Agroecological Assessment of Arable Lands in the Leningrad Region of Russia under the Influence of Climate Change
Abstract
1. Introduction
Analysis of Approaches and Methods for Rating Land Suitability for Agricultural Use
2. Materials and Methods
3. Results and Discussion
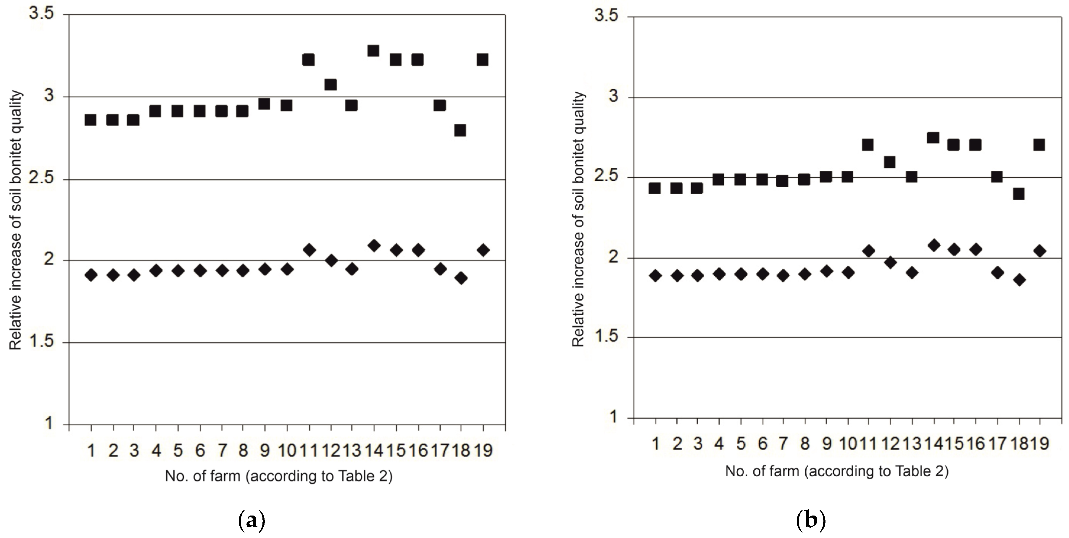
3.1. Assessment of Spatial and Temporal Variability of the Soil’s Ecological Index (SEI) and Soil Bonitets (B)
3.2. Estimation of Soil’s Ecological Index (SEI) and Soil Bonitets (B) under Climate Change Scenarios
4. Conclusions
Author Contributions
Funding
Data Availability Statement
Acknowledgments
Conflicts of Interest
References
- Mbiafeu, M.F.; Molua, E.L.; Sotamenou, J.; Ndip, F.E. Climate, agroecology, and farm returns: Differential impacts with implications for agricultural progress in the face of climate change. Front. Sustain. Food Syst. Sec. Agric. Food Econ. 2024, 8, 1322568. [Google Scholar] [CrossRef]
- An, N.; Turp, M.T.; Türkeş, M.; Kurnaz, M.L. Climate change effects on agricultural production: A short review. Curr. Investig. Agric. Curr. Res. 2020, 8, 1097–1099. [Google Scholar] [CrossRef]
- Sünnemann, M.; Beugnon, R.; Breitkreuz, C.; Buscot, F.; Cesarz, S.; Jones, A.; Lehmann, A.; Lochner, A.; Orgiazzi, A.; Reitz, T.; et al. Climate change and cropland management compromise soil integrity and multifunctionality. Commun. Earth Environ. 2023, 4, 394. [Google Scholar] [CrossRef]
- Yadgarov, A. AgroInsurance—As a mitigating financial lever for climate change in agriculture. Int. J. Adv. Sci. Technol. 2020, 29, 2251–2258. [Google Scholar]
- Aparin, B.F.; Rusakov, A.V.; Bulgakov, D.S. Bonitet Soil Valuation and the State Land Cadastre Basis: Textbook; Publishing House of St. Petersburg State University: St. Petersburg, Russia, 2002; 88p. [Google Scholar]
- Rodin, N.A.; Ivanova, T.N. Dynamics of soil fertility indicators based on the results of agrochemical monitoring. Achiev. Sci. Technol. Agro-Ind. Complex 2017, 5, 9–12. [Google Scholar]
- Costanza, R.; de Groot, R.; Sutton, P. Changes in the global value of ecosystem services. Glob. Environ. Change 2014, 26, 152–158. [Google Scholar] [CrossRef]
- Kiryushin, V.I. Methodology for integrated assessment of agricultural land. Eurasian Soil Sci. 2020, 53, 960–967. [Google Scholar] [CrossRef]
- Khudyakov, O.I.; Reshotkin, O.V. Soil evolution in relation to modern climate warming. Theor. Appl. Ecol. 2017, 2, 38–43. [Google Scholar]
- Volokitin, M. Changes in soil formation processes under global climate change. Eurasian Union Sci. 2019, 10, 15–19. [Google Scholar] [CrossRef]
- FAO. Soil Resources Development and Conservation Service Land and Water Development Division; FAO Soils Bulletin 32; FAO: Rome, Italy, 1981. [Google Scholar]
- FAO. Global Outlook on Climate Services in Agriculture: Investment Opportunities to Reach the Last Mile; Food & Agriculture Organization: Rome, Italy, 2021; ISBN 9789251350119. [Google Scholar]
- FAO. Climate Change and Food Security: Risks and Responses; FAO: Rome, Italy, 2016; Chapters 1 and 2. [Google Scholar]
- Soil Survey Staff. Soil Taxonomy: A Basic System of Soil Classification for Making and Interpreting Soil Surveys, 2nd ed.; USDA Natural Resources Conservation Service: Washington, DC, USA, 2001; 886p. [Google Scholar]
- Mišovičová, R.; Pucherova, Z.; Henrich, G. LANDEP methodology for archetypes of landscape and landscape planning: Case study of Brhlovce, Slovakia. Int. J. Soc. Sustain. Econ. Soc. Cult. Context 2021, 17, 77–97. [Google Scholar] [CrossRef]
- Fabos, J.G. The METLAND Landscape Planning Process; Massachusetts Agricultural Experiment Station: Boston, MA, USA, 1978; 229p. [Google Scholar]
- Peñacoba-Antona, L.; Senán-Salinas, J.; Aguirre-Sierra, A.; Letón, P.; Salas, J.J.; García-Calvo, E.; Esteve-Núñez, A. Assessing METland® Design and performance through LCA: Techno-environmental study with multifunctional unit perspective. Front. Microbiol. 2021, 12, 652173. [Google Scholar] [CrossRef] [PubMed]
- Botequilha, L.A.; Miller, J.; Ahern, J.; McGarigal, K. Measuring Landscapes; Island Press: Washington, DC, USA, 2006; 272p. [Google Scholar]
- Giné, D.S. A renewed approach to the ABC landscape assessment method: An applicaton to Muntanyes d’Ordal, Barcelona Metropolitan Area. Landsc. Online 2018, 56, 1–18. [Google Scholar] [CrossRef][Green Version]
- Mirschel, W.; Wenkel, K.-O. Modelling soil–crop interactions with AGROSIM model family. In Modelling Water and Nutrient Dynamics in Soil–Crop Systems; Kersebaum, K.C., Hecker, J.-M., Mirschel, W., Wegehenkel, M., Eds.; Springer: Dordrecht, The Netherlands, 2007; pp. 59–73. [Google Scholar] [CrossRef]
- Poluektov, R.A.; Fintushal, S.M.; Oparina, I.V.; Shatskikh, D.V.; Terleev, V.V.; Zakharova, E.T. AGROTOOL—A system for crop simulation. Arch. Agron. Soil Sci. 2002, 48, 609–635. [Google Scholar] [CrossRef]
- FAO. AquaCrop Version 7.1; Release Note; FAO: Rome, Italy, 2023; 21p, Available online: https://www.fao.org/3/cc7410en/cc7410en.pdf (accessed on 16 September 2024).
- Jones, J.W.; Hoogenboom, G.; Porter, C.H.; Boote, K.J.; Batchelor, W.D.; Hunt, L.A.; Wilkens, P.W.; Singh, U.; Gijsman, A.J.; Ritchie, J.T. The DSSAT cropping system model. Eur. J. Agron. 2003, 18, 235–265. [Google Scholar] [CrossRef]
- Semenov, V.A. Qualitative Assessment of Agricultural Land; Publishing House “Kolos”: Leningrad, Russia, 1970; 160p. [Google Scholar]
- Maksimova, E.Y. Estimation of spatio-temporal variability of the soil-ecological index. Agrophysics 2012, 1, 1–10. [Google Scholar]
- Shishov, L.L.; Durmanov, D.N.; Karmanov, I.I.; Efremov, V.V. Theoretical Bases and Ways of Regulating Soil Fertility; Publishing House “Agropromizdat”: Moscow, Russia, 1991; 303p. [Google Scholar]
- Volungevicius, J.; Amaleviciute, K.; Feiziene, D.; Feiza, V.; Slepetiene, A.; Liaudanskienė, I.; Versuliene, A.; Vaisvalavicius, R. The effects of agrogenic transformation on soil profile morphology, organic carbon and physico-chemical properties in Retisols of Western Lithuania. Arch. Agron. Soil Sci. 2018, 64, 1910–1923. [Google Scholar] [CrossRef]
- Gerasimova, M.I.; Ananko, T.V.; Konyushkov, D.E.; Savitskaya, N.V. Agrogenic soils on the updated version of the soil map of Russia, 1:2.5 m scale: Classification diversity and place in the soil cover. Eurasian Soil Sci. 2023, 56, 122–131. [Google Scholar] [CrossRef]
- Gelybó, G.; Tóth, E.; Farkas, C.; Horel, Á.; Kása, I.; Bakacsi, Z. Potential impacts of climate change on soil properties. Agrochem. Soil Sci. 2018, 67, 121–141. [Google Scholar] [CrossRef]
- Saidova, M.; Yadgarov, A.; Kodirova, D.; Turdialiev, J.; Embergenova, G. Econometric analysis of the influence of climate characteristics on the ecological condition of soils and the productivity of agricultural crops. E3S Web Conf. 2023, 377, 03017. [Google Scholar] [CrossRef]
- Ullah, A.; Bano, A.; Khan, N. Climate change and salinity effects on crops and chemical communication between plants and plant growth-promoting microorganisms under stress. Front. Sustain. Food Syst. 2021, 5, 618092. [Google Scholar] [CrossRef]
- Nedanchuk, I.M.; Alyabina, I.O. Evaluation of climatic parameters influence on the alpha-humus horizon distribution in soils on the flat territory of Russia. Eurasian Soil Sci. 2010, 43, 977–984. [Google Scholar] [CrossRef]
- Chuyan, O.G.; Karaulova, L.N. Interrelation of climatic factors of soil formation with the formation of chemical and physical-chemical properties of soil cover in agricultural landscapes of the Central Chernozem Region of Russia. South Russ. Ecol. Dev. 2021, 16, 75–87. (In Russian) [Google Scholar] [CrossRef]
- Paré, D.; Laganière, J.; Larocque, G.R.; Boutin, R. Effects of a warmer climate and forest composition on soil carbon cycling, soil organic matter stability and stocks in a humid boreal region. SOIL 2022, 8, 673–686. [Google Scholar] [CrossRef]
- Lybimova, I.N. On possible changes in the soils of the dry steppe zone due to the global climate change. Eurasian Soil Sci. 2022, 10, 1301–1309. [Google Scholar] [CrossRef]
- Karmanov, I.I. Soil Fertility in the USSR; Publishing House “Kolos”: Moscow, Russia, 1980; 224p. [Google Scholar]
- Fatyanov, A.S. Agrosoil zoning and relative soil assessment. Eurasian Soil Sci. 1959, 6, 16–22. [Google Scholar]
- Taychinov, S.N. The system of land appraisal and bonitet soil classification. In Qualitative Assessment (Bonitet) of Soils; Bashkir Book Publishing House: Ufa, Russia, 1967; pp. 21–45. [Google Scholar]
- Tyumentsev, N.F. Bonitet Soil Assessment in Western Siberia; Nauka. Sibirskoe Otdelenie: Novosibirsk, Russia, 1975; 194p. [Google Scholar]
- Gavrilyuk, F.Y. Bonitet Soil Appraisal; Visshaya Shkola: Moscow, Russia, 1974; 271p. [Google Scholar]
- Asaeva, T.D. Bonitet Assessment of Soils: Educational and Methodical Manual for Laboratory and Practical Classes; Publishing House of FGBOU VO “Gorsky State Agrarian University”: Vladikavkaz, Russia, 2021; 104p. [Google Scholar]
- Samokhvalova, E.V.; Zudilin, S.N.; Lavrennikova, O.A.; Iralieva, J.S.; Orlova, M.A. Geographic analysis of environmental assessment results of agricultural land in Samara region. IOP CS Earth Environ. Sci. 2021, 867, 012076. [Google Scholar] [CrossRef]
- Mirzakarimova, G.M.; Murodilov, H.T. The concept of soil score bonitet assessment and its main purpose. Cent. Asian Res. J. Interdiscip. Stud. 2022, 2, 223–229. [Google Scholar] [CrossRef]
- Aliyeva, G. Creating the main bonitet scale of the Gilgilchay basin soils. Bull. Sci. Pract. 2019, 5, 197–204. [Google Scholar] [CrossRef]
- Shumilo, L.; Lavreniuk, M.; Skakun, S.; Kussul, N. Is soil bonitet an adequate indicator for agricultural land appraisal in Ukraine? Sustainability 2021, 13, 12096. [Google Scholar] [CrossRef]
- Dyakonova, K.V. Soil Evaluation by Humus Content and Quality for Production Models of Soil Fertility: Recommendations; Publishing House “Agropromizdat”: Moscow, Russia, 1990; 28p. [Google Scholar]
- Akbirov, R.A. Soil appraisal and qualitative assessment of lands in the forest-steppe zone of the Republic of Bashkortostan on an agroecological basis. Vestnik OGU 2005, 9, 134–137. [Google Scholar]
- Mugiyo, H.; Chimonyo, V.G.P.; Sibanda, M.; Kunz, R.; Masemola, C.R.; Modi, A.T.; Mabhaudhi, T. Evaluation of land suitability methods with reference to neglected and underutilised crop species: A scoping review. Land 2021, 10, 125. [Google Scholar] [CrossRef] [PubMed]
- Taghizadeh-Mehrjardi, R.; Nabiollahi, K.; Rasoli, L.; Kerry, R.; Scholten, T. Land suitability assessment and agricultural production sustainability using machine learning models. Agronomy 2020, 10, 573. [Google Scholar] [CrossRef]
- Medvedev, V.V.; Plisko, I.V. Bonitet Soil Valuation and Qualitative Assessment of Arable Land in Ukraine; 13th Publishing House: Harkov, Ukraine, 2006; 386p. [Google Scholar]
- Cheremushkin, S.D.; Klopotovsky, A.P.; Markova, M.V. Basic Principles of the Economic Land Evaluation; All-Union Research Institute of Agricultural Economics: Moscow, Russia, 1962; 80p. [Google Scholar]
- Krylatov, A.K. Assessment of Agricultural Land in the Russian Federation; MSH RSFSR: Moscow, Russia, 1983; 88p. [Google Scholar]
- Makarov, O.A.; Tsvetnov, E.V.; Strokov, A.S.; Kubarev, E.N.; Abdulkhanova, D.R. Experience of economic soil evaluation. Agrochem. Bull. 2019, 4, 3–7. [Google Scholar] [CrossRef]
- Pylaeva, A.V. Cadastral land valuation in the system of organizational and economic measures regulating land and property relations. IOP Conf. Ser. Earth Environ. Sci. 2020, 579, 012133. [Google Scholar] [CrossRef]
- Ignat, G.; Prigoreanu, I.; Șargu, N.; Șargu, L. Estimating the economic value of agricultural land on the financial sustainability of agricultural holdings in the North-East Region of Romania. In Proceedings of the VII International Applied Social Sciences Congress (C-IASOS—2023), Valletta, Malta, 13–15 November 2023; pp. 577–589. [Google Scholar]
- Riquier, J.; Bramao, L.; Cornet, J.P. A New System of Soil Appraisal in Terms of Actual and Potential Productivity. Soil Resources. Development and Conservation Service; FAO: Rome, Italy, 1970; 76p. [Google Scholar]
- Sys, C.; Verheye, W. Principles of Land Classification in Arid and Semi-Arid Regions; ITC State Univ.: Ghent, Belgium, 1975; 42p. [Google Scholar]
- Storie, R.E. Storie Index Soil Rating; Division of Agricultural Science, University of California: Davis, CA, USA, 1978; 4p. [Google Scholar]
- Aparin, B.F.; Sukhacheva, E.Y.; Lazareva, M.A. Soil Diversity of the Leningrad Region; FGUP “Publishing House” Nauka”: St. Petersburg, Russia, 2021; 183p. [Google Scholar]
- Sukhanov, P.A. Scientific Bases of Assessment and Management of Agro-Resource Potential of the Region (on the Example of the Leningrad Region). Ph.D. Thesis, Agrophysical Research Institute, St. Petersburg, Russia, 2013; 57p. [Google Scholar]
- Kirsanov, A.D.; Komarov, A.A.; Sukhanov, P.A. Soil fertility dynamics at the test site of Luzhsky district of Leningrad region. Izv. SPbGAU 2019, 2, 52–57. [Google Scholar]
- Komarov, A.A.; Suhanov, P.A.; Yakushev, V.V. Formation of the regional network testing trail in the soil fertility monitoring system of agricultural land. Vestn. Russ. Agric. Sci. 2017, 4, 20–22. [Google Scholar]
- Agroclimatic Resources of the Leningrad Region; Data book; Gidrometeoizdat: Leningrad, Russia, 1971; 119p.
- Zhurina, L.L.; Kostko, I.G. Methodical Guidelines for Compiling Agroclimatic Characteristics of a Farm (District) for Students of Agronomic Specialities (Leningrad Region); St. Petersburg State Agrarian University: St. Petersburg, Russia, 2012; 52p. [Google Scholar]
- Meleshko, V.P.; Voykov, A.A.; Meleshko, P.; Meshcherskaya, A.V.; Khlebnikova, E.I. (Eds.) Climate of St. Petersburg and Its Changes; Federal Service for Hydrometeorology and Environmental Monitoring, State Institution Main Geophysical Observatory named after A. I. Voyekov: St. Petersburg, Russia, 2010; 254p. [Google Scholar]
- Site of FSBI North-West Hydrometeorology and Environmental Monitoring Directorate. Available online: http://www.meteo.nw.ru/articles/index.php?id=2 (accessed on 2 September 2024).
- Lobanov, V.A.; Abannikov, V.N.; Okulicheva, A.A.; Grigor’eva, A.A. Modern and future climate change in the Leningrad oblast and its impact on agroclimatic characteristics. Meteorol. I Gidrol. 2023, 9, 100–113. [Google Scholar] [CrossRef]
- Ivanov, A.L.; Kiryushin, V.I. Global Climate Change and Risk Forecast in Russian Agriculture; Publishing House of Russian Agricultural Academy: Moscow, Russia, 2009; 518p. [Google Scholar]
- Kireicheva, L.V.; Glazunova, I.V. Development and deployment of agricultural reclamations under changing climatic conditions. Prirodoobustrojstvo 2017, 4, 80–87. [Google Scholar] [CrossRef]
- Kattsov, V.M.; Pavlova, T.V.; Govorkova, V.A.; Meleshko, V.P.; Sporyshev, P.V.; Khlebnikova, E.I.; Shkolnik, I.M. Climate change projections over the territory of Russia through the XXI century based on ensembles of CMIP6 models. Proc. Voeikov Main Geophys. Obs. 2022, 604, 5–54. [Google Scholar]
- Solomon, S.; Qin, D.; Manning, M.; Marquis, M.; Averyt, K.; Tignor, M.M.B.; LeRoy Miller, H., Jr.; Chen, Z. (Eds.) IPCC, 2007: Climate Change 2007; The Physical Science Basis; Contribution of Working Group I to the Fourth Assessment Report of the Intergovernmental Panel on Climate Change; University Press: Cambridge, UK; New York, NY, USA, 2007; 996p. [Google Scholar]
- Gordeev, R.V.; Pyzhev, A.I.; Zander, E.V. Does climate change influence Russian agriculture? Evidence from panel data analysis. Sustainability 2022, 14, 718. [Google Scholar] [CrossRef]





| Parameter | 2030 | 2050 | ||
|---|---|---|---|---|
| A1F1 Scenario | B2 Scenario | A1F1 Scenario | B2 Scenario | |
| ∑t > 100 | +769 | +724 | +1451 | +1120 |
| Precipitation total, mm | +88 | +91 | +143 | +169 |
| t0 of January | +3.9 | +3.2 | +5.6 | +4.5 |
| t0 of July | +4.1 | +3.0 | +7.2 | +5.7 |
| No. | Farm Name | N, ° | E, ° | Soil Type | Particle Size Distribution | pH | Ctotal, % | P, mg × kg−1 | K, mg × kg−1 |
|---|---|---|---|---|---|---|---|---|---|
| 1 | ZAO “Lyuban” | 59.37 | 31.26 | podzolic-peat | loam and sandy loam | 5.4 | 4.3 | 243 | 178 |
| 2 | ZAO “Agrotechnika” | 59.34 | 31.20 | podzolic-peat | loam and sandy loam | 5.6 | 4.9 | 167 | 152 |
| 3 | “Agricultural enterprise” “Voskhod” LLC | 59.28 | 31.43 | podzolic-peat | loam and sandy loam | 5.6 | 4.5 | 274 | 173 |
| 4 | ZAO “Stud farm” “Rabititsy” | 59.41 | 29.44 | soddy weakly and medium podzolic soils | loamy sand | 5.5 | 3.2 | 199 | 110 |
| 5 | ZAO “Sumino” | 59.47 | 29.48 | soddy weakly and medium podzolic soils | loamy sand | 5.9 | 3.2 | 137 | 174 |
| 6 | Public limited company “Agricultural enterprise” “Syaglitsy” | 59.40 | 29.25 | soddy weakly and medium podzolic soils | loamy sand | 5.9 | 3.0 | 264 | 162 |
| 7 | Public limited company “Trud” | 59.56 | 29.15 | soddy weakly and medium podzolic soils | loamy sand | 6.0 | 2.4 | 235 | 107 |
| 8 | Public limited company “Udarnik” | 59.35 | 29.51 | soddy weakly and medium podzolic soils | loamy sand | 5.5 | 4.9 | 309 | 111 |
| 9 | ZAO “Prinevskoye” | 59.87 | 30.50 | podzolic-peat | loam and sandy loam | 6.3 | 4.7 | 519 | 209.4 |
| 10 | ZAO “Prigorodny” | 60.07 | 30.24 | podzolic-peat | loam and sandy loam | 5.9 | 5.5 | 353.1 | 178.5 |
| 11 | Agricultural artel “Kolkhoz” “Yanino” | 59.95 | 30.56 | podzolic-peat | loam and sandy loam | 5.8 | 4.1 | 251.4 | 134.2 |
| 12 | ZAO “Vartemyaki” | 60.18 | 30.33 | soddy strongly podzolic soils | loam and sandy loam | 5.3 | 5.1 | 211.2 | 66.9 |
| 13 | ZAO “Ruch’i” | 60.00 | 30.44 | podzolic-peat | loam and sandy loam | 5.6 | 5.5 | 341.9 | 124.2 |
| 14 | ZAO “Bugry” | 60.07 | 30.40 | podzolic-peat | loam and sandy loam | 5.9 | 5.5 | 279.5 | 79.9 |
| 15 | ZAO “Shcheglovo” | 60.03 | 30.76 | soddy strongly podzolic soils | loam and sandy loam | 5.3 | 6.3 | 255.2 | 103.6 |
| 16 | ZAO State farm “Romanovka” | 60.05 | 30.71 | soddy strongly podzolic soils | loam and sandy loam | 5.4 | nd | 288 | 112.3 |
| 17 | ZAO “Karelsky” | 60.05 | 30.22 | podzolic-peat | loam and sandy loam | 6.7 | 5.9 | 250 | 250 |
| 18 | “Agricultural enterprise “Smena” LLC | 59.81 | 30.07 | soddy weakly and medium podzolic soils | loamy sand | 5.5 | 4.4 | 240.2 | 120.1 |
| 19 | Public limited company “Vsevolozhskoe” | 59.90 | 30.67 | podzolic-peat | loam and sandy loam | 4.2 | 4.2 | 258.9 | 108.7 |
| Agricultural Crop | Agricultural Technology Level | ||
|---|---|---|---|
| Medium | Enhanced | High | |
| Secale cereale L. (winter-annual) | 0.089 | 0.039 | 0.052 |
| Spring corn | 0.029 | 0.038 | 0.047 |
| Solanum tuberosum L. | 0.22 | 0.28 | 0.36 |
| Perennial grasses (velours) | 0.04 | 0.065 | 0.09 |
| Root vegetable | 0.3 | 0.5 | 0.7 |
| Brassica oleracea L. (late variety) | 0.32 | 0.32 | 0.6 |
| Grass-and-legume mix for silage | 0.25 | 0.32 | 0.4 |
| Agricultural Crop | Agricultural Technology Level | |
|---|---|---|
| Low | High | |
| Cereal crops | 0.025 | 0.06 |
| Beta vulgaris L. | 0.25 | 0.55 |
| Helianthus L. | 0.018 | 0.03 |
| Perennial grasses | 0.025 | 0.08 |
| Annual grasses | 0.025 | 0.06 |
Disclaimer/Publisher’s Note: The statements, opinions and data contained in all publications are solely those of the individual author(s) and contributor(s) and not of MDPI and/or the editor(s). MDPI and/or the editor(s) disclaim responsibility for any injury to people or property resulting from any ideas, methods, instructions or products referred to in the content. |
© 2024 by the authors. Licensee MDPI, Basel, Switzerland. This article is an open access article distributed under the terms and conditions of the Creative Commons Attribution (CC BY) license (https://creativecommons.org/licenses/by/4.0/).
Share and Cite
Chebykina, E.Y.; Abakumov, E.V. Agroecological Assessment of Arable Lands in the Leningrad Region of Russia under the Influence of Climate Change. Agronomy 2024, 14, 2113. https://doi.org/10.3390/agronomy14092113
Chebykina EY, Abakumov EV. Agroecological Assessment of Arable Lands in the Leningrad Region of Russia under the Influence of Climate Change. Agronomy. 2024; 14(9):2113. https://doi.org/10.3390/agronomy14092113
Chicago/Turabian StyleChebykina, Ekaterina Yu., and Evgeny V. Abakumov. 2024. "Agroecological Assessment of Arable Lands in the Leningrad Region of Russia under the Influence of Climate Change" Agronomy 14, no. 9: 2113. https://doi.org/10.3390/agronomy14092113
APA StyleChebykina, E. Y., & Abakumov, E. V. (2024). Agroecological Assessment of Arable Lands in the Leningrad Region of Russia under the Influence of Climate Change. Agronomy, 14(9), 2113. https://doi.org/10.3390/agronomy14092113

