Composted Green Waste as a Peat Substitute in Growing Media for Vinca (Catharanthus roseus (L.) G. Don) and Zinnia (Zinnia elegans Jacq.)
Abstract
1. Introduction
2. Materials and Methods
2.1. Material Preparation
2.2. Experiment Design
| Treatment | BD (g/cm³) | WHC (%) | TPS (%) | APS (%) | WHP (%) | pH | 
|---|---|---|---|---|---|---|
| CGW | 0.41 (0.01) | 20.38 (3.27) | 34.56 (1.37) | 15.47 (0.19) | 19.09 (1.18) | 7.76 (0.03) | 
| Peat | 0.23 (0.01) | 265.07 (5.97) | 84.01 (0.55) | 13.21 (0.22) | 70.80 (0.47) | 6.70 (0.01) | 
| T1 | 0.41 (0.01) a | 20.38 (3.27) f | 34.56 (1.37) f | 15.47 (0.19) b | 19.09 (1.18) f | 7.76 (0.03) a | 
| T2 | 0.39 (0.00) a | 87.93 (4.60) e | 60.63 (1.03) e | 15.63 (0.27) b | 45.00 (0.84) e | 7.54 (0.02) b | 
| T3 | 0.36 (0.01) bc | 153.90 (1.85) c | 79.77 (0.84) c | 16.28 (0.14) a | 63.49 (0.76) d | 7.38 (0.02) c | 
| T4 | 0.34 (0.01) b | 142.43 (1.70) d | 75.56 (1.11) d | 13.35 (0.12) d | 62.21 (1.02) d | 7.34 (0.01) c | 
| T5 | 0.32 (0.01) cd | 185.25 (2.70) b | 83.64 (0.28) a | 14.41 (0.17) c | 69.23 (0.14) b | 7.16 (0.03) d | 
| T6 | 0.30 (0.00) d | 186.37 (2.41) b | 82.51 (0.44) b | 14.50 (0.17) c | 68.01 (0.24) c | 6.85 (0.03) e | 
| T7 | 0.23 (0.01) e | 265.07 (5.97) a | 84.01 (0.55) a | 13.21 (0.22) d | 70.80 (0.47) a | 6.70 (0.01) f | 
| aIM | <0.40 | >120.00 | 50.00–95.00 | 10.00–19.00 | 40.00–76.00 | 6.50–7.50 | 
| EC (mS/cm) | TN (g/kg) | TP (g/kg) | AP (g/kg) | AK (g/kg) | OM (g/kg) | |
| CGW | 2.03 (0.01) | 20.60 (0.01) | 8.40 (0.01) | 0.49 (0.00) | 0.14 (0.00) | 407.59 (0.75) | 
| Peat | 0.25 (0.02) | 16.22 (0.01) | 1.04 (0.01) | 0.37 (0.00) | 0.11 (0.00) | 952.29 (1.59) | 
| T1 | 2.03 (0.01) a | 20.60 (0.01) a | 8.40 (0.01) a | 0.49 (0.00) a | 0.14 (0.00) a | 407.59 (0.75) g | 
| T2 | 1.50 (0.03) b | 20.40 (0.01) b | 6.09 (0.02) b | 0.45 (0.00) b | 0.14 (0.00) a | 548.19 (0.49) e | 
| T3 | 1.00 (0.02) c | 20.05 (0.01) c | 3.70 (0.00) c | 0.41 (0.00) d | 0.14 (0.00) a | 555.17 (0.49) f | 
| T4 | 0.95 (0.02) c | 19.99 (0.00) d | 3.67 (0.01) d | 0.44 (0.00) bc | 0.14 (0.00) a | 611.04 (0.49) d | 
| T5 | 0.74 (0.02) d | 19.69 (0.00) e | 3.649 (0.00) e | 0.44 (0.00) bc | 0.14 (0.00) a | 624.31 (0.49) c | 
| T6 | 0.68 (0.03) d | 18.38 (0.02) f | 2.56 (0.02) f | 0.43 (0.00) c | 0.14 (0.00) a | 716.02 (0.76) b | 
| T7 | 0.25 (0.02) e | 16.22 (0.01) g | 1.04 (0.01) g | 0.37 (0.00) e | 0.11 (0.00) b | 952.29 (1.59) a | 
| aIM | 0.10–2.00 | – | – | – | – | – | 
2.3. Greenhouse Pot Experiment
2.3.1. Preparation of Vinca and Zinnia Seedlings
2.3.2. Preparation of the Culture Media
2.3.3. Pot Experiments
2.4. Methods for the Determination of the Physicochemical Characteristics of the Growing Media
2.5. Growth Parameters of Vinca and Zinnia
2.6. Statistical Analysis
3. Results
3.1. Physical Properties of the Growing Media
3.1.1. Total Porosity (TPS), Aeration Porosity (APS), and Water-Holding Porosity (WHP)
3.1.2. Bulk Density (BD) and Water-Holding Capacity (WHC)
3.2. Chemical Properties of the Growing Media
3.2.1. pH and Electrical Conductivity (EC)
3.2.2. Nutrient Element and Organic Matter (OM) Content
3.3. Growth Indicators of Vinca and Zinnia
3.3.1. Plant Height, Root Length, and Flower Number
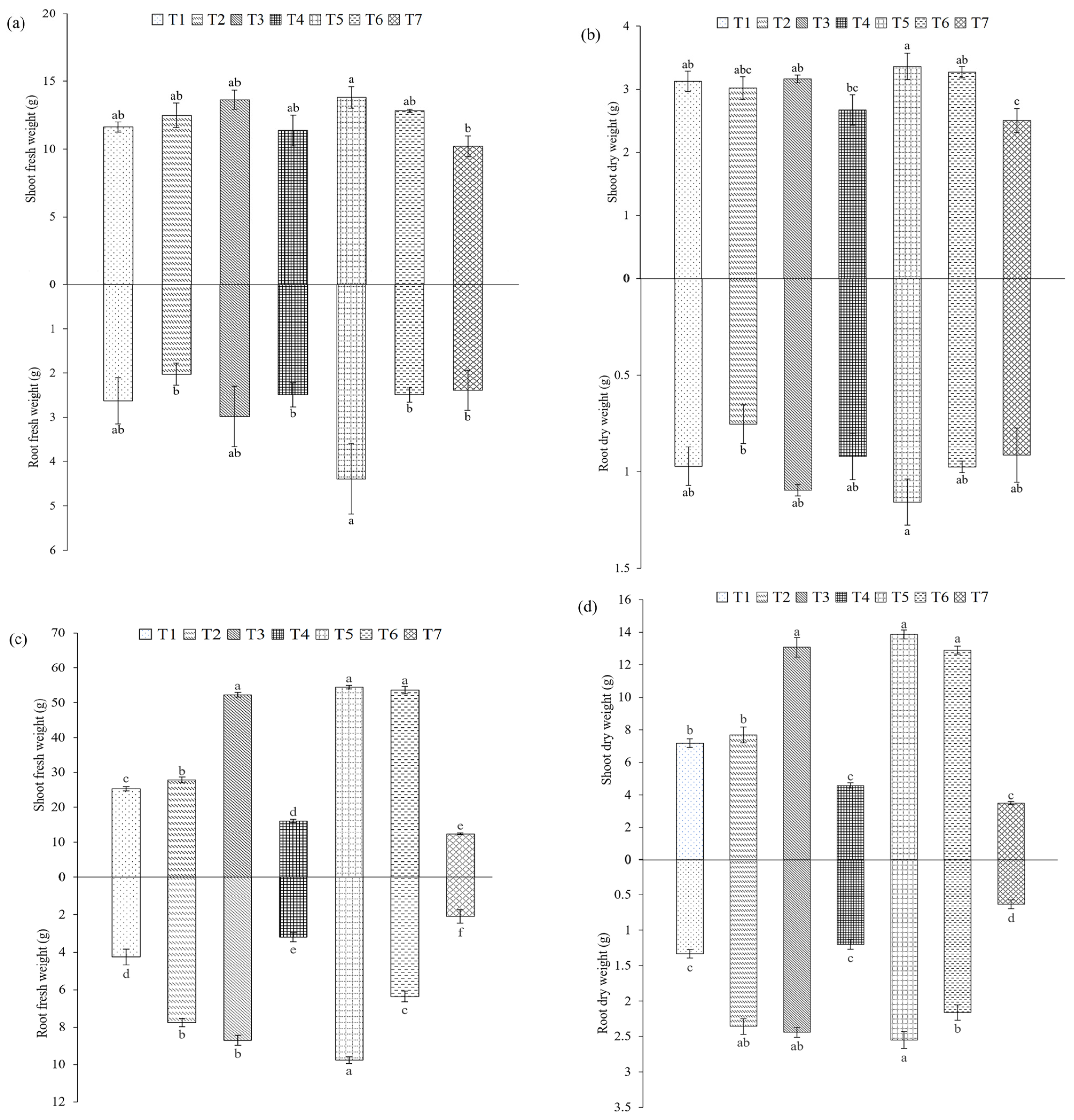
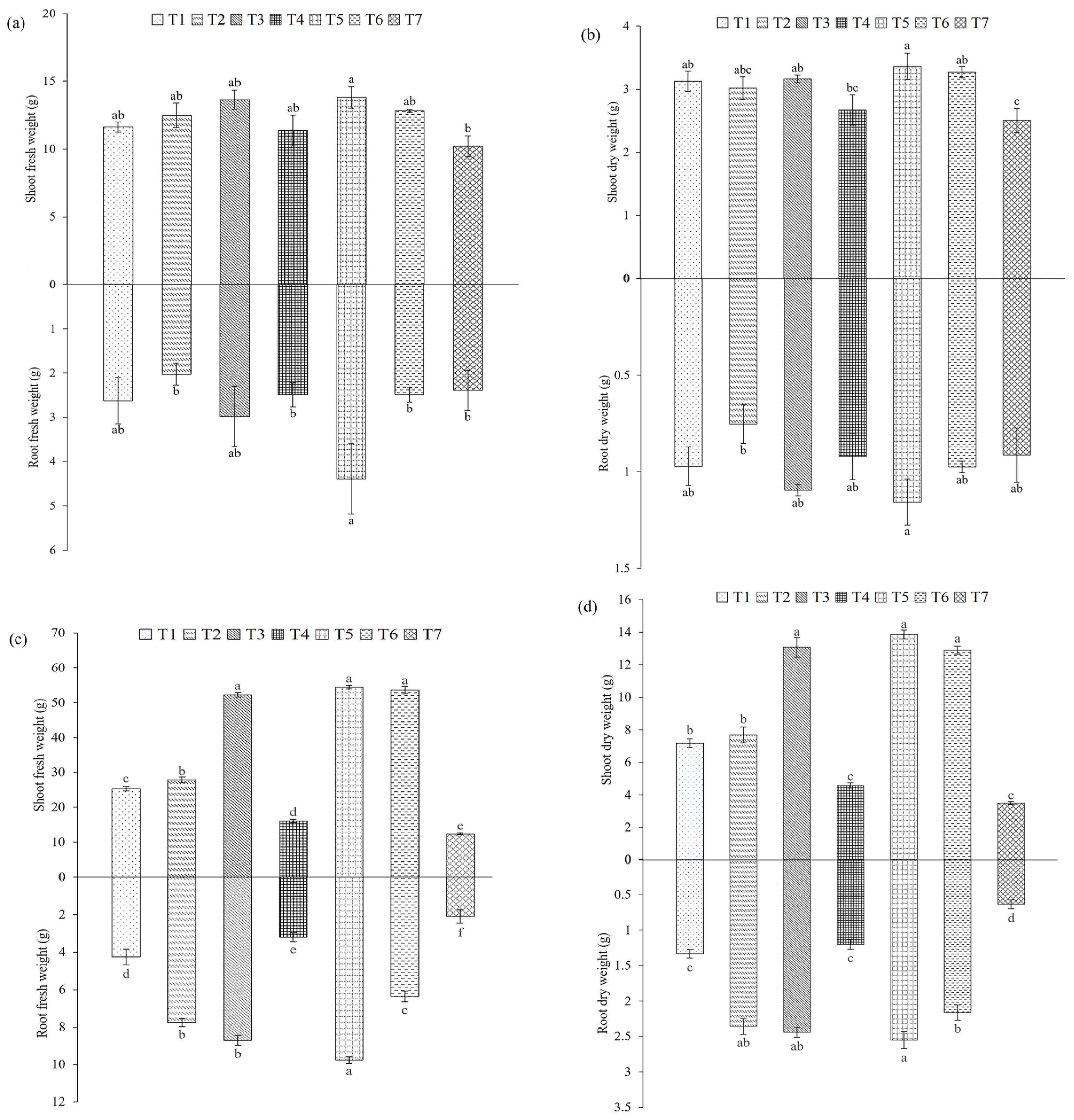
3.3.2. Total Biomass
Shoot Biomass
Root Biomass
3.3.3. Photosynthetic Pigment Content
3.4. Comprehensive Evaluation of the Effects of CGW on the Main Morphological Indicators of Vinca and Zinnia
3.5. Redundancy Analysis
4. Discussion
4.1. Impacts of Composted Green Waste on the Physical Characteristics of the Growing Medias
4.1.1. Total Porosity (TPS), Aeration Porosity (APS), and Water-Holding Porosity (WHP)
4.1.2. Bulk Density (BD) and Water-Holding Capacity (WHC)
4.2. Effect of Composted Green Waste on the Chemical Properties of the Growing Media
4.2.1. pH and Electrical Conductivity (EC)
4.2.2. Nutrient and Organic Matter in the Growing Media
4.3. Impacts of Different Growing Media on the Growth of Vinca and Zinnia
4.3.1. Impacts of Different Growing Media on the Growth Parameters of Vinca and Zinnia
4.3.2. Impacts of the Growing Media on Photosynthetic Pigments in Vinca and Zinnia Leaves
4.4. Interrelationship between the Growth Parameters and the Physicochemical Properties of the Growing Media in Vinca and Zinnia
5. Conclusions
Author Contributions
Funding
Data Availability Statement
Conflicts of Interest
References
- Zhang, R.; Duan, Z.; Li, Z. Use of Spent Mushroom Growing media as Growing Media for Tomato and Cucumber Seedlings. Pedosphere 2012, 22, 333–342. [Google Scholar] [CrossRef]
- Xu, C.; Li, J.; Yuan, Q.; Liu, N.; Zhang, X.; Wang, P.; Gao, Y. Effects of different fermentation assisted enzyme treatments on the composition, microstructure and physicochemical properties of wheat straw used as a substitute for peat in nursery medias. Bioresour. Technol. 2021, 341, 125815. [Google Scholar] [CrossRef] [PubMed]
- Mattei, P.; Pastorelli, R.; Rami, G.; Mocali, S.; Giagnoni, L.; Gonnelli, C.; Renella, G. Evaluation of dredged sediment co-composted with green waste as plant growing media assessed by eco-toxicological tests, plant growth and microbial community structure. J. Hazard. Mater. 2017, 333, 144–153. [Google Scholar] [CrossRef] [PubMed]
- Zhang, L.; Sun, X.Y. Effects of bean dregs and crab shell powder additives on the composting of green waste. Bioresour. Technol. 2018, 260, 283–293. [Google Scholar] [CrossRef] [PubMed]
- Gong, X.Q.; Li, S.Y.; Sun, X.Y.; Zhang, L.; Zhang, T.; Wei, L. Maturation of green waste compost as affected by inoculation with the white-rot fungi Trametes versicolor and Phanerochaete chrysosporium. Environ. Technol. 2017, 38, 872–879. [Google Scholar] [CrossRef]
- Cáceres, R.; Coromina, N.; Malińska, K.; Marfà, O. Evolution of process control parameters during extended co-composting of green waste and solid fraction of cattle slurry to obtain growing media. Bioresour. Technol. 2015, 179, 398–406. [Google Scholar] [CrossRef] [PubMed]
- Gong, X.Q.; Li, S.Y.; Sun, X.Y.; Wang, L.; Cai, L.L.; Zhang, J.D.; Wei, L. Green waste compost and vermicompost as peat substitutes in growing media for geranium (Pelargonium zonale L.) and calendula (Calendula officinalis L.). Sci. Hortic. 2018, 236, 186–191. [Google Scholar] [CrossRef]
- Jara-Samaniego, J.; Pérez-Murcia, M.D.; Bustamante, M.A.; Pérez-Espinosa, A.; Paredes, C.; López, M.; López-Lluch, D.; Gavilanes-Terán, I.; Moral, R. Composting as sustainable strategy for municipal solid waste management in the Chimborazo Region, Ecuador: Suitability of the obtained composts for seedling production. J. Clean. Prod. 2017, 141, 1349–1358. [Google Scholar] [CrossRef]
- Massa, D.; Malorgio, F.; Lazzereschi, S.; Carmassi, G.; Prisa, D.; Burchi, G. Evaluation of two green composts for peat substitution in geranium (Pelargonium zonale L.) cultivation: Effect on plant growth, quality, nutrition, and photosynthesis. Sci. Hortic. 2018, 228, 213–221. [Google Scholar] [CrossRef]
- Milinković, M.; Lalević, B.; Jovičić-Petrović, J.; Golubović-Ćurguz, V.; Kljujev, I.; Raičević, V. Biopotential of compost and compost products derived from horticultural waste—Effect on plant growth and plant pathogens’ suppression. Process Saf. Environ. 2019, 121, 299–306. [Google Scholar] [CrossRef]
- Cacini, S.; Rinaldi, S.; Massa, D.; Nesi, B.; Epifani, R.; Trinchera, A. The effect of a glass matrix fertilizer and compost amendment on plant growth and mineral nutrition of two container-grown Rose spp. cultivars. Sci. Hortic. 2020, 274, 109660. [Google Scholar] [CrossRef]
- Kumar, S.; Singh, B.; Singh, R. Catharanthus roseus (L.) G. Don: A review of its ethnobotany, phytochemistry, ethnopharmacology and toxicities. J. Ethnopharmacol. 2022, 284, 114647. [Google Scholar] [CrossRef]
- Hassan, F.A.S.; Ali, E.; Gaber, A.; Fetouh, M.I.; Mazrou, R. Chitosan nanoparticles effectively combat salinity stress by enhancing antioxidant activity and alkaloid biosynthesis in Catharanthus roseus (L.) G. Don. Plant Physiol. Biochem. 2021, 162, 291–300. [Google Scholar] [CrossRef] [PubMed]
- Singh, P.K.; Saxena, A.; Tyagi, R.; Sindhu, R.; Binod, P.; Tiwari, A. Biomass valorization of agriculture wastewater grown freshwater diatom Nitzschia sp. for metabolites, antibacterial activity, and biofertilizer. Bioresour. Technol. 2023, 377, 128976. [Google Scholar] [CrossRef] [PubMed]
- Sardoei, A.S.; Fahraji, S.S.; Ghasemi, H. Effects of different growing media on growth and flowering of zinnia (Zinnia elegans). Int. J. Adv. Biol. Biomed. Res. 2014, 2, 1894–1899. [Google Scholar]
- Gupta, R.; Yadav, A.; Garg, V.K. Influence of vermicompost application in potting media on growth and flowering of marigold crop. Int. J. Recycl. Org. Waste Agric. 2014, 3, 1–7. [Google Scholar] [CrossRef]
- Garcia-Gomez, A.; Bernal, M.P.; Roig, A. Growth of ornamental plants in two composts prepared from agroindustrial wastes. Bioresour. Technol. 2002, 83, 81–87. [Google Scholar] [CrossRef]
- Sun, X.Y.; Li, S.Y.; Guo, C.; Yu, X.; Li, Y.; Gong, X.Q.; Tong, J.; Yu, Z.; Bai, J. Growing media for flowering trees and shrubs. LY/T 2700-2016. 2016. Available online: https://www.forestry.gov.cn/html/ghy/ghy_297/20221027150337259786856/file/20221027150427732691847.pdf (accessed on 25 March 2024). (In Chinese)
- Zhang, L.; Sun, X.Y.; Tian, Y.; Gong, X.Q. Composted green waste as a substitute for peat in growth media: Effects on growth and nutrition of Calathea insignis. PLoS ONE 2013, 8, e78121. [Google Scholar] [CrossRef]
- Jayasinghe, G.; Arachchi, I.; Tokashiki, Y. Evaluation of containerized growing medias developed from cattle manure compost and synthetic aggregates for ornamental plant production as a peat alternative. Resour. Conserv. Recycl. 2002, 54, 1412–1418. [Google Scholar] [CrossRef]
- Brittain, S.; Cox, A.; Tomos, A.; Paterson, E.; Siripinyanond, A.; McLeod, C. Chemical speciation studies on DU contaminated soils using flow field flow fractionation linked to inductively coupled plasma mass spectrometry (FlFFF-ICP-MS). J. Environ. Monit. 2012, 14, 782–790. [Google Scholar] [CrossRef]
- Ahmad, I.; Saquib, R.; Qasim, M.; Saleem, M.; Khan, A.; Yaseen, M. Humic acid and cultivar effects on growth, yield, vase life, and corm characteristics of gladiolus. Chil. J. Agric. Res. 2013, 73, 339–344. [Google Scholar] [CrossRef]
- Chen, X.; Min, D.; Yasir, T.; Hu, Y. Evaluation of 14 morphological, yield related and physiological traits as indicators of drought tolerance in Chinese winter bread wheat revealed by analysis of the membership function value of drought tolerance (MFVD). Field Crops Res. 2012, 137, 195–201. [Google Scholar] [CrossRef]
- Abad, M.; Noguera, P.; Burés, S. National inventory of organic wastes for use as growing media for ornamental potted plant production: Case study in Spain. Bioresour. Technol. 2001, 77, 197–200. [Google Scholar] [CrossRef] [PubMed]
- Atiyeh, R.; Edwards, C.; Subler, S.; Metzger, J. Pig manure vermicompost as a component of a horticultural bedding plant medium: Effects on physicochemical properties and plant growth. Bioresour. Technol. 2001, 78, 11–20. [Google Scholar] [CrossRef]
- Hicklenton, P.; Rodd, V.; Warman, P. The effectiveness and consistency of source-separated municipal solid waste and bark composts as components of container growing media. Sci. Hortic. 2001, 91, 365–378. [Google Scholar] [CrossRef]
- Lopez-Mondejar, R.; Bernal-Vicente, A.; Ros, M.; Tittarelli, F.; Canali, S.; Intrigiolo, F.; Pascual, J. Utilisation of citrus compost-based growing media amended with Trichodermaharzianum T-78 in Cucumismelo L. seedling production. Bioresour. Technol. 2010, 101, 3718–3723. [Google Scholar] [CrossRef] [PubMed]
- Cai, H.; Chen, T.; Liu, H.; Gao, D.; Zheng, G.; Zhang, J. The effect of salinity and porosity of sewage sludge compost on the growth of vegetable seedlings. Sci. Hortic. 2010, 124, 381–386. [Google Scholar] [CrossRef]
- Ribeiro, H.; Romero, A.; Pereira, H.; Borges, P.; Cabral, F.; Vasconcelos, E. Evaluation of a compost obtained from forestry wastes and solid phase of pig slurry as a growing media for seedlings production. Bioresour. Technol. 2007, 98, 3294–3297. [Google Scholar] [CrossRef] [PubMed]
- Massa, D.; Prisa, D.; Lazzereschi, S.; Cacini, S.; Burchi, G. Heterogeneous response of two bedding plants to peat substitution by two green composts. Hortic. Sci. 2018, 45, 164–172. [Google Scholar] [CrossRef]
- Costello, R.; Sullivan, D. Determining the pH Buffering Capacity of Compost Via Titration with Dilute Sulfuric Acid. Waste Biomass Valorization 2014, 5, 505–513. [Google Scholar] [CrossRef]
- Marschner, P.; Rengel, Z. Marschner’s Mineral Nutrition of Higher Plants, 1st ed.; Chapter 12—Nutrient Availability in Soils; Academic Press: Cambridge, MA, USA, 2012; pp. 315–330. [Google Scholar]
- Raviv, M.; Chen, Y.; Inbar, Y. Peat and Peat Substitutes as Growth Media for Container-Grown Plants; Springer: Dordrecht, The Netherlands, 1986. [Google Scholar]
- Zhang, L.; Sun, X.Y. Influence of bulking agents on physical, chemical, and microbiological properties during the two-stage composting of green waste. Waste Manag. 2016, 48, 115–126. [Google Scholar] [CrossRef] [PubMed]
- Banegas, V.; Moreno, J.L.; Moreno, J.I.; Garcia, C.; Leon, G.; Hernandez, T. Composting anaerobic and aerobic sewage sludges using two proportions of sawdust. Waste Manag. 2007, 27, 1317–1327. [Google Scholar] [CrossRef]
- Benito, M.; Masaguer, A.; De Antonio, R.; Moliner, A. Use of pruning waste compost as a component in soilless growing media. Bioresour. Technol. 2005, 96, 597–603. [Google Scholar] [CrossRef] [PubMed]
- Yang, W.; Zhang, L. Addition of mature compost improves the composting of green waste. Bioresour. Technol. 2022, 350, 126927. [Google Scholar] [CrossRef]
- Bustamante, M.; Paredes, C.; Moral, R.; Agulló, E.; Pérez-Murcia, M.; Abad, M. Composts from distillery wastes as peat substitutes for transplant production. Resour. Conserv. Recycl. 2008, 52, 792–799. [Google Scholar] [CrossRef]
- Aleandri, M.; Chilosi, G.; Muganu, M.; Vettraino, A.; Marinari, S.; Paolocci, M.; Luccioli, E.; Vannini, A. On farm production of compost from nursery green residues and its use to reduce peat for the production of olive pot plants. Sci. Hortic. 2015, 193, 301–307. [Google Scholar] [CrossRef]
- Gruda, N. Increasing Sustainability of Growing Media Constituents and Stand-Alone Growing medias in Soilless Culture Systems. Agronomy 2019, 9, 298. [Google Scholar] [CrossRef]
- Hartz, T.; Costa, F.; Schrader, W. Suitability of Composted Green Waste for Horticultural Uses. HortScience 1996, 31, 961–964. [Google Scholar] [CrossRef]
- Zhao, S.; Jia, L.; Duo, L. The use of a biodegradable chelator for enhanced phytoextraction of heavy metals by Festuca arundinacea from municipal solid waste compost and associated heavy metal leaching. Bioresour. Technol. 2013, 129, 249–255. [Google Scholar] [CrossRef]
- Cozzolino, V.; Meo, V.; Monda, H.; Spaccini, R.; Piccolo, A. The molecular characteristics of compost affect plant growth, arbuscular mycorrhizal fungi, and soil microbial community composition. Biol. Fertil. Soils 2016, 52, 15–29. [Google Scholar] [CrossRef]
- Barrett, G.; Alexander, P.; Robinson, J.; Bragg, N. Achieving environmentally sustainable growing media for soilless plant cultivation systems—A review. Sci. Hortic. 2016, 212, 220–234. [Google Scholar] [CrossRef]



| Treatment | Composted Green Waste (V, %) | Peat (V, %) | 
|---|---|---|
| T1 | 100 | 0 | 
| T2 | 80 | 20 | 
| T3 | 60 | 40 | 
| T4 | 50 | 50 | 
| T5 | 40 | 60 | 
| T6 | 20 | 80 | 
| T7 | 0 | 100 | 
| Treatment | Vinca | ||
|---|---|---|---|
| HP (cm) | RL (cm) | FN | |
| T1 | 14.8(0.4) b | 7.6(0.3) c | 2.4(0.5) bc | 
| T2 | 14.6(0.4) bc | 7.3(0.2) c | 3.0(0.7) ab | 
| T3 | 16.0(0.8) a | 8.3(0.2) b | 3.2(0.8) ab | 
| T4 | 13.7(1.0) c | 7.3(0.4) c | 1.4(0.5) c | 
| T5 | 16.7(0.6) a | 9.1(0.7) a | 3.6(0.9) a | 
| T6 | 16.3(0.6) a | 7.6(0.2) c | 2.6(0.9) ab | 
| T7 | 12.5(0.5) d | 7.3(0.3) c | 1.4(0.5) c | 
| Treatment | Zinnia | ||
| HP (cm) | RL (cm) | FN | |
| T1 | 52.2(1.2) d | 18.7(1.2) d | 1.2(0.4) c | 
| T2 | 62.2(2.3) c | 17.4(1.2) d | 1.8(0.8) c | 
| T3 | 70.3(2.0) b | 27.7(1.7) b | 2.8(0.4) b | 
| T4 | 25.5(0.6) f | 24.4(1.4) c | 1.6(0.5) c | 
| T5 | 89.7(1.9) a | 31.5(2.9) a | 2.8(0.4) b | 
| T6 | 72.7(1.2) b | 23.8(0.9) c | 4.0(0.7) a | 
| T7 | 29.3(1.2) e | 16.3(0.4) d | 1.0(0.0) c | 
| Treatment | Vinca | |||
|---|---|---|---|---|
| Chlorophyll a (mg/kg) | Chlorophyll b (mg/kg) | Total Chlorophylls (mg/kg) | Carotenoids (mg/kg) | |
| T1 | 1.195(0.007) e | 0.945(0.002) a | 2.140(0.009) e | 0.049(0.004) g | 
| T2 | 1.456(0.005) c | 0.838(0.006) b | 2.294(0.011) d | 0.165(0.005) c | 
| T3 | 1.384(0.005) d | 0.957(0.004) a | 2.341(0.009) c | 0.078(0.004) f | 
| T4 | 1.114(0.006) g | 0.840(0.003) b | 1.954(0.009) f | 0.095(0.003) e | 
| T5 | 1.865(0.005) a | 0.961(0.002) a | 2.826(0.007) a | 0.183(0.003) a | 
| T6 | 1.538(0.002) b | 0.928(0.062) a | 2.466(0.065) b | 0.173(0.003) b | 
| T7 | 1.168(0.003) f | 0.725(0.005) c | 1.893(0.008) g | 0.113(0.007) d | 
| Treatment | Zinnia | |||
| Chlorophyll a (mg/kg) | Chlorophyll b (mg/kg) | Total Chlorophylls (mg/kg) | Carotenoids (mg/kg) | |
| T1 | 1.185(0.003) e | 0.728(0.007) e | 1.913(0.010) e | 0.066(0.003) d | 
| T2 | 1.261(0.003) d | 0.781(0.001) d | 2.042(0.003) d | 0.072(0.001) bc | 
| T3 | 1.278(0.004) c | 0.819(0.006) c | 2.097(0.009) c | 0.083(0.003) bc | 
| T4 | 0.980(0.011) f | 0.634(0.002) f | 1.614(0.013) f | 0.068(0.003) cd | 
| T5 | 1.330(0.006) a | 0.990(0.003) a | 2.320(0.009) a | 0.101(0.006) a | 
| T6 | 1.288(0.001) b | 0.869(0.003) b | 2.157(0.003) b | 0.086(0.006) ab | 
| T7 | 0.891(0.003) g | 0.594(0.001) g | 1.485(0.004) g | 0.048(0.021) e | 
| Treatment | HP | RL | FN | SFW | RFW | SDW | RDW | Chlorophyll a | Chlorophyll b | Total Chlorophylls | Carotenoids | CEI | 
|---|---|---|---|---|---|---|---|---|---|---|---|---|
| T1 | 0.55 | 0.17 | 0.45 | 0.40 | 0.25 | 0.72 | 0.54 | 0.11 | 0.93 | 0.26 | 0.00 | 0.40 | 
| T2 | 0.50 | 0.00 | 0.73 | 0.64 | 0.00 | 0.60 | 0.00 | 0.46 | 0.48 | 0.43 | 0.87 | 0.43 | 
| T3 | 0.83 | 0.56 | 0.82 | 0.95 | 0.40 | 0.77 | 0.86 | 0.36 | 0.98 | 0.48 | 0.22 | 0.66 | 
| T4 | 0.29 | 0.00 | 0.00 | 0.33 | 0.20 | 0.20 | 0.41 | 0.00 | 0.49 | 0.07 | 0.34 | 0.21 | 
| T5 | 1.00 | 1.00 | 1.00 | 1.00 | 1.00 | 1.00 | 1.00 | 1.00 | 1.00 | 1.00 | 1.00 | 1.00 | 
| T6 | 0.90 | 0.17 | 0.55 | 0.73 | 0.20 | 0.90 | 0.55 | 0.56 | 0.86 | 0.61 | 0.93 | 0.63 | 
| T7 | 0.00 | 0.00 | 0.00 | 0.00 | 0.15 | 0.00 | 0.40 | 0.07 | 0.00 | 0.00 | 0.48 | 0.10 | 
| Treatment | HP | RL | FN | SFW | RFW | SDW | RDW | Chlorophyll a | Chlorophyll b | Total Chlorophylls | Carotenoids | CEI | 
|---|---|---|---|---|---|---|---|---|---|---|---|---|
| T1 | 0.42 | 0.16 | 0.07 | 0.31 | 0.28 | 0.36 | 0.36 | 0.67 | 0.34 | 0.51 | 0.34 | 0.35 | 
| T2 | 0.57 | 0.07 | 0.27 | 0.37 | 0.74 | 0.40 | 0.90 | 0.84 | 0.47 | 0.67 | 0.45 | 0.52 | 
| T3 | 0.70 | 0.75 | 0.60 | 0.95 | 0.86 | 0.92 | 0.94 | 0.88 | 0.57 | 0.73 | 0.66 | 0.78 | 
| T4 | 0.00 | 0.53 | 0.20 | 0.09 | 0.15 | 0.10 | 0.30 | 0.20 | 0.10 | 0.15 | 0.38 | 0.20 | 
| T5 | 1.00 | 1.00 | 0.60 | 1.00 | 1.00 | 1.00 | 1.00 | 1.00 | 1.00 | 1.00 | 1.00 | 0.96 | 
| T6 | 0.74 | 0.49 | 1.00 | 0.98 | 0.56 | 0.91 | 0.80 | 0.90 | 0.69 | 0.80 | 0.72 | 0.78 | 
| T7 | 0.06 | 0.00 | 0.00 | 0.00 | 0.00 | 0.00 | 0.00 | 0.00 | 0.00 | 0.00 | 0.0 | 0.01 | 
| Disclaimer/Publisher’s Note: The statements, opinions and data contained in all publications are solely those of the individual author(s) and contributor(s) and not of MDPI and/or the editor(s). MDPI and/or the editor(s) disclaim responsibility for any injury to people or property resulting from any ideas, methods, instructions or products referred to in the content. | 
© 2024 by the authors. Licensee MDPI, Basel, Switzerland. This article is an open access article distributed under the terms and conditions of the Creative Commons Attribution (CC BY) license (https://creativecommons.org/licenses/by/4.0/).
Share and Cite
Ma, L.; Zhang, L. Composted Green Waste as a Peat Substitute in Growing Media for Vinca (Catharanthus roseus (L.) G. Don) and Zinnia (Zinnia elegans Jacq.). Agronomy 2024, 14, 897. https://doi.org/10.3390/agronomy14050897
Ma L, Zhang L. Composted Green Waste as a Peat Substitute in Growing Media for Vinca (Catharanthus roseus (L.) G. Don) and Zinnia (Zinnia elegans Jacq.). Agronomy. 2024; 14(5):897. https://doi.org/10.3390/agronomy14050897
Chicago/Turabian StyleMa, Li, and Lu Zhang. 2024. "Composted Green Waste as a Peat Substitute in Growing Media for Vinca (Catharanthus roseus (L.) G. Don) and Zinnia (Zinnia elegans Jacq.)" Agronomy 14, no. 5: 897. https://doi.org/10.3390/agronomy14050897
APA StyleMa, L., & Zhang, L. (2024). Composted Green Waste as a Peat Substitute in Growing Media for Vinca (Catharanthus roseus (L.) G. Don) and Zinnia (Zinnia elegans Jacq.). Agronomy, 14(5), 897. https://doi.org/10.3390/agronomy14050897
 
        




 
       