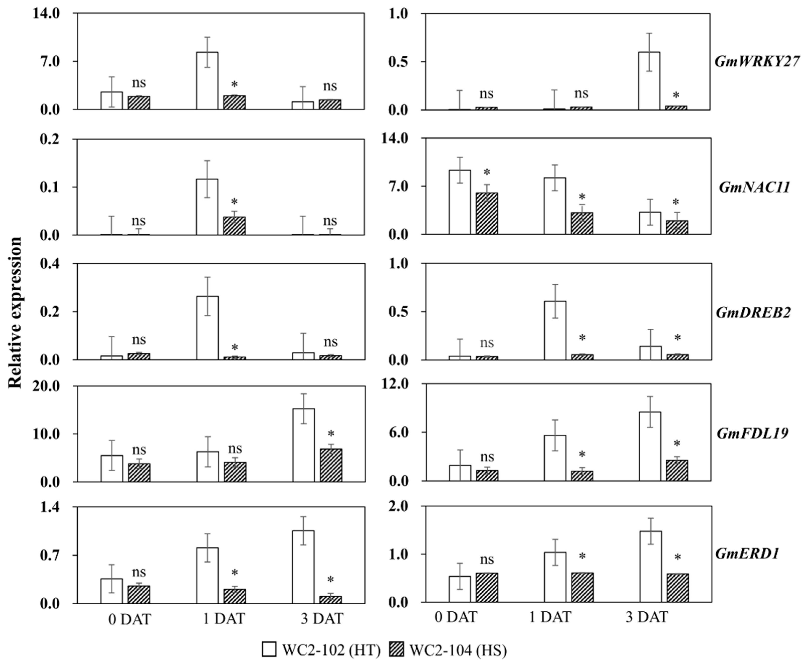
3.1.2. Expression Patterns of Drought-Related Genes

Previous studies have identified several regulatory components that respond to drought stress, including DREB, MYB, NAC, and WRKY TFs. To gain insights into their potential functions, the expression profiles of drought-related genes were determined via qRT-PCR using WC2-102 (HT) and WC2-104 (HS) in response to drought stress. Under drought conditions, the expression levels of GmWRKY27, GmNAC11, GmDREB2, GmFDL19, and GmERD1 in both the leaf and root tissues of WC2-102 (VT) were higher than those in WC2-104 (VS) (Figure 3). Interestingly, GmNAC11 transcripts were more abundant in roots than in leaves, whereas GmWRKY27 transcripts were highly expressed in leaves. In addition, GmDREB2, GmFDL19, and GmERD1 were highly expressed in both leaves and roots. These results were consistent with those of the reference cultivars (Figure S4).

3.2. Drought Tolerance at the Reproductive Stage (Experiment 2)

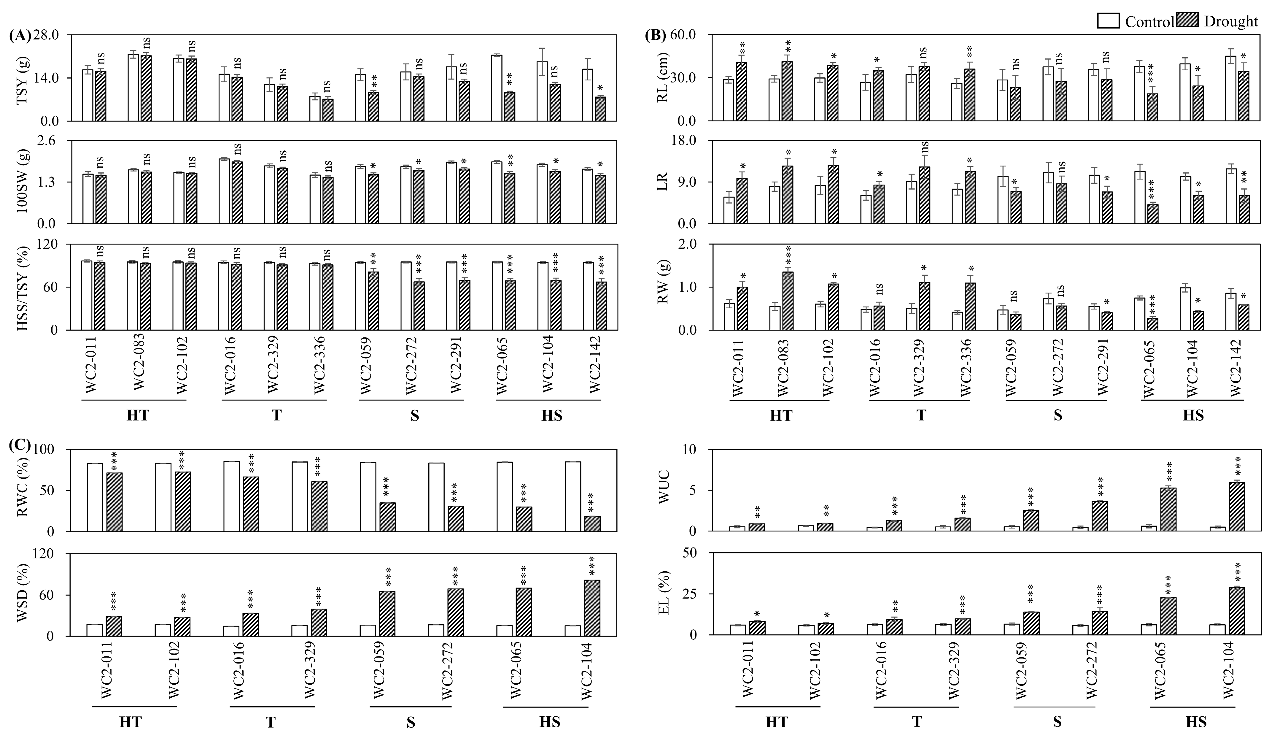
Three accessions of HT, T, S, and HS genotypes based on a visual assessment at the vegetative stage (Experiment 1) were examined to assess their responses to drought stress with regard to root development and physiological and yield-related traits at the reproductive stage (Experiment 2). We selected WC2-011, WC2-083, and WC2-102 as the HT genotypes and WC2-016, WC2-329, and WC2-336 as the T genotypes. For the S genotype, three accessions were chosen: WC2-058, WC2-272, and WC-291. WC2-065, WC2-104, and WC2-142 were selected as the HS accessions. Significant variances were observed between mean square values. Variances of the considered traits were significant by genotype, treatment and interaction between them; non-significant differences were found in terms of LR by treatment (Table S5).

3.2.1. Seed Yield

Drought stress is known to cause a decline in seed yield, especially in soybeans [20,21]. Therefore, the effect of drought stress on the seed yield of the selected genotypes was evaluated. The results revealed that the total seed yield (TSY) of the HT and T accessions was not affected by drought stress (Figure 4A). Decreased TSYs were observed in both the S and HS accessions. The TSYs of WC2-059 (S), WC2-065 (HS), and WC2-142 (HS) significantly decreased, while the TSYs of WC2-272 (S), WC2-291 (S), and WC2-104 (HS) decreased; however, the difference was not significant (Figure 4A).
To evaluate the 100-seed weight (100SW) and seed quality, we harvested seeds from the genotypes after drought treatment during the reproductive stages (Figure 4A). The 100SW of S and HS accessions that experienced drought conditions were significantly decreased in comparison with the control, whereas the 100SW of HT and T accessions did not differ between the control and drought conditions. Given that seed quality was defined as the ratio of HSW to TSY, no significant difference was observed in the ratio of HT and T genotypes between the control and drought conditions, whereas the ratio of S and HS genotypes was found to decrease significantly. The reason for the low ratio of S and HS genotypes was that drought stress caused a significantly higher number of shrunken seeds under drought conditions than those in the control conditions (Figure S5).

3.2.2. Root System Architecture

To evaluate the response of the soybean root system to drought conditions, we examined the architectural features of soybean accessions under drought stress during the reproductive stage (Figure 4B and Figure S6). The root systems of tolerant accessions were more developed than those of sensitive accessions under drought conditions: WC2-083 (HT; 41.2 cm) had the longest root length (RL), followed by WC2-011 (HT; 40.6 cm) and WC2-102 (HT; 38.5 cm). In addition, most of the HT and T accessions had significantly longer RL than those under the control condition, although the RL of WC2-329 (T) was not significantly different between the control and drought conditions. In contrast, the RL of HS accessions under drought stress was significantly shorter than that under the control conditions. The RL of WC2-065 (HS) was the shortest (18.8 cm; Figure 4B and Figure S6). The increasing trend in the number of lateral roots (LRs) was observed in VT and T genotypes under drought stress compared with the control condition, whereas the opposite trend was observed in S and HS. As for the total root weight (RW) on a dry basis, WC2-083 (HT) had the highest RW value (1.32 g/plant) under the drought condition, followed by WC2-102 (VT; 1.07 g/plant) and WC2-011 (VT; 1.00 g/plant). The RW of the HS accessions decreased when subjected to drought conditions. WC2-065 (HS) showed the smallest RW value (0.27 g/plant) and the shortest RL (18.8 cm; Figure 4B).

3.2.3. Physiological Indicators

Plant water status directly affects plant metabolism and development. Thus, for some selected accessions, we evaluated the effect of drought stress on their relative water content (RWC), water saturation deficiency (WSD), water uptake capacity (WUC), and electron leakage (EL) (Figure 4C). All accessions under drought stress showed a significant decrease in RWC compared to those under the control condition. WC2-011 (HT) and WC2-102 (HT) had the highest RWC under drought conditions, whereas WC2-104 (HS) had the lowest RWC under drought conditions (Figure 4C). In contrast, all accessions under drought stress showed significant increases in WSD, WUC, and EL compared to those under the control condition. WSD indicates the extent of plant water loss. The S and HS accessions under drought stress showed high WSD levels, indicating that water loss was higher in the S and HS genotypes than in the HT and T accessions (Figure 4C). A higher WUC indicates that the cell needs to absorb more water to reach its turgid state, and all accessions under drought stress exhibited higher levels of WUC, with the S and HS accessions showing greater increases than tolerant ones (Figure 4C). According to the EL assessments, the cell membranes of the HT accessions were more stable than those of the other groups (Figure 4C).
Pearson’s correlations between the measured traits under control and drought conditions during the reproductive stage are shown in Table 1. Correlation analysis showed that root traits, such as RL, LR, and RW, under drought conditions were significantly negatively correlated with WSD, WUC, and EL and positively correlated with RWC and the ratio of HSW/TSY (Table 1). For the HSW/TSY ratio, significant correlations were observed between root and physiological traits under drought conditions. However, 100SW and TSY were not correlated with any of the other traits under drought conditions. These results suggest that the production of healthy seeds of wild soybean accessions subjected to drought conditions is predictable based on measurements of root and physiological traits. In the correlation analysis under control conditions, root traits such as RL, LR, and RW displayed significantly high correlations with each other. In addition, there was a significant correlation between WSD and RWC in the control condition (r2 = −1.00, p < 0.01), 100SW and RWC (r2 = 0.92, p < 0.01), and 100SW and WSD (r2 = −0.92, p < 0.05) (Table 1).

3.3. Drought Tolerance at the Germination Stage (Experiment 3)

Seed germination is critical for plant establishment, and plants are particularly sensitive to drought stress at this stage since osmotic potential exerts a substantial impact on germination. Examining the influence of genotypic variability and drought treatment on seed germination, two-way ANOVA showed a significant effect of the tested factors: accessions (p < 0.001), PEG-induced drought (0%, and 12%; p < 0.001) on the germination rate and root length (Table S6). A total of 165 wild soybean accessions were evaluated for their germination rates and RLs under control and drought conditions induced by 12% PEG 6000 (Table S7). The results of the six genotypes selected from the 165 wild soybean accessions are shown in Figure 5. Among the HT genotypes, the germination rates of WC2-011 (HT) and WC2-102 (HT) seeds were only negligibly affected by drought stress, whereas those of WC2-083 (HT) seeds were severely compromised to less than 50% of the control (Figure 5A). Similarly, the root growth of the former was not affected by drought, but that of the latter was markedly compromised (Figure 5B). Meanwhile, the germination rates of WC2-104 (HS) and WC2-142 (HS) in drought treatment were 65% and 75% compared with the ones in the control condition, respectively (Figure 5A). Among the six genotypes, WC2-065 (HS) had the lowest germination rate (Figure 5A). The highest decrease in RL was WC2-065 (HS, 86%), whereas that of WC2-011 (HT) and WC2-102 (HT) was not significantly different from its control condition (Figure 5B). The range of the germination rates of HT (n = 4), T (n = 10), M (n = 17), S (n = 49), and HS (n = 85) genotypes under the drought condition were 35.0–96.7%, 5.0–80.0%, 20.0–85.0%, 0.0–90.0%, and 5.0–90.0%, respectively (Table S7). In addition, the means of RL of the HT, T, M, S, and HS accessions under drought conditions were 3.3 ± 0.6, 3.2 ± 0.8, 3.0 ± 1.1, 3.0 ± 1.2, and 3.2 ± 1.1 cm, respectively. These results indicate that the extent of the detrimental effect of drought on the germination rates and RL of wild soybeans at the germination stage varied depending on the genotype and did not correlate with the drought response disclosed at the vegetative and reproductive stages.

4. Discussion

Soybean is an agronomically important crop worldwide, and drought is one of the major abiotic stresses that negatively affect crop production. Therefore, there is a need to develop drought-tolerant cultivars utilizing soybean germplasm, especially for wild soybeans, with unique favorable genes for traits of interest. To date, no studies have systematically evaluated the drought tolerance of wild soybean accessions at the germination, vegetative, and reproductive stages. The LWS has been used as a visible indicator to evaluate the response of plants to drought stress on a large scale [44,45]. In the present study, 411 wild soybean accessions were used to determine their response to drought conditions during the vegetative growth stage. Among them, 7 and 24 accessions were classified into the HT and T genotypes, respectively, according to their LWS under drought conditions. In addition, the most evaluated accessions were the M (65 accessions), S (114 accessions), and HS (201 accessions) genotypes under drought conditions (Table S3). This information represents a useful genetic resource for soybean researchers to study drought stress and develop a new drought-tolerant cultivar using wild soybeans.
In soybean, smaller stomata have been reported in response to water deficit [46,47,48], but changes in the stomatal density in response to water deficit are variable, as various reports show unchanged, increased, or decreased stomatal density [46,47,48,49,50]. Greater stomatal density was associated with a higher transpiration rate and increased water loss [17,18,19,51].
Plants with lower stomatal density were more drought-tolerant and more water-conservative than the plants with higher stomatal density [52,53]. Under severe drought conditions, stomatal density in rye grass, poplar, rice, and wheat had decreased when compared to well-watered conditions and contributed to drought tolerance [54,55,56,57]. In this study of wild soybean accessions, stomatal density was lower in the HT accessions, whereas the stomatal density of the VS accessions was higher under drought conditions than under control conditions (Figure 2). Interestingly, cultivated soybeans DT2009 (T), DT99 (S), and Williams 82 (HS) did not show any significant differences in stomatal densities between control and drought conditions (Figures S2C and S3). Changes in stomatal density under drought conditions vary depending on the plant species and genotypes [47,52,53,58,59,60,61,62]. This is the first investigation of the stomatal density of G. max and G. soja between control and drought conditions. In addition, since a reduced stomatal density may partially compensate for the trade-off between plant growth and adaptation [57], this could be an important stress tolerance trait that may have been lost in the selection of elite cultivars [63]. The lower stomatal density observed in drought-tolerant wild soybeans compared to drought-tolerant cultivated soybeans is likely a result of their adaptation to water-limited environments based on our result of drought-tolerant related traits such as RWC, WUC and water conservation. In addition, the relationship between stomatal density and drought tolerance is complex and can be influenced by various factors, including stomatal size, aperture, and conductance [53]. Thus, further studies on stomatal length, width, area, and stomatal conductance may help elucidate the different mechanisms in response to drought in wild and cultivated soybeans.
Drought-related genes, such as GmWRKY27, GmNAC11, GmDREB2, GmFDL19, and GmERD1, can help understand the responses of the HT and HS accessions to drought at vegetative stages. These genes have also been studied in Arabidopsis and other plant species with respect to drought tolerance [25,32,64,65]. WRKY TF plays a vital role in regulating the anti-stress response and plant defense by inducing the accumulation of ABA and its signaling pathway. The overexpression of GmWRKY16 enhanced the resistance of G. max plants to drought and salt stress [66]. Similarly, GmWRKY54 transgenic plants of Arabidopsis showed more tolerance to drought stress than wild-type plants [64]. GmWRKY27 genetically interacts with GmMYB174 to repress the expression of GmNAC29 by binding to its promoter, resulting in drought-tolerant plants [29]. In this study, the GmWRKY27 transcript level was high in the leaves of the WC2-102 (HT) and low in the leaves of the WC2-104 (HS) at 1 DAT (Figure 3), suggesting that it may play a role in the drought tolerance of the HT accession, most likely through ABA biosynthesis and accumulation.
The ERD family is comprised of genes whose expression is rapidly induced by dehydration. ERD1 functions in an ABA-independent pathway and is involved in a cascade of reactions that act directly in response to abiotic stress [65,67,68]. An ERD15 homolog in soybean can act as a connector in stress response pathways that triggers a programmed cell death signal [69]. Thus, the increased expression of GmERD1 in both the leaves and roots of HT after drought treatment suggested that it may play a role in the regulation of drought tolerance (Figure 3 and Figure S4).
NAC TFs are known to induce the expression of other TFs, such as DREB2 and ERD1. The constitutive overexpression of GmNAC085 in Arabidopsis results in a slightly reduced growth rate, decreased transpiration rate, and cell membrane damage under drought conditions, resulting in enhanced drought tolerance in transgenic plants [70]. Similarly, the drought-tolerant cultivar DT51 may be positively correlated with higher induction of GmNAC expression during water deficit [71]. GmNAC11 regulates DREB1A and other stress-related genes in transgenic soybean plants, including ERD11 [33]. In addition, the overexpression of the GmDREB2 gene activates the expression of downstream genes involved in free proline biosynthesis, which, in turn, enhances tolerance to drought stress in transgenic plants [31,72,73,74]. Thus, our results, showing an increased expression of GmNAC11 and GmDREB2 in leaves after drought, are consistent with the results in the literature, highlighting the potential influence of these genes on the drought tolerance of the wild accessions (Figure 3 and Figure S4).
GmFDL19 belongs to the bZIP TF family and regulates environmental stress tolerance. GmFDL19 enhances drought tolerance in soybeans by regulating the expression of other TFs [32]. In this study, GmFDL19 expression was upregulated in both leaves and roots under drought conditions, suggesting its possible influence on drought tolerance of wild accessions (Figure 3 and Figure S4). Further studies should be conducted to determine how TFs regulate adaptive responses to drought stress in wild soybeans.
Plants regulate stomatal conductance to preserve cell turgidity in response to unfavorable environmental stress conditions [75]. Drought stress increases free radicals and reactive oxygen species, harming plant cells and leading to increased permeability of the cell membrane and the subsequent loss of cell membrane integrity [76,77]. Drought-tolerant plants can adjust their antioxidant defense systems to maintain membrane stability via osmoregulation [78,79]. Several studies have reported that plants change their stomatal conductance to maintain RWC to cope with drought stress due to the limitation of water absorption [80,81,82]. This study evaluated the physiological parameters of wild soybean accessions at the reproductive stages and revealed that the HT and T accessions showed less reduction in RWC under drought conditions than the S and HS accessions. Increases in WSD and WUC under drought conditions were inversely correlated with RWC in plants, resulting in water loss from drought-sensitive wild soybeans (Figure 4). In addition, based on the EL values as the membrane stability index, this study showed that the cell membranes of the HT accessions were more stable than those of the others, regardless of the presence or absence of drought stress (Figure 4). Drought tolerance is associated with higher leaf RWC, which may be due to the enhancement of cell integrity and transpiration rate [70]. Cell membrane stability contributes to enhanced plant growth and development under drought conditions [83]. Therefore, these physiological assessments have been considered key indicators for breeding programs to develop drought-tolerant cultivars with high yields.
Drought stress can cause considerable changes in biomass production. Severe drought conditions have been reported to decrease the biomass of soybeans [84], sugar beets [85], rice [86], and Thymus citriodorus [87]. The root system architecture has a substantial impact on plant survival and productivity [11]. The deeper penetration of roots into the soil is a key feature of drought-tolerant plants [88,89]. These results are in agreement with the fact that the HT and T accessions had longer roots and maintained a high TSY under drought conditions, whereas the HS accessions had shorter roots and a lower TSY under the same conditions (Figure 4A,B). Similarly, we observed that the HT and T accessions maintained a portion of healthy seeds under drought conditions as much as in the control, whereas S and HS showed a lower proportion of healthy seeds under drought conditions (Figure 4). Furthermore, correlation analysis indicated that the ratio of HSW/TSY was significantly correlated with root measurements and physiological traits under drought conditions (Table 1). Taken together, physiological measurements and root traits can be used as indicators to determine the ratio of HSW/TSY in wild soybeans and their response to drought stress in wild soybeans under drought conditions.
PEG treatment has been shown to create osmotic stress in various crops, including common beans [90], wheat [91], and barley [92]. Root length is considered an important criterion for the selection of drought-resistant species [93,94]. Reductions in plant RL by different PEG-6000 concentrations may be attributed to reductions in cell division and elongation during germination [95]. PEG treatment reduces the RL of soybeans [96]. These results are consistent with our study, in which the PEG 6000 treatment was found to decrease RL at the germination stage (Figure 4). However, the HT and T accessions, when exposed to drought stress at the reproductive stage, increased their RL (Figure 4B). In this study, WC2-011 (HT), WC2-083 (HT), WC2-102 (HT), WC2-065 (HS), WC2-104 (HS), and WC2-142 (HS) were found to respond consistently to drought stress at the vegetative and reproductive stages. In contrast, the germination rate and RL of WC2-083 (HT) at the germination stage were significantly different between control and drought conditions (Figure 5). The germination rate of WC2-142 (HS) under drought conditions was 65.0% over the control condition. Given these observations, the responses of wild soybean to drought stress at the germination stage would be one of the considerations for developing drought-tolerant cultivars utilizing wild soybeans. Taken together, the responses of wild soybeans to drought stress were highly consistent in both vegetative and reproductive stages. In other words, the response of wild soybeans to drought stress at the germination stage does not seem to correlate with that at the vegetative and reproductive stages.

5. Conclusions

To date, few studies have focused on the morphological and physiological responses of wild soybean to drought stress at different growth stages. Therefore, this study presents an initial effort to understand wild soybean accessions to drought stress. This study demonstrated that WC2-011 (HT), WC2-083 (HT), WC2-102 (HT), WC2-065 (HS), WC2-104 (HS), and WC2-142 (HS) showed consistent responses to drought stress at both vegetative and reproductive stages. Therefore, the selected wild soybean accessions can be used as genetic resources for future drought stress studies. This study concluded that the responses of wild soybeans to drought stress were highly correlated between vegetative and reproductive stages. However, there may not be a robust correlation between phenotypic measurements at the germination stage and drought-related assessments at two growth stages: vegetative and reproductive. The germination rate and RL at the germination stage of WC2-083 (HT) under drought conditions were significantly different from those under the control conditions. Thus, the responses of wild soybean to drought stress at the germination stage would be one of the considerations for developing drought-tolerant cultivars. Based on the correlation analysis, water status and root traits at the reproductive stage may be used as indicators to determine the ratio of HSW/TSY in wild soybeans under drought conditions. Stomatal density decreased in HT accessions but increased in HS accessions in response to drought, although the stomatal density of the cultivated soybeans was not affected by drought. The expression levels of drought-related TF genes examined in this study responded significantly to drought between HT and HS accessions, inviting future studies to focus on the biochemical and molecular responses mediated by the TFs in the selected soybean accessions. This study provides a reference for future breeding programs to develop superior soybean cultivars with high yields under drought conditions by utilizing wild soybeans as genetic resources.

Supplementary Materials

The following supporting information can be downloaded at: https://www.mdpi.com/article/10.3390/agronomy14030471/s1, Figure S1: (A) Photographic illustration of phenotypic evaluation for drought tolerance in G. soja. (B) Photographic illustration of drought tolerance in drought-tolerant (DT2008) and drought-sensitive (DT99); Figure S2: Anatomical features of 1st and 2nd trifoliate leaves at vegetative stage between control and 5 days after drought treatment (DAT). (A) Wild soybean accessions with drought highly tolerant (HT). (B) Wild soybean accessions with drought-very sensitive (HS). (C) Reference soybean cultivars. T and S represent drought tolerant and drought sensitive, respectively; Figure S3: Stomatal density in abaxial surface of soybean cultivars. DT2008 is drought-tolerant cultivar (T), DT99 is drought-sensitive cultivar (S), and Williams 82 as drought highly sensitive (HS) were evaluated under control condition and 5 days after drought treatment (5 DAT). Error bars represent standard deviation (SD) between the replications. 1st, first trifoliate leaf; 2nd, second trifoliate leaf.; ns, not significant; Figure S4: Expression levels of drought-related genes in leaf (left panels), and root (right panels) of soybean cultivars using quantitative PCR. Tissue samples were collected from DT2008 (drought-tolerant, T) and DT99 (drought-sensitive, S). Error bars represent SE of the mean of values. Expression levels were normalized using the constitutive gene (Cons7) as the reference. *, significant at p < 0.05; ns, not significant; Figure S5: Wild soybean seeds between control and drought condition. (A). Photographic illustration of healthy seeds (HTS) and shrunken seeds (SS). (B). Photographic illustration of 100-seeds of drought highly tolerant (HT) as WC2-011, WC2-083, WC2-102, drought-tolerant (T) as WC2-016, WC2-329, WC2-336, drought-sensitive (S) as WC2-059, WC2-272, WC2-291, and drought highly sensitive (HS) as WC2-065, WC2-104, WC2-142 between control and drought condition; Figure S6: The root architecture of wild soybean at reproductive stage between control and drought conditions. (A) Root of drought highly tolerant (HT) such as WC2-011, WC2-083, and WC-102. (B) Root of drought-tolerant (T) such as WC2-016, WC2-329, and WC2-336. (C) Root of drought-sensitive (S) such as WC2-059, WC2-272, and WC2-291. (D) Root of drought highly sensitive (HS) such as WC2-065, WC2-104, WC2-142. White bar indicates 10 cm of length; Table S1: List of 411 soybean accessions used in this study; Table S2: List of primers used in this study; Table S3: Leaf wilting score of 411 wild soybean accessions at vegetative stages. Plants treated under drought stress in the vegetative (V2) stage across the five replications and their classification. The accessions with LWS less than 1.5 were assigned as highly tolerant (HT), those with LWS between 1.5 and 2.5 were tolerant (T), those with LWS between 2.5 and 3.5 were moderate (M), those with LWS between 3.5 and 4.5 were sensitive (S), greater than 4.5 were highly sensitive (HS); Table S4: Combine mean square values of analysis of variance (ANOVA) of wild soybean stomatal density (SD) under drought conditions at the vegetative stage; Table S5: Combine mean square values of analysis of variance (ANOVA) of soybean root traits and seed yield, and physiological characters under drought conditions at the reproductive stage; Table S6: Combine mean square values of analysis of variance (ANOVA) of soybean germination percentage under PEG-induced drought; Table S7: Phenotypic assessments for 165 wild soybean accessions at germination stage.

Author Contributions

Conceptualization, J.T.S.; formal analysis, T.C.N.; investigation and methodology, T.C.N. and H.A.T.; writing—original draft preparation, T.C.N. and H.J.; writing—review and editing, H.J., J.L., J.-D.L., J.H.K. and H.S.S.; supervision and project administration, J.T.S. All authors have read and agreed to the published version of the manuscript.

Funding

This research was funded by the “Cooperative Research Program for Agriculture Science and Technology Development (Project No. PJ01416803)” Rural Development Administration, Republic of Korea.

Data Availability Statement

The original contributions presented in the study are included in the article/Supplementary Material, further inquiries can be directed to the corresponding author.

Conflicts of Interest

The authors declare that the research was conducted without any commercial or financial relationships construed as a potential conflict of interest.

References

  1. Jane, A.B.; George, D.H.; Coppola, D.P. Hazards. In Homeland Security, 2nd ed.; Butterworth-Heinemann: Oxford, UK, 2018; pp. 45–66. [Google Scholar] [CrossRef]
  2. Malhi, G.S.; Kaur, M.; Kaushik, P. Impact of Climate Change on Agriculture and Its Mitigation Strategies: A Review. Sustainability 2021, 13, 1318. [Google Scholar] [CrossRef]
  3. Khamidov, M.; Ishchanov, J.; Hamidov, A.; Shermatov, E.; Gafurov, Z. Impact of Soil Surface Temperature on Changes in the Groundwater Level. Water 2023, 15, 3865. [Google Scholar] [CrossRef]
  4. Seleiman, M.F.; Al-Suhaibani, N.; Ali, N.; Akmal, M.; Alotaibi, M.; Refay, Y.; Dindaroglu, T.; Abdul-Wajid, H.H.; Battaglia, M.L. Drought Stress Impacts on Plants and Different Approaches to Alleviate Its Adverse Effects. Plants 2021, 10, 259. [Google Scholar] [CrossRef] [PubMed]
  5. Hymowitz, T. On the domestication of the soybean. Econ. Bot. 1970, 23, 408–421. [Google Scholar] [CrossRef]
  6. Li, L.F.; Olsen, K.M. To have and to hold: Selection for seed and fruit retention during crop domestication. Curr. Top. Dev. Biol. 2016, 119, 63–109. [Google Scholar] [CrossRef] [PubMed]
  7. Nawaz, M.A.; Lin, X.; Chan, T.-F.; Ham, J.; Shin, T.-S.; Ercisli, S.; Golokhvast, K.S.; Lam, H.-M.; Chung, G. Korean Wild Soybeans (Glycine soja Sieb & Zucc.): Geographic Distribution and Germplasm Conservation. Agronomy 2020, 10, 214. [Google Scholar] [CrossRef]
  8. Hobbs, E.H.; Muendel, H.H. Water requirements of irrigated soybeans in Southern Alberta. Can. J. Plant Sci. 1993, 63, 855–860. [Google Scholar] [CrossRef]
  9. Kpoghomou, B.K.; Sapra, V.T.; Beyl, C.A. Screening for Drought Tolerance: Soybean Germination and its Relationship to Seedling Responses. J. Agric. Crop Sci. 1990, 164, 153–159. [Google Scholar] [CrossRef]
  10. Fehr, W.R.; Caviness, C.E.; Burmood, D.T.; Pennington, J.S. Stage of development descriptions for soybeans, Glycine Max (L.) Merrill. Crop Sci. 1971, 11, 929–931. [Google Scholar] [CrossRef]
  11. Manavalan, L.P.; Guttikonda, S.K.; Phan Tran, L.S.; Nguyen, H.T. Physiological and Molecular Approaches to Improve Drought Resistance in Soybean. Plant Cell Physiol. 2009, 50, 1260–1276. [Google Scholar] [CrossRef]
  12. Isah, T. Stress and defense responses in plant secondary metabolites production. Biol. Res. 2019, 52, 39. [Google Scholar] [CrossRef] [PubMed]
  13. Fleury, D.J.; Stephen, K.; Haydn, L.P. Genetic and genomic tools to improve drought tolerance in wheat. J. Exp. Bot. 2010, 61, 3211–3222. [Google Scholar] [CrossRef] [PubMed]
  14. Sallam, A.; Alqudah, A.M.; Dawood, M.F.; Baenziger, P.S.; Börner, A. Drought stress tolerance in wheat and barley: Advances in physiology, breeding and genetics research. Int. J. Mol. Sci. 2019, 20, 31–37. [Google Scholar] [CrossRef] [PubMed]
  15. Du, W.; Yu, D.; Fu, S. Detection of quantitative trait loci for yield and drought tolerance traits in soybean using a recombinant inbred line population. J. Integr. Plant Biol. 2009, 51, 868–878. [Google Scholar] [CrossRef] [PubMed]
  16. Yan, C.; Song, S.; Wang, W.; Wang, C.; Li, H.; Wang, F. Screening diverse soybean genotypes for drought tolerance by membership function value based on multiple traits and drought-tolerant coefficient of yield. BMC Plant Biol. 2020, 20, 321. [Google Scholar] [CrossRef] [PubMed]
  17. Hetherington, A.M.; Woodward, F.I. The role of stomata in sensing and driving environmental change. Nature 2003, 424, 901–908. [Google Scholar] [CrossRef] [PubMed]
  18. Franks, P.J.; Farquhar, G.D. The mechanical diversity of stomata and its significance in gas-exchange control. Plant Physiol. 2007, 143, 78–87. [Google Scholar] [CrossRef]
  19. Brodribb, T.J.; McAdam, S.A. Evolution of the stomatal regulation of plant water content. Plant Physiol. 2017, 174, 639–649. [Google Scholar] [CrossRef]
  20. Ye, H.; Song, L.; Schapaugh, W.T.; Ali, M.L.; Sinclair, T.R.; Riar, M.K.; Mutava, R.N.; Li, Y.; Vuong, T.; Valliyodan, B.; et al. The importance of slow canopy wilting in drought tolerance in soybean. J. Exp. Bot. 2019, 71, 457–460. [Google Scholar] [CrossRef]
  21. Fromm, H. Root Plasticity in the Pursuit of Water. Plants 2019, 8, 236. [Google Scholar] [CrossRef]
  22. Mwenye, O.J.; Rensburg, L.V.; Van der Merwe, R. Seedling Shoot and Root Growth Responses among Soybean (Glycine max) Genotypes to Drought Stress. In Soybean-Biomass, Yield and Productivity; IntechOpen: Rijeka, Croatia, 2018. [Google Scholar] [CrossRef]
  23. Huang, G.T.; Ma, S.L.; Bai, L.P.; Zhang, L.; Ma, H.; Jia, P. Signal transduction during cold, salt, and drought stresses in plants. Mol. Biol. Rep. 2012, 39, 969–987. [Google Scholar] [CrossRef] [PubMed]
  24. Nan, W.; Zhang, W.; Qin, M.; Li, S.; Qiao, M.; Liu, Z.; Xiang, F. Drought tolerance conferred in soybean (Glycine max. L.) by GmMYB84, a novel R2R3-MYB transcription factor. Plant Cell Physiol. 2017, 58, 1764–1776. [Google Scholar] [CrossRef]
  25. Linh, T.M.; Mai, N.C.; Hoe, P.T.; Lien, L.Q.; Ban, N.K.; Hien, L.T.T.; Van, N.T. Metal-based nanoparticles enhance drought tolerance in soybean. J. Nanomater. 2020, 2020, 4056563. [Google Scholar] [CrossRef]
  26. Manna, M.; Thakur, T.; Chirom, O.; Mandlik, R.; Deshmukh, R.; Salvi, P. Transcription factors as key molecular target to strengthen the drought stress tolerance in plants. Physiol. Plant. 2021, 172, 847–868. [Google Scholar] [CrossRef] [PubMed]
  27. Shahriari, A.G.; Soltani, Z.; Tahmasebi, A.; Poczai, P. Integrative system biology analysis of transcriptomic responses to drought stress in soybean (Glycine max L.). Genes 2022, 13, 1732. [Google Scholar] [CrossRef] [PubMed]
  28. Sintaha, M.; Man, C.K.; Yung, W.S.; Duan, S.; Li, M.W.; Lam, H.M. Drought Stress Priming Improved the Drought Tolerance of Soybean. Plants 2022, 11, 2954. [Google Scholar] [CrossRef] [PubMed]
  29. Wang, F.; Chen, H.W.; Li, Q.T.; Wei, W.; Li, W.; Zhang, W.K.; Ma, B.; Bi, Y.D.; Lai, Y.C.; Liu, X.L.; et al. GmWRKY27 interacts with GmMYB174 to reduce expression of GmNAC29 for stress tolerance in soybean plants. Plant J. 2015, 83, 224–236. [Google Scholar] [CrossRef]
  30. Chen, C.T.; Lu, C.T.; Tzen, J.T.; Yang, C.Y. Physiological Properties and Molecular Regulation in Different Edamame Cultivars under Drought Stress. Agronomy 2021, 11, 939. [Google Scholar] [CrossRef]
  31. Chen, M.; Wang, Q.Y.; Cheng, X.G.; Xu, Z.S.; Li, L.C.; Ye, X.G.; Ma, Y.Z. GmDREB2, a soybean DRE-binding transcription factor, conferred drought and high-salt tolerance in transgenic plants. Biochem. Biophys. Res. Commun. 2007, 353, 299–305. [Google Scholar] [CrossRef]
  32. Li, Y.; Chen, Q.; Nan, H.; Li, X.; Lu, S.; Zhao, X.; Liu, B.; Guo, C.; Kong, F.; Cao, D. Overexpression of GmFDL19 enhances tolerance to drought and salt stresses in soybean. PLoS ONE 2017, 22, e0179554. [Google Scholar] [CrossRef]
  33. Hao, Y.J.; Wei, W.; Song, Q.X.; Chen, H.W.; Zhang, Y.Q.; Wang, F.; Chen, S.Y. Soybean NAC transcription factors promote abiotic stress tolerance and lateral root formation in transgenic plants. Plant J. 2011, 68, 302–313. [Google Scholar] [CrossRef] [PubMed]
  34. Jeong, S.C.; Moon, J.K.; Park, S.K.; Kim, M.S.; Lee, K.; Lee, S.R.; Park, E. Genetic diversity patterns and domestication origin of soybean. Theor. Appl. Genet. 2019, 132, 1179–1193. [Google Scholar] [CrossRef] [PubMed]
  35. Ha, C.V.; Le, D.T.; Nishiyama, R. Characterization of the newly developed soybean cultivar DT2008 in relation to the model variety W82 reveals a new genetic resource for comparative and functional genomics for improved drought tolerance. BioMed Res. Int. 2013, 2013, 759657. [Google Scholar] [CrossRef] [PubMed]
  36. Sulieman, S.; Van Ha, C.; Nasr Esfahani, M.; Watanabe, Y.; Nishiyama, R.; Pham, C.T.; Van Nguyen, D.; Tran, L.S. DT2008: A promising new genetic resource for improved drought tolerance in soybean when solely dependent on symbiotic N2 fixation. BioMed Res. Int. 2015, 2015, 687213. [Google Scholar] [CrossRef] [PubMed]
  37. Thao, N.T.; Van, T.K. Study on concentrations of drought- induced sucrose and dynamics of enzyme amylase, protease at germination stage of soybean varieties in artificial drought condition. VNU J. Sci Nat. Sci. Technol. 2017, 33. [Google Scholar] [CrossRef]
  38. Sharma, N. Leaf Clearing Protocol to Observe Stomata and Other Cells on Leaf Surface. Bio-Protocol 2017, 7, e2538. [Google Scholar] [CrossRef]
  39. Libault, M.A.R.C.; Thibivilliers, S.A.N.D.R.A.; Bilgin, D.D.; Radwan, O.; Benitez, M.; Clough, S.J.; Stacey, G. Identification of four soybean reference genes for gene expression normalization. Plant Genome 2008, 1, 44–54. [Google Scholar] [CrossRef]
  40. Kumar, A.; Singh, P.; Singh, D.P.; Singh, H.; Sharma, H.C. Differences in osmoregulation in Brassica species. Ann. Bot. 1984, 54, 537–541. [Google Scholar] [CrossRef]
  41. Sairam, R.K. Effect of moisture-stress on physiological activities of two contrasting wheat genotypes. Indian J. Exp. Biol. 1994, 32, 594–597. [Google Scholar]
  42. Shu, Y.; Zhou, Y.; Shi, X.; Hu, N.; Shao, Q.; Du, J. Screening of appropriate PEG-6000 concentration for the identification of soybean drought tolerance at germination stage. Soybean Sci. 2015, 1, 56–59. [Google Scholar]
  43. Talebi, R.; Fayaz, F.; Naji, N. Effective selection criteria for assessing drought stress tolerance in durum wheat (Triticum durum Desf.). Gen. Appl. Plant Physiol. 2009, 35, 64–74. [Google Scholar]
  44. Sloane, R.J.; Patterson, R.P.; Carter, T.E., Jr. Field drought tolerance of a soybean plant introduction. Crop Sci. 1990, 30, 118–123. [Google Scholar] [CrossRef]
  45. Kunert, K.; Vorster, B.J. In search for drought-tolerant soybean: Is the slow-wilting phenotype more than just a curiosity? J. Exp. Bot. 2020, 71, 457–460. [Google Scholar] [CrossRef] [PubMed]
  46. Inamullah; Isoda, A. Adaptive Responses of Soybean and Cotton to Water Stress: I. Transpiration Changes in Relation to Stomatal Area and Stomatal Conductance. Plant Prod. Sci. 2005, 8, 16–26. [Google Scholar] [CrossRef]
  47. Tripathi, P.; Rabara, R.C.; Reese, R.N.; Miller, M.A.; Rohila, J.S.; Subramanian, S.; Shen, Q.J.; Morandi, D.; Bücking, K.; Rushton, P.J.; et al. A toolbox of genes, proteins, metabolites and promoters for improving drought tolerance in soybean includes the metabolite coumestrol and stomatal development genes. BMC Genom. 2016, 17, 102. [Google Scholar] [CrossRef] [PubMed]
  48. De Souza, L.T.; de Castro, S.A.Q.; de Andrade, J.F.; Politano, A.A.; Meneghetti, E.C.; Favarin, J.L.; de Almeida, M.; Mazzafera, P. Drought stress induces changes in the physiology and root system of soybean plants. Braz. J. Bot. 2021, 44, 779–789. [Google Scholar] [CrossRef]
  49. Buttery, B.R.; Tan, C.S.; Buzzell, R.I.; Gaynor, J.D.; MacTavish, D.C. Stomatal numbers of soybean and response to water stress. Plant Soil 1993, 149, 283–288. [Google Scholar] [CrossRef]
  50. Mano, N.A.; Madore, B.; Mickelbart, M.V. Different Leaf Anatomical Responses to Water Deficit in Maize and Soybean. Life 2023, 13, 290. [Google Scholar] [CrossRef]
  51. Buckley, T.N. How do stomata respond to water status? New Phytol. 2019, 224, 21–36. [Google Scholar] [CrossRef]
  52. Morales-Navarro, S.; Pérez-Díaz, R.; Ortega, A.; De Marcos, A.; Mena, M.; Fenoll, C.; Ruiz-Lara, S. Overexpression of a SDD1-like gene from wild tomato decreases stomatal density and enhances dehydration avoidance in Arabidopsis and cultivated tomato. Front. Plant Sci. 2018, 9, 940. [Google Scholar] [CrossRef]
  53. Bertolino, L.T.; Caine, R.S.; Gray, J.E. Impact of stomatal density and morphology on water-use efficiency in a changing world. Front. Plant Sci. 2019, 10, 225. [Google Scholar] [CrossRef]
  54. Xu, Z.; Zhou, G. Responses of leaf stomatal density to water status and its relationship with photosynthesis in a grass. J. Exp. Bot. 2008, 59, 3317–3325. [Google Scholar] [CrossRef] [PubMed]
  55. Li, Y.; Li, H.; Li, Y.; Zhang, S. Improving water-use efficiency by decreasing stomatal conductance and transpiration rate to maintain higher ear photosynthetic rate in drought-resistant wheat. Crop J. 2017, 5, 231–239. [Google Scholar] [CrossRef]
  56. Hamanishi, E.T.; Thomas, B.R.; Campbell, M.M. Drought induces alterations in the stomatal development program in Populus. J. Exp. Bot. 2012, 63, 4959–4971. [Google Scholar] [CrossRef] [PubMed]
  57. Ouyang, W.; Struik, P.C.; Yin, X.; Yang, J. Stomatal conductance, mesophyll conductance, and transpiration efficiency in relation to leaf anatomy in rice and wheat genotypes under drought. J. Exp. Bot. 2017, 68, 5191–5205. [Google Scholar] [CrossRef]
  58. Clifford, S.C.; Black, C.R.; Roberts, J.A.; Stronach, I.M.; Singleton-Jones, P.R.; Mohamed, A.D.; Azam-Ali, S.N. The effect of elevated atmospheric CO2 and drought on stomatal frequency in groundnut (Arachis hypogaea (L.)). J. Exp. Bot. 1995, 46, 847–852. [Google Scholar] [CrossRef]
  59. Bosabalidis, A.M.; Kofidis, G. Comparative effects of drought stress on leaf anatomy of two olive cultivars. Plant Sci. 2002, 163, 375–379. [Google Scholar] [CrossRef]
  60. Yang, H.M.; Wang, G.X. Leaf Stomatal Densities and Distribution in Triticum aestivum under Drought and CO2 Enrichment. Chin. J. Plant Ecol. 2001, 25, 312–316. Available online: https://www.plant-ecology.com/EN/Y2001/V25/I3/312 (accessed on 1 February 2024).
  61. Zhang, Y.P.; Wang, Z.M.; Wu, Y.C.; Zhang, X. Stomatal characteristics of different green organs in wheat under different irrigation regimes. Acta Agron. Sin. 2006, 32, 70–75. [Google Scholar]
  62. Gan, Y.; Zhou, L.; Shen, Z.J.; Shen, Z.X.; Zhang, Y.Q.; Wang, G.X. Stomatal clustering, a new marker for environmental perception and adaptation in terrestrial plants. Bot. Stud. 2010, 51, 325–336. [Google Scholar]
  63. Orsini, F.; Alnayef, M.; Bona, S.; Maggio, A.; Gianquinto, G. Low stomatal density and reduced transpiration facilitate strawberry adaptation to salinity. Environ. Exp. Bot. 2012, 81, 1–10. [Google Scholar] [CrossRef]
  64. Zhou, Q.Y.; Tian, A.G.; Zou, H.F.; Xie, Z.M.; Lei, G.; Huang, J.; Chen, S.Y. Soybean WRKY-type transcription factor genes, GmWRKY13, GmWRKY21, and GmWRKY54, confer differential tolerance to abiotic stresses in transgenic Arabidopsis plants. Plant Biotechnol. J. 2008, 6, 486–503. [Google Scholar] [CrossRef] [PubMed]
  65. Neves-Borges, A.C.; Guimarães-Dias, F.; Cruz, F. Expression pattern of drought stress marker genes in soybean roots under two water deficit systems. Genet. Mol. Biol. 2012, 35, 212–221. [Google Scholar] [CrossRef] [PubMed]
  66. Ma, Q.; Xia, Z.; Cai, Z.; Li, L.; Cheng, Y.; Liu, J.; Nian, H. GmWRKY16 Enhances Drought and Salt Tolerance Through an ABA-Mediated Pathway in Arabidopsis thaliana. Front. Plant Sci. 2019, 9, 1979. [Google Scholar] [CrossRef] [PubMed]
  67. Shinozaki, K.; Yamaguchi-Shinozaki, K. Gene networks involved in drought stress response and tolerance. J. Exp. Bot. 2007, 58, 221–227. [Google Scholar] [CrossRef] [PubMed]
  68. Stolf-Moreira, R.; Lemos, E.G.; Carareto-Alves, L.; Marcondes, J.; Pereira, S.S.; Rolla, A.A.; Nepomuceno, A.L. Transcriptional profiles of roots of different soybean genotypes subjected to drought stress. Plant Mol. Biol. Rep. 2011, 29, 19–34. [Google Scholar] [CrossRef]
  69. Alves, M.S.; Fontes, E.P.; Fietto, L.G. Early responsive to dehydration 15, a new transcription factor that integrates stress signaling pathways. Plant Signal. Behav. 2011, 6, 1993–1996. [Google Scholar] [CrossRef] [PubMed]
  70. Nguyen, K.H.; Mostofa, M.G.; Li, W.; Van Ha, C.; Watanabe, Y.; Le, D.T.; Tran, L.S.P. The soybean transcription factor GmNAC085 enhances drought tolerance in Arabidopsis. Environ. Exp. Bot. 2018, 151, 12–20. [Google Scholar] [CrossRef]
  71. Thao, N.P.; Thu, N.B.A.; Hoang, X.L.T.; Ha, C.V.; Tran, L.S.P. Differential expression analysis of a subset of drought-responsive GmNAC genes in two soybean cultivars differing in drought tolerance. Int. J. Mol. Sci. 2013, 14, 23828–23841. [Google Scholar] [CrossRef]
  72. Pham, T.T.N.; Nguyen, H.Q.; Nguyen, T.N.L.; Dao, X.T.; Sy, D.T.; Van Son, L.; Hoang Mau, C. Overexpression of the “GmDREB2” gene increases proline accumulation and tolerance to drought stress in soybean plants. Aust. J. Crop Sci. 2020, 14, 495–503. [Google Scholar] [CrossRef]
  73. Chen, K.; Tang, W.; Zhou, Y.; Chen, J.; Xu, Z.; Ma, R.; Dong, Y.; Ma, Y.; Chen, M. AP2/ERF transcription factor GmDREB1 confers drought tolerance in transgenic soybean by interacting with GmERFs. Plant Physiol. Biochem. 2022, 170, 287–295. [Google Scholar] [CrossRef] [PubMed]
  74. Marinho, J.P.; Pagliarini, R.F.; Molinari, M.D.C.; Marcolino-Gomes, J.; Caranhoto, A.L.H.; Marin, S.R.R.; Oliveira, M.C.N.; Foloni, J.S.S.; Melo, C.L.P.; Mertz-Henning, L.M.; et al. Overexpression of full-length and partial DREB2A enhances soybean drought tolerance. Agron. Sci. Biotechnol. 2022, 8, 1–21. [Google Scholar] [CrossRef]
  75. Farooq, M.; Wahid, A.; Kobayashi, N.; Fujita, D.; Basra, S.M.A. Plant drought stress: Effects, mechanisms, and management. Agron. Sustain. Dev. 2009, 29, 185–212. [Google Scholar] [CrossRef]
  76. Zlatev, Z.; Lidon, F.C. An overview on drought induced changes in plant growth, water relations and photosynthesis. Emir. J. Food Agric. 2012, 24, 57–72. [Google Scholar] [CrossRef]
  77. Arya, H.; Singh, M.B.; Bhalla, P.L. Towards developing drought-smart soybeans. Front. Plant Sci. 2021, 12, 750664. [Google Scholar] [CrossRef] [PubMed]
  78. Kocheva, K.; Nenova, V.; Karceva, T.; Petrov, P.; Georgiev, G.I.; Börner, A.; Landjeva, S. Changes in water status, membrane stability, and antioxidant capacity of wheat seedlings carrying different Rht-B1 dwarfing alleles under drought stress. J. Agric. Crop Sci. 2014, 200, 83–91. [Google Scholar] [CrossRef]
  79. Fatema, M.K.; Mamun, M.A.A.; Sarker, U.; Hossain, M.S.; Mia, M.A.B.; Roychowdhury, R.; Ercisli, S.; Marc, R.A.; Babalola, O.O.; Karim, M.A. Assessing Morpho-Physiological and Biochemical Markers of Soybean for Drought Tolerance Potential. Sustainability 2023, 15, 1427. [Google Scholar] [CrossRef]
  80. Lobato, A.K.S.; Costa, R.C.L.; Oliveira, N.C.F.; Santos, F.B.G.; Cruz, F.J.R.; Freitas, J.M.N.; Cordeiro, F.C. Morphological changes in soybean under progressive water stress. J. Exp. Bot. 2008, 4, 231–235. [Google Scholar] [CrossRef]
  81. Hossain, M.M.; Liu, X.; Qi, X.; Lam, H.M.; Zhang, J. Differences between soybean genotypes in physiological response to sequential soil drying and rewetting. Crop J. 2014, 2, 366–380. [Google Scholar] [CrossRef]
  82. Coutinho, F.S.; Rodrigues, J.M.; Lima, L.L.; Mesquita, R.O.; Carpinetti, P.A.; Machado, J.P.B.; Vital, C.E.; Vidigal, P.M.; Ramos, M.E.S.; de Oliveira Ramos, H.J.; et al. Remodeling of the cell wall as a drought-tolerance mechanism of a soybean genotype revealed by global gene expression analysis. Abiotech 2021, 2, 14–31. [Google Scholar] [CrossRef]
  83. Barnabás, B.; Jäger, K.; Fehér, A. The effect of drought and heat stress on reproductive processes in cereals. Plant Cell Environ. 2007, 31, 11–38. [Google Scholar] [CrossRef] [PubMed]
  84. Specht, J.E.; Chase, K.; Macrander, M.; Graef, G.L.; Chung, J.; Markwell, J.P.; Germann, M.; Orf, J.H.; Lark, K.G. Soybean response to water. A QTL analysis of drought tolerance. Crop Sci. 2001, 41, 493–509. [Google Scholar] [CrossRef]
  85. Mohammadian, R.; Moghaddam, M.; Ramanian, H.; Sadeghian, S.Y. Effect of early season drought stress on growth characteristics of sugar beet genotypes. Turk. J. Agric. For. 2005, 29, 357–368. [Google Scholar]
  86. Lafitte, H.R.; Yongsheng, G.; Yan, S.; Li, Z.K. Whole plant responses, key processes, and adaptation to drought stress: The case of rice. J. Exp. Bot. 2007, 58, 169–175. [Google Scholar] [CrossRef] [PubMed]
  87. Zdzislaw, A.T.; Sanoubar, R.; Pluhár, Z.; Mancarella, S.; Orsini, F.; Gianquinto, G. Morphological and physiological plant responses to drought stress in Thymus citriodorus. Int. J. Agron. 2016, 2016, 4165750. [Google Scholar] [CrossRef]
  88. Xiong, R.; Liu, S.; Considine, M.J.; Siddique, K.H.M.; Lam, H.M.; Chen, Y. Root system architecture, physiological and transcriptional traits of soybean (Glycine max L.) in response to water deficit: A review. Physiol. Plant 2020, 172, 405–418. [Google Scholar] [CrossRef] [PubMed]
  89. Falk, K.G.; Jubery, T.Z.; O’Rourke, J.A.; Singh, A.; Sarkar, S.; Ganapathysubramanian, B.; Singh, A.K. Soybean root system architecture trait study through genotypic, phenotypic, and shape-based clusters. Plant Phenomics 2020, 2020, 1925495. [Google Scholar] [CrossRef]
  90. Türkan, I.; Bor, M.; Özdemir, F.; Koca, H. Differential responses of lipid peroxidation and antioxidants in the leaves of drought-tolerant P. acutifolius and drought-sensitive P. vulgaris subjected to polyethylene glycol mediated water stress. Plant Sci. 2005, 168, 223–231. [Google Scholar] [CrossRef]
  91. Landjeva, S.; Ganeva, G. Changes in the seedling growth parameters in three common wheat (Triticum aestivum. L) cultivars subjected to drought stress and subsequent re-hydration. Field Crop Stud. 2006, 3, 185–190. [Google Scholar]
  92. Kocheva, K.; Georgiev, G. Evaluation of the reaction of two contrasting barley (Hordeum vulgare L.) cultivars in response to osmotic stress with PEG 6000. Bulg. J. Plant Physiol. 2003, 49, 290–294. [Google Scholar]
  93. Turner, N.C. Further progress in crop water relations. Adv. Agron. 1996, 58, 293–338. [Google Scholar] [CrossRef]
  94. Abd, A.A.; Badawy, S.A.; Zayed, B.A.; El-Gohary, A.A. The role of root system traits in the drought tolerance of rice (Oryza sativa L.). J. Plant Prod. 2010, 1, 621–631. [Google Scholar] [CrossRef]
  95. Fraser, T.E.; Silk, W.K.; Rost, T.L. Effects of low water potential on cortical cell length in growing regions of maize roots. Plant Physiol. 1990, 93, 648–651. [Google Scholar] [CrossRef]
  96. Kosturkova, G.; Todorova, R.; Sakthivelu, G.; Akitha Devi, M.K.; Giridhar, P.; Rajasekaran, T.; Ravishankar, G.A. Response of Bulgarian and Indian soybean genotypes to drought and water deficiency in field and laboratory conditions. Gen. Appl. Plant Physiol. 2008, 34, 239–250. [Google Scholar]
Figure 1. Phenotypic evaluation of drought tolerance in drought highly tolerant (HT) and drought highly sensitive (HS) wild soybean accessions. Drought-tolerant cultivar DT2008 and drought highly sensitive cultivar Williams 82 were used as references. Plants were exposed to drought stress at the vegetative stage (V2) for seven days.
Figure 1. Phenotypic evaluation of drought tolerance in drought highly tolerant (HT) and drought highly sensitive (HS) wild soybean accessions. Drought-tolerant cultivar DT2008 and drought highly sensitive cultivar Williams 82 were used as references. Plants were exposed to drought stress at the vegetative stage (V2) for seven days.
Agronomy 14 00471 g001
Figure 2. Stomatal density in the abaxial surface of wild soybean accessions between control and drought conditions. WC2-011, WC2-083, and WC2-102 as drought highly tolerant (HT) and WC2-065, WC2-104, WC2-142 as drought highly sensitive (HS) were evaluated under control conditions and five days after drought treatment (5 DAT). Error bars represent standard deviation (SD). Here, 1st trifoliate leaf; 2nd trifoliate leaf. *, p < 0.05; **, p < 0.01; ***, p < 0.001; ns, not significant.
Figure 2. Stomatal density in the abaxial surface of wild soybean accessions between control and drought conditions. WC2-011, WC2-083, and WC2-102 as drought highly tolerant (HT) and WC2-065, WC2-104, WC2-142 as drought highly sensitive (HS) were evaluated under control conditions and five days after drought treatment (5 DAT). Error bars represent standard deviation (SD). Here, 1st trifoliate leaf; 2nd trifoliate leaf. *, p < 0.05; **, p < 0.01; ***, p < 0.001; ns, not significant.
Agronomy 14 00471 g002
Figure 3. Expression levels of drought-related genes in leaf (left panels) and root (right panels) of wild soybean using quantitative PCR. Tissue samples were collected from WC2-102 (drought highly tolerant, HT) and WC2-104 (drought highly sensitive, HS). Error bars represent the SE of the mean values. The expression levels were normalized using the constitutive gene (Cons7) as the reference. *, p < 0.05; ns, not significant.
Figure 3. Expression levels of drought-related genes in leaf (left panels) and root (right panels) of wild soybean using quantitative PCR. Tissue samples were collected from WC2-102 (drought highly tolerant, HT) and WC2-104 (drought highly sensitive, HS). Error bars represent the SE of the mean values. The expression levels were normalized using the constitutive gene (Cons7) as the reference. *, p < 0.05; ns, not significant.
Agronomy 14 00471 g003
Figure 4. Effect of drought stress on seed yield, root traits, and physiological indicators in wild soybean accessions between control and drought conditions. (A) Seed yield-related characteristics of 12 wild soybean accessions. (B) Root characteristics of 12 wild soybean accessions. (C) Physiological indicators of 8 wild soybean accessions. Error bars represent the standard deviation. HT, highly tolerant; T, tolerant; S, sensitive; HS, highly sensitive; TSY, total seed yield; 100SW, 100-seeds weight; HSW/TSY, ratio between healthy seed weight and total seed yield; RL, root length; LR, number of lateral roots; RW, dry root weight; RWC, relative water content; WSD, water saturation deficiency; WUC, water use capacity; EL, electron leakage. *, p < 0.05; **, p < 0.01; ***, p < 0.001, ns: non-significant.
Figure 4. Effect of drought stress on seed yield, root traits, and physiological indicators in wild soybean accessions between control and drought conditions. (A) Seed yield-related characteristics of 12 wild soybean accessions. (B) Root characteristics of 12 wild soybean accessions. (C) Physiological indicators of 8 wild soybean accessions. Error bars represent the standard deviation. HT, highly tolerant; T, tolerant; S, sensitive; HS, highly sensitive; TSY, total seed yield; 100SW, 100-seeds weight; HSW/TSY, ratio between healthy seed weight and total seed yield; RL, root length; LR, number of lateral roots; RW, dry root weight; RWC, relative water content; WSD, water saturation deficiency; WUC, water use capacity; EL, electron leakage. *, p < 0.05; **, p < 0.01; ***, p < 0.001, ns: non-significant.
Agronomy 14 00471 g004
Figure 5. Comparison of germination percentage and root length of wild soybean accessions between control (distilled water) and drought stress (12% PEG). Error bars represent standard deviation. (A) Germination percentage. (B) Root length. HT, drought highly tolerant; HS, drought highly sensitive. *, p < 0.05; ***, p < 0.001, ns: non-significant.
Figure 5. Comparison of germination percentage and root length of wild soybean accessions between control (distilled water) and drought stress (12% PEG). Error bars represent standard deviation. (A) Germination percentage. (B) Root length. HT, drought highly tolerant; HS, drought highly sensitive. *, p < 0.05; ***, p < 0.001, ns: non-significant.
Agronomy 14 00471 g005
Table 1. Correlation analysis of root, physiological and yield-related traits.
Table 1. Correlation analysis of root, physiological and yield-related traits.
Drought Condition
TraitsRLLRRWRWCWSDWUCEL100SWHSW/TSYTSY
Control conditionRL10.83 **0.89 ***0.92 **−0.92 **−0.86 **−0.81 *−0.020.77 **0.50
LR0.85 **10.94 ***0.77 *−0.77 *−0.80 *−0.79 *−0.020.82 **0.55
RW0.86 **0.62 *10.81 *−0.81 *−0.75 *−0.72 *−0.210.80 **0.50
RWC0.150.10−0.001−1.00 ***−0.93 **−0.89 **0.190.95 **0.63
WSD−0.15−0.100.00−1.00 **10.93 **0.89 **−0.19−0.95 **−0.63
WUC−0.090.08−0.01−0.490.4910.98 **−0.17−0.93 **−0.53
EL−0.34−0.03−0.500.59−0.59−0.381−0.16−0.84 **−0.53
100SW0.270.330.090.92 **−0.92 **−0.510.5610.030.25
HSW/TSY0.01−0.280.16−0.530.53−0.13−0.18−0.0810.45
TSY0.350.270.50−0.150.150.57−0.520.220.321
RL, root length; LR, number of lateral roots; RW, root dry weight; RWC, relative water content; WSD, water saturation deficiency; WUC, water use capacity; EL, electron leakage; 100SW, 100-seeds weight; HSW/TSY, the ratio of healthy seeds weight to total seeds yield; TSY, total seed yield. *, significant at p < 0.05; **, significant at p < 0.01, *** significant at p < 0.001.
Disclaimer/Publisher’s Note: The statements, opinions and data contained in all publications are solely those of the individual author(s) and contributor(s) and not of MDPI and/or the editor(s). MDPI and/or the editor(s) disclaim responsibility for any injury to people or property resulting from any ideas, methods, instructions or products referred to in the content.

Share and Cite

MDPI and ACS Style

Nguyen, T.C.; Jo, H.; Tran, H.A.; Lee, J.; Lee, J.-D.; Kim, J.H.; Seo, H.S.; Song, J.T. Assessment of Drought Responses of Wild Soybean Accessions at Different Growth Stages. Agronomy 2024, 14, 471. https://doi.org/10.3390/agronomy14030471

AMA Style

Nguyen TC, Jo H, Tran HA, Lee J, Lee J-D, Kim JH, Seo HS, Song JT. Assessment of Drought Responses of Wild Soybean Accessions at Different Growth Stages. Agronomy. 2024; 14(3):471. https://doi.org/10.3390/agronomy14030471

Chicago/Turabian Style

Nguyen, Thi Cuc, Hyun Jo, Hai Anh Tran, Jinwon Lee, Jeong-Dong Lee, Jeong Hoe Kim, Hak Soo Seo, and Jong Tae Song. 2024. "Assessment of Drought Responses of Wild Soybean Accessions at Different Growth Stages" Agronomy 14, no. 3: 471. https://doi.org/10.3390/agronomy14030471

APA Style

Nguyen, T. C., Jo, H., Tran, H. A., Lee, J., Lee, J.-D., Kim, J. H., Seo, H. S., & Song, J. T. (2024). Assessment of Drought Responses of Wild Soybean Accessions at Different Growth Stages. Agronomy, 14(3), 471. https://doi.org/10.3390/agronomy14030471

Note that from the first issue of 2016, this journal uses article numbers instead of page numbers. See further details here.

Article Metrics

Back to TopTop