Exogenous Application of Melatonin and Strigolactone by Regulating Morphophysiological Responses and Gene Expression to Improve Drought Resistance in Fodder Soybean Seedlings
Abstract
1. Introduction
2. Materials and Methods
2.1. Plant Material and Treatments
2.2. Measurements of Growth and Morphological Indexes
2.3. Determination of Photosynthesis Parameters
2.4. Measurement of Antioxidant Enzymes, Antioxidants, and Osmotic Solutes
2.5. Measurement of Malondialdehyde, Relative Electrical Conductivity, and Superoxide Anion
2.6. Measurement of Endogenous Hormone Indexes
2.7. Measurement of Gene Expression
2.8. Data Analysis
3. Results
3.1. Impact of MT and SL on the Growth of Fodder Soybean under Drought Stress
3.2. Impact of MT and SL on Morphological Characteristics of Fodder Soybean under Drought Stress
3.2.1. Changes in Root System
3.2.2. Changes in Stomatal Traits
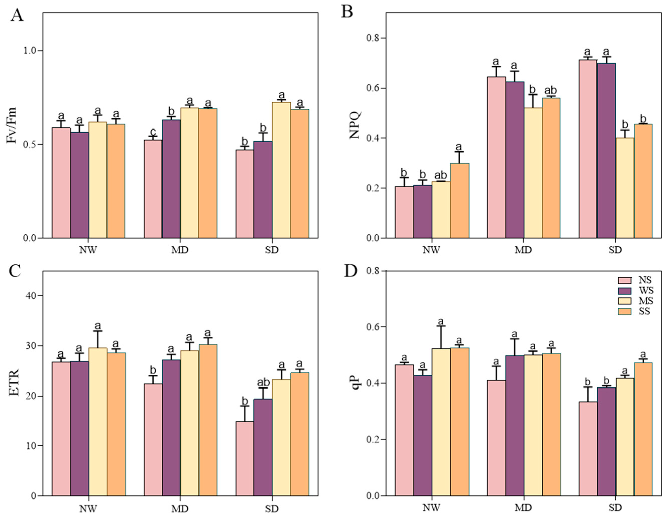
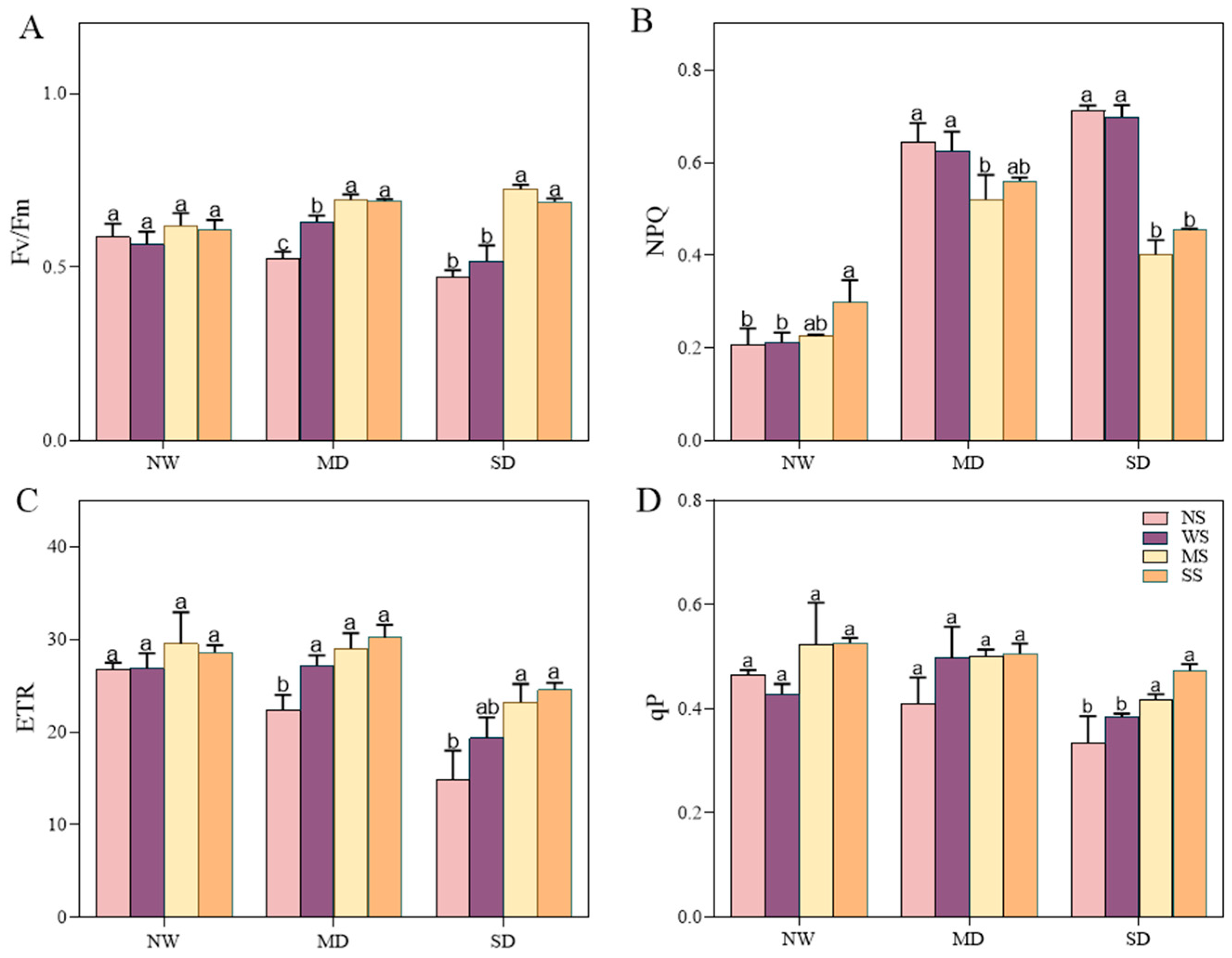
3.3. Impact of MT and SL on Photosynthetic System in Fodder Soybean under Drought Stress
3.3.1. Changes in Gas Exchange Parameters
3.3.2. Changes in Chlorophyll Pigments
3.3.3. Analysis of Chlorophyll Fluorescence Changes
3.4. Impact of MT and SL on Antioxidant Enzyme Activity in Fodder Soybean under Drought Stress
3.5. Impact of MT and SL on Antioxidants and Osmotic Solutes under Drought Stress
3.6. Impact of MT and SL on Cell Membrane and Oxidative Damage in Fodder Soybean under Drought Stress
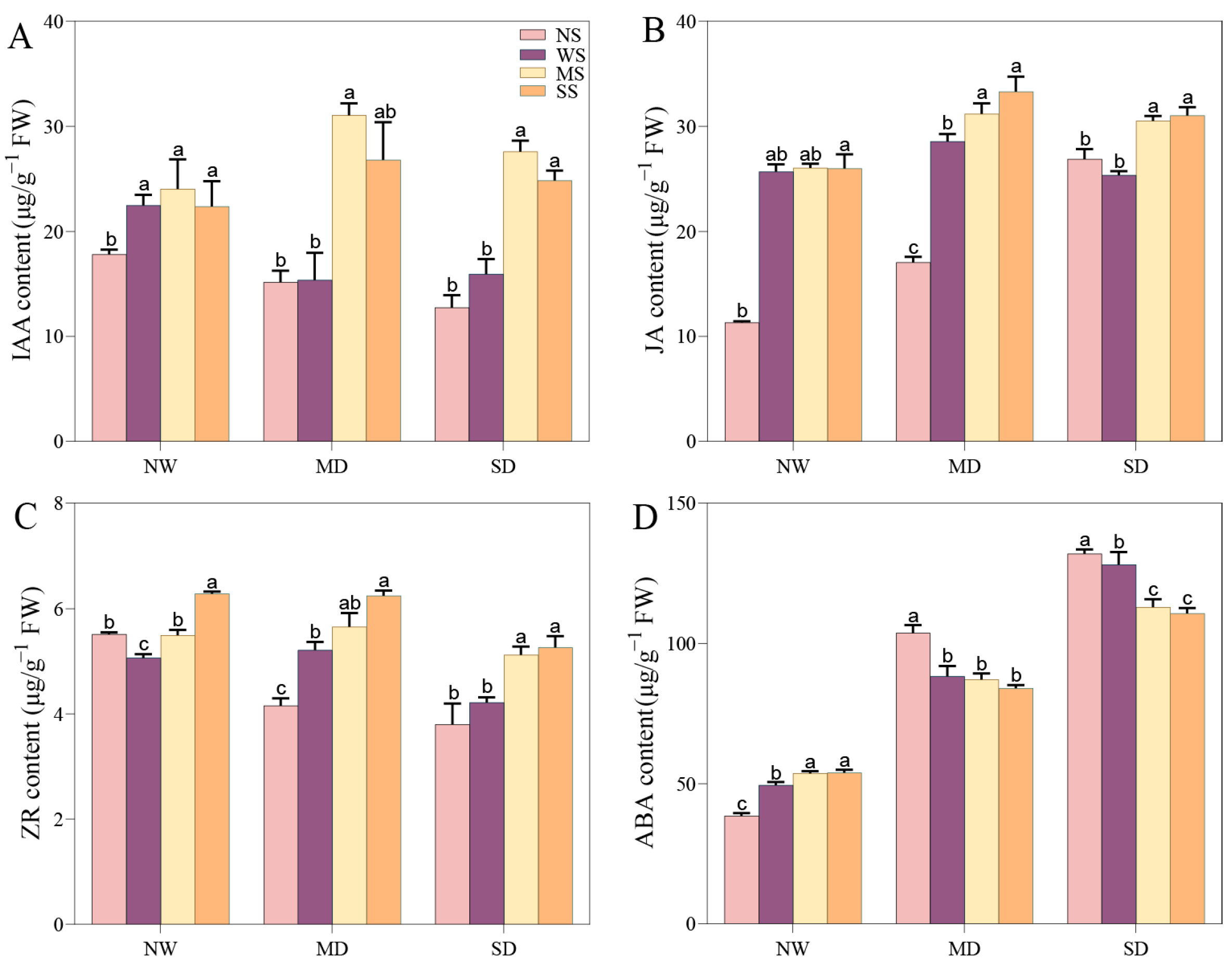
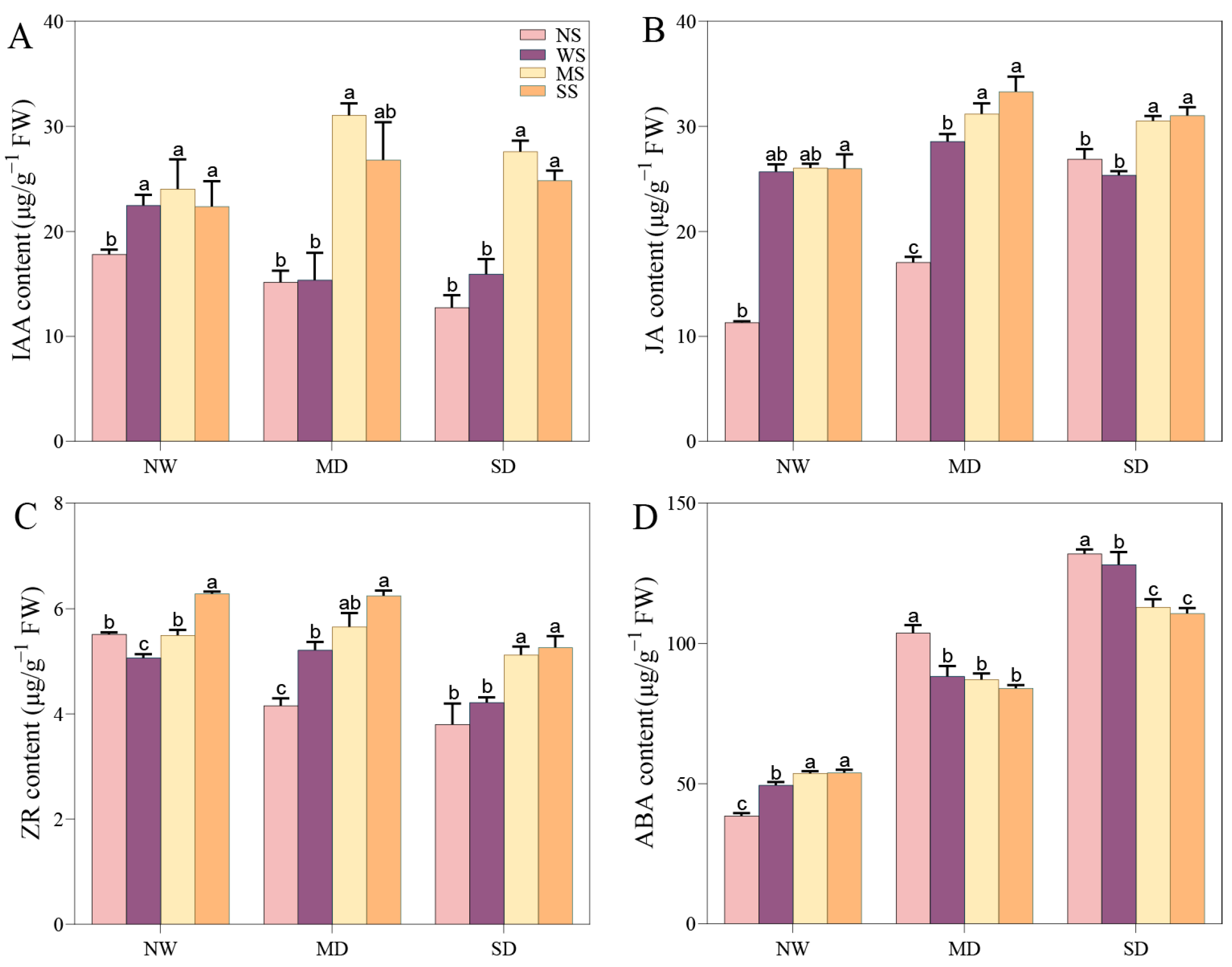
3.7. Impact of MT and SL on Phytohormone Content in Fodder Soybean under Drought Stress
3.8. Impact of MT and SL on Gene Expression Level in Fodder Soybean under Drought Stress
4. Discussion
5. Conclusions
Supplementary Materials
Author Contributions
Funding
Data Availability Statement
Acknowledgments
Conflicts of Interest
References
- Dietz, K.J.; Zörb, C.; Geilfus, C.M. Drought and Crop Yield. Plant Biol. 2021, 23, 881–893. [Google Scholar] [CrossRef] [PubMed]
- Jiang, J.; Guo, Z.; Sun, X.; Jiang, Y.; Xie, F.; Chen, Y. Role of Proline in Regulating Turfgrass Tolerance to Abiotic Stress. Grass Res. 2023, 3, 2. [Google Scholar] [CrossRef]
- Xu, Y.; Song, D.; Qi, X.; Asad, M.; Wang, S.; Tong, X.; Jiang, Y.; Wang, S. Physiological Responses and Transcriptome Analysis of Soybean under Gradual Water Deficit. Front. Plant Sci. 2023, 14, 1269884. [Google Scholar] [CrossRef] [PubMed]
- Liu, X.; Chen, A.; Wang, Y.; Jin, G.; Zhang, Y.; Gu, L.; Li, C.; Shao, X.; Wang, K. Physiological and Transcriptomic Insights into Adaptive Responses of Seriphidium transiliense Seedlings to Drought Stress. Environ. Exp. Bot. 2022, 194, 104736. [Google Scholar] [CrossRef]
- Tiwari, R.K.; Lal, M.K.; Kumar, R.; Chourasia, K.N.; Naga, K.C.; Kumar, D.; Das, S.K.; Zinta, G. Mechanistic Insights on Melatonin-Mediated Drought Stress Mitigation in Plants. Physiol. Plant 2021, 172, 1212–1226. [Google Scholar] [CrossRef] [PubMed]
- Arnao, M.B.; Hernández-Ruiz, J. Melatonin: Synthesis from Tryptophan and Its Role in Higher Plants. In Amino Acids in Higher Plants; CAB International: Wallingford, UK, 2015; pp. 390–435. [Google Scholar]
- Zhang, X.; Liu, W.; Lv, Y.; Bai, J.; Li, T.; Yang, X.; Liu, L.; Zhou, H. Comparative Transcriptomics Reveals New Insights into Melatonin-Enhanced Drought Tolerance in Naked Oat Seedlings. PeerJ 2022, 10, e13669. [Google Scholar] [CrossRef] [PubMed]
- Talaat, N.B. Drought Stress Alleviator Melatonin Reconfigures Water-Stressed Barley (Hordeum vulgare L.) Plants’ Photosynthetic Efficiency, Antioxidant Capacity, and Endogenous Phytohormone Profile. Int. J. Mol. Sci. 2023, 24, 16228. [Google Scholar] [CrossRef] [PubMed]
- Meng, J.; Xu, T.; Wang, Z.; Fang, Y.; Xi, Z.; Zhang, Z. The Ameliorative Effects of Exogenous Melatonin on Grape Cuttings Under Water-Deficient Stress: Antioxidant Metabolites, Leaf Anatomy, and Chloroplast Morphology. J. Pineal. Res. 2014, 57, 200–212. [Google Scholar] [CrossRef]
- Yang, L.; Bu, S.; Zhao, S.; Wang, N.; Xiao, J.; He, F.; Gao, X. Transcriptome and Physiological Analysis of Increase in Drought Stress Tolerance by Melatonin in Tomato. PLoS ONE 2022, 17, e0267594. [Google Scholar] [CrossRef]
- Zhao, C.; Yang, M.; Wu, X.; Wang, Y.; Zhang, R. Physiological and Transcriptomic Analyses of the Effects of Exogenous Melatonin on Drought Tolerance in Maize (Zea mays L.). Plant Physiol. Biochem. 2021, 168, 128–142. [Google Scholar] [CrossRef]
- Wu, F.; Gao, Y.; Yang, W.; Sui, N.; Zhu, J. Biological Functions of Strigolactones and Their Crosstalk with Other Phytohormones. Front. Plant Sci. 2022, 13, 821563. [Google Scholar] [CrossRef] [PubMed]
- Sedaghat, M.; Emam, Y.; Mokhtassi-Bidgoli, A.; Hazrati, S.; Lovisolo, C.; Visentin, I.; Cardinale, F.; Tahmasebi-Sarvestani, Z. The Potential of the Synthetic Strigolactone Analogue GR24 for the Maintenance of Photosynthesis and Yield in Winter Wheat Under Drought: Investigations on the Mechanisms of Action and Delivery Modes. Plants 2021, 10, 1223. [Google Scholar] [CrossRef]
- Shu, H.; Xu, K.; Li, X.; Liu, J.; Altaf, M.A.; Fu, H.; Lu, X.; Cheng, S.; Wang, Z. Exogenous Strigolactone Enhanced the Drought Tolerance of Pepper (Capsicum chinense) by Mitigating Oxidative Damage and Altering the Antioxidant Mechanism. Plant Cell Rep. 2024, 43, 106. [Google Scholar] [CrossRef] [PubMed]
- Xu, J.; Li, L.; Liu, Y.; Yu, Y.; Li, H.; Wang, X.; Pang, Y.; Cao, H.; Sun, Q. Molecular and Physiological Mechanisms of Strigolactones-Mediated Drought Stress in Crab Apple (Malus hupehensis Rehd.) Seedlings. Sci. Hortic. 2023, 311, 111800. [Google Scholar] [CrossRef]
- Luqman, M.; Shahbaz, M.; Maqsood, M.F.; Farhat, F.; Zulfiqar, U.; Siddiqui, M.H.; Masood, A.; Aqeel, M.; Haider, F.U. Effect of Strigolactone on Growth, Photosynthetic Efficiency, Antioxidant Activity, and Osmolytes Accumulation in Different Maize (Zea mays L.) Hybrids Grown Under Drought Stress. Plant Signal Behav. 2023, 18, 2262795. [Google Scholar] [CrossRef] [PubMed]
- Li, Y.; Li, S.; Feng, Q.; Zhang, J.; Han, X.; Zhang, L.; Yang, F.; Zhou, J. Effects of Exogenous Strigolactone on the Physiological and Ecological Characteristics of Pennisetum purpureum Schum Seedlings Under Drought Stress. BMC. Plant Bio. 2022, 22, 578. [Google Scholar] [CrossRef] [PubMed]
- Heba, S.A.S.; Mahmoud, H.A.M. Maximizing Land Use Efficiency and Productivity of Soybean and Fodder Maize Intercrops through Manipulating Sowing Schedule and Maize Harvest Regime. Agron. J. 2021, 11, 863. [Google Scholar]
- Yang, M.; Wang, F.; Xu, W.; Li, X.; Yin, H.; Tuluhong, M.; Qiu, R.; Li, B.; Cui, G. Effects of the Fermentation Quality and Microbial Community of Waxy Maize Mixed with Fodder Soybean Silage. Front. Microbiol. 2024, 15, 1405018. [Google Scholar] [CrossRef]
- Kaneko, M.; Uozumi, S.; Touno, E.; Degechi, S. No-till, No-herbicide Forage Soybean (Glycine max (L.) Merrill) Cropping System with an Italian Ryegrass (Lolium multiflorum Lam.) Living Mulch. Grassl. Sci. 2011, 57, 28–34. [Google Scholar] [CrossRef]
- Guo, Z.; Jiang, J.; Dong, L.; Sun, X.; Chen, J.; Xie, F.; Chen, Y. Shade Responses of Prostrate and Upright Turf-type Bermudagrasses. Grass Res. 2022, 2, 9. [Google Scholar] [CrossRef]
- Zhao, X.; Tian, Z.; Cheng, L.; Jiang, J.; Liu, Y.; Liu, L.; You, C.; Liu, X.; Xie, F.; Qin, L.; et al. Comparative Study on the Morpho-Physiological Responses of White Clover Cultivars with Different Leaf Types to Water Deficiency. Agron. J. 2023, 13, 1859. [Google Scholar] [CrossRef]
- Lu, X.; Min, W.; Shi, Y.; Tian, L.; Li, P.; Ma, T.; Zhang, Y.; Luo, C. Exogenous Melatonin Alleviates Alkaline Stress by Removing Reactive Oxygen Species and Promoting Antioxidant Defence in Rice Seedlings. Front. Plant Sci. 2022, 13, 849553. [Google Scholar] [CrossRef]
- Guri, A. Variation in Glutathione and Ascorbic Acid Content Among Selected Cultivars of Phaseolus Vulgaris Prior to and After Exposure to Ozone. Can. J. Plant Sci. 1983, 63, 733–737. [Google Scholar] [CrossRef]
- Miedema, K.; Boelhouwer, J.; Otten, J.W. Determinations of Proteins and Hormones in Serum by An Immunoassay Using Antigen-Enzyme Conjugates. Clin. Chim. Acta 1972, 40, 187–192. [Google Scholar] [CrossRef] [PubMed]
- Zhang, J.; Shi, Y.; Zhang, X.; Du, H.; Xu, B.; Huang, B. Melatonin Suppression of Heat-Induced Leaf Senescence Involves Changes in Abscisic Acid and Cytokinkin Biosynthesis and Signaling Pathways in Perennial Ryegrass (Lolium perenne L.). Environ. Exp. Bot. 2017, 138, 36–45. [Google Scholar] [CrossRef]
- Cui, G.; Zhao, X.; Liu, S.; Sun, F.; Zhang, C.; Xi, Y. Beneficial Effects of Melatonin in Overcoming Drought Stress in Wheat Seedlings. Plant Physiol. Biochem. 2017, 118, 138–149. [Google Scholar] [CrossRef]
- Li, G.; Li, Y.; Zhu, Y.; Zheng, W.; Li, M.; Hu, J.; Fei, Y.; Zhu, S. Exogenous Application of Melatonin to Mitigate Drought Stress-Induced Oxidative Damage in Phoebe Sheareri Seedlings. PeerJ 2023, 11, e15159. [Google Scholar] [CrossRef] [PubMed]
- Liu, B.; Jing, D.; Liu, F.; Ma, H.; Liu, X.; Peng, L. Serendipita Indica Alleviates Drought Stress Responses in Walnut (Juglans regia L.) Seedlings by Stimulating Osmotic Adjustment and Antioxidant Defense System. Appl. Microbiol. Biot. 2021, 105, 8951–8968. [Google Scholar] [CrossRef]
- Imran, M.; Khan, A.L.; Shahzad, R.; Shahzad, R.; Khan, M.A.; Bilal, S.; Khan, A.; Kang, S.M.; Lee, I.J. Exogenous Melatonin Induces Drought Stress Tolerance by Promoting Plant Growth and Antioxidant Defence System of Soybean Plants. AoB. Plants 2021, 13, plab026. [Google Scholar] [CrossRef]
- Sattar, A.; Ul-Allah, S.; Ijaz, M.; Sher, A.; Butt, M.; Abbas, T.; Irfan, M.; Fatima, T.; Alfarraj, S.; Alharbi, S.A. Exogenous Application of Strigolactone Alleviates Drought Stress in Maize Seedlings by Regulating the Physiological and Antioxidants Defense Mechanisms. Cereal. Res. Commun. 2022, 50, 263–272. [Google Scholar] [CrossRef]
- Hossain, M.S.; Li, J.; Sikdar, A.; Hasanuzzaman, M.; Uzizerimana, F.; Muhammad, I.; Yuan, Y.; Zhang, C.; Wang, C.; Feng, B. Exogenous Melatonin Modulates the Physiological and Biochemical Mechanisms of Drought Tolerance in Tartary Buckwheat (Fagopyrum tataricum (L.) Gaertn). Molecules 2020, 25, 2828. [Google Scholar] [CrossRef] [PubMed]
- Li, P.; Yang, H.; Wang, L.; Liu, H.; Huo, H.; Zhang, C.; Liu, A.; Zhu, A.; Hu, J.; Lin, Y.; et al. Physiological and Transcriptome Analyses Reveal Short-Term Responses and Formation of Memory Under Drought Stress in Rice. Front. Genet. 2019, 10, 55. [Google Scholar] [CrossRef] [PubMed]
- Shu, H.; Altaf, M.A.; Mushtaq, N.; Fu, H.; Lu, X.; Zhu, G.; Cheng, S.; Wang, Z. Physiological and Transcriptome Analysis of the Effects of Exogenous Strigolactones on Drought Responses of Pepper Seedlings. Antioxidants 2023, 12, 2019. [Google Scholar] [CrossRef] [PubMed]
- Szabados, L.; Savouré, A. Proline: A Multifunctional Amino Acid. Trends Plant Sci. 2010, 15, 89–97. [Google Scholar] [CrossRef] [PubMed]
- Kavi Kishor, P.B.; Sreenivasulu, N. Is Proline Accumulation Per Se Correlated with Stress Tolerance or Is Proline Homeostasis A More Critical Issue? Plant Cell Environ. 2014, 37, 300–311. [Google Scholar] [CrossRef]
- Hu, H.; He, B.; Ma, L.; Chen, X.; Han, P.; Luo, Y.; Liu, Y.; Fei, X.; Wei, A. Physiological and Transcriptome Analyses Reveal the Photosynthetic Response to Drought Stress in Drought-Sensitive (Fengjiao) and Drought-Tolerant (Hanjiao) Zanthoxylum Bungeanum Cultivars. Front. Plant Sci. 2022, 13, 968714. [Google Scholar] [CrossRef] [PubMed]
- Yang, C.; Zhang, D.; Li, X.; Shi, Y.; Shao, Y.; Fang, B.; Yue, J.; Wang, H.; Qin, F.; Cheng, H. Drought Effects on Photosynthetic Performance of Two Wheat Cultivars Contrasting in Drought. N. Z. J. Crop. Hortic. Sci. 2021, 49, 17–29. [Google Scholar] [CrossRef]
- Xu, J.; Guo, L.; Liu, L. Exogenous Silicon Alleviates Drought Stress in Maize by Improving Growth, Photosynthetic and Antioxidant Metabolism. Environ. Exp. Bot. 2022, 201, 104974. [Google Scholar] [CrossRef]
- Rehman, A.; Khalid, M.; Weng, J.; Li, P.; Rahman, S.U.; Shah, I.H.; Gulzar, S.; Tu, S.; Feng, N.; Niu, Q.; et al. Exploring Drought Tolerance in Melon Germplasm through Physiochemical and Photosynthetic Traits. J. Plant Growth Regul. 2024, 102, 603–618. [Google Scholar] [CrossRef]
- Zhao, X.; Lin, S.; Yu, S.; Zhang, Y.; Su, L.; Geng, L.; Cheng, C.; Jiang, X. Exogenous Calcium Enhances the Physiological Status and Photosynthetic Capacity of Rose Under Drought Stress. Hortic. Plant J 2024, 10, 853–865. [Google Scholar] [CrossRef]
- Li, C.; Tan, D.; Liang, D.; Chang, C.; Jia, D.; Ma, F. Melatonin Mediates the Regulation of ABA Metabolism, Free-Radical Scavenging, and Stomatal Behaviourin Two Malus Species Under Drought Stress. J. Exp. Bot. 2015, 66, 669–680. [Google Scholar] [CrossRef]
- Bakhshandeh, E.; Gholamhossieni, M. Modelling the Effects of Water Stress and Temperature on Seed Germination of Radish and Cantaloupe. J. Plant Growth Regul. 2019, 38, 1402–1411. [Google Scholar] [CrossRef]
- Bolhar-Nordenkampf, H.R.; Long, S.P.; Baker, N.R.; Oquist, G.; Schreiber, U.; Lechner, E.G. Chlorophyll Fluorescence as A Probe of the Photosynthetic Competence of Leaves in the Field: A Review of Current Instrumentation. Funct. Ecol. 1989, 3, 497–514. [Google Scholar] [CrossRef]
- Geleta, R.J.; Roro, A.G.; Terfa, M.T. Phenotypic and Yield Responses of Common Bean (Phaseolus vulgaris L.) Varieties to Different Soil Moisture Levels. BMC Plant Biol. 2024, 24, 242. [Google Scholar] [CrossRef]
- Zhao, B.; Liu, Q.; Wang, B.; Yuan, F. Roles of Phytohormones and Their Signaling Pathways in Leaf Development and Stress Responses. J. Agric. Food Chem. 2021, 69, 3566–3584. [Google Scholar] [CrossRef] [PubMed]
- Korver, R.A.; Koevoets, I.T.; Testerink, C. Out of Shape during Stress: A Key Role for Auxin. Trends Plant Sci. 2018, 23, 783–793. [Google Scholar] [CrossRef]
- Kakimoto, T. Biosynthesis of Cytokinins. J. Plant Res. 2003, 116, 233–239. [Google Scholar] [CrossRef] [PubMed]
- Wasternack, C. Jasmonates: An Update on Biosynthesis, Signal Transduction and Action in Plant Stress Response, Growth and Development. Ann. Bot. 2007, 100, 681–697. [Google Scholar] [CrossRef]
- Imran, M.; Mpovo, C.L.; Aaqil Khan, M.; Shaffique, S.; Ninson, D.; Bilal, S.; Khan, M.; Kwon, E.H.; Kang, S.M.; Yun, B.W.; et al. Synergistic Effect of Melatonin and Lysinibacillus fusiformis L. (PLT16) to Mitigate Drought Stress via Regulation of Hormonal, Antioxidants System, and Physio-Molecular Responses in Soybean Plants. Int. J. Mol. Sci. 2023, 24, 8489. [Google Scholar] [CrossRef]
- Zahedi, S.M.; Hosseini, M.S.; Abadia, J.; Marjani, M. Melatonin Foliar Sprays Elicit Salinity Stress Tolerance and Enhance Fruit Yield and Quality in Strawberry (Fragaria × ananassa Duch.). Plant Physiol. Biochem. 2020, 149, 313–323. [Google Scholar] [CrossRef] [PubMed]
- Zhu, J. Abiotic Stress Signaling and Responses in Plants. Cell 2016, 167, 313–324. [Google Scholar] [CrossRef] [PubMed]
- Ye, J.; Wang, S.; Deng, X.; Yin, L.; Xiong, B.; Wang, X. Melatonin Increased Maize (Zea mays L.) Seedling Drought Tolerance by Alleviating Drought-Induced Photosynthetic Inhibition and Oxidative Damage. Acta. Physiol. Plant 2016, 38, 48. [Google Scholar] [CrossRef]










| Drought Degree | Treatments | Plant Height (cm) | Leaf Area (mm2) | Aboveground Biomass (g) | Belowground Biomass (g) |
|---|---|---|---|---|---|
| NW | NS | 25.97 ± 1.39 a | 667.17 ± 22.95 b | 1.05 ± 0.02 b | 0.19 ± 0.01 b |
| WS | 26.63 ± 1.45 a | 790.79 ± 18.87 a | 1.09 ± 0.06 b | 0.20 ± 0.01 b | |
| MS | 27.60 ± 1.84 a | 827.66 ± 7.11 a | 1.19 ± 0.05 a | 0.23 ± 0.01 a | |
| SS | 28.50 ± 0.89 a | 801.19 ± 43.93 a | 1.19 ± 0.02 a | 0.24 ± 0.01 a | |
| MD | NS | 25.20 ± 0.70 b | 644.42 ± 49.02 b | 0.61 ± 0.01 c | 0.16 ± 0.01 c |
| WS | 25.67 ± 1.66 ab | 759.15 ± 10.10 a | 0.69 ± 0.01 b | 0.18 ± 0.01 bc | |
| MS | 26.30 ± 1.15 ab | 812.20 ± 36.75 a | 0.76 ± 0.01 a | 0.20 ± 0.01 ab | |
| SS | 27.80 ± 1.44 a | 825.50 ± 76.48 a | 0.77 ± 0.01 a | 0.21 ± 0.01 a | |
| SD | NS | 22.90 ± 2.21 b | 384.44 ± 47.16 c | 0.57 ± 0.01 d | 0.13 ± 0.003 d |
| WS | 25.30 ± 1.65 ab | 639.72 ± 34.83 b | 0.63 ± 0.01 c | 0.15 ± 0.001 c | |
| MS | 25.53 ± 0.85 ab | 722.05 ± 38.03 a | 0.69 ± 0.01 b | 0.17 ± 0.004 b | |
| SS | 27.47 ± 1.06 a | 763.80 ± 32.07 a | 0.71 ± 0.01 a | 0.18 ± 0.01 a |
| Drought Degree | Treatments | Root Length (cm) | Root Surface Area (cm2) | Root Mean Diameter (mm) |
|---|---|---|---|---|
| NW | NS | 365.54 ± 20.03 b | 58.05 ± 0.08 c | 0.53 ± 0.06 a |
| WS | 373.11 ± 7.72 b | 63.28 ± 0.10 b | 0.54 ± 0.03 a | |
| MS | 567.92 ± 21.20 a | 68.79 ± 0.55 a | 0.55 ± 0.04 a | |
| SS | 561.03 ± 17.78 a | 68.71 ± 0.38 a | 0.56 ± 0.03 a | |
| MD | NS | 445.77 ± 12.58 b | 59.98 ± 0.78 c | 0.42 ± 0.02 b |
| WS | 458.55 ± 11.85 b | 61.34 ± 0.45 bc | 0.48 ± 0.03 a | |
| MS | 558.87 ± 15.70 a | 62.31 ± 0.37 b | 0.53 ± 0.02 a | |
| SS | 539.51 ± 14.84 a | 70.56 ± 1.57 a | 0.5 ± 0.03 a | |
| SD | NS | 249.25 ± 11.93 b | 62.65 ± 1.92 b | 0.41 ± 0.01 b |
| WS | 275.04 ± 13.48 b | 60.87 ± 0.10 b | 0.43 ± 0.01 b | |
| MS | 365.27 ± 13.38 a | 66.23 ± 0.99 a | 0.45 ± 0.01 a | |
| SS | 369.47 ± 17.57 a | 67.07 ± 0.89 a | 0.46 ± 0.02 a |
Disclaimer/Publisher’s Note: The statements, opinions and data contained in all publications are solely those of the individual author(s) and contributor(s) and not of MDPI and/or the editor(s). MDPI and/or the editor(s) disclaim responsibility for any injury to people or property resulting from any ideas, methods, instructions or products referred to in the content. |
© 2024 by the authors. Licensee MDPI, Basel, Switzerland. This article is an open access article distributed under the terms and conditions of the Creative Commons Attribution (CC BY) license (https://creativecommons.org/licenses/by/4.0/).
Share and Cite
Xie, F.; Liu, Y.; Zhao, Q.; Liu, X.; Wang, C.; Wang, Q.; Wei, Q.; Zhao, X.; Jiang, J.; Liu, R.; et al. Exogenous Application of Melatonin and Strigolactone by Regulating Morphophysiological Responses and Gene Expression to Improve Drought Resistance in Fodder Soybean Seedlings. Agronomy 2024, 14, 1803. https://doi.org/10.3390/agronomy14081803
Xie F, Liu Y, Zhao Q, Liu X, Wang C, Wang Q, Wei Q, Zhao X, Jiang J, Liu R, et al. Exogenous Application of Melatonin and Strigolactone by Regulating Morphophysiological Responses and Gene Expression to Improve Drought Resistance in Fodder Soybean Seedlings. Agronomy. 2024; 14(8):1803. https://doi.org/10.3390/agronomy14081803
Chicago/Turabian StyleXie, Fuchun, Yujiao Liu, Qianhan Zhao, Xiashun Liu, Chen Wang, Qinyi Wang, Qiyun Wei, Xueying Zhao, Jia Jiang, Rongxu Liu, and et al. 2024. "Exogenous Application of Melatonin and Strigolactone by Regulating Morphophysiological Responses and Gene Expression to Improve Drought Resistance in Fodder Soybean Seedlings" Agronomy 14, no. 8: 1803. https://doi.org/10.3390/agronomy14081803
APA StyleXie, F., Liu, Y., Zhao, Q., Liu, X., Wang, C., Wang, Q., Wei, Q., Zhao, X., Jiang, J., Liu, R., Chen, Y., Cui, G., & Han, J. (2024). Exogenous Application of Melatonin and Strigolactone by Regulating Morphophysiological Responses and Gene Expression to Improve Drought Resistance in Fodder Soybean Seedlings. Agronomy, 14(8), 1803. https://doi.org/10.3390/agronomy14081803
