The Effects of Exogenous Iron on the Photosynthetic Performance and Transcriptome of Rice under Salt–Alkali Stress
Abstract
1. Introduction
2. Materials and Methods
2.1. Experimental Design
2.2. Measurement Indicators
2.2.1. Plant Dry Weight and Fresh Weight
2.2.2. Pigment Content
2.2.3. Gas Exchange Parameters
2.2.4. Raw Sequencing Data Quality Control and Differentially Expressed Gene Processing
2.2.5. RT-qPCR Quantitative Reverse Transcription PCR Analysis
2.3. Data Analysis
3. Results
3.1. The Impact of Supplemental Iron on the Development of Young Rice Plants Subjected to Saline-Sodic Conditions
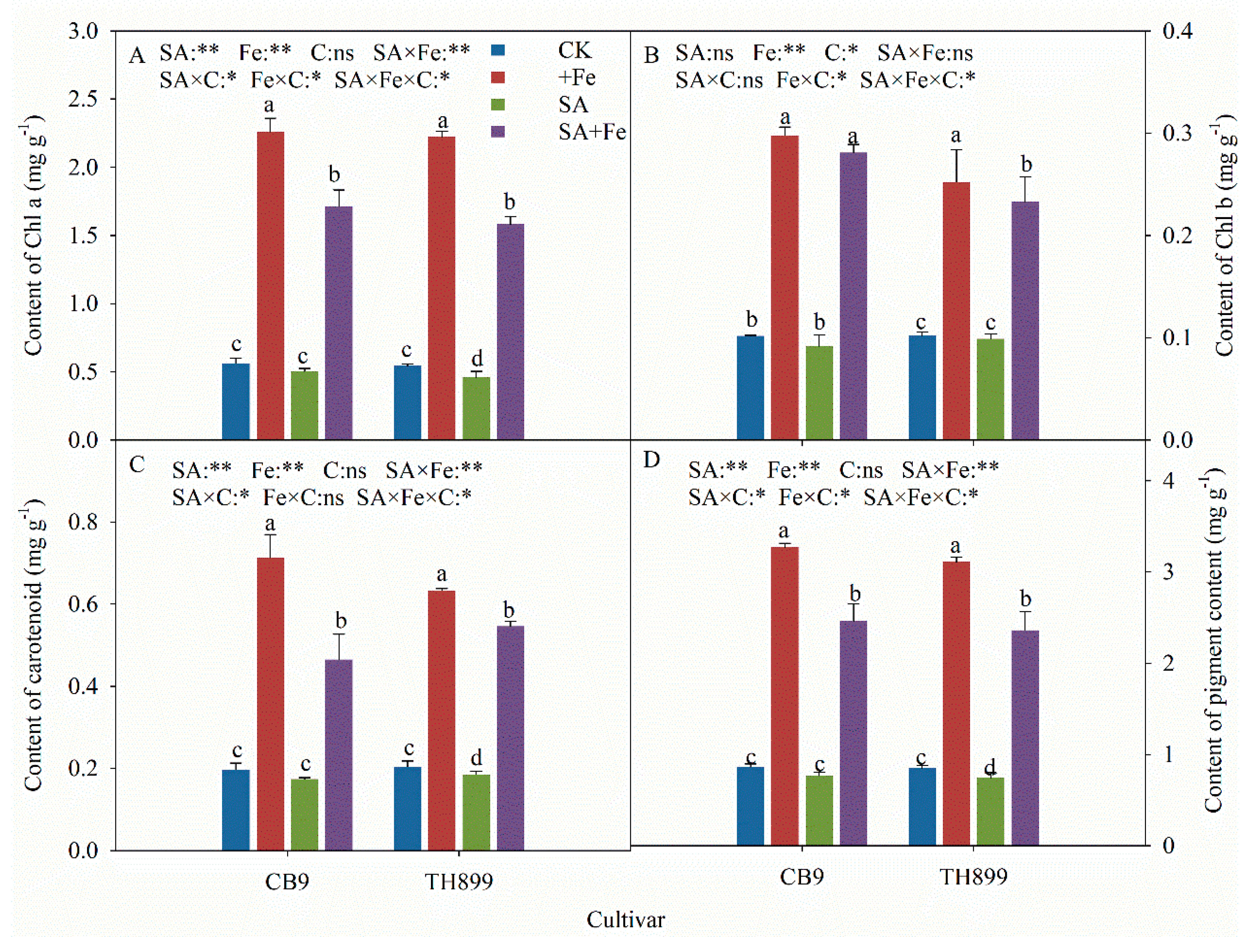
3.2. Impact of Supplemental Iron on Foliar Pigment Concentration in Rice Seedlings Exposed to Saline–Sodic Conditions
3.3. Impact of Supplemental Iron on Gas Exchange Parameters of Rice Seedling Leaves Experiencing Saline-Sodic Stress
3.4. Transcriptome Data Quality Assessment
3.5. Differentially Expressed Genes in Rice Fe-Deficient Seedlings under Saline-Sodic Stress in Response to Exogenous Fe Spraying
3.6. Expression Analysis of Differential Genes in Rice Fe-Deficient Seedlings under Saline-Sodic Stress in Response to Exogenous Fe Spraying
3.7. Exogenous Fe Spraying Significantly Affects Metabolic Pathways of Carotenoid Biosynthesis of Rice Fe-Deficient Seedlings under Saline-Sodic Stress (DEGs A)
3.8. Enrichment Analysis of Specific Differentially Expressed Genes to CB9 Fe-Deficient Seedlings in Response to Exogenous Iron Spraying under Saline-Sodic Stress
3.9. Exogenous Fe Spraying Significantly Affects Carbon Fixation Pathways in the Photosynthetic Biology of CB9 Fe-Deficient Seedlings under Saline-Sodic Stress (DEGs B)
3.10. Transcription Factor Analysis of Differentially Expressed Genes in Rice Fe-Deficient Seedlings under Saline-Sodic Stress in Response to Exogenous Iron Spraying
3.11. RT-qPCR Validation
4. Discussion
5. Conclusions
Author Contributions
Funding
Data Availability Statement
Acknowledgments
Conflicts of Interest
Appendix A
| Gene ID | Sequence (5′-3′ End) | Number of Bases | 
|---|---|---|
| Os12g0292400 | F: GTACTGGACCATGTGGAAACT | 21 | 
| R: AACGAAGGCATCAGGGTATG | 20 | |
| Os02g0197600 | F: ACCAGCCTCAAGTTCCATTAG | 21 | 
| R: CGCATACGCACGTACATACA | 20 | |
| Os11g0242800 | F: CTGGCTGGCCTCAAGTTAAT | 20 | 
| R: AACACATTCTTCCACCCTTCTC | 22 | |
| Os07g0558400 | F: ACACCTTCTCCTCATCCTCTTA | 22 | 
| R: ATGACCTCTCCTCTCTCCATAC | 22 | |
| Os06g0320500 | F: CATCATCCCGAGAACCATCTAC | 22 | 
| R: ACAGTACGCACGCACATAA | 19 | |
| Os02g0744900 | F: GGTGGATCAGTGTGCATGTATAG | 23 | 
| R: GGTACACAGCCTCTCTCTCTTA | 22 | |
| Os02g0664000 | F: GTAGCCCTGCTGTGTAATGT | 20 | 
| R: GCAGTCGCAGGTCTCAATAA | 20 | |
| Os02g0704000 | F: CTCACTCACTCACCATGAAGTC | 22 | 
| R: GCGTTCTTCTTCCTGCCATA | 20 | |
| Os09g0481200 | F: ATCGTCGCCTACTACATCCT | 20 | 
| R: ACACCAGAGATCCATTCAGATTAC | 24 | |
| Os07g0105600 | F: GGCATCTACATAGCCGACATC | 21 | 
| R: GAGGTACTTGGTGACGTAGTTG | 22 | |
| Os07g0513000 | F: TCAATTCAGCGATGCCAAATG | 21 | 
| R: TACGGCGATATCCCTCCTAAT | 21 | |
| Os06g0107700 | F: GAGAACTTCCGGGTCGATTATG | 22 | 
| R: CACAGCTCTTCCTTGTACTCTG | 22 | |
| ACTIN | F: GATCTGGCATCACACCTTCTAC | 22 | 
| R: CTGGGTCATCTTCTCACGATTG | 22 | 
References
- Kakar, N.; Jumaa, S.H.; Redoña, E.D.; Warburton, M.L.; Reddy, K.R. Evaluating rice for salinity using pot-culture provides a systematic tolerance assessment at the seedling stage. Rice 2019, 12, 57. [Google Scholar] [CrossRef] [PubMed]
- Ye, X.X.; Wang, H.; Cao, X.L.; Jin, X.J.; Cui, F.Q.; Bu, Y.Y.; Liu, H.; Wu, W.W.; Takano, T.; Liu, S.K. Transcriptome profiling of Puccinellia tenuiflora during seed germination under a long-term saline-alkali stress. BMC Genom. 2019, 20, 589. [Google Scholar] [CrossRef] [PubMed]
- Ran, C.; Gao, D.P.; Bai, T.Q.; Geng, Y.Q.; Shao, X.W.; Guo, L.Y. Straw return alleviates the negative effects of saline sodic stress on rice by improving soil chemistry and reducing the accumulation of sodium ions in rice leaves. Agric. Ecosyst. Environ. 2023, 342, 108253. [Google Scholar] [CrossRef]
- Gao, D.P.; Ran, C.; Zhang, Y.H.; Wang, X.L.; Lu, S.F.; Geng, Y.Q.; Guo, L.Y.; Shao, X.W. Effect of different concentrations of foliar iron fertilizer on chlorophyll fluorescence characteristics of iron-deficient rice seedlings under saline sodic conditions. Plant Physiol. Biochem. 2022, 185, 112–122. [Google Scholar] [CrossRef] [PubMed]
- Chuamnakthon, S.; Nampei, M.; Ueda, A. Characterization of Na+ exclusion mechanism in rice under saline-alkaline stress conditions. Plant Sci. 2019, 287, 110171. [Google Scholar] [CrossRef] [PubMed]
- Hussain, M.; Ahmad, S.; Hussain, S.; Lal, R.; Ul-Allah, S.; Nawaz, A. Chapter Six—Rice in Saline Soils: Physiology, Biochemistry, Genetics, and Management. Adv. Agron. 2018, 148, 231–287. [Google Scholar] [CrossRef]
- Liu, C.S.; Gao, T.; Liu, Y.H.; Liu, J.Y.; Li, F.B.; Chen, Z.W.; Li, Y.Z.; Lv, Y.W.; Song, Z.Y.; Reinfelder, J.R.; et al. Isotopic fingerprints indicate distinct strategies of Fe uptake in rice. Chem. Geol. 2019, 524, 323–328. [Google Scholar] [CrossRef]
- Gao, D.P.; Ran, C.; Dang, K.; Wang, X.L.; Zhang, Y.H.; Geng, Y.Q.; Liu, S.Y.; Guan, Z.W.; Guo, L.Y.; Shao, X.W. Effect of Phosphorus, Iron, Zinc, and Their Combined Deficiencies on Photosynthetic Charac-teristics of Rice (Oryza sativa L.). Agronomy 2023, 13, 1657. [Google Scholar] [CrossRef]
- Waqas, M.; Chen, Y.N.; Iqbal, H.; Shareef, M.; Rehman, H.U.; Bilal, H.M. Synergistic consequences of salinity and potassium deficiency in quinoa: Linking with stomatal patterning, ionic relations and oxidative metabolism. Plant Physiol. Biochem. 2021, 159, 17–27. [Google Scholar] [CrossRef]
- Yan, F.Y.; Zhang, J.Y.; Li, W.W.; Ding, Y.F.; Zhong, Q.Y.; Xu, X.; Wei, H.M.; Li, G.H. Exogenous melatonin alleviates salt stress by improving leaf photosynthesis in rice seedlings. Plant Physiol. Biochem. 2021, 163, 367–375. [Google Scholar] [CrossRef]
- Ouertani, R.N.; Abid, G.; Karmous, C.; Chikha, M.B.; Boudaya, O.; Mahmoudi, H.; Mejri, S.; Jansen, R.K.; Ghorbel, A. Evaluating the contribution of osmotic and oxidative stress components on barley growth under salt stress. AoB Plants 2021, 13, plab034. [Google Scholar] [CrossRef]
- Roosta, H.R.; Mohsenian, Y. Effects of foliar spray of different Fe sources on pepper (Capsicum annum L.) plants in aquaponic system. Sci. Hortic. 2012, 146, 182–191. [Google Scholar] [CrossRef]
- Selby-Pham, J.; Lutz, A.; Moreno-Moyano, L.T.; Boughton, B.A.; Roessner, U.; Johnson, A.A.T. Diurnal changes in transcript and metabolite levels during the iron deficiency response of Rice. Rice 2017, 10, 14. [Google Scholar] [CrossRef] [PubMed]
- Ma, J.Z.; Zhang, M.; Liu, Z.G.; Chen, H.N.; Li, Y.C.; Sun, Y.; Ma, Q.; Zhao, C.H. Effects of foliar application of the mixture of copper and chelated iron on the yield, quality, photosynthesis, and microelement concentration of table grape (Vitis vinifera L.). Sci. Hortic. 2019, 254, 106–115. [Google Scholar] [CrossRef]
- Liu, H.J.; Yang, L.; Li, N.; Zhou, C.J.; Feng, H.; Yang, J.F.; Han, X.R. Cadmium toxicity reduction in rice (Oryza sativa L.) through iron addition during primary reaction of photosynthesis. Ecotoxicol. Environ. Saf. 2020, 200, 110746. [Google Scholar] [CrossRef]
- Yoon, H.; Kang, Y.; Chang, Y.; Kim, J. Effects of zerovalent iron nanoparticles on photosynthesis and biochemical adaptation of soil-grown Arabidopsis thaliana. Nanomaterials 2019, 9, 1543. [Google Scholar] [CrossRef] [PubMed]
- Ganie, S.A.; Molla, K.A.; Henry, R.J.; Bhat, K.V.; Mondal, T.K. Advances in understanding salt tolerance in rice. Theor. Appl. Genet. 2019, 132, 851–870. [Google Scholar] [CrossRef] [PubMed]
- Bundo, M.; Martin-Cardoso, H.; Pesenti, M.; Gomez-Ariza, J.; Castillo, L.; Frouin, J.; Serrat, X.; Nogues, S.; Courtois, B.; Grenier, C.; et al. Integrative approach for precise genotyping and transcriptomics of salt tolerant introgression rice lines. Front. Plant Sci. 2021, 12, 797141. [Google Scholar] [CrossRef] [PubMed]
- Jahan, N.; Lv, Y.; Song, M.Q.; Zhang, Y.; Shang, L.G.; Lu, Y.; Ye, G.Y.; Qian, Q.; Gao, Z.Y.; Guo, L.B. Transcriptomic analysis of short-term salt-stress response in mega hybrid rice seedlings. Agronomy 2021, 11, 1328. [Google Scholar] [CrossRef]
- Wang, M.; Gong, J.Z.; Bhullar, N.K. Iron deficiency triggered transcriptome changes in bread wheat. Comput. Struct. Biotechnol. J. 2020, 18, 2709–2722. [Google Scholar] [CrossRef] [PubMed]
- Sun, Y.; Mi, W.H.; Wu, L.H. Effects of foliar Fe and Zn fertilizers on storage root Fe, Zn, and beta-carotene content of sweet potato (Ipomoea batatas L.). J. Plant Nutr. 2018, 42, 16–26. [Google Scholar] [CrossRef]
- Yoshida, S.; Forno, D.; Wallace, C.; Gomez, K. Laboratory Manual for Physiological Studies of Rice; International Rice Research Institute: Los Banos, Philippines, 1976. [Google Scholar]
- Shi, D.C.; Sheng, Y.M. Effect of various salt–alkaline mixed stress conditions on sunflower seedlings and analysis of their stress factors. Environ. Exp. Bot. 2005, 54, 8–21. [Google Scholar] [CrossRef]
- Li, H.; Xu, C.Y.; Han, L.; Li, C.Y.; Xiao, B.B.; Wang, H.; Yang, C.W. Extensive secretion of phenolic acids and fatty acids facilitates rhizosphere pH regulation in halophyte Puccinellia tenuiflora under alkali stress. Physiol. Plant. 2022, 174, e13678. [Google Scholar] [CrossRef] [PubMed]
- Nam, H.; Shahzad, Z.; Dorone, Y.; Clowez, S.; Zhao, K.M.; Bouain, N.; Lay-Pruitt, K.S.; Cho, H.; Rhee, S.Y.; Rouached, H. Interdependent iron and phosphorus availability controls photosynthesis through retrograde signaling. Nat. Commun. 2021, 12, 7211. [Google Scholar] [CrossRef]
- Livak, K.J.; Schmittgen, T.D. Analysis of relative gene expression data using real-time quantitative PCR and the 2−ΔΔCT method. Methods 2001, 25, 402–408. [Google Scholar] [CrossRef]
- Abbas, G.; Saqib, M.; Akhtar, J.; Haq, M.A.U. Interactive effects of salinity and iron deficiency on different rice genotypes. J. Plant Nutr. Soil Sci. 2015, 178, 306–311. [Google Scholar] [CrossRef]
- Nounjan, N.; Chansongkrow, P.; Charoensawan, V.; Siangliw, J.L.; Toojinda, T.; Chadchawan, S.; Theerakulpisut, P. High performance of photosynthesis and osmotic adjustment are associated with salt tolerance ability in rice carrying drought tolerance QTL: Physiological and co-expression network analysis. Front. Plant Sci. 2018, 9, 1135. [Google Scholar] [CrossRef] [PubMed]
- Salhi, K.; Hajlaoui, H.; Krouma, A. Genotypic differences in response of durum wheat (Triticum durum Desf.) to lime-induced iron chlorosis. Plant Direct 2022, 6, e377. [Google Scholar] [CrossRef]
- Rabhi, M.; Barhoumi, Z.; Ksouri, R.; Abdelly, C.; Gharsalli, M. Interactive effects of salinity and iron deficiency in Medicago ciliaris. C. R. Biol. 2007, 330, 779–788. [Google Scholar] [CrossRef] [PubMed]
- Das, S.; Biswas, A.K. Comparative study of silicon and selenium to modulate chloroplast pigments levels, Hill activity, photo-synthetic parameters and carbohydrate metabolism under arsenic stress in rice seedlings. Environ. Sci. Pollut. Res. 2022, 29, 19508–19529. [Google Scholar] [CrossRef]
- Tsai, Y.C.; Chen, K.C.; Cheng, T.S.; Lee, C.; Lin, S.H.; Tung, C.W. Chlorophyll fluorescence analysis in diverse rice cultivars reveals the positive correlation between the seedlings salt tolerance and photosynthetic efficiency. BMC Plant Biol. 2019, 19, 403. [Google Scholar] [CrossRef] [PubMed]
- He, L.; Jin, P.; Chen, X.; Zhang, T.Y.; Zhong, K.L.; Liu, P.; Chen, J.P.; Yang, J. Comparative proteomic analysis of Nicotiana benthamiana plants under Chinese wheat mosaic virus infection. BMC Plant Biol. 2021, 21, 51. [Google Scholar] [CrossRef] [PubMed]
- Neto, J.C.R.; Vieira, L.R.; de Aquino Ribeiro, J.A.; de Sousa, C.A.F.; Junior, M.T.S.; Abdelnur, P.V. Metabolic effect of drought stress on the leaves of young oil palm (Elaeis guineensis) plants using UHPLC-MS and multivariate analysis. Sci. Rep. 2021, 11, 18271. [Google Scholar] [CrossRef] [PubMed]
- Yu, Z.P.; Duan, X.B.; Luo, L.; Dai, S.J.; Ding, Z.J.; Xia, G.M. How Plant Hormones Mediate Salt Stress Responses. Trends Plant Sci. 2022, 25, 1117–1130. [Google Scholar] [CrossRef] [PubMed]
- Joshi, V.; Joung, J.; Fei, Z.J.; Jander, G. Interdependence of threonine, methionine and isoleucine metabolism in plants: Accumulation and transcriptional regulation under abiotic stress. Amino Acids 2010, 39, 933–947. [Google Scholar] [CrossRef]
- Kong, W.L.; Zhong, H.; Gong, Z.Y.; Fang, X.Y.; Sun, T.; Deng, X.X.; Li, Y.S. Meta-analysis of salt stress transcriptome responses in different rice genotypes at the seedling stage. Plants 2019, 8, 64. [Google Scholar] [CrossRef]
- Li, N.; Liu, H.L.; Sun, J.; Zheng, H.L.; Wang, J.G.; Yang, L.M.; Zhao, H.W.; Zou, D.T. Transcriptome analysis of two contrasting rice cultivars during alkaline stress. Sci. Rep. 2018, 8, 9586. [Google Scholar] [CrossRef] [PubMed]
- Wang, Y.X.; Huang, L.Y.; Du, F.P.; Wang, J.; Zhao, X.Q.; Li, Z.K.; Wang, W.S.; Xu, J.L.; Fu, B.Y. Comparative transcriptome and metabolome profiling reveal molecular mechanisms underlying OsDRAP1-mediated salt tolerance in rice. Sci. Rep. 2021, 11, 5166. [Google Scholar] [CrossRef] [PubMed]
- Hou, J.; Sun, Y.; Wang, L.; Jiang, Y.Z.; Chen, N.N.; Tong, S.F. Genome-wide analysis of the homeobox gene family and identification of drought-responsive members in Populus trichocarpa. Plants 2021, 10, 2284. [Google Scholar] [CrossRef]
- Zhang, X.Y.; Yang, Z.R.; Li, Z.; Zhang, F.L.; Hao, L.Z. De novo transcriptome assembly and co-expression network analysis of Cynanchum thesioides: Identification of genes involved in resistance to drought stress. Gene 2019, 710, 375–386. [Google Scholar] [CrossRef] [PubMed]









| Cultivars | Treatment | Ci (μmol mol−1) | Gs (mmol H2O m−2 s −1) | A (μmol CO2 m−2 s −1) | E (mmol H2O m−2 s −1) | 
|---|---|---|---|---|---|
| CB9 | CK | 417.3 ± 6.0 b | 266.0 ± 6.2 c | 8.9 ± 0.7 c | 3.8 ± 0.2 c | 
| +Fe | 265.3 ± 10.1 d | 360.0 ± 7.0 a | 19.9 ± 0.6 a | 6.3 ± 0.1 a | |
| SA | 439.3 ± 8.1 a | 256.0 ± 8.0 c | 7.1 ± 0.6 d | 3.1 ± 0.1 d | |
| SA + Fe | 317.0 ± 3.6 c | 316.0 ± 11.1 b | 12.8 ± 0.6 b | 4.5 ± 0.1 b | |
| TH899 | CK | 373.0 ± 11.5 b | 264.3 ± 10.6 c | 7.7 ± 0.7 c | 4.0 ± 0.1 b | 
| +Fe | 308.3 ± 13.7 d | 350.3 ± 17.6 a | 17.7 ± 0.3 a | 5.7 ± 0.1 a | |
| SA | 446.0 ± 9.2 a | 245.0 ± 10.1 c | 5.6 ± 0.6 d | 3.1 ± 0.2 c | |
| SA + Fe | 334.0 ± 6.6 c | 295.7 ± 7.0 b | 11.2 ± 0.6 b | 4.1 ± 0.2 b | |
| F-value | C | 2.259 | 6.418 * | 46.854 ** | 12.585 * | 
| SA | 134.51 ** | 57.758 ** | 349.345 ** | 357.505 ** | |
| Fe | 521.293 ** | 297.839 ** | 785.964 ** | 644.787 ** | |
| SA × C | 2.831 | 1.410 | 0.102 | 0.000 | |
| SA × Fe | 1.414 | 16.946 * | 106.517 ** | 54.202 ** | |
| Fe × C | 43.205 * | 1.059 | 1.058 | 21.305 * | |
| SA × Fe × C | 26.855 ** | 0.006 | 0.786 | 1.281 | 
| Sample | Raw Reads | Clean Reads | Error Rate (%) | Q20 (%) | Q30 (%) | GC Content (%) | Total Mapped | Uniquely Mapped | 
|---|---|---|---|---|---|---|---|---|
| CB_SA_1 | 62204786 | 61643158 | 0.0272 | 97.21 | 92.25 | 53.29 | 58739919 (95.29%) | 56782102 (92.11%) | 
| CB_SA_2 | 55700666 | 55161400 | 0.0268 | 97.41 | 92.62 | 53.19 | 52684428 (95.51%) | 50908597 (92.29%) | 
| CB_SA_3 | 61435748 | 60853462 | 0.0271 | 97.26 | 92.37 | 53.45 | 58047116 (95.39%) | 55705397 (91.54%) | 
| CB_SA_Fe1 | 52790506 | 52296848 | 0.0278 | 96.99 | 91.73 | 53.67 | 49824516 (95.27%) | 48155861 (92.08%) | 
| CB_SA_Fe2 | 56852140 | 56316326 | 0.0274 | 97.14 | 92.09 | 53.69 | 53658569 (95.28%) | 51790933 (91.96%) | 
| CB_SA_Fe3 | 67354178 | 66715724 | 0.0279 | 96.93 | 91.65 | 53.54 | 63376544 (94.99%) | 61058034 (91.52%) | 
| TH_SA_1 | 57918838 | 57380932 | 0.0276 | 97.06 | 91.89 | 53.33 | 54786641 (95.48%) | 52270723 (91.09%) | 
| TH_SA_2 | 46366348 | 45959544 | 0.0278 | 97 | 91.72 | 52.93 | 43875231 (95.46%) | 41465762 (90.22%) | 
| TH_SA_3 | 44643230 | 44243696 | 0.0269 | 97.33 | 92.44 | 52.45 | 42453058 (95.95%) | 40891765 (92.42%) | 
| TH_SA_Fe1 | 57172238 | 56631350 | 0.0277 | 97.03 | 91.81 | 53.31 | 53875797 (95.13%) | 51863259 (91.58%) | 
| TH_SA_Fe2 | 59909992 | 59455624 | 0.0266 | 97.45 | 92.7 | 53.24 | 56676702 (95.33%) | 54589706 (91.82%) | 
| TH_SA_Fe3 | 50289926 | 49706494 | 0.0276 | 97.04 | 91.88 | 53.62 | 47420063 (95.4%) | 45904726 (92.35%) | 
| Pathway | Genes ID | CB_SA_Fe vs. CB_SA | TH_SA_Fe vs. TH_SA | ||||
|---|---|---|---|---|---|---|---|
| Significant | log2FC | Regulate | Significant | log2FC | Regulate | ||
| ID: map00906 (Carotenoid biosynthesis) | Os03g0645900 | yes | 6.60 | up | yes | 6.32 | up | 
| Os12g0626400 | yes | 2.79 | up | yes | 2.50 | up | |
| Os04g0578400 | yes | 1.35 | up | yes | 1.16 | up | |
| Os12g0617400 | yes | 2.66 | up | yes | 2.46 | up | |
| Os07g0282300 | yes | −1.28 | down | yes | −1.24 | down | |
| Os02g0703600 | yes | −2.27 | down | yes | 1.31 | up | |
| Os07g0164900 | yes | 2.18 | up | yes | 1.45 | up | |
| Os07g0154100 | yes | 4.05 | up | yes | 6.64 | up | |
| Os09g0555500 | yes | 4.27 | up | yes | 2.78 | up | |
| Os03g0125100 | yes | 4.14 | up | yes | 4.27 | up | |
| Os12g0617250 | yes | 2.94 | up | yes | 2.86 | up | |
| Os10g0546600 | yes | 1.78 | up | yes | 1.29 | up | |
| Os01g0566500 | yes | 3.55 | up | yes | 10.10 | up | |
| Os07g0282500 | yes | −1.99 | down | yes | −2.76 | down | |
| Pathway | Genes ID | CB_SA_Fe vs. CB_SA | TH_SA_Fe vs. TH_SA | ||||
|---|---|---|---|---|---|---|---|
| Significant | log2FC | Regulate | Significant | log2FC | Regulate | ||
| ID: map00710 (Carbon fixation in photosynthetic organisms) | Os09g0535000 | yes | 1.45 | up | no | 0.64 | up | 
| Os07g0176900 | yes | 1.29 | up | no | −0.09 | down | |
| Os12g0274700 | yes | 2.29 | up | no | 0.15 | up | |
| Os01g0866400 | yes | 2.19 | up | no | 0.73 | up | |
| Os12g0291733 | yes | 2.57 | up | no | 0.23 | up | |
| Os01g0723400 | yes | −1.09 | down | no | −0.69 | down | |
| Os10g0390500 | yes | −1.54 | down | no | −0.24 | down | |
| Os01g0208700 | yes | 1.04 | up | no | 0.04 | up | |
| Os10g0442100 | yes | 1.11 | up | no | 0.24 | up | |
| Os12g0292301 | yes | 2.41 | up | no | 0.82 | up | |
| Os02g0697900 | yes | 1.23 | up | no | −0.90 | down | |
| Os05g0496200 | yes | 1.13 | up | no | 0.39 | up | |
| Os04g0266900 | yes | −1.09 | down | no | −0.24 | down | |
| Os06g0664200 | yes | 1.10 | up | no | −0.16 | down | |
| Os12g0291100 | yes | 1.22 | up | no | 0.09 | up | |
| Os07g0630800 | yes | 1.36 | up | no | −0.56 | down | |
| Os03g0267300 | yes | 1.41 | up | no | 0.12 | up | |
| Os02g0601300 | yes | −1.13 | down | no | −0.15 | down | |
| Os04g0459500 | yes | 1.30 | up | no | −0.03 | down | |
| Os12g0292400 | yes | 1.52 | up | no | 0.37 | up | |
| Disclaimer/Publisher’s Note: The statements, opinions and data contained in all publications are solely those of the individual author(s) and contributor(s) and not of MDPI and/or the editor(s). MDPI and/or the editor(s) disclaim responsibility for any injury to people or property resulting from any ideas, methods, instructions or products referred to in the content. | 
© 2024 by the authors. Licensee MDPI, Basel, Switzerland. This article is an open access article distributed under the terms and conditions of the Creative Commons Attribution (CC BY) license (https://creativecommons.org/licenses/by/4.0/).
Share and Cite
Gao, D.; Zhao, S.; Huang, R.; Geng, Y.; Guo, L. The Effects of Exogenous Iron on the Photosynthetic Performance and Transcriptome of Rice under Salt–Alkali Stress. Agronomy 2024, 14, 1253. https://doi.org/10.3390/agronomy14061253
Gao D, Zhao S, Huang R, Geng Y, Guo L. The Effects of Exogenous Iron on the Photosynthetic Performance and Transcriptome of Rice under Salt–Alkali Stress. Agronomy. 2024; 14(6):1253. https://doi.org/10.3390/agronomy14061253
Chicago/Turabian StyleGao, Dapeng, Shuting Zhao, Rang Huang, Yanqiu Geng, and Liying Guo. 2024. "The Effects of Exogenous Iron on the Photosynthetic Performance and Transcriptome of Rice under Salt–Alkali Stress" Agronomy 14, no. 6: 1253. https://doi.org/10.3390/agronomy14061253
APA StyleGao, D., Zhao, S., Huang, R., Geng, Y., & Guo, L. (2024). The Effects of Exogenous Iron on the Photosynthetic Performance and Transcriptome of Rice under Salt–Alkali Stress. Agronomy, 14(6), 1253. https://doi.org/10.3390/agronomy14061253
 
        

 
       