Abstract
Quantifying planting layouts during the seedling stage of mung beans (Vigna radiata L.) is crucial for assessing cultivation conditions and providing support for precise management. Traditional information extraction methods are often hindered by engineering workloads, time consumption, and labor costs. Applying deep-learning technologies for information extraction reduces these burdens and yields precise and reliable results, enabling a visual analysis of seedling distribution. In this work, an unmanned aerial vehicle (UAV) was employed to capture visible light images of mung bean seedlings in a field across three height gradients of 2 m, 5 m, and 7 m following a time series approach. To improve detection accuracy, a small target detection layer (p2) was integrated into the YOLOv8-obb model, facilitating the identification of mung bean seedlings. Image detection performance and seedling information were analyzed considering various dates, heights, and resolutions, and the K-means algorithm was utilized to cluster feature points and extract row information. Linear fitting was performed via the least squares method to calculate planting layout parameters. The results indicated that on the 13th day post seeding, a 2640 × 1978 image captured at 7 m above ground level exhibited optimal detection performance. Compared with YOLOv8, YOLOv8-obb, YOLOv9, and YOLOv10, the YOLOv8-obb-p2 model improved precision by 1.6%, 0.1%, 0.3%, and 2%, respectively, and F1 scores improved by 2.8%, 0.5%, 0.5%, and 3%, respectively. This model extracts precise information, providing reliable data for quantifying planting layout parameters. These findings can be utilized for rapid and large-scale assessments of mung bean seedling growth and development, providing theoretical and technical support for seedling counting and planting layouts in hole-seeded crops.
1. Introduction
Accurately capturing phenotypic information is crucial for advancing digital breeding, intelligent cultivation, and precision management. In traditional crop breeding, the acquisition of planting layout information relies primarily on manual observations and measurements. However, the functional characteristics and basic trait parameters derived from this method are limited [1,2,3]. This approach encounters challenges such as high labor intensity, low operational efficiency, poor real-time responsiveness, and frequent subjective errors. These issues not only impede the timely implementation of effective remedial measures but also hinder the visualization of seedling distribution and neatness, resulting in biased evaluations of different crop varieties during breeding efforts [4,5,6]. Given the drawbacks of traditional methods, an urgent need exists to introduce innovative techniques for quantifying planting layout parameters. Therefore, achieving the high-throughput acquisition and intelligent analysis of extensive crop phenotypic datasets has become a significant topic in contemporary digital agriculture [7,8].
With the development of remote-sensing technology, unmanned aerial vehicle (UAV) remote sensing has emerged as an innovative approach to information acquisition because of its high efficiency, low cost, and operational flexibility. This technology not only overcomes the challenges of manually acquiring image data but also reduces crop damage caused by human contact. It provides a novel technical method for acquiring large-scale agricultural information and is particularly suitable for variable and complex farmland environments [9,10,11]. Building on this foundation, the application of deep-learning technology has provided new breakthroughs in the analysis and processing of agricultural information. By utilizing deep learning, effective feature representations can be automatically learned and extracted from vast UAV remote-sensing image datasets, allowing for precise analysis of crop growth conditions, pest and disease monitoring, soil fertility assessment, and other critical agricultural factors. This approach provides robust support for the intelligent management of agricultural production [12,13,14].
In agricultural production, planting layout parameters such as row spacing, plant spacing, row orientation, planting density, and seedling emergence rate are crucial, directly influencing the growing space and nutrient competition for crops. Proper row and plant spacing, along with appropriate row orientation, ensure sufficient space for crop growth and development, allowing each plant to receive adequate sunlight, water, and nutrients. Reducing contact between plants also minimizes the occurrence of pests and diseases, facilitating field management and mechanized operations, thereby enhancing both yield and quality. Precise measurement and analysis of row and plant spacing enable the calculation of the theoretical planting density. Optimal planting density maximizes land utilization and crop yield. Experimental studies have demonstrated that appropriate row and plant spacing significantly enhance yield and income in strip compound planting, with planting density playing a critical role in achieving high-yield cultivation [15,16,17]. Emergence neatness and emergence rate are the most intuitive and critical indicators of seeding quality. Emergence neatness directly influences the construction of high-yield and efficient crop populations. The accurate and efficient acquisition of planting layout information is crucial for seed quality assessment, evaluating field management schemes, yield prediction, and soil condition analysis [18,19]. Precise measurement of these parameters not only enables breeders to accurately assess seed quality and select crop genotypes but also provides a scientific foundation for developing efficient field management strategies aimed at optimizing crop production to achieve maximum yield [20,21,22].
Edible legumes are an essential component of the food system and sustainable diets because they are rich in proteins, trace elements, and other nutrients [23]. Mung beans (Vigna radiata L.) are an annual herbaceous plant with a cultivation history of over 2000 years in China [24,25,26]. Mung beans are characterized by short growth cycles, drought resistance, adaptability to poor soils, and excellent nitrogen-fixing capabilities [27]. They are well-suited for intercropping with gramineous and other crops, and they are traditionally believed to have detoxifying and lipid-lowering effects. Mung beans are considered a crop with both medicinal and nutritional value, and they a traditional export agricultural product in China, with an annual planting area of approximately 800,000 hm2 and a production of approximately 1 million tons [28]. Strengthening research on mung bean germplasm resources is crucial for promoting effective resource utilization and providing a scientific foundation for new variety breeding [29].
In 2022, Xu et al. [30] used UAV-based RGB imagery in combination with a two-stage deep learning approach to segment, detect, and count maize (Zea mays L.) seedlings and their leaves. This study employed a Mask R-CNN to separate maize seedlings from complex backgrounds and subsequently used the YOLOv5 algorithm to detect and count individual leaves, demonstrating the feasibility of UAV-based leaf counting for field crops and opening a new avenue for counting maize leaves via UAV images. In 2023, Guo et al. [31] employed deep-learning techniques for recognizing maize, wheat (Triticum aestivum L.) seedlings, and field weeds. The model trained via their method outperformed other existing models, achieving an accuracy of 99.3%. Ye et al. [32] compared the performance of deep-learning techniques (Mask R-CNN) with that of image analysis (OBIA) for detecting cabbage (Brassica rapa L. ssp. pekinensis) via UAV imagery. Their results indicated that the Mask R-CNN exhibited high accuracy in cabbage recognition and quantity estimation, providing more accurate and effective monitoring of crop growth information and offering technical support for subsequent field management and precision planting. Fei et al. [33] estimated the maize leaf area index and biomass on the basis of UAV low-altitude and cross-hover oblique photography with feature enhancement effects. This study emphasized the importance of combining various photography techniques and feature enhancement methods for phenotypic estimation in maize, presenting new opportunities for crop growth monitoring in modern agriculture. In 2024, Tian et al. [19] utilized UAV imaging systems and deep-learning techniques to assess the uniformity of cotton (Gossypium hirsutum L.) seedling emergence at different seeding rates, exploring the effects of soil conditions and microelevation changes on emergence uniformity. They identified optimal seeding rates to achieve uniform seedling emergence under varying field conditions. Through the comprehensive application of technical means, research on other crops has been very extensive and has achieved certain results. However, mung beans are considered a minor crop in China, with research and attention lagging behind those of major crops [34,35,36].
In this paper, based on a UAV data acquisition platform and combined with deep-learning technology, we propose an improved YOLOv8-obb model to quantify the planting layout parameters of mung beans during the seedling stage. To address the challenges posed by the small size of early-stage mung bean seedlings and the small targets captured due to UAV shooting altitude, we enhanced the model’s ability to detect small objects by incorporating a p2 small object detection layer, thereby reducing the number of missed detections. After applying the YOLOv8-obb-p2 model for predictions, spatial layout parameters such as row spacing and plant spacing were obtained, enabling a scientific evaluation of seedling emergence neatness. Subsequently, by analyzing the number of seedlings detected in images from different regions, the seedling emergence density was calculated. Based on this local unit density and in conjunction with theoretical planting density, the overall seedling emergence rate across the entire field can be estimated by extrapolating the emergence rate from local unit areas to the entire field. This approach enables the quantification of planting layout parameters for mung bean seedlings and provides critical data support and scientific guidance for field management and planting decision-making.
2. Materials and Methods
RGB images of mung bean planting fields were collected via a UAV on multiple dates, capturing data across various dates, heights, and resolutions. These images were then processed and used as inputs for the deep learning models. After comparative analysis, the YOLOv8-obb-p2 model was selected for its optimal performance. This model successfully extracted early-stage mung bean seedling information and enabled the accurate and efficient quantification of key planting layout parameters.
2.1. UAV-Based RGB Image Acquisition
The experimental sites are located at the East Campus of Agricultural University of Hebei at 115°28′ E, 38°51′ N, and the Xushui Research Base of the Baoding Academy of Agricultural Sciences at 115°36′ E, 39°03′ N (Figure 1). The mung bean variety cultivated was Jilv 20, covering an area of 5.33 × 10−3 km2, with spatial layout parameters set at a plant distance of 16.7 cm and a row spacing of 50 cm. Sowing was completed on 22 June 2024. Before sowing, a compound fertilizer (N-P2O5-K2O, 15-15-15) was applied at a rate of 450 kg/hm2. Adequate irrigation was carried out during planting. To ensure the health and productivity of the mung beans, integrated pest and disease management strategies, including regular monitoring and targeted treatment as needed, were implemented. Image collection was carried out on the basis of this comprehensive field management scheme.
Figure 1.
General map of the experimental site. Field 1 is the Xushui Scientific Research Base of the Baoding Academy of Agricultural Sciences (39°30′ N, 115°36′ E). Field 2 is the East Campus of Agricultural University of Hebei (38°51′ N, 115°28′ E).
This experiment utilized the DJI MAVIC 3 Multispectral platform, manufactured in China and weighing 951 g, as the UAV flight platform. It features a battery capacity of 5000 mAh, a maximum flight speed of 15 m/s in standard mode, and a flight duration of 43 min. The visible light camera has a pixel resolution of 20 megapixels. During data collection, to evaluate the impact of different flight altitudes on image quality, the flight altitude was set at three levels: 2 m, 5 m, and 7 m, with an image resolution of 5280 × 3956. Data acquisition was performed from 18:00 to 19:00 on 5, 8, and 11 July 2024, to minimize the interference of varying light conditions. At the time of image acquisition, the field mung beans were in the seedling stage, ensuring consistency across the data collection period and facilitating the analysis of this specific growth stage under varying flight conditions. Other time periods were avoided as fluctuations in light conditions could affect data quality. This design ensures consistent lighting conditions, thereby enhancing the reliability and accuracy of the data (Figure 2). Additionally, to accurately calculate the actual area covered by images captured at varying heights, a square reference frame with a side length of 30 cm was positioned at the center of the shooting area, which facilitates the calculation of the ratio between image pixels and actual distance and provides a reliable foundation for subsequent data analysis.
Figure 2.
DJI MAVIC 3 multispectral version of the schematic of Unmanned Aerial Vehicle (UAV) image acquisition. (1) Real-Time Kinematic (RTK) module (2) Visible light camera (3) Light intensity sensor 4. Multispectral camera (5) battery.
Given the complexity of the field environment at the Xushui Research Base, where mung bean plants coexist with wheat seedlings, the research scene closely reflects real agricultural conditions, increasing both the complexity and practical significance of the study. Extracting planting layout parameters for mung bean seedlings in such an environment enables a more effective response to the challenges encountered in actual production, providing practical technical support and solutions to improve crop management practices.
2.2. UAV-Based RGB Image Processing
On the basis of the specific conditions of different planting sites, all images from the East Campus of Hebei Agricultural University and a subset of images from the Xushui Research Base of the Baoding Academy of Agricultural Sciences were designated exclusively for model training. The images were cropped to two resolutions: 1320 × 1066 and 2640 × 1978, resulting in a total of 552 images. Data augmentation techniques, including flipping and rotating, were applied to the cropped images, effectively enriching the diversity of perspectives and forms in the dataset. These operations expanded the dataset to 2208 images and enhanced the model’s adaptability to image transformations. Training was conducted using images of varying resolutions to improve the model’s compatibility with images of different resolutions, reducing the dependence on specific resolutions and allowing for a more flexible application in real-world scenarios involving image data of various resolutions.
Using the image annotation tool LabelMe, mung bean plants in the images were annotated with the label “mung_bean”, and each image’s annotation information was stored in a separate JSON file named after the corresponding image. To meet the input data requirements of the YOLO model, these JSON files were subsequently converted into TXT format. The annotated dataset was then divided into training, validation, and test sets at a ratio of 7:2:1, resulting in 1545 images for the training set, 441 images for the validation set, and 222 images for the test set.
The processing workflow for images with a 30 cm square reference frame at different heights is illustrated using a 2 m image as an example (Figure 3). The pixel coordinates of the four corners of the reference frame were determined via image processing tools. By calculating the differences in coordinates, the pixel lengths of the four edges in the image were obtained. Although slight variations existed in the lengths of these edges in the pixels, averaging the values established the proportional relationship between the image pixels and the actual distance. At a height of 2 m, 484 pixels corresponded to an actual distance of 0.3 m, resulting in a ratio of 4840:3; at a height of 5 m, 213 pixels represented 0.3 m, resulting in a ratio of 71:10; and at 7 m, 154.5 pixels corresponded to 0.3 m, resulting in a ratio of 515:1. On the basis of these ratios, the area of images at any resolution can be calculated for a given height, thereby providing a data foundation for obtaining the seedling emergence rate.
Figure 3.
Image analysis flow chart.
2.3. Network Architecture
YOLOv8, YOLOv9, and YOLOv10 represent the latest versions in the YOLO series, each generation building upon the advancements of its predecessor through improvements and optimizations. YOLOv9 demonstrates superior performance in small object detection but falls short of YOLOv8 in processing speed. YOLOv10 further enhances performance and efficiency through a continuous dual allocation strategy without non-maximum suppression (NMS) during training, coupled with a comprehensive efficiency and accuracy-driven model design strategy. Nevertheless, YOLOv8 has undergone extensive application and validation, demonstrating high stability and reliability. It excels in balancing accuracy and processing speed, ensuring a rapid detection rate while improving accuracy, making it particularly suitable for scenarios requiring both real-time performance and a certain level of accuracy.
YOLOv8-obb (oriented bounding boxes) is a rotation-based object detection algorithm. The key distinction between rotation object detection and conventional object detection lies in the use of rotated bounding boxes instead of horizontal boxes for annotation. YOLOv8-obb consists of four main components: the input, backbone, neck, and head, with the backbone and neck networks being structurally identical to those in standard object detection frameworks; the primary difference is in the head layer (Figure 4). Building upon the head layer of YOLOv8, YOLOv8-obb introduces an additional output head designed to predict the rotation angle; specifically, the feature map angle, used to predict the rotation angle, consists of three channels in B (Figure 4), each with a value of 1. The angle feature map is constructed via two convolutional blocks followed by a convolutional layer. Furthermore, YOLOv8-obb incorporates the Gaussian bounding box (GBB) algorithm proposed by Llerena et al. [37] and a novel method for calculating object similarity (probabilistic IoU, ProbIoU) to facilitate the detection of rotated objects. GBBs are more adept at accommodating the shapes of rotated targets, thereby enhancing detection accuracy. ProbIoU, as a novel method for calculating object similarity, enables a more precise assessment of the overlap between the predicted and ground truth boxes, further increasing the performance of rotation object detection. The rotation object detection technique extends the foundational principles of object detection by integrating angular information, achieving a more accurate localization of objects within images.
Figure 4.
Comparison of YOLOv8 and YOLOv8-obb network structure. (A) YOLOv8 network structure. (B) YOLOv8-obb network structure.
In complex field environments, various disruptive factors, such as lighting variations, weeds, and residual parts of other crops, can adversely affect the identification accuracy of small mung bean seedlings, especially given their relatively small size during early growth stages. If the shooting height is too high, the resulting image quality may be insufficient, leading to issues such as missed or incorrect detections. To address these problems, this paper introduces a p2 small object detection layer at the head layer of the model (Figure 5). The advantages are as follows:
Figure 5.
Addition of the p2 layer structure diagram.
- High-resolution feature maps are obtained by employing shallower network layers or feature upsampling to better capture the detailed information of small targets.
- Smaller convolutional kernels and specific parameter configurations are utilized to accommodate the feature representation and detection requirements of small targets.
- By integrating multiscale contextual information, the problem of insufficient information caused by small targets can be mitigated, thereby facilitating their detection.
- The loss function is adjusted and optimized to account for the unique characteristics of small target detection, enhancing detection precision.
After the detection accuracy of mung bean seedlings is improved, the YOLOv8-obb-p2 model can also detect the coordinates of characteristic points for each mung bean plant. On the basis of this coordinate information, clustering analysis can be performed to categorize plant rows effectively.
2.4. Spatial Layout Parameter Extraction Method
This study uses the YOLOv8-obb-p2 model to analyze the field images, extracting the pixel coordinates of the centroid points for each target, specifically Centre X and Centre Y, which serve as feature points. The feature points are categorized using the K-means clustering algorithm into distinct rows on the basis of their coordinate information, with the resulting cluster labels stored in the variable “cluster_labels”, and the average value of Centre Y for all feature points within each row is calculated, followed by ascending sorting. The differences between adjacent rows yield the row spacing. The Centre X values of adjacent feature points within each row are sorted in ascending order, and a difference operation is performed to obtain the plant spacing. Given the inherent variability in distances between rows and between plants, the average operation is performed on the obtained row distance and plant distance, respectively. The resulting row and plant spacings are measured in pixels, and the established ratio of pixels to actual distance for images captured at varying heights allows for the derivation of actual row and plant spacings. After these measurements are obtained (Figure 6), the theoretical planting density can be calculated for a specified cultivation area on the basis of the row and plant spacings (Equation (1)). where represents the theoretical planting density, represents the row spacing, and represents the plant spacing. Although multiple observation paths of 80 cm and 120 cm have been reserved at the Xushui Research Base of the Baoding Academy of Agricultural Sciences during planting, this does not affect the calculation of the theoretical planting density, as the formula remains applicable.
Figure 6.
Flowchart for the extraction of spatial layout parameters.
By utilizing the coordinate information of the feature points, the crop rows can be simulated, and their distribution can be visualized. This approach not only visually evaluates the neatness of crops but also allows for the observation of their spatial distribution. After the feature points and their corresponding rows are obtained, the least squares method is employed to fit the equation of the crop rows. The least squares criterion aims to minimize the sum of the squared distances between and (Equation (2)). This ensures that the fitted row lines closely approximate the actual conditions, thereby reducing errors and enhancing the accuracy and reliability of the experimental results [38].
Displaying the fitted row lines on the images via the equation facilitates a visual assessment of the crop row distribution. The spatial distribution information of the crops can be used to quickly evaluate the neatness of mung bean emergence, specifically regarding the parallelism between rows and the consistency of their spacing, thus providing insights into the field layout of mung bean seedlings. By analyzing these data, potential issues can be identified promptly, informing agricultural management and decision-making personnel on tasks such as determining fertilization and irrigation strategies. This information can also facilitate measures to optimize the growth environment and improve yield, thereby providing valuable insights for agricultural production and contributing to more efficient, sustainable, and intelligent agricultural management.
2.5. Calculation Method for the Seedling Emergence Rate
The images captured by the UAV are sequentially input into the YOLOv8-obb-p2 model for detection, which is categorized by date, height, and resolution. On the basis of the actual detection outcomes, the images undergo additional screening and processing to identify the optimal conditions for detection, including the ideal date, height, and resolution. Images that meet these optimal criteria are selected for detection. By adding the appropriate code, the YOLOv8-obb-p2 model is configured to output both the detection results and the number of detected clusters of mung bean seedlings for each image. The actual area of the images can be subsequently calculated via the established ratio of the pixel height to the actual distance. On this basis, the emergence density and emergence rate are calculated (Equations (3) and (4)). represents the emergence density, represents the number of detected mung bean seedlings, and represents the emergence rate.
3. Results
3.1. Model Evaluation
The hardware configuration and software environment utilized in the experiment are outlined in Table 1, and the parameter settings for the different models remained consistent. The input image size for the model was set to 640 × 640 pixels; the batch size for training was 16; the number of epochs was 200; the waiting round of early stops was set to 50 to prevent overfitting; the number of workers was set to 8; and the optimizer used was stochastic gradient descent (SGD). The initial learning rate was set to 0.01, with a momentum of 0.937. A random seed of 0 was used to ensure consistency in the random parameters generated during each training session, ensuring reproducibility of the model’s results under the same hardware configuration. All training operations were conducted via a GPU, and upon completion, both the final and best epoch weights were saved for model evaluation and prediction.
Table 1.
Hardware configuration and software environment.
In this work, precision (P), recall (R), average precision (AP), and the F1 score are used as evaluation metrics, with their calculation formulas provided (Equations (5)–(8)). Additionally, the number of parameters and floating point operations (FLOPs) are included as evaluation metrics. A higher precision indicates the model’s ability to identify positive instances more accurately, whereas a higher recall reflects its capacity to capture more positive instances. Higher AP and F1 scores indicate that the model performs well overall. The number of parameters reflects the model’s capacity and representational power. Generally, more parameters indicate a more complex model, whereas fewer parameters reduce the model’s storage requirements and computational costs, increasing efficiency. The computational cost (FLOPs) refers to the number of operations required during inference or training, indicating the computational complexity and runtime of the model. Higher computational costs may result in reduced efficiency in practical applications, particularly on resource-constrained devices. Therefore, lower computational costs are often preferred, as they contribute to faster and more efficient model performance.
To evaluate the detection performance of various models on mung bean plants, YOLOv8, YOLOv9, YOLOv10, YOLOv8-obb, and YOLOv8-obb-p2 were each used for training, with the training results for these models presented (Table 2).
Table 2.
Comparison of the effects of different models.
Compared with YOLOv8, YOLOv9, and YOLOv10, YOLOv8-obb achieves higher recall, average precision, and F1 scores (Table 2). Although its precision is slightly lower than that of YOLOv9, YOLOv8-obb has significantly fewer parameters and a lower computational cost. Therefore, YOLOv8-obb was selected as the base network for further improvement. The enhanced YOLOv8-obb-p2 model achieved precision, recall, average precision, and F1 score values of 96.0%, 96.9%, 98.6%, and 96.4%, respectively. Compared with the original YOLOv8 model, these metrics represent improvements of 2%, 3.7%, 1.6%, and 2.8%, respectively, indicating better detection performance. In addition to meeting performance requirements, the model also ensures efficient operation in practical applications.
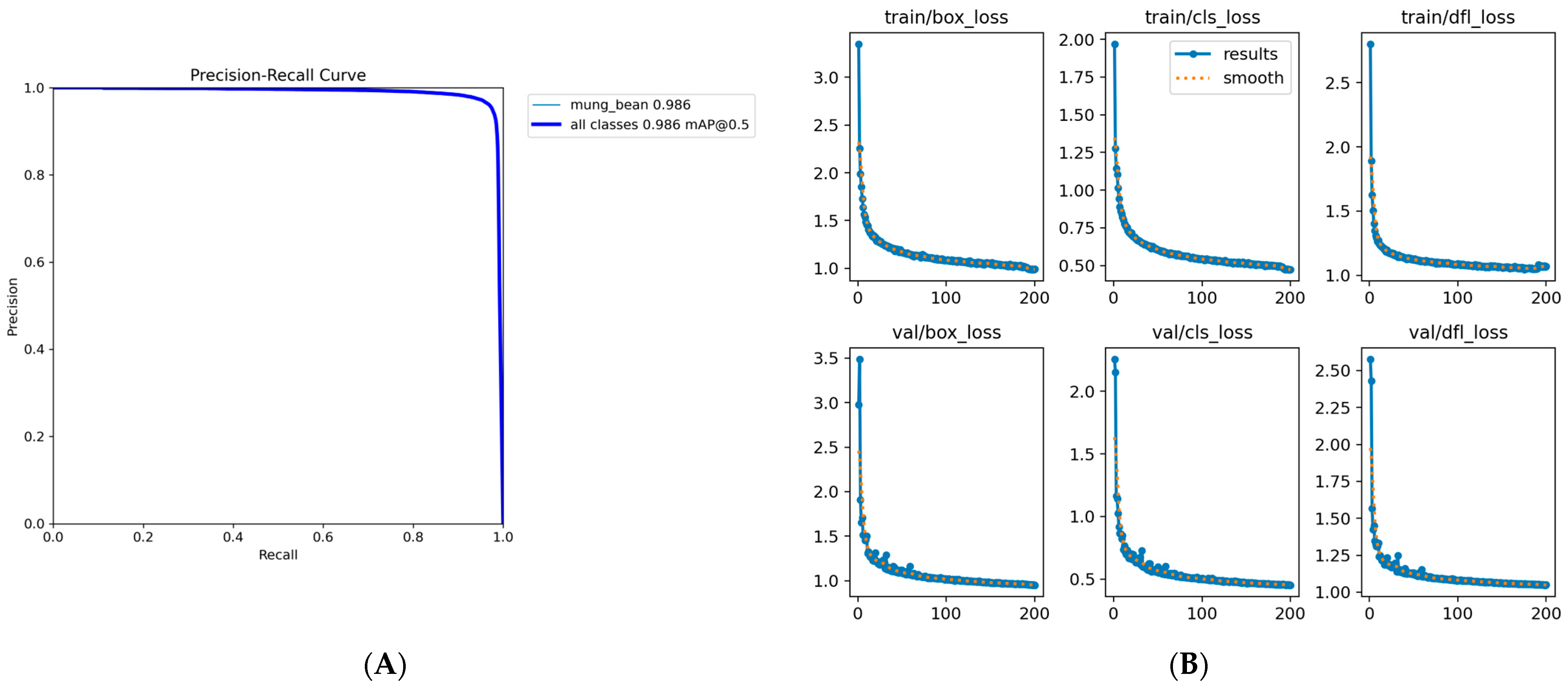
To further analyze the performance of the YOLOv8-obb-p2 model in the mung bean plant detection task, its Precision-Recall (PR) curve and loss variation curves across multiple epochs were plotted (Figure 7). The PR curve exhibits a large and smooth area, indicating that the model effectively balances precision and recall across various decision thresholds. The loss variation curves demonstrate a consistent decline in training and validation losses (box_loss, cls_loss, and dfl_loss) as the training epochs progress, eventually stabilizing. This suggests that the model achieves good convergence. Furthermore, the close alignment of validation loss with training loss reflects the model’s strong generalization capability. The absence of significant rebound in the validation loss curve during later stages further validates the model’s ability to mitigate overfitting effectively.
Figure 7.
Learning curves of the YOLOv8-obb-p2 model. (A) Precision-Recall (PR) curve. (B) Loss variation curves across multiple epochs.
3.2. Spatial Layout Parameters
The YOLOv8-obb-p2 model was used to detect multiple images from the Xushui Research Base of the Baoding Academy of Agricultural Science, yielding the pixel coordinates (Centre X and Centre Y) for each target feature point as well as the corresponding row information (Table 3). By calculating the differences between the Centre X values within each row and averaging them, the average plant spacing in the field was determined to be 15.940 cm. Similarly, the average Centre Y values for each row were computed and sorted in ascending order, and their differences were averaged to obtain an average row spacing of 48.472 cm. The Xushui Research Base, which is planted with mung beans, covers an area of 5.33 × 10−3 km2. After the average plant and row spacings were derived from a subset of images, these values were mapped to the entire field to determine the actual planting row and plant spacing. The theoretical planting density was calculated to be 12.943 plants/m2 (Equation (1)).
Table 3.
Some feature point information.
Using the feature point coordinates and row information, the least squares method was applied to fit the row line equations (Table 4). Additionally, the distributions of feature points and row lines are shown, where the top and bottom images correspond, with different colors representing different rows (Figure 8). From the equations and row line distribution, it is clear that the row lines are not equidistant, nor do they achieve the ideal state of being perfectly straight and parallel. However, the relatively small slopes of all the row lines indicate that their inclination is fairly gentle. This indicates that the row line deviation during mung bean planting is minimal. Although the actual row spacing is reduced by approximately 1.5 cm compared with the intended 50 cm, this slight reduction does not significantly affect the growth of the mung bean plants, thus meeting the overall planting requirements.
Table 4.
Partial line equation information.
Figure 8.
Feature points and row lines. (A) Detected objects and feature points. (B) Effect of the fitting line.
3.3. Emergence Rate
The YOLOv8-obb-p2 model has exhibited favorable performance in detection tasks. Images of mung bean plants captured by the UAV were sequentially fed into the YOLOv8-obb-p2 model (Figure 9). A comparative analysis of detection results across different dates and heights revealed that the plant growth scale significantly impacts detection accuracy. Notably, larger plants are more susceptible to misidentification, with the model erroneously recognizing a single plant as multiple individuals. Among the three dates when images were captured, 5th July (13 days after sowing) produced detection results for mung bean plants that were closest to the actual conditions. At the same time (5th July) and resolution (5280 × 3956), the detection outcomes for images taken at varying heights are illustrated, with anomalies indicated by the black boxes and blue labels in the image (Figure 10). Observations from the detection results indicate that images taken at a height of 2 m exhibit significant levels of interference, leading to the misidentification of weeds as mung bean plants. Additionally, when two plants are in close proximity or when the leaves are dispersed, there is an increased likelihood of misidentifying one plant as multiple individuals, resulting in increases in the planting density and emergence rate. There is significant underdetection in images captured at heights of 5 m and 7 m, particularly at heights of 7 m, where the number of missed detections is substantial; moreover, instances of misidentifying one plant as multiple individuals also occur.
Figure 9.
Image detection flow chart.
Figure 10.
Image detection results at different heights on July 5. Red boxes represent the detection frame, while black boxes and blue numbers highlight missed and misidentified areas. (A) Two-meter image-detection effect. (B) Five-meter image-detection effect. (C) Seven-meter image-detection effect.
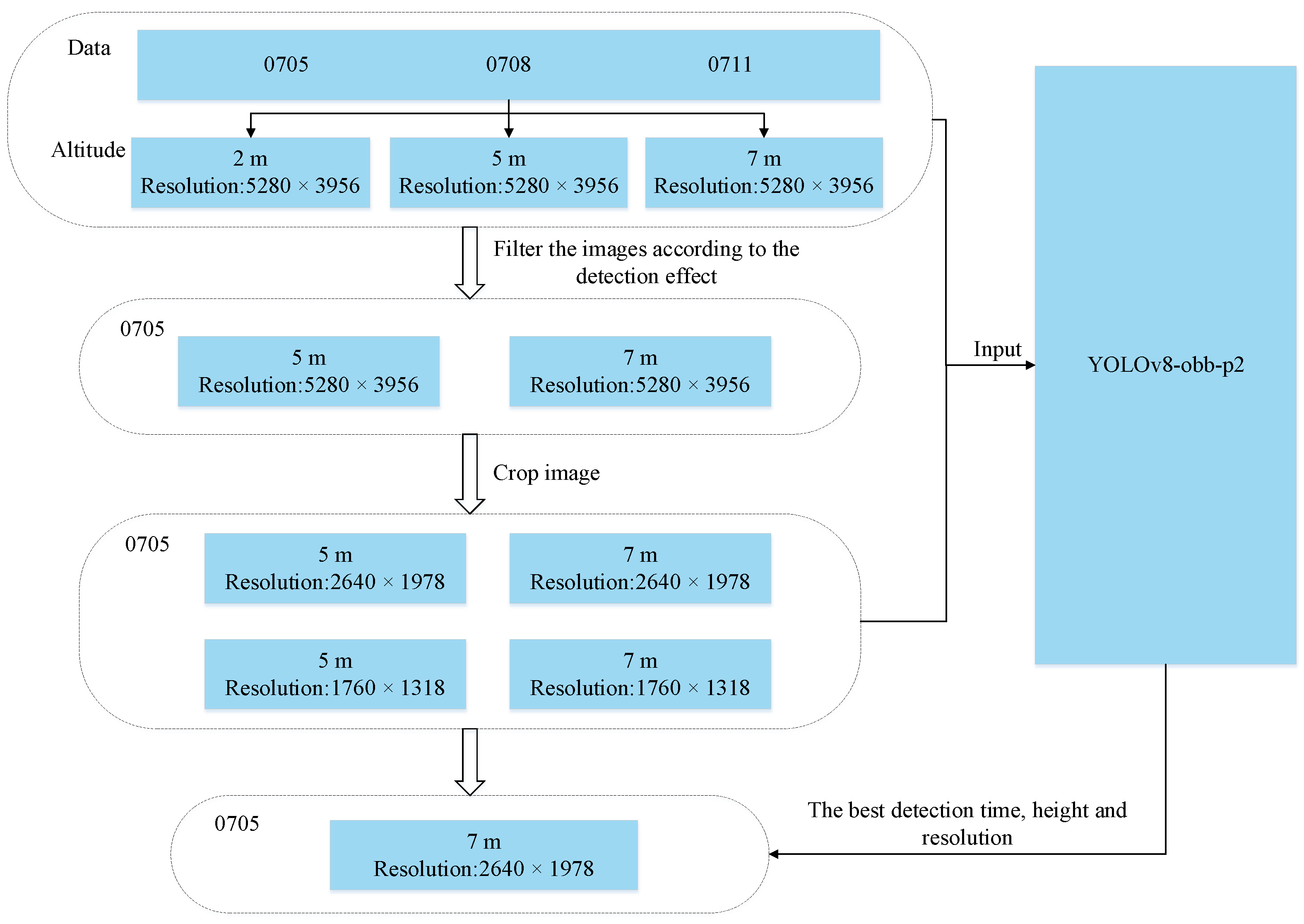
Notably, images captured at a height of 2 m encompass a relatively small area, whereas those taken at heights of 5 m and 7 m cover larger, more representative regions. However, owing to issues related to image detail, the number of detected seedlings decreased. Therefore, images taken at resolutions of 5280 × 3956 at heights of 5 m and 7 m were cropped into multiple images with resolutions of 2640 × 1978 and 1760 × 1318, respectively. These cropped images were subsequently input into the YOLOv8-obb-p2 model, yielding detection results for the different resolutions at heights of 5 m and 7 m on July 5 (Figure 11).

Figure 11.
Image detection results at different heights and resolutions on July 5th. Red boxes represent the detection frame, while black boxes and blue numbers highlight missed and misidentified areas. (A) Five-meter resolution 2640 × 1978 and 1760 × 1318 image-detection effect, the first two’s resolution is 2640 × 1978, the third’s resolution is 1760 × 1318. (B) Seven-meter resolution 1760 × 1318 image-detection effect. (C) Seven-meter resolution 2640 × 1978 image-detection effect.
A comparative analysis of the detection results reveals that the cropped image with a height of 5 m and the 7 m height image with a resolution of 1760 × 1318 exhibited a richer level of detail post cropping, leading to an increased tendency for the model to misidentify a single plant as multiple plants. In contrast, the 7 m images cropped to a resolution of 2640 × 1978 showed a significant reduction in missed detections compared with the uncropped 7 m images but also outperformed the 7 m images at the lower resolution of 1760 × 1318 in terms of misidentification. Thus, it can be concluded that cropping the 7 m images taken on 5th July to a resolution of 2640 × 1978 yields optimal detection results via the YOLOv8-obb-p2 model.
The number of mung bean plants detected at a height of 7 m under varying resolution conditions, along with the calculated emergence density based on the actual image area, is presented in Table 5. Building on these experimental results, multiple images captured on 5th July at a height of 7 m and a resolution of 2640 × 1978 were selected to calculate the emergence rate. According to the theoretical planting density, the emergence rate at the Xushui Research Base of the Baoding Academy of Agricultural Sciences was determined to be 88.256% (Equation (4)). This finding indicates that a majority of the seeds successfully germinated; however, a certain proportion failed to germinate, warranting further investigation into factors affecting emergence, such as seed quality and the planting environment. Consequently, this allows for an evaluation of the effectiveness of the planting management practices at the Xushui Research Base in promoting seed emergence, facilitating the summarization of successful strategies and the identification of areas for improvement. On the basis of the actual seedling emergence data, it is advisable to adjust subsequent management strategies, including irrigation, fertilization, and pest control, to increase overall crop performance.
Table 5.
Extraction of seedling information.
4. Conclusions
Given the labor-intensive, time-consuming, and costly nature of traditional methods for extracting planting layout information of mung bean plants—coupled with challenges such as miscounts, omissions, and the inability to visualize the spatial distribution and neatness of mung bean seedlings. This study proposes an improved small object detection method for mung bean seedlings during the early growth stage. By incorporating a p2 small object detection layer into the YOLOv8-obb model, the approach enables the extraction and computation of critical planting layout parameters, which are essential for crop growth. These parameters primarily include spatial configuration metrics such as row spacing, plant spacing, and emergence rate. The main conclusions are as follows:
- The proposed YOLOv8-obb-p2 model achieved high performance across multiple evaluation metrics on the self-constructed dataset. precision, recall, average precision, and F1-score were 96.0%, 96.9%, 98.6%, and 96.4%, respectively. Compared to the YOLOv8, YOLOv8-obb, YOLOv9, and YOLOv10 models, the proposed model demonstrated varying degrees of improvement. Moreover, despite the relatively complex field environment and significant interference at the Xushui Research Base of the Baoding Academy of Agricultural Sciences, the model maintained robust detection performance, further underscoring its resilience and generalization capability.
- In terms of spatial configuration parameter extraction, the YOLOv8-obb-p2 model accurately identified mung bean seedlings and their feature points. Through surveys conducted in selected areas of the Xushui Research Base of the Baoding Academy of Agricultural Sciences, the overall field planting conditions were analyzed, providing growers with detailed spatial configuration information. The results indicated that the plant spacing, row spacing, and theoretical field planting density were 15.940 cm, 48.472 cm, and 12.943 plants/m2, respectively. Distribution maps of these parameters across different rows were also generated. Comparative analysis revealed small deviations between these values and the initially prescribed spatial layout parameters, demonstrating compliance with standardized planting practices.
- Emergence rate is a critical indicator for assessing the quality of mung bean cultivation. Using the proposed method, early growth-stage images from selected field areas were analyzed to calculate the number of emerged seedlings within each planting region. The measured emergence density was determined to be 11.423 clusters/m2. By comparing this value with the theoretical emergence density, the emergence rate at the Xushui Research Base of the Baoding Academy of Agricultural Sciences was calculated to be 88.256%.
5. Discussion
This study focuses on the mung bean, utilizing a DJI MAVIC 3 multispectral drone to capture time-series images of mung bean seedlings during the early growth stages. The collected images were cropped and subjected to data augmentation to construct the dataset. Various deep learning models were then trained on this dataset to detect mung bean seedlings in images captured across various dates, heights, and resolutions. The results indicate that the image-detection effect on 5th July (the 13th day after sowing) was better than that on 8th July and 11th July, and the best effect was obtained on 5th July at different heights and different resolutions with a height of 7 m and a resolution of 2640 × 1978. In existing research on crop seedling detection, Liu et al. [39] used UAV-captured RGB images combined with deep-learning techniques to conduct a quantitative evaluation of maize seedling emergence. Using a deep learning model, they developed a rapid estimation system capable of identifying maize seedlings, achieving a detection accuracy of 92%. Lin et al. [40] utilized UAV video and an improved YOLOv5s model to count peanut (Arachis hypogaea L.) seedlings, achieving an accuracy of 91.2% and a recall rate of 94%. However, their approach lacked optimization specifically tailored for small target detection. Kim et al. [41] addressed the challenge of small-object detection in aerial imagery by removing large-object detection layers and introducing a new detection layer, p2, specifically designed for smaller targets. This modification reduced resource consumption for non-essential object detection while enhancing the model’s ability to detect small objects. Experimental results on the VEDAI dataset showed that retaining only small-object-related detection layers improved the model’s mAP from 27.6% to 29.8%. Wang et al. [42] added two detection scales to the YOLOv8 model, integrating shallow features (B1 and B2) to effectively compensate for the limitations of traditional models in detecting small objects, significantly improving YOLOv8’s small-object detection capabilities in UAV aerial scenes. Ni et al. [43] removed the original large-object detection layer (p5) and added a p2 detection layer specifically designed for small objects. The p2 layer fused low-level spatial features with high-level semantic features, significantly enhancing the detection of ultra-small objects. On the VisDrone2019 dataset, the improved model achieved an 11.7% increase in mAP50 and a 0.9M reduction in parameters. On the DOTA dataset, the mAP50 reached 74.2%, demonstrating robust performance in small object detection. Based on the aforementioned research findings, this study introduces a p2 layer into the YOLOv8-obb model, optimizing it for the characteristics of small-target seedlings, thereby achieving high-precision recognition of mung bean seedlings. The recognition accuracy reached 96%, representing an improvement of 0.4% compared to the original YOLOv8-obb model, while reducing the number of parameters instead of increasing them (Table 2). This enhanced performance demonstrates superior effectiveness in detecting mung bean seedlings, surpassing existing recognition methods for maize and peanut seedlings in terms of accuracy. The target detection results based on this model provide more reliable data support for quantifying planting layouts, showcasing the significant advantages and practical application value of this research in the field of small-target crop seedling recognition.
As time progresses, the branching capacity of mung bean plants continually increases, underscoring the significance of optimal spatial layout parameters. Rational spatial layout parameters create an optimal growth environment for crops, ensuring adequate light, ventilation, and nutrient supply. However, in practical cultivation, deviations from intended layout parameters can arise due to human error or the limitations of planting tools. Minor deviations typically have minimal impact on crop growth, but significant deviations can exacerbate competition between plants and accelerate the spread of pests and diseases. Therefore, adjusting spatial layout parameters scientifically, according to plant growth habits and environmental conditions, is crucial to ensure healthy crop growth and optimal development [44,45]. In 2021, Wang et al. [46] employed machine vision technology and digital cameras to detect multiple crop rows during the maize seedling stage, achieving an overall detection accuracy of no less than 91.2% under various environmental conditions. Subsequently, Zhang et al. [47] employed solid-state LiDAR for row detection in maize fields under occluded conditions, reporting a centerline extraction accuracy of 95.1% for mid-stage maize and 87.3% for late-stage maize. In this paper, we utilize vertical overhead imagery captured by UAV combined with deep-learning techniques (YOLOv8-obb-p2) to accurately extract mung bean seedlings and their feature points. Compared with the side-view perspective adopted in most existing studies, the vertical overhead perspective effectively reduces the interference of background complexity and occlusion, thereby improving detection accuracy. Additionally, the parameters extracted in this study are more comprehensive, including not only crop row lines but also key spatial planting parameters such as plant spacing and row spacing, which fully reflect the overall planting conditions in the field (Figure 8). The research results provide data support for growers to optimize planting schemes and improve land use efficiency, demonstrating significant advantages in the field of precision agriculture.
The seedling emergence rate is a crucial indicator of mung bean planting quality. Accurate detection of seedling emergence during the early growth stages is vital for assessing seed quality and managing farmland. However, traditional manual methods for monitoring emergence rates are often inefficient. The integration of drone technology and deep learning provides a rapid and accurate means of extracting emergence rate information. Zhuang et al. [48] developed a system utilizing a field-based phenotyping platform and convolutional neural networks to detect and quantify the emergence rate and leaf emergence speed of maize seedlings. Gao et al. [49] utilized drone imagery, employing a fine-tuned Mask R-CNN model to propose an automatic identification method for maize seedlings adapted to complex environments. This approach enables the rapid and accurate extraction of maize seedling information in field conditions; however, the detection accuracy of the model diminishes as spatial resolution decreases. Despite these advancements in detecting maize emergence, there is a notable lack of research focusing on mung beans. Therefore, in this paper, RGB images captured by UAV during the mung bean seedling stage were systematically used to explore the effects of different heights, dates, and resolutions on detection results. Through experiments, the optimal data acquisition conditions were determined, effectively avoiding interference from external factors such as lighting. Additionally, the emergence density in each planting area was accurately calculated and compared with the theoretical emergence density to derive the emergence rate (Table 5). This method is not only applicable to complex field environments but also provides growers with comprehensive information to monitor seedling emergence during the early growth stage, assess varietal quality, and take targeted actions, such as replanting or fertilization, to significantly improve planting quality and yield.
Our findings provide a high-quality model for quantifying mung bean planting layouts, although there remains scope for further enhancement.
- The density and diversity of data collection were insufficient. Although this study accounted for the complexity of field environments and avoided interference from lighting, it did not fully cover diverse environmental conditions. Future work will focus on increasing data collection density, enriching the sample size, and integrating data from multiple environments and seasons to enhance the robustness of the model. Additionally, the research scope will be extended to encompass the entire growth period of mung beans.
- A real-time feedback mechanism for field management practices has not yet been fully integrated. For instance, using real-time detection results to make precise fertilization or irrigation decisions remains unexplored. Future research could investigate the deeper integration of UAV monitoring with smart agricultural equipment to achieve a higher level of precision agriculture applications.
- The performance optimization of the model primarily focuses on mung beans and has not been validated for its generalizability to other small-target crops. Future efforts could explore extending the model to other hole-sown crops to evaluate its applicability and develop a generalized model suitable for a variety of hole-sown crops.
- The current model may rely on specific hardware devices in practical applications, which could limit its adaptability and scalability across different devices or platforms. Future research could focus on developing more adaptive algorithms to reduce dependence on a single hardware device. Additionally, incorporating multi-source data fusion techniques could help mitigate biases caused by differences in hardware performance.
- In terms of technological application, small-scale farmers may face obstacles such as high equipment costs, operational complexity, and uncertain economic benefits when adopting this technology. Future efforts should focus on optimizing solutions to enhance the feasibility and applicability of the technology.
Author Contributions
Methodology, K.Y., R.L. and F.W.; investigation, K.Y., X.S. and R.L.; data curation, X.S. and X.W.; validation, K.Y., X.S. and Z.H.; formal analysis, Z.H.; writing—original draft preparation, K.Y.; writing—review and editing, X.W. and F.W.; funding acquisition, H.L. supervision, Z.H., C.W., B.W. and F.W.; project administration, C.W., B.W. and H.L. All authors have read and agreed to the published version of the manuscript.
Funding
This work was supported by China Agriculture Research System of MOF and MARA–Food Legumes (CARS-08-G-22).
Data Availability Statement
The data presented in this study are available on request from the corresponding author.
Conflicts of Interest
The authors declare no conflicts of interest.
References
- Awika, H.O.; Bedre, R.; Yeom, J.; Marconi, T.G.; Enciso, J.; Mandadi, K.K.; Jung, J.; Avila, C.A. Developing growth-associated molecular markers via high-throughput phenotyping in spinach. Plant Genome 2019, 12, 190027. [Google Scholar] [CrossRef]
- Zhang, J.; Wang, X.; Liu, J.; Zhang, D.; Lu, Y.; Zhou, Y.; Sun, L.; Hou, S.; Fan, X.; Shen, S. Multispectral drone imagery and SRGAN for rapid phenotypic mapping of individual Chinese cabbage plants. Plant Phenomics 2022, 2022, 0007. [Google Scholar] [CrossRef] [PubMed]
- Bai, X.; Liu, P.; Cao, Z.; Lu, H.; Xiong, H.; Yang, A.; Cai, Z.; Wang, J.; Yao, J. Rice plant counting, locating, and sizing method based on high-throughput UAV RGB images. Plant Phenomics 2023, 5, 0020. [Google Scholar] [CrossRef] [PubMed]
- Che, Y.; Wang, Q.; Xie, Z.; Zhou, L.; Li, S.; Hui, F.; Wang, X.; Li, B.; Ma, Y. Estimation of maize plant height and leaf area index dynamics using an unmanned aerial vehicle with oblique and nadir photography. Ann. Bot. 2020, 126, 765–773. [Google Scholar] [CrossRef]
- Fei, S.; Chen, Z.; Li, L.; Ma, Y.; Xiao, Y. Bayesian model averaging to improve the yield prediction in wheat breeding trials. Agric. For. Meteorol. 2023, 328, 109237. [Google Scholar] [CrossRef]
- Xiao, Q.; Bai, X.; Zhang, C.; He, Y. Advanced high-throughput plant phenotyping techniques for genome-wide association studies: A review. J. Adv. Res. 2022, 35, 215–230. [Google Scholar] [CrossRef]
- Pan, Z.; Lu, Z.; Liu, W.; Wang, X.; Wang, S.; Chen, H.; Fang, Z.; Wu, H.; He, X. Research progress of phenomics and its application in crop research. Guangdong Agric. Sci. 2022, 49, 105–113. [Google Scholar]
- Guo, Q.; Yang, W.; Wu, F.; Pang, S.; Jin, S.; Chen, F.; Wang, X. High-throughput crop phenotype monitoring: An accelerator for breeding and precision agriculture development. Proc. Chin. Acad. Sci. 2018, 33, 940–946. [Google Scholar]
- Liu, Y.; Wei, R.; Wu, J.; Han, D.; Su, B. Different genotypes of wheat frost damage UAV remote sensing high throughput phenotypes. Trans. Agric. Eng. 2023, 39, 128–136. [Google Scholar]
- Zhu, J.; Yang, G.; Feng, X.; Li, X.; Fang, H.; Zhang, J.; Bai, X.; Tao, M.; He, Y. Detecting wheat heads from UAV low-altitude remote sensing images using Deep Learning based on transformer. Remote Sens. 2022, 14, 5141. [Google Scholar] [CrossRef]
- Chen, S.; Zhang, K.; Wu, S.; Tang, Z.; Zhao, Y.; Sun, Y.; Shi, Z. A weakly supervised approach for disease segmentation of maize northern leaf blight from UAV images. Drones 2023, 7, 173. [Google Scholar] [CrossRef]
- Tang, Z.; Sun, Y.; Wan, G.; Zhang, K.; Shi, H.; Zhao, Y.; Chen, S.; Zhang, X. Winter wheat lodging area extraction using deep learning with GaoFen-2 satellite imagery. Remote Sens. 2022, 14, 4887. [Google Scholar] [CrossRef]
- Saeed, F.; Sun, S.P.; Rodriguez-Sanchez, J.; Snider, J.; Liu, T.; Li, C. Cotton plant part 3D segmentation and architectural trait extraction using point voxel convolutional neural networks. Plant Methods 2023, 19, 33. [Google Scholar] [CrossRef]
- Yu, J.; Cheng, T.; Cai, N.; Zhou, X.; Diao, Z.; Wang, T.; Du, S.; Liang, D.; Zhang, D. Wheat lodging segmentation based on LSTM_PSPNet deep learning network. Drones 2023, 7, 143. [Google Scholar] [CrossRef]
- Lv, L.; Yang, J. Optimization of plant and row spacing for Soybean-Maize strip compound planting. Soybean Sci. Technol. 2024, 03, 28–32. [Google Scholar]
- Feng, G.; Zhang, Q.; Qi, H.; Wang, S.; Lei, X.; Du, H.; Wang, Y.; Liang, Q.; Lin, Y. The effect of density on the consistency of yield and quality of cotton picked by stage harvester in coastal saline-alkali land. J. Shanxi Agric. Univ. (Nat. Sci. Ed.) 2018, 38, 1–5. [Google Scholar]
- Zeng, J.; Guo, J.; Xia, F.; Li, Y.; Bai, C.; Li, H. Effects of different plant spacing and row spacing on seed yield and related agro-nomic traits of bothriochlia ischaemum. Anim. Husb. Feed Sci. 2024, 45, 63–70+84. [Google Scholar]
- Li, T.; Wang, H.; Cui, J.; Wang, W.; Li, W.; Jiang, M.; Shi, X.; Song, J.; Wang, J.; Lv, X. Improving the accuracy of cotton seedling emergence rate estimation by fusing UAV-based multispectral vegetation indices. Front. Plant Sci. 2024, 15, 1333089. [Google Scholar] [CrossRef]
- Tian, F.; Ransom, C.J.; Zhou, J.; Wilson, B.; Sudduth, K.A. Assessing the impact of soil and field conditions on cotton crop emergence using UAV-based imagery. Comput. Electron. Agric. 2024, 218, 108738. [Google Scholar] [CrossRef]
- Zhu, S.; Chen, Z.; Zhang, Y. Cotton emergence information extraction based on UAV digital images. Mod. Electron. Technol. 2022, 45, 61–64. [Google Scholar]
- Zhao, L.; Deng, H.; Zhou, Y.; Miao, T.; Zhao, K.; Yang, J.; Zhang, Y. Image instance segmentation of maize seedling stage based on self-generated labels. Trans. Agric. Eng. 2023, 39, 201–211. [Google Scholar]
- Acquah, K.; Chen, Y. Measurements and predictions of seedling emergence forces. Biosyst. Eng. 2024, 247, 1–12. [Google Scholar] [CrossRef]
- Liu, T.; Zhang, H.; Qian, J. Practical challenges and international experience in the development of China’s edible bean industry. Jiangsu J. Agric. Sci. 2023, 39, 831–840. [Google Scholar]
- Chen, H.; Qiao, L.; Wang, L.; Wang, S.; Blair, M.W.; Cheng, X. Assessment of genetic diversity and population structure of mung bean (Vigna radiata) germplasm using EST-based and genomic SSR markers. Gene 2015, 566, 175–183. [Google Scholar] [CrossRef]
- Chen, H.; Wang, L.; Wang, S.; Liu, C.; Blair, M.W.; Cheng, X. Transcriptome sequencing of mung bean (Vigna radiate L.) genes and the identification of EST-SSR markers. PLoS ONE 2015, 10, e0120273. [Google Scholar] [CrossRef]
- Kim, S.K.; Nair, R.M.; Lee, J.; Lee, S.H. Genomic resources in mungbean for future breeding programs. Front. Plant Sci. 2015, 6, 156527. [Google Scholar] [CrossRef] [PubMed]
- Cheng, X. Important progress has been made in the research on germplasm resources mining and new varieties creation and application of mung bean. J. Plant Genet. Resour. 2015, 16, 674. [Google Scholar]
- Liu, H. Production status and development prospect of mung bean in China. Agric. Prospect 2012, 8, 36–39. [Google Scholar]
- Liu, H.; Zhou, X.; Yu, X.; Yang, X.; Liu, S.; Yao, Y.; Ren, G. Status and prospect of identification and evaluation of crop germplasm resources. J. Plant Genet. Resour. 2014, 15, 215–221. [Google Scholar]
- Xu, X.; Wang, L.; Shu, M.; Liang, X.; Ghafoor, A.Z.; Liu, Y.; Ma, Y.; Zhu, J. Detection and counting of maize leaves based on two-stage deep learning with UAV-based RGB image. Remote Sens. 2022, 14, 5388. [Google Scholar] [CrossRef]
- Guo, X.; Ge, Y.; Liu, F.; Yang, J. Identification of maize and wheat seedlings and weeds based on deep learning. Front. Earth Sci. 2023, 11, 1146558. [Google Scholar] [CrossRef]
- Ye, Z.; Yang, K.; Lin, Y.; Guo, S.; Sun, Y.; Chen, X.; Lai, R.; Zhang, H. A comparison between pixel-based deep learning and object-based image analysis (OBIA) for individual detection of cabbage plants based on UAV Visible-light images. Comput. Electron. Agric. 2023, 209, 107822. [Google Scholar] [CrossRef]
- Fei, S.; Xiao, S.; Li, Q.; Shu, M.; Zhai, W.; Xiao, Y.; Chen, Z.; Yu, H.; Ma, Y. Enhancing leaf area index and biomass estimation in maize with feature augmentation from unmanned aerial vehicle-based nadir and cross-circling oblique photography. Comput. Electron. Agric. 2023, 215, 108462. [Google Scholar] [CrossRef]
- Xiong, Y.; Chiau, L.M.R.; Wenham, K.; Collins, M.; Chapman, S.C. Corrigendum to: Utilisation of unmanned aerial vehicle imagery to assess growth parameters in mungbean (Vigna radiata (L.) Wilczek). Crop Pasture Sci. 2024, 75. [Google Scholar] [CrossRef]
- Ma, Y.; Cai, D.; Chen, J. Genetic analysis of flowering and ripening characters of RIL population in mung bean. China Agric. Sci. Technol. Her. 2019, 21, 33–40. [Google Scholar]
- Yu, M.; Zheng, D.; Feng, N.; Zhao, J.; Wang, X.; Shan, Y. Effects of enlobuzole on carbon metabolism, antioxidant system and yield of mung bean at early flowering under low temperature stress. J. Plant Physiol. 2021, 57, 1808–1818. [Google Scholar]
- Llerena, J.M.; Zeni, L.F.; Kristen, L.N.; Jung, C. Gaussian bounding boxes and probabilistic intersection-over-union for object detection. arXiv 2021, arXiv:2106.06072. [Google Scholar]
- Lancaster, H.O. Encyclopedia of Statistical Science; John Wiley and Sons Inc.: New York, NY, USA, 1988. [Google Scholar]
- Liu, M.; Su, W.H.; Wang, X.Q. Quantitative evaluation of maize emergence using UAV imagery and deep learning. Remote Sens. 2023, 15, 1979. [Google Scholar] [CrossRef]
- Lin, Y.; Chen, T.; Liu, S.; Cai, Y.; Shi, H.; Zheng, D.; Lan, Y.; Yue, X.; Zhang, L. Quick and accurate monitoring peanut seedlings emergence rate through UAV video and deep learning. Comput. Electron. Agric. 2022, 197, 106938. [Google Scholar] [CrossRef]
- Kim, M.; Jeong, J.; Kim, S. ECAP-YOLO: Efficient channel attention pyramid YOLO for small object detection in aerial image. Remote Sens. 2021, 13, 4851. [Google Scholar] [CrossRef]
- Wang, G.; Chen, Y.; An, P.; Hong, H.; Hu, J.; Huang, T. UAV-YOLOv8: A small-object-detection model based on improved YOLOv8 for UAV aerial photography scenarios. Sensors 2023, 23, 7190. [Google Scholar] [CrossRef] [PubMed]
- Ni, J.; Zhu, S.; Tang, G.; Ke, C.; Wang, T. A small-object detection model based on improved YOLOv8s for UAV image scenarios. Remote Sens. 2024, 16, 2465. [Google Scholar] [CrossRef]
- Liu, C.; Dong, H.; Wan, S.; Zheng, C.; Luo, L.; Ma, Y.; Dong, Z.; Chen, G.; Li, P. Screening of suitable planting density of cotton under different row spacing arrangements. Xinjiang Agric. Sci. 2024, 61, 1112–1121. [Google Scholar]
- Zhi, X.; Han, Y.; Li, Y.; Wang, G.; Du, W.; Li, X.; Mao, S.; Lu, F. Effects of plant density on cotton yield components and quality. J. Integr. Agric. 2016, 15, 1469–1479. [Google Scholar] [CrossRef]
- Wang, Q.; Meng, Z.; Fu, W.; Liu, H.; Zhang, Z. Multi-crop line detection algorithm in maize seedling stage based on machine vision. Trans. Agric. Mach. 2021, 52, 208–220. [Google Scholar]
- Zhang, S.; Ma, Q.; Cheng, S.; An, D.; Yang, Z.; Ma, B.; Yang, Y. Crop row detection in the middle and late periods of maize under sheltering based on solid state LiDAR. Agriculture 2022, 12, 2011. [Google Scholar] [CrossRef]
- Zhuang, L.; Wang, C.; Hao, H.; Li, J.; Xu, L.; Liu, S.; Guo, X. Maize emergence rate and leaf emergence speed estimation via image detection under field rail-based phenotyping platform. Comput. Electron. Agric. 2024, 220, 108838. [Google Scholar] [CrossRef]
- Gao, X.; Zan, X.; Yang, S.; Zhang, R.; Chen, S.; Zhang, X.; Liu, Z.; Ma, Y.; Zhao, Y.; Li, S. Maize seedling information extraction from UAV images based on semi-automatic sample generation and Mask R-CNN model. Eur. J. Agron. 2023, 147, 126845. [Google Scholar] [CrossRef]
Disclaimer/Publisher’s Note: The statements, opinions and data contained in all publications are solely those of the individual author(s) and contributor(s) and not of MDPI and/or the editor(s). MDPI and/or the editor(s) disclaim responsibility for any injury to people or property resulting from any ideas, methods, instructions or products referred to in the content. |
© 2025 by the authors. Licensee MDPI, Basel, Switzerland. This article is an open access article distributed under the terms and conditions of the Creative Commons Attribution (CC BY) license (https://creativecommons.org/licenses/by/4.0/).











