Effects of Land Use Change on Soil Aggregate Stability and Erodibility in the Karst Region of Southwest China
Abstract
1. Introduction
2. Materials and Methods
2.1. Study Area
2.2. Experimental Design
2.3. Soil Sampling and Analysis
2.4. Calculation of Soil Aggregate Stability and Erodibility
2.5. Statistical Analysis
3. Results
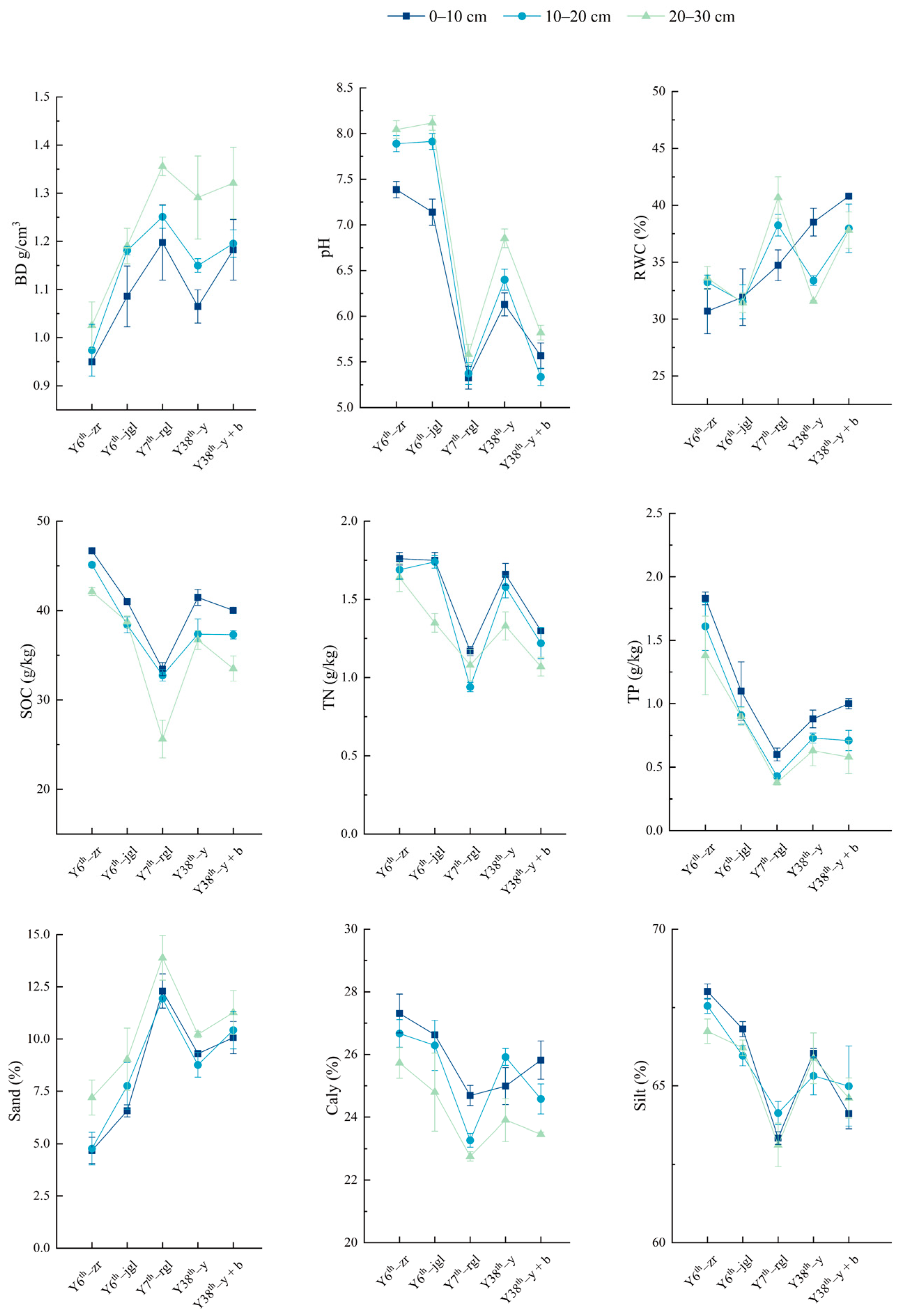
3.1. Impact of Land Use Type on Physical and Chemical Properties
3.2. Distribution Characteristics of Soil Water-Stable Clusters under Land Use Practices
3.3. Differences in Soil Structural Stability under Land Use Patterns
3.4. Effect of Land Use Practices on Soil Erodibility (K)
3.5. Correlation of Soil Aggregate Stability, Erodibility, and Soil Physical and Chemical Properties
4. Discussion
4.1. Impact of Land Use Patterns on Agglomerate Distribution
4.2. Impact of Different Land Uses on Stability
4.3. Study of Soil Erodibility under Different Land Uses
4.4. Correlation of Soil Aggregate Characteristics with Erodibility
4.5. Key Factors Affecting the Stability and Erodibility of Soil Aggregates
5. Conclusions
Author Contributions
Funding
Data Availability Statement
Acknowledgments
Conflicts of Interest
References
- Chen, S.; Zhang, G.; Zhu, P.; Wang, C.; Wan, Y. Impact of Land Use Type on Soil Erodibility in a Small Watershed of Rolling Hill Northeast China. Soil Till Res. 2023, 227, 105597. [Google Scholar] [CrossRef]
- Li, Q.; Lu, G.; Han, X.; Zhou, Z.; Zeng, T.; Yu, M.; Wang, H. Responses of Storm-Based Soil Erosion Processes to Land Use Changes in the Upper Huaihe River Basin, China. Environ. Earth Sci. 2020, 79, 375. [Google Scholar] [CrossRef]
- Keesstra, S.; Mol, G.; De Leeuw, J.; Okx, J.; Molenaar, C.; De Cleen, M.; Visser, S. Soil-Related Sustainable Development Goals: Four Concepts to Make Land Degradation Neutrality and Restoration Work. Land 2018, 7, 133. [Google Scholar] [CrossRef]
- Zhang, W.C.; Wu, W.; Liu, H.B. Planting Year-and Climate-Controlled Soil Aggregate Stability and Soil Fertility in the Karst Region of Southwest China. Agronomy 2023, 13, 2962. [Google Scholar] [CrossRef]
- Anderson, R.; Brye, K.R.; Wood, L.S. Soil Aggregate Stability as Affected by Land use and Soil Properties in the Lower Mississippi River Valley. Soil Sci. Soc. Am. J. 2019, 83, 1512–1524. [Google Scholar] [CrossRef]
- Li, Y.; Yu, P.; Shen, L. Changes in Soil Aggregate Stability and Aggregate-Associated Organic Carbon during Old-Field Succession in Karst Valley. Environ. Monit. Assess. 2022, 194, 15. [Google Scholar] [CrossRef] [PubMed]
- Nie, X.; Li, Z.; Huang, J.; Liu, L.; Xiao, H.; Liu, C.; Zeng, G. Thermal stability of organic carbon in soil aggregates as affected by soil erosion and deposition. Soil Till Res. 2018, 175, 82–90. [Google Scholar] [CrossRef]
- Dou, Y.; Yang, Y.; An, S.; Zhu, Z. Effects of Different Vegetation Restoration Measures on Soil Aggregate Stability and Erodibility on the Loess Plateau, China. CATENA 2020, 185, 104294. [Google Scholar] [CrossRef]
- Canisares, L.P.; Cherubin, M.R.; Da Silva, L.F.S.; Franco, A.L.C.; Cooper, M.; Mooney, S.J.; Cerri, C.E.P. Soil Microstructure Alterations Induced by Land Use Change for Sugarcane Expansion in Brazil. Soil Use Manag. 2020, 36, 189–199. [Google Scholar] [CrossRef]
- Wang, H.; Wang, J.; Zhang, G. Impact of Landscape Positions on Soil Erodibility Indices in Typical Vegetation-Restored Slope-Gully Systems on the Loess Plateau of China. CATENA 2021, 201, 105235. [Google Scholar] [CrossRef]
- Tisdall, J.M.; Oades, J.M. Organic matter and water—Stable aggregates in soils. J. Soil Sci. 1982, 33, 141–163. [Google Scholar] [CrossRef]
- Liu, Y.; Ma, M.; Ran, Y.; Yi, X.; Wu, S.; Huang, P. Disentangling the effects of edaphic and vegetational properties on soil aggregate stability in riparian zones along a gradient of flooding stress. Geoderma 2021, 385, 114883. [Google Scholar] [CrossRef]
- Chen, S.; Zhang, G.; Zhu, P.; Wang, C.; Wan, Y. Impact of Slope Position on Soil Erodibility Indicators in Rolling Hill Regions of Northeast China. CATENA 2022, 217, 106475. [Google Scholar] [CrossRef]
- Peng, J.; Wang, J.; Yang, Q.; Long, L.; Li, H.; Guo, Z.; Cai, C. Spatial Variation in Soil Aggregate Stability and Erodibility at Different Slope Positions in Four Hilly Regions of Northeast China. CATENA 2024, 235, 107660. [Google Scholar] [CrossRef]
- Wang, H.; Gao, J.B.; Hou, W.J. Quantitative attribution analysis of soil erosion in different geomorphological types in karst areas: Based on the geodetector method. J. Geogr. Sci. 2019, 29, 271–286. [Google Scholar] [CrossRef]
- Okolo, C.C.; Gebresamuel, G.; Zenebe, A.; Haile, M.; Eze, P.N. Accumulation of Organic Carbon in Various Soil Aggregate Sizes under Different Land Use Systems in a Semi-Arid Environment. Agric. Ecosyst. Environ. 2020, 297, 106924. [Google Scholar] [CrossRef]
- Melese, T.; Senamaw, A.; Belay, T.; Bayable, G. The Spatiotemporal Dynamics of Land Use Land Cover Change, and Its Impact on Soil Erosion in Tagaw Watershed, Blue Nile Basin, Ethiopia. Glob. Chall. 2021, 5, 2000109. [Google Scholar] [CrossRef] [PubMed]
- Aneseyee, A.B.; Elias, E.; Soromessa, T.; Feyisa, G.L. Land Use/Land Cover Change Effect on Soil Erosion and Sediment Delivery in the Winike Watershed, Omo Gibe Basin, Ethiopia. Sci. Total Environ. 2020, 728, 138776. [Google Scholar] [CrossRef] [PubMed]
- Liang, P.; Wang, X.; Xu, Q.; Zhang, J.; Fang, R.; Fu, Z.; Chen, H. Lithology-mediated soil erodibility characteristics after vegetation restoration in the karst region of Southwest China. Land. Degrad. Dev. 2024, 35, 1074–1086. [Google Scholar] [CrossRef]
- Chang, J.; Li, Q.; Zhai, L.; Liao, C.; Qi, X.; Zhang, Y.; Wang, K. Comprehensive assessment of rocky desertification treatment in Southwest China karst. Land. Degrad. Dev. 2024, 35, 3461–3476. [Google Scholar] [CrossRef]
- Wang, H.; Zhang, G.; Wang, J. Plant community near-surface characteristics as drivers of soil erodibility variation along a slope gradient in a typical semiarid region of China. CATENA 2022, 212, 106108. [Google Scholar] [CrossRef]
- Zhang, K.Q.; Xu, M.; Jia, Z.L. The quantitative assessment of the ecological assets of plateau mountain cities based on GIS and remote sensing: A case study of Kunming, Yunnan Province, China. Ecol. Sci. 2023, 42, 124–134. [Google Scholar] [CrossRef]
- Chen, Z.F.; Li, J.; Duan, Q.S.; Wang, Y.; Xiang, B.; Ning, D.W. Evaluation of soil erosion and nutrient loss of slope farmland in Yunnan Province using USLE model, China. Trans. Chin. Soc. Agric. Eng. 2022, 38, 124–134. [Google Scholar] [CrossRef]
- Li, X.Z.; Hu, C.Y.; Yang, F.; Han, G.Z. Influence of Land Use Changes on Evolution of Different K Forms in Purple Paddy Soils, China. Acta Pedol. Sin. 2023, 60, 685–693. [Google Scholar] [CrossRef]
- Pieri, C. Fertility of soils. In A Future for Farming in the West African Savannah; Springer: Berlin/Heidelberg, Germany, 1992; p. 348. [Google Scholar]
- Williams, J.R.; Renard, K.G.; Dyke, P.T. EPIC: A new method for assessing erosion’s effect on soil productivity. J. Soil Water Conserv. 1983, 38, 381–383. [Google Scholar]
- Zhang, K.L.; Shu, A.P.; Xu, X.L.; Yang, Q.K.; Yu, B. Soil erodibility and its estimation for agricultural soils in China. J. Arid Environ. 2008, 72, 1002–1011. [Google Scholar] [CrossRef]
- Liu, Y.L.; Wang, P.; Wang, J.K. Formation and Stability Mechanism of Soil Aggregates: Progress and Prospect, China. Acta Pedol. Sin. 2023, 60, 627–643. [Google Scholar] [CrossRef]
- Gan, F.; Shi, H.; Gou, J.; Zhang, L.; Dai, Q.; Yan, Y. Responses of Soil Aggregate Stability and Soil Erosion Resistance to Different Bedrock Strata Dip and Land Use Types in the Karst Trough Valley of Southwest China. Int. Soil Water Conserv. Res. 2023, 12, 684–696. [Google Scholar] [CrossRef]
- Ding, W.B.; Jiang, D.M.; Shi, D.M.; Chang, S.G.; Liu, Z.P. The study of soil and water conversation and tilth characteristics of cultivated-layer in purple soil farmland, China. Int. Soil Water Conserv. Res. 2016, 30, 24–29. [Google Scholar] [CrossRef]
- Aoubi, S.; Mokhtari, J.; Mosaddeghi, M.R.; Zeraatpisheh, M. Erodibility of Calcareous Soils as Influenced by Land Use and Intrinsic Soil Properties in a Semiarid Region of Central Iran. Environ. Monit. Assess. 2018, 190, 192. [Google Scholar] [CrossRef]
- Ananyeva, K.; Wang, W.; Smucker, A.J.M.; Rivers, M.L.; Kravchenko, A.N. Can Intra-Aggregate Pore Structures Affect the Aggregate’s Effectiveness in Protecting Carbon? Soil Biol. Biochem. 2013, 57, 868–875. [Google Scholar] [CrossRef]
- Xu, X.R.; Wang, J.K. A review on different stabilized mechanisms of soil aggregates and organic carbon, China. Chin. J. Soil Sci. 2017, 48, 1523–1529. [Google Scholar] [CrossRef]
- Zhang, J.; Chi, F.; Wei, D.; Zhou, B.; Cai, S.; Li, Y.; Li, L.J. Impacts of long-term fertilization on the molecular structure of humic acid and organic carbon content in soil aggregates in black soil. Sci. Rep. 2019, 9, 11908. [Google Scholar] [CrossRef] [PubMed]
- Zhao, F.Z.; Fan, X.D.; Ren, C.J.; Zhang, L.; Han, X.H.; Yang, G.H.; Doughty, R. Changes of the organic carbon content and stability of soil aggregates affected by soil bacterial community after afforestation. CATENA 2018, 171, 622–631. [Google Scholar] [CrossRef]
- Halder, M.; Ahmad, S.J.; Rahman, T.; Joardar, J.C.; Siddique, M.A.B.; Islam, M.S.; Peng, X. Effects of straw incorporation and straw-burning on aggregate stability and soil organic carbon in a clay soil of Bangladesh. Geoderma Reg. 2023, 32, e00620. [Google Scholar] [CrossRef]
- Zhang, Y.; Li, Y.; Ma, Z.; Cui, Z.; Sheng, H.; Li, R. Different Land-Use Effects on Soil Aggregates and Aggregate-Associated Organic Carbon in Eastern Qinghai-Tibet Plateau. Agronomy 2024, 14, 990. [Google Scholar] [CrossRef]
- Corral-Pazos-de-Provens, E.; Rapp-Arrarás, Í.; Domingo-Santos, J.M. The USLE soil erodibility nomograph revisited. Int. Soil Water Conserv. Res. 2023, 11, 1–13. [Google Scholar] [CrossRef]
- Tian, Z.; Zhao, Y.; Cao, L.; Zhao, Y.; Liang, Y. Assessing the declining trend in soil erodibility across China: A comparison of conventional and digital K-factor maps. Int. Soil Water Conserv. Res. 2024, in press. [Google Scholar] [CrossRef]
- Zhang, H.Y.; Wang, K.Q.; Song, Y.L. Soil erosion resistance under different land use types in Jianshan River watershed in middle Yunnan Province. J. Soil Water Conserv. 2019, 33, 50–57. [Google Scholar] [CrossRef]
- Almajmaie, A.; Hardie, M.; Acuna, T.; Birch, C. Evaluation of methods for determining soil aggregate stability. Soil Till Res. 2017, 167, 39–45. [Google Scholar] [CrossRef]
- Ghosh, B.N.; Meena, V.S.; Alam, N.M.; Dogra, P.; Bhattacharyya, R.; Sharma, N.K.; Mishra, P.K. Impact of conservation practices on soil aggregation and the carbon management index after seven years of maize-wheat cropping system in the Indian Himalayas. Agric. Ecosyst. Environ. 2016, 216, 247–257. [Google Scholar] [CrossRef]
- Liu, Y.; Ma, M.H.; Wu, S.J.; Ran, Y.G.; Wang, X.X.; Huang, P. Progress and prospect of soil aggregates stability induced by wetting and drying cycles. Soils 2018, 50, 853–865. [Google Scholar] [CrossRef]
- Yao, Y.; Liu, J.; Wang, Z.; Wei, X.; Zhu, H.; Fu, W.; Shao, M. Responses of Soil Aggregate Stability, Erodibility and Nutrient Enrichment to Simulated Extreme Heavy Rainfall. Sci. Total Environ. 2020, 709, 136150. [Google Scholar] [CrossRef] [PubMed]
- Arunrat, N.; Sereenonchai, S.; Kongsurakan, P.; Hatano, R. Soil Organic Carbon and Soil Erodibility Response to Various Land-Use Changes in Northern Thailand. CATENA 2022, 219, 106595. [Google Scholar] [CrossRef]
- Ndzelu, B.S.; Dou, S.; Zhang, X. Corn Straw Return Can Increase Labile Soil Organic Carbon Fractions and Improve Water-Stable Aggregates in Haplic Cambisol. J. Arid. Land 2020, 12, 1018–1030. [Google Scholar] [CrossRef]
- Li, Z.X.; Cai, C.F.; Shi, Z.H.; Wang, T.W.; Ding, S.W. Aggregate stability and its relationship with some chemical properties of Red soils in subtropical China. Pedosphere 2005, 15, 129–136. [Google Scholar] [CrossRef]








| Site Code | Altitude (m) | Slope (°) | Aspect | Planting Year (a) | Average Tree Height (m) | Vegetation Coverage (%) | Dominant Community |
|---|---|---|---|---|---|---|---|
| Y6th-zr | 1446 | 28 | West | 6 | 1.5 | 76 | Fraxinus chinensis Roxb, Hydrangea aspera, Artemisia argyi, Artemisia dubia |
| Y6th-jgl | 1444 | 25 | West | 6 | 1.8 | 53 | Kiwi |
| Y7th-rgl | 1463 | 24 | Southeast | 7 | 6 | 68 | Cunninghamia lanceolata, Hippophage rhamnoides, Pyracantha fortuneana, Stenoloma Fee |
| Y38th-y | 1395 | 20 | West | 38 | - | - | Maize |
| Y38th-y + b | 1441 | 24 | North | 38 | - | - | Maize, Cabbage |
| Site Code | Fertilizers Rate (kg/ha) | Application Methods | |||||
|---|---|---|---|---|---|---|---|
| N | Compound Fertilizer | ||||||
| Sowing Period | Seedling Stage | Growing Period | Sowing Period | Seedling Stage | Growing Period | ||
| Y6th-zr | 0 | 0 | 0 | 0 | 0 | 0 | - |
| Y6th-jgl | 0 | 0 | 0 | 0 | 0 | 2300 | Hole fertilization |
| Y7th-rgl | 0 | 0 | 0 | 0 | 0 | 0 | - |
| Y38th-y | 0 | 12.5 | 25 | 750 | 37.5 | 0 | Hole fertilization, surface fertilization |
| Y38th-y + b | 0 | 12.5 | 25 | 750 | 37.5 | 0 | Hole fertilization, surface fertilization |
Disclaimer/Publisher’s Note: The statements, opinions and data contained in all publications are solely those of the individual author(s) and contributor(s) and not of MDPI and/or the editor(s). MDPI and/or the editor(s) disclaim responsibility for any injury to people or property resulting from any ideas, methods, instructions or products referred to in the content. |
© 2024 by the authors. Licensee MDPI, Basel, Switzerland. This article is an open access article distributed under the terms and conditions of the Creative Commons Attribution (CC BY) license (https://creativecommons.org/licenses/by/4.0/).
Share and Cite
Li, M.; Wang, K.; Ma, X.; Fan, M.; Song, Y. Effects of Land Use Change on Soil Aggregate Stability and Erodibility in the Karst Region of Southwest China. Agronomy 2024, 14, 1534. https://doi.org/10.3390/agronomy14071534
Li M, Wang K, Ma X, Fan M, Song Y. Effects of Land Use Change on Soil Aggregate Stability and Erodibility in the Karst Region of Southwest China. Agronomy. 2024; 14(7):1534. https://doi.org/10.3390/agronomy14071534
Chicago/Turabian StyleLi, Meiting, Keqin Wang, Xiaoyi Ma, Mingsi Fan, and Yali Song. 2024. "Effects of Land Use Change on Soil Aggregate Stability and Erodibility in the Karst Region of Southwest China" Agronomy 14, no. 7: 1534. https://doi.org/10.3390/agronomy14071534
APA StyleLi, M., Wang, K., Ma, X., Fan, M., & Song, Y. (2024). Effects of Land Use Change on Soil Aggregate Stability and Erodibility in the Karst Region of Southwest China. Agronomy, 14(7), 1534. https://doi.org/10.3390/agronomy14071534

