Effects of Long-Term Fertilizer Application on Crop Yield Stability and Water Use Efficiency in Diversified Planting Systems
Abstract
1. Introduction
2. Materials and Methods
2.1. Overview of the Test Sites
2.2. Experiment Design
2.3. Materials and Methods
2.3.1. Crop Yield
2.3.2. Annual Division of Precipitation
2.3.3. Yield, Yield Stability, and Yield Sustainability
2.3.4. Water Consumption, Precipitation Utilization Efficiency, and Water Utilization Efficiency during the Growth Period
2.3.5. Model of Precipitation, Fertilization, and Yield
2.4. Statistical Analysis
3. Results
3.1. Effect of Annual Precipitation on Crop Yield in Different Treatments
3.2. Stability and Sustainability of Crop Yield in Different Precipitation Years
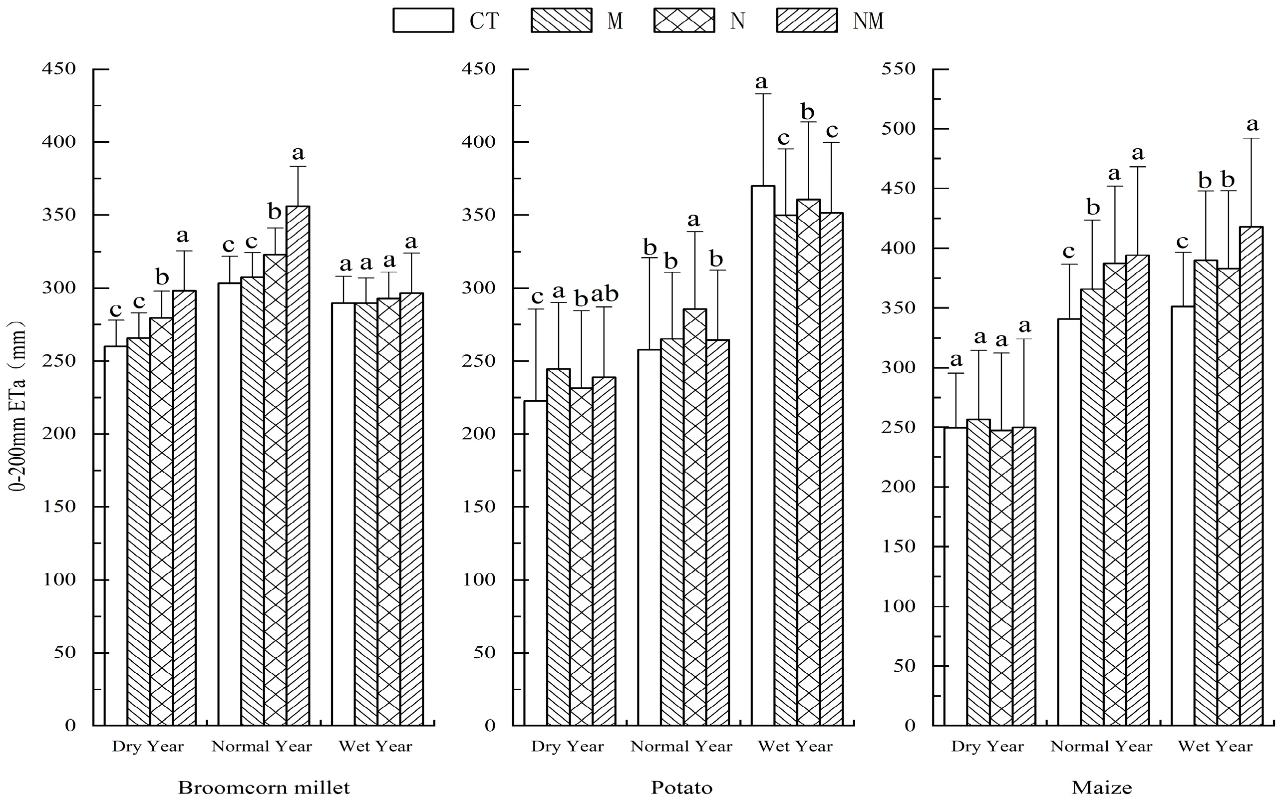
3.3. Water Consumption during the Growth Period and Farmland Precipitation Utilization Efficiency in Different Precipitation Years
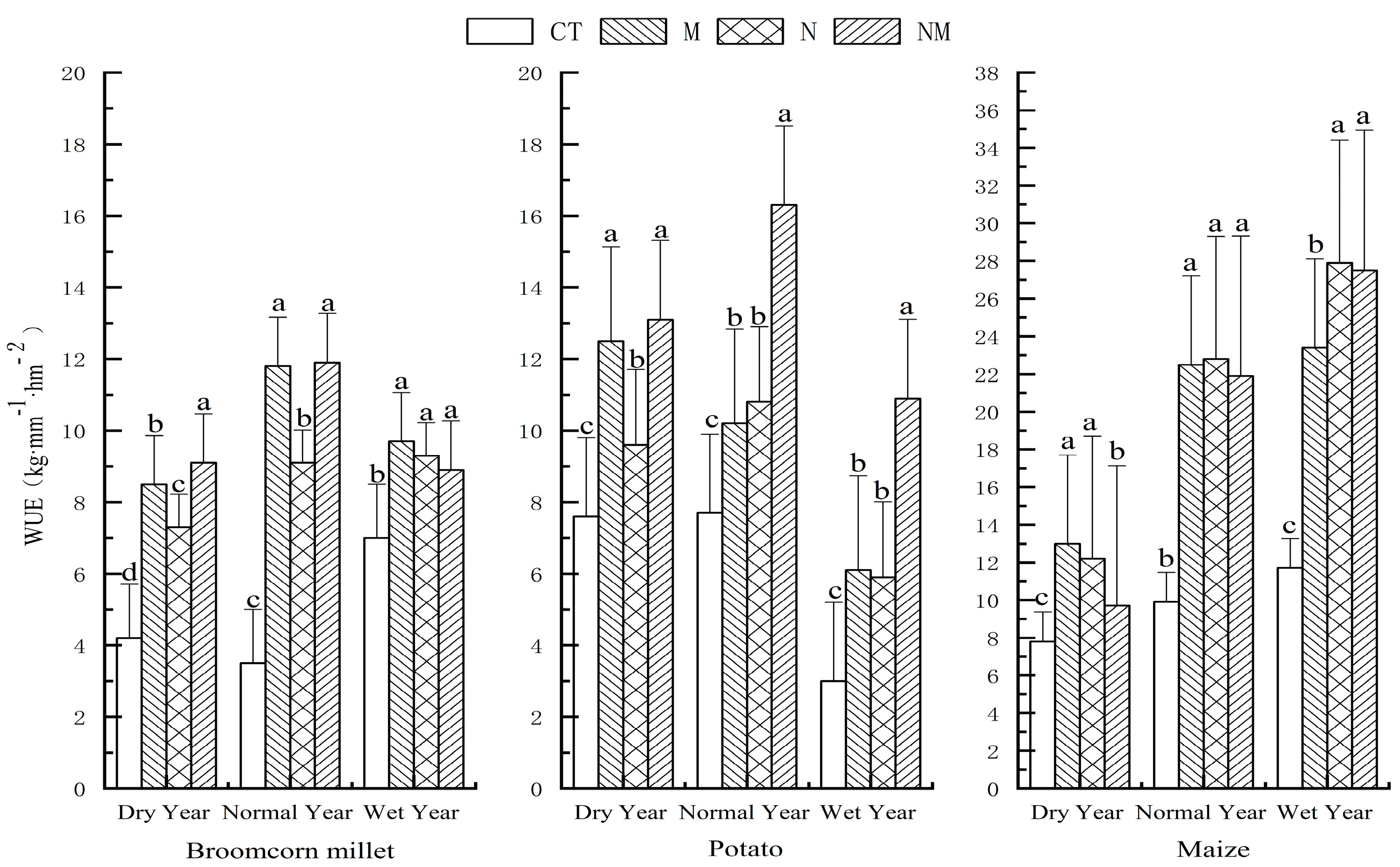
3.4. Water Use Efficiency in Different Precipitation Years
3.5. Relationship between Precipitation, Fertilizer Application, and Crop Yield
4. Discussion
4.1. Impact of Long-Term Fertilization on Stable Stability and Sustainability of Crop Yields
4.2. Effects of Long-Term Fertilization on Precipitation Utilization Efficiency and Water Use Efficiency in Years with Different Precipitation
4.3. Relationship between Long-Term Fertilization, Precipitation, and Crop Yield
5. Conclusions
Author Contributions
Funding
Data Availability Statement
Conflicts of Interest
References
- Hu, Y.T.; Hao, M.D.; Wang, Z.; Fu, W. Effect of long-term fertilization on winter wheat yield from the dry land under different precipitation patterns. Chin. J. Appl. Ecol. 2017, 28, 135–141. [Google Scholar]
- Li, J.; Shao, M.A.; Wang, L.X. Developing strategy of grain crop production in Loess Plateau Region of China. Chin. J. Ero-Agric. 2002, 10, 122–124. [Google Scholar]
- Li, J.; Zhang, L.C.; Zhang, M.Q.; Wang, H.P.; Zhang, H.; Zhang, Y.C. Yield stability in peanut-sweet potato rotation system under long-term combined application of chemical and organic fertilizers in latosolic res soil. Chin. J. J. Plant Nutr. Fertil. 2021, 27, 179–190. [Google Scholar]
- Wang, T.; Ding, N.P.; Li, L.L.; Zhou, H.Y.; Shang, L.G. Combining chemical fertilizer with organic manure or straw increase the yield stability and sustainability of maize and wheat in Loess Plateau of east Gansu Province. Chin. J. J. Plant Nutr. Fertil. 2019, 25, 1817–1826. [Google Scholar]
- Calderini, D.F.; Slafer, G.A. Changes in yield and yield stability in wheat during the 20th century. Field Crops Res. 1998, 57, 335–347. [Google Scholar] [CrossRef]
- Veron, S.R.; Jose, M.P.; Slafer, G.A. Inter annual variability of wheat yield in the Argentine Pampas during the 20th century. Agric. Ecosyst. Environ. 2004, 103, 177–190. [Google Scholar] [CrossRef]
- Ladha, J.K.; Dawe, D.; Pathak, H. How extensive are yield declines in long-term rice-wheat experiments in Asia. Field Crops Res. 2003, 81, 159–180. [Google Scholar] [CrossRef]
- Manna, M.C.; Swarup, A.; Wanjari, R.H.; Mishra, B.; Shahi, D.K. Long-term fertilization, manure and liming effects on soil organic matter and crop yields. Soil Tillage Res. 2007, 94, 397–409. [Google Scholar] [CrossRef]
- Chen, H.; Cao, C.F.; Kong, L.C.; Zhang, C.L.; Li, W.; Qiao, Y.Q.; Du, S.Z.; Zhao, Z. Study on wheat yield stability in Huaibei lime concretion black soil area based on long-term fertilization experiment. Sci. Agric. Sin. 2014, 47, 2580–2590. [Google Scholar]
- Manna, M.C.; Swarup, A.; Wanjari, R.H.; Ravankar, H.N.; Mishra, B.; Saha, M.N.; Singh, Y.V.; Sahi, D.K.; Sarap, P.A. Long-term effect of fertilizer and manure application on soil organic carbon storage, soil quality and yield sustainability under sub-humid and semi-arid tropical India. Field Crops Res. 2005, 93, 264–280. [Google Scholar] [CrossRef]
- Li, T.; Liu, W.Z.; Zhang, Y.W.; Hu, Y.N. Effect of fertilizer N and P on winter wheat yield and water balance in different years of precipitation. Agric. Res. Arid Areas 2011, 29, 156–160. [Google Scholar]
- Fan, T.L.; Zhou, G.Y.; Wang, Y.; Ding, N.P.; Gao, Y.F.; Wang, S.Y. Long-term fertilization on yield increase of winter wheat-maize rotation system in Loess Plateau dryland of Gansu. Chin. J. J. Plant Nutr. Fertil. 2004, 10, 127–131. [Google Scholar]
- Xu, Y.Y.; Liu, X.; Yan, L.Y.; Huang, X.F.; Wang, J.L. The addition of organic fertilizer can reduce the dependence of dryland yield on rainfall-based on a 32-year long-term study. Sci. Total Environ. 2024, 915, 170152. [Google Scholar] [CrossRef] [PubMed]
- Huang, X.F.; Wang, J.L.; Huang, M.J.; Zhao, C.; Liu, H.T. Sustainability of soil-crop systems under different long-term fertilization in Chestnut Cinnamon soil areas. Chin. J. Eco-Agric. 2018, 26, 1107–1116. [Google Scholar]
- Guo, S.L.; Zhu, H.H.; Dang, T.H.; Wu, J.S.; Liu, W.Z.; Hao, M.D.; Li, Y.; Keith Syers, J. Winter wheat grain yield associated with precipitation distribution under long-term nitrogen fertilization in the semiarid Loess Plateau in China. Geoderma 2012, 189–190, 442–450. [Google Scholar] [CrossRef]
- Piepho, H. Methods for comparing the yield stability of cropping systems. J. Agron. Crop Sci. 1998, 180, 193–213. [Google Scholar] [CrossRef]
- Singh, R.P.; Das, S.K.; Bhaskara, R.U.M. Towards Sustainable Dryland Agricultural Practices; Central Research Institute for Dryland Agriculture: Hyderabad, India, 1990. [Google Scholar]
- Ali, S.; Xu, Y.Y.; Jia, Q.M.; Ahmad, I.; Ma, X.C.; Yan, Z.; Cai, T.; Ren, X.L.; Zhang, P.; Jia, Z.K. Interactive effects of planting models with limited irrigation on soil water, temperature, respiration and water wheat production under simulated rainfall condition. Agric. Water Manag. 2018, 204, 198–211. [Google Scholar] [CrossRef]
- Hu, Y.T.; Hao, M.D.; Wei, X.R.; Chen, X.; Zhao, J. Contribution of fertilization, precipitation and variety to grain yield in winter wheat on the semiarid Loess Plateau of China. Acta Agric. Scand. Sect. B-Soil Plant Sci. 2016, 66, 406–416. [Google Scholar]
- Wang, H.L.; Zhang, X.C.; Yu, X.F.; Ma, Y.F.; Hou, H.Z. Effect of using black plastic film as mulch on soil temperature and moisture and potato yield. Acta Ecol. Sin. 2016, 36, 5215–5226. [Google Scholar]
- Hou, H.Z.; Wang, J.; Zhang, X.C.; Fang, Y.J.; Yu, X.F.; Wang, H.L.; Ma, Y.F. Effects of mini-ditch planting with plastic mulching in ridges on soil water content, temperature and potato Yield in rain-fed semiarid region. Acta Agron. Sin. 2015, 41, 1582–1590. [Google Scholar] [CrossRef]
- Chaudhury, J.; Mandal, U.K.; Sharma, K.L.; Ghosh, H.; Mandal, B. Assessing soil quality under long-term rice-based cropping system. Commun. Soil Sci. Plant Anal. 2002, 36, 1141–1161. [Google Scholar] [CrossRef]
- Majumder, B.; Mandal, B.; Bandyopadhyay, P.K.; Chaudhury, J. Soil organic carbon pools and productivity relationships for a 34 year old rice-wheat-jute agronomic system under different fertilizer treatments. Plant Soil 2007, 297, 53–67. [Google Scholar] [CrossRef]
- Bhattacharyya, R.; Kundu, S.; Prakash, V.; Gupta, H.S. Sustainability under combined application of mineral and organic fertilizers in a rainfed soybean-wheat system of the Indian Himalayas. Eur. J. Agron. 2008, 28, 33–46. [Google Scholar] [CrossRef]
- Song, Y.L.; Tang, H.J.; Li, X.P. The effects of long-term fertilization on crop yield and aqua-cinnamon soil organic matter. Acta Agric. Boreali-Sin. 2007, 22, 100–105. [Google Scholar]
- Men, M.X.; Li, X.W.; Xu, H. Effects of long-term fertilization on crop yields and stability. Sci. Agric. Sin. 2008, 41, 2339–2346. [Google Scholar]
- William, S.; Mohamed, H.G. Sustainable crop production intensification in the Senegal and Niger River basins of francophone West Africa. Int. J. Agric. Sustain. 2011, 9, 171–185. [Google Scholar]
- Li, Z.F.; Xu, M.G.; Zhang, H.M.; Zhang, S.X.; Zhang, W.J. Effects of long-term different fertilization on sustainability of maize yield in China. J. Maize Sci. 2009, 17, 82–87. [Google Scholar]
- Huang, Q.R.; Hu, F.; Li, H.X.; Lai, T.; Yuan, Y.H. Crop yield response to fertilization and its relations with climate and soil fertility in red paddy soil. Acta Pedol. Sin. 2006, 43, 926–933. [Google Scholar]
- Shen, S.M. The scientific value of long-term soil fertility experiment. Plant Nutr. Fertil. Sci. 1995, 1, 1–9. [Google Scholar]
- Fang, R.Y.; Tong, Y.A.; Geng, Z.C.; Liang, D.L. Effect of a long-term organic on wheat yield and soil fertility on Loess Plateau. Chin. J. Eco-Agric. 2003, 11, 53–55. [Google Scholar]
- Jiang, C.L.; He, Y.Q.; Liu, X.L.; Chen, P.B.; Wang, U.L.; Li, H.X. Effect of long-termapplication of organic manure on structure and stability of aggregate in upland red soil. Acta Pedol. Sin. 2010, 47, 715–722. [Google Scholar]
- Su, Q.; Jia, Z.K.; Han, Q.F.; Li, Y.P.; Wang, J.P.; Yang, B.P. Effects of organic fertilization on soil moisture and crop productivity in sem-i arid areas of southern Ningxia. Plant Nutr. Fertil. Sci. 2009, 15, 1466–1469. [Google Scholar]
- Zhang, D.M.; Chi, B.L.; Zhang, W.; Li, H.J.; Huang, X.F.; Liu, E.K.; Fan, X.W. Influence of fertilizer application levels on yield and WUE of dryland maize in different precipitation years. Acta Agric. Boreali-Occident. Sin. 2012, 21, 84–90. [Google Scholar]
- Zhang, P.L.; Liu, X.W.; Guo, T.W.; Tan, X.L.; Dong, B.; Zeng, J. Effects of long-term fertilization and plastic-mulching on yield and water use efficiency of potato and soil organic carbon in semiarid area. Soil Fertil. Sci. China 2023, 115–121. [Google Scholar] [CrossRef]



| Treatments | Chemical Fertilizer (kg·hm−2) | Organic Fertilizer (kg·hm−2) | Total Nutrient (kg·hm−2) | ||||||
|---|---|---|---|---|---|---|---|---|---|
| N | P2O5 | K2O | N | P2O5 | K2O | N | P2O5 | K2O | |
| Single nitrogen fertilizer (N) | 120 | 75 | 0 | 0 | 0 | 0 | 120 | 75 | 0 |
| Single organic fertilizer (M) | 0 | 0 | 0 | 80 | 55 | 180 | 80 | 55 | 180 |
| Nitrogen fertilizer + organic fertilizer (NM) | 120 | 75 | 0 | 80 | 55 | 180 | 200 | 130 | 180 |
| No fertilizer (CT) | 0 | 0 | 0 | 0 | 0 | 0 | 0 | 0 | 0 |
| Crop | Years | ||
|---|---|---|---|
| Drought Years | Normal Years | Wet Years | |
| Broomcorn millet Broom corn | 1994, 1998, 2000, 2006 | 1990, 1996 | 1988, 1992, 2008 |
| Potato | 1991, 1993, 1997, 1999, 2001, 2005, 2015, 2018, 2020 | 1989, 2014, 2016 | 1995, 2003, 2007, 2017 |
| Maize | 2002, 2011 | 2004, 2009, 2010, 2019 | 2012, 2013 |
| Year | Treatment | Broomcorn Millet | Potato | Maize | |||
|---|---|---|---|---|---|---|---|
| Yield (kg·hm−2) | Increase # (%) | Yield (kg·hm−2) | Increase # (%) | Yield (kg·hm−2) | Increase # (%) | ||
| Drought years | CT | 1033 ± 303 B c | – | 1497 ± 864 B c | – | 1945 ± 535 B c | – |
| M | 2156 ± 454 A b | – | 2531 ± 1639 B b | – | 2943 ± 1104 C b | – | |
| N | 1934 ± 429 B b | – | 2322 ± 1292 B b | – | 3468 ± 1061 C a | – | |
| NM | 2710 ± 631 B a | – | 3330 ± 1869 B a | – | 2848 ± 1302 C b | – | |
| Normal years | CT | 757 ± 476 C d | −26.7 | 2161 ± 367 A d | 44.4 * | 3328 ± 788 A c | 71.1 * |
| M | 2233 ± 867 A b | 3.6 | 2898 ± 389 A c | 14.5 * | 7359 ± 2132 B b | 150.0 * | |
| N | 2040 ± 494 B c | 5.5 | 3359 ± 321 A b | 44.7 * | 6942 ± 1262 B b | 100.2 * | |
| NM | 2560 ± 840 B a | −5.5 | 4259 ± 376 AB a | 27.9 * | 9073 ± 2836 B a | 218.6 * | |
| Wet years | CT | 1797 ± 639 A d | 73.9 * | 1368 ± 157 B c | −8.6 | 3528 ± 668 A c | 81.4 * |
| M | 2382 ± 463 A c | 10.5 | 2652 ± 373 B b | 4.8 | 8693 ± 888 A b | 195.4 * | |
| N | 2979 ± 431 A b | 54.0 * | 2653 ± 404 B b | 14.3 | 10,351 ± 685A a | 198.5 * | |
| NM | 3467 ± 415 A a | 27.9 * | 4681 ± 1023 A a | 40.6 * | 10,915 ± 563 A a | 283.3 * | |
| F values of variance analysis | |||||||
| Year | 115.7 ** | ||||||
| Treatment | 10.8 ** | ||||||
| Year × Treatment | 5.3 ** | ||||||
| Treatment | Drought Years | Normal Years | Wet Years | YCV | |||
|---|---|---|---|---|---|---|---|
| DCV | SYI | NCV | SYI | WCV | SYI | ||
| Broomcorn millet | |||||||
| CT | 29.3 a | 47.9 c | 38.6 b | 51.4 c | 35.6 a | 47.5 c | 51.7 a |
| M | 21.1 b | 61.8 a | 45.5 a | 54.5 b | 19.4 b | 68.1 b | 43.3 b |
| N | 22.2 b | 58.4 b | 42.3 ab | 57.7 a | 14.5 bc | 71.1 b | 40.4 b |
| NM | 23.3 b | 60.3 a | 41.8 ab | 58.2 a | 12.0 c | 80.8 a | 36.4 c |
| Potato | |||||||
| CT | 57.8 b | 22.9 b | 17.3 a | 67.2 c | 28.0 a | 77.0 a | 46.4 a |
| M | 64.8 a | 16.5 c | 13.5 b | 76.9 b | 16.4 b | 71.8 b | 48.6 a |
| N | 55.6 b | 24.4 a | 9.6 c | 79.7 b | 18.0 b | 69.5 b | 42.1 b |
| NM | 56.1 b | 22.7 b | 8.8 c | 84.6 a | 28.0 a | 56.3 c | 41.6 b |
| Maize | |||||||
| CT | 27.5 c | 62.5 b | 23.7 b | 58.8 a | 18.9 a | 58.8 d | 29.9 b |
| M | 37.5 b | 62.5 b | 29.0 a | 57.4 a | 10.2 b | 74.6 c | 36.2 a |
| N | 30.6 c | 69.4 a | 18.2 c | 49.5 c | 6.6 c | 82.5 b | 26.8 c |
| NM | 45.7 a | 54.3 c | 31.3 a | 53.0 b | 5.2 c | 86.0 a | 38.6 a |
Disclaimer/Publisher’s Note: The statements, opinions and data contained in all publications are solely those of the individual author(s) and contributor(s) and not of MDPI and/or the editor(s). MDPI and/or the editor(s) disclaim responsibility for any injury to people or property resulting from any ideas, methods, instructions or products referred to in the content. |
© 2024 by the authors. Licensee MDPI, Basel, Switzerland. This article is an open access article distributed under the terms and conditions of the Creative Commons Attribution (CC BY) license (https://creativecommons.org/licenses/by/4.0/).
Share and Cite
Li, N.; Li, T.; Xue, J.; Liang, G.; Huang, X. Effects of Long-Term Fertilizer Application on Crop Yield Stability and Water Use Efficiency in Diversified Planting Systems. Agronomy 2024, 14, 1007. https://doi.org/10.3390/agronomy14051007
Li N, Li T, Xue J, Liang G, Huang X. Effects of Long-Term Fertilizer Application on Crop Yield Stability and Water Use Efficiency in Diversified Planting Systems. Agronomy. 2024; 14(5):1007. https://doi.org/10.3390/agronomy14051007
Chicago/Turabian StyleLi, Nana, Tao Li, Jianfu Xue, Gaimei Liang, and Xuefang Huang. 2024. "Effects of Long-Term Fertilizer Application on Crop Yield Stability and Water Use Efficiency in Diversified Planting Systems" Agronomy 14, no. 5: 1007. https://doi.org/10.3390/agronomy14051007
APA StyleLi, N., Li, T., Xue, J., Liang, G., & Huang, X. (2024). Effects of Long-Term Fertilizer Application on Crop Yield Stability and Water Use Efficiency in Diversified Planting Systems. Agronomy, 14(5), 1007. https://doi.org/10.3390/agronomy14051007

